QQ-plot of gene loadings, averaged over both independent splits of the data
This plot highlights the relative contribution of each gene to the GEP
Top genes driving this program.
Note: Decartes website is buggy, try refreshing. Also, Decartes fetal adrenal data have been collected at specific time points (89-122 days), all possible cell types of interest may not be represented, do not overinterpret.
The Mean Count column shows the mean read count in cells scoring highly (H > 50) on this gene expression program.
Gene | Loading | Gene.Name | GTEx | DepMap | Descartes | Mean.Counts | Mean.Tpm | |
---|---|---|---|---|---|---|---|---|
1 | UPK3B | 0.0244327 | uroplakin 3B | GTEx | DepMap | Descartes | 3.00 | 221.87 |
2 | TNNT1 | 0.0229743 | troponin T1, slow skeletal type | GTEx | DepMap | Descartes | 7.15 | 1052.96 |
3 | BNC1 | 0.0180848 | basonuclin 1 | GTEx | DepMap | Descartes | 1.88 | 68.95 |
4 | SPRR2F | 0.0179038 | small proline rich protein 2F | GTEx | DepMap | Descartes | 5.47 | 1329.57 |
5 | CA9 | 0.0164168 | carbonic anhydrase 9 | GTEx | DepMap | Descartes | 1.12 | 120.11 |
6 | AC245041.2 | 0.0158646 | NA | GTEx | DepMap | Descartes | 1.10 | NA |
7 | KLK11 | 0.0152014 | kallikrein related peptidase 11 | GTEx | DepMap | Descartes | 0.67 | 64.09 |
8 | KRT8 | 0.0144820 | keratin 8 | GTEx | DepMap | Descartes | 12.79 | 652.59 |
9 | ANXA8 | 0.0144184 | annexin A8 | GTEx | DepMap | Descartes | 0.29 | 15.74 |
10 | TNNI1 | 0.0141689 | troponin I1, slow skeletal type | GTEx | DepMap | Descartes | 3.10 | 77.93 |
11 | SLC34A2 | 0.0127402 | solute carrier family 34 member 2 | GTEx | DepMap | Descartes | 0.83 | 30.21 |
12 | MSLN | 0.0125793 | mesothelin | GTEx | DepMap | Descartes | 1.31 | 100.50 |
13 | HHIP | 0.0124717 | hedgehog interacting protein | GTEx | DepMap | Descartes | 7.62 | 133.96 |
14 | KRT19 | 0.0116047 | keratin 19 | GTEx | DepMap | Descartes | 7.63 | 808.65 |
15 | KRT18 | 0.0112456 | keratin 18 | GTEx | DepMap | Descartes | 14.25 | 966.11 |
16 | LINC00842 | 0.0112335 | long intergenic non-protein coding RNA 842 | GTEx | DepMap | Descartes | 0.64 | NA |
17 | C21orf62 | 0.0102011 | chromosome 21 open reading frame 62 | GTEx | DepMap | Descartes | 0.31 | 12.58 |
18 | KLK5 | 0.0099930 | kallikrein related peptidase 5 | GTEx | DepMap | Descartes | 0.38 | 42.90 |
19 | MYRF | 0.0098677 | myelin regulatory factor | GTEx | DepMap | Descartes | 2.36 | NA |
20 | ANXA8L1 | 0.0096333 | annexin A8 like 1 | GTEx | DepMap | Descartes | 0.18 | 25.28 |
21 | IGHG4 | 0.0093551 | immunoglobulin heavy constant gamma 4 (G4m marker) | GTEx | DepMap | Descartes | 0.01 | 0.22 |
22 | LGALS3 | 0.0092838 | galectin 3 | GTEx | DepMap | Descartes | 5.82 | 487.70 |
23 | SPRR2E | 0.0087558 | small proline rich protein 2E | GTEx | DepMap | Descartes | 0.13 | 31.60 |
24 | CFC1B | 0.0078308 | cripto, FRL-1, cryptic family 1B | GTEx | DepMap | Descartes | 0.03 | 2.23 |
25 | LY6H | 0.0077735 | lymphocyte antigen 6 family member H | GTEx | DepMap | Descartes | 3.00 | 313.34 |
26 | BX284656.1 | 0.0076888 | NA | GTEx | DepMap | Descartes | 0.04 | NA |
27 | NMBR | 0.0075038 | neuromedin B receptor | GTEx | DepMap | Descartes | 0.06 | 6.10 |
28 | TMEM151A | 0.0073322 | transmembrane protein 151A | GTEx | DepMap | Descartes | 0.51 | 30.37 |
29 | MUC16 | 0.0073256 | mucin 16, cell surface associated | GTEx | DepMap | Descartes | 0.17 | 0.63 |
30 | EZR | 0.0073174 | ezrin | GTEx | DepMap | Descartes | 6.49 | 368.00 |
31 | S100A10 | 0.0072731 | S100 calcium binding protein A10 | GTEx | DepMap | Descartes | 32.80 | 6657.96 |
32 | RSPO1 | 0.0072146 | R-spondin 1 | GTEx | DepMap | Descartes | 0.36 | 19.57 |
33 | CFC1 | 0.0071328 | cripto, FRL-1, cryptic family 1 | GTEx | DepMap | Descartes | 0.35 | 25.59 |
34 | AC097480.1 | 0.0070996 | NA | GTEx | DepMap | Descartes | 0.17 | NA |
35 | ID4 | 0.0069847 | inhibitor of DNA binding 4, HLH protein | GTEx | DepMap | Descartes | 3.57 | 143.49 |
36 | CARNS1 | 0.0069527 | carnosine synthase 1 | GTEx | DepMap | Descartes | 0.50 | 24.91 |
37 | UNC5B-AS1 | 0.0069213 | UNC5B antisense RNA 1 | GTEx | DepMap | Descartes | 0.73 | NA |
38 | LHX9 | 0.0068783 | LIM homeobox 9 | GTEx | DepMap | Descartes | 1.06 | 23.60 |
39 | COL9A3 | 0.0067960 | collagen type IX alpha 3 chain | GTEx | DepMap | Descartes | 4.05 | 245.73 |
40 | SULF1 | 0.0067638 | sulfatase 1 | GTEx | DepMap | Descartes | 2.42 | 69.63 |
41 | BARX1 | 0.0067192 | BARX homeobox 1 | GTEx | DepMap | Descartes | 0.20 | 22.54 |
42 | NXPH2 | 0.0067045 | neurexophilin 2 | GTEx | DepMap | Descartes | 0.18 | 10.09 |
43 | NPNT | 0.0065841 | nephronectin | GTEx | DepMap | Descartes | 2.09 | 82.04 |
44 | PKHD1L1 | 0.0064145 | PKHD1 like 1 | GTEx | DepMap | Descartes | 0.98 | 9.45 |
45 | CYTL1 | 0.0063297 | cytokine like 1 | GTEx | DepMap | Descartes | 1.62 | 254.15 |
46 | FGF9 | 0.0062988 | fibroblast growth factor 9 | GTEx | DepMap | Descartes | 1.34 | 51.06 |
47 | CDH3 | 0.0061012 | cadherin 3 | GTEx | DepMap | Descartes | 0.84 | 34.63 |
48 | SLPI | 0.0059110 | secretory leukocyte peptidase inhibitor | GTEx | DepMap | Descartes | 0.21 | 46.37 |
49 | AC245041.1 | 0.0059010 | NA | GTEx | DepMap | Descartes | 0.08 | NA |
50 | FLRT3 | 0.0057992 | fibronectin leucine rich transmembrane protein 3 | GTEx | DepMap | Descartes | 2.66 | 84.52 |
UMAP plots showing activity of gene expression program identified in GEP 5. Unknown II:
Gene set Enrichments for this program, caculated from top 50 genes
mSigDB Cell Types Gene Set:
P-value | OR | Lower 95% CI | FDR | FWER | Genes Found | Gene Set Size | |
---|---|---|---|---|---|---|---|
DESCARTES_FETAL_SPLEEN_MESOTHELIAL_CELLS | 3.23e-47 | 195.79 | 105.42 | 2.17e-44 | 2.17e-44 | 28UPK3B, TNNT1, BNC1, KLK11, KRT8, SLC34A2, MSLN, HHIP, KRT19, KRT18, C21orf62, MYRF, LGALS3, TMEM151A, MUC16, EZR, S100A10, RSPO1, ID4, CARNS1, LHX9, SULF1, NXPH2, NPNT, FGF9, CDH3, SLPI, FLRT3 |
195 |
CUI_DEVELOPING_HEART_C6_EPICARDIAL_CELL | 2.38e-38 | 138.39 | 74.73 | 5.31e-36 | 1.59e-35 | 24UPK3B, TNNT1, BNC1, CA9, KLK11, KRT8, MSLN, KRT19, KRT18, LINC00842, KLK5, MYRF, ANXA8L1, MUC16, EZR, S100A10, ID4, CARNS1, SULF1, NPNT, PKHD1L1, CDH3, SLPI, FLRT3 |
195 |
DESCARTES_FETAL_LIVER_MESOTHELIAL_CELLS | 2.46e-41 | 115.81 | 63.25 | 8.25e-39 | 1.65e-38 | 28UPK3B, TNNT1, BNC1, CA9, KLK11, SLC34A2, MSLN, KRT19, KRT18, C21orf62, MYRF, LGALS3, LY6H, MUC16, EZR, S100A10, RSPO1, ID4, CARNS1, LHX9, COL9A3, SULF1, NXPH2, NPNT, FGF9, CDH3, SLPI, FLRT3 |
310 |
DESCARTES_FETAL_HEART_EPICARDIAL_FAT_CELLS | 2.15e-22 | 104.03 | 50.28 | 3.61e-20 | 1.44e-19 | 14UPK3B, BNC1, SPRR2F, CA9, KLK11, MSLN, C21orf62, KLK5, MYRF, IGHG4, RSPO1, CARNS1, CDH3, SLPI |
110 |
DESCARTES_FETAL_INTESTINE_MESOTHELIAL_CELLS | 8.19e-18 | 97.74 | 43.54 | 9.16e-16 | 5.50e-15 | 11TNNT1, BNC1, KLK11, MSLN, C21orf62, MYRF, TMEM151A, MUC16, RSPO1, CARNS1, SLPI |
85 |
DESCARTES_FETAL_LUNG_MESOTHELIAL_CELLS | 1.09e-18 | 87.25 | 40.21 | 1.47e-16 | 7.33e-16 | 12TNNT1, BNC1, SPRR2F, CA9, MSLN, C21orf62, KLK5, RSPO1, CARNS1, UNC5B-AS1, SULF1, FGF9 |
105 |
DESCARTES_FETAL_PANCREAS_MESOTHELIAL_CELLS | 3.61e-16 | 92.99 | 39.89 | 3.46e-14 | 2.42e-13 | 10UPK3B, TNNT1, BNC1, KLK11, MSLN, KLK5, MYRF, TMEM151A, MUC16, RSPO1 |
79 |
DESCARTES_FETAL_STOMACH_MESOTHELIAL_CELLS | 7.16e-11 | 116.75 | 37.83 | 5.34e-09 | 4.80e-08 | 6UPK3B, TNNT1, BNC1, RSPO1, SULF1, NXPH2 |
36 |
DESCARTES_MAIN_FETAL_EPICARDIAL_FAT_CELLS | 5.70e-10 | 79.63 | 26.39 | 3.48e-08 | 3.83e-07 | 6CA9, MSLN, KLK5, S100A10, UNC5B-AS1, NPNT |
50 |
CUI_DEVELOPING_HEART_C1_5TH_WEEK_CARDIAC_CELLS | 3.79e-12 | 65.32 | 25.60 | 3.18e-10 | 2.55e-09 | 8TNNT1, KRT8, KRT19, KRT18, KLK5, MYRF, EZR, CDH3 |
83 |
MENON_FETAL_KIDNEY_6_COLLECTING_DUCT_CELLS | 2.71e-08 | 39.88 | 13.54 | 1.30e-06 | 1.82e-05 | 6KRT8, KRT19, KRT18, EZR, S100A10, NPNT |
94 |
DURANTE_ADULT_OLFACTORY_NEUROEPITHELIUM_RESPIRATORY_COLUMNAR_CELLS | 2.16e-05 | 65.64 | 12.27 | 7.24e-04 | 1.45e-02 | 3KRT8, KRT19, KRT18 |
28 |
AIZARANI_LIVER_C24_EPCAM_POS_BILE_DUCT_CELLS_3 | 2.35e-09 | 27.69 | 11.07 | 1.31e-07 | 1.58e-06 | 8KLK11, KRT8, KRT19, KRT18, LGALS3, EZR, S100A10, SLPI |
185 |
DURANTE_ADULT_OLFACTORY_NEUROEPITHELIUM_RESPIRATORY_HORIZONTAL_BASAL_CELLS | 3.57e-05 | 54.74 | 10.33 | 1.14e-03 | 2.39e-02 | 3KRT8, KRT19, KRT18 |
33 |
BUSSLINGER_GASTRIC_METALLOTHIONEIN_CELLS | 1.43e-06 | 30.11 | 9.13 | 5.99e-05 | 9.59e-04 | 5CA9, KRT8, KRT19, LGALS3, CARNS1 |
100 |
DESCARTES_FETAL_EYE_CORNEAL_AND_CONJUNCTIVAL_EPITHELIAL_CELLS | 1.95e-08 | 20.86 | 8.37 | 1.01e-06 | 1.31e-05 | 8KRT8, SLC34A2, MSLN, KRT19, KRT18, LGALS3, MUC16, SLPI |
243 |
DURANTE_ADULT_OLFACTORY_NEUROEPITHELIUM_SUSTENTACULAR_CELLS | 1.04e-04 | 37.33 | 7.17 | 2.90e-03 | 6.97e-02 | 3KRT8, KRT19, KRT18 |
47 |
TRAVAGLINI_LUNG_MESOTHELIAL_CELL | 1.59e-10 | 14.23 | 6.91 | 1.07e-08 | 1.07e-07 | 13UPK3B, TNNT1, BNC1, KLK11, KRT8, MSLN, KRT19, KRT18, MYRF, MUC16, S100A10, SULF1, SLPI |
649 |
BUSSLINGER_ESOPHAGEAL_LATE_SUPRABASAL_CELLS | 7.41e-06 | 21.19 | 6.46 | 2.76e-04 | 4.97e-03 | 5KLK11, LGALS3, EZR, S100A10, SLPI |
140 |
BUSSLINGER_GASTRIC_MATURE_PIT_CELLS | 4.39e-06 | 16.11 | 5.55 | 1.73e-04 | 2.95e-03 | 6KRT8, KRT19, LGALS3, EZR, UNC5B-AS1, SLPI |
224 |
Dowload full table
mSigDB Hallmark Gene Sets:
P-value | OR | Lower 95% CI | FDR | FWER | Genes Found | Gene Set Size | |
---|---|---|---|---|---|---|---|
HALLMARK_ESTROGEN_RESPONSE_EARLY | 6.73e-03 | 8.34 | 1.65 | 3.37e-01 | 3.37e-01 | 3KRT8, KRT19, KRT18 |
200 |
HALLMARK_ANDROGEN_RESPONSE | 1.60e-02 | 10.95 | 1.27 | 4.00e-01 | 8.01e-01 | 2KRT8, KRT19 |
100 |
HALLMARK_APOPTOSIS | 3.85e-02 | 6.75 | 0.79 | 4.05e-01 | 1.00e+00 | 2KRT18, LGALS3 |
161 |
HALLMARK_ESTROGEN_RESPONSE_LATE | 5.67e-02 | 5.42 | 0.63 | 4.05e-01 | 1.00e+00 | 2KLK11, KRT19 |
200 |
HALLMARK_MYOGENESIS | 5.67e-02 | 5.42 | 0.63 | 4.05e-01 | 1.00e+00 | 2TNNT1, TNNI1 |
200 |
HALLMARK_P53_PATHWAY | 5.67e-02 | 5.42 | 0.63 | 4.05e-01 | 1.00e+00 | 2TNNI1, S100A10 |
200 |
HALLMARK_KRAS_SIGNALING_UP | 5.67e-02 | 5.42 | 0.63 | 4.05e-01 | 1.00e+00 | 2FGF9, SLPI |
200 |
HALLMARK_CHOLESTEROL_HOMEOSTASIS | 1.33e-01 | 7.20 | 0.18 | 8.34e-01 | 1.00e+00 | 1LGALS3 |
74 |
HALLMARK_PROTEIN_SECRETION | 1.70e-01 | 5.53 | 0.14 | 9.42e-01 | 1.00e+00 | 1KRT18 |
96 |
HALLMARK_FATTY_ACID_METABOLISM | 2.63e-01 | 3.35 | 0.08 | 1.00e+00 | 1.00e+00 | 1S100A10 |
158 |
HALLMARK_MITOTIC_SPINDLE | 3.19e-01 | 2.66 | 0.07 | 1.00e+00 | 1.00e+00 | 1EZR |
199 |
HALLMARK_APICAL_JUNCTION | 3.20e-01 | 2.64 | 0.07 | 1.00e+00 | 1.00e+00 | 1CDH3 |
200 |
HALLMARK_COMPLEMENT | 3.20e-01 | 2.64 | 0.07 | 1.00e+00 | 1.00e+00 | 1LGALS3 |
200 |
HALLMARK_GLYCOLYSIS | 3.20e-01 | 2.64 | 0.07 | 1.00e+00 | 1.00e+00 | 1LHX9 |
200 |
HALLMARK_KRAS_SIGNALING_DN | 3.20e-01 | 2.64 | 0.07 | 1.00e+00 | 1.00e+00 | 1UPK3B |
200 |
HALLMARK_TNFA_SIGNALING_VIA_NFKB | 1.00e+00 | 0.00 | 0.00 | 1.00e+00 | 1.00e+00 | 0 |
200 |
HALLMARK_HYPOXIA | 1.00e+00 | 0.00 | 0.00 | 1.00e+00 | 1.00e+00 | 0 |
200 |
HALLMARK_WNT_BETA_CATENIN_SIGNALING | 1.00e+00 | 0.00 | 0.00 | 1.00e+00 | 1.00e+00 | 0 |
42 |
HALLMARK_TGF_BETA_SIGNALING | 1.00e+00 | 0.00 | 0.00 | 1.00e+00 | 1.00e+00 | 0 |
54 |
HALLMARK_IL6_JAK_STAT3_SIGNALING | 1.00e+00 | 0.00 | 0.00 | 1.00e+00 | 1.00e+00 | 0 |
87 |
Dowload full table
KEGG Pathways:
P-value | OR | Lower 95% CI | FDR | FWER | Genes Found | Gene Set Size | |
---|---|---|---|---|---|---|---|
KEGG_PATHOGENIC_ESCHERICHIA_COLI_INFECTION | 5.28e-03 | 19.86 | 2.28 | 9.81e-01 | 9.81e-01 | 2KRT18, EZR |
56 |
KEGG_REGULATION_OF_ACTIN_CYTOSKELETON | 6.32e-02 | 5.09 | 0.60 | 1.00e+00 | 1.00e+00 | 2EZR, FGF9 |
213 |
KEGG_NITROGEN_METABOLISM | 4.36e-02 | 23.88 | 0.57 | 1.00e+00 | 1.00e+00 | 1CA9 |
23 |
KEGG_PATHWAYS_IN_CANCER | 1.28e-01 | 3.32 | 0.39 | 1.00e+00 | 1.00e+00 | 2HHIP, FGF9 |
325 |
KEGG_BASAL_CELL_CARCINOMA | 1.01e-01 | 9.73 | 0.24 | 1.00e+00 | 1.00e+00 | 1HHIP |
55 |
KEGG_HEDGEHOG_SIGNALING_PATHWAY | 1.03e-01 | 9.56 | 0.23 | 1.00e+00 | 1.00e+00 | 1HHIP |
56 |
KEGG_MELANOMA | 1.28e-01 | 7.51 | 0.18 | 1.00e+00 | 1.00e+00 | 1FGF9 |
71 |
KEGG_TGF_BETA_SIGNALING_PATHWAY | 1.53e-01 | 6.18 | 0.15 | 1.00e+00 | 1.00e+00 | 1ID4 |
86 |
KEGG_LEUKOCYTE_TRANSENDOTHELIAL_MIGRATION | 2.01e-01 | 4.57 | 0.11 | 1.00e+00 | 1.00e+00 | 1EZR |
116 |
KEGG_CELL_ADHESION_MOLECULES_CAMS | 2.27e-01 | 3.98 | 0.10 | 1.00e+00 | 1.00e+00 | 1CDH3 |
133 |
KEGG_MAPK_SIGNALING_PATHWAY | 4.03e-01 | 1.98 | 0.05 | 1.00e+00 | 1.00e+00 | 1FGF9 |
267 |
KEGG_NEUROACTIVE_LIGAND_RECEPTOR_INTERACTION | 4.08e-01 | 1.94 | 0.05 | 1.00e+00 | 1.00e+00 | 1NMBR |
272 |
KEGG_N_GLYCAN_BIOSYNTHESIS | 1.00e+00 | 0.00 | 0.00 | 1.00e+00 | 1.00e+00 | 0 |
46 |
KEGG_OTHER_GLYCAN_DEGRADATION | 1.00e+00 | 0.00 | 0.00 | 1.00e+00 | 1.00e+00 | 0 |
16 |
KEGG_O_GLYCAN_BIOSYNTHESIS | 1.00e+00 | 0.00 | 0.00 | 1.00e+00 | 1.00e+00 | 0 |
30 |
KEGG_GLYCOSAMINOGLYCAN_DEGRADATION | 1.00e+00 | 0.00 | 0.00 | 1.00e+00 | 1.00e+00 | 0 |
21 |
KEGG_GLYCOSAMINOGLYCAN_BIOSYNTHESIS_KERATAN_SULFATE | 1.00e+00 | 0.00 | 0.00 | 1.00e+00 | 1.00e+00 | 0 |
15 |
KEGG_GLYCEROLIPID_METABOLISM | 1.00e+00 | 0.00 | 0.00 | 1.00e+00 | 1.00e+00 | 0 |
49 |
KEGG_GLYCOSYLPHOSPHATIDYLINOSITOL_GPI_ANCHOR_BIOSYNTHESIS | 1.00e+00 | 0.00 | 0.00 | 1.00e+00 | 1.00e+00 | 0 |
25 |
KEGG_GLYCEROPHOSPHOLIPID_METABOLISM | 1.00e+00 | 0.00 | 0.00 | 1.00e+00 | 1.00e+00 | 0 |
77 |
Dowload full table
CHR Positional Gene Sets:
P-value | OR | Lower 95% CI | FDR | FWER | Genes Found | Gene Set Size | |
---|---|---|---|---|---|---|---|
chr10q11 | 5.36e-03 | 9.08 | 1.79 | 1.00e+00 | 1.00e+00 | 3ANXA8, LINC00842, ANXA8L1 |
184 |
chr2q21 | 3.23e-02 | 7.45 | 0.87 | 1.00e+00 | 1.00e+00 | 2CFC1B, CFC1 |
146 |
chr1q21 | 3.88e-02 | 4.23 | 0.84 | 1.00e+00 | 1.00e+00 | 3SPRR2F, SPRR2E, S100A10 |
392 |
chr20q13 | 1.77e-01 | 2.70 | 0.32 | 1.00e+00 | 1.00e+00 | 2COL9A3, SLPI |
400 |
chr12q13 | 1.82e-01 | 2.65 | 0.31 | 1.00e+00 | 1.00e+00 | 2KRT8, KRT18 |
407 |
chr11q13 | 1.91e-01 | 2.56 | 0.30 | 1.00e+00 | 1.00e+00 | 2TMEM151A, CARNS1 |
421 |
chr8q23 | 8.17e-02 | 12.22 | 0.30 | 1.00e+00 | 1.00e+00 | 1PKHD1L1 |
44 |
chr19q13 | 4.77e-01 | 1.42 | 0.28 | 1.00e+00 | 1.00e+00 | 3TNNT1, KLK11, KLK5 |
1165 |
chr4q24 | 1.03e-01 | 9.56 | 0.23 | 1.00e+00 | 1.00e+00 | 1NPNT |
56 |
chr2q22 | 1.23e-01 | 7.85 | 0.19 | 1.00e+00 | 1.00e+00 | 1NXPH2 |
68 |
chr1q31 | 1.28e-01 | 7.51 | 0.18 | 1.00e+00 | 1.00e+00 | 1LHX9 |
71 |
chr8q13 | 1.28e-01 | 7.51 | 0.18 | 1.00e+00 | 1.00e+00 | 1SULF1 |
71 |
chr6q24 | 1.30e-01 | 7.40 | 0.18 | 1.00e+00 | 1.00e+00 | 1NMBR |
72 |
chr14q22 | 1.60e-01 | 5.91 | 0.14 | 1.00e+00 | 1.00e+00 | 1LGALS3 |
90 |
chr20p12 | 1.82e-01 | 5.10 | 0.13 | 1.00e+00 | 1.00e+00 | 1FLRT3 |
104 |
chr4p15 | 2.10e-01 | 4.34 | 0.11 | 1.00e+00 | 1.00e+00 | 1SLC34A2 |
122 |
chr15q25 | 2.55e-01 | 3.48 | 0.09 | 1.00e+00 | 1.00e+00 | 1BNC1 |
152 |
chr6q25 | 2.57e-01 | 3.44 | 0.08 | 1.00e+00 | 1.00e+00 | 1EZR |
154 |
chr4q31 | 2.62e-01 | 3.37 | 0.08 | 1.00e+00 | 1.00e+00 | 1HHIP |
157 |
chr9p13 | 2.80e-01 | 3.11 | 0.08 | 1.00e+00 | 1.00e+00 | 1CA9 |
170 |
Dowload full table
Transcription Factor Targets:
P-value | OR | Lower 95% CI | FDR | FWER | Genes Found | Gene Set Size | |
---|---|---|---|---|---|---|---|
AREB6_03 | 1.47e-04 | 11.09 | 3.41 | 1.67e-01 | 1.67e-01 | 5KRT8, TNNI1, NPNT, FGF9, CDH3 |
263 |
FOXD3_01 | 6.15e-04 | 11.31 | 2.93 | 2.73e-01 | 6.96e-01 | 4HHIP, LHX9, NPNT, FGF9 |
202 |
GATA1_03 | 1.27e-03 | 9.26 | 2.40 | 2.73e-01 | 1.00e+00 | 4MYRF, TMEM151A, S100A10, FLRT3 |
246 |
BACH1_01 | 1.62e-03 | 8.65 | 2.24 | 2.73e-01 | 1.00e+00 | 4KRT8, KRT19, TMEM151A, S100A10 |
263 |
AML_Q6 | 1.76e-03 | 8.45 | 2.19 | 2.73e-01 | 1.00e+00 | 4ANXA8, HHIP, MYRF, SULF1 |
269 |
AP1_Q4 | 1.80e-03 | 8.39 | 2.18 | 2.73e-01 | 1.00e+00 | 4CA9, KRT19, TMEM151A, S100A10 |
271 |
COREBINDINGFACTOR_Q6 | 1.93e-03 | 8.23 | 2.14 | 2.73e-01 | 1.00e+00 | 4ANXA8, HHIP, TMEM151A, SULF1 |
276 |
TGANTCA_AP1_C | 1.10e-03 | 4.34 | 1.76 | 2.73e-01 | 1.00e+00 | 8CA9, KRT8, KRT19, MYRF, LGALS3, TMEM151A, S100A10, FGF9 |
1139 |
HNF3_Q6 | 6.02e-03 | 8.70 | 1.72 | 6.38e-01 | 1.00e+00 | 3LHX9, FGF9, FLRT3 |
192 |
FREAC7_01 | 6.73e-03 | 8.34 | 1.65 | 6.38e-01 | 1.00e+00 | 3C21orf62, FGF9, FLRT3 |
200 |
CAGGTA_AREB6_01 | 3.78e-03 | 4.41 | 1.53 | 4.76e-01 | 1.00e+00 | 6KRT8, MYRF, NMBR, S100A10, ID4, FGF9 |
802 |
IGLV5_37_TARGET_GENES | 6.88e-03 | 4.54 | 1.40 | 6.38e-01 | 1.00e+00 | 5TNNT1, BNC1, HHIP, COL9A3, FGF9 |
636 |
ZNF563_TARGET_GENES | 7.32e-03 | 4.47 | 1.38 | 6.38e-01 | 1.00e+00 | 5KRT18, LY6H, EZR, RSPO1, NPNT |
646 |
HFH1_01 | 1.24e-02 | 6.63 | 1.31 | 6.87e-01 | 1.00e+00 | 3HHIP, LHX9, FGF9 |
251 |
ISRE_01 | 1.27e-02 | 6.58 | 1.30 | 6.87e-01 | 1.00e+00 | 3NPNT, FGF9, CDH3 |
253 |
TAL1BETAE47_01 | 1.29e-02 | 6.52 | 1.29 | 6.87e-01 | 1.00e+00 | 3S100A10, SULF1, FGF9 |
255 |
ZIC3_01 | 1.29e-02 | 6.52 | 1.29 | 6.87e-01 | 1.00e+00 | 3CA9, TNNI1, SULF1 |
255 |
CP2_01 | 1.36e-02 | 6.40 | 1.27 | 6.87e-01 | 1.00e+00 | 3CA9, ANXA8, LY6H |
260 |
CREBP1_Q2 | 1.36e-02 | 6.40 | 1.27 | 6.87e-01 | 1.00e+00 | 3HHIP, MYRF, FLRT3 |
260 |
AAAYWAACM_HFH4_01 | 1.39e-02 | 6.35 | 1.26 | 6.87e-01 | 1.00e+00 | 3ID4, LHX9, FLRT3 |
262 |
Dowload full table
GO Biological Processes:
P-value | OR | Lower 95% CI | FDR | FWER | Genes Found | Gene Set Size | |
---|---|---|---|---|---|---|---|
GOBP_NEGATIVE_REGULATION_OF_PHOSPHOLIPASE_ACTIVITY | 1.02e-04 | 177.85 | 17.16 | 6.37e-02 | 7.64e-01 | 2ANXA8, ANXA8L1 |
8 |
GOBP_NEGATIVE_REGULATION_OF_SERINE_TYPE_PEPTIDASE_ACTIVITY | 1.02e-04 | 177.85 | 17.16 | 6.37e-02 | 7.64e-01 | 2ANXA8, ANXA8L1 |
8 |
GOBP_REGULATION_OF_SERINE_TYPE_PEPTIDASE_ACTIVITY | 1.64e-04 | 133.66 | 13.49 | 8.75e-02 | 1.00e+00 | 2ANXA8, ANXA8L1 |
10 |
GOBP_CORNIFICATION | 8.15e-08 | 32.80 | 11.19 | 3.05e-04 | 6.10e-04 | 6SPRR2F, KRT8, KRT19, KRT18, KLK5, SPRR2E |
113 |
GOBP_REGULATION_OF_PHOSPHOLIPASE_A2_ACTIVITY | 2.40e-04 | 106.92 | 11.12 | 1.05e-01 | 1.00e+00 | 2ANXA8, ANXA8L1 |
12 |
GOBP_HEPATOCYTE_APOPTOTIC_PROCESS | 3.29e-04 | 89.28 | 9.45 | 1.37e-01 | 1.00e+00 | 2KRT8, KRT18 |
14 |
GOBP_SARCOMERE_ORGANIZATION | 5.48e-05 | 46.88 | 8.93 | 4.55e-02 | 4.10e-01 | 3TNNT1, KRT8, KRT19 |
38 |
GOBP_NEGATIVE_REGULATION_OF_LIPASE_ACTIVITY | 4.90e-04 | 71.39 | 7.72 | 1.83e-01 | 1.00e+00 | 2ANXA8, ANXA8L1 |
17 |
GOBP_KERATINIZATION | 2.39e-07 | 19.23 | 7.22 | 5.96e-04 | 1.79e-03 | 7SPRR2F, KRT8, KRT19, KRT18, KLK5, SPRR2E, CDH3 |
225 |
GOBP_NODAL_SIGNALING_PATHWAY | 6.15e-04 | 63.02 | 6.88 | 2.19e-01 | 1.00e+00 | 2CFC1B, CFC1 |
19 |
GOBP_NEGATIVE_REGULATION_OF_T_CELL_RECEPTOR_SIGNALING_PATHWAY | 8.27e-04 | 53.60 | 5.91 | 2.81e-01 | 1.00e+00 | 2LGALS3, EZR |
22 |
GOBP_MYOFIBRIL_ASSEMBLY | 2.05e-04 | 29.34 | 5.68 | 9.57e-02 | 1.00e+00 | 3TNNT1, KRT8, KRT19 |
59 |
GOBP_CELL_DIFFERENTIATION_INVOLVED_IN_EMBRYONIC_PLACENTA_DEVELOPMENT | 9.05e-04 | 50.98 | 5.65 | 2.94e-01 | 1.00e+00 | 2KRT8, KRT19 |
23 |
GOBP_KERATINOCYTE_DIFFERENTIATION | 1.68e-06 | 14.22 | 5.35 | 2.52e-03 | 1.26e-02 | 7SPRR2F, KRT8, KRT19, KRT18, KLK5, SPRR2E, CDH3 |
302 |
GOBP_FIBROBLAST_GROWTH_FACTOR_RECEPTOR_SIGNALING_PATHWAY | 6.75e-05 | 20.54 | 5.28 | 5.05e-02 | 5.05e-01 | 4HHIP, SULF1, FGF9, FLRT3 |
113 |
GOBP_EPIDERMAL_CELL_DIFFERENTIATION | 5.28e-06 | 11.88 | 4.48 | 5.64e-03 | 3.95e-02 | 7SPRR2F, KRT8, KRT19, KRT18, KLK5, SPRR2E, CDH3 |
360 |
GOBP_EPITHELIUM_DEVELOPMENT | 5.41e-09 | 8.77 | 4.44 | 4.05e-05 | 4.05e-05 | 15SPRR2F, CA9, KRT8, HHIP, KRT19, KRT18, KLK5, LGALS3, SPRR2E, EZR, SULF1, BARX1, NPNT, CDH3, FLRT3 |
1275 |
GOBP_EPIDERMIS_DEVELOPMENT | 2.46e-06 | 10.79 | 4.35 | 3.06e-03 | 1.84e-02 | 8BNC1, SPRR2F, KRT8, KRT19, KRT18, KLK5, SPRR2E, CDH3 |
463 |
GOBP_NEGATIVE_REGULATION_OF_ANTIGEN_RECEPTOR_MEDIATED_SIGNALING_PATHWAY | 1.54e-03 | 38.29 | 4.30 | 4.27e-01 | 1.00e+00 | 2LGALS3, EZR |
30 |
GOBP_RESPONSE_TO_FIBROBLAST_GROWTH_FACTOR | 1.91e-04 | 15.55 | 4.01 | 9.50e-02 | 1.00e+00 | 4HHIP, SULF1, FGF9, FLRT3 |
148 |
Dowload full table
Immunological Gene Sets:
P-value | OR | Lower 95% CI | FDR | FWER | Genes Found | Gene Set Size | |
---|---|---|---|---|---|---|---|
GSE13762_CTRL_VS_125_VITAMIND_DAY12_DC_UP | 1.91e-04 | 15.55 | 4.01 | 3.61e-01 | 9.28e-01 | 4KRT19, CFC1, PKHD1L1, FGF9 |
148 |
GSE1740_MCSF_VS_MCSF_AND_IFNG_DAY2_DERIVED_MACROPHAGE_UP | 5.39e-04 | 11.73 | 3.04 | 3.61e-01 | 1.00e+00 | 4BNC1, LINC00842, CDH3, SLPI |
195 |
GSE35543_IN_VITRO_ITREG_VS_CONVERTED_EX_ITREG_DN | 5.71e-04 | 11.54 | 2.99 | 3.61e-01 | 1.00e+00 | 4ANXA8, KRT18, LGALS3, SULF1 |
198 |
GSE14769_UNSTIM_VS_20MIN_LPS_BMDM_UP | 5.81e-04 | 11.49 | 2.97 | 3.61e-01 | 1.00e+00 | 4BNC1, KLK11, KLK5, FGF9 |
199 |
GSE2770_TGFB_AND_IL4_VS_IL4_TREATED_ACT_CD4_TCELL_2H_UP | 5.81e-04 | 11.49 | 2.97 | 3.61e-01 | 1.00e+00 | 4ANXA8, S100A10, ID4, CDH3 |
199 |
GSE9509_LPS_VS_LPS_AND_IL10_STIM_IL10_KO_MACROPHAGE_10MIN_UP | 5.81e-04 | 11.49 | 2.97 | 3.61e-01 | 1.00e+00 | 4C21orf62, EZR, NPNT, PKHD1L1 |
199 |
GSE26488_CTRL_VS_PEPTIDE_INJECTION_HDAC7_DELTAP_TG_OT2_THYMOCYTE_UP | 5.92e-04 | 11.43 | 2.96 | 3.61e-01 | 1.00e+00 | 4ANXA8, TNNI1, SLC34A2, LGALS3 |
200 |
GSE43955_TH0_VS_TGFB_IL6_TH17_ACT_CD4_TCELL_1H_DN | 5.92e-04 | 11.43 | 2.96 | 3.61e-01 | 1.00e+00 | 4KRT8, LY6H, NXPH2, NPNT |
200 |
GSE7596_AKT_TRANSD_VS_CTRL_CD4_TCONV_WITH_TGFB_DN | 1.99e-03 | 13.04 | 2.56 | 7.13e-01 | 1.00e+00 | 3UPK3B, SPRR2F, KRT19 |
129 |
GSE13522_WT_VS_IFNAR_KO_SKIN_DN | 4.81e-03 | 9.45 | 1.86 | 7.13e-01 | 1.00e+00 | 3LGALS3, S100A10, NPNT |
177 |
GSE37301_CD4_TCELL_VS_RAG2_KO_NK_CELL_DN | 5.04e-03 | 9.29 | 1.83 | 7.13e-01 | 1.00e+00 | 3LGALS3, EZR, NPNT |
180 |
GSE37301_PRO_BCELL_VS_RAG2_KO_NK_CELL_UP | 5.20e-03 | 9.18 | 1.81 | 7.13e-01 | 1.00e+00 | 3LGALS3, EZR, NPNT |
182 |
GSE22045_TREG_VS_TCONV_UP | 5.77e-03 | 8.84 | 1.74 | 7.13e-01 | 1.00e+00 | 3LHX9, COL9A3, PKHD1L1 |
189 |
GSE8515_CTRL_VS_IL6_4H_STIM_MAC_DN | 6.28e-03 | 8.56 | 1.69 | 7.13e-01 | 1.00e+00 | 3UPK3B, TNNI1, COL9A3 |
195 |
GSE46242_CTRL_VS_EGR2_DELETED_TH1_CD4_TCELL_DN | 6.28e-03 | 8.56 | 1.69 | 7.13e-01 | 1.00e+00 | 3SLC34A2, HHIP, LINC00842 |
195 |
GSE21927_SPLEEN_MONOCYTE_VS_GMCSF_GCSF_BONE_MARROW_DN | 6.37e-03 | 8.52 | 1.68 | 7.13e-01 | 1.00e+00 | 3C21orf62, S100A10, PKHD1L1 |
196 |
GSE360_L_MAJOR_VS_T_GONDII_DC_UP | 6.46e-03 | 8.47 | 1.67 | 7.13e-01 | 1.00e+00 | 3CA9, KLK11, KRT8 |
197 |
GSE22886_TH1_VS_TH2_48H_ACT_UP | 6.55e-03 | 8.43 | 1.66 | 7.13e-01 | 1.00e+00 | 3LGALS3, BARX1, FLRT3 |
198 |
GSE29618_LAIV_VS_TIV_FLU_VACCINE_DAY7_BCELL_UP | 6.55e-03 | 8.43 | 1.66 | 7.13e-01 | 1.00e+00 | 3UPK3B, ID4, BARX1 |
198 |
GSE360_DC_VS_MAC_DN | 6.55e-03 | 8.43 | 1.66 | 7.13e-01 | 1.00e+00 | 3TNNT1, S100A10, SULF1 |
198 |
Top Ranked Transcription Factors for this Gene Expression Program:
Gene Symbol | TF Rank | DNA Binding Domain | Motif Status | IUPAC PWM | GTEx | DepMap | Decartes |
---|---|---|---|---|---|---|---|
BNC1 | 3 | Yes | Inferred motif | Monomer or homomultimer | In vivo/Misc source | None | None |
MYRF | 19 | Yes | Known motif | Monomer or homomultimer | High-throughput in vitro | None | Mouse ortholog binds a highly similar motif. |
ID4 | 35 | No | Unlikely to be sequence specific TF | Not a DNA binding protein | No motif | None | ID bHLH proteins lack the basic region and should not be able to bind DNA. The HT-SELEX motif for ID4 is likely by a co-precipitated protein or it is a contamination |
LHX9 | 38 | Yes | Known motif | Monomer or homomultimer | High-throughput in vitro | Has a putative AT-hook | None |
BARX1 | 41 | Yes | Known motif | Monomer or homomultimer | High-throughput in vitro | Has a putative AT-hook | None |
PKHD1L1 | 44 | No | Unlikely to be sequence specific TF | Not a DNA binding protein | No motif | None | Membrane receptor (PMID: 12620974) |
CYTL1 | 45 | No | Unlikely to be sequence specific TF | Not a DNA binding protein | No motif | None | None |
ANXA3 | 69 | No | Unlikely to be sequence specific TF | Not a DNA binding protein | No motif | None | Protein operates far upstream on the signaling cascade. |
WT1 | 93 | Yes | Known motif | Monomer or homomultimer | High-throughput in vitro | None | Crystal structure (PDB:2JP9) is with dsDNA GCGCAGACGCCCCCGCG, which is consistent with the PWMs |
KRT13 | 106 | No | Unlikely to be sequence specific TF | Not a DNA binding protein | No motif | None | Based on the alignments, the protein is only weakly related to the other bZIP proteins and lacks the basic region required for DNA binding |
PAWR | 134 | No | Unlikely to be sequence specific TF | Not a DNA binding protein | No motif | None | Protein that binds to several TFs such as PITX2 (PMID: 19801652) and appears to inactivate them |
TMEM235 | 145 | No | Unlikely to be sequence specific TF | Not a DNA binding protein | No motif | None | Transmembrane protein |
LMO4 | 147 | No | Unlikely to be sequence specific TF | Not a DNA binding protein | No motif | None | None |
DSP | 161 | No | Unlikely to be sequence specific TF | Not a DNA binding protein | No motif | None | None |
SFRP5 | 167 | No | Unlikely to be sequence specific TF | Not a DNA binding protein | No motif | None | None |
AEBP1 | 177 | Yes | Likely to be sequence specific TF | Monomer or homomultimer | No motif | None | This is a protease, but its ability to bind DNA is supported by both gel-shift (PMID: 15654748) and ChIP (PMID: 22723309). |
NPM1 | 220 | No | Unlikely to be sequence specific TF | Low specificity DNA-binding protein | No motif | None | No evidence for sequence-specific DNA-binding (PMID: 2223875) |
BMP4 | 226 | No | Unlikely to be sequence specific TF | Not a DNA binding protein | No motif | None | Likely a cofactor. |
RPL7 | 232 | No | Unlikely to be sequence specific TF | Low specificity DNA-binding protein | No motif | None | Binds DNA by filter binding (PMID: 8441630), but competition assays suggest it is non-specific. A specific dsRNA structure is thought to be the preferred substrate. RNA-binding has been demonstrated by gel-shift experiments (PMID: 10329420). |
ID1 | 255 | No | Unlikely to be sequence specific TF | Not a DNA binding protein | No motif | None | ID bHLH proteins lack the basic region and should not be able to bind DNA. The HT-SELEX motif for ID4 is likely by a co-precipitated protein or it is a contamination |
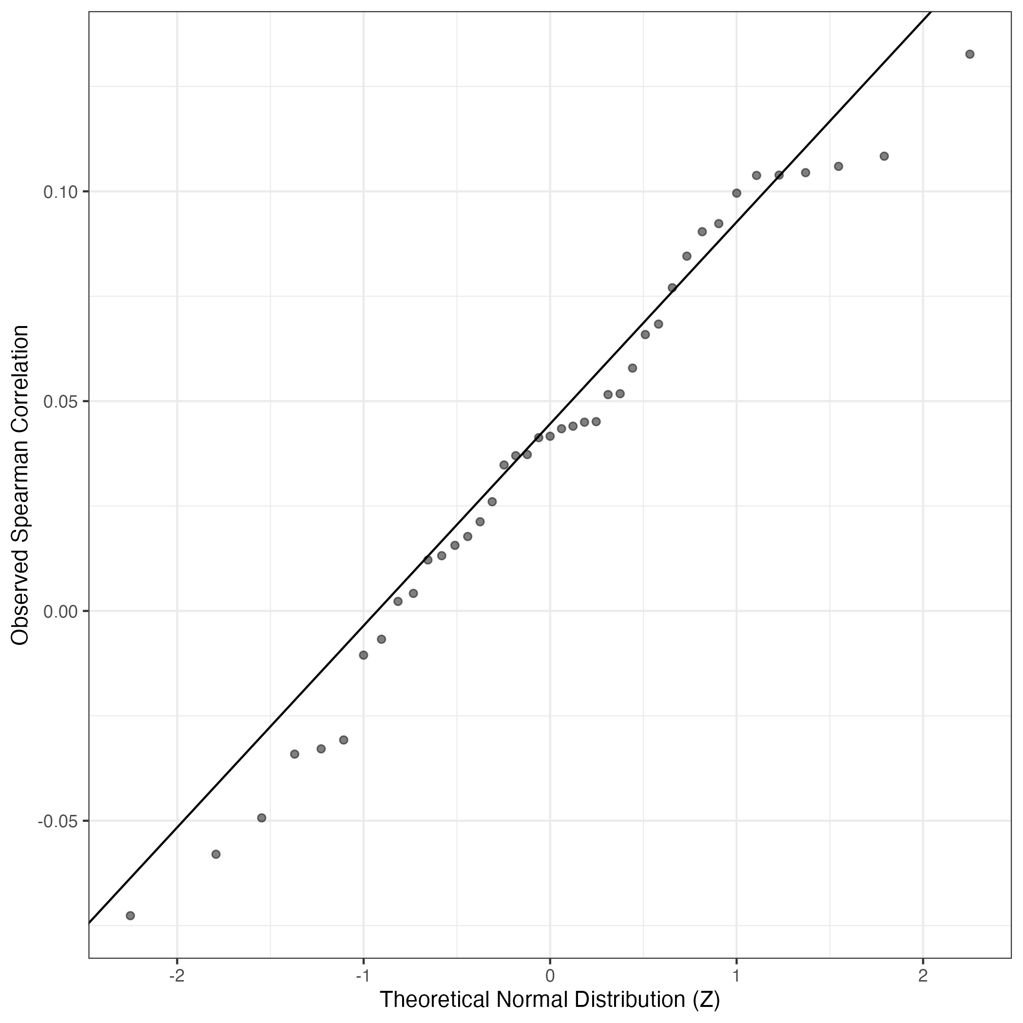
QQ Plot showing correlations with other GEPs in this dataset, calculated by Spearman correlation:
Interactive QQ-plot of gene loadings:
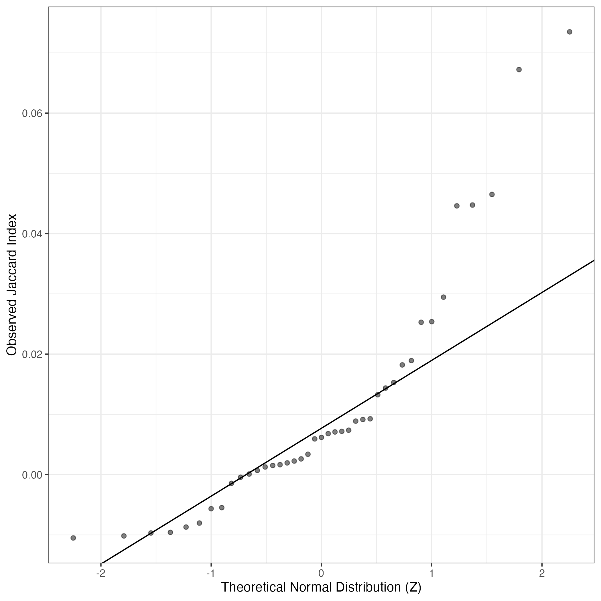
A similar QQ-plot as above, but only for instances where the H value is e.g. > 25, i.e. we are confident that the expression program is active above noise. Agreemenet between these binary vectors is tested using the Jaccard Index, with the P-values calculated by an exact test:
Interactive QQ-plot:
Singler cell type annotations for the top 50 cells on this program.
Cell ID | Singler label | Singler Delta | Activity Score | Top Singler Raw Scores |
---|---|---|---|---|
R39_w9.5_AGCCACGTCACAATGC-1 | Smooth_muscle_cells:bronchial | 0.13 | 1185.06 | Raw ScoresiPS_cells:CRL2097_foreskin-derived:d20_hepatic_diff: 0.4, Fibroblasts:breast: 0.4, Smooth_muscle_cells:bronchial: 0.39, Smooth_muscle_cells:bronchial:vit_D: 0.39, iPS_cells:CRL2097_foreskin: 0.39, iPS_cells:adipose_stem_cells: 0.39, Smooth_muscle_cells:vascular: 0.39, Chondrocytes:MSC-derived: 0.38, MSC: 0.38, Smooth_muscle_cells:vascular:IL-17: 0.38 |
R39_w9.5_CTCTCGACAAATGAAC-1 | iPS_cells:CRL2097_foreskin-derived:d20_hepatic_diff | 0.19 | 1131.09 | Raw ScoresiPS_cells:CRL2097_foreskin-derived:d20_hepatic_diff: 0.45, Fibroblasts:breast: 0.44, iPS_cells:CRL2097_foreskin: 0.44, Smooth_muscle_cells:bronchial: 0.44, Smooth_muscle_cells:bronchial:vit_D: 0.44, Smooth_muscle_cells:vascular: 0.43, iPS_cells:adipose_stem_cells: 0.43, MSC: 0.42, Smooth_muscle_cells:vascular:IL-17: 0.42, iPS_cells:foreskin_fibrobasts: 0.42 |
R53a_w9.5_GGCTGTGTCATCTCTA-1 | Tissue_stem_cells:BM_MSC | 0.19 | 1032.34 | Raw ScoresFibroblasts:breast: 0.51, iPS_cells:adipose_stem_cells: 0.5, Smooth_muscle_cells:bronchial: 0.5, Smooth_muscle_cells:vascular: 0.5, iPS_cells:CRL2097_foreskin: 0.5, Chondrocytes:MSC-derived: 0.5, MSC: 0.5, Smooth_muscle_cells:vascular:IL-17: 0.49, Smooth_muscle_cells:bronchial:vit_D: 0.49, iPS_cells:foreskin_fibrobasts: 0.49 |
R39_w9.5_TAGGAGGTCCTTATCA-1 | iPS_cells:CRL2097_foreskin-derived:d20_hepatic_diff | 0.13 | 952.23 | Raw ScoresiPS_cells:CRL2097_foreskin-derived:d20_hepatic_diff: 0.44, Fibroblasts:breast: 0.43, iPS_cells:CRL2097_foreskin: 0.42, MSC: 0.42, iPS_cells:foreskin_fibrobasts: 0.42, Smooth_muscle_cells:bronchial: 0.42, iPS_cells:skin_fibroblast: 0.42, Fibroblasts:foreskin: 0.41, Smooth_muscle_cells:bronchial:vit_D: 0.41, iPS_cells:adipose_stem_cells: 0.41 |
R43_w6_GCTACCTTCTTGTGCC-1 | iPS_cells:CRL2097_foreskin-derived:d20_hepatic_diff | 0.23 | 919.60 | Raw ScoresiPS_cells:CRL2097_foreskin-derived:d20_hepatic_diff: 0.48, Neurons:ES_cell-derived_neural_precursor: 0.45, Smooth_muscle_cells:bronchial: 0.45, Smooth_muscle_cells:bronchial:vit_D: 0.45, Neuroepithelial_cell:ESC-derived: 0.45, iPS_cells:CRL2097_foreskin: 0.44, Fibroblasts:breast: 0.44, Tissue_stem_cells:CD326-CD56+: 0.43, MSC: 0.43, Embryonic_stem_cells: 0.43 |
R53a_w9.5_TATTGGGCATTGACAC-1 | Tissue_stem_cells:BM_MSC | 0.17 | 840.61 | Raw ScoresFibroblasts:breast: 0.49, iPS_cells:CRL2097_foreskin: 0.49, iPS_cells:adipose_stem_cells: 0.48, Smooth_muscle_cells:bronchial: 0.48, iPS_cells:foreskin_fibrobasts: 0.48, Smooth_muscle_cells:bronchial:vit_D: 0.48, iPS_cells:CRL2097_foreskin-derived:d20_hepatic_diff: 0.48, Smooth_muscle_cells:vascular: 0.48, MSC: 0.47, Smooth_muscle_cells:vascular:IL-17: 0.47 |
R39_w9.5_CCACAAATCGTTCCCA-1 | iPS_cells:CRL2097_foreskin-derived:d20_hepatic_diff | 0.15 | 792.09 | Raw ScoresiPS_cells:CRL2097_foreskin-derived:d20_hepatic_diff: 0.39, Fibroblasts:breast: 0.38, Smooth_muscle_cells:bronchial: 0.37, Smooth_muscle_cells:bronchial:vit_D: 0.37, Chondrocytes:MSC-derived: 0.37, iPS_cells:CRL2097_foreskin: 0.37, iPS_cells:adipose_stem_cells: 0.37, Smooth_muscle_cells:vascular: 0.36, MSC: 0.36, Neuroepithelial_cell:ESC-derived: 0.36 |
R43_w6_CTTACCGGTCAGTTTG-1 | iPS_cells:CRL2097_foreskin-derived:d20_hepatic_diff | 0.20 | 754.32 | Raw ScoresNeuroepithelial_cell:ESC-derived: 0.52, Neurons:ES_cell-derived_neural_precursor: 0.52, iPS_cells:CRL2097_foreskin-derived:d20_hepatic_diff: 0.51, iPS_cells:PDB_1lox-17Puro-10: 0.51, iPS_cells:PDB_1lox-17Puro-5: 0.51, iPS_cells:PDB_1lox-21Puro-26: 0.5, Tissue_stem_cells:CD326-CD56+: 0.5, iPS_cells:PDB_1lox-21Puro-20: 0.5, Embryonic_stem_cells: 0.5, iPS_cells:PDB_2lox-22: 0.49 |
R39_w9.5_AGCGATTTCTCTCTTC-1 | iPS_cells:CRL2097_foreskin-derived:d20_hepatic_diff | 0.17 | 747.56 | Raw ScoresiPS_cells:CRL2097_foreskin-derived:d20_hepatic_diff: 0.42, Fibroblasts:breast: 0.41, Smooth_muscle_cells:bronchial: 0.41, Smooth_muscle_cells:bronchial:vit_D: 0.41, iPS_cells:CRL2097_foreskin: 0.41, Smooth_muscle_cells:vascular: 0.4, Chondrocytes:MSC-derived: 0.4, iPS_cells:adipose_stem_cells: 0.4, MSC: 0.4, Smooth_muscle_cells:vascular:IL-17: 0.4 |
R43_w6_CCAATGACAGACCGCT-1 | iPS_cells:CRL2097_foreskin-derived:d20_hepatic_diff | 0.20 | 695.60 | Raw ScoresiPS_cells:CRL2097_foreskin-derived:d20_hepatic_diff: 0.43, Neurons:ES_cell-derived_neural_precursor: 0.41, iPS_cells:CRL2097_foreskin: 0.4, Neuroepithelial_cell:ESC-derived: 0.4, Smooth_muscle_cells:bronchial: 0.39, Fibroblasts:breast: 0.39, Tissue_stem_cells:CD326-CD56+: 0.39, Smooth_muscle_cells:bronchial:vit_D: 0.39, iPS_cells:PDB_1lox-17Puro-5: 0.39, iPS_cells:PDB_1lox-17Puro-10: 0.39 |
R39_w9.5_TCCTCCCGTTTCTTAC-1 | Smooth_muscle_cells:bronchial | 0.21 | 663.69 | Raw ScoresSmooth_muscle_cells:bronchial: 0.44, Fibroblasts:breast: 0.44, iPS_cells:CRL2097_foreskin: 0.43, Smooth_muscle_cells:bronchial:vit_D: 0.43, iPS_cells:CRL2097_foreskin-derived:d20_hepatic_diff: 0.43, iPS_cells:adipose_stem_cells: 0.42, Smooth_muscle_cells:vascular: 0.42, Chondrocytes:MSC-derived: 0.42, iPS_cells:skin_fibroblast: 0.41, MSC: 0.41 |
R53c_w9.5_TCCAGAACAAGCTGCC-1 | iPS_cells:CRL2097_foreskin-derived:d20_hepatic_diff | 0.18 | 663.29 | Raw ScoresMSC: 0.49, Fibroblasts:foreskin: 0.47, Neuroepithelial_cell:ESC-derived: 0.47, iPS_cells:CRL2097_foreskin: 0.47, Neurons:ES_cell-derived_neural_precursor: 0.46, Fibroblasts:breast: 0.46, iPS_cells:foreskin_fibrobasts: 0.46, iPS_cells:CRL2097_foreskin-derived:d20_hepatic_diff: 0.46, iPS_cells:skin_fibroblast: 0.46, Tissue_stem_cells:CD326-CD56+: 0.46 |
R43_w6_GGTGAAGCATGTAACC-1 | iPS_cells:CRL2097_foreskin-derived:d20_hepatic_diff | 0.15 | 661.08 | Raw ScoresiPS_cells:CRL2097_foreskin-derived:d20_hepatic_diff: 0.41, Smooth_muscle_cells:bronchial: 0.39, iPS_cells:CRL2097_foreskin: 0.39, Fibroblasts:breast: 0.39, Smooth_muscle_cells:bronchial:vit_D: 0.39, iPS_cells:adipose_stem_cells: 0.39, MSC: 0.39, Tissue_stem_cells:CD326-CD56+: 0.38, Neuroepithelial_cell:ESC-derived: 0.38, iPS_cells:foreskin_fibrobasts: 0.38 |
R43_w6_AGAACCTGTATCGCAT-1 | iPS_cells:CRL2097_foreskin-derived:d20_hepatic_diff | 0.20 | 656.12 | Raw ScoresNeuroepithelial_cell:ESC-derived: 0.47, iPS_cells:CRL2097_foreskin-derived:d20_hepatic_diff: 0.47, Neurons:ES_cell-derived_neural_precursor: 0.47, Tissue_stem_cells:CD326-CD56+: 0.47, iPS_cells:PDB_1lox-17Puro-10: 0.46, iPS_cells:PDB_1lox-17Puro-5: 0.46, iPS_cells:PDB_1lox-21Puro-26: 0.46, Embryonic_stem_cells: 0.46, iPS_cells:PDB_1lox-21Puro-20: 0.45, iPS_cells:PDB_2lox-22: 0.45 |
R43_w6_CATTGAGTCTTCGTAT-1 | iPS_cells:CRL2097_foreskin-derived:d20_hepatic_diff | 0.20 | 645.89 | Raw ScoresiPS_cells:CRL2097_foreskin-derived:d20_hepatic_diff: 0.43, Neurons:ES_cell-derived_neural_precursor: 0.4, Neuroepithelial_cell:ESC-derived: 0.4, Smooth_muscle_cells:bronchial: 0.39, Embryonic_stem_cells: 0.39, iPS_cells:CRL2097_foreskin: 0.39, Tissue_stem_cells:CD326-CD56+: 0.39, iPS_cells:PDB_1lox-17Puro-10: 0.39, iPS_cells:PDB_1lox-17Puro-5: 0.38, Smooth_muscle_cells:bronchial:vit_D: 0.38 |
R43_w6_GGGCTCAGTACTGAGG-1 | iPS_cells:CRL2097_foreskin-derived:d20_hepatic_diff | 0.18 | 624.94 | Raw ScoresiPS_cells:CRL2097_foreskin-derived:d20_hepatic_diff: 0.45, Neuroepithelial_cell:ESC-derived: 0.45, Neurons:ES_cell-derived_neural_precursor: 0.44, Embryonic_stem_cells: 0.43, iPS_cells:PDB_1lox-17Puro-10: 0.43, iPS_cells:PDB_1lox-17Puro-5: 0.43, iPS_cells:CRL2097_foreskin-derived:undiff.: 0.42, iPS_cells:PDB_1lox-21Puro-26: 0.42, iPS_cells:PDB_2lox-5: 0.42, iPS_cells:PDB_2lox-22: 0.42 |
R53a_w9.5_TAGATCGAGCACGGAT-1 | Smooth_muscle_cells:vascular | 0.19 | 616.16 | Raw ScoresFibroblasts:breast: 0.46, iPS_cells:CRL2097_foreskin: 0.45, iPS_cells:adipose_stem_cells: 0.45, Smooth_muscle_cells:vascular: 0.45, MSC: 0.45, Smooth_muscle_cells:vascular:IL-17: 0.45, Smooth_muscle_cells:bronchial: 0.44, iPS_cells:foreskin_fibrobasts: 0.44, Fibroblasts:foreskin: 0.44, iPS_cells:CRL2097_foreskin-derived:d20_hepatic_diff: 0.44 |
R53c_w9.5_GGACGTCCAAGCGGAT-1 | Fibroblasts:breast | 0.19 | 605.92 | Raw ScoresFibroblasts:breast: 0.42, iPS_cells:CRL2097_foreskin: 0.42, Smooth_muscle_cells:bronchial: 0.41, Smooth_muscle_cells:vascular: 0.41, Chondrocytes:MSC-derived: 0.41, iPS_cells:adipose_stem_cells: 0.41, Smooth_muscle_cells:bronchial:vit_D: 0.41, Smooth_muscle_cells:vascular:IL-17: 0.41, MSC: 0.4, Osteoblasts: 0.4 |
R43_w6_AACCCAAAGCCTAGGA-1 | iPS_cells:CRL2097_foreskin-derived:d20_hepatic_diff | 0.19 | 605.13 | Raw ScoresiPS_cells:CRL2097_foreskin-derived:d20_hepatic_diff: 0.43, Neuroepithelial_cell:ESC-derived: 0.41, Neurons:ES_cell-derived_neural_precursor: 0.4, Embryonic_stem_cells: 0.39, iPS_cells:PDB_1lox-17Puro-10: 0.39, iPS_cells:PDB_1lox-17Puro-5: 0.39, iPS_cells:PDB_1lox-21Puro-26: 0.39, Tissue_stem_cells:CD326-CD56+: 0.39, iPS_cells:PDB_1lox-21Puro-20: 0.38, iPS_cells:PDB_2lox-5: 0.38 |
R39_w9.5_TGATCTTCAAATGAGT-1 | Endothelial_cells:HUVEC:VEGF | 0.12 | 593.30 | Raw ScoresiPS_cells:CRL2097_foreskin-derived:d20_hepatic_diff: 0.39, Fibroblasts:breast: 0.38, Smooth_muscle_cells:bronchial:vit_D: 0.38, iPS_cells:adipose_stem_cells: 0.38, Endothelial_cells:HUVEC:VEGF: 0.38, Smooth_muscle_cells:bronchial: 0.37, MSC: 0.37, iPS_cells:CRL2097_foreskin: 0.37, Tissue_stem_cells:CD326-CD56+: 0.37, Smooth_muscle_cells:vascular: 0.37 |
R43_w6_TACCGAAAGCTAGAGC-1 | iPS_cells:CRL2097_foreskin-derived:d20_hepatic_diff | 0.17 | 576.75 | Raw ScoresiPS_cells:CRL2097_foreskin-derived:d20_hepatic_diff: 0.42, Neuroepithelial_cell:ESC-derived: 0.39, Neurons:ES_cell-derived_neural_precursor: 0.38, Fibroblasts:breast: 0.38, iPS_cells:CRL2097_foreskin: 0.38, Tissue_stem_cells:CD326-CD56+: 0.38, MSC: 0.38, iPS_cells:PDB_1lox-17Puro-10: 0.38, Smooth_muscle_cells:bronchial:vit_D: 0.38, iPS_cells:PDB_1lox-17Puro-5: 0.38 |
R39_w9.5_GAGCTGCAGGCACTCC-1 | Smooth_muscle_cells:bronchial | 0.15 | 566.74 | Raw ScoresFibroblasts:breast: 0.39, Smooth_muscle_cells:bronchial: 0.39, Smooth_muscle_cells:bronchial:vit_D: 0.38, iPS_cells:CRL2097_foreskin-derived:d20_hepatic_diff: 0.38, iPS_cells:adipose_stem_cells: 0.38, iPS_cells:CRL2097_foreskin: 0.38, MSC: 0.37, iPS_cells:foreskin_fibrobasts: 0.37, Chondrocytes:MSC-derived: 0.37, Smooth_muscle_cells:vascular: 0.37 |
R43_w6_GCATTAGCATCTTAGG-1 | iPS_cells:CRL2097_foreskin-derived:d20_hepatic_diff | 0.18 | 549.85 | Raw ScoresiPS_cells:CRL2097_foreskin-derived:d20_hepatic_diff: 0.43, Neuroepithelial_cell:ESC-derived: 0.4, Neurons:ES_cell-derived_neural_precursor: 0.39, Embryonic_stem_cells: 0.38, iPS_cells:CRL2097_foreskin: 0.38, MSC: 0.38, Fibroblasts:breast: 0.38, Tissue_stem_cells:CD326-CD56+: 0.38, iPS_cells:PDB_1lox-17Puro-5: 0.38, iPS_cells:PDB_1lox-17Puro-10: 0.38 |
R43_w6_CAATACGAGCGGATCA-1 | iPS_cells:CRL2097_foreskin-derived:d20_hepatic_diff | 0.19 | 514.77 | Raw ScoresiPS_cells:CRL2097_foreskin-derived:d20_hepatic_diff: 0.43, Neurons:ES_cell-derived_neural_precursor: 0.41, Neuroepithelial_cell:ESC-derived: 0.4, Embryonic_stem_cells: 0.39, iPS_cells:PDB_1lox-17Puro-10: 0.39, iPS_cells:PDB_1lox-17Puro-5: 0.39, iPS_cells:CRL2097_foreskin: 0.39, Fibroblasts:breast: 0.39, iPS_cells:PDB_1lox-21Puro-26: 0.39, Tissue_stem_cells:CD326-CD56+: 0.39 |
R43_w6_AGGTCATCACTAACCA-1 | iPS_cells:CRL2097_foreskin-derived:d20_hepatic_diff | 0.18 | 499.30 | Raw ScoresiPS_cells:CRL2097_foreskin-derived:d20_hepatic_diff: 0.5, Neuroepithelial_cell:ESC-derived: 0.48, Neurons:ES_cell-derived_neural_precursor: 0.48, iPS_cells:PDB_1lox-17Puro-10: 0.47, iPS_cells:PDB_1lox-17Puro-5: 0.47, Tissue_stem_cells:CD326-CD56+: 0.47, iPS_cells:PDB_1lox-21Puro-26: 0.47, Embryonic_stem_cells: 0.47, iPS_cells:PDB_1lox-21Puro-20: 0.46, iPS_cells:PDB_2lox-22: 0.46 |
R43_w6_ATCACTTCAAGTAGTA-1 | iPS_cells:CRL2097_foreskin-derived:d20_hepatic_diff | 0.19 | 486.97 | Raw ScoresiPS_cells:CRL2097_foreskin-derived:d20_hepatic_diff: 0.42, Neurons:ES_cell-derived_neural_precursor: 0.39, iPS_cells:CRL2097_foreskin: 0.39, Neuroepithelial_cell:ESC-derived: 0.39, Tissue_stem_cells:CD326-CD56+: 0.38, Smooth_muscle_cells:bronchial: 0.38, Smooth_muscle_cells:bronchial:vit_D: 0.38, Fibroblasts:breast: 0.38, Smooth_muscle_cells:vascular: 0.37, MSC: 0.37 |
R43_w6_GTAATCGAGATACAGT-1 | iPS_cells:CRL2097_foreskin-derived:d20_hepatic_diff | 0.17 | 485.22 | Raw ScoresiPS_cells:CRL2097_foreskin-derived:d20_hepatic_diff: 0.44, Neurons:ES_cell-derived_neural_precursor: 0.41, Neuroepithelial_cell:ESC-derived: 0.41, Embryonic_stem_cells: 0.41, Tissue_stem_cells:CD326-CD56+: 0.4, iPS_cells:CRL2097_foreskin: 0.4, iPS_cells:PDB_1lox-17Puro-5: 0.4, iPS_cells:PDB_1lox-17Puro-10: 0.4, Smooth_muscle_cells:bronchial: 0.39, iPS_cells:CRL2097_foreskin-derived:undiff.: 0.39 |
R43_w6_ATGCATGAGGTCGAGT-1 | iPS_cells:CRL2097_foreskin-derived:d20_hepatic_diff | 0.20 | 479.03 | Raw ScoresNeuroepithelial_cell:ESC-derived: 0.47, iPS_cells:PDB_1lox-17Puro-10: 0.47, iPS_cells:PDB_1lox-17Puro-5: 0.47, iPS_cells:CRL2097_foreskin-derived:d20_hepatic_diff: 0.46, iPS_cells:PDB_1lox-21Puro-26: 0.46, Embryonic_stem_cells: 0.46, iPS_cells:PDB_1lox-21Puro-20: 0.46, iPS_cells:PDB_2lox-22: 0.46, Neurons:ES_cell-derived_neural_precursor: 0.46, Tissue_stem_cells:CD326-CD56+: 0.46 |
R43_w6_TCCACGTCAAATGAAC-1 | iPS_cells:CRL2097_foreskin-derived:d20_hepatic_diff | 0.18 | 477.40 | Raw ScoresiPS_cells:CRL2097_foreskin-derived:d20_hepatic_diff: 0.4, Neuroepithelial_cell:ESC-derived: 0.38, Neurons:ES_cell-derived_neural_precursor: 0.37, Embryonic_stem_cells: 0.36, iPS_cells:CRL2097_foreskin: 0.36, Smooth_muscle_cells:bronchial: 0.36, Smooth_muscle_cells:bronchial:vit_D: 0.36, Fibroblasts:breast: 0.36, MSC: 0.36, iPS_cells:PDB_1lox-17Puro-10: 0.36 |
R43_w6_TTTGGTTCAGTGTGCC-1 | iPS_cells:CRL2097_foreskin-derived:d20_hepatic_diff | 0.16 | 476.55 | Raw ScoresiPS_cells:CRL2097_foreskin-derived:d20_hepatic_diff: 0.44, Tissue_stem_cells:CD326-CD56+: 0.41, Neuroepithelial_cell:ESC-derived: 0.4, MSC: 0.4, Fibroblasts:breast: 0.4, iPS_cells:CRL2097_foreskin-derived:undiff.: 0.4, Embryonic_stem_cells: 0.39, iPS_cells:CRL2097_foreskin: 0.39, iPS_cells:adipose_stem_cells: 0.39, Neurons:Schwann_cell: 0.39 |
R43_w6_CAAAGAAAGGGATCAC-1 | iPS_cells:CRL2097_foreskin-derived:d20_hepatic_diff | 0.17 | 467.37 | Raw ScoresiPS_cells:CRL2097_foreskin-derived:d20_hepatic_diff: 0.44, Neurons:ES_cell-derived_neural_precursor: 0.42, Neuroepithelial_cell:ESC-derived: 0.42, Tissue_stem_cells:CD326-CD56+: 0.42, iPS_cells:CRL2097_foreskin: 0.41, Embryonic_stem_cells: 0.41, Fibroblasts:breast: 0.4, iPS_cells:PDB_1lox-17Puro-10: 0.4, iPS_cells:PDB_1lox-17Puro-5: 0.4, iPS_cells:CRL2097_foreskin-derived:undiff.: 0.4 |
R30_w8.5_TCCATGCCAGTTACCA-1 | Neuroepithelial_cell:ESC-derived | 0.17 | 436.68 | Raw ScoresNeuroepithelial_cell:ESC-derived: 0.41, iPS_cells:CRL2097_foreskin-derived:d20_hepatic_diff: 0.4, Fibroblasts:breast: 0.39, Neurons:ES_cell-derived_neural_precursor: 0.39, Embryonic_stem_cells: 0.39, MSC: 0.39, Neurons:Schwann_cell: 0.38, Smooth_muscle_cells:bronchial: 0.38, Smooth_muscle_cells:bronchial:vit_D: 0.38, iPS_cells:CRL2097_foreskin: 0.38 |
R53c_w9.5_GATTTCTCAGGATTCT-1 | Smooth_muscle_cells:bronchial | 0.20 | 431.27 | Raw ScoresiPS_cells:CRL2097_foreskin: 0.46, Fibroblasts:breast: 0.46, Smooth_muscle_cells:vascular:IL-17: 0.45, Smooth_muscle_cells:vascular: 0.45, MSC: 0.45, Smooth_muscle_cells:bronchial: 0.45, Smooth_muscle_cells:bronchial:vit_D: 0.44, iPS_cells:adipose_stem_cells: 0.44, iPS_cells:CRL2097_foreskin-derived:d20_hepatic_diff: 0.44, iPS_cells:foreskin_fibrobasts: 0.44 |
R43_w6_TGGTAGTAGGTGGGTT-1 | iPS_cells:CRL2097_foreskin-derived:d20_hepatic_diff | 0.19 | 426.43 | Raw ScoresiPS_cells:CRL2097_foreskin-derived:d20_hepatic_diff: 0.39, Neuroepithelial_cell:ESC-derived: 0.37, Neurons:ES_cell-derived_neural_precursor: 0.36, Smooth_muscle_cells:bronchial: 0.35, Fibroblasts:breast: 0.35, iPS_cells:CRL2097_foreskin: 0.35, Smooth_muscle_cells:bronchial:vit_D: 0.35, Embryonic_stem_cells: 0.35, iPS_cells:adipose_stem_cells: 0.35, Tissue_stem_cells:CD326-CD56+: 0.35 |
R43_w6_CAAGACTCACGGCTAC-1 | iPS_cells:CRL2097_foreskin-derived:d20_hepatic_diff | 0.21 | 414.80 | Raw ScoresiPS_cells:CRL2097_foreskin-derived:d20_hepatic_diff: 0.44, Neurons:ES_cell-derived_neural_precursor: 0.41, iPS_cells:CRL2097_foreskin: 0.4, Neuroepithelial_cell:ESC-derived: 0.4, Embryonic_stem_cells: 0.4, Fibroblasts:breast: 0.39, Smooth_muscle_cells:bronchial: 0.39, Smooth_muscle_cells:bronchial:vit_D: 0.39, Smooth_muscle_cells:vascular: 0.39, iPS_cells:PDB_1lox-17Puro-10: 0.39 |
R39_w9.5_AGGAATAGTGTTCGTA-1 | Fibroblasts:breast | 0.09 | 408.03 | Raw ScoresiPS_cells:CRL2097_foreskin-derived:d20_hepatic_diff: 0.34, Fibroblasts:breast: 0.33, Chondrocytes:MSC-derived: 0.33, iPS_cells:adipose_stem_cells: 0.32, Smooth_muscle_cells:bronchial:vit_D: 0.32, Smooth_muscle_cells:bronchial: 0.32, iPS_cells:CRL2097_foreskin: 0.32, Fibroblasts:foreskin: 0.32, MSC: 0.32, iPS_cells:foreskin_fibrobasts: 0.31 |
R53a_w9.5_AGACCATAGTTGCGCC-1 | Tissue_stem_cells:BM_MSC | 0.15 | 396.62 | Raw ScoresFibroblasts:breast: 0.44, iPS_cells:adipose_stem_cells: 0.43, MSC: 0.43, Chondrocytes:MSC-derived: 0.43, Smooth_muscle_cells:bronchial: 0.43, iPS_cells:CRL2097_foreskin: 0.42, iPS_cells:CRL2097_foreskin-derived:d20_hepatic_diff: 0.42, Smooth_muscle_cells:vascular: 0.42, Smooth_muscle_cells:bronchial:vit_D: 0.42, Smooth_muscle_cells:vascular:IL-17: 0.42 |
R43_w6_TGGTTAGTCATTTACC-1 | iPS_cells:CRL2097_foreskin-derived:d20_hepatic_diff | 0.14 | 381.74 | Raw ScoresiPS_cells:CRL2097_foreskin-derived:d20_hepatic_diff: 0.37, Neuroepithelial_cell:ESC-derived: 0.35, iPS_cells:CRL2097_foreskin: 0.34, Fibroblasts:breast: 0.34, Smooth_muscle_cells:bronchial: 0.34, Smooth_muscle_cells:bronchial:vit_D: 0.34, Embryonic_stem_cells: 0.34, Smooth_muscle_cells:vascular: 0.34, MSC: 0.34, Tissue_stem_cells:CD326-CD56+: 0.34 |
R43_w6_TAATCTCTCGGATACT-1 | iPS_cells:CRL2097_foreskin-derived:d20_hepatic_diff | 0.19 | 377.85 | Raw ScoresiPS_cells:CRL2097_foreskin-derived:d20_hepatic_diff: 0.42, Neurons:ES_cell-derived_neural_precursor: 0.39, MSC: 0.38, Tissue_stem_cells:CD326-CD56+: 0.38, iPS_cells:CRL2097_foreskin: 0.38, Neuroepithelial_cell:ESC-derived: 0.38, Fibroblasts:foreskin: 0.37, Smooth_muscle_cells:bronchial: 0.37, Embryonic_stem_cells: 0.37, iPS_cells:foreskin_fibrobasts: 0.37 |
R43_w6_GGGCCATAGACTTAAG-1 | iPS_cells:CRL2097_foreskin-derived:d20_hepatic_diff | 0.18 | 372.22 | Raw ScoresiPS_cells:CRL2097_foreskin-derived:d20_hepatic_diff: 0.41, Neuroepithelial_cell:ESC-derived: 0.39, Embryonic_stem_cells: 0.38, Neurons:ES_cell-derived_neural_precursor: 0.38, iPS_cells:CRL2097_foreskin-derived:undiff.: 0.37, iPS_cells:PDB_1lox-17Puro-10: 0.37, iPS_cells:PDB_1lox-17Puro-5: 0.37, iPS_cells:PDB_2lox-5: 0.37, Tissue_stem_cells:CD326-CD56+: 0.37, iPS_cells:PDB_1lox-21Puro-26: 0.37 |
R43_w6_TACCTCGAGGCGACAT-1 | iPS_cells:CRL2097_foreskin-derived:d20_hepatic_diff | 0.19 | 365.74 | Raw ScoresTissue_stem_cells:CD326-CD56+: 0.49, iPS_cells:CRL2097_foreskin-derived:d20_hepatic_diff: 0.49, Endothelial_cells:HUVEC:VEGF: 0.48, Endothelial_cells:HUVEC: 0.47, MSC: 0.47, Endothelial_cells:lymphatic:TNFa_48h: 0.47, Endothelial_cells:HUVEC:FPV-infected: 0.46, Endothelial_cells:lymphatic: 0.46, Endothelial_cells:HUVEC:IL-1b: 0.46, Neurons:ES_cell-derived_neural_precursor: 0.46 |
R53c_w9.5_CGAGGAACAGATCACT-1 | Smooth_muscle_cells:vascular | 0.17 | 362.13 | Raw ScoresiPS_cells:CRL2097_foreskin-derived:d20_hepatic_diff: 0.4, iPS_cells:CRL2097_foreskin: 0.39, Smooth_muscle_cells:bronchial: 0.39, Smooth_muscle_cells:bronchial:vit_D: 0.38, Fibroblasts:breast: 0.38, MSC: 0.38, Neurons:ES_cell-derived_neural_precursor: 0.38, Smooth_muscle_cells:vascular: 0.38, Smooth_muscle_cells:vascular:IL-17: 0.38, iPS_cells:adipose_stem_cells: 0.38 |
R43_w6_AAGGTAAAGCCTCTTC-1 | iPS_cells:CRL2097_foreskin-derived:d20_hepatic_diff | 0.16 | 352.15 | Raw ScoresiPS_cells:CRL2097_foreskin-derived:d20_hepatic_diff: 0.38, Neurons:ES_cell-derived_neural_precursor: 0.35, Neuroepithelial_cell:ESC-derived: 0.35, Tissue_stem_cells:CD326-CD56+: 0.35, Embryonic_stem_cells: 0.33, iPS_cells:PDB_1lox-17Puro-10: 0.33, iPS_cells:PDB_1lox-17Puro-5: 0.33, iPS_cells:PDB_1lox-21Puro-26: 0.33, iPS_cells:CRL2097_foreskin-derived:undiff.: 0.33, iPS_cells:CRL2097_foreskin: 0.33 |
R43_w6_CAGTGCGAGTCTAGCT-1 | Endothelial_cells:lymphatic | 0.14 | 348.84 | Raw ScoresEndothelial_cells:lymphatic: 0.43, Endothelial_cells:lymphatic:TNFa_48h: 0.43, Endothelial_cells:HUVEC: 0.43, Endothelial_cells:HUVEC:FPV-infected: 0.42, Endothelial_cells:HUVEC:VEGF: 0.42, Endothelial_cells:blood_vessel: 0.42, Endothelial_cells:HUVEC:Serum_Amyloid_A: 0.41, Endothelial_cells:HUVEC:B._anthracis_LT: 0.41, iPS_cells:CRL2097_foreskin-derived:d20_hepatic_diff: 0.41, Endothelial_cells:HUVEC:H5N1-infected: 0.41 |
R43_w6_TCAGTTTTCTGTGCTC-1 | iPS_cells:CRL2097_foreskin-derived:d20_hepatic_diff | 0.16 | 346.37 | Raw ScoresiPS_cells:CRL2097_foreskin-derived:d20_hepatic_diff: 0.39, Neuroepithelial_cell:ESC-derived: 0.37, Neurons:ES_cell-derived_neural_precursor: 0.37, Embryonic_stem_cells: 0.35, MSC: 0.35, iPS_cells:PDB_1lox-17Puro-10: 0.35, Tissue_stem_cells:CD326-CD56+: 0.35, iPS_cells:PDB_1lox-17Puro-5: 0.35, iPS_cells:CRL2097_foreskin-derived:undiff.: 0.35, iPS_cells:PDB_2lox-5: 0.35 |
R39_w9.5_GAAGCGATCCCATACC-1 | Smooth_muscle_cells:bronchial | 0.12 | 342.84 | Raw ScoresiPS_cells:CRL2097_foreskin-derived:d20_hepatic_diff: 0.35, Fibroblasts:breast: 0.34, Smooth_muscle_cells:bronchial: 0.34, Smooth_muscle_cells:vascular: 0.34, Smooth_muscle_cells:bronchial:vit_D: 0.34, iPS_cells:CRL2097_foreskin: 0.33, Chondrocytes:MSC-derived: 0.33, MSC: 0.33, Smooth_muscle_cells:vascular:IL-17: 0.33, iPS_cells:adipose_stem_cells: 0.33 |
R39_w9.5_GCAGCTGCACCGGTCA-1 | Smooth_muscle_cells:bronchial | 0.14 | 337.35 | Raw ScoresiPS_cells:CRL2097_foreskin-derived:d20_hepatic_diff: 0.38, Smooth_muscle_cells:bronchial: 0.37, Smooth_muscle_cells:bronchial:vit_D: 0.37, iPS_cells:CRL2097_foreskin: 0.37, Fibroblasts:breast: 0.36, Chondrocytes:MSC-derived: 0.36, iPS_cells:foreskin_fibrobasts: 0.36, Smooth_muscle_cells:vascular: 0.36, iPS_cells:adipose_stem_cells: 0.35, MSC: 0.35 |
R53a_w9.5_GTTGTGATCACTGTTT-1 | Tissue_stem_cells:BM_MSC | 0.16 | 330.40 | Raw ScoresFibroblasts:breast: 0.42, iPS_cells:adipose_stem_cells: 0.41, Smooth_muscle_cells:bronchial: 0.41, Chondrocytes:MSC-derived: 0.41, iPS_cells:CRL2097_foreskin: 0.41, Smooth_muscle_cells:bronchial:vit_D: 0.4, Smooth_muscle_cells:vascular: 0.4, Fibroblasts:foreskin: 0.4, MSC: 0.4, iPS_cells:foreskin_fibrobasts: 0.4 |
R43_w6_AGACTCACAAGATCCT-1 | Endothelial_cells:lymphatic | 0.15 | 330.02 | Raw ScoresiPS_cells:CRL2097_foreskin-derived:d20_hepatic_diff: 0.48, Endothelial_cells:lymphatic: 0.48, Endothelial_cells:HUVEC: 0.48, Endothelial_cells:HUVEC:VEGF: 0.48, Endothelial_cells:lymphatic:TNFa_48h: 0.48, Tissue_stem_cells:CD326-CD56+: 0.47, Endothelial_cells:HUVEC:FPV-infected: 0.46, Endothelial_cells:HUVEC:IL-1b: 0.46, Endothelial_cells:HUVEC:Serum_Amyloid_A: 0.46, Endothelial_cells:lymphatic:KSHV: 0.46 |
R48c_w8.5_AGTACCAGTCTAATCG-1 | MSC | 0.24 | 326.77 | Raw ScoresMSC: 0.48, iPS_cells:CRL2097_foreskin: 0.46, Neuroepithelial_cell:ESC-derived: 0.45, iPS_cells:skin_fibroblast: 0.45, Fibroblasts:foreskin: 0.45, iPS_cells:foreskin_fibrobasts: 0.45, Neurons:ES_cell-derived_neural_precursor: 0.45, Fibroblasts:breast: 0.45, iPS_cells:CRL2097_foreskin-derived:d20_hepatic_diff: 0.44, iPS_cells:PDB_fibroblasts: 0.44 |
Below shows the significant enrichments of this GEP for literature curated gene lists
This data was procured from existing single cell RNA-seq maps of neuroblastoma or related relevant data.
High ranks indicate this gene is a driver of this GEP.
These curated gene list are ranked by the P-value (on this GEP) of their constituent genes.
The Mean Count column shows the mean read count in cells scoring highly (H > 50) on this gene expression program.
Genes | Weight | Rank | GTEx | DepMap | Decartes | Mean.Counts | Mean.TPM |
---|---|---|---|---|---|---|---|
CYR61 | 0.0051916 | 61 | GTEx | DepMap | Descartes | 5.54 | NA |
CTGF | 0.0033406 | 132 | GTEx | DepMap | Descartes | 5.49 | NA |
CAV1 | 0.0031337 | 152 | GTEx | DepMap | Descartes | 5.12 | 241.76 |
TPM1 | 0.0011097 | 615 | GTEx | DepMap | Descartes | 12.71 | 502.80 |
RRAS | -0.0003388 | 24423 | GTEx | DepMap | Descartes | 1.23 | 147.71 |
Translation (Dong)
Markers obtained in computationally inferred meta program (by NMF applied to their neuroblastoma sc-RNA-seq data) from Fig. 5(a) of Dong et al. (PMID 32946775).:
Wilcoxon ranksum test P-value for gene set overrepresentation: 1.16e-02
Mean rank of genes in gene set: 3145.33
Rank on gene expression program of genes in gene set:
Genes | Weight | Rank | GTEx | DepMap | Decartes | Mean.Counts | Mean.TPM |
---|---|---|---|---|---|---|---|
EIF3E | 0.0011410 | 596 | GTEx | DepMap | Descartes | 8.97 | 606.33 |
EIF3F | 0.0007927 | 871 | GTEx | DepMap | Descartes | 5.45 | 94.10 |
EIF3L | 0.0000085 | 7969 | GTEx | DepMap | Descartes | 3.64 | 153.80 |
Antigen Presenting CAF
These marker genes were curated across cancer subtypes in multiple organ systems as reviewed in Lavie et. al. (PMID 35883004) and contain antigen presenting specific CAF genes:
Wilcoxon ranksum test P-value for gene set overrepresentation: 3.30e-02
Mean rank of genes in gene set: 9583.76
Rank on gene expression program of genes in gene set:
Genes | Weight | Rank | GTEx | DepMap | Decartes | Mean.Counts | Mean.TPM |
---|---|---|---|---|---|---|---|
UPK3B | 0.0244327 | 1 | GTEx | DepMap | Descartes | 3.00 | 221.87 |
KRT8 | 0.0144820 | 8 | GTEx | DepMap | Descartes | 12.79 | 652.59 |
MSLN | 0.0125793 | 12 | GTEx | DepMap | Descartes | 1.31 | 100.50 |
KRT19 | 0.0116047 | 14 | GTEx | DepMap | Descartes | 7.63 | 808.65 |
KRT18 | 0.0112456 | 15 | GTEx | DepMap | Descartes | 14.25 | 966.11 |
S100A10 | 0.0072731 | 31 | GTEx | DepMap | Descartes | 32.80 | 6657.96 |
SLPI | 0.0059110 | 48 | GTEx | DepMap | Descartes | 0.21 | 46.37 |
S100A13 | 0.0000701 | 5550 | GTEx | DepMap | Descartes | 2.66 | 159.56 |
S100A3 | -0.0000035 | 8758 | GTEx | DepMap | Descartes | 0.01 | 2.69 |
HLA-DRA | -0.0000065 | 9009 | GTEx | DepMap | Descartes | 0.16 | 141.93 |
HLA-DPA1 | -0.0000671 | 15242 | GTEx | DepMap | Descartes | 0.14 | 19.68 |
HLA-DQA1 | -0.0000871 | 16866 | GTEx | DepMap | Descartes | 0.01 | 0.07 |
CD74 | -0.0000965 | 17529 | GTEx | DepMap | Descartes | 0.24 | 70.59 |
CCL5 | -0.0001381 | 19869 | GTEx | DepMap | Descartes | 0.02 | 2.22 |
CCL19 | -0.0001999 | 22063 | GTEx | DepMap | Descartes | 0.00 | 0.00 |
S100A4 | -0.0002672 | 23495 | GTEx | DepMap | Descartes | 0.31 | 51.19 |
CD83 | -0.0003380 | 24414 | GTEx | DepMap | Descartes | 0.20 | 14.12 |
Below shows ranks on this GEP for literature curated gene lists for large gene sets
These include those reported as mesenchymal/adrenergic by Van Groningen et al.
High ranks indicate this gene is a driver of this GEP (note these results are not ordered).
The Mean Count column shows the mean read count in cells scoring highly (H > 50) on this gene expression program.
VanGroningen Adrenergic Genes
Adrenergic marker genes from Supplementary Table 2 of Van Groningen et al. Nature Genetics 2017. These genes were identified by differential expression analysis of mesenchymal-like and adrenergic-like neuroblastoma cell lines.
Wilcoxon ranksum test P-value for gene set overrepresentation: 1.00e+00
Mean rank of genes in gene set: 16609.34
Median rank of genes in gene set: 20810
Rank on gene expression program of top 30 genes in gene set:
Genes | Weight | Rank | GTEx | DepMap | Descartes | Mean.Counts | Mean.TPM |
---|---|---|---|---|---|---|---|
CXADR | 0.0045696 | 77 | GTEx | DepMap | Descartes | 1.58 | 47.09 |
REC8 | 0.0032404 | 144 | GTEx | DepMap | Descartes | 1.20 | 71.43 |
REEP1 | 0.0029609 | 174 | GTEx | DepMap | Descartes | 0.73 | 36.03 |
RAB33A | 0.0024915 | 239 | GTEx | DepMap | Descartes | 0.47 | 81.47 |
DAPK1 | 0.0023797 | 249 | GTEx | DepMap | Descartes | 1.43 | 40.67 |
C4orf48 | 0.0018892 | 344 | GTEx | DepMap | Descartes | 4.49 | 1403.81 |
LEPROTL1 | 0.0018571 | 350 | GTEx | DepMap | Descartes | 1.77 | 79.25 |
NSG1 | 0.0016445 | 400 | GTEx | DepMap | Descartes | 1.04 | NA |
KIF21A | 0.0015333 | 426 | GTEx | DepMap | Descartes | 1.69 | 42.05 |
PPM1E | 0.0013248 | 505 | GTEx | DepMap | Descartes | 0.30 | 8.85 |
NET1 | 0.0012107 | 555 | GTEx | DepMap | Descartes | 1.61 | 65.21 |
CD200 | 0.0011113 | 612 | GTEx | DepMap | Descartes | 0.83 | 58.34 |
EPB41L4A-AS1 | 0.0011035 | 619 | GTEx | DepMap | Descartes | 1.99 | 75.52 |
NCS1 | 0.0010472 | 656 | GTEx | DepMap | Descartes | 0.57 | 18.86 |
RNF150 | 0.0010250 | 670 | GTEx | DepMap | Descartes | 1.03 | 15.80 |
NPY | 0.0009513 | 720 | GTEx | DepMap | Descartes | 2.83 | 660.46 |
HAND2-AS1 | 0.0008894 | 771 | GTEx | DepMap | Descartes | 2.02 | NA |
CKB | 0.0007538 | 922 | GTEx | DepMap | Descartes | 4.12 | 534.54 |
CDC42EP3 | 0.0006608 | 1046 | GTEx | DepMap | Descartes | 2.02 | 48.26 |
PHPT1 | 0.0006055 | 1134 | GTEx | DepMap | Descartes | 5.57 | 552.96 |
CHML | 0.0005676 | 1212 | GTEx | DepMap | Descartes | 0.59 | 13.41 |
BEX2 | 0.0005593 | 1229 | GTEx | DepMap | Descartes | 1.55 | 223.55 |
KLHL23 | 0.0005532 | 1245 | GTEx | DepMap | Descartes | 0.88 | 35.92 |
FKBP4 | 0.0005398 | 1281 | GTEx | DepMap | Descartes | 1.36 | 52.50 |
FAM167A | 0.0005380 | 1284 | GTEx | DepMap | Descartes | 0.07 | 3.69 |
NUDT11 | 0.0005188 | 1333 | GTEx | DepMap | Descartes | 0.34 | 18.46 |
DKK1 | 0.0005100 | 1364 | GTEx | DepMap | Descartes | 0.27 | 17.56 |
OLA1 | 0.0004802 | 1445 | GTEx | DepMap | Descartes | 1.18 | 37.61 |
PIK3R1 | 0.0004603 | 1509 | GTEx | DepMap | Descartes | 1.80 | 43.87 |
GGCT | 0.0004573 | 1523 | GTEx | DepMap | Descartes | 1.12 | 111.57 |
VanGroningen Mesenchymal Genes
Mesenchymal marker genes from Supplementary Table 2 of Van Groningen et al. Nature Genetics 2017. These genes were identified by differential expression analysis of mesenchymal-like and adrenergic-like neuroblastoma cell lines.
Wilcoxon ranksum test P-value for gene set overrepresentation: 9.85e-01
Mean rank of genes in gene set: 13642.91
Median rank of genes in gene set: 16535
Rank on gene expression program of top 30 genes in gene set:
Genes | Weight | Rank | GTEx | DepMap | Descartes | Mean.Counts | Mean.TPM |
---|---|---|---|---|---|---|---|
CYR61 | 0.0051916 | 61 | GTEx | DepMap | Descartes | 5.54 | NA |
CCDC80 | 0.0051696 | 64 | GTEx | DepMap | Descartes | 3.88 | 51.62 |
CAPN6 | 0.0048491 | 70 | GTEx | DepMap | Descartes | 0.62 | 31.01 |
CFI | 0.0041708 | 88 | GTEx | DepMap | Descartes | 1.14 | 70.59 |
MGP | 0.0036728 | 111 | GTEx | DepMap | Descartes | 18.27 | 1584.42 |
AEBP1 | 0.0029307 | 177 | GTEx | DepMap | Descartes | 2.28 | 98.14 |
TPM2 | 0.0028429 | 188 | GTEx | DepMap | Descartes | 10.86 | 959.71 |
HTRA1 | 0.0027328 | 201 | GTEx | DepMap | Descartes | 1.05 | 98.03 |
PDGFC | 0.0026088 | 224 | GTEx | DepMap | Descartes | 0.93 | 34.86 |
PLEKHH2 | 0.0023835 | 248 | GTEx | DepMap | Descartes | 1.55 | 34.91 |
ID1 | 0.0023305 | 255 | GTEx | DepMap | Descartes | 12.18 | 1360.13 |
PTN | 0.0021580 | 296 | GTEx | DepMap | Descartes | 11.57 | 983.36 |
PPIC | 0.0021325 | 300 | GTEx | DepMap | Descartes | 1.62 | 163.28 |
PRDX6 | 0.0020515 | 314 | GTEx | DepMap | Descartes | 8.03 | 668.92 |
BNC2 | 0.0018694 | 347 | GTEx | DepMap | Descartes | 1.25 | 17.45 |
SHROOM3 | 0.0018526 | 352 | GTEx | DepMap | Descartes | 0.53 | 7.44 |
ATP2B4 | 0.0018196 | 360 | GTEx | DepMap | Descartes | 1.65 | 34.74 |
PCOLCE2 | 0.0017240 | 379 | GTEx | DepMap | Descartes | 0.37 | 34.36 |
ANXA1 | 0.0017171 | 380 | GTEx | DepMap | Descartes | 3.29 | 177.29 |
GAS1 | 0.0016916 | 391 | GTEx | DepMap | Descartes | 1.82 | 82.71 |
FAT1 | 0.0016547 | 397 | GTEx | DepMap | Descartes | 0.90 | 10.99 |
PALLD | 0.0015695 | 419 | GTEx | DepMap | Descartes | 1.65 | 44.50 |
ROR1 | 0.0014976 | 439 | GTEx | DepMap | Descartes | 1.20 | 31.40 |
FZD7 | 0.0014407 | 462 | GTEx | DepMap | Descartes | 0.67 | 25.39 |
COL11A1 | 0.0014305 | 466 | GTEx | DepMap | Descartes | 1.71 | 43.39 |
CFH | 0.0014263 | 469 | GTEx | DepMap | Descartes | 1.97 | 38.76 |
SPARC | 0.0014070 | 474 | GTEx | DepMap | Descartes | 22.22 | 953.67 |
BMP5 | 0.0013427 | 496 | GTEx | DepMap | Descartes | 0.46 | 23.25 |
SDC4 | 0.0013242 | 506 | GTEx | DepMap | Descartes | 0.66 | 45.65 |
SEL1L3 | 0.0013206 | 509 | GTEx | DepMap | Descartes | 0.31 | 11.68 |
Descartes adrenocortical markers
Top 50 marker genes of adrenocortical cells in the Decartes fetal adrenal single cell map (https://atlas.brotmanbaty.org/bbi/human-gene-expression-during-development/cell/adrenocortical/in/adrenal)
Wilcoxon ranksum test P-value for gene set overrepresentation: 1.00e+00
Mean rank of genes in gene set: 20942
Median rank of genes in gene set: 24301.5
Rank on gene expression program of top 30 genes in gene set:
Genes | Weight | Rank | GTEx | DepMap | Descartes | Mean.Counts | Mean.TPM |
---|---|---|---|---|---|---|---|
FREM2 | 0.0014516 | 458 | GTEx | DepMap | Descartes | 0.70 | 9.16 |
SGCZ | 0.0007854 | 879 | GTEx | DepMap | Descartes | 0.05 | 0.89 |
TM7SF2 | 0.0001410 | 3994 | GTEx | DepMap | Descartes | 0.88 | 56.17 |
PDE10A | 0.0000701 | 5549 | GTEx | DepMap | Descartes | 0.21 | 4.29 |
PEG3 | 0.0000507 | 6176 | GTEx | DepMap | Descartes | 2.42 | NA |
BAIAP2L1 | 0.0000169 | 7548 | GTEx | DepMap | Descartes | 0.10 | 4.78 |
FRMD5 | -0.0000131 | 9593 | GTEx | DepMap | Descartes | 0.02 | 0.68 |
SLC1A2 | -0.0001057 | 18142 | GTEx | DepMap | Descartes | 0.14 | 1.55 |
IGF1R | -0.0001098 | 18375 | GTEx | DepMap | Descartes | 0.73 | 13.12 |
DHCR7 | -0.0001171 | 18794 | GTEx | DepMap | Descartes | 0.33 | 13.42 |
SLC2A14 | -0.0001603 | 20802 | GTEx | DepMap | Descartes | 0.01 | 0.06 |
DNER | -0.0001707 | 21163 | GTEx | DepMap | Descartes | 0.05 | 13.80 |
LINC00473 | -0.0002030 | 22143 | GTEx | DepMap | Descartes | 0.15 | NA |
NPC1 | -0.0002304 | 22795 | GTEx | DepMap | Descartes | 0.07 | 2.17 |
ERN1 | -0.0002336 | 22862 | GTEx | DepMap | Descartes | 0.28 | 5.78 |
CYP21A2 | -0.0002626 | 23421 | GTEx | DepMap | Descartes | 0.03 | 4.67 |
SH3BP5 | -0.0002653 | 23460 | GTEx | DepMap | Descartes | 1.97 | 89.01 |
CYP17A1 | -0.0002711 | 23575 | GTEx | DepMap | Descartes | 0.10 | 9.00 |
SH3PXD2B | -0.0002888 | 23859 | GTEx | DepMap | Descartes | 0.13 | 2.74 |
MSMO1 | -0.0002941 | 23924 | GTEx | DepMap | Descartes | 1.11 | 69.40 |
SLC16A9 | -0.0003192 | 24228 | GTEx | DepMap | Descartes | 0.32 | 10.17 |
APOC1 | -0.0003222 | 24259 | GTEx | DepMap | Descartes | 2.25 | 255.46 |
CYP11B1 | -0.0003245 | 24277 | GTEx | DepMap | Descartes | 0.09 | 2.31 |
GSTA4 | -0.0003288 | 24326 | GTEx | DepMap | Descartes | 1.00 | 78.96 |
DHCR24 | -0.0003295 | 24337 | GTEx | DepMap | Descartes | 0.80 | 25.52 |
PAPSS2 | -0.0003435 | 24473 | GTEx | DepMap | Descartes | 0.26 | 8.72 |
SCAP | -0.0003492 | 24533 | GTEx | DepMap | Descartes | 0.33 | 12.31 |
MC2R | -0.0003494 | 24535 | GTEx | DepMap | Descartes | 0.03 | 0.68 |
JAKMIP2 | -0.0003531 | 24560 | GTEx | DepMap | Descartes | 0.14 | 2.10 |
CLU | -0.0003581 | 24607 | GTEx | DepMap | Descartes | 1.05 | 58.62 |
Descartes chromaffin markers
Top 50 marker genes of chromaffin cells in the Decartes fetal adrenal single cell map (https://atlas.brotmanbaty.org/bbi/human-gene-expression-during-development/cell/chromaffin/in/adrenal)
Wilcoxon ranksum test P-value for gene set overrepresentation: 1.00e+00
Mean rank of genes in gene set: 17459.18
Median rank of genes in gene set: 20597
Rank on gene expression program of top 30 genes in gene set:
Genes | Weight | Rank | GTEx | DepMap | Descartes | Mean.Counts | Mean.TPM |
---|---|---|---|---|---|---|---|
REEP1 | 0.0029609 | 174 | GTEx | DepMap | Descartes | 0.73 | 36.03 |
RYR2 | 0.0027397 | 200 | GTEx | DepMap | Descartes | 0.64 | 10.16 |
NPY | 0.0009513 | 720 | GTEx | DepMap | Descartes | 2.83 | 660.46 |
BASP1 | 0.0009077 | 755 | GTEx | DepMap | Descartes | 2.35 | 213.72 |
TMEM132C | 0.0004255 | 1655 | GTEx | DepMap | Descartes | 0.14 | 7.02 |
ISL1 | 0.0003995 | 1750 | GTEx | DepMap | Descartes | 0.56 | 45.58 |
FAT3 | 0.0002122 | 2969 | GTEx | DepMap | Descartes | 0.25 | 2.30 |
SLC44A5 | 0.0001436 | 3944 | GTEx | DepMap | Descartes | 0.02 | 0.43 |
MAB21L2 | -0.0000106 | 9353 | GTEx | DepMap | Descartes | 0.04 | 4.26 |
EPHA6 | -0.0000125 | 9551 | GTEx | DepMap | Descartes | 0.02 | 0.60 |
RPH3A | -0.0000501 | 13563 | GTEx | DepMap | Descartes | 0.01 | 0.17 |
PLXNA4 | -0.0000592 | 14480 | GTEx | DepMap | Descartes | 0.18 | 2.12 |
ANKFN1 | -0.0000740 | 15891 | GTEx | DepMap | Descartes | 0.00 | 0.00 |
GREM1 | -0.0001020 | 17892 | GTEx | DepMap | Descartes | 0.03 | 0.48 |
MARCH11 | -0.0001150 | 18677 | GTEx | DepMap | Descartes | 0.03 | NA |
HS3ST5 | -0.0001157 | 18712 | GTEx | DepMap | Descartes | 0.01 | 0.34 |
CNKSR2 | -0.0001248 | 19205 | GTEx | DepMap | Descartes | 0.07 | 1.70 |
ALK | -0.0001277 | 19338 | GTEx | DepMap | Descartes | 0.00 | 0.00 |
SYNPO2 | -0.0001358 | 19753 | GTEx | DepMap | Descartes | 0.40 | 4.08 |
HMX1 | -0.0001372 | 19823 | GTEx | DepMap | Descartes | 0.02 | 1.50 |
RBFOX1 | -0.0001424 | 20070 | GTEx | DepMap | Descartes | 0.05 | 1.69 |
KCNB2 | -0.0001444 | 20157 | GTEx | DepMap | Descartes | 0.03 | 0.88 |
PTCHD1 | -0.0001670 | 21037 | GTEx | DepMap | Descartes | 0.03 | 0.29 |
EYA4 | -0.0001863 | 21653 | GTEx | DepMap | Descartes | 0.01 | 0.20 |
NTRK1 | -0.0001906 | 21801 | GTEx | DepMap | Descartes | 0.02 | 0.94 |
GAL | -0.0001912 | 21815 | GTEx | DepMap | Descartes | 0.20 | 60.38 |
IL7 | -0.0001935 | 21883 | GTEx | DepMap | Descartes | 0.02 | 1.09 |
PRPH | -0.0001958 | 21939 | GTEx | DepMap | Descartes | 0.19 | 17.13 |
TMEFF2 | -0.0002045 | 22184 | GTEx | DepMap | Descartes | 0.02 | 0.86 |
STMN4 | -0.0002147 | 22447 | GTEx | DepMap | Descartes | 0.08 | 13.28 |
Descartes Vascular_endothelial markers
Top 50 marker genes of Vascular_endothelial cells in the Decartes fetal adrenal single cell map (https://atlas.brotmanbaty.org/bbi/human-gene-expression-during-development/cell/vascular_endothelial/in/adrenal)
Wilcoxon ranksum test P-value for gene set overrepresentation: 1.00e+00
Mean rank of genes in gene set: 20980.34
Median rank of genes in gene set: 24626.5
Rank on gene expression program of top 30 genes in gene set:
Genes | Weight | Rank | GTEx | DepMap | Descartes | Mean.Counts | Mean.TPM |
---|---|---|---|---|---|---|---|
ID1 | 0.0023305 | 255 | GTEx | DepMap | Descartes | 12.18 | 1360.13 |
PODXL | 0.0021601 | 295 | GTEx | DepMap | Descartes | 4.52 | 137.84 |
ARHGAP29 | 0.0008991 | 761 | GTEx | DepMap | Descartes | 2.78 | 53.73 |
TMEM88 | 0.0005152 | 1347 | GTEx | DepMap | Descartes | 2.55 | 419.64 |
EFNB2 | 0.0002895 | 2327 | GTEx | DepMap | Descartes | 2.01 | 57.83 |
TEK | 0.0000020 | 8375 | GTEx | DepMap | Descartes | 0.47 | 14.14 |
GALNT15 | -0.0000454 | 13041 | GTEx | DepMap | Descartes | 0.02 | NA |
ESM1 | -0.0001051 | 18110 | GTEx | DepMap | Descartes | 0.02 | 0.75 |
MYRIP | -0.0001212 | 19011 | GTEx | DepMap | Descartes | 0.01 | 0.53 |
NPR1 | -0.0001286 | 19387 | GTEx | DepMap | Descartes | 0.28 | 10.80 |
DNASE1L3 | -0.0001813 | 21496 | GTEx | DepMap | Descartes | 0.34 | 15.04 |
NR5A2 | -0.0002350 | 22889 | GTEx | DepMap | Descartes | 0.03 | 0.41 |
SLCO2A1 | -0.0002469 | 23131 | GTEx | DepMap | Descartes | 0.03 | 0.89 |
CEACAM1 | -0.0002896 | 23869 | GTEx | DepMap | Descartes | 0.05 | 1.03 |
FCGR2B | -0.0002900 | 23879 | GTEx | DepMap | Descartes | 0.02 | 0.32 |
BTNL9 | -0.0003081 | 24100 | GTEx | DepMap | Descartes | 0.03 | 2.37 |
CDH13 | -0.0003296 | 24338 | GTEx | DepMap | Descartes | 0.06 | 0.69 |
NOTCH4 | -0.0003304 | 24347 | GTEx | DepMap | Descartes | 0.09 | 1.23 |
FLT4 | -0.0003375 | 24408 | GTEx | DepMap | Descartes | 0.05 | 0.99 |
CYP26B1 | -0.0003379 | 24413 | GTEx | DepMap | Descartes | 0.10 | 2.32 |
RASIP1 | -0.0003396 | 24436 | GTEx | DepMap | Descartes | 0.45 | 17.48 |
RAMP2 | -0.0003423 | 24463 | GTEx | DepMap | Descartes | 3.20 | 473.50 |
F8 | -0.0003832 | 24790 | GTEx | DepMap | Descartes | 0.09 | 0.88 |
SOX18 | -0.0003899 | 24832 | GTEx | DepMap | Descartes | 0.21 | 8.54 |
CHRM3 | -0.0003976 | 24875 | GTEx | DepMap | Descartes | 0.02 | 0.50 |
ROBO4 | -0.0004210 | 25023 | GTEx | DepMap | Descartes | 0.05 | 0.93 |
CRHBP | -0.0004284 | 25050 | GTEx | DepMap | Descartes | 0.66 | 32.15 |
SHE | -0.0004324 | 25078 | GTEx | DepMap | Descartes | 0.08 | 0.90 |
IRX3 | -0.0004341 | 25089 | GTEx | DepMap | Descartes | 0.01 | 0.34 |
SHANK3 | -0.0004349 | 25094 | GTEx | DepMap | Descartes | 0.08 | 1.15 |
Descartes stromal markers
Top 50 marker genes of stromal cells in the Decartes fetal adrenal single cell map (https://atlas.brotmanbaty.org/bbi/human-gene-expression-during-development/cell/stromal/in/adrenal)
Wilcoxon ranksum test P-value for gene set overrepresentation: 1.00e+00
Mean rank of genes in gene set: 18971.1
Median rank of genes in gene set: 24976
Rank on gene expression program of top 30 genes in gene set:
Genes | Weight | Rank | GTEx | DepMap | Descartes | Mean.Counts | Mean.TPM |
---|---|---|---|---|---|---|---|
HHIP | 0.0124717 | 13 | GTEx | DepMap | Descartes | 7.62 | 133.96 |
CCDC80 | 0.0051696 | 64 | GTEx | DepMap | Descartes | 3.88 | 51.62 |
MGP | 0.0036728 | 111 | GTEx | DepMap | Descartes | 18.27 | 1584.42 |
SFRP2 | 0.0015648 | 421 | GTEx | DepMap | Descartes | 2.52 | 215.45 |
FNDC1 | 0.0005459 | 1264 | GTEx | DepMap | Descartes | 0.32 | 6.19 |
COL27A1 | 0.0003964 | 1759 | GTEx | DepMap | Descartes | 0.69 | 14.35 |
ZNF385D | 0.0003112 | 2197 | GTEx | DepMap | Descartes | 0.23 | 3.84 |
PRICKLE1 | 0.0001822 | 3355 | GTEx | DepMap | Descartes | 1.05 | 23.93 |
LOX | 0.0001627 | 3631 | GTEx | DepMap | Descartes | 1.17 | 27.43 |
BICC1 | 0.0000884 | 5041 | GTEx | DepMap | Descartes | 0.87 | 20.38 |
ADAMTS2 | 0.0000858 | 5098 | GTEx | DepMap | Descartes | 0.41 | 9.45 |
GAS2 | -0.0000332 | 11738 | GTEx | DepMap | Descartes | 0.05 | 1.71 |
GLI2 | -0.0000472 | 13253 | GTEx | DepMap | Descartes | 0.27 | 4.58 |
PAMR1 | -0.0000503 | 13591 | GTEx | DepMap | Descartes | 0.99 | 39.91 |
ACTA2 | -0.0000631 | 14838 | GTEx | DepMap | Descartes | 1.71 | 133.28 |
ABCA6 | -0.0001483 | 20319 | GTEx | DepMap | Descartes | 0.05 | 0.67 |
COL3A1 | -0.0001954 | 21930 | GTEx | DepMap | Descartes | 28.98 | 772.84 |
PCDH18 | -0.0002515 | 23218 | GTEx | DepMap | Descartes | 1.05 | 23.09 |
ELN | -0.0002755 | 23638 | GTEx | DepMap | Descartes | 2.24 | 64.23 |
LAMC3 | -0.0003058 | 24074 | GTEx | DepMap | Descartes | 0.06 | 0.93 |
ITGA11 | -0.0003290 | 24328 | GTEx | DepMap | Descartes | 0.06 | 0.54 |
DKK2 | -0.0003441 | 24481 | GTEx | DepMap | Descartes | 0.52 | 15.83 |
CCDC102B | -0.0003603 | 24627 | GTEx | DepMap | Descartes | 0.11 | 5.77 |
CLDN11 | -0.0003878 | 24819 | GTEx | DepMap | Descartes | 1.12 | 44.56 |
COL1A1 | -0.0004120 | 24976 | GTEx | DepMap | Descartes | 33.97 | 796.35 |
C7 | -0.0004974 | 25325 | GTEx | DepMap | Descartes | 2.20 | 38.12 |
OGN | -0.0005418 | 25444 | GTEx | DepMap | Descartes | 4.29 | 153.52 |
ABCC9 | -0.0005858 | 25525 | GTEx | DepMap | Descartes | 0.27 | 3.33 |
DCN | -0.0006356 | 25600 | GTEx | DepMap | Descartes | 13.69 | 244.62 |
CDH11 | -0.0006728 | 25635 | GTEx | DepMap | Descartes | 2.34 | 46.20 |
Descartes sympathoblasts markers
Top 50 marker genes of sympathoblasts cells in the Decartes fetal adrenal single cell map (https://atlas.brotmanbaty.org/bbi/human-gene-expression-during-development/cell/sympathoblasts/in/adrenal)
Wilcoxon ranksum test P-value for gene set overrepresentation: 9.98e-01
Mean rank of genes in gene set: 16178.14
Median rank of genes in gene set: 20570.5
Rank on gene expression program of top 30 genes in gene set:
Genes | Weight | Rank | GTEx | DepMap | Descartes | Mean.Counts | Mean.TPM |
---|---|---|---|---|---|---|---|
MGAT4C | 0.0008377 | 825 | GTEx | DepMap | Descartes | 0.53 | 3.17 |
C1QL1 | 0.0007533 | 923 | GTEx | DepMap | Descartes | 0.58 | 67.45 |
PACRG | 0.0005839 | 1177 | GTEx | DepMap | Descartes | 0.10 | 9.56 |
TBX20 | 0.0005181 | 1335 | GTEx | DepMap | Descartes | 0.05 | 4.84 |
SLC35F3 | 0.0004748 | 1464 | GTEx | DepMap | Descartes | 0.03 | 1.29 |
NTNG1 | 0.0003577 | 1925 | GTEx | DepMap | Descartes | 0.39 | 9.88 |
LAMA3 | 0.0003116 | 2196 | GTEx | DepMap | Descartes | 0.11 | 1.21 |
GRID2 | 0.0003107 | 2198 | GTEx | DepMap | Descartes | 0.27 | 6.04 |
SORCS3 | 0.0002543 | 2590 | GTEx | DepMap | Descartes | 0.08 | 3.01 |
CNTN3 | 0.0001600 | 3673 | GTEx | DepMap | Descartes | 0.10 | 3.31 |
CNTNAP5 | 0.0000965 | 4849 | GTEx | DepMap | Descartes | 0.02 | 0.61 |
TIAM1 | -0.0000183 | 10120 | GTEx | DepMap | Descartes | 0.55 | 13.98 |
CDH18 | -0.0000308 | 11487 | GTEx | DepMap | Descartes | 0.02 | 0.27 |
AGBL4 | -0.0000420 | 12651 | GTEx | DepMap | Descartes | 0.01 | 6.25 |
GALNTL6 | -0.0000593 | 14490 | GTEx | DepMap | Descartes | 0.01 | 0.16 |
KSR2 | -0.0000735 | 15844 | GTEx | DepMap | Descartes | 0.02 | 0.15 |
PNMT | -0.0000919 | 17207 | GTEx | DepMap | Descartes | 0.01 | 2.90 |
SPOCK3 | -0.0000969 | 17578 | GTEx | DepMap | Descartes | 0.05 | 2.67 |
KCTD16 | -0.0001097 | 18369 | GTEx | DepMap | Descartes | 0.02 | 0.23 |
PENK | -0.0001300 | 19457 | GTEx | DepMap | Descartes | 0.10 | 19.56 |
CDH12 | -0.0001344 | 19685 | GTEx | DepMap | Descartes | 0.02 | 0.51 |
TENM1 | -0.0001453 | 20185 | GTEx | DepMap | Descartes | 0.07 | NA |
TMEM130 | -0.0001645 | 20956 | GTEx | DepMap | Descartes | 0.02 | 0.84 |
PCSK2 | -0.0001687 | 21100 | GTEx | DepMap | Descartes | 0.03 | 2.13 |
SLC24A2 | -0.0001768 | 21356 | GTEx | DepMap | Descartes | 0.01 | 0.83 |
EML6 | -0.0001902 | 21786 | GTEx | DepMap | Descartes | 0.01 | 0.11 |
SCG2 | -0.0002007 | 22088 | GTEx | DepMap | Descartes | 0.16 | 29.78 |
ROBO1 | -0.0002102 | 22339 | GTEx | DepMap | Descartes | 0.75 | 16.53 |
CCSER1 | -0.0002398 | 22988 | GTEx | DepMap | Descartes | 0.05 | NA |
ST18 | -0.0002479 | 23146 | GTEx | DepMap | Descartes | 0.01 | 0.28 |
Descartes erythroblasts markers
Top 50 marker genes of erythroblasts cells in the Decartes fetal adrenal single cell map (https://atlas.brotmanbaty.org/bbi/human-gene-expression-during-development/cell/erythroblasts/in/adrenal)
Wilcoxon ranksum test P-value for gene set overrepresentation: 1.00e+00
Mean rank of genes in gene set: 20712.17
Median rank of genes in gene set: 23976
Rank on gene expression program of top 30 genes in gene set:
Genes | Weight | Rank | GTEx | DepMap | Descartes | Mean.Counts | Mean.TPM |
---|---|---|---|---|---|---|---|
SOX6 | 0.0022341 | 282 | GTEx | DepMap | Descartes | 1.30 | 28.75 |
SPECC1 | 0.0009392 | 731 | GTEx | DepMap | Descartes | 0.79 | 15.17 |
MICAL2 | 0.0002377 | 2724 | GTEx | DepMap | Descartes | 0.46 | 10.23 |
RGS6 | 0.0002178 | 2914 | GTEx | DepMap | Descartes | 0.16 | 3.86 |
MARCH3 | 0.0001099 | 4566 | GTEx | DepMap | Descartes | 0.45 | NA |
SLC25A21 | 0.0000914 | 4959 | GTEx | DepMap | Descartes | 0.06 | 1.80 |
DENND4A | 0.0000176 | 7518 | GTEx | DepMap | Descartes | 0.29 | 6.75 |
SELENBP1 | -0.0001162 | 18740 | GTEx | DepMap | Descartes | 0.65 | 33.89 |
GCLC | -0.0001163 | 18741 | GTEx | DepMap | Descartes | 0.26 | 13.90 |
TMEM56 | -0.0001374 | 19831 | GTEx | DepMap | Descartes | 0.31 | NA |
HBZ | -0.0001395 | 19940 | GTEx | DepMap | Descartes | 1.40 | 167.05 |
RHD | -0.0001434 | 20125 | GTEx | DepMap | Descartes | 0.01 | 0.22 |
GYPE | -0.0001839 | 21569 | GTEx | DepMap | Descartes | 0.01 | 0.77 |
EPB42 | -0.0001890 | 21752 | GTEx | DepMap | Descartes | 0.18 | 11.44 |
SPTB | -0.0002010 | 22093 | GTEx | DepMap | Descartes | 0.03 | 0.99 |
RAPGEF2 | -0.0002280 | 22744 | GTEx | DepMap | Descartes | 0.35 | 8.01 |
TMCC2 | -0.0002544 | 23277 | GTEx | DepMap | Descartes | 0.03 | 0.76 |
ABCB10 | -0.0002571 | 23324 | GTEx | DepMap | Descartes | 0.16 | 9.93 |
TFR2 | -0.0002697 | 23548 | GTEx | DepMap | Descartes | 0.01 | 0.12 |
XPO7 | -0.0002758 | 23646 | GTEx | DepMap | Descartes | 0.27 | 10.41 |
RHCE | -0.0002772 | 23666 | GTEx | DepMap | Descartes | 0.01 | 3.09 |
SNCA | -0.0002898 | 23874 | GTEx | DepMap | Descartes | 0.68 | 30.65 |
ANK1 | -0.0002918 | 23894 | GTEx | DepMap | Descartes | 0.05 | 2.31 |
SPTA1 | -0.0002944 | 23934 | GTEx | DepMap | Descartes | 0.02 | 0.28 |
RHAG | -0.0003014 | 24018 | GTEx | DepMap | Descartes | 0.06 | 6.06 |
HECTD4 | -0.0003019 | 24024 | GTEx | DepMap | Descartes | 0.35 | NA |
CR1L | -0.0003050 | 24063 | GTEx | DepMap | Descartes | 0.02 | 0.58 |
TSPAN5 | -0.0003112 | 24130 | GTEx | DepMap | Descartes | 0.26 | 11.12 |
CPOX | -0.0003213 | 24250 | GTEx | DepMap | Descartes | 0.37 | 26.19 |
SLC4A1 | -0.0003356 | 24382 | GTEx | DepMap | Descartes | 0.13 | 3.80 |
Descartes myeloid markers
Top 50 marker genes of myeloid cells in the Decartes fetal adrenal single cell map (https://atlas.brotmanbaty.org/bbi/human-gene-expression-during-development/cell/myeloid/in/adrenal)
Wilcoxon ranksum test P-value for gene set overrepresentation: 1.00e+00
Mean rank of genes in gene set: 18614.24
Median rank of genes in gene set: 20243.5
Rank on gene expression program of top 30 genes in gene set:
Genes | Weight | Rank | GTEx | DepMap | Descartes | Mean.Counts | Mean.TPM |
---|---|---|---|---|---|---|---|
SLC1A3 | 0.0004346 | 1617 | GTEx | DepMap | Descartes | 0.23 | 12.24 |
AXL | 0.0004118 | 1704 | GTEx | DepMap | Descartes | 0.93 | 29.71 |
SPP1 | 0.0001433 | 3949 | GTEx | DepMap | Descartes | 0.05 | 3.36 |
CTSD | 0.0001134 | 4499 | GTEx | DepMap | Descartes | 1.79 | 138.75 |
CST3 | 0.0000067 | 8076 | GTEx | DepMap | Descartes | 4.27 | 178.89 |
HLA-DRA | -0.0000065 | 9009 | GTEx | DepMap | Descartes | 0.16 | 141.93 |
MARCH1 | -0.0000180 | 10090 | GTEx | DepMap | Descartes | 0.03 | NA |
MS4A4E | -0.0000433 | 12825 | GTEx | DepMap | Descartes | 0.00 | 0.00 |
IFNGR1 | -0.0000578 | 14346 | GTEx | DepMap | Descartes | 0.59 | 46.57 |
HLA-DPA1 | -0.0000671 | 15242 | GTEx | DepMap | Descartes | 0.14 | 19.68 |
FGD2 | -0.0000727 | 15784 | GTEx | DepMap | Descartes | 0.01 | 0.28 |
MSR1 | -0.0000843 | 16673 | GTEx | DepMap | Descartes | 0.02 | 0.46 |
HCK | -0.0000874 | 16886 | GTEx | DepMap | Descartes | 0.01 | 0.25 |
CD74 | -0.0000965 | 17529 | GTEx | DepMap | Descartes | 0.24 | 70.59 |
LGMN | -0.0000976 | 17622 | GTEx | DepMap | Descartes | 0.55 | 33.47 |
C1QC | -0.0001211 | 19008 | GTEx | DepMap | Descartes | 0.05 | 27.16 |
MS4A4A | -0.0001227 | 19084 | GTEx | DepMap | Descartes | 0.01 | 0.67 |
CD163L1 | -0.0001301 | 19464 | GTEx | DepMap | Descartes | 0.00 | 0.00 |
SLCO2B1 | -0.0001313 | 19533 | GTEx | DepMap | Descartes | 0.03 | 0.70 |
MERTK | -0.0001327 | 19589 | GTEx | DepMap | Descartes | 0.16 | 6.51 |
C1QB | -0.0001344 | 19679 | GTEx | DepMap | Descartes | 0.13 | 37.03 |
CTSS | -0.0001357 | 19743 | GTEx | DepMap | Descartes | 0.01 | 0.09 |
VSIG4 | -0.0001376 | 19842 | GTEx | DepMap | Descartes | 0.02 | 1.15 |
ADAP2 | -0.0001428 | 20091 | GTEx | DepMap | Descartes | 0.00 | 0.00 |
MPEG1 | -0.0001441 | 20151 | GTEx | DepMap | Descartes | 0.00 | 0.00 |
MS4A6A | -0.0001488 | 20336 | GTEx | DepMap | Descartes | 0.11 | 9.94 |
CD163 | -0.0001524 | 20488 | GTEx | DepMap | Descartes | 0.07 | 1.59 |
C1QA | -0.0001585 | 20742 | GTEx | DepMap | Descartes | 0.17 | 78.35 |
WWP1 | -0.0001597 | 20781 | GTEx | DepMap | Descartes | 0.39 | 10.94 |
ATP8B4 | -0.0001625 | 20880 | GTEx | DepMap | Descartes | 0.00 | 0.00 |
Descartes Schwann markers
Top 50 marker genes of Schwann cells in the Decartes fetal adrenal single cell map (https://atlas.brotmanbaty.org/bbi/human-gene-expression-during-development/cell/schwann/in/adrenal)
Wilcoxon ranksum test P-value for gene set overrepresentation: 9.93e-01
Mean rank of genes in gene set: 15499.51
Median rank of genes in gene set: 19759
Rank on gene expression program of top 30 genes in gene set:
Genes | Weight | Rank | GTEx | DepMap | Descartes | Mean.Counts | Mean.TPM |
---|---|---|---|---|---|---|---|
PLCE1 | 0.0029212 | 179 | GTEx | DepMap | Descartes | 1.36 | 17.61 |
PTN | 0.0021580 | 296 | GTEx | DepMap | Descartes | 11.57 | 983.36 |
COL18A1 | 0.0018397 | 356 | GTEx | DepMap | Descartes | 2.42 | 62.90 |
PMP22 | 0.0015280 | 428 | GTEx | DepMap | Descartes | 4.07 | 325.04 |
SOX5 | 0.0010196 | 675 | GTEx | DepMap | Descartes | 0.37 | 12.07 |
LAMC1 | 0.0007408 | 936 | GTEx | DepMap | Descartes | 1.60 | 32.05 |
VIM | 0.0007356 | 946 | GTEx | DepMap | Descartes | 43.17 | 1896.20 |
ERBB4 | 0.0006231 | 1111 | GTEx | DepMap | Descartes | 0.36 | 5.12 |
ADAMTS5 | 0.0005603 | 1224 | GTEx | DepMap | Descartes | 0.72 | 11.68 |
LAMB1 | 0.0005197 | 1329 | GTEx | DepMap | Descartes | 1.92 | 58.62 |
PTPRZ1 | 0.0001320 | 4136 | GTEx | DepMap | Descartes | 0.14 | 3.71 |
EGFLAM | 0.0001241 | 4274 | GTEx | DepMap | Descartes | 0.38 | 9.18 |
IL1RAPL2 | 0.0001136 | 4495 | GTEx | DepMap | Descartes | 0.01 | 0.93 |
ABCA8 | 0.0000746 | 5424 | GTEx | DepMap | Descartes | 0.60 | 16.47 |
PPP2R2B | 0.0000693 | 5569 | GTEx | DepMap | Descartes | 0.05 | 0.88 |
STARD13 | 0.0000110 | 7846 | GTEx | DepMap | Descartes | 0.34 | 8.22 |
NRXN3 | -0.0000429 | 12771 | GTEx | DepMap | Descartes | 0.07 | 3.14 |
IL1RAPL1 | -0.0000450 | 13001 | GTEx | DepMap | Descartes | 0.08 | 3.08 |
MPZ | -0.0000479 | 13323 | GTEx | DepMap | Descartes | 0.02 | 1.65 |
MDGA2 | -0.0000819 | 16497 | GTEx | DepMap | Descartes | 0.01 | 0.27 |
LRRTM4 | -0.0001247 | 19187 | GTEx | DepMap | Descartes | 0.01 | 0.42 |
CDH19 | -0.0001268 | 19300 | GTEx | DepMap | Descartes | 0.01 | 0.10 |
SOX10 | -0.0001304 | 19481 | GTEx | DepMap | Descartes | 0.00 | 0.00 |
OLFML2A | -0.0001341 | 19669 | GTEx | DepMap | Descartes | 0.10 | 3.28 |
GRIK3 | -0.0001360 | 19759 | GTEx | DepMap | Descartes | 0.01 | 0.07 |
TRPM3 | -0.0001448 | 20172 | GTEx | DepMap | Descartes | 0.08 | 1.08 |
FIGN | -0.0001473 | 20267 | GTEx | DepMap | Descartes | 0.24 | 3.26 |
SCN7A | -0.0001633 | 20911 | GTEx | DepMap | Descartes | 0.17 | 3.35 |
XKR4 | -0.0001762 | 21337 | GTEx | DepMap | Descartes | 0.01 | 0.05 |
KCTD12 | -0.0001852 | 21622 | GTEx | DepMap | Descartes | 0.63 | 13.80 |
Descartes Megakaryocytes markers
Top 50 marker genes of Megakaryocytes cells in the Decartes fetal adrenal single cell map (https://atlas.brotmanbaty.org/bbi/human-gene-expression-during-development/cell/megakaryocytes/in/adrenal)
Wilcoxon ranksum test P-value for gene set overrepresentation: 1.00e+00
Mean rank of genes in gene set: 19109.18
Median rank of genes in gene set: 21269
Rank on gene expression program of top 30 genes in gene set:
Genes | Weight | Rank | GTEx | DepMap | Descartes | Mean.Counts | Mean.TPM |
---|---|---|---|---|---|---|---|
ARHGAP6 | 0.0012435 | 546 | GTEx | DepMap | Descartes | 0.49 | 12.13 |
LIMS1 | 0.0007905 | 874 | GTEx | DepMap | Descartes | 2.70 | 90.77 |
FLNA | 0.0004666 | 1487 | GTEx | DepMap | Descartes | 2.76 | 47.05 |
TPM4 | 0.0003382 | 2034 | GTEx | DepMap | Descartes | 6.08 | 162.76 |
ACTN1 | 0.0002726 | 2450 | GTEx | DepMap | Descartes | 1.16 | 33.43 |
ZYX | 0.0001608 | 3664 | GTEx | DepMap | Descartes | 0.73 | 48.45 |
TLN1 | -0.0000256 | 10915 | GTEx | DepMap | Descartes | 1.68 | 27.86 |
PPBP | -0.0000399 | 12432 | GTEx | DepMap | Descartes | 0.02 | 2.99 |
PF4 | -0.0000602 | 14574 | GTEx | DepMap | Descartes | 0.02 | 3.29 |
MMRN1 | -0.0000892 | 17028 | GTEx | DepMap | Descartes | 0.09 | 3.33 |
ITGA2B | -0.0000963 | 17523 | GTEx | DepMap | Descartes | 0.03 | 1.17 |
DOK6 | -0.0000980 | 17642 | GTEx | DepMap | Descartes | 0.12 | 2.45 |
PSTPIP2 | -0.0001021 | 17899 | GTEx | DepMap | Descartes | 0.08 | 5.80 |
GP9 | -0.0001104 | 18414 | GTEx | DepMap | Descartes | 0.00 | 0.00 |
TMSB4X | -0.0001239 | 19146 | GTEx | DepMap | Descartes | 34.50 | 2711.87 |
CD84 | -0.0001330 | 19607 | GTEx | DepMap | Descartes | 0.00 | 0.00 |
RAB27B | -0.0001357 | 19745 | GTEx | DepMap | Descartes | 0.06 | 2.49 |
GP1BA | -0.0001375 | 19836 | GTEx | DepMap | Descartes | 0.00 | 0.00 |
P2RX1 | -0.0001396 | 19944 | GTEx | DepMap | Descartes | 0.01 | 0.81 |
ITGB3 | -0.0001445 | 20162 | GTEx | DepMap | Descartes | 0.01 | 0.19 |
STON2 | -0.0001461 | 20211 | GTEx | DepMap | Descartes | 0.08 | 2.11 |
THBS1 | -0.0001521 | 20478 | GTEx | DepMap | Descartes | 0.57 | 9.44 |
INPP4B | -0.0001525 | 20494 | GTEx | DepMap | Descartes | 0.10 | 1.86 |
MCTP1 | -0.0001563 | 20656 | GTEx | DepMap | Descartes | 0.00 | 0.00 |
TUBB1 | -0.0001739 | 21269 | GTEx | DepMap | Descartes | 0.01 | 0.19 |
CD9 | -0.0001765 | 21344 | GTEx | DepMap | Descartes | 0.74 | 58.04 |
SLC24A3 | -0.0001855 | 21633 | GTEx | DepMap | Descartes | 0.06 | 2.79 |
PLEK | -0.0002040 | 22171 | GTEx | DepMap | Descartes | 0.04 | 2.71 |
PDE3A | -0.0002139 | 22424 | GTEx | DepMap | Descartes | 0.30 | 5.82 |
FERMT3 | -0.0002190 | 22529 | GTEx | DepMap | Descartes | 0.03 | 1.98 |
Descartes Lyphoid markers
Top 50 marker genes of Lyphoid cells in the Decartes fetal adrenal single cell map (https://atlas.brotmanbaty.org/bbi/human-gene-expression-during-development/cell/lymphoid/in/adrenal)
Wilcoxon ranksum test P-value for gene set overrepresentation: 1.00e+00
Mean rank of genes in gene set: 18588.17
Median rank of genes in gene set: 22933
Rank on gene expression program of top 30 genes in gene set:
Genes | Weight | Rank | GTEx | DepMap | Descartes | Mean.Counts | Mean.TPM |
---|---|---|---|---|---|---|---|
PITPNC1 | 0.0012975 | 519 | GTEx | DepMap | Descartes | 0.84 | 22.36 |
ARID5B | 0.0012911 | 524 | GTEx | DepMap | Descartes | 2.23 | 40.72 |
FOXP1 | 0.0009150 | 747 | GTEx | DepMap | Descartes | 1.56 | 32.94 |
MCTP2 | 0.0008607 | 795 | GTEx | DepMap | Descartes | 0.41 | 9.05 |
TMSB10 | 0.0004283 | 1647 | GTEx | DepMap | Descartes | 45.04 | 12860.75 |
ABLIM1 | 0.0002684 | 2473 | GTEx | DepMap | Descartes | 0.98 | 19.60 |
CELF2 | 0.0001525 | 3797 | GTEx | DepMap | Descartes | 0.59 | 11.09 |
BACH2 | 0.0001248 | 4267 | GTEx | DepMap | Descartes | 0.17 | 3.39 |
RAP1GAP2 | 0.0001045 | 4672 | GTEx | DepMap | Descartes | 0.10 | 2.42 |
TOX | 0.0000023 | 8360 | GTEx | DepMap | Descartes | 0.21 | 6.78 |
IFI16 | -0.0000233 | 10620 | GTEx | DepMap | Descartes | 1.77 | 62.41 |
LINC00299 | -0.0000257 | 10936 | GTEx | DepMap | Descartes | 0.00 | 0.00 |
RCSD1 | -0.0000992 | 17723 | GTEx | DepMap | Descartes | 0.16 | 3.19 |
LEF1 | -0.0000997 | 17759 | GTEx | DepMap | Descartes | 0.18 | 8.00 |
PDE3B | -0.0001183 | 18865 | GTEx | DepMap | Descartes | 0.11 | 3.00 |
CCL5 | -0.0001381 | 19869 | GTEx | DepMap | Descartes | 0.02 | 2.22 |
ANKRD44 | -0.0001714 | 21183 | GTEx | DepMap | Descartes | 0.39 | 9.30 |
SCML4 | -0.0001890 | 21754 | GTEx | DepMap | Descartes | 0.00 | 0.00 |
IKZF1 | -0.0001967 | 21966 | GTEx | DepMap | Descartes | 0.02 | 0.23 |
NKG7 | -0.0002108 | 22356 | GTEx | DepMap | Descartes | 0.00 | 0.00 |
CD44 | -0.0002122 | 22396 | GTEx | DepMap | Descartes | 0.44 | 13.92 |
PLEKHA2 | -0.0002210 | 22576 | GTEx | DepMap | Descartes | 0.31 | 6.86 |
ARHGAP15 | -0.0002324 | 22835 | GTEx | DepMap | Descartes | 0.01 | 0.29 |
SORL1 | -0.0002357 | 22907 | GTEx | DepMap | Descartes | 0.05 | 0.89 |
CCND3 | -0.0002380 | 22959 | GTEx | DepMap | Descartes | 0.61 | 37.59 |
SAMD3 | -0.0002495 | 23182 | GTEx | DepMap | Descartes | 0.03 | 0.81 |
STK39 | -0.0002500 | 23192 | GTEx | DepMap | Descartes | 0.24 | 14.23 |
PTPRC | -0.0002559 | 23302 | GTEx | DepMap | Descartes | 0.01 | 2.66 |
LCP1 | -0.0002638 | 23438 | GTEx | DepMap | Descartes | 0.05 | 1.03 |
SKAP1 | -0.0002805 | 23725 | GTEx | DepMap | Descartes | 0.00 | 0.00 |
Below shows the ranks on this GEP for immune marker gene lists curated by CellTypist (https://www.celltypist.org/encyclopedia).
High ranks indicate this gene is a driver of this GEP.
These curated gene list are ranked by P-value (on this GEP) of their constituent genes.
The Mean Count column shows the mean read count in cells scoring highly (H > 50) on this gene expression program.
Genes | Weight | Rank | GTEx | DepMap | Decartes | Mean.Counts | Mean.TPM |
---|---|---|---|---|---|---|---|
CDH3 | 0.0061012 | 47 | GTEx | DepMap | Descartes | 0.84 | 34.63 |
DSP | 0.0030525 | 161 | GTEx | DepMap | Descartes | 1.95 | 36.15 |
FOXN1 | 0.0007183 | 973 | GTEx | DepMap | Descartes | 0.00 | 0.00 |
WFDC2 | 0.0001223 | 4311 | GTEx | DepMap | Descartes | 0.55 | 99.37 |
ASCL1 | 0.0000487 | 6239 | GTEx | DepMap | Descartes | 0.08 | 3.45 |
TBATA | -0.0000536 | 13946 | GTEx | DepMap | Descartes | 0.00 | NA |
PAX1 | -0.0000681 | 15337 | GTEx | DepMap | Descartes | 0.00 | 0.00 |
FOXG1 | -0.0000763 | 16065 | GTEx | DepMap | Descartes | 0.00 | 0.00 |
COL17A1 | -0.0000873 | 16884 | GTEx | DepMap | Descartes | 0.00 | 0.00 |
HSC/MPP: ELP (model markers)
early lymphoid progenitors which originate from hematopoietic stem cells of the bone marrow and migrate to the thymus:
Wilcoxon ranksum test P-value for gene set overrepresentation: 1.08e-01
Mean rank of genes in gene set: 9144.67
Rank on gene expression program of genes in gene set:
Genes | Weight | Rank | GTEx | DepMap | Decartes | Mean.Counts | Mean.TPM |
---|---|---|---|---|---|---|---|
MIR1-1HG-AS1 | 0.0022560 | 276 | GTEx | DepMap | Descartes | 0.06 | NA |
FOXH1 | 0.0000759 | 5387 | GTEx | DepMap | Descartes | 0.00 | 0.00 |
REG1A | 0.0000165 | 7580 | GTEx | DepMap | Descartes | 0.00 | 0.00 |
KIAA0087 | -0.0000110 | 9399 | GTEx | DepMap | Descartes | 0.01 | 0.40 |
OSTN-AS1 | -0.0000339 | 11804 | GTEx | DepMap | Descartes | 0.00 | 0.00 |
GPIHBP1 | -0.0001508 | 20422 | GTEx | DepMap | Descartes | 0.01 | 0.13 |
No detectable expression in this dataset: IGHV5-78
HSC/MPP: MEMP (model markers)
shared progenitors which are derived from common myeloid progenitors and will differentiate into megakaryocytes:
Wilcoxon ranksum test P-value for gene set overrepresentation: 1.42e-01
Mean rank of genes in gene set: 9329.6
Rank on gene expression program of genes in gene set:
Genes | Weight | Rank | GTEx | DepMap | Decartes | Mean.Counts | Mean.TPM |
---|---|---|---|---|---|---|---|
FOXH1 | 7.59e-05 | 5387 | GTEx | DepMap | Descartes | 0.00 | 0.00 |
CALB2 | 4.46e-05 | 6397 | GTEx | DepMap | Descartes | 0.06 | 5.18 |
CTAG2 | 4.37e-05 | 6426 | GTEx | DepMap | Descartes | 0.00 | 0.00 |
LINC02206 | -3.50e-05 | 11899 | GTEx | DepMap | Descartes | 0.00 | NA |
OR2A25 | -8.25e-05 | 16539 | GTEx | DepMap | Descartes | 0.00 | 0.00 |