QQ-plot of gene loadings, averaged over both independent splits of the data
This plot highlights the relative contribution of each gene to the GEP
Top genes driving this program.
Note: Decartes website is buggy, try refreshing. Also, Decartes fetal adrenal data have been collected at specific time points (89-122 days), all possible cell types of interest may not be represented, do not overinterpret.
The Mean Count column shows the mean read count in cells scoring highly (H > 50) on this gene expression program.
Gene | Loading | Gene.Name | GTEx | DepMap | Descartes | Mean.Counts | Mean.Tpm | |
---|---|---|---|---|---|---|---|---|
1 | IRX2 | 0.0147929 | iroquois homeobox 2 | GTEx | DepMap | Descartes | 0.55 | 45.67 |
2 | SLC12A1 | 0.0135367 | solute carrier family 12 member 1 | GTEx | DepMap | Descartes | 0.79 | 23.49 |
3 | IRX1 | 0.0133109 | iroquois homeobox 1 | GTEx | DepMap | Descartes | 0.56 | 57.62 |
4 | PAPPA2 | 0.0128608 | pappalysin 2 | GTEx | DepMap | Descartes | 0.45 | 11.48 |
5 | ERBB4 | 0.0123298 | erb-b2 receptor tyrosine kinase 4 | GTEx | DepMap | Descartes | 1.10 | 21.90 |
6 | KCNJ1 | 0.0122816 | potassium inwardly rectifying channel subfamily J member 1 | GTEx | DepMap | Descartes | 0.10 | 5.25 |
7 | LINC01606 | 0.0122689 | long intergenic non-protein coding RNA 1606 | GTEx | DepMap | Descartes | 0.10 | NA |
8 | TFCP2L1 | 0.0119949 | transcription factor CP2 like 1 | GTEx | DepMap | Descartes | 0.44 | 11.86 |
9 | POU3F3 | 0.0116980 | POU class 3 homeobox 3 | GTEx | DepMap | Descartes | 0.93 | 51.01 |
10 | PAX2 | 0.0115325 | paired box 2 | GTEx | DepMap | Descartes | 4.31 | 291.44 |
11 | CD24 | 0.0113940 | CD24 molecule | GTEx | DepMap | Descartes | 9.37 | NA |
12 | SIM1 | 0.0108150 | SIM bHLH transcription factor 1 | GTEx | DepMap | Descartes | 0.58 | 14.66 |
13 | LHX1 | 0.0107562 | LIM homeobox 1 | GTEx | DepMap | Descartes | 2.76 | 173.87 |
14 | TMEM72 | 0.0106237 | transmembrane protein 72 | GTEx | DepMap | Descartes | 0.17 | 14.36 |
15 | CLDN10 | 0.0100524 | claudin 10 | GTEx | DepMap | Descartes | 0.40 | 32.34 |
16 | MAL | 0.0097661 | mal, T cell differentiation protein | GTEx | DepMap | Descartes | 1.30 | 259.89 |
17 | CASR | 0.0096572 | calcium sensing receptor | GTEx | DepMap | Descartes | 0.10 | 2.50 |
18 | PAX8 | 0.0095840 | paired box 8 | GTEx | DepMap | Descartes | 3.08 | 175.97 |
19 | HOXA10 | 0.0095819 | homeobox A10 | GTEx | DepMap | Descartes | 2.99 | 322.91 |
20 | UNCX | 0.0092792 | UNC homeobox | GTEx | DepMap | Descartes | 1.29 | 162.02 |
21 | LAMA1 | 0.0092576 | laminin subunit alpha 1 | GTEx | DepMap | Descartes | 0.69 | 16.09 |
22 | C5orf38 | 0.0091195 | chromosome 5 open reading frame 38 | GTEx | DepMap | Descartes | 0.13 | 22.44 |
23 | ATP6V0A4 | 0.0088036 | ATPase H+ transporting V0 subunit a4 | GTEx | DepMap | Descartes | 0.06 | 4.24 |
24 | HOXA9 | 0.0084859 | homeobox A9 | GTEx | DepMap | Descartes | 2.03 | 265.59 |
25 | SALL1 | 0.0083778 | spalt like transcription factor 1 | GTEx | DepMap | Descartes | 1.67 | 93.82 |
26 | TMPRSS4 | 0.0083011 | transmembrane serine protease 4 | GTEx | DepMap | Descartes | 0.15 | 6.90 |
27 | PTPN3 | 0.0082402 | protein tyrosine phosphatase non-receptor type 3 | GTEx | DepMap | Descartes | 0.61 | 16.49 |
28 | UGT8 | 0.0082223 | UDP glycosyltransferase 8 | GTEx | DepMap | Descartes | 0.27 | 16.49 |
29 | HOXB-AS3 | 0.0081431 | HOXB cluster antisense RNA 3 | GTEx | DepMap | Descartes | 0.95 | NA |
30 | ITGB6 | 0.0080903 | integrin subunit beta 6 | GTEx | DepMap | Descartes | 0.07 | 3.68 |
31 | LYPD1 | 0.0080042 | LY6/PLAUR domain containing 1 | GTEx | DepMap | Descartes | 2.56 | 177.11 |
32 | CLDN16 | 0.0079844 | claudin 16 | GTEx | DepMap | Descartes | 0.09 | 5.36 |
33 | MECOM | 0.0077649 | MDS1 and EVI1 complex locus | GTEx | DepMap | Descartes | 1.35 | 56.88 |
34 | HOXB9 | 0.0076408 | homeobox B9 | GTEx | DepMap | Descartes | 0.84 | 92.57 |
35 | DCDC2 | 0.0076009 | doublecortin domain containing 2 | GTEx | DepMap | Descartes | 1.54 | 71.81 |
36 | KCNJ16 | 0.0075760 | potassium inwardly rectifying channel subfamily J member 16 | GTEx | DepMap | Descartes | 0.36 | 19.70 |
37 | BMP7 | 0.0074489 | bone morphogenetic protein 7 | GTEx | DepMap | Descartes | 1.37 | 76.07 |
38 | EMX2 | 0.0071945 | empty spiracles homeobox 2 | GTEx | DepMap | Descartes | 2.32 | 182.47 |
39 | ESRRG | 0.0071495 | estrogen related receptor gamma | GTEx | DepMap | Descartes | 0.44 | 21.34 |
40 | TMEM213 | 0.0070378 | transmembrane protein 213 | GTEx | DepMap | Descartes | 0.10 | 6.49 |
41 | AC011298.1 | 0.0069867 | NA | GTEx | DepMap | Descartes | 0.22 | NA |
42 | HOXD11 | 0.0069035 | homeobox D11 | GTEx | DepMap | Descartes | 1.25 | 202.38 |
43 | SIM2 | 0.0067849 | SIM bHLH transcription factor 2 | GTEx | DepMap | Descartes | 0.19 | 10.83 |
44 | GRHL2 | 0.0067604 | grainyhead like transcription factor 2 | GTEx | DepMap | Descartes | 0.10 | 3.95 |
45 | WFDC2 | 0.0067258 | WAP four-disulfide core domain 2 | GTEx | DepMap | Descartes | 2.54 | 634.06 |
46 | ESRP1 | 0.0064083 | epithelial splicing regulatory protein 1 | GTEx | DepMap | Descartes | 0.18 | 9.69 |
47 | ETV4 | 0.0063725 | ETS variant transcription factor 4 | GTEx | DepMap | Descartes | 0.90 | 92.67 |
48 | TMEM52B | 0.0063642 | transmembrane protein 52B | GTEx | DepMap | Descartes | 0.40 | NA |
49 | HOXB3 | 0.0063608 | homeobox B3 | GTEx | DepMap | Descartes | 2.29 | 152.26 |
50 | HNF1B | 0.0063488 | HNF1 homeobox B | GTEx | DepMap | Descartes | 0.67 | 41.01 |
UMAP plots showing activity of gene expression program identified in GEP 11. Kidney:
Gene set Enrichments for this program, caculated from top 50 genes
mSigDB Cell Types Gene Set:
P-value | OR | Lower 95% CI | FDR | FWER | Genes Found | Gene Set Size | |
---|---|---|---|---|---|---|---|
MENON_FETAL_KIDNEY_2_NEPHRON_PROGENITOR_CELLS | 6.62e-19 | 189.10 | 77.77 | 1.48e-16 | 4.44e-16 | 10ERBB4, POU3F3, CD24, LHX1, MAL, HOXA10, MECOM, DCDC2, EMX2, HOXB3 |
44 |
MENON_FETAL_KIDNEY_8_CONNECTING_TUBULE_CELLS | 1.15e-23 | 58.12 | 30.29 | 7.06e-21 | 7.75e-21 | 18ERBB4, KCNJ1, TFCP2L1, POU3F3, CD24, LHX1, TMEM72, MAL, HOXA9, HOXB-AS3, MECOM, DCDC2, KCNJ16, EMX2, TMEM213, WFDC2, TMEM52B, HOXB3 |
267 |
MENON_FETAL_KIDNEY_7_LOOPOF_HENLE_CELLS_DISTAL | 2.10e-23 | 56.12 | 29.26 | 7.06e-21 | 1.41e-20 | 18IRX2, SLC12A1, PAPPA2, ERBB4, KCNJ1, TFCP2L1, POU3F3, CD24, TMEM72, CLDN10, MAL, UGT8, CLDN16, MECOM, DCDC2, KCNJ16, ESRRG, TMEM213 |
276 |
DESCARTES_FETAL_KIDNEY_METANEPHRIC_CELLS | 1.30e-11 | 39.51 | 16.57 | 1.74e-09 | 8.72e-09 | 9SLC12A1, IRX1, KCNJ1, CLDN10, CASR, UNCX, SALL1, LYPD1, SIM2 |
152 |
DESCARTES_FETAL_STOMACH_PDE1C_ACSM3_POSITIVE_CELLS | 1.02e-05 | 86.35 | 15.83 | 4.91e-04 | 6.87e-03 | 3ERBB4, TFCP2L1, ATP6V0A4 |
22 |
LAKE_ADULT_KIDNEY_C13_THICK_ASCENDING_LIMB | 1.53e-10 | 39.89 | 15.83 | 1.71e-08 | 1.03e-07 | 8SLC12A1, ERBB4, LINC01606, TFCP2L1, CASR, MECOM, KCNJ16, ESRRG |
131 |
DESCARTES_MAIN_FETAL_METANEPHRIC_CELLS | 1.44e-06 | 57.35 | 14.31 | 9.69e-05 | 9.69e-04 | 4SLC12A1, KCNJ1, HOXA9, LYPD1 |
43 |
MENON_FETAL_KIDNEY_6_COLLECTING_DUCT_CELLS | 2.71e-08 | 39.88 | 13.54 | 2.28e-06 | 1.82e-05 | 6LHX1, MAL, PAX8, MECOM, EMX2, WFDC2 |
94 |
DESCARTES_FETAL_PLACENTA_PAEP_MECOM_POSITIVE_CELLS | 1.15e-09 | 30.46 | 12.16 | 1.11e-07 | 7.75e-07 | 8PAX2, MAL, PAX8, TMPRSS4, UGT8, HOXB-AS3, DCDC2, WFDC2 |
169 |
LAKE_ADULT_KIDNEY_C12_THICK_ASCENDING_LIMB | 5.58e-12 | 22.04 | 10.40 | 9.36e-10 | 3.74e-09 | 12SLC12A1, KCNJ1, LINC01606, CD24, TMEM72, CLDN10, MAL, CASR, PTPN3, UGT8, ESRRG, SIM2 |
381 |
DESCARTES_FETAL_EYE_ASTROCYTES | 4.65e-05 | 49.71 | 9.44 | 1.76e-03 | 3.12e-02 | 3PAX2, PAX8, KCNJ16 |
36 |
LAKE_ADULT_KIDNEY_C14_DISTAL_CONVOLUTED_TUBULE | 1.41e-07 | 20.86 | 7.82 | 1.05e-05 | 9.44e-05 | 7ERBB4, CASR, MECOM, DCDC2, KCNJ16, ESRRG, TMEM52B |
208 |
DURANTE_ADULT_OLFACTORY_NEUROEPITHELIUM_SUSTENTACULAR_CELLS | 1.04e-04 | 37.33 | 7.17 | 3.49e-03 | 6.97e-02 | 3CLDN10, TMEM213, WFDC2 |
47 |
DESCARTES_FETAL_PANCREAS_DUCTAL_CELLS | 4.80e-06 | 23.24 | 7.09 | 2.57e-04 | 3.22e-03 | 5TMEM72, CLDN10, LAMA1, DCDC2, KCNJ16 |
128 |
HAY_BONE_MARROW_CD34_POS_HSC | 4.98e-06 | 23.06 | 7.03 | 2.57e-04 | 3.34e-03 | 5HOXA10, HOXA9, HOXB-AS3, MECOM, HOXB3 |
129 |
LAKE_ADULT_KIDNEY_C21_COLLECTING_DUCT_INTERCALATED_CELLS_TYPE_B | 4.71e-05 | 22.60 | 5.80 | 1.76e-03 | 3.16e-02 | 4TFCP2L1, ATP6V0A4, ESRRG, TMEM213 |
103 |
LAKE_ADULT_KIDNEY_C15_CONNECTING_TUBULE | 1.94e-05 | 17.23 | 5.27 | 8.69e-04 | 1.30e-02 | 5ERBB4, MECOM, DCDC2, KCNJ16, ESRRG |
171 |
LAKE_ADULT_KIDNEY_C18_COLLECTING_DUCT_PRINCIPAL_CELLS_MEDULLA | 2.56e-06 | 13.31 | 5.01 | 1.56e-04 | 1.72e-03 | 7CD24, MAL, MECOM, DCDC2, KCNJ16, TMEM213, WFDC2 |
322 |
AIZARANI_LIVER_C7_EPCAM_POS_BILE_DUCT_CELLS_2 | 6.27e-05 | 13.37 | 4.10 | 2.21e-03 | 4.21e-02 | 5CD24, CLDN10, DCDC2, KCNJ16, WFDC2 |
219 |
LAKE_ADULT_KIDNEY_C20_COLLECTING_DUCT_INTERCALATED_CELLS_TYPE_A_CORTEX | 2.11e-04 | 15.13 | 3.91 | 6.43e-03 | 1.42e-01 | 4TFCP2L1, ATP6V0A4, ESRRG, TMEM213 |
152 |
Dowload full table
mSigDB Hallmark Gene Sets:
P-value | OR | Lower 95% CI | FDR | FWER | Genes Found | Gene Set Size | |
---|---|---|---|---|---|---|---|
HALLMARK_APICAL_SURFACE | 3.29e-03 | 25.55 | 2.91 | 1.65e-01 | 1.65e-01 | 2MAL, ATP6V0A4 |
44 |
HALLMARK_KRAS_SIGNALING_UP | 5.67e-02 | 5.42 | 0.63 | 9.44e-01 | 1.00e+00 | 2HOXD11, ETV4 |
200 |
HALLMARK_KRAS_SIGNALING_DN | 5.67e-02 | 5.42 | 0.63 | 9.44e-01 | 1.00e+00 | 2TFCP2L1, CLDN16 |
200 |
HALLMARK_BILE_ACID_METABOLISM | 1.95e-01 | 4.74 | 0.12 | 1.00e+00 | 1.00e+00 | 1TFCP2L1 |
112 |
HALLMARK_IL2_STAT5_SIGNALING | 3.19e-01 | 2.66 | 0.07 | 1.00e+00 | 1.00e+00 | 1ETV4 |
199 |
HALLMARK_HYPOXIA | 3.20e-01 | 2.64 | 0.07 | 1.00e+00 | 1.00e+00 | 1HOXB9 |
200 |
HALLMARK_EPITHELIAL_MESENCHYMAL_TRANSITION | 3.20e-01 | 2.64 | 0.07 | 1.00e+00 | 1.00e+00 | 1LAMA1 |
200 |
HALLMARK_TNFA_SIGNALING_VIA_NFKB | 1.00e+00 | 0.00 | 0.00 | 1.00e+00 | 1.00e+00 | 0 |
200 |
HALLMARK_CHOLESTEROL_HOMEOSTASIS | 1.00e+00 | 0.00 | 0.00 | 1.00e+00 | 1.00e+00 | 0 |
74 |
HALLMARK_MITOTIC_SPINDLE | 1.00e+00 | 0.00 | 0.00 | 1.00e+00 | 1.00e+00 | 0 |
199 |
HALLMARK_WNT_BETA_CATENIN_SIGNALING | 1.00e+00 | 0.00 | 0.00 | 1.00e+00 | 1.00e+00 | 0 |
42 |
HALLMARK_TGF_BETA_SIGNALING | 1.00e+00 | 0.00 | 0.00 | 1.00e+00 | 1.00e+00 | 0 |
54 |
HALLMARK_IL6_JAK_STAT3_SIGNALING | 1.00e+00 | 0.00 | 0.00 | 1.00e+00 | 1.00e+00 | 0 |
87 |
HALLMARK_DNA_REPAIR | 1.00e+00 | 0.00 | 0.00 | 1.00e+00 | 1.00e+00 | 0 |
150 |
HALLMARK_G2M_CHECKPOINT | 1.00e+00 | 0.00 | 0.00 | 1.00e+00 | 1.00e+00 | 0 |
200 |
HALLMARK_APOPTOSIS | 1.00e+00 | 0.00 | 0.00 | 1.00e+00 | 1.00e+00 | 0 |
161 |
HALLMARK_NOTCH_SIGNALING | 1.00e+00 | 0.00 | 0.00 | 1.00e+00 | 1.00e+00 | 0 |
32 |
HALLMARK_ADIPOGENESIS | 1.00e+00 | 0.00 | 0.00 | 1.00e+00 | 1.00e+00 | 0 |
200 |
HALLMARK_ESTROGEN_RESPONSE_EARLY | 1.00e+00 | 0.00 | 0.00 | 1.00e+00 | 1.00e+00 | 0 |
200 |
HALLMARK_ESTROGEN_RESPONSE_LATE | 1.00e+00 | 0.00 | 0.00 | 1.00e+00 | 1.00e+00 | 0 |
200 |
Dowload full table
KEGG Pathways:
P-value | OR | Lower 95% CI | FDR | FWER | Genes Found | Gene Set Size | |
---|---|---|---|---|---|---|---|
KEGG_ECM_RECEPTOR_INTERACTION | 1.15e-02 | 13.08 | 1.52 | 1.00e+00 | 1.00e+00 | 2LAMA1, ITGB6 |
84 |
KEGG_LEUKOCYTE_TRANSENDOTHELIAL_MIGRATION | 2.11e-02 | 9.41 | 1.10 | 1.00e+00 | 1.00e+00 | 2CLDN10, CLDN16 |
116 |
KEGG_PATHWAYS_IN_CANCER | 2.43e-02 | 5.11 | 1.01 | 1.00e+00 | 1.00e+00 | 3PAX8, LAMA1, MECOM |
325 |
KEGG_TIGHT_JUNCTION | 2.68e-02 | 8.26 | 0.96 | 1.00e+00 | 1.00e+00 | 2CLDN10, CLDN16 |
132 |
KEGG_CELL_ADHESION_MOLECULES_CAMS | 2.72e-02 | 8.19 | 0.95 | 1.00e+00 | 1.00e+00 | 2CLDN10, CLDN16 |
133 |
KEGG_FOCAL_ADHESION | 5.62e-02 | 5.45 | 0.64 | 1.00e+00 | 1.00e+00 | 2LAMA1, ITGB6 |
199 |
KEGG_MATURITY_ONSET_DIABETES_OF_THE_YOUNG | 4.73e-02 | 21.89 | 0.52 | 1.00e+00 | 1.00e+00 | 1HNF1B |
25 |
KEGG_THYROID_CANCER | 5.46e-02 | 18.77 | 0.45 | 1.00e+00 | 1.00e+00 | 1PAX8 |
29 |
KEGG_SPHINGOLIPID_METABOLISM | 7.28e-02 | 13.83 | 0.33 | 1.00e+00 | 1.00e+00 | 1UGT8 |
39 |
KEGG_ALDOSTERONE_REGULATED_SODIUM_REABSORPTION | 7.81e-02 | 12.81 | 0.31 | 1.00e+00 | 1.00e+00 | 1KCNJ1 |
42 |
KEGG_VIBRIO_CHOLERAE_INFECTION | 9.93e-02 | 9.91 | 0.24 | 1.00e+00 | 1.00e+00 | 1ATP6V0A4 |
54 |
KEGG_HEDGEHOG_SIGNALING_PATHWAY | 1.03e-01 | 9.56 | 0.23 | 1.00e+00 | 1.00e+00 | 1BMP7 |
56 |
KEGG_EPITHELIAL_CELL_SIGNALING_IN_HELICOBACTER_PYLORI_INFECTION | 1.23e-01 | 7.85 | 0.19 | 1.00e+00 | 1.00e+00 | 1ATP6V0A4 |
68 |
KEGG_CHRONIC_MYELOID_LEUKEMIA | 1.32e-01 | 7.30 | 0.18 | 1.00e+00 | 1.00e+00 | 1MECOM |
73 |
KEGG_ARRHYTHMOGENIC_RIGHT_VENTRICULAR_CARDIOMYOPATHY_ARVC | 1.33e-01 | 7.20 | 0.18 | 1.00e+00 | 1.00e+00 | 1ITGB6 |
74 |
KEGG_HYPERTROPHIC_CARDIOMYOPATHY_HCM | 1.48e-01 | 6.41 | 0.16 | 1.00e+00 | 1.00e+00 | 1ITGB6 |
83 |
KEGG_SMALL_CELL_LUNG_CANCER | 1.50e-01 | 6.33 | 0.16 | 1.00e+00 | 1.00e+00 | 1LAMA1 |
84 |
KEGG_TGF_BETA_SIGNALING_PATHWAY | 1.53e-01 | 6.18 | 0.15 | 1.00e+00 | 1.00e+00 | 1BMP7 |
86 |
KEGG_ERBB_SIGNALING_PATHWAY | 1.55e-01 | 6.11 | 0.15 | 1.00e+00 | 1.00e+00 | 1ERBB4 |
87 |
KEGG_DILATED_CARDIOMYOPATHY | 1.60e-01 | 5.91 | 0.14 | 1.00e+00 | 1.00e+00 | 1ITGB6 |
90 |
Dowload full table
CHR Positional Gene Sets:
P-value | OR | Lower 95% CI | FDR | FWER | Genes Found | Gene Set Size | |
---|---|---|---|---|---|---|---|
chr5p15 | 5.77e-03 | 8.84 | 1.74 | 1.00e+00 | 1.00e+00 | 3IRX2, IRX1, C5orf38 |
189 |
chr7p15 | 1.48e-02 | 11.42 | 1.32 | 1.00e+00 | 1.00e+00 | 2HOXA10, HOXA9 |
96 |
chr17q21 | 1.11e-02 | 4.95 | 1.29 | 1.00e+00 | 1.00e+00 | 4HOXB-AS3, HOXB9, ETV4, HOXB3 |
457 |
chr17q12 | 3.11e-02 | 7.61 | 0.89 | 1.00e+00 | 1.00e+00 | 2LHX1, HNF1B |
143 |
chr8q22 | 3.51e-02 | 7.11 | 0.83 | 1.00e+00 | 1.00e+00 | 2GRHL2, ESRP1 |
153 |
chr2q14 | 3.56e-02 | 7.06 | 0.82 | 1.00e+00 | 1.00e+00 | 2TFCP2L1, PAX8 |
154 |
chr7q34 | 4.70e-02 | 6.03 | 0.70 | 1.00e+00 | 1.00e+00 | 2ATP6V0A4, TMEM213 |
180 |
chr3q28 | 5.65e-02 | 18.12 | 0.44 | 1.00e+00 | 1.00e+00 | 1CLDN16 |
30 |
chr20q13 | 1.77e-01 | 2.70 | 0.32 | 1.00e+00 | 1.00e+00 | 2BMP7, WFDC2 |
400 |
chr2q34 | 8.35e-02 | 11.94 | 0.29 | 1.00e+00 | 1.00e+00 | 1ERBB4 |
45 |
chr6q16 | 9.58e-02 | 10.31 | 0.25 | 1.00e+00 | 1.00e+00 | 1SIM1 |
52 |
chr4q26 | 9.76e-02 | 10.11 | 0.25 | 1.00e+00 | 1.00e+00 | 1UGT8 |
53 |
chr2q12 | 1.42e-01 | 6.74 | 0.17 | 1.00e+00 | 1.00e+00 | 1POU3F3 |
79 |
chr8q12 | 1.57e-01 | 6.04 | 0.15 | 1.00e+00 | 1.00e+00 | 1LINC01606 |
88 |
chr1q41 | 1.63e-01 | 5.78 | 0.14 | 1.00e+00 | 1.00e+00 | 1ESRRG |
92 |
chr17q24 | 1.66e-01 | 5.65 | 0.14 | 1.00e+00 | 1.00e+00 | 1KCNJ16 |
94 |
chr13q32 | 1.68e-01 | 5.59 | 0.14 | 1.00e+00 | 1.00e+00 | 1CLDN10 |
95 |
chr16q12 | 1.70e-01 | 5.53 | 0.14 | 1.00e+00 | 1.00e+00 | 1SALL1 |
96 |
chr6q21 | 2.03e-01 | 4.53 | 0.11 | 1.00e+00 | 1.00e+00 | 1CD24 |
117 |
chr7p22 | 2.09e-01 | 4.38 | 0.11 | 1.00e+00 | 1.00e+00 | 1UNCX |
121 |
Dowload full table
Transcription Factor Targets:
P-value | OR | Lower 95% CI | FDR | FWER | Genes Found | Gene Set Size | |
---|---|---|---|---|---|---|---|
NUP214_TARGET_GENES | 1.11e-06 | 204.35 | 33.90 | 1.30e-04 | 1.26e-03 | 3HOXA9, HOXB-AS3, HOXB3 |
11 |
HOXA3_01 | 3.29e-04 | 89.28 | 9.45 | 7.94e-03 | 3.73e-01 | 2SIM1, SALL1 |
14 |
OCT1_05 | 2.83e-08 | 19.86 | 7.97 | 2.63e-05 | 3.21e-05 | 8IRX2, HOXA10, C5orf38, HOXB9, ESRRG, HOXD11, HOXB3, HNF1B |
255 |
OCT1_Q6 | 4.64e-08 | 18.58 | 7.46 | 2.63e-05 | 5.25e-05 | 8IRX2, HOXA10, C5orf38, PTPN3, ESRRG, HOXD11, HOXB3, HNF1B |
272 |
OCT1_07 | 8.40e-07 | 21.67 | 7.44 | 1.19e-04 | 9.51e-04 | 6IRX2, HOXA10, C5orf38, SALL1, ESRRG, GRHL2 |
168 |
SPZ1_01 | 3.20e-07 | 18.39 | 6.91 | 8.34e-05 | 3.62e-04 | 7POU3F3, PAX2, PAX8, HOXA10, HOXA9, HOXB9, HNF1B |
235 |
BRN2_01 | 3.68e-07 | 17.99 | 6.76 | 8.34e-05 | 4.17e-04 | 7HOXA10, SALL1, MECOM, HOXB9, ESRRG, ETV4, HOXB3 |
240 |
HNF1_C | 4.70e-07 | 17.32 | 6.51 | 8.88e-05 | 5.33e-04 | 7KCNJ1, POU3F3, PAX2, HOXA10, EMX2, HOXB3, HNF1B |
249 |
YTTCCNNNGGAMR_UNKNOWN | 1.41e-04 | 33.52 | 6.46 | 4.23e-03 | 1.59e-01 | 3IRX2, C5orf38, ESRRG |
52 |
FREAC3_01 | 5.80e-07 | 16.77 | 6.30 | 9.40e-05 | 6.58e-04 | 7POU3F3, SIM1, HOXA10, HOXA9, ITGB6, ESRRG, ETV4 |
257 |
TFIII_Q6 | 2.80e-06 | 17.48 | 6.02 | 2.51e-04 | 3.17e-03 | 6POU3F3, PAX2, SALL1, EMX2, ESRRG, HOXD11 |
207 |
HFH8_01 | 2.88e-06 | 17.39 | 5.99 | 2.51e-04 | 3.26e-03 | 6SIM1, HOXA10, LYPD1, HOXB9, EMX2, ESRRG |
208 |
TATA_C | 1.15e-06 | 15.09 | 5.67 | 1.30e-04 | 1.30e-03 | 7CD24, SIM1, HOXA10, HOXA9, MECOM, HOXB9, ESRRG |
285 |
HP1SITEFACTOR_Q6 | 5.77e-06 | 15.34 | 5.29 | 4.36e-04 | 6.54e-03 | 6POU3F3, LHX1, HOXA9, MECOM, ESRRG, HOXB3 |
235 |
GCTNWTTGK_UNKNOWN | 2.00e-06 | 13.84 | 5.21 | 2.06e-04 | 2.26e-03 | 7POU3F3, LHX1, LAMA1, SALL1, HOXB9, ETV4, HOXB3 |
310 |
PIT1_Q6 | 6.35e-06 | 15.08 | 5.20 | 4.50e-04 | 7.19e-03 | 6PAX2, HOXA9, SALL1, HOXB9, ESRRG, HOXB3 |
239 |
HNF1_Q6 | 9.36e-06 | 14.05 | 4.85 | 6.16e-04 | 1.06e-02 | 6PAX2, CLDN10, HOXA10, HOXB9, HOXB3, HNF1B |
256 |
SREBP_Q3 | 9.78e-06 | 13.94 | 4.81 | 6.16e-04 | 1.11e-02 | 6KCNJ1, PAX2, LHX1, HOXA10, EMX2, GRHL2 |
258 |
TSHZ1_TARGET_GENES | 3.29e-05 | 15.39 | 4.71 | 1.43e-03 | 3.73e-02 | 5SIM1, HOXB-AS3, HOXB9, ETV4, HOXB3 |
191 |
OCT1_06 | 1.21e-05 | 13.40 | 4.63 | 6.86e-04 | 1.37e-02 | 6IRX2, ERBB4, PAX2, MECOM, HOXD11, HNF1B |
268 |
Dowload full table
GO Biological Processes:
P-value | OR | Lower 95% CI | FDR | FWER | Genes Found | Gene Set Size | |
---|---|---|---|---|---|---|---|
GOBP_POSITIVE_REGULATION_OF_EPITHELIAL_CELL_DIFFERENTIATION_INVOLVED_IN_KIDNEY_DEVELOPMENT | 4.34e-10 | 741.59 | 120.96 | 1.54e-07 | 3.24e-06 | 4PAX2, CD24, LHX1, PAX8 |
7 |
GOBP_PRONEPHROS_DEVELOPMENT | 8.66e-10 | 549.13 | 99.80 | 2.94e-07 | 6.48e-06 | 4PAX2, LHX1, PAX8, HNF1B |
8 |
GOBP_DISTAL_CONVOLUTED_TUBULE_DEVELOPMENT | 6.82e-08 | 803.97 | 90.74 | 1.06e-05 | 5.10e-04 | 3POU3F3, PAX2, PAX8 |
5 |
GOBP_MESENCHYMAL_STEM_CELL_MAINTENANCE_INVOLVED_IN_NEPHRON_MORPHOGENESIS | 6.82e-08 | 803.97 | 90.74 | 1.06e-05 | 5.10e-04 | 3PAX2, PAX8, BMP7 |
5 |
GOBP_NEGATIVE_REGULATION_OF_APOPTOTIC_PROCESS_INVOLVED_IN_DEVELOPMENT | 6.82e-08 | 803.97 | 90.74 | 1.06e-05 | 5.10e-04 | 3PAX2, PAX8, BMP7 |
5 |
GOBP_PATTERN_SPECIFICATION_INVOLVED_IN_KIDNEY_DEVELOPMENT | 1.56e-09 | 436.32 | 85.38 | 4.66e-07 | 1.16e-05 | 4IRX2, IRX1, PAX2, PAX8 |
9 |
GOBP_METANEPHRIC_DISTAL_TUBULE_DEVELOPMENT | 2.38e-07 | 406.69 | 58.21 | 3.12e-05 | 1.78e-03 | 3POU3F3, PAX2, PAX8 |
7 |
GOBP_NEGATIVE_REGULATION_OF_STEM_CELL_POPULATION_MAINTENANCE | 2.38e-07 | 406.69 | 58.21 | 3.12e-05 | 1.78e-03 | 3PAX2, PAX8, BMP7 |
7 |
GOBP_REGULATION_OF_SOMATIC_STEM_CELL_POPULATION_MAINTENANCE | 3.80e-07 | 323.42 | 49.28 | 4.66e-05 | 2.84e-03 | 3PAX2, PAX8, BMP7 |
8 |
GOBP_NEPHRON_TUBULE_EPITHELIAL_CELL_DIFFERENTIATION | 1.67e-08 | 202.51 | 45.42 | 3.79e-06 | 1.25e-04 | 4PAX2, CD24, LHX1, PAX8 |
15 |
GOBP_METANEPHRIC_RENAL_VESICLE_MORPHOGENESIS | 1.67e-08 | 202.51 | 45.42 | 3.79e-06 | 1.25e-04 | 4PAX2, LHX1, PAX8, SALL1 |
15 |
GOBP_NEGATIVE_REGULATION_OF_MESENCHYMAL_CELL_APOPTOTIC_PROCESS | 5.69e-07 | 273.35 | 42.81 | 6.87e-05 | 4.26e-03 | 3PAX2, PAX8, BMP7 |
9 |
GOBP_NEPHRON_TUBULE_FORMATION | 2.90e-08 | 171.47 | 39.27 | 5.30e-06 | 2.17e-04 | 4IRX2, IRX1, PAX2, PAX8 |
17 |
GOBP_REGULATION_OF_EPITHELIAL_CELL_DIFFERENTIATION_INVOLVED_IN_KIDNEY_DEVELOPMENT | 3.73e-08 | 159.24 | 36.84 | 6.48e-06 | 2.79e-04 | 4PAX2, CD24, LHX1, PAX8 |
18 |
GOBP_RENAL_VESICLE_DEVELOPMENT | 4.71e-08 | 148.27 | 34.64 | 8.01e-06 | 3.53e-04 | 4PAX2, LHX1, PAX8, SALL1 |
19 |
GOBP_RENAL_TUBULE_DEVELOPMENT | 1.40e-15 | 80.34 | 34.62 | 3.76e-12 | 1.05e-11 | 10IRX2, IRX1, POU3F3, PAX2, CD24, LHX1, PAX8, SALL1, HOXD11, HNF1B |
90 |
GOBP_METANEPHRIC_NEPHRON_DEVELOPMENT | 1.19e-10 | 106.09 | 34.62 | 4.96e-08 | 8.92e-07 | 6IRX2, IRX1, PAX2, LHX1, PAX8, SALL1 |
39 |
GOBP_OLFACTORY_BULB_INTERNEURON_DIFFERENTIATION | 1.11e-06 | 204.35 | 33.90 | 1.24e-04 | 8.34e-03 | 3ERBB4, UNCX, SALL1 |
11 |
GOBP_LOOP_OF_HENLE_DEVELOPMENT | 1.11e-06 | 204.35 | 33.90 | 1.24e-04 | 8.34e-03 | 3IRX2, IRX1, POU3F3 |
11 |
GOBP_REGULATION_OF_APOPTOTIC_PROCESS_INVOLVED_IN_DEVELOPMENT | 1.11e-06 | 204.35 | 33.90 | 1.24e-04 | 8.34e-03 | 3PAX2, PAX8, BMP7 |
11 |
Dowload full table
Immunological Gene Sets:
P-value | OR | Lower 95% CI | FDR | FWER | Genes Found | Gene Set Size | |
---|---|---|---|---|---|---|---|
GSE22886_IL2_VS_IL15_STIM_NKCELL_UP | 3.72e-05 | 14.98 | 4.59 | 6.64e-02 | 1.81e-01 | 5TFCP2L1, PAX2, CLDN10, ATP6V0A4, ESRP1 |
196 |
GSE22443_IL2_VS_IL12_TREATED_ACT_CD8_TCELL_UP | 3.99e-05 | 14.75 | 4.52 | 6.64e-02 | 1.95e-01 | 5CASR, LAMA1, TMPRSS4, CLDN16, HOXD11 |
199 |
GSE23502_BM_VS_COLON_TUMOR_HDC_KO_MYELOID_DERIVED_SUPPRESSOR_CELL_UP | 4.09e-05 | 14.68 | 4.50 | 6.64e-02 | 1.99e-01 | 5SIM1, TMEM72, DCDC2, TMEM52B, HNF1B |
200 |
GSE8515_CTRL_VS_IL6_4H_STIM_MAC_DN | 5.39e-04 | 11.73 | 3.04 | 4.81e-01 | 1.00e+00 | 4LHX1, MAL, ITGB6, MECOM |
195 |
GSE29618_PRE_VS_DAY7_FLU_VACCINE_PDC_UP | 5.81e-04 | 11.49 | 2.97 | 4.81e-01 | 1.00e+00 | 4TFCP2L1, LHX1, PTPN3, KCNJ16 |
199 |
GSE16385_ROSIGLITAZONE_IL4_VS_ROSIGLITAZONE_ALONE_STIM_MACROPHAGE_UP | 5.92e-04 | 11.43 | 2.96 | 4.81e-01 | 1.00e+00 | 4ATP6V0A4, ITGB6, BMP7, ESRP1 |
200 |
GSE6259_DEC205_POS_DC_VS_BCELL_UP | 3.45e-03 | 10.68 | 2.10 | 8.63e-01 | 1.00e+00 | 3HOXA10, UNCX, TMPRSS4 |
157 |
GSE13485_DAY1_VS_DAY7_YF17D_VACCINE_PBMC_UP | 5.36e-03 | 9.08 | 1.79 | 8.63e-01 | 1.00e+00 | 3ITGB6, GRHL2, WFDC2 |
184 |
GSE29614_CTRL_VS_DAY3_TIV_FLU_VACCINE_PBMC_DN | 5.44e-03 | 9.03 | 1.78 | 8.63e-01 | 1.00e+00 | 3PAX2, GRHL2, TMEM52B |
185 |
GSE29614_DAY3_VS_DAY7_TIV_FLU_VACCINE_PBMC_UP | 5.60e-03 | 8.94 | 1.76 | 8.63e-01 | 1.00e+00 | 3PAX2, PTPN3, CLDN16 |
187 |
GSE6566_STRONG_VS_WEAK_DC_STIMULATED_CD4_TCELL_UP | 5.93e-03 | 8.74 | 1.73 | 8.63e-01 | 1.00e+00 | 3PAPPA2, PTPN3, TMEM213 |
191 |
GSE3400_UNTREATED_VS_IFNB_TREATED_MEF_DN | 6.11e-03 | 8.65 | 1.71 | 8.63e-01 | 1.00e+00 | 3SIM1, CLDN10, PAX8 |
193 |
GSE1791_CTRL_VS_NEUROMEDINU_IN_T_CELL_LINE_12H_DN | 6.11e-03 | 8.65 | 1.71 | 8.63e-01 | 1.00e+00 | 3LAMA1, PTPN3, HOXB-AS3 |
193 |
GSE22886_NAIVE_VS_MEMORY_TCELL_UP | 6.19e-03 | 8.61 | 1.70 | 8.63e-01 | 1.00e+00 | 3CASR, HOXB9, HNF1B |
194 |
GSE23114_WT_VS_SLE2C1_MOUSE_PERITONEAL_CAVITY_B1A_BCELL_DN | 6.19e-03 | 8.61 | 1.70 | 8.63e-01 | 1.00e+00 | 3PTPN3, ITGB6, EMX2 |
194 |
GSE2706_LPS_VS_R848_AND_LPS_8H_STIM_DC_DN | 6.28e-03 | 8.56 | 1.69 | 8.63e-01 | 1.00e+00 | 3PAPPA2, PAX2, SIM2 |
195 |
GSE29618_PRE_VS_DAY7_FLU_VACCINE_MDC_UP | 6.37e-03 | 8.52 | 1.68 | 8.63e-01 | 1.00e+00 | 3KCNJ1, MAL, UGT8 |
196 |
GSE29618_PRE_VS_DAY7_POST_LAIV_FLU_VACCINE_PDC_UP | 6.37e-03 | 8.52 | 1.68 | 8.63e-01 | 1.00e+00 | 3TFCP2L1, CD24, ESRRG |
196 |
GSE22886_TH1_VS_TH2_12H_ACT_DN | 6.46e-03 | 8.47 | 1.67 | 8.63e-01 | 1.00e+00 | 3POU3F3, UGT8, ESRRG |
197 |
GSE18281_PERIMEDULLARY_CORTICAL_REGION_VS_WHOLE_MEDULLA_THYMUS_DN | 6.46e-03 | 8.47 | 1.67 | 8.63e-01 | 1.00e+00 | 3IRX2, SALL1, TMEM213 |
197 |
Top Ranked Transcription Factors for this Gene Expression Program:
Gene Symbol | TF Rank | DNA Binding Domain | Motif Status | IUPAC PWM | GTEx | DepMap | Decartes |
---|---|---|---|---|---|---|---|
IRX2 | 1 | Yes | Known motif | Monomer or homomultimer | High-throughput in vitro | None | None |
IRX1 | 3 | Yes | Known motif | Monomer or homomultimer | High-throughput in vitro | Has a putative AT-hook | None |
TFCP2L1 | 8 | Yes | Known motif | Monomer or homomultimer | High-throughput in vitro | None | None |
POU3F3 | 9 | Yes | Known motif | Monomer or homomultimer | High-throughput in vitro | None | None |
PAX2 | 10 | Yes | Known motif | Monomer or homomultimer | High-throughput in vitro | None | None |
SIM1 | 12 | Yes | Inferred motif | Obligate heteromer | In vivo/Misc source | None | Similar to SIM2, which is a likely obligate heteromer. |
LHX1 | 13 | Yes | Known motif | Monomer or homomultimer | High-throughput in vitro | None | None |
PAX8 | 18 | Yes | Known motif | Monomer or homomultimer | High-throughput in vitro | None | None |
HOXA10 | 19 | Yes | Known motif | Monomer or homomultimer | High-throughput in vitro | None | None |
UNCX | 20 | Yes | Known motif | Monomer or homomultimer | High-throughput in vitro | None | None |
HOXA9 | 24 | Yes | Known motif | Monomer or homomultimer | High-throughput in vitro | None | None |
SALL1 | 25 | Yes | Inferred motif | Monomer or homomultimer | In vivo/Misc source | None | None |
MECOM | 33 | Yes | Known motif | Monomer or homomultimer | In vivo/Misc source | Only known motifs are from Transfac or HocoMoco - origin is uncertain | None |
HOXB9 | 34 | Yes | Known motif | Monomer or homomultimer | High-throughput in vitro | None | None |
BMP7 | 37 | No | Unlikely to be sequence specific TF | Not a DNA binding protein | No motif | None | None |
EMX2 | 38 | Yes | Known motif | Monomer or homomultimer | High-throughput in vitro | None | None |
ESRRG | 39 | Yes | Known motif | Monomer or homomultimer | High-throughput in vitro | None | None |
HOXD11 | 42 | Yes | Known motif | Monomer or homomultimer | High-throughput in vitro | None | None |
SIM2 | 43 | Yes | Inferred motif | Obligate heteromer | In vivo/Misc source | None | Likely obligate hetereomer (PMID: 7592839) |
GRHL2 | 44 | Yes | Known motif | Monomer or homomultimer | In vivo/Misc source | None | None |
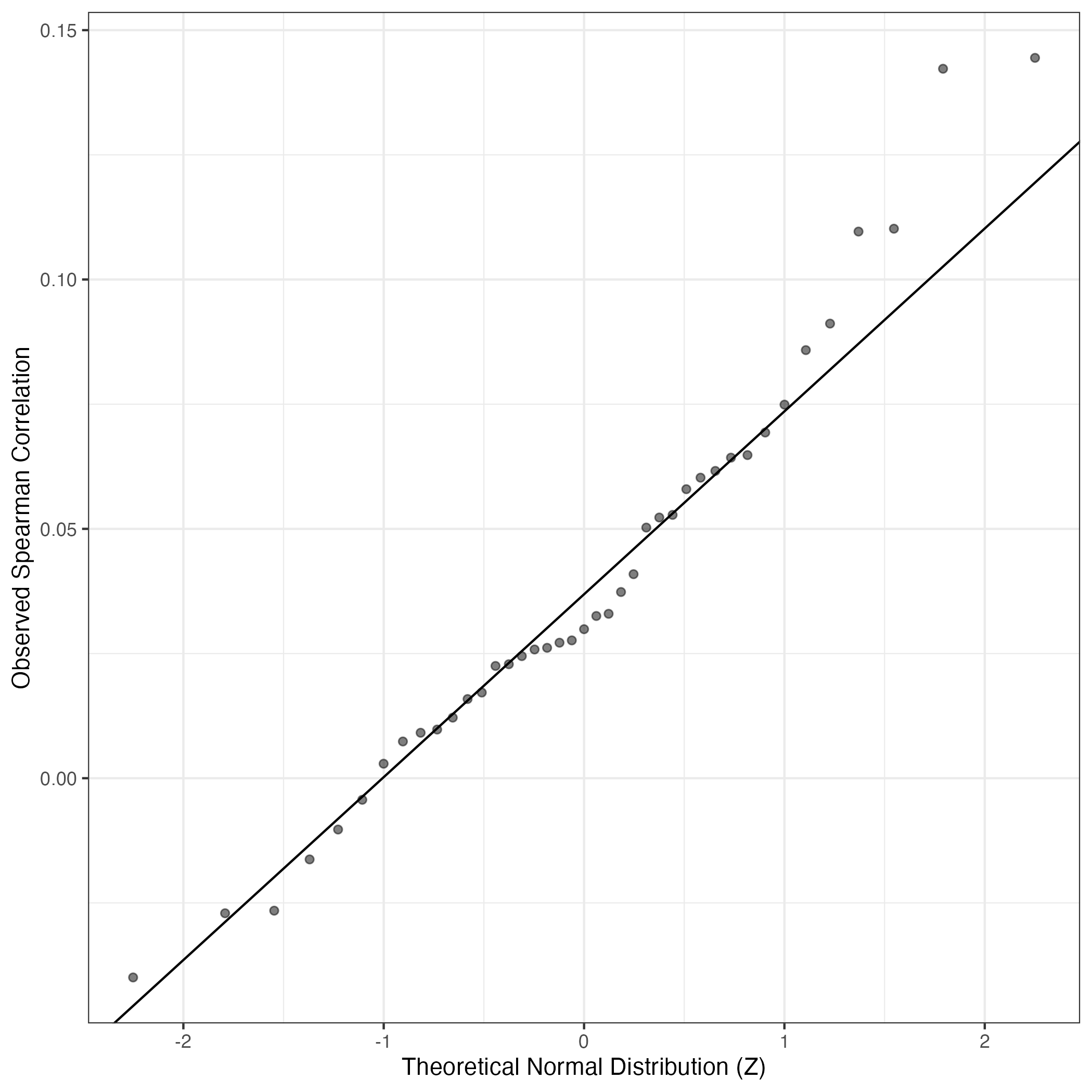
QQ Plot showing correlations with other GEPs in this dataset, calculated by Spearman correlation:
Interactive QQ-plot of gene loadings:
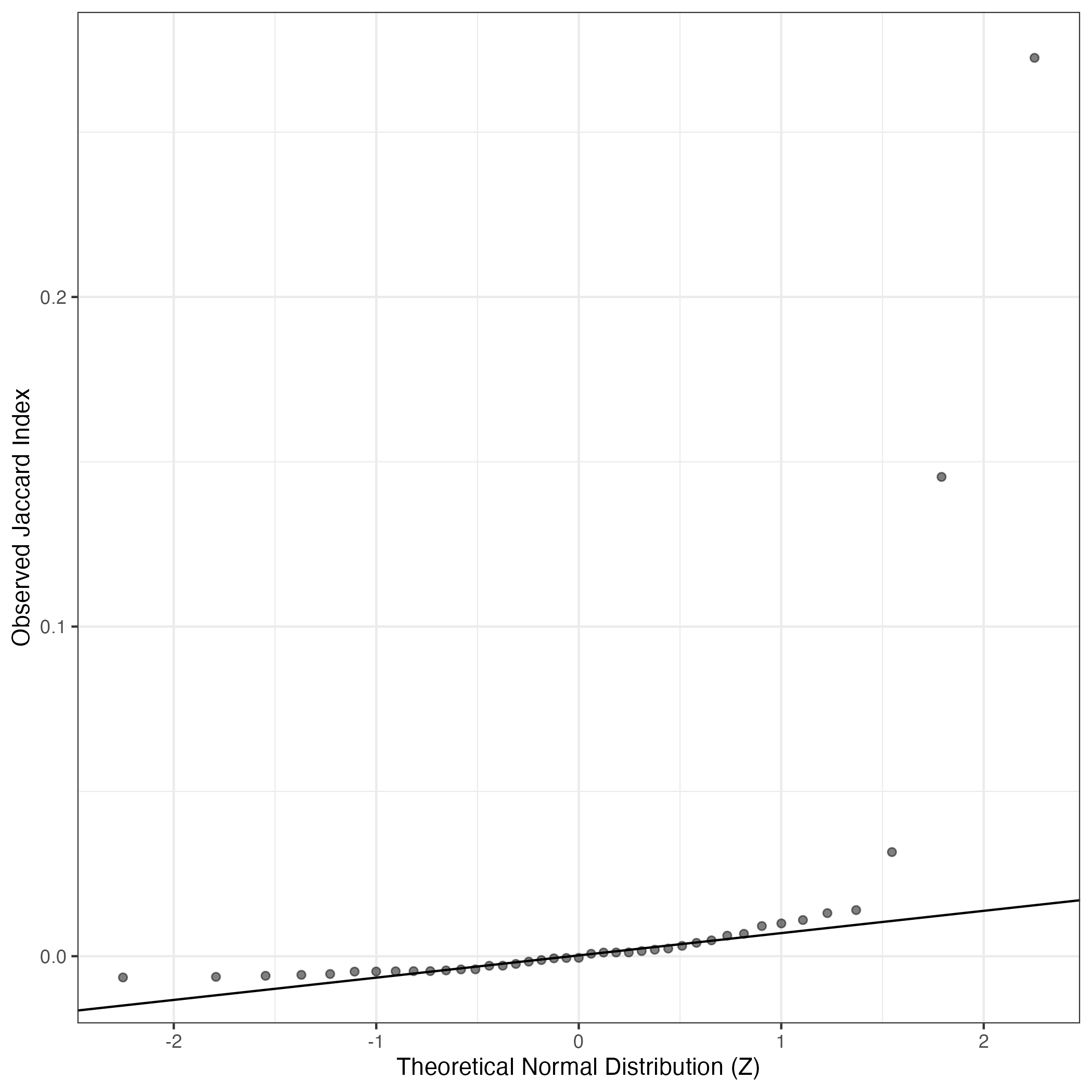
A similar QQ-plot as above, but only for instances where the H value is e.g. > 25, i.e. we are confident that the expression program is active above noise. Agreemenet between these binary vectors is tested using the Jaccard Index, with the P-values calculated by an exact test:
Interactive QQ-plot:
Singler cell type annotations for the top 50 cells on this program.
Cell ID | Singler label | Singler Delta | Activity Score | Top Singler Raw Scores |
---|---|---|---|---|
R48c_w8.5_AGAGCAGTCAATCCAG-1 | Neuroepithelial_cell:ESC-derived | 0.23 | 971.93 | Raw ScoresNeuroepithelial_cell:ESC-derived: 0.55, iPS_cells:PDB_1lox-17Puro-10: 0.53, iPS_cells:PDB_1lox-21Puro-26: 0.53, iPS_cells:PDB_2lox-22: 0.52, iPS_cells:PDB_1lox-17Puro-5: 0.52, Neurons:ES_cell-derived_neural_precursor: 0.52, iPS_cells:PDB_1lox-21Puro-20: 0.52, iPS_cells:PDB_2lox-21: 0.52, Embryonic_stem_cells: 0.52, iPS_cells:PDB_2lox-5: 0.52 |
R48c_w8.5_CCTCTCCTCGAAATCC-1 | Neuroepithelial_cell:ESC-derived | 0.24 | 791.98 | Raw ScoresNeuroepithelial_cell:ESC-derived: 0.51, Neurons:ES_cell-derived_neural_precursor: 0.49, iPS_cells:PDB_1lox-21Puro-26: 0.49, iPS_cells:PDB_1lox-17Puro-10: 0.49, iPS_cells:PDB_1lox-21Puro-20: 0.49, iPS_cells:PDB_1lox-17Puro-5: 0.48, iPS_cells:PDB_2lox-22: 0.48, iPS_cells:PDB_2lox-21: 0.48, iPS_cells:PDB_2lox-5: 0.47, iPS_cells:PDB_2lox-17: 0.47 |
R48c_w8.5_CTAACCCAGCCGCTTG-1 | Neuroepithelial_cell:ESC-derived | 0.21 | 661.33 | Raw ScoresNeuroepithelial_cell:ESC-derived: 0.47, iPS_cells:PDB_1lox-17Puro-10: 0.45, Neurons:ES_cell-derived_neural_precursor: 0.45, iPS_cells:PDB_1lox-21Puro-26: 0.44, iPS_cells:PDB_1lox-21Puro-20: 0.44, iPS_cells:PDB_2lox-22: 0.44, iPS_cells:PDB_1lox-17Puro-5: 0.44, iPS_cells:PDB_2lox-21: 0.44, iPS_cells:PDB_2lox-5: 0.44, Embryonic_stem_cells: 0.43 |
R30_w8.5_GATCACAGTTCAAGGG-1 | iPS_cells:PDB_2lox-22 | 0.19 | 639.13 | Raw ScoresNeuroepithelial_cell:ESC-derived: 0.53, iPS_cells:PDB_2lox-22: 0.52, iPS_cells:PDB_1lox-17Puro-5: 0.52, iPS_cells:PDB_1lox-17Puro-10: 0.52, iPS_cells:PDB_1lox-21Puro-20: 0.52, iPS_cells:PDB_1lox-21Puro-26: 0.52, iPS_cells:CRL2097_foreskin-derived:undiff.: 0.52, iPS_cells:PDB_2lox-17: 0.52, iPS_cells:PDB_2lox-21: 0.52, iPS_cells:PDB_2lox-5: 0.51 |
R48c_w8.5_TCATTCATCGCACGAC-1 | Neuroepithelial_cell:ESC-derived | 0.24 | 633.97 | Raw ScoresNeuroepithelial_cell:ESC-derived: 0.51, iPS_cells:PDB_1lox-17Puro-10: 0.49, iPS_cells:PDB_1lox-21Puro-26: 0.49, Neurons:ES_cell-derived_neural_precursor: 0.49, iPS_cells:PDB_1lox-17Puro-5: 0.48, iPS_cells:PDB_1lox-21Puro-20: 0.48, Embryonic_stem_cells: 0.47, iPS_cells:PDB_2lox-22: 0.47, iPS_cells:CRL2097_foreskin-derived:undiff.: 0.47, iPS_cells:PDB_2lox-21: 0.46 |
R48c_w8.5_CTAGACAAGTCTCGTA-1 | Neuroepithelial_cell:ESC-derived | 0.20 | 631.20 | Raw ScoresNeuroepithelial_cell:ESC-derived: 0.45, Neurons:ES_cell-derived_neural_precursor: 0.44, iPS_cells:PDB_1lox-17Puro-10: 0.43, iPS_cells:PDB_1lox-21Puro-26: 0.42, iPS_cells:PDB_1lox-21Puro-20: 0.42, iPS_cells:PDB_1lox-17Puro-5: 0.42, iPS_cells:PDB_2lox-22: 0.42, Embryonic_stem_cells: 0.41, iPS_cells:PDB_2lox-5: 0.41, iPS_cells:PDB_2lox-21: 0.41 |
R48c_w8.5_GACTGATGTAGCTTTG-1 | Neuroepithelial_cell:ESC-derived | 0.20 | 622.01 | Raw ScoresNeuroepithelial_cell:ESC-derived: 0.51, Neurons:ES_cell-derived_neural_precursor: 0.49, iPS_cells:PDB_1lox-17Puro-10: 0.48, iPS_cells:PDB_1lox-17Puro-5: 0.48, iPS_cells:PDB_1lox-21Puro-26: 0.47, iPS_cells:PDB_1lox-21Puro-20: 0.47, iPS_cells:PDB_2lox-22: 0.47, Embryonic_stem_cells: 0.47, iPS_cells:CRL2097_foreskin-derived:undiff.: 0.47, iPS_cells:PDB_2lox-5: 0.47 |
R48c_w8.5_ACAACCATCCCGAAAT-1 | Neuroepithelial_cell:ESC-derived | 0.26 | 620.03 | Raw ScoresNeuroepithelial_cell:ESC-derived: 0.57, iPS_cells:PDB_1lox-17Puro-10: 0.54, iPS_cells:PDB_1lox-21Puro-26: 0.54, iPS_cells:PDB_1lox-21Puro-20: 0.54, Neurons:ES_cell-derived_neural_precursor: 0.54, iPS_cells:PDB_1lox-17Puro-5: 0.54, iPS_cells:PDB_2lox-22: 0.53, Embryonic_stem_cells: 0.53, iPS_cells:PDB_2lox-21: 0.53, iPS_cells:PDB_2lox-17: 0.52 |
R30_w8.5_CCGATCTGTGGCATCC-1 | Neuroepithelial_cell:ESC-derived | 0.22 | 586.51 | Raw ScoresNeuroepithelial_cell:ESC-derived: 0.54, iPS_cells:PDB_1lox-21Puro-26: 0.52, iPS_cells:PDB_1lox-17Puro-10: 0.52, iPS_cells:PDB_1lox-21Puro-20: 0.52, iPS_cells:PDB_2lox-22: 0.52, iPS_cells:PDB_1lox-17Puro-5: 0.52, iPS_cells:CRL2097_foreskin-derived:undiff.: 0.51, Neurons:ES_cell-derived_neural_precursor: 0.51, Embryonic_stem_cells: 0.51, iPS_cells:PDB_2lox-21: 0.51 |
R48c_w8.5_ATCTCTAAGTAACCGG-1 | iPS_cells:PDB_2lox-22 | 0.18 | 582.11 | Raw ScoresNeuroepithelial_cell:ESC-derived: 0.51, Neurons:ES_cell-derived_neural_precursor: 0.49, iPS_cells:PDB_1lox-17Puro-10: 0.49, iPS_cells:PDB_1lox-21Puro-26: 0.49, iPS_cells:PDB_1lox-17Puro-5: 0.49, iPS_cells:PDB_1lox-21Puro-20: 0.49, iPS_cells:PDB_2lox-22: 0.48, iPS_cells:PDB_2lox-21: 0.48, iPS_cells:PDB_2lox-17: 0.47, Embryonic_stem_cells: 0.47 |
R48c_w8.5_CACTGAAAGTCATCCA-1 | Neuroepithelial_cell:ESC-derived | 0.24 | 578.29 | Raw ScoresNeuroepithelial_cell:ESC-derived: 0.49, Neurons:ES_cell-derived_neural_precursor: 0.47, Embryonic_stem_cells: 0.45, iPS_cells:PDB_1lox-17Puro-10: 0.45, Tissue_stem_cells:CD326-CD56+: 0.45, iPS_cells:PDB_1lox-21Puro-26: 0.45, iPS_cells:PDB_1lox-21Puro-20: 0.45, iPS_cells:PDB_1lox-17Puro-5: 0.44, iPS_cells:PDB_2lox-22: 0.44, iPS_cells:CRL2097_foreskin-derived:undiff.: 0.44 |
R30_w8.5_ACCGTTCAGAGTGAAG-1 | Neuroepithelial_cell:ESC-derived | 0.20 | 519.39 | Raw ScoresNeuroepithelial_cell:ESC-derived: 0.51, iPS_cells:PDB_1lox-17Puro-10: 0.5, iPS_cells:PDB_2lox-22: 0.49, Embryonic_stem_cells: 0.49, iPS_cells:PDB_1lox-17Puro-5: 0.49, iPS_cells:PDB_1lox-21Puro-26: 0.49, iPS_cells:PDB_1lox-21Puro-20: 0.49, iPS_cells:CRL2097_foreskin-derived:undiff.: 0.49, iPS_cells:PDB_2lox-17: 0.49, iPS_cells:PDB_2lox-21: 0.48 |
R48c_w8.5_CGCCAGAGTGACCGTC-1 | Neuroepithelial_cell:ESC-derived | 0.20 | 516.83 | Raw ScoresNeuroepithelial_cell:ESC-derived: 0.49, Neurons:ES_cell-derived_neural_precursor: 0.47, iPS_cells:PDB_1lox-21Puro-26: 0.46, iPS_cells:PDB_1lox-17Puro-10: 0.46, iPS_cells:PDB_1lox-21Puro-20: 0.46, iPS_cells:PDB_2lox-22: 0.46, iPS_cells:PDB_1lox-17Puro-5: 0.46, Embryonic_stem_cells: 0.45, iPS_cells:PDB_2lox-21: 0.45, iPS_cells:PDB_2lox-5: 0.45 |
R30_w8.5_GTTGTAGTCTACTGCC-1 | Neuroepithelial_cell:ESC-derived | 0.20 | 499.22 | Raw ScoresNeuroepithelial_cell:ESC-derived: 0.52, iPS_cells:PDB_2lox-22: 0.5, iPS_cells:PDB_1lox-17Puro-10: 0.5, iPS_cells:PDB_1lox-17Puro-5: 0.5, iPS_cells:PDB_1lox-21Puro-26: 0.5, iPS_cells:PDB_1lox-21Puro-20: 0.5, iPS_cells:PDB_2lox-17: 0.49, Embryonic_stem_cells: 0.49, iPS_cells:PDB_2lox-21: 0.49, iPS_cells:CRL2097_foreskin-derived:undiff.: 0.49 |
R48c_w8.5_TACTTACAGTGCACCC-1 | Tissue_stem_cells:CD326-CD56+ | 0.19 | 497.58 | Raw ScoresNeuroepithelial_cell:ESC-derived: 0.49, Neurons:ES_cell-derived_neural_precursor: 0.48, iPS_cells:PDB_1lox-17Puro-10: 0.47, iPS_cells:PDB_1lox-21Puro-26: 0.47, iPS_cells:PDB_2lox-22: 0.47, iPS_cells:PDB_1lox-21Puro-20: 0.47, iPS_cells:PDB_1lox-17Puro-5: 0.46, iPS_cells:PDB_2lox-21: 0.46, Embryonic_stem_cells: 0.46, iPS_cells:PDB_2lox-17: 0.45 |
R48c_w8.5_AAACGCTCACTCTAGA-1 | Neurons:ES_cell-derived_neural_precursor | 0.19 | 490.82 | Raw ScoresNeuroepithelial_cell:ESC-derived: 0.48, Neurons:ES_cell-derived_neural_precursor: 0.47, iPS_cells:PDB_1lox-17Puro-10: 0.46, iPS_cells:PDB_1lox-21Puro-26: 0.46, iPS_cells:PDB_1lox-17Puro-5: 0.46, Embryonic_stem_cells: 0.46, iPS_cells:PDB_1lox-21Puro-20: 0.45, iPS_cells:PDB_2lox-22: 0.45, iPS_cells:CRL2097_foreskin-derived:undiff.: 0.45, iPS_cells:PDB_2lox-5: 0.44 |
R48c_w8.5_ACGGTCGTCGCTACGG-1 | Neuroepithelial_cell:ESC-derived | 0.18 | 478.88 | Raw ScoresNeuroepithelial_cell:ESC-derived: 0.47, Neurons:ES_cell-derived_neural_precursor: 0.45, iPS_cells:PDB_1lox-17Puro-10: 0.45, iPS_cells:PDB_1lox-21Puro-26: 0.45, iPS_cells:PDB_1lox-17Puro-5: 0.45, iPS_cells:PDB_1lox-21Puro-20: 0.45, iPS_cells:PDB_2lox-22: 0.44, iPS_cells:PDB_2lox-5: 0.44, Embryonic_stem_cells: 0.44, iPS_cells:PDB_2lox-21: 0.44 |
R30_w8.5_CCTCAGTTCGCTGCGA-1 | Neuroepithelial_cell:ESC-derived | 0.19 | 465.06 | Raw ScoresNeuroepithelial_cell:ESC-derived: 0.48, iPS_cells:PDB_2lox-22: 0.46, iPS_cells:PDB_1lox-21Puro-26: 0.46, iPS_cells:CRL2097_foreskin-derived:undiff.: 0.46, iPS_cells:PDB_1lox-21Puro-20: 0.46, iPS_cells:PDB_1lox-17Puro-10: 0.46, iPS_cells:PDB_1lox-17Puro-5: 0.46, iPS_cells:PDB_2lox-17: 0.46, iPS_cells:PDB_2lox-21: 0.46, iPS_cells:PDB_2lox-5: 0.45 |
R48c_w8.5_GCCATGGAGTGACCTT-1 | Neuroepithelial_cell:ESC-derived | 0.23 | 461.32 | Raw ScoresNeuroepithelial_cell:ESC-derived: 0.5, Neurons:ES_cell-derived_neural_precursor: 0.49, iPS_cells:PDB_1lox-17Puro-10: 0.48, iPS_cells:PDB_1lox-21Puro-26: 0.47, iPS_cells:PDB_1lox-17Puro-5: 0.47, iPS_cells:PDB_1lox-21Puro-20: 0.47, Tissue_stem_cells:CD326-CD56+: 0.47, Embryonic_stem_cells: 0.46, iPS_cells:PDB_2lox-22: 0.46, iPS_cells:CRL2097_foreskin-derived:undiff.: 0.46 |
R48c_w8.5_AGCATCAGTTCAGCTA-1 | Neuroepithelial_cell:ESC-derived | 0.21 | 452.12 | Raw ScoresNeuroepithelial_cell:ESC-derived: 0.47, iPS_cells:PDB_1lox-17Puro-10: 0.45, iPS_cells:PDB_1lox-21Puro-26: 0.45, iPS_cells:PDB_1lox-21Puro-20: 0.45, Neurons:ES_cell-derived_neural_precursor: 0.44, iPS_cells:PDB_1lox-17Puro-5: 0.44, iPS_cells:PDB_2lox-22: 0.44, Embryonic_stem_cells: 0.43, iPS_cells:PDB_2lox-21: 0.43, iPS_cells:CRL2097_foreskin-derived:undiff.: 0.43 |
R48c_w8.5_GATAGAAAGAATTTGG-1 | Neuroepithelial_cell:ESC-derived | 0.22 | 444.65 | Raw ScoresNeuroepithelial_cell:ESC-derived: 0.49, Neurons:ES_cell-derived_neural_precursor: 0.47, iPS_cells:PDB_1lox-17Puro-10: 0.47, iPS_cells:PDB_1lox-21Puro-26: 0.46, iPS_cells:PDB_1lox-21Puro-20: 0.46, iPS_cells:PDB_1lox-17Puro-5: 0.46, iPS_cells:PDB_2lox-22: 0.45, Embryonic_stem_cells: 0.45, Tissue_stem_cells:CD326-CD56+: 0.45, iPS_cells:PDB_2lox-21: 0.45 |
R48c_w8.5_TTCACGCGTCATCTAG-1 | Neuroepithelial_cell:ESC-derived | 0.18 | 440.84 | Raw ScoresNeuroepithelial_cell:ESC-derived: 0.44, iPS_cells:PDB_1lox-21Puro-26: 0.43, iPS_cells:PDB_1lox-17Puro-10: 0.43, iPS_cells:PDB_1lox-21Puro-20: 0.43, iPS_cells:PDB_2lox-22: 0.42, iPS_cells:PDB_1lox-17Puro-5: 0.42, Neurons:ES_cell-derived_neural_precursor: 0.42, Embryonic_stem_cells: 0.42, iPS_cells:CRL2097_foreskin-derived:undiff.: 0.42, iPS_cells:PDB_2lox-21: 0.41 |
R48c_w8.5_GCTTGGGAGTTTGTCG-1 | Tissue_stem_cells:CD326-CD56+ | 0.20 | 432.25 | Raw ScoresNeuroepithelial_cell:ESC-derived: 0.49, Neurons:ES_cell-derived_neural_precursor: 0.48, Tissue_stem_cells:CD326-CD56+: 0.48, iPS_cells:PDB_1lox-17Puro-10: 0.47, iPS_cells:PDB_1lox-21Puro-26: 0.47, iPS_cells:PDB_1lox-17Puro-5: 0.46, iPS_cells:PDB_1lox-21Puro-20: 0.46, iPS_cells:PDB_2lox-22: 0.46, Embryonic_stem_cells: 0.46, iPS_cells:CRL2097_foreskin-derived:undiff.: 0.46 |
R48c_w8.5_ATCAGGTGTACCAGAG-1 | Neurons:ES_cell-derived_neural_precursor | 0.14 | 420.49 | Raw ScoresNeuroepithelial_cell:ESC-derived: 0.38, Neurons:ES_cell-derived_neural_precursor: 0.37, iPS_cells:PDB_1lox-17Puro-10: 0.36, iPS_cells:PDB_1lox-21Puro-26: 0.36, iPS_cells:PDB_1lox-21Puro-20: 0.36, iPS_cells:PDB_1lox-17Puro-5: 0.35, Neurons:adrenal_medulla_cell_line: 0.35, iPS_cells:CRL2097_foreskin-derived:undiff.: 0.35, iPS_cells:PDB_2lox-22: 0.35, Embryonic_stem_cells: 0.35 |
R48c_w8.5_AGGGAGTGTTACCCTC-1 | Tissue_stem_cells:CD326-CD56+ | 0.15 | 420.25 | Raw ScoresNeuroepithelial_cell:ESC-derived: 0.44, iPS_cells:PDB_1lox-17Puro-10: 0.42, Neurons:ES_cell-derived_neural_precursor: 0.42, iPS_cells:PDB_1lox-21Puro-26: 0.42, iPS_cells:PDB_1lox-21Puro-20: 0.42, iPS_cells:PDB_1lox-17Puro-5: 0.42, iPS_cells:PDB_2lox-22: 0.42, iPS_cells:PDB_2lox-21: 0.41, iPS_cells:CRL2097_foreskin-derived:undiff.: 0.41, Embryonic_stem_cells: 0.41 |
R48c_w8.5_ACACAGTCAGTTGTTG-1 | Neuroepithelial_cell:ESC-derived | 0.21 | 417.02 | Raw ScoresNeuroepithelial_cell:ESC-derived: 0.47, Neurons:ES_cell-derived_neural_precursor: 0.46, iPS_cells:PDB_1lox-17Puro-10: 0.45, iPS_cells:PDB_1lox-21Puro-26: 0.45, iPS_cells:PDB_1lox-17Puro-5: 0.45, iPS_cells:PDB_1lox-21Puro-20: 0.45, iPS_cells:PDB_2lox-22: 0.44, Embryonic_stem_cells: 0.44, iPS_cells:CRL2097_foreskin-derived:undiff.: 0.44, iPS_cells:PDB_2lox-17: 0.43 |
R48c_w8.5_GCACATAAGCAGGCTA-1 | Tissue_stem_cells:CD326-CD56+ | 0.18 | 416.91 | Raw ScoresNeuroepithelial_cell:ESC-derived: 0.46, Neurons:ES_cell-derived_neural_precursor: 0.45, iPS_cells:PDB_1lox-17Puro-10: 0.44, iPS_cells:PDB_1lox-21Puro-20: 0.43, iPS_cells:PDB_1lox-21Puro-26: 0.43, Embryonic_stem_cells: 0.43, iPS_cells:PDB_2lox-22: 0.43, iPS_cells:PDB_1lox-17Puro-5: 0.43, Tissue_stem_cells:CD326-CD56+: 0.43, iPS_cells:CRL2097_foreskin-derived:undiff.: 0.42 |
R48c_w8.5_AGGATCTCAGCTAACT-1 | Neuroepithelial_cell:ESC-derived | 0.21 | 412.18 | Raw ScoresNeuroepithelial_cell:ESC-derived: 0.42, Neurons:ES_cell-derived_neural_precursor: 0.4, iPS_cells:PDB_1lox-17Puro-10: 0.4, iPS_cells:PDB_1lox-21Puro-26: 0.4, iPS_cells:PDB_2lox-22: 0.39, iPS_cells:PDB_1lox-17Puro-5: 0.39, iPS_cells:PDB_1lox-21Puro-20: 0.39, Embryonic_stem_cells: 0.39, iPS_cells:PDB_2lox-21: 0.39, iPS_cells:PDB_2lox-5: 0.39 |
R48c_w8.5_CCGGTGAGTGGAACAC-1 | Neuroepithelial_cell:ESC-derived | 0.17 | 407.66 | Raw ScoresNeuroepithelial_cell:ESC-derived: 0.45, Neurons:ES_cell-derived_neural_precursor: 0.43, iPS_cells:PDB_1lox-21Puro-20: 0.43, iPS_cells:PDB_1lox-17Puro-10: 0.43, iPS_cells:PDB_1lox-21Puro-26: 0.43, iPS_cells:PDB_1lox-17Puro-5: 0.42, iPS_cells:PDB_2lox-22: 0.42, iPS_cells:PDB_2lox-21: 0.42, iPS_cells:PDB_2lox-17: 0.42, iPS_cells:PDB_2lox-5: 0.42 |
R48c_w8.5_CTACAGAAGGCTAAAT-1 | Neuroepithelial_cell:ESC-derived | 0.19 | 403.79 | Raw ScoresNeuroepithelial_cell:ESC-derived: 0.45, Neurons:ES_cell-derived_neural_precursor: 0.44, iPS_cells:PDB_1lox-17Puro-10: 0.42, Embryonic_stem_cells: 0.42, iPS_cells:PDB_1lox-21Puro-26: 0.42, iPS_cells:PDB_1lox-21Puro-20: 0.42, iPS_cells:PDB_2lox-22: 0.42, iPS_cells:PDB_1lox-17Puro-5: 0.42, iPS_cells:PDB_2lox-5: 0.41, iPS_cells:PDB_2lox-21: 0.41 |
R48c_w8.5_GCCAGCATCACTACTT-1 | Neuroepithelial_cell:ESC-derived | 0.21 | 402.33 | Raw ScoresNeuroepithelial_cell:ESC-derived: 0.47, Neurons:ES_cell-derived_neural_precursor: 0.45, iPS_cells:PDB_1lox-17Puro-10: 0.45, iPS_cells:PDB_1lox-21Puro-26: 0.45, iPS_cells:PDB_1lox-17Puro-5: 0.45, iPS_cells:PDB_1lox-21Puro-20: 0.44, iPS_cells:PDB_2lox-22: 0.44, Embryonic_stem_cells: 0.44, iPS_cells:PDB_2lox-21: 0.44, iPS_cells:CRL2097_foreskin-derived:undiff.: 0.44 |
R30_w8.5_TACCTGCCACCGGTCA-1 | Neuroepithelial_cell:ESC-derived | 0.19 | 400.70 | Raw ScoresNeuroepithelial_cell:ESC-derived: 0.51, iPS_cells:PDB_2lox-22: 0.5, iPS_cells:PDB_1lox-21Puro-20: 0.49, iPS_cells:PDB_1lox-21Puro-26: 0.49, iPS_cells:PDB_1lox-17Puro-10: 0.49, iPS_cells:PDB_1lox-17Puro-5: 0.49, iPS_cells:PDB_2lox-17: 0.49, iPS_cells:PDB_2lox-21: 0.49, iPS_cells:CRL2097_foreskin-derived:undiff.: 0.49, iPS_cells:PDB_2lox-5: 0.49 |
R48c_w8.5_TCCATCGCACTTCTCG-1 | Neuroepithelial_cell:ESC-derived | 0.22 | 395.74 | Raw ScoresNeuroepithelial_cell:ESC-derived: 0.46, Neurons:ES_cell-derived_neural_precursor: 0.45, iPS_cells:PDB_1lox-17Puro-10: 0.43, iPS_cells:PDB_1lox-21Puro-26: 0.43, iPS_cells:PDB_1lox-21Puro-20: 0.43, iPS_cells:PDB_1lox-17Puro-5: 0.42, iPS_cells:PDB_2lox-22: 0.42, Embryonic_stem_cells: 0.42, iPS_cells:PDB_2lox-21: 0.42, iPS_cells:PDB_2lox-5: 0.41 |
R48c_w8.5_GTCATCCGTCACCCTT-1 | Neuroepithelial_cell:ESC-derived | 0.21 | 393.98 | Raw ScoresNeuroepithelial_cell:ESC-derived: 0.45, Neurons:ES_cell-derived_neural_precursor: 0.43, iPS_cells:PDB_1lox-17Puro-10: 0.42, Embryonic_stem_cells: 0.42, iPS_cells:PDB_1lox-21Puro-26: 0.42, iPS_cells:PDB_1lox-21Puro-20: 0.41, iPS_cells:PDB_1lox-17Puro-5: 0.41, iPS_cells:PDB_2lox-22: 0.41, iPS_cells:CRL2097_foreskin-derived:d20_hepatic_diff: 0.41, iPS_cells:PDB_2lox-5: 0.41 |
R48c_w8.5_TACTTCACATGACTTG-1 | Neuroepithelial_cell:ESC-derived | 0.20 | 386.73 | Raw ScoresNeuroepithelial_cell:ESC-derived: 0.49, iPS_cells:PDB_1lox-17Puro-10: 0.47, Neurons:ES_cell-derived_neural_precursor: 0.47, iPS_cells:PDB_1lox-21Puro-26: 0.47, iPS_cells:PDB_2lox-22: 0.47, iPS_cells:PDB_1lox-21Puro-20: 0.47, iPS_cells:PDB_1lox-17Puro-5: 0.47, iPS_cells:PDB_2lox-5: 0.47, Tissue_stem_cells:CD326-CD56+: 0.46, iPS_cells:CRL2097_foreskin-derived:undiff.: 0.46 |
R48c_w8.5_AGTAGTCAGGCCTAAG-1 | Neuroepithelial_cell:ESC-derived | 0.20 | 386.73 | Raw ScoresNeuroepithelial_cell:ESC-derived: 0.44, Neurons:ES_cell-derived_neural_precursor: 0.42, iPS_cells:PDB_1lox-17Puro-10: 0.42, iPS_cells:PDB_1lox-21Puro-26: 0.41, iPS_cells:PDB_1lox-17Puro-5: 0.41, iPS_cells:PDB_2lox-22: 0.41, iPS_cells:PDB_1lox-21Puro-20: 0.41, Embryonic_stem_cells: 0.41, iPS_cells:CRL2097_foreskin-derived:undiff.: 0.4, iPS_cells:PDB_2lox-17: 0.4 |
R48c_w8.5_GGGTTTATCCTCACCA-1 | Neuroepithelial_cell:ESC-derived | 0.20 | 384.62 | Raw ScoresNeuroepithelial_cell:ESC-derived: 0.44, Neurons:ES_cell-derived_neural_precursor: 0.42, iPS_cells:PDB_1lox-17Puro-10: 0.41, iPS_cells:PDB_1lox-21Puro-26: 0.41, iPS_cells:PDB_1lox-21Puro-20: 0.41, iPS_cells:PDB_2lox-22: 0.4, Embryonic_stem_cells: 0.4, iPS_cells:PDB_1lox-17Puro-5: 0.4, Tissue_stem_cells:CD326-CD56+: 0.4, iPS_cells:PDB_2lox-21: 0.4 |
R48c_w8.5_CAATTTCAGCTGAGCA-1 | iPS_cells:PDB_2lox-22 | 0.16 | 370.84 | Raw ScoresNeuroepithelial_cell:ESC-derived: 0.45, Neurons:ES_cell-derived_neural_precursor: 0.44, iPS_cells:PDB_1lox-21Puro-26: 0.43, iPS_cells:PDB_1lox-17Puro-10: 0.43, iPS_cells:PDB_1lox-21Puro-20: 0.43, iPS_cells:PDB_2lox-22: 0.43, iPS_cells:PDB_1lox-17Puro-5: 0.43, iPS_cells:PDB_2lox-21: 0.43, iPS_cells:PDB_2lox-17: 0.42, iPS_cells:PDB_2lox-5: 0.42 |
R48c_w8.5_GATGCTAAGCAATTAG-1 | Tissue_stem_cells:CD326-CD56+ | 0.18 | 370.80 | Raw ScoresNeuroepithelial_cell:ESC-derived: 0.46, Neurons:ES_cell-derived_neural_precursor: 0.45, iPS_cells:PDB_1lox-17Puro-10: 0.44, iPS_cells:PDB_1lox-21Puro-26: 0.44, iPS_cells:PDB_1lox-21Puro-20: 0.44, iPS_cells:PDB_1lox-17Puro-5: 0.44, Tissue_stem_cells:CD326-CD56+: 0.43, iPS_cells:PDB_2lox-22: 0.43, Embryonic_stem_cells: 0.43, iPS_cells:PDB_2lox-21: 0.43 |
R48c_w8.5_TTGTGTTAGTTGTCGT-1 | Neuroepithelial_cell:ESC-derived | 0.21 | 364.28 | Raw ScoresNeuroepithelial_cell:ESC-derived: 0.48, Neurons:ES_cell-derived_neural_precursor: 0.45, iPS_cells:PDB_1lox-17Puro-10: 0.45, iPS_cells:PDB_1lox-21Puro-20: 0.45, iPS_cells:PDB_1lox-21Puro-26: 0.45, iPS_cells:PDB_1lox-17Puro-5: 0.45, iPS_cells:PDB_2lox-22: 0.44, Embryonic_stem_cells: 0.44, iPS_cells:PDB_2lox-21: 0.44, Neurons:adrenal_medulla_cell_line: 0.44 |
R30_w8.5_CGTAATGTCTCGTGGG-1 | Neuroepithelial_cell:ESC-derived | 0.18 | 362.43 | Raw ScoresNeuroepithelial_cell:ESC-derived: 0.49, iPS_cells:PDB_2lox-22: 0.48, iPS_cells:PDB_1lox-17Puro-10: 0.47, iPS_cells:PDB_1lox-21Puro-26: 0.47, iPS_cells:PDB_1lox-21Puro-20: 0.47, iPS_cells:PDB_2lox-17: 0.47, iPS_cells:PDB_1lox-17Puro-5: 0.47, iPS_cells:PDB_2lox-21: 0.47, iPS_cells:PDB_2lox-5: 0.47, iPS_cells:CRL2097_foreskin-derived:undiff.: 0.47 |
R48c_w8.5_GTGGAAGAGTACCATC-1 | Neuroepithelial_cell:ESC-derived | 0.18 | 358.73 | Raw ScoresNeuroepithelial_cell:ESC-derived: 0.45, Neurons:ES_cell-derived_neural_precursor: 0.44, iPS_cells:PDB_1lox-17Puro-10: 0.44, iPS_cells:PDB_1lox-17Puro-5: 0.43, iPS_cells:PDB_1lox-21Puro-26: 0.43, iPS_cells:PDB_2lox-22: 0.43, iPS_cells:PDB_1lox-21Puro-20: 0.43, iPS_cells:PDB_2lox-5: 0.43, iPS_cells:PDB_2lox-17: 0.43, iPS_cells:PDB_2lox-21: 0.43 |
R48c_w8.5_AAGGAATCAGTGCGCT-1 | Neuroepithelial_cell:ESC-derived | 0.17 | 355.46 | Raw ScoresNeuroepithelial_cell:ESC-derived: 0.41, Neurons:ES_cell-derived_neural_precursor: 0.39, iPS_cells:CRL2097_foreskin-derived:undiff.: 0.39, iPS_cells:PDB_1lox-17Puro-10: 0.39, iPS_cells:PDB_2lox-22: 0.39, iPS_cells:PDB_1lox-17Puro-5: 0.39, iPS_cells:PDB_2lox-5: 0.39, Embryonic_stem_cells: 0.39, iPS_cells:PDB_1lox-21Puro-26: 0.39, iPS_cells:PDB_2lox-21: 0.39 |
R48c_w8.5_TGGGCTGCAGCTGTAT-1 | Neuroepithelial_cell:ESC-derived | 0.19 | 348.80 | Raw ScoresNeuroepithelial_cell:ESC-derived: 0.45, Neurons:ES_cell-derived_neural_precursor: 0.43, iPS_cells:PDB_1lox-17Puro-10: 0.43, iPS_cells:PDB_1lox-21Puro-26: 0.43, iPS_cells:PDB_1lox-21Puro-20: 0.43, iPS_cells:PDB_1lox-17Puro-5: 0.43, iPS_cells:PDB_2lox-22: 0.43, Embryonic_stem_cells: 0.43, iPS_cells:PDB_2lox-21: 0.42, iPS_cells:PDB_2lox-5: 0.42 |
R30_w8.5_AACCTGATCTGGCTGG-1 | iPS_cells:CRL2097_foreskin-derived:undiff. | 0.15 | 342.33 | Raw ScoresNeuroepithelial_cell:ESC-derived: 0.48, iPS_cells:PDB_1lox-17Puro-10: 0.46, Embryonic_stem_cells: 0.46, iPS_cells:PDB_2lox-22: 0.46, iPS_cells:PDB_1lox-21Puro-26: 0.46, iPS_cells:PDB_1lox-21Puro-20: 0.46, iPS_cells:CRL2097_foreskin-derived:undiff.: 0.45, iPS_cells:PDB_2lox-17: 0.45, iPS_cells:PDB_2lox-21: 0.45, iPS_cells:PDB_1lox-17Puro-5: 0.45 |
R30_w8.5_TCTCTGGTCCTCTCTT-1 | Neuroepithelial_cell:ESC-derived | 0.20 | 340.38 | Raw ScoresNeuroepithelial_cell:ESC-derived: 0.5, iPS_cells:PDB_1lox-17Puro-10: 0.48, iPS_cells:PDB_2lox-22: 0.48, iPS_cells:PDB_1lox-17Puro-5: 0.48, iPS_cells:PDB_1lox-21Puro-26: 0.47, iPS_cells:CRL2097_foreskin-derived:undiff.: 0.47, Embryonic_stem_cells: 0.47, iPS_cells:PDB_1lox-21Puro-20: 0.47, iPS_cells:PDB_2lox-5: 0.47, iPS_cells:PDB_2lox-17: 0.47 |
R48c_w8.5_CTCATTAGTGAATTAG-1 | Neuroepithelial_cell:ESC-derived | 0.17 | 339.26 | Raw ScoresNeuroepithelial_cell:ESC-derived: 0.39, Neurons:ES_cell-derived_neural_precursor: 0.37, Embryonic_stem_cells: 0.35, iPS_cells:PDB_1lox-21Puro-26: 0.35, iPS_cells:PDB_1lox-21Puro-20: 0.35, iPS_cells:PDB_1lox-17Puro-10: 0.35, Astrocyte:Embryonic_stem_cell-derived: 0.35, iPS_cells:PDB_1lox-17Puro-5: 0.35, iPS_cells:PDB_2lox-22: 0.35, iPS_cells:CRL2097_foreskin-derived:undiff.: 0.34 |
R48c_w8.5_ACTGATGAGGAGCTGT-1 | Tissue_stem_cells:CD326-CD56+ | 0.15 | 336.27 | Raw ScoresNeuroepithelial_cell:ESC-derived: 0.44, iPS_cells:PDB_1lox-17Puro-10: 0.43, iPS_cells:PDB_1lox-17Puro-5: 0.42, Neurons:ES_cell-derived_neural_precursor: 0.42, iPS_cells:PDB_1lox-21Puro-26: 0.42, iPS_cells:CRL2097_foreskin-derived:undiff.: 0.42, iPS_cells:PDB_1lox-21Puro-20: 0.42, iPS_cells:PDB_2lox-22: 0.42, Embryonic_stem_cells: 0.42, Tissue_stem_cells:CD326-CD56+: 0.42 |
R48c_w8.5_TTCCACGGTCCACAGC-1 | MSC | 0.17 | 335.87 | Raw ScoresNeuroepithelial_cell:ESC-derived: 0.41, Neurons:ES_cell-derived_neural_precursor: 0.4, Embryonic_stem_cells: 0.38, iPS_cells:CRL2097_foreskin: 0.38, Tissue_stem_cells:CD326-CD56+: 0.38, MSC: 0.38, iPS_cells:CRL2097_foreskin-derived:d20_hepatic_diff: 0.37, Smooth_muscle_cells:bronchial: 0.37, iPS_cells:PDB_1lox-17Puro-10: 0.37, Smooth_muscle_cells:bronchial:vit_D: 0.37 |
R48c_w8.5_AACAGGGAGTCGCTAT-1 | Neuroepithelial_cell:ESC-derived | 0.19 | 334.16 | Raw ScoresNeuroepithelial_cell:ESC-derived: 0.44, iPS_cells:PDB_1lox-17Puro-10: 0.42, iPS_cells:PDB_1lox-21Puro-26: 0.42, Neurons:ES_cell-derived_neural_precursor: 0.42, iPS_cells:PDB_1lox-17Puro-5: 0.42, iPS_cells:PDB_1lox-21Puro-20: 0.42, iPS_cells:PDB_2lox-22: 0.41, iPS_cells:CRL2097_foreskin-derived:undiff.: 0.41, iPS_cells:PDB_2lox-21: 0.41, Embryonic_stem_cells: 0.41 |
Below shows the significant enrichments of this GEP for literature curated gene lists
This data was procured from existing single cell RNA-seq maps of neuroblastoma or related relevant data.
High ranks indicate this gene is a driver of this GEP.
These curated gene list are ranked by the P-value (on this GEP) of their constituent genes.
The Mean Count column shows the mean read count in cells scoring highly (H > 50) on this gene expression program.
Genes | Weight | Rank | GTEx | DepMap | Decartes | Mean.Counts | Mean.TPM |
---|---|---|---|---|---|---|---|
PAX2 | 0.0115325 | 10 | GTEx | DepMap | Descartes | 4.31 | 291.44 |
LHX1 | 0.0107562 | 13 | GTEx | DepMap | Descartes | 2.76 | 173.87 |
LYPD1 | 0.0080042 | 31 | GTEx | DepMap | Descartes | 2.56 | 177.11 |
Bridge region SCP-adrenergic transition (Olsen)
As above but for cells in the mesenchymal transitioning to SCP-adrenergic region:
Wilcoxon ranksum test P-value for gene set overrepresentation: 3.06e-03
Mean rank of genes in gene set: 2695.75
Rank on gene expression program of genes in gene set:
Genes | Weight | Rank | GTEx | DepMap | Decartes | Mean.Counts | Mean.TPM |
---|---|---|---|---|---|---|---|
MDK | 0.0040003 | 120 | GTEx | DepMap | Descartes | 14.53 | 2242.09 |
PCBP2 | 0.0021439 | 456 | GTEx | DepMap | Descartes | 5.12 | 410.15 |
HMGB1 | 0.0013911 | 1036 | GTEx | DepMap | Descartes | 23.79 | 870.05 |
SRP14 | 0.0001900 | 9171 | GTEx | DepMap | Descartes | 7.94 | 1487.49 |
Translation (Dong)
Markers obtained in computationally inferred meta program (by NMF applied to their neuroblastoma sc-RNA-seq data) from Fig. 5(a) of Dong et al. (PMID 32946775).:
Wilcoxon ranksum test P-value for gene set overrepresentation: 3.85e-03
Mean rank of genes in gene set: 1442.33
Rank on gene expression program of genes in gene set:
Genes | Weight | Rank | GTEx | DepMap | Decartes | Mean.Counts | Mean.TPM |
---|---|---|---|---|---|---|---|
EIF3L | 0.0020467 | 502 | GTEx | DepMap | Descartes | 4.21 | 322.54 |
EIF3F | 0.0013858 | 1044 | GTEx | DepMap | Descartes | 3.75 | 112.65 |
EIF3E | 0.0007837 | 2781 | GTEx | DepMap | Descartes | 5.46 | 572.31 |
Below shows ranks on this GEP for literature curated gene lists for large gene sets
These include those reported as mesenchymal/adrenergic by Van Groningen et al.
High ranks indicate this gene is a driver of this GEP (note these results are not ordered).
The Mean Count column shows the mean read count in cells scoring highly (H > 50) on this gene expression program.
VanGroningen Adrenergic Genes
Adrenergic marker genes from Supplementary Table 2 of Van Groningen et al. Nature Genetics 2017. These genes were identified by differential expression analysis of mesenchymal-like and adrenergic-like neuroblastoma cell lines.
Wilcoxon ranksum test P-value for gene set overrepresentation: 1.49e-01
Mean rank of genes in gene set: 12500.7
Median rank of genes in gene set: 10497
Rank on gene expression program of top 30 genes in gene set:
Genes | Weight | Rank | GTEx | DepMap | Descartes | Mean.Counts | Mean.TPM |
---|---|---|---|---|---|---|---|
BMP7 | 0.0074489 | 37 | GTEx | DepMap | Descartes | 1.37 | 76.07 |
ESRRG | 0.0071495 | 39 | GTEx | DepMap | Descartes | 0.44 | 21.34 |
DNER | 0.0046687 | 90 | GTEx | DepMap | Descartes | 0.39 | 28.49 |
ABLIM1 | 0.0046291 | 91 | GTEx | DepMap | Descartes | 1.09 | 35.35 |
HMGA1 | 0.0045752 | 93 | GTEx | DepMap | Descartes | 4.44 | 434.99 |
EYA1 | 0.0039884 | 123 | GTEx | DepMap | Descartes | 1.21 | 90.30 |
DACH1 | 0.0038467 | 138 | GTEx | DepMap | Descartes | 2.60 | 126.79 |
SOX11 | 0.0036642 | 157 | GTEx | DepMap | Descartes | 2.31 | 69.32 |
TENM4 | 0.0035356 | 171 | GTEx | DepMap | Descartes | 0.53 | NA |
CXADR | 0.0032683 | 198 | GTEx | DepMap | Descartes | 1.05 | 47.30 |
KLHL13 | 0.0030162 | 227 | GTEx | DepMap | Descartes | 0.41 | 18.90 |
MYEF2 | 0.0028180 | 259 | GTEx | DepMap | Descartes | 1.46 | 35.59 |
MSI2 | 0.0027984 | 263 | GTEx | DepMap | Descartes | 3.18 | 117.73 |
FZD3 | 0.0027976 | 264 | GTEx | DepMap | Descartes | 0.93 | 18.42 |
HEY1 | 0.0024411 | 332 | GTEx | DepMap | Descartes | 0.77 | 38.17 |
REC8 | 0.0023630 | 358 | GTEx | DepMap | Descartes | 0.66 | 63.57 |
SLIT1 | 0.0023440 | 363 | GTEx | DepMap | Descartes | 0.23 | 8.81 |
MCM7 | 0.0023243 | 370 | GTEx | DepMap | Descartes | 2.15 | 153.69 |
HNRNPA0 | 0.0023065 | 379 | GTEx | DepMap | Descartes | 3.43 | 94.79 |
CADM1 | 0.0022762 | 395 | GTEx | DepMap | Descartes | 3.54 | 105.35 |
KDM1A | 0.0022614 | 402 | GTEx | DepMap | Descartes | 1.63 | 130.59 |
MCM2 | 0.0020437 | 504 | GTEx | DepMap | Descartes | 0.85 | 63.20 |
CENPV | 0.0019531 | 564 | GTEx | DepMap | Descartes | 1.35 | 158.57 |
HS6ST2 | 0.0019482 | 567 | GTEx | DepMap | Descartes | 0.15 | 8.84 |
MAP2 | 0.0019403 | 573 | GTEx | DepMap | Descartes | 1.01 | 33.94 |
RNF157 | 0.0019260 | 579 | GTEx | DepMap | Descartes | 0.39 | 21.18 |
CCND1 | 0.0018286 | 629 | GTEx | DepMap | Descartes | 3.12 | 153.67 |
SBK1 | 0.0017746 | 664 | GTEx | DepMap | Descartes | 0.41 | 23.13 |
SEPT6 | 0.0017139 | 708 | GTEx | DepMap | Descartes | 1.81 | NA |
GLCCI1 | 0.0016713 | 746 | GTEx | DepMap | Descartes | 0.97 | 65.57 |
VanGroningen Mesenchymal Genes
Mesenchymal marker genes from Supplementary Table 2 of Van Groningen et al. Nature Genetics 2017. These genes were identified by differential expression analysis of mesenchymal-like and adrenergic-like neuroblastoma cell lines.
Wilcoxon ranksum test P-value for gene set overrepresentation: 1.00e+00
Mean rank of genes in gene set: 15457.57
Median rank of genes in gene set: 20082
Rank on gene expression program of top 30 genes in gene set:
Genes | Weight | Rank | GTEx | DepMap | Descartes | Mean.Counts | Mean.TPM |
---|---|---|---|---|---|---|---|
ITM2C | 0.0054566 | 72 | GTEx | DepMap | Descartes | 6.50 | 804.51 |
PLOD2 | 0.0038812 | 132 | GTEx | DepMap | Descartes | 2.01 | 128.48 |
FAT1 | 0.0038782 | 134 | GTEx | DepMap | Descartes | 1.30 | 23.84 |
FZD7 | 0.0038583 | 136 | GTEx | DepMap | Descartes | 0.98 | 65.67 |
SHROOM3 | 0.0037181 | 151 | GTEx | DepMap | Descartes | 0.63 | 15.21 |
SIX1 | 0.0036465 | 160 | GTEx | DepMap | Descartes | 0.54 | 43.35 |
PDGFC | 0.0035689 | 164 | GTEx | DepMap | Descartes | 1.02 | 63.05 |
PTPN14 | 0.0035125 | 175 | GTEx | DepMap | Descartes | 1.62 | 35.95 |
YAP1 | 0.0033441 | 188 | GTEx | DepMap | Descartes | 1.95 | 96.55 |
SOX9 | 0.0032272 | 201 | GTEx | DepMap | Descartes | 0.57 | 31.63 |
MEST | 0.0030862 | 218 | GTEx | DepMap | Descartes | 6.04 | 602.24 |
ENAH | 0.0030151 | 228 | GTEx | DepMap | Descartes | 2.10 | 41.34 |
LAMB1 | 0.0028633 | 251 | GTEx | DepMap | Descartes | 2.33 | 104.10 |
SDC4 | 0.0027131 | 278 | GTEx | DepMap | Descartes | 0.57 | 53.64 |
PTPRG | 0.0025883 | 305 | GTEx | DepMap | Descartes | 1.77 | 47.93 |
PROM1 | 0.0024182 | 340 | GTEx | DepMap | Descartes | 0.36 | 19.07 |
CRABP2 | 0.0024159 | 342 | GTEx | DepMap | Descartes | 2.12 | 445.22 |
MEOX1 | 0.0023157 | 377 | GTEx | DepMap | Descartes | 0.35 | 42.81 |
SEMA3F | 0.0023009 | 382 | GTEx | DepMap | Descartes | 0.73 | 56.30 |
PHLDB2 | 0.0022924 | 387 | GTEx | DepMap | Descartes | 1.15 | 51.98 |
NOTCH2 | 0.0022768 | 394 | GTEx | DepMap | Descartes | 2.09 | 49.65 |
SIX4 | 0.0022514 | 409 | GTEx | DepMap | Descartes | 0.23 | 9.99 |
CAPN6 | 0.0021109 | 476 | GTEx | DepMap | Descartes | 0.17 | 10.04 |
NOTCH2NL | 0.0020414 | 507 | GTEx | DepMap | Descartes | 0.50 | NA |
FGFR1 | 0.0020125 | 528 | GTEx | DepMap | Descartes | 2.04 | 88.25 |
FZD2 | 0.0020098 | 532 | GTEx | DepMap | Descartes | 0.90 | 61.73 |
PTBP1 | 0.0020088 | 534 | GTEx | DepMap | Descartes | 3.10 | 161.71 |
GAS1 | 0.0019317 | 576 | GTEx | DepMap | Descartes | 1.28 | 124.21 |
ELAVL1 | 0.0018621 | 610 | GTEx | DepMap | Descartes | 1.89 | 73.79 |
REST | 0.0018531 | 616 | GTEx | DepMap | Descartes | 1.66 | 59.95 |
Descartes adrenocortical markers
Top 50 marker genes of adrenocortical cells in the Decartes fetal adrenal single cell map (https://atlas.brotmanbaty.org/bbi/human-gene-expression-during-development/cell/adrenocortical/in/adrenal)
Wilcoxon ranksum test P-value for gene set overrepresentation: 1.00e+00
Mean rank of genes in gene set: 20589.15
Median rank of genes in gene set: 24719
Rank on gene expression program of top 30 genes in gene set:
Genes | Weight | Rank | GTEx | DepMap | Descartes | Mean.Counts | Mean.TPM |
---|---|---|---|---|---|---|---|
DNER | 0.0046687 | 90 | GTEx | DepMap | Descartes | 0.39 | 28.49 |
FREM2 | 0.0026128 | 297 | GTEx | DepMap | Descartes | 0.63 | 9.20 |
IGF1R | 0.0013096 | 1160 | GTEx | DepMap | Descartes | 1.51 | 35.48 |
PDE10A | 0.0010721 | 1661 | GTEx | DepMap | Descartes | 0.45 | 13.72 |
BAIAP2L1 | 0.0007214 | 3134 | GTEx | DepMap | Descartes | 0.24 | 14.58 |
SH3PXD2B | 0.0003312 | 6854 | GTEx | DepMap | Descartes | 0.20 | 6.73 |
SLC16A9 | 0.0000451 | 12742 | GTEx | DepMap | Descartes | 0.39 | 23.65 |
SGCZ | 0.0000255 | 13429 | GTEx | DepMap | Descartes | 0.00 | 0.05 |
SCAP | 0.0000003 | 14450 | GTEx | DepMap | Descartes | 0.46 | 27.39 |
CLU | -0.0000261 | 16548 | GTEx | DepMap | Descartes | 1.36 | 85.28 |
NPC1 | -0.0000506 | 18710 | GTEx | DepMap | Descartes | 0.10 | 5.74 |
DHCR7 | -0.0000972 | 20902 | GTEx | DepMap | Descartes | 0.29 | 23.55 |
FRMD5 | -0.0001093 | 21258 | GTEx | DepMap | Descartes | 0.02 | 1.19 |
SLC1A2 | -0.0001496 | 22201 | GTEx | DepMap | Descartes | 0.01 | 0.17 |
HMGCR | -0.0001791 | 22727 | GTEx | DepMap | Descartes | 0.59 | 29.42 |
PAPSS2 | -0.0001886 | 22867 | GTEx | DepMap | Descartes | 0.21 | 11.81 |
TM7SF2 | -0.0001965 | 22982 | GTEx | DepMap | Descartes | 0.63 | 72.00 |
CYB5B | -0.0001972 | 22988 | GTEx | DepMap | Descartes | 1.03 | 55.19 |
SLC2A14 | -0.0002382 | 23474 | GTEx | DepMap | Descartes | 0.01 | 0.75 |
HMGCS1 | -0.0002490 | 23571 | GTEx | DepMap | Descartes | 0.92 | 37.24 |
ERN1 | -0.0002984 | 24020 | GTEx | DepMap | Descartes | 0.11 | 3.85 |
PEG3 | -0.0003813 | 24531 | GTEx | DepMap | Descartes | 1.33 | NA |
CYP17A1 | -0.0004129 | 24683 | GTEx | DepMap | Descartes | 0.28 | 21.44 |
HSPD1 | -0.0004291 | 24755 | GTEx | DepMap | Descartes | 6.00 | 539.12 |
LINC00473 | -0.0004539 | 24858 | GTEx | DepMap | Descartes | 0.02 | NA |
CYP11B1 | -0.0004548 | 24865 | GTEx | DepMap | Descartes | 0.15 | 9.52 |
MSMO1 | -0.0004766 | 24933 | GTEx | DepMap | Descartes | 0.70 | 64.53 |
CYP21A2 | -0.0004875 | 24980 | GTEx | DepMap | Descartes | 0.24 | 15.29 |
FDPS | -0.0005234 | 25117 | GTEx | DepMap | Descartes | 1.49 | 142.35 |
JAKMIP2 | -0.0005481 | 25189 | GTEx | DepMap | Descartes | 0.08 | 2.57 |
Descartes chromaffin markers
Top 50 marker genes of chromaffin cells in the Decartes fetal adrenal single cell map (https://atlas.brotmanbaty.org/bbi/human-gene-expression-during-development/cell/chromaffin/in/adrenal)
Wilcoxon ranksum test P-value for gene set overrepresentation: 1.00e+00
Mean rank of genes in gene set: 17461.82
Median rank of genes in gene set: 22281
Rank on gene expression program of top 30 genes in gene set:
Genes | Weight | Rank | GTEx | DepMap | Descartes | Mean.Counts | Mean.TPM |
---|---|---|---|---|---|---|---|
EYA1 | 0.0039884 | 123 | GTEx | DepMap | Descartes | 1.21 | 90.30 |
FAT3 | 0.0023073 | 378 | GTEx | DepMap | Descartes | 0.82 | 14.74 |
CCND1 | 0.0018286 | 629 | GTEx | DepMap | Descartes | 3.12 | 153.67 |
TUBB2B | 0.0015991 | 798 | GTEx | DepMap | Descartes | 2.92 | 290.55 |
BASP1 | 0.0010614 | 1697 | GTEx | DepMap | Descartes | 1.60 | 200.70 |
SLC44A5 | 0.0009645 | 1994 | GTEx | DepMap | Descartes | 0.07 | 4.21 |
CNTFR | 0.0004228 | 5663 | GTEx | DepMap | Descartes | 0.50 | 73.62 |
PLXNA4 | 0.0002958 | 7371 | GTEx | DepMap | Descartes | 0.18 | 2.66 |
RGMB | 0.0002885 | 7495 | GTEx | DepMap | Descartes | 0.24 | 14.07 |
CNKSR2 | 0.0001828 | 9292 | GTEx | DepMap | Descartes | 0.10 | 2.94 |
KCNB2 | 0.0001746 | 9469 | GTEx | DepMap | Descartes | 0.03 | 2.11 |
MLLT11 | 0.0001317 | 10440 | GTEx | DepMap | Descartes | 0.75 | 70.37 |
ANKFN1 | 0.0001301 | 10466 | GTEx | DepMap | Descartes | 0.02 | 1.24 |
ALK | 0.0000273 | 13362 | GTEx | DepMap | Descartes | 0.02 | 1.39 |
EYA4 | -0.0000095 | 15037 | GTEx | DepMap | Descartes | 0.07 | 3.62 |
NTRK1 | -0.0000448 | 18245 | GTEx | DepMap | Descartes | 0.02 | 2.02 |
HS3ST5 | -0.0000969 | 20891 | GTEx | DepMap | Descartes | 0.00 | 0.17 |
ELAVL2 | -0.0001087 | 21243 | GTEx | DepMap | Descartes | 0.16 | 11.61 |
PTCHD1 | -0.0001156 | 21429 | GTEx | DepMap | Descartes | 0.01 | 0.19 |
GREM1 | -0.0001192 | 21515 | GTEx | DepMap | Descartes | 0.03 | 0.46 |
EPHA6 | -0.0001341 | 21859 | GTEx | DepMap | Descartes | 0.01 | 0.39 |
REEP1 | -0.0001474 | 22157 | GTEx | DepMap | Descartes | 0.05 | 3.63 |
TMEFF2 | -0.0001607 | 22405 | GTEx | DepMap | Descartes | 0.03 | 2.45 |
RYR2 | -0.0001618 | 22434 | GTEx | DepMap | Descartes | 0.03 | 0.42 |
RPH3A | -0.0001684 | 22547 | GTEx | DepMap | Descartes | 0.00 | 0.28 |
RBFOX1 | -0.0001709 | 22594 | GTEx | DepMap | Descartes | 0.05 | 2.11 |
TMEM132C | -0.0001718 | 22609 | GTEx | DepMap | Descartes | 0.01 | 0.39 |
HMX1 | -0.0001810 | 22752 | GTEx | DepMap | Descartes | 0.00 | 0.18 |
TUBA1A | -0.0002241 | 23322 | GTEx | DepMap | Descartes | 5.54 | 662.30 |
IL7 | -0.0002621 | 23706 | GTEx | DepMap | Descartes | 0.00 | 0.00 |
Descartes Vascular_endothelial markers
Top 50 marker genes of Vascular_endothelial cells in the Decartes fetal adrenal single cell map (https://atlas.brotmanbaty.org/bbi/human-gene-expression-during-development/cell/vascular_endothelial/in/adrenal)
Wilcoxon ranksum test P-value for gene set overrepresentation: 1.00e+00
Mean rank of genes in gene set: 24520.52
Median rank of genes in gene set: 25220
Rank on gene expression program of top 30 genes in gene set:
Genes | Weight | Rank | GTEx | DepMap | Descartes | Mean.Counts | Mean.TPM |
---|---|---|---|---|---|---|---|
ID1 | 0.0003969 | 5976 | GTEx | DepMap | Descartes | 5.16 | 877.40 |
EFNB2 | -0.0001390 | 21970 | GTEx | DepMap | Descartes | 1.31 | 68.16 |
ARHGAP29 | -0.0001624 | 22447 | GTEx | DepMap | Descartes | 1.07 | 28.22 |
MYRIP | -0.0001915 | 22899 | GTEx | DepMap | Descartes | 0.01 | 0.87 |
CDH13 | -0.0002374 | 23464 | GTEx | DepMap | Descartes | 0.05 | 1.53 |
ESM1 | -0.0002662 | 23742 | GTEx | DepMap | Descartes | 0.01 | 0.91 |
NR5A2 | -0.0002982 | 24017 | GTEx | DepMap | Descartes | 0.00 | 0.15 |
GALNT15 | -0.0003014 | 24038 | GTEx | DepMap | Descartes | 0.02 | NA |
SLCO2A1 | -0.0003134 | 24135 | GTEx | DepMap | Descartes | 0.11 | 6.88 |
CHRM3 | -0.0004217 | 24725 | GTEx | DepMap | Descartes | 0.06 | 1.79 |
FLT4 | -0.0004310 | 24767 | GTEx | DepMap | Descartes | 0.08 | 3.29 |
APLNR | -0.0004500 | 24842 | GTEx | DepMap | Descartes | 0.11 | 8.85 |
IRX3 | -0.0004622 | 24888 | GTEx | DepMap | Descartes | 0.12 | 9.31 |
DNASE1L3 | -0.0004714 | 24912 | GTEx | DepMap | Descartes | 0.03 | 2.02 |
SHANK3 | -0.0004835 | 24964 | GTEx | DepMap | Descartes | 0.12 | 4.07 |
NPR1 | -0.0004949 | 25008 | GTEx | DepMap | Descartes | 0.17 | 10.11 |
CRHBP | -0.0005146 | 25081 | GTEx | DepMap | Descartes | 0.05 | 2.72 |
PODXL | -0.0005191 | 25103 | GTEx | DepMap | Descartes | 1.85 | 75.52 |
CEACAM1 | -0.0005423 | 25175 | GTEx | DepMap | Descartes | 0.03 | 1.85 |
NOTCH4 | -0.0005457 | 25180 | GTEx | DepMap | Descartes | 0.08 | 2.27 |
CYP26B1 | -0.0005460 | 25181 | GTEx | DepMap | Descartes | 0.12 | 5.66 |
BTNL9 | -0.0005466 | 25182 | GTEx | DepMap | Descartes | 0.06 | 4.10 |
SHE | -0.0005764 | 25258 | GTEx | DepMap | Descartes | 0.02 | 0.93 |
CLDN5 | -0.0005876 | 25280 | GTEx | DepMap | Descartes | 0.59 | 52.25 |
FCGR2B | -0.0006216 | 25358 | GTEx | DepMap | Descartes | 0.01 | 0.42 |
TEK | -0.0006547 | 25414 | GTEx | DepMap | Descartes | 0.07 | 2.80 |
HYAL2 | -0.0006558 | 25416 | GTEx | DepMap | Descartes | 0.67 | 36.37 |
ROBO4 | -0.0006562 | 25419 | GTEx | DepMap | Descartes | 0.04 | 2.23 |
TIE1 | -0.0006656 | 25430 | GTEx | DepMap | Descartes | 0.05 | 2.81 |
PTPRB | -0.0006737 | 25449 | GTEx | DepMap | Descartes | 0.04 | 0.93 |
Descartes stromal markers
Top 50 marker genes of stromal cells in the Decartes fetal adrenal single cell map (https://atlas.brotmanbaty.org/bbi/human-gene-expression-during-development/cell/stromal/in/adrenal)
Wilcoxon ranksum test P-value for gene set overrepresentation: 1.00e+00
Mean rank of genes in gene set: 19315.65
Median rank of genes in gene set: 23755
Rank on gene expression program of top 30 genes in gene set:
Genes | Weight | Rank | GTEx | DepMap | Descartes | Mean.Counts | Mean.TPM |
---|---|---|---|---|---|---|---|
ZNF385D | 0.0020380 | 510 | GTEx | DepMap | Descartes | 0.27 | 5.41 |
FREM1 | 0.0015926 | 806 | GTEx | DepMap | Descartes | 0.91 | 23.54 |
CCDC80 | 0.0007187 | 3158 | GTEx | DepMap | Descartes | 1.02 | 23.17 |
COL27A1 | 0.0006834 | 3378 | GTEx | DepMap | Descartes | 0.35 | 12.37 |
PCDH18 | 0.0005266 | 4633 | GTEx | DepMap | Descartes | 1.22 | 62.45 |
GLI2 | 0.0004760 | 5106 | GTEx | DepMap | Descartes | 0.19 | 7.93 |
BICC1 | 0.0004078 | 5839 | GTEx | DepMap | Descartes | 0.52 | 20.13 |
CLDN11 | 0.0003691 | 6327 | GTEx | DepMap | Descartes | 1.12 | 117.38 |
ABCC9 | 0.0002615 | 7930 | GTEx | DepMap | Descartes | 0.32 | 9.78 |
CDH11 | 0.0001643 | 9698 | GTEx | DepMap | Descartes | 1.70 | 73.44 |
SFRP2 | 0.0001348 | 10357 | GTEx | DepMap | Descartes | 0.38 | 33.75 |
EDNRA | 0.0000512 | 12536 | GTEx | DepMap | Descartes | 0.48 | 29.59 |
PRICKLE1 | 0.0000305 | 13243 | GTEx | DepMap | Descartes | 0.33 | 15.90 |
MXRA5 | 0.0000119 | 13932 | GTEx | DepMap | Descartes | 0.15 | 4.55 |
PDGFRA | -0.0000769 | 20171 | GTEx | DepMap | Descartes | 0.88 | 38.83 |
POSTN | -0.0000918 | 20740 | GTEx | DepMap | Descartes | 2.23 | 168.79 |
SCARA5 | -0.0001592 | 22384 | GTEx | DepMap | Descartes | 0.02 | 0.97 |
LAMC3 | -0.0001665 | 22515 | GTEx | DepMap | Descartes | 0.17 | 5.32 |
ACTA2 | -0.0001729 | 22619 | GTEx | DepMap | Descartes | 0.69 | 116.15 |
LUM | -0.0001821 | 22776 | GTEx | DepMap | Descartes | 0.16 | 12.21 |
COL6A3 | -0.0001992 | 23005 | GTEx | DepMap | Descartes | 1.42 | 38.68 |
GAS2 | -0.0002168 | 23237 | GTEx | DepMap | Descartes | 0.03 | 4.30 |
CCDC102B | -0.0002315 | 23399 | GTEx | DepMap | Descartes | 0.09 | 7.54 |
ABCA6 | -0.0002536 | 23622 | GTEx | DepMap | Descartes | 0.02 | 1.08 |
ITGA11 | -0.0002672 | 23755 | GTEx | DepMap | Descartes | 0.05 | 1.31 |
ADAMTSL3 | -0.0002885 | 23931 | GTEx | DepMap | Descartes | 0.03 | 1.00 |
DKK2 | -0.0002976 | 24009 | GTEx | DepMap | Descartes | 0.11 | 6.76 |
LOX | -0.0003080 | 24094 | GTEx | DepMap | Descartes | 0.18 | 9.10 |
ADAMTS2 | -0.0003192 | 24175 | GTEx | DepMap | Descartes | 0.10 | 4.13 |
FNDC1 | -0.0003456 | 24340 | GTEx | DepMap | Descartes | 0.02 | 0.58 |
Descartes sympathoblasts markers
Top 50 marker genes of sympathoblasts cells in the Decartes fetal adrenal single cell map (https://atlas.brotmanbaty.org/bbi/human-gene-expression-during-development/cell/sympathoblasts/in/adrenal)
Wilcoxon ranksum test P-value for gene set overrepresentation: 9.97e-01
Mean rank of genes in gene set: 15954.09
Median rank of genes in gene set: 19524
Rank on gene expression program of top 30 genes in gene set:
Genes | Weight | Rank | GTEx | DepMap | Descartes | Mean.Counts | Mean.TPM |
---|---|---|---|---|---|---|---|
CCSER1 | 0.0012425 | 1265 | GTEx | DepMap | Descartes | 0.25 | NA |
ROBO1 | 0.0012090 | 1328 | GTEx | DepMap | Descartes | 1.07 | 42.44 |
SORCS3 | 0.0007966 | 2722 | GTEx | DepMap | Descartes | 0.12 | 6.00 |
KSR2 | 0.0006487 | 3619 | GTEx | DepMap | Descartes | 0.06 | 0.80 |
TENM1 | 0.0005608 | 4311 | GTEx | DepMap | Descartes | 0.07 | NA |
HTATSF1 | 0.0004605 | 5249 | GTEx | DepMap | Descartes | 1.23 | 94.07 |
PACRG | 0.0003976 | 5967 | GTEx | DepMap | Descartes | 0.08 | 13.64 |
DGKK | 0.0003816 | 6183 | GTEx | DepMap | Descartes | 0.13 | 4.14 |
CNTN3 | 0.0003585 | 6470 | GTEx | DepMap | Descartes | 0.10 | 5.92 |
TIAM1 | 0.0003571 | 6491 | GTEx | DepMap | Descartes | 0.47 | 19.59 |
CDH12 | 0.0003397 | 6718 | GTEx | DepMap | Descartes | 0.08 | 4.73 |
GRM7 | 0.0002285 | 8468 | GTEx | DepMap | Descartes | 0.08 | 5.05 |
SPOCK3 | 0.0002241 | 8541 | GTEx | DepMap | Descartes | 0.13 | 13.85 |
FAM155A | 0.0001930 | 9110 | GTEx | DepMap | Descartes | 0.04 | 1.06 |
PCSK1N | 0.0000825 | 11630 | GTEx | DepMap | Descartes | 1.11 | 275.89 |
GALNTL6 | 0.0000367 | 13022 | GTEx | DepMap | Descartes | 0.01 | 0.32 |
TMEM130 | 0.0000081 | 14089 | GTEx | DepMap | Descartes | 0.03 | 2.78 |
AGBL4 | -0.0000086 | 14973 | GTEx | DepMap | Descartes | 0.02 | 1.24 |
FGF14 | -0.0000156 | 15536 | GTEx | DepMap | Descartes | 0.05 | 0.75 |
SLC35F3 | -0.0000341 | 17304 | GTEx | DepMap | Descartes | 0.00 | 0.16 |
ARC | -0.0000444 | 18224 | GTEx | DepMap | Descartes | 0.07 | 5.44 |
LAMA3 | -0.0000586 | 19229 | GTEx | DepMap | Descartes | 0.03 | 1.01 |
KCTD16 | -0.0000693 | 19819 | GTEx | DepMap | Descartes | 0.04 | 0.66 |
GCH1 | -0.0000862 | 20544 | GTEx | DepMap | Descartes | 0.08 | 6.76 |
TBX20 | -0.0001038 | 21103 | GTEx | DepMap | Descartes | 0.00 | 0.00 |
SLC24A2 | -0.0001123 | 21339 | GTEx | DepMap | Descartes | 0.02 | 0.36 |
CNTNAP5 | -0.0001151 | 21415 | GTEx | DepMap | Descartes | 0.00 | 0.09 |
EML6 | -0.0001369 | 21925 | GTEx | DepMap | Descartes | 0.05 | 1.15 |
C1QL1 | -0.0001457 | 22118 | GTEx | DepMap | Descartes | 0.13 | 18.08 |
ST18 | -0.0001469 | 22141 | GTEx | DepMap | Descartes | 0.01 | 0.67 |
Descartes erythroblasts markers
Top 50 marker genes of erythroblasts cells in the Decartes fetal adrenal single cell map (https://atlas.brotmanbaty.org/bbi/human-gene-expression-during-development/cell/erythroblasts/in/adrenal)
Wilcoxon ranksum test P-value for gene set overrepresentation: 1.00e+00
Mean rank of genes in gene set: 22447.23
Median rank of genes in gene set: 24952
Rank on gene expression program of top 30 genes in gene set:
Genes | Weight | Rank | GTEx | DepMap | Descartes | Mean.Counts | Mean.TPM |
---|---|---|---|---|---|---|---|
HECTD4 | 0.0006082 | 3917 | GTEx | DepMap | Descartes | 0.59 | NA |
EPB41 | 0.0005190 | 4715 | GTEx | DepMap | Descartes | 1.15 | 49.27 |
XPO7 | 0.0002259 | 8508 | GTEx | DepMap | Descartes | 0.61 | 33.47 |
SOX6 | 0.0001566 | 9854 | GTEx | DepMap | Descartes | 0.31 | 9.02 |
RAPGEF2 | 0.0001134 | 10827 | GTEx | DepMap | Descartes | 0.47 | 15.88 |
SPTB | 0.0000107 | 13980 | GTEx | DepMap | Descartes | 0.10 | 3.05 |
SLC25A21 | 0.0000019 | 14385 | GTEx | DepMap | Descartes | 0.04 | 2.34 |
SPECC1 | -0.0000584 | 19214 | GTEx | DepMap | Descartes | 0.30 | 9.06 |
TRAK2 | -0.0001344 | 21865 | GTEx | DepMap | Descartes | 0.23 | 8.80 |
DENND4A | -0.0001786 | 22713 | GTEx | DepMap | Descartes | 0.20 | 6.14 |
TSPAN5 | -0.0002282 | 23363 | GTEx | DepMap | Descartes | 0.25 | 15.98 |
RHD | -0.0002287 | 23369 | GTEx | DepMap | Descartes | 0.00 | 0.38 |
ABCB10 | -0.0002323 | 23407 | GTEx | DepMap | Descartes | 0.19 | 13.41 |
GCLC | -0.0002487 | 23569 | GTEx | DepMap | Descartes | 0.16 | 10.69 |
RGS6 | -0.0002653 | 23734 | GTEx | DepMap | Descartes | 0.01 | 0.35 |
TFR2 | -0.0002678 | 23764 | GTEx | DepMap | Descartes | 0.04 | 1.89 |
HBZ | -0.0002883 | 23930 | GTEx | DepMap | Descartes | 0.78 | 178.10 |
GYPE | -0.0003084 | 24098 | GTEx | DepMap | Descartes | 0.02 | 3.24 |
TMCC2 | -0.0003186 | 24172 | GTEx | DepMap | Descartes | 0.07 | 4.32 |
TMEM56 | -0.0003720 | 24483 | GTEx | DepMap | Descartes | 0.15 | NA |
ANK1 | -0.0004309 | 24766 | GTEx | DepMap | Descartes | 0.02 | 0.73 |
SPTA1 | -0.0004423 | 24815 | GTEx | DepMap | Descartes | 0.00 | 0.06 |
MICAL2 | -0.0004539 | 24859 | GTEx | DepMap | Descartes | 0.02 | 0.83 |
RHCE | -0.0004798 | 24948 | GTEx | DepMap | Descartes | 0.01 | 0.57 |
CR1L | -0.0004809 | 24956 | GTEx | DepMap | Descartes | 0.01 | 0.64 |
CPOX | -0.0004851 | 24972 | GTEx | DepMap | Descartes | 0.22 | 21.19 |
CAT | -0.0004884 | 24982 | GTEx | DepMap | Descartes | 0.54 | 57.42 |
MARCH3 | -0.0005042 | 25044 | GTEx | DepMap | Descartes | 0.10 | NA |
SLC4A1 | -0.0005147 | 25082 | GTEx | DepMap | Descartes | 0.06 | 2.25 |
RHAG | -0.0005255 | 25126 | GTEx | DepMap | Descartes | 0.00 | 0.54 |
Descartes myeloid markers
Top 50 marker genes of myeloid cells in the Decartes fetal adrenal single cell map (https://atlas.brotmanbaty.org/bbi/human-gene-expression-during-development/cell/myeloid/in/adrenal)
Wilcoxon ranksum test P-value for gene set overrepresentation: 1.00e+00
Mean rank of genes in gene set: 21118.5
Median rank of genes in gene set: 23392
Rank on gene expression program of top 30 genes in gene set:
Genes | Weight | Rank | GTEx | DepMap | Descartes | Mean.Counts | Mean.TPM |
---|---|---|---|---|---|---|---|
FMN1 | 0.0012949 | 1179 | GTEx | DepMap | Descartes | 0.32 | 4.99 |
RBPJ | 0.0012449 | 1260 | GTEx | DepMap | Descartes | 2.13 | 96.35 |
WWP1 | 0.0001617 | 9759 | GTEx | DepMap | Descartes | 0.41 | 22.48 |
MERTK | 0.0000889 | 11438 | GTEx | DepMap | Descartes | 0.15 | 10.78 |
ITPR2 | 0.0000860 | 11519 | GTEx | DepMap | Descartes | 0.50 | 10.51 |
CTSD | -0.0000055 | 14767 | GTEx | DepMap | Descartes | 1.48 | 169.20 |
CST3 | -0.0000206 | 16008 | GTEx | DepMap | Descartes | 2.53 | 166.40 |
SPP1 | -0.0000288 | 16810 | GTEx | DepMap | Descartes | 0.45 | 55.00 |
FGL2 | -0.0000313 | 17055 | GTEx | DepMap | Descartes | 0.04 | 2.67 |
TGFBI | -0.0000671 | 19715 | GTEx | DepMap | Descartes | 0.42 | 25.27 |
MS4A4E | -0.0000677 | 19749 | GTEx | DepMap | Descartes | 0.00 | 0.00 |
MSR1 | -0.0000880 | 20603 | GTEx | DepMap | Descartes | 0.02 | 1.22 |
CD163L1 | -0.0000942 | 20812 | GTEx | DepMap | Descartes | 0.00 | 0.00 |
ATP8B4 | -0.0001248 | 21670 | GTEx | DepMap | Descartes | 0.02 | 0.61 |
SFMBT2 | -0.0001470 | 22146 | GTEx | DepMap | Descartes | 0.12 | 3.86 |
CPVL | -0.0001500 | 22213 | GTEx | DepMap | Descartes | 0.18 | 15.34 |
HCK | -0.0001579 | 22356 | GTEx | DepMap | Descartes | 0.00 | 0.28 |
FGD2 | -0.0001768 | 22683 | GTEx | DepMap | Descartes | 0.00 | 0.10 |
LGMN | -0.0001872 | 22844 | GTEx | DepMap | Descartes | 0.45 | 46.68 |
MARCH1 | -0.0001972 | 22991 | GTEx | DepMap | Descartes | 0.01 | NA |
SLCO2B1 | -0.0002006 | 23029 | GTEx | DepMap | Descartes | 0.01 | 0.27 |
ADAP2 | -0.0002020 | 23053 | GTEx | DepMap | Descartes | 0.01 | 1.36 |
MS4A4A | -0.0002096 | 23146 | GTEx | DepMap | Descartes | 0.00 | 0.58 |
AXL | -0.0002255 | 23337 | GTEx | DepMap | Descartes | 0.23 | 12.91 |
MPEG1 | -0.0002306 | 23384 | GTEx | DepMap | Descartes | 0.00 | 0.21 |
CD14 | -0.0002317 | 23400 | GTEx | DepMap | Descartes | 0.02 | 2.30 |
CD74 | -0.0002375 | 23466 | GTEx | DepMap | Descartes | 0.35 | 27.64 |
HLA-DRA | -0.0002380 | 23470 | GTEx | DepMap | Descartes | 0.02 | 3.24 |
MS4A7 | -0.0002394 | 23489 | GTEx | DepMap | Descartes | 0.02 | 1.19 |
HLA-DPA1 | -0.0002404 | 23498 | GTEx | DepMap | Descartes | 0.02 | 0.84 |
Descartes Schwann markers
Top 50 marker genes of Schwann cells in the Decartes fetal adrenal single cell map (https://atlas.brotmanbaty.org/bbi/human-gene-expression-during-development/cell/schwann/in/adrenal)
Wilcoxon ranksum test P-value for gene set overrepresentation: 9.65e-01
Mean rank of genes in gene set: 14828.12
Median rank of genes in gene set: 13051
Rank on gene expression program of top 30 genes in gene set:
Genes | Weight | Rank | GTEx | DepMap | Descartes | Mean.Counts | Mean.TPM |
---|---|---|---|---|---|---|---|
ERBB4 | 0.0123298 | 5 | GTEx | DepMap | Descartes | 1.10 | 21.90 |
HMGA2 | 0.0056635 | 66 | GTEx | DepMap | Descartes | 5.37 | 167.73 |
LAMB1 | 0.0028633 | 251 | GTEx | DepMap | Descartes | 2.33 | 104.10 |
VCAN | 0.0022568 | 406 | GTEx | DepMap | Descartes | 5.02 | 121.10 |
LAMC1 | 0.0015759 | 824 | GTEx | DepMap | Descartes | 1.55 | 48.56 |
COL18A1 | 0.0013611 | 1079 | GTEx | DepMap | Descartes | 1.49 | 55.58 |
LAMA4 | 0.0013517 | 1093 | GTEx | DepMap | Descartes | 1.83 | 73.80 |
NRXN3 | 0.0008253 | 2575 | GTEx | DepMap | Descartes | 0.17 | 5.51 |
ADAMTS5 | 0.0007012 | 3274 | GTEx | DepMap | Descartes | 0.42 | 11.92 |
FIGN | 0.0006313 | 3734 | GTEx | DepMap | Descartes | 0.46 | 13.20 |
ERBB3 | 0.0005394 | 4508 | GTEx | DepMap | Descartes | 0.36 | 14.36 |
SORCS1 | 0.0005130 | 4771 | GTEx | DepMap | Descartes | 0.10 | 3.03 |
GAS7 | 0.0004549 | 5305 | GTEx | DepMap | Descartes | 0.27 | 7.52 |
IL1RAPL1 | 0.0002793 | 7643 | GTEx | DepMap | Descartes | 0.08 | 5.86 |
COL25A1 | 0.0002716 | 7758 | GTEx | DepMap | Descartes | 0.21 | 8.38 |
MDGA2 | 0.0002515 | 8075 | GTEx | DepMap | Descartes | 0.06 | 2.61 |
TRPM3 | 0.0002084 | 8820 | GTEx | DepMap | Descartes | 0.21 | 3.41 |
GRIK3 | 0.0001851 | 9262 | GTEx | DepMap | Descartes | 0.03 | 0.79 |
NRXN1 | 0.0001742 | 9478 | GTEx | DepMap | Descartes | 0.49 | 17.39 |
SCN7A | 0.0001591 | 9799 | GTEx | DepMap | Descartes | 0.13 | 4.68 |
SOX5 | 0.0000781 | 11744 | GTEx | DepMap | Descartes | 0.12 | 4.64 |
IL1RAPL2 | 0.0000453 | 12735 | GTEx | DepMap | Descartes | 0.00 | 0.21 |
KCTD12 | 0.0000426 | 12824 | GTEx | DepMap | Descartes | 0.51 | 20.49 |
EGFLAM | 0.0000404 | 12909 | GTEx | DepMap | Descartes | 0.13 | 8.81 |
NLGN4X | 0.0000358 | 13051 | GTEx | DepMap | Descartes | 0.18 | 7.51 |
PPP2R2B | -0.0000678 | 19752 | GTEx | DepMap | Descartes | 0.05 | 1.20 |
XKR4 | -0.0001591 | 22382 | GTEx | DepMap | Descartes | 0.05 | 0.66 |
LRRTM4 | -0.0001770 | 22687 | GTEx | DepMap | Descartes | 0.01 | 0.57 |
STARD13 | -0.0001813 | 22763 | GTEx | DepMap | Descartes | 0.13 | 5.19 |
MARCKS | -0.0002223 | 23305 | GTEx | DepMap | Descartes | 6.89 | 379.61 |
Descartes Megakaryocytes markers
Top 50 marker genes of Megakaryocytes cells in the Decartes fetal adrenal single cell map (https://atlas.brotmanbaty.org/bbi/human-gene-expression-during-development/cell/megakaryocytes/in/adrenal)
Wilcoxon ranksum test P-value for gene set overrepresentation: 1.00e+00
Mean rank of genes in gene set: 18192.24
Median rank of genes in gene set: 22397
Rank on gene expression program of top 30 genes in gene set:
Genes | Weight | Rank | GTEx | DepMap | Descartes | Mean.Counts | Mean.TPM |
---|---|---|---|---|---|---|---|
HIPK2 | 0.0038664 | 135 | GTEx | DepMap | Descartes | 2.85 | 52.60 |
LTBP1 | 0.0015843 | 815 | GTEx | DepMap | Descartes | 1.34 | 59.42 |
DOK6 | 0.0011729 | 1402 | GTEx | DepMap | Descartes | 0.28 | 6.64 |
INPP4B | 0.0010419 | 1742 | GTEx | DepMap | Descartes | 0.16 | 4.09 |
STON2 | 0.0008889 | 2274 | GTEx | DepMap | Descartes | 0.41 | 21.40 |
ARHGAP6 | 0.0008252 | 2577 | GTEx | DepMap | Descartes | 0.16 | 6.55 |
TRPC6 | 0.0007657 | 2877 | GTEx | DepMap | Descartes | 0.09 | 4.33 |
ACTN1 | 0.0006709 | 3477 | GTEx | DepMap | Descartes | 0.82 | 44.36 |
FLNA | 0.0005054 | 4846 | GTEx | DepMap | Descartes | 2.18 | 68.59 |
VCL | 0.0004479 | 5385 | GTEx | DepMap | Descartes | 1.11 | 36.71 |
PSTPIP2 | 0.0001307 | 10453 | GTEx | DepMap | Descartes | 0.13 | 9.45 |
MYH9 | 0.0000474 | 12666 | GTEx | DepMap | Descartes | 1.37 | 47.51 |
PDE3A | 0.0000306 | 13238 | GTEx | DepMap | Descartes | 0.18 | 6.52 |
MED12L | -0.0000333 | 17232 | GTEx | DepMap | Descartes | 0.16 | 3.62 |
ITGA2B | -0.0000547 | 18982 | GTEx | DepMap | Descartes | 0.02 | 1.52 |
ITGB3 | -0.0000589 | 19246 | GTEx | DepMap | Descartes | 0.02 | 0.58 |
MCTP1 | -0.0000720 | 19973 | GTEx | DepMap | Descartes | 0.02 | 0.56 |
PF4 | -0.0000759 | 20133 | GTEx | DepMap | Descartes | 0.00 | 0.56 |
PPBP | -0.0000874 | 20588 | GTEx | DepMap | Descartes | 0.00 | 0.72 |
GP1BA | -0.0000901 | 20676 | GTEx | DepMap | Descartes | 0.00 | 0.00 |
SLC24A3 | -0.0001120 | 21327 | GTEx | DepMap | Descartes | 0.03 | 2.12 |
LIMS1 | -0.0001419 | 22030 | GTEx | DepMap | Descartes | 1.07 | 58.15 |
MYLK | -0.0001461 | 22122 | GTEx | DepMap | Descartes | 0.39 | 10.47 |
SPN | -0.0001493 | 22193 | GTEx | DepMap | Descartes | 0.03 | 0.92 |
GP9 | -0.0001603 | 22397 | GTEx | DepMap | Descartes | 0.00 | 0.75 |
ZYX | -0.0001603 | 22399 | GTEx | DepMap | Descartes | 0.35 | 40.26 |
UBASH3B | -0.0001780 | 22708 | GTEx | DepMap | Descartes | 0.07 | 2.52 |
P2RX1 | -0.0001831 | 22790 | GTEx | DepMap | Descartes | 0.00 | 0.16 |
CD84 | -0.0001933 | 22924 | GTEx | DepMap | Descartes | 0.01 | 0.18 |
PLEK | -0.0002090 | 23136 | GTEx | DepMap | Descartes | 0.01 | 0.34 |
Descartes Lyphoid markers
Top 50 marker genes of Lyphoid cells in the Decartes fetal adrenal single cell map (https://atlas.brotmanbaty.org/bbi/human-gene-expression-during-development/cell/lymphoid/in/adrenal)
Wilcoxon ranksum test P-value for gene set overrepresentation: 9.99e-01
Mean rank of genes in gene set: 16138.79
Median rank of genes in gene set: 22260
Rank on gene expression program of top 30 genes in gene set:
Genes | Weight | Rank | GTEx | DepMap | Descartes | Mean.Counts | Mean.TPM |
---|---|---|---|---|---|---|---|
ABLIM1 | 0.0046291 | 91 | GTEx | DepMap | Descartes | 1.09 | 35.35 |
SORL1 | 0.0022504 | 411 | GTEx | DepMap | Descartes | 0.69 | 15.51 |
BACH2 | 0.0020225 | 520 | GTEx | DepMap | Descartes | 0.34 | 10.96 |
STK39 | 0.0019256 | 580 | GTEx | DepMap | Descartes | 0.50 | 37.43 |
EVL | 0.0014731 | 930 | GTEx | DepMap | Descartes | 1.63 | 114.02 |
FOXP1 | 0.0014333 | 972 | GTEx | DepMap | Descartes | 1.44 | 44.38 |
RAP1GAP2 | 0.0011811 | 1390 | GTEx | DepMap | Descartes | 0.13 | 5.03 |
LEF1 | 0.0009400 | 2084 | GTEx | DepMap | Descartes | 0.52 | 35.97 |
BCL2 | 0.0007715 | 2847 | GTEx | DepMap | Descartes | 0.54 | 20.35 |
ARID5B | 0.0006041 | 3944 | GTEx | DepMap | Descartes | 0.99 | 32.72 |
PDE3B | 0.0005609 | 4306 | GTEx | DepMap | Descartes | 0.24 | 9.73 |
PITPNC1 | 0.0004807 | 5057 | GTEx | DepMap | Descartes | 0.25 | 8.23 |
PLEKHA2 | 0.0004162 | 5744 | GTEx | DepMap | Descartes | 0.42 | 23.25 |
SKAP1 | 0.0003403 | 6708 | GTEx | DepMap | Descartes | 0.04 | 6.21 |
CELF2 | 0.0002920 | 7428 | GTEx | DepMap | Descartes | 0.33 | 9.63 |
TOX | 0.0002440 | 8207 | GTEx | DepMap | Descartes | 0.14 | 10.38 |
NCALD | 0.0001683 | 9591 | GTEx | DepMap | Descartes | 0.25 | 16.24 |
FYN | 0.0001457 | 10103 | GTEx | DepMap | Descartes | 0.73 | 51.29 |
ITPKB | 0.0001170 | 10743 | GTEx | DepMap | Descartes | 0.17 | 6.67 |
MCTP2 | -0.0000186 | 15841 | GTEx | DepMap | Descartes | 0.14 | 5.02 |
LINC00299 | -0.0000604 | 19352 | GTEx | DepMap | Descartes | 0.00 | 0.05 |
CCL5 | -0.0001279 | 21735 | GTEx | DepMap | Descartes | 0.01 | 3.21 |
SCML4 | -0.0001329 | 21835 | GTEx | DepMap | Descartes | 0.01 | 0.60 |
MSN | -0.0001512 | 22237 | GTEx | DepMap | Descartes | 0.63 | 40.79 |
NKG7 | -0.0001538 | 22283 | GTEx | DepMap | Descartes | 0.01 | 7.25 |
WIPF1 | -0.0001884 | 22861 | GTEx | DepMap | Descartes | 0.20 | 10.60 |
SAMD3 | -0.0002059 | 23095 | GTEx | DepMap | Descartes | 0.01 | 1.10 |
TMSB10 | -0.0002250 | 23330 | GTEx | DepMap | Descartes | 22.49 | 9665.76 |
PTPRC | -0.0002443 | 23535 | GTEx | DepMap | Descartes | 0.01 | 0.75 |
DOCK10 | -0.0003027 | 24048 | GTEx | DepMap | Descartes | 0.01 | 0.35 |
Below shows the ranks on this GEP for immune marker gene lists curated by CellTypist (https://www.celltypist.org/encyclopedia).
High ranks indicate this gene is a driver of this GEP.
These curated gene list are ranked by P-value (on this GEP) of their constituent genes.
The Mean Count column shows the mean read count in cells scoring highly (H > 50) on this gene expression program.
Genes | Weight | Rank | GTEx | DepMap | Decartes | Mean.Counts | Mean.TPM |
---|---|---|---|---|---|---|---|
WFDC2 | 0.0067258 | 45 | GTEx | DepMap | Descartes | 2.54 | 634.06 |
DSP | 0.0059773 | 59 | GTEx | DepMap | Descartes | 2.35 | 64.48 |
CDH3 | 0.0046186 | 92 | GTEx | DepMap | Descartes | 0.31 | 16.81 |
FOXN1 | 0.0005912 | 4055 | GTEx | DepMap | Descartes | 0.01 | 0.82 |
COL17A1 | 0.0003102 | 7164 | GTEx | DepMap | Descartes | 0.00 | 0.00 |
PAX1 | 0.0001904 | 9165 | GTEx | DepMap | Descartes | 0.00 | 0.16 |
FOXG1 | 0.0001172 | 10737 | GTEx | DepMap | Descartes | 0.00 | 0.25 |
TBATA | -0.0000261 | 16564 | GTEx | DepMap | Descartes | 0.00 | NA |
ASCL1 | -0.0001562 | 22331 | GTEx | DepMap | Descartes | 0.00 | 0.33 |
Cycling cells: Cycling DCs (model markers)
proliferating dendritic cells:
Wilcoxon ranksum test P-value for gene set overrepresentation: 1.62e-01
Mean rank of genes in gene set: 7704
Rank on gene expression program of genes in gene set:
Genes | Weight | Rank | GTEx | DepMap | Decartes | Mean.Counts | Mean.TPM |
---|---|---|---|---|---|---|---|
MMP12 | 0.0013207 | 1139 | GTEx | DepMap | Descartes | 0.01 | 1.86 |
DRAIC | 0.0000042 | 14269 | GTEx | DepMap | Descartes | 0.02 | NA |
No detectable expression in this dataset: IGHV5-78
ILC precursor: ILC precursor (model markers)
innate lymphoid cell precursors which give rise to innate lymphoid cells and lack the characteristics of their mature progenies:
Wilcoxon ranksum test P-value for gene set overrepresentation: 1.77e-01
Mean rank of genes in gene set: 10463.12
Rank on gene expression program of genes in gene set:
Genes | Weight | Rank | GTEx | DepMap | Decartes | Mean.Counts | Mean.TPM |
---|---|---|---|---|---|---|---|
HUNK | 0.0025772 | 306 | GTEx | DepMap | Descartes | 0.45 | 16.31 |
PCDH9-AS1 | 0.0012612 | 1227 | GTEx | DepMap | Descartes | 0.05 | 17.77 |
HPN | 0.0012055 | 1339 | GTEx | DepMap | Descartes | 0.18 | 15.77 |
RBM24 | 0.0006956 | 3309 | GTEx | DepMap | Descartes | 0.10 | 13.43 |
KIAA0087 | 0.0000428 | 12820 | GTEx | DepMap | Descartes | 0.00 | 0.32 |
OR2A25 | -0.0000149 | 15456 | GTEx | DepMap | Descartes | 0.00 | 0.00 |
GPIHBP1 | -0.0002861 | 23909 | GTEx | DepMap | Descartes | 0.00 | 0.38 |
PDZK1 | -0.0006151 | 25339 | GTEx | DepMap | Descartes | 0.22 | 22.21 |