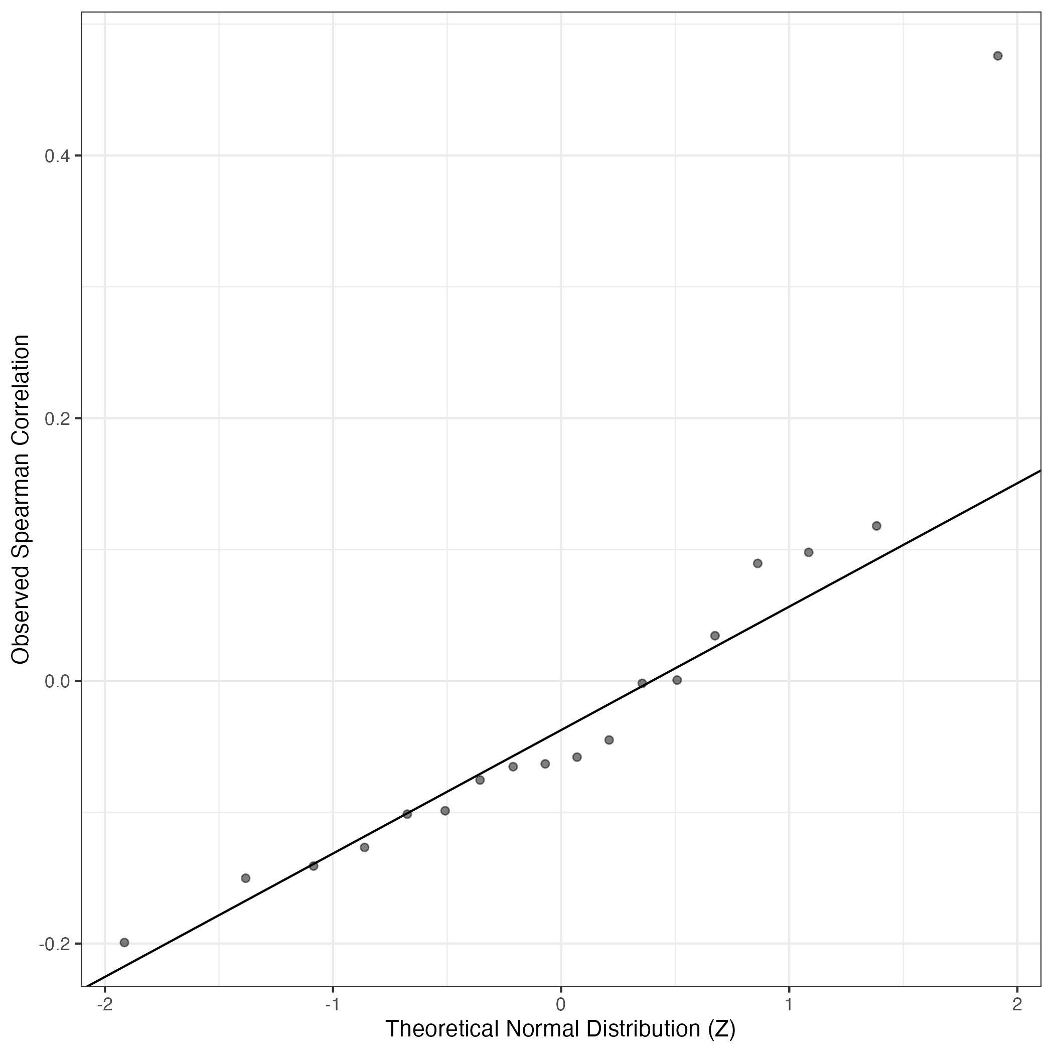
QQ-plot of gene loadings, averaged over both independent splits of the data
This plot highlights the relative contribution of each gene to the GEP
Top genes driving this program. Note: Decartes website is buggy, try refreshing. Also, Decartes fetal adrenal data have been collected at specific time points (89-122 days), all possible cell types of interest may not be represented, do not overinterpret. The Mean Count column shows the mean read count in cells scoring highly (H > 50) on this gene expression program (currently only calculated for the cells in the first 50/50 split of the data).
Note: Decartes website is buggy, try refreshing. Also, Decartes fetal adrenal data have been collected at specific time points (89-122 days), all possible cell types of interest may not be represented, do not overinterpret.
The Mean Count column shows the mean read count in cells scoring highly (H > 50) on this gene expression program.
Gene | Loading | Gene.Name | GTEx | DepMap | Descartes | Mean.Counts | Mean.Tpm | |
---|---|---|---|---|---|---|---|---|
1 | CCL5 | 0.0142921 | C-C motif chemokine ligand 5 | GTEx | DepMap | Descartes | 12.90 | 4552.64 |
2 | KLRD1 | 0.0133529 | killer cell lectin like receptor D1 | GTEx | DepMap | Descartes | 3.29 | 103.27 |
3 | AKNA | 0.0114121 | AT-hook transcription factor | GTEx | DepMap | Descartes | 5.54 | 375.20 |
4 | CD8A | 0.0111051 | CD8a molecule | GTEx | DepMap | Descartes | 4.01 | 603.58 |
5 | IL2RB | 0.0105889 | interleukin 2 receptor subunit beta | GTEx | DepMap | Descartes | 3.30 | 363.01 |
6 | RUNX3 | 0.0101500 | RUNX family transcription factor 3 | GTEx | DepMap | Descartes | 6.98 | 804.55 |
7 | CST7 | 0.0099640 | cystatin F | GTEx | DepMap | Descartes | 3.26 | 1908.68 |
8 | SLA2 | 0.0096486 | Src like adaptor 2 | GTEx | DepMap | Descartes | 1.82 | 308.19 |
9 | CTSW | 0.0094920 | cathepsin W | GTEx | DepMap | Descartes | 1.78 | 613.28 |
10 | PTPRC | 0.0093768 | protein tyrosine phosphatase receptor type C | GTEx | DepMap | Descartes | 11.90 | 1064.60 |
11 | CD7 | 0.0093255 | CD7 molecule | GTEx | DepMap | Descartes | 3.55 | 859.37 |
12 | PIK3R1 | 0.0093090 | phosphoinositide-3-kinase regulatory subunit 1 | GTEx | DepMap | Descartes | 4.48 | 323.83 |
13 | FYN | 0.0084924 | FYN proto-oncogene, Src family tyrosine kinase | GTEx | DepMap | Descartes | 6.26 | 852.11 |
14 | PRKX | 0.0082773 | protein kinase X-linked | GTEx | DepMap | Descartes | 2.56 | 187.03 |
15 | LCP1 | 0.0081900 | lymphocyte cytosolic protein 1 | GTEx | DepMap | Descartes | 6.32 | 650.37 |
16 | ARHGAP9 | 0.0080684 | Rho GTPase activating protein 9 | GTEx | DepMap | Descartes | 2.65 | 437.15 |
17 | GPR171 | 0.0080219 | G protein-coupled receptor 171 | GTEx | DepMap | Descartes | 2.32 | 597.65 |
18 | RNF125 | 0.0078613 | ring finger protein 125 | GTEx | DepMap | Descartes | 1.69 | 139.56 |
19 | SH2D2A | 0.0078097 | SH2 domain containing 2A | GTEx | DepMap | Descartes | 1.63 | 463.51 |
20 | PPP2R5C | 0.0077719 | protein phosphatase 2 regulatory subunit B’gamma | GTEx | DepMap | Descartes | 4.53 | 484.26 |
21 | TGFB1 | 0.0076850 | transforming growth factor beta 1 | GTEx | DepMap | Descartes | 2.58 | 446.80 |
22 | STAT4 | 0.0076520 | signal transducer and activator of transcription 4 | GTEx | DepMap | Descartes | 2.02 | 339.78 |
23 | PGK1 | 0.0072611 | phosphoglycerate kinase 1 | GTEx | DepMap | Descartes | 4.32 | 407.18 |
24 | AOAH | 0.0072116 | acyloxyacyl hydrolase | GTEx | DepMap | Descartes | 1.09 | 209.35 |
25 | PPP1R16B | 0.0071830 | protein phosphatase 1 regulatory subunit 16B | GTEx | DepMap | Descartes | 1.85 | 142.51 |
26 | ARHGDIB | 0.0071246 | Rho GDP dissociation inhibitor beta | GTEx | DepMap | Descartes | 9.36 | 3568.81 |
27 | PRKCH | 0.0071162 | protein kinase C eta | GTEx | DepMap | Descartes | 2.04 | 265.60 |
28 | PABPC1 | 0.0070959 | poly(A) binding protein cytoplasmic 1 | GTEx | DepMap | Descartes | 29.40 | 4693.09 |
29 | SYTL3 | 0.0070809 | synaptotagmin like 3 | GTEx | DepMap | Descartes | 1.34 | 239.42 |
30 | CD96 | 0.0069410 | CD96 molecule | GTEx | DepMap | Descartes | 2.13 | 223.30 |
31 | WIPF1 | 0.0068933 | WAS/WASL interacting protein family member 1 | GTEx | DepMap | Descartes | 4.08 | 423.21 |
32 | KLRC1 | 0.0068179 | killer cell lectin like receptor C1 | GTEx | DepMap | Descartes | 0.42 | 152.71 |
33 | CNOT6L | 0.0067973 | CCR4-NOT transcription complex subunit 6 like | GTEx | DepMap | Descartes | 3.91 | 220.94 |
34 | PDE4B | 0.0067467 | phosphodiesterase 4B | GTEx | DepMap | Descartes | 3.10 | 316.59 |
35 | CXCR4 | 0.0067044 | C-X-C motif chemokine receptor 4 | GTEx | DepMap | Descartes | 9.25 | 2380.85 |
36 | SAMD3 | 0.0066075 | sterile alpha motif domain containing 3 | GTEx | DepMap | Descartes | 0.60 | 72.21 |
37 | SLA | 0.0065534 | Src like adaptor | GTEx | DepMap | Descartes | 1.97 | 295.42 |
38 | SELPLG | 0.0065481 | selectin P ligand | GTEx | DepMap | Descartes | 1.30 | 252.72 |
39 | CD53 | 0.0065455 | CD53 molecule | GTEx | DepMap | Descartes | 3.60 | 1045.37 |
40 | STK17B | 0.0065349 | serine/threonine kinase 17b | GTEx | DepMap | Descartes | 3.96 | 344.62 |
41 | RALGAPA1 | 0.0065209 | Ral GTPase activating protein catalytic subunit alpha 1 | GTEx | DepMap | Descartes | 1.91 | 106.92 |
42 | PTPN22 | 0.0064964 | protein tyrosine phosphatase non-receptor type 22 | GTEx | DepMap | Descartes | 1.86 | 258.01 |
43 | PLEKHA2 | 0.0063746 | pleckstrin homology domain containing A2 | GTEx | DepMap | Descartes | 2.25 | 194.20 |
44 | DUSP2 | 0.0063400 | dual specificity phosphatase 2 | GTEx | DepMap | Descartes | 3.88 | 1093.37 |
45 | SLFN5 | 0.0063269 | schlafen family member 5 | GTEx | DepMap | Descartes | 1.98 | 82.63 |
46 | B2M | 0.0062877 | beta-2-microglobulin | GTEx | DepMap | Descartes | 50.56 | 9748.61 |
47 | HSH2D | 0.0062867 | hematopoietic SH2 domain containing | GTEx | DepMap | Descartes | 0.62 | 115.79 |
48 | SPN | 0.0062783 | sialophorin | GTEx | DepMap | Descartes | 0.99 | 61.80 |
49 | APMAP | 0.0062524 | adipocyte plasma membrane associated protein | GTEx | DepMap | Descartes | 1.44 | NA |
50 | XCL1 | 0.0062136 | X-C motif chemokine ligand 1 | GTEx | DepMap | Descartes | 1.36 | 622.00 |
UMAP plots showing activity of gene expression program identified in community:10. Cytotoxic T Cell
CNV Data procured from inferCNV.
Outer tracks are putative CNV regions (gains = red, losses = blue) for each patient
Inner track is expression data representing:
The top cells expressing this GEP (purple)
Random cells (n =50) from the reference set used in inferCNV (orange)
Gene set Enrichments for this program, caculated from top 50 genes
mSigDB Cell Types Gene Set:
P-value | OR | Lower 95% CI | FDR | FWER | Genes Found | Gene Set Size | |
---|---|---|---|---|---|---|---|
AIZARANI_LIVER_C5_NK_NKT_CELLS_3 | 1.52e-46 | 177.07 | 94.11 | 1.02e-43 | 1.02e-43 | 29CCL5, KLRD1, AKNA, IL2RB, RUNX3, CST7, CTSW, PTPRC, CD7, PIK3R1, FYN, LCP1, ARHGAP9, RNF125, AOAH, ARHGDIB, PRKCH, SYTL3, CD96, WIPF1, KLRC1, CNOT6L, CXCR4, SLA, CD53, PTPN22, DUSP2, SLFN5, XCL1 |
126 |
AIZARANI_LIVER_C1_NK_NKT_CELLS_1 | 1.66e-43 | 134.37 | 72.07 | 5.56e-41 | 1.11e-40 | 29CCL5, KLRD1, AKNA, CD8A, IL2RB, RUNX3, CST7, CTSW, PTPRC, CD7, PIK3R1, FYN, LCP1, ARHGAP9, SH2D2A, PPP2R5C, ARHGDIB, PRKCH, SYTL3, CD96, WIPF1, CNOT6L, CXCR4, SLA, CD53, PTPN22, DUSP2, SLFN5, B2M |
157 |
TRAVAGLINI_LUNG_NATURAL_KILLER_T_CELL | 4.60e-17 | 129.98 | 51.77 | 1.71e-15 | 3.09e-14 | 10KLRD1, IL2RB, SLA2, CTSW, CD7, KLRC1, CXCR4, DUSP2, B2M, XCL1 |
34 |
TRAVAGLINI_LUNG_NATURAL_KILLER_CELL | 2.89e-33 | 97.57 | 51.62 | 3.88e-31 | 1.94e-30 | 23CCL5, KLRD1, AKNA, IL2RB, RUNX3, CST7, SLA2, CTSW, CD7, SH2D2A, PPP2R5C, AOAH, PRKCH, SYTL3, KLRC1, CNOT6L, SAMD3, SELPLG, DUSP2, B2M, HSH2D, SPN, APMAP |
132 |
DURANTE_ADULT_OLFACTORY_NEUROEPITHELIUM_CD8_T_CELLS | 1.14e-24 | 102.54 | 50.16 | 6.97e-23 | 7.67e-22 | 16CCL5, CD8A, RUNX3, CST7, CTSW, PTPRC, CD7, LCP1, ARHGDIB, SYTL3, CD96, KLRC1, CXCR4, STK17B, PTPN22, DUSP2 |
73 |
AIZARANI_LIVER_C28_NK_NKT_CELLS_6 | 3.84e-28 | 95.39 | 48.89 | 3.22e-26 | 2.58e-25 | 19AKNA, RUNX3, PTPRC, PIK3R1, FYN, LCP1, GPR171, RNF125, SH2D2A, PPP2R5C, ARHGDIB, SYTL3, WIPF1, CNOT6L, CXCR4, SLA, CD53, STK17B, XCL1 |
99 |
TRAVAGLINI_LUNG_CD8_NAIVE_T_CELL | 2.45e-32 | 87.86 | 46.69 | 2.74e-30 | 1.64e-29 | 23CCL5, KLRD1, AKNA, CD8A, RUNX3, CST7, SLA2, CTSW, CD7, FYN, RNF125, SH2D2A, PPP2R5C, STAT4, PRKCH, SYTL3, CD96, CNOT6L, SAMD3, SLFN5, B2M, SPN, APMAP |
144 |
AIZARANI_LIVER_C12_NK_NKT_CELLS_4 | 3.09e-17 | 92.39 | 39.66 | 1.29e-15 | 2.07e-14 | 11CCL5, KLRD1, IL2RB, RUNX3, CST7, PTPRC, CD7, LCP1, SYTL3, WIPF1, DUSP2 |
49 |
CUI_DEVELOPING_HEART_C9_B_T_CELL | 1.13e-29 | 73.61 | 39.10 | 1.09e-27 | 7.61e-27 | 22CCL5, KLRD1, IL2RB, RUNX3, CST7, CTSW, PTPRC, CD7, LCP1, ARHGAP9, ARHGDIB, PRKCH, PABPC1, CD96, WIPF1, CNOT6L, CXCR4, SAMD3, CD53, STK17B, PTPN22, DUSP2 |
155 |
FAN_EMBRYONIC_CTX_BRAIN_EFFECTOR_T_CELL | 1.55e-27 | 74.95 | 39.05 | 1.15e-25 | 1.04e-24 | 20KLRD1, AKNA, IL2RB, RUNX3, CST7, CTSW, PTPRC, CD7, FYN, LCP1, SH2D2A, STAT4, PRKCH, CD96, KLRC1, SAMD3, STK17B, DUSP2, HSH2D, XCL1 |
131 |
DURANTE_ADULT_OLFACTORY_NEUROEPITHELIUM_NK_CELLS | 1.10e-21 | 77.44 | 37.53 | 5.28e-20 | 7.40e-19 | 15CCL5, KLRD1, IL2RB, CST7, CTSW, PTPRC, CD7, LCP1, PPP2R5C, ARHGDIB, CXCR4, CD53, DUSP2, B2M, SPN |
84 |
BUSSLINGER_GASTRIC_IMMUNE_CELLS | 1.24e-40 | 99.87 | 36.39 | 2.78e-38 | 8.33e-38 | 46CCL5, KLRD1, AKNA, CD8A, IL2RB, RUNX3, CST7, SLA2, CTSW, PTPRC, CD7, PIK3R1, FYN, LCP1, ARHGAP9, GPR171, RNF125, SH2D2A, PPP2R5C, TGFB1, STAT4, PGK1, AOAH, PPP1R16B, ARHGDIB, PRKCH, SYTL3, CD96, WIPF1, KLRC1, CNOT6L, PDE4B, CXCR4, SAMD3, SLA, SELPLG, CD53, STK17B, RALGAPA1, PTPN22, PLEKHA2, DUSP2, SLFN5, B2M, SPN, APMAP |
1490 |
FAN_OVARY_CL4_T_LYMPHOCYTE_NK_CELL_1 | 8.18e-27 | 47.74 | 25.71 | 5.49e-25 | 5.49e-24 | 23CCL5, KLRD1, AKNA, RUNX3, CST7, CTSW, PTPRC, CD7, PIK3R1, FYN, LCP1, SH2D2A, PPP2R5C, TGFB1, PGK1, ARHGDIB, PABPC1, WIPF1, CXCR4, CD53, DUSP2, B2M, APMAP |
246 |
BUSSLINGER_DUODENAL_IMMUNE_CELLS | 1.90e-36 | 51.05 | 25.53 | 3.19e-34 | 1.28e-33 | 39CCL5, KLRD1, AKNA, CD8A, IL2RB, RUNX3, CST7, SLA2, CTSW, PTPRC, CD7, FYN, LCP1, ARHGAP9, GPR171, SH2D2A, PPP2R5C, STAT4, PGK1, AOAH, PPP1R16B, ARHGDIB, PRKCH, SYTL3, CD96, WIPF1, CNOT6L, CXCR4, SLA, SELPLG, CD53, STK17B, PTPN22, PLEKHA2, DUSP2, SLFN5, B2M, SPN, XCL1 |
909 |
AIZARANI_LIVER_C3_NK_NKT_CELLS_2 | 3.82e-22 | 48.78 | 25.16 | 1.97e-20 | 2.56e-19 | 18AKNA, CD8A, RUNX3, PTPRC, FYN, LCP1, GPR171, ARHGDIB, CD96, WIPF1, CNOT6L, CXCR4, SLA, CD53, STK17B, DUSP2, SLFN5, B2M |
162 |
FAN_OVARY_CL12_T_LYMPHOCYTE_NK_CELL_2 | 2.75e-17 | 36.67 | 18.20 | 1.23e-15 | 1.84e-14 | 15CCL5, CST7, PTPRC, CD7, FYN, PPP2R5C, TGFB1, PGK1, ARHGDIB, PABPC1, WIPF1, CXCR4, CD53, DUSP2, B2M |
161 |
HAY_BONE_MARROW_NK_CELLS | 2.73e-24 | 33.36 | 18.13 | 1.52e-22 | 1.83e-21 | 24KLRD1, AKNA, IL2RB, RUNX3, CST7, SLA2, CTSW, CD7, PRKX, ARHGAP9, SH2D2A, STAT4, AOAH, ARHGDIB, PRKCH, SYTL3, WIPF1, KLRC1, SAMD3, CD53, B2M, HSH2D, APMAP, XCL1 |
370 |
HAY_BONE_MARROW_CD8_T_CELL | 6.97e-12 | 44.13 | 18.09 | 1.95e-10 | 4.68e-09 | 9CCL5, CD8A, PTPRC, FYN, PPP2R5C, CXCR4, SLA, PTPN22, DUSP2 |
71 |
DESCARTES_FETAL_ADRENAL_LYMPHOID_CELLS | 3.31e-17 | 36.17 | 17.96 | 1.31e-15 | 2.22e-14 | 15CD8A, IL2RB, RUNX3, CST7, CD7, GPR171, SH2D2A, SYTL3, CD96, KLRC1, PTPN22, DUSP2, SLFN5, HSH2D, XCL1 |
163 |
DESCARTES_FETAL_INTESTINE_LYMPHOID_CELLS | 1.27e-15 | 32.39 | 15.79 | 4.25e-14 | 8.49e-13 | 14KLRD1, CD8A, IL2RB, CST7, SLA2, CTSW, CD7, GPR171, SH2D2A, STAT4, CD96, KLRC1, PTPN22, XCL1 |
164 |
Dowload full table
mSigDB Hallmark Gene Sets:
P-value | OR | Lower 95% CI | FDR | FWER | Genes Found | Gene Set Size | |
---|---|---|---|---|---|---|---|
HALLMARK_ALLOGRAFT_REJECTION | 4.29e-09 | 16.45 | 7.22 | 2.15e-07 | 2.15e-07 | 10CCL5, KLRD1, CD8A, IL2RB, PTPRC, CD7, TGFB1, STAT4, CD96, B2M |
200 |
HALLMARK_INTERFERON_GAMMA_RESPONSE | 1.24e-04 | 8.78 | 3.02 | 3.09e-03 | 6.18e-03 | 6CCL5, IL2RB, STAT4, PDE4B, B2M, XCL1 |
200 |
HALLMARK_IL2_STAT5_SIGNALING | 4.30e-02 | 4.07 | 0.80 | 3.63e-01 | 1.00e+00 | 3IL2RB, CST7, PRKCH |
199 |
HALLMARK_TNFA_SIGNALING_VIA_NFKB | 4.35e-02 | 4.05 | 0.80 | 3.63e-01 | 1.00e+00 | 3CCL5, PDE4B, DUSP2 |
200 |
HALLMARK_MTORC1_SIGNALING | 4.35e-02 | 4.05 | 0.80 | 3.63e-01 | 1.00e+00 | 3PGK1, CXCR4, SLA |
200 |
HALLMARK_INFLAMMATORY_RESPONSE | 4.35e-02 | 4.05 | 0.80 | 3.63e-01 | 1.00e+00 | 3CCL5, IL2RB, PDE4B |
200 |
HALLMARK_PI3K_AKT_MTOR_SIGNALING | 6.46e-02 | 5.06 | 0.59 | 4.61e-01 | 1.00e+00 | 2CXCR4, SLA |
105 |
HALLMARK_HYPOXIA | 1.85e-01 | 2.63 | 0.31 | 6.45e-01 | 1.00e+00 | 2PGK1, CXCR4 |
200 |
HALLMARK_COMPLEMENT | 1.85e-01 | 2.63 | 0.31 | 6.45e-01 | 1.00e+00 | 2CCL5, FYN |
200 |
HALLMARK_MYC_TARGETS_V1 | 1.85e-01 | 2.63 | 0.31 | 6.45e-01 | 1.00e+00 | 2PGK1, PABPC1 |
200 |
HALLMARK_EPITHELIAL_MESENCHYMAL_TRANSITION | 1.85e-01 | 2.63 | 0.31 | 6.45e-01 | 1.00e+00 | 2TGFB1, WIPF1 |
200 |
HALLMARK_GLYCOLYSIS | 1.85e-01 | 2.63 | 0.31 | 6.45e-01 | 1.00e+00 | 2PGK1, CXCR4 |
200 |
HALLMARK_KRAS_SIGNALING_UP | 1.85e-01 | 2.63 | 0.31 | 6.45e-01 | 1.00e+00 | 2LCP1, CXCR4 |
200 |
HALLMARK_APICAL_SURFACE | 1.61e-01 | 5.93 | 0.14 | 6.45e-01 | 1.00e+00 | 1IL2RB |
44 |
HALLMARK_TGF_BETA_SIGNALING | 1.94e-01 | 4.81 | 0.12 | 6.45e-01 | 1.00e+00 | 1TGFB1 |
54 |
HALLMARK_MYC_TARGETS_V2 | 2.06e-01 | 4.47 | 0.11 | 6.45e-01 | 1.00e+00 | 1DUSP2 |
58 |
HALLMARK_IL6_JAK_STAT3_SIGNALING | 2.93e-01 | 2.97 | 0.07 | 8.47e-01 | 1.00e+00 | 1TGFB1 |
87 |
HALLMARK_INTERFERON_ALPHA_RESPONSE | 3.20e-01 | 2.66 | 0.07 | 8.47e-01 | 1.00e+00 | 1B2M |
97 |
HALLMARK_ANDROGEN_RESPONSE | 3.28e-01 | 2.58 | 0.06 | 8.47e-01 | 1.00e+00 | 1B2M |
100 |
HALLMARK_PEROXISOME | 3.39e-01 | 2.48 | 0.06 | 8.47e-01 | 1.00e+00 | 1PABPC1 |
104 |
Dowload full table
KEGG Pathways:
P-value | OR | Lower 95% CI | FDR | FWER | Genes Found | Gene Set Size | |
---|---|---|---|---|---|---|---|
KEGG_PRION_DISEASES | 3.53e-04 | 24.91 | 4.72 | 3.68e-02 | 6.57e-02 | 3CCL5, FYN, PRKX |
35 |
KEGG_ANTIGEN_PROCESSING_AND_PRESENTATION | 3.96e-04 | 12.93 | 3.31 | 3.68e-02 | 7.37e-02 | 4KLRD1, CD8A, KLRC1, B2M |
88 |
KEGG_T_CELL_RECEPTOR_SIGNALING_PATHWAY | 8.54e-04 | 10.45 | 2.68 | 3.97e-02 | 1.59e-01 | 4CD8A, PTPRC, PIK3R1, FYN |
108 |
KEGG_CHEMOKINE_SIGNALING_PATHWAY | 8.41e-04 | 7.55 | 2.31 | 3.97e-02 | 1.56e-01 | 5CCL5, PIK3R1, PRKX, CXCR4, XCL1 |
189 |
KEGG_CELL_ADHESION_MOLECULES_CAMS | 1.83e-03 | 8.43 | 2.17 | 6.33e-02 | 3.41e-01 | 4CD8A, PTPRC, SELPLG, SPN |
133 |
KEGG_NATURAL_KILLER_CELL_MEDIATED_CYTOTOXICITY | 2.04e-03 | 8.17 | 2.11 | 6.33e-02 | 3.80e-01 | 4KLRD1, PIK3R1, FYN, KLRC1 |
137 |
KEGG_PRIMARY_IMMUNODEFICIENCY | 8.47e-03 | 15.77 | 1.78 | 1.97e-01 | 1.00e+00 | 2CD8A, PTPRC |
35 |
KEGG_CYTOKINE_CYTOKINE_RECEPTOR_INTERACTION | 3.61e-03 | 5.34 | 1.64 | 9.60e-02 | 6.72e-01 | 5CCL5, IL2RB, TGFB1, CXCR4, XCL1 |
265 |
KEGG_GRAFT_VERSUS_HOST_DISEASE | 1.15e-02 | 13.35 | 1.52 | 2.37e-01 | 1.00e+00 | 2KLRD1, KLRC1 |
41 |
KEGG_VASOPRESSIN_REGULATED_WATER_REABSORPTION | 1.31e-02 | 12.39 | 1.41 | 2.44e-01 | 1.00e+00 | 2PRKX, ARHGDIB |
44 |
KEGG_INTESTINAL_IMMUNE_NETWORK_FOR_IGA_PRODUCTION | 1.55e-02 | 11.31 | 1.29 | 2.62e-01 | 1.00e+00 | 2TGFB1, CXCR4 |
48 |
KEGG_JAK_STAT_SIGNALING_PATHWAY | 2.30e-02 | 5.25 | 1.03 | 3.56e-01 | 1.00e+00 | 3IL2RB, PIK3R1, STAT4 |
155 |
KEGG_COLORECTAL_CANCER | 2.50e-02 | 8.68 | 1.00 | 3.58e-01 | 1.00e+00 | 2PIK3R1, TGFB1 |
62 |
KEGG_RENAL_CELL_CARCINOMA | 3.13e-02 | 7.66 | 0.88 | 3.88e-01 | 1.00e+00 | 2PIK3R1, TGFB1 |
70 |
KEGG_PANCREATIC_CANCER | 3.13e-02 | 7.66 | 0.88 | 3.88e-01 | 1.00e+00 | 2PIK3R1, TGFB1 |
70 |
KEGG_CHRONIC_MYELOID_LEUKEMIA | 3.38e-02 | 7.33 | 0.85 | 3.93e-01 | 1.00e+00 | 2PIK3R1, TGFB1 |
73 |
KEGG_VEGF_SIGNALING_PATHWAY | 3.64e-02 | 7.04 | 0.81 | 3.98e-01 | 1.00e+00 | 2PIK3R1, SH2D2A |
76 |
KEGG_FC_EPSILON_RI_SIGNALING_PATHWAY | 3.90e-02 | 6.76 | 0.78 | 4.03e-01 | 1.00e+00 | 2PIK3R1, FYN |
79 |
KEGG_PROGESTERONE_MEDIATED_OOCYTE_MATURATION | 4.45e-02 | 6.27 | 0.73 | 4.11e-01 | 1.00e+00 | 2PIK3R1, PRKX |
85 |
KEGG_APOPTOSIS | 4.64e-02 | 6.13 | 0.71 | 4.11e-01 | 1.00e+00 | 2PIK3R1, PRKX |
87 |
Dowload full table
CHR Positional Gene Sets:
P-value | OR | Lower 95% CI | FDR | FWER | Genes Found | Gene Set Size | |
---|---|---|---|---|---|---|---|
chr2q32 | 6.78e-02 | 4.91 | 0.57 | 1.00e+00 | 1.00e+00 | 2STAT4, STK17B |
108 |
chr17q12 | 1.09e-01 | 3.69 | 0.43 | 1.00e+00 | 1.00e+00 | 2CCL5, SLFN5 |
143 |
chr20p11 | 1.11e-01 | 3.64 | 0.42 | 1.00e+00 | 1.00e+00 | 2CST7, APMAP |
145 |
chr1p13 | 1.92e-01 | 2.57 | 0.30 | 1.00e+00 | 1.00e+00 | 2CD53, PTPN22 |
205 |
chr20q11 | 2.37e-01 | 2.22 | 0.26 | 1.00e+00 | 1.00e+00 | 2SLA2, PPP1R16B |
237 |
chr12p13 | 3.72e-01 | 1.57 | 0.18 | 1.00e+00 | 1.00e+00 | 2KLRD1, KLRC1 |
333 |
chr9q32 | 1.71e-01 | 5.54 | 0.13 | 1.00e+00 | 1.00e+00 | 1AKNA |
47 |
chr14q13 | 2.09e-01 | 4.40 | 0.11 | 1.00e+00 | 1.00e+00 | 1RALGAPA1 |
59 |
chr2q22 | 2.37e-01 | 3.81 | 0.09 | 1.00e+00 | 1.00e+00 | 1CXCR4 |
68 |
chr1q31 | 2.46e-01 | 3.64 | 0.09 | 1.00e+00 | 1.00e+00 | 1PTPRC |
71 |
chr8p11 | 3.15e-01 | 2.71 | 0.07 | 1.00e+00 | 1.00e+00 | 1PLEKHA2 |
95 |
chr18q12 | 3.17e-01 | 2.68 | 0.07 | 1.00e+00 | 1.00e+00 | 1RNF125 |
96 |
chr6q23 | 3.44e-01 | 2.43 | 0.06 | 1.00e+00 | 1.00e+00 | 1SAMD3 |
106 |
chr12p12 | 3.46e-01 | 2.41 | 0.06 | 1.00e+00 | 1.00e+00 | 1ARHGDIB |
107 |
chr6q21 | 3.72e-01 | 2.20 | 0.05 | 1.00e+00 | 1.00e+00 | 1FYN |
117 |
chr1q24 | 3.87e-01 | 2.09 | 0.05 | 1.00e+00 | 1.00e+00 | 1XCL1 |
123 |
chr14q23 | 3.89e-01 | 2.07 | 0.05 | 1.00e+00 | 1.00e+00 | 1PRKCH |
124 |
chrXq21 | 4.17e-01 | 1.89 | 0.05 | 1.00e+00 | 1.00e+00 | 1PGK1 |
136 |
chr5q13 | 4.31e-01 | 1.81 | 0.04 | 1.00e+00 | 1.00e+00 | 1PIK3R1 |
142 |
chr2q11 | 4.40e-01 | 1.76 | 0.04 | 1.00e+00 | 1.00e+00 | 1DUSP2 |
146 |
Dowload full table
Transcription Factor Targets:
P-value | OR | Lower 95% CI | FDR | FWER | Genes Found | Gene Set Size | |
---|---|---|---|---|---|---|---|
WIZ_TARGET_GENES | 5.49e-05 | 49.70 | 8.99 | 3.11e-02 | 6.22e-02 | 3LCP1, PPP2R5C, PRKCH |
19 |
RYTTCCTG_ETS2_B | 6.15e-06 | 4.89 | 2.47 | 6.97e-03 | 6.97e-03 | 15RUNX3, CTSW, PTPRC, PIK3R1, LCP1, SH2D2A, PPP2R5C, STAT4, PPP1R16B, ARHGDIB, PRKCH, CD96, WIPF1, KLRC1, XCL1 |
1112 |
PEA3_Q6 | 5.27e-04 | 6.63 | 2.29 | 1.99e-01 | 5.97e-01 | 6RUNX3, CTSW, PTPRC, ARHGDIB, CD53, XCL1 |
263 |
MAML1_TARGET_GENES | 1.26e-03 | 5.57 | 1.93 | 2.94e-01 | 1.00e+00 | 6RUNX3, PRKCH, SELPLG, CD53, PLEKHA2, DUSP2 |
312 |
ISRE_01 | 2.97e-03 | 5.60 | 1.72 | 3.98e-01 | 1.00e+00 | 5PPP2R5C, PGK1, CXCR4, SLA, B2M |
253 |
AML_Q6 | 3.84e-03 | 5.26 | 1.62 | 3.98e-01 | 1.00e+00 | 5PIK3R1, SLA, PTPN22, DUSP2, XCL1 |
269 |
ELK1_01 | 4.21e-03 | 5.14 | 1.58 | 3.98e-01 | 1.00e+00 | 5FYN, LCP1, STAT4, ARHGDIB, CNOT6L |
275 |
BACH2_TARGET_GENES | 2.81e-03 | 2.70 | 1.37 | 3.98e-01 | 1.00e+00 | 15AKNA, CST7, SLA2, PIK3R1, LCP1, PPP2R5C, STAT4, PGK1, ARHGDIB, SYTL3, WIPF1, SLA, CD53, STK17B, PLEKHA2 |
1998 |
RAG1_TARGET_GENES | 4.21e-03 | 3.02 | 1.34 | 3.98e-01 | 1.00e+00 | 10AKNA, CD8A, PIK3R1, ARHGDIB, CNOT6L, CXCR4, SLA, STK17B, DUSP2, B2M |
1046 |
PU1_Q6 | 1.34e-02 | 4.69 | 1.21 | 8.00e-01 | 1.00e+00 | 4FYN, PABPC1, CNOT6L, PTPN22 |
236 |
ELF1_Q6 | 1.60e-02 | 4.44 | 1.15 | 8.28e-01 | 1.00e+00 | 4TGFB1, ARHGDIB, PABPC1, CNOT6L |
249 |
TGACATY_UNKNOWN | 1.30e-02 | 3.04 | 1.15 | 8.00e-01 | 1.00e+00 | 7CD8A, RUNX3, PTPRC, PIK3R1, FYN, PPP2R5C, WIPF1 |
676 |
RACCACAR_AML_Q6 | 2.03e-02 | 4.12 | 1.07 | 8.28e-01 | 1.00e+00 | 4SLA2, PIK3R1, GPR171, PTPN22 |
268 |
ZNF768_TARGET_GENES | 2.60e-02 | 2.34 | 1.04 | 8.28e-01 | 1.00e+00 | 10AKNA, PTPRC, LCP1, TGFB1, PPP1R16B, PRKCH, CNOT6L, SLA, PLEKHA2, B2M |
1346 |
ARID5B_TARGET_GENES | 2.07e-02 | 2.57 | 1.04 | 8.28e-01 | 1.00e+00 | 8PTPRC, PIK3R1, RNF125, PGK1, PPP1R16B, PRKCH, SLA, STK17B |
935 |
COREBINDINGFACTOR_Q6 | 2.23e-02 | 4.00 | 1.04 | 8.28e-01 | 1.00e+00 | 4SLA2, GPR171, PTPN22, XCL1 |
276 |
ETS2_B | 2.36e-02 | 3.92 | 1.02 | 8.28e-01 | 1.00e+00 | 4CTSW, FYN, LCP1, ARHGDIB |
281 |
HBZ_TARGET_GENES | 2.51e-02 | 2.64 | 1.00 | 8.28e-01 | 1.00e+00 | 7CCL5, GPR171, PPP2R5C, PRKCH, PABPC1, CD96, PTPN22 |
778 |
WRNIP1_TARGET_GENES | 2.88e-02 | 2.40 | 0.97 | 8.28e-01 | 1.00e+00 | 8CD8A, RUNX3, FYN, ARHGDIB, WIPF1, CXCR4, STK17B, B2M |
1000 |
GTGGGTGK_UNKNOWN | 2.81e-02 | 3.71 | 0.96 | 8.28e-01 | 1.00e+00 | 4CTSW, PPP1R16B, PRKCH, XCL1 |
297 |
Dowload full table
GO Biological Processes:
P-value | OR | Lower 95% CI | FDR | FWER | Genes Found | Gene Set Size | |
---|---|---|---|---|---|---|---|
GOBP_NEGATIVE_REGULATION_OF_T_CELL_MEDIATED_CYTOTOXICITY | 4.91e-06 | 132.55 | 20.77 | 1.75e-03 | 3.67e-02 | 3KLRD1, PTPRC, KLRC1 |
9 |
GOBP_POSITIVE_REGULATION_OF_CD8_POSITIVE_ALPHA_BETA_T_CELL_ACTIVATION | 4.91e-06 | 132.55 | 20.77 | 1.75e-03 | 3.67e-02 | 3RUNX3, PTPN22, XCL1 |
9 |
GOBP_NEGATIVE_REGULATION_OF_T_CELL_MEDIATED_IMMUNITY | 1.54e-06 | 60.20 | 14.27 | 8.84e-04 | 1.15e-02 | 4KLRD1, PTPRC, KLRC1, XCL1 |
22 |
GOBP_REGULATION_OF_T_CELL_MEDIATED_CYTOTOXICITY | 3.66e-07 | 42.00 | 12.24 | 3.05e-04 | 2.74e-03 | 5KLRD1, PTPRC, KLRC1, B2M, XCL1 |
38 |
GOBP_POSITIVE_REGULATION_OF_NATURAL_KILLER_CELL_CHEMOTAXIS | 2.31e-04 | 129.66 | 11.45 | 2.13e-02 | 1.00e+00 | 2CCL5, XCL1 |
6 |
GOBP_NEGATIVE_REGULATION_OF_LYMPHOCYTE_MEDIATED_IMMUNITY | 8.71e-07 | 34.63 | 10.20 | 5.92e-04 | 6.52e-03 | 5KLRD1, PTPRC, CD96, KLRC1, XCL1 |
45 |
GOBP_T_CELL_MEDIATED_CYTOTOXICITY | 9.74e-07 | 33.82 | 9.97 | 6.07e-04 | 7.29e-03 | 5KLRD1, PTPRC, KLRC1, B2M, XCL1 |
46 |
GOBP_NEGATIVE_REGULATION_OF_NATURAL_KILLER_CELL_MEDIATED_IMMUNITY | 5.49e-05 | 49.70 | 8.99 | 9.13e-03 | 4.11e-01 | 3KLRD1, CD96, KLRC1 |
19 |
GOBP_REGULATION_OF_CD8_POSITIVE_ALPHA_BETA_T_CELL_ACTIVATION | 5.49e-05 | 49.70 | 8.99 | 9.13e-03 | 4.11e-01 | 3RUNX3, PTPN22, XCL1 |
19 |
GOBP_NEGATIVE_REGULATION_OF_LEUKOCYTE_MEDIATED_IMMUNITY | 1.99e-06 | 28.90 | 8.58 | 9.93e-04 | 1.49e-02 | 5KLRD1, PTPRC, CD96, KLRC1, XCL1 |
53 |
GOBP_CD8_POSITIVE_ALPHA_BETA_T_CELL_PROLIFERATION | 4.28e-04 | 86.37 | 8.33 | 3.41e-02 | 1.00e+00 | 2PTPN22, XCL1 |
8 |
GOBP_NEGATIVE_REGULATION_OF_MICROGLIAL_CELL_ACTIVATION | 4.28e-04 | 86.37 | 8.33 | 3.41e-02 | 1.00e+00 | 2CST7, PTPRC |
8 |
GOBP_POSITIVE_REGULATION_OF_ALPHA_BETA_T_CELL_PROLIFERATION | 7.49e-05 | 44.24 | 8.07 | 1.17e-02 | 5.60e-01 | 3PTPRC, PTPN22, XCL1 |
21 |
GOBP_NEGATIVE_REGULATION_OF_LEUKOCYTE_MEDIATED_CYTOTOXICITY | 8.65e-05 | 41.89 | 7.68 | 1.24e-02 | 6.47e-01 | 3KLRD1, PTPRC, KLRC1 |
22 |
GOBP_REGULATION_OF_NATURAL_KILLER_CELL_CHEMOTAXIS | 5.49e-04 | 74.10 | 7.33 | 4.15e-02 | 1.00e+00 | 2CCL5, XCL1 |
9 |
GOBP_NEGATIVE_REGULATION_OF_CYTOKINE_PRODUCTION_INVOLVED_IN_IMMUNE_RESPONSE | 1.44e-04 | 34.58 | 6.44 | 1.56e-02 | 1.00e+00 | 3TGFB1, CD96, XCL1 |
26 |
GOBP_NEGATIVE_REGULATION_OF_CELL_KILLING | 1.44e-04 | 34.58 | 6.44 | 1.56e-02 | 1.00e+00 | 3KLRD1, PTPRC, KLRC1 |
26 |
GOBP_NEGATIVE_REGULATION_OF_IMMUNE_EFFECTOR_PROCESS | 5.39e-07 | 17.23 | 6.41 | 4.03e-04 | 4.03e-03 | 7KLRD1, PTPRC, RNF125, TGFB1, CD96, KLRC1, XCL1 |
125 |
GOBP_CD8_POSITIVE_ALPHA_BETA_T_CELL_ACTIVATION | 1.62e-04 | 33.18 | 6.19 | 1.66e-02 | 1.00e+00 | 3RUNX3, PTPN22, XCL1 |
27 |
GOBP_T_CELL_MEDIATED_IMMUNITY | 2.82e-06 | 17.74 | 6.04 | 1.17e-03 | 2.11e-02 | 6KLRD1, CD8A, PTPRC, KLRC1, B2M, XCL1 |
102 |
Dowload full table
Immunological Gene Sets:
P-value | OR | Lower 95% CI | FDR | FWER | Genes Found | Gene Set Size | |
---|---|---|---|---|---|---|---|
GSE3039_NKT_CELL_VS_ALPHAALPHA_CD8_TCELL_DN | 2.27e-17 | 31.95 | 16.17 | 1.10e-13 | 1.10e-13 | 16CCL5, KLRD1, IL2RB, CST7, CTSW, PTPRC, CD7, FYN, SH2D2A, STAT4, AOAH, PPP1R16B, PRKCH, KLRC1, DUSP2, SPN |
200 |
GSE45739_UNSTIM_VS_ACD3_ACD28_STIM_NRAS_KO_CD4_TCELL_DN | 4.72e-13 | 23.60 | 11.32 | 1.15e-09 | 2.30e-09 | 13CCL5, KLRD1, CD8A, IL2RB, RUNX3, CST7, CTSW, FYN, SH2D2A, AOAH, PTPN22, APMAP, XCL1 |
199 |
GSE45739_UNSTIM_VS_ACD3_ACD28_STIM_WT_CD4_TCELL_DN | 1.08e-11 | 21.10 | 9.88 | 1.76e-08 | 5.29e-08 | 12CCL5, KLRD1, CD8A, IL2RB, RUNX3, CST7, CTSW, SH2D2A, AOAH, DUSP2, APMAP, XCL1 |
199 |
GSE33425_CD161_HIGH_VS_INT_CD8_TCELL_DN | 2.35e-10 | 18.65 | 8.48 | 2.87e-07 | 1.15e-06 | 11CCL5, KLRD1, CD8A, CST7, CD7, SH2D2A, PPP2R5C, PGK1, PRKCH, CD96, SELPLG |
200 |
GSE7509_UNSTIM_VS_FCGRIIB_STIM_DC_DN | 1.13e-09 | 19.06 | 8.35 | 1.10e-06 | 5.51e-06 | 10CCL5, KLRD1, CD8A, IL2RB, CST7, CTSW, SH2D2A, PRKCH, KLRC1, PTPN22 |
174 |
GSE5542_UNTREATED_VS_IFNG_TREATED_EPITHELIAL_CELLS_6H_DN | 4.29e-09 | 16.45 | 7.22 | 2.99e-06 | 2.09e-05 | 10CCL5, FYN, LCP1, PPP2R5C, TGFB1, AOAH, PPP1R16B, PTPN22, PLEKHA2, DUSP2 |
200 |
GSE23568_ID3_TRANSDUCED_VS_ID3_KO_CD8_TCELL_UP | 4.29e-09 | 16.45 | 7.22 | 2.99e-06 | 2.09e-05 | 10CCL5, KLRD1, CST7, CTSW, FYN, ARHGAP9, SH2D2A, CD96, SELPLG, B2M |
200 |
GSE7218_UNSTIM_VS_ANTIGEN_STIM_THROUGH_IGG_BCELL_DN | 1.64e-08 | 17.14 | 7.20 | 9.33e-06 | 7.98e-05 | 9IL2RB, CST7, GPR171, SH2D2A, STAT4, SYTL3, KLRC1, SELPLG, CD53 |
169 |
GSE7218_IGM_VS_IGG_SIGNAL_THGOUGH_ANTIGEN_BCELL_DN | 1.72e-08 | 17.04 | 7.16 | 9.33e-06 | 8.40e-05 | 9CCL5, CD8A, RUNX3, GPR171, SYTL3, KLRC1, PTPN22, B2M, HSH2D |
170 |
GSE2405_0H_VS_12H_A_PHAGOCYTOPHILUM_STIM_NEUTROPHIL_UP | 6.62e-08 | 14.44 | 6.08 | 2.40e-05 | 3.22e-04 | 9IL2RB, RUNX3, CST7, CTSW, CD7, PRKCH, SLFN5, SPN, XCL1 |
199 |
GSE5542_UNTREATED_VS_IFNA_TREATED_EPITHELIAL_CELLS_24H_UP | 6.91e-08 | 14.37 | 6.05 | 2.40e-05 | 3.36e-04 | 9RUNX3, FYN, SH2D2A, PPP2R5C, SYTL3, PDE4B, PLEKHA2, DUSP2, SPN |
200 |
GSE15735_CTRL_VS_HDAC_INHIBITOR_TREATED_CD4_TCELL_2H_DN | 6.91e-08 | 14.37 | 6.05 | 2.40e-05 | 3.36e-04 | 9KLRD1, CD8A, CST7, SLA2, CTSW, STAT4, SYTL3, SELPLG, PTPN22 |
200 |
GSE23568_CTRL_TRANSDUCED_VS_WT_CD8_TCELL_DN | 6.91e-08 | 14.37 | 6.05 | 2.40e-05 | 3.36e-04 | 9CCL5, KLRD1, CST7, CTSW, FYN, SH2D2A, CD96, SELPLG, DUSP2 |
200 |
GSE36078_WT_VS_IL1R_KO_LUNG_DC_DN | 6.91e-08 | 14.37 | 6.05 | 2.40e-05 | 3.36e-04 | 9CCL5, KLRD1, IL2RB, RUNX3, CST7, CTSW, CD7, KLRC1, SELPLG |
200 |
GSE10325_CD4_TCELL_VS_BCELL_UP | 9.03e-07 | 12.53 | 5.01 | 2.16e-04 | 4.40e-03 | 8CCL5, IL2RB, PIK3R1, FYN, SH2D2A, STAT4, PRKCH, SELPLG |
198 |
GSE5542_UNTREATED_VS_IFNG_TREATED_EPITHELIAL_CELLS_24H_UP | 9.03e-07 | 12.53 | 5.01 | 2.16e-04 | 4.40e-03 | 8KLRD1, IL2RB, FYN, SH2D2A, PPP2R5C, SYTL3, CNOT6L, DUSP2 |
198 |
GSE26495_NAIVE_VS_PD1HIGH_CD8_TCELL_DN | 9.38e-07 | 12.47 | 4.99 | 2.16e-04 | 4.57e-03 | 8CCL5, KLRD1, RUNX3, CST7, FYN, SYTL3, PTPN22, APMAP |
199 |
GSE5542_UNTREATED_VS_IFNA_TREATED_EPITHELIAL_CELLS_6H_UP | 9.38e-07 | 12.47 | 4.99 | 2.16e-04 | 4.57e-03 | 8KLRD1, IL2RB, RUNX3, CST7, FYN, SH2D2A, PPP2R5C, TGFB1 |
199 |
GSE22601_IMMATURE_CD4_SINGLE_POSITIVE_VS_CD8_SINGLE_POSITIVE_THYMOCYTE_UP | 9.73e-07 | 12.40 | 4.96 | 2.16e-04 | 4.74e-03 | 8SLA2, RNF125, SH2D2A, PDE4B, CXCR4, SLA, PTPN22, DUSP2 |
200 |
GSE40068_CXCR5NEG_BCL6NEG_CD4_TCELL_VS_CXCR5POS_BCL6NEG_TFH_DN | 9.73e-07 | 12.40 | 4.96 | 2.16e-04 | 4.74e-03 | 8KLRD1, IL2RB, CST7, CTSW, STAT4, SYTL3, KLRC1, PTPN22 |
200 |
Top Ranked Transcription Factors for this Gene Expression Program:
Gene Symbol | TF Rank | DNA Binding Domain | Motif Status | IUPAC PWM | GTEx | DepMap | Decartes |
---|---|---|---|---|---|---|---|
AKNA | 3 | Yes | Likely to be sequence specific TF | Monomer or homomultimer | No motif | None | Binds AT-rich promoters of CD40 and CD40L and coordinates their expression (PMID: 11268217). |
RUNX3 | 6 | Yes | Known motif | Monomer or homomultimer | High-throughput in vitro | None | None |
RNF125 | 18 | No | Unlikely to be sequence specific TF | Not a DNA binding protein | No motif | None | Protein is a ubiguitin ligase |
TGFB1 | 21 | No | Unlikely to be sequence specific TF | Not a DNA binding protein | No motif | None | None |
STAT4 | 22 | Yes | Known motif | Monomer or homomultimer | In vivo/Misc source | Only known motifs are from Transfac or HocoMoco - origin is uncertain | None |
PRKCH | 27 | No | Unlikely to be sequence specific TF | Not a DNA binding protein | No motif | None | Protein is a kinase that activates another kinase leading to degradation of NFKB inhibitor NFKBIA (PMID: 21820409) |
XCL1 | 50 | No | Unlikely to be sequence specific TF | Not a DNA binding protein | No motif | None | Protein is a secreted chemokine |
PREX1 | 54 | No | Unlikely to be sequence specific TF | Not a DNA binding protein | No motif | None | Included only because Vasquerizas 2009 includes it with an x. No DBD and no other data to support being a TF. |
RNF166 | 59 | No | Unlikely to be sequence specific TF | Not a DNA binding protein | No motif | None | Protein is a ubiquitin ligase (PMID: 26456228) |
CREM | 62 | Yes | Known motif | Monomer or homomultimer | High-throughput in vitro | None | None |
ZFP36L2 | 82 | No | ssDNA/RNA binding | Not a DNA binding protein | No motif | None | RNA-binding protein (PMID: 20506496). |
FLNA | 91 | No | Unlikely to be sequence specific TF | Not a DNA binding protein | No motif | None | Go annotation is based on (PMID: 15684392), which shows that it binds FOXC1 and PBX1 but doesnt show evidence for binding to DNA |
IKZF3 | 93 | Yes | Known motif | Monomer or homomultimer | High-throughput in vitro | ChIP-seq motif is consistent with recognition code (RCADE) | None |
TSC22D3 | 111 | No | Unlikely to be sequence specific TF | Not a DNA binding protein | No motif | None | There is some evidence that a related protein (TSC22D1) binds DNA specifically - thus, it is possible this is also a TF. |
TBX21 | 127 | Yes | Known motif | Monomer or homomultimer | High-throughput in vitro | None | None |
ITGB2 | 133 | No | Unlikely to be sequence specific TF | Not a DNA binding protein | No motif | None | None |
SIRT2 | 136 | No | Unlikely to be sequence specific TF | Not a DNA binding protein | No motif | None | None |
CARD11 | 138 | No | Unlikely to be sequence specific TF | Not a DNA binding protein | No motif | None | Plasma-membrane protein possibly functioning in upstream signaling of NFKB (PMID: 12154360) |
LRRFIP1 | 150 | No | Unlikely to be sequence specific TF | Not a DNA binding protein | No motif | None | Seems to be included only because GO catalogs positive regulation of NF-kappaB transcription factor activity. Nothing that would indicate DNA binding. |
PRKCQ | 162 | No | Unlikely to be sequence specific TF | Not a DNA binding protein | No motif | None | None |
QQ Plot showing correlations with other GEPs in this dataset, calculated by Spearman correlation:
Interactive QQ-plot of gene loadings:
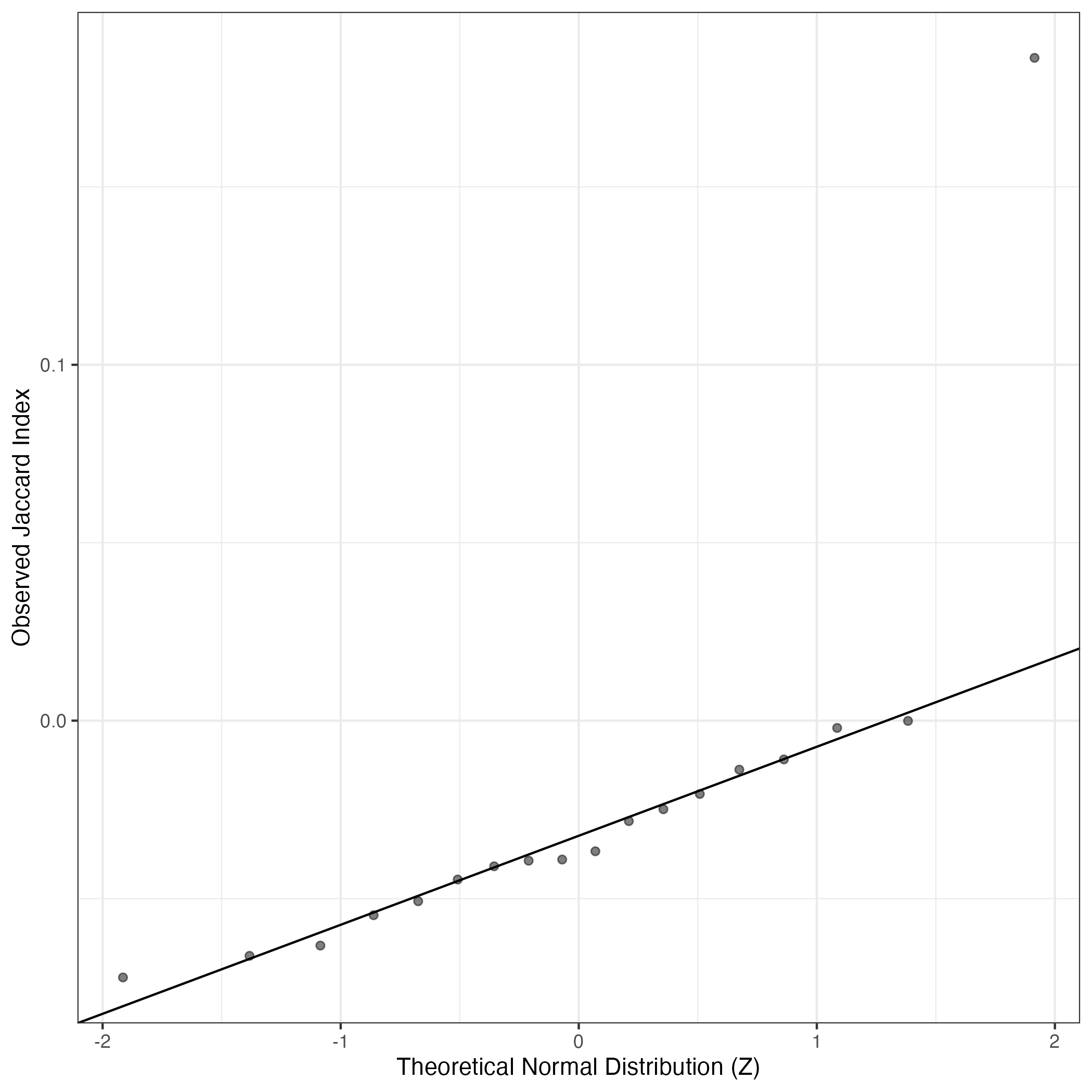
A similar QQ-plot as above, but only for instances where the H value is e.g. > 25, i.e. we are confident that the expression program is active above noise. Agreemenet between these binary vectors is tested using the Jaccard Index, with the P-values calculated by an exact test:
Interactive QQ-plot:
Singler cell type annotations for the top 50 cells on this program.
Cell ID | Singler label | Singler Delta | Activity Score | Top Singler Raw Scores |
---|---|---|---|---|
WK034-P16 | NK_cell:IL2 | 0.19 | 524.67 | Raw ScoresNK_cell:IL2: 0.5, NK_cell: 0.49, NK_cell:CD56hiCD62L+: 0.46, T_cell:gamma-delta: 0.46, T_cell:CD8+_effector_memory_RA: 0.45, T_cell:CD8+: 0.45, T_cell:CD4+_effector_memory: 0.45, T_cell:CD8+_Central_memory: 0.44, T_cell:CD4+_central_memory: 0.44, T_cell:CD4+: 0.43 |
WMK003-J11 | T_cell:gamma-delta | 0.21 | 380.30 | Raw ScoresT_cell:gamma-delta: 0.53, T_cell:effector: 0.51, T_cell:CCR10-CLA+1,25(OH)2_vit_D3/IL-12: 0.5, T_cell:CCR10+CLA+1,25(OH)2_vit_D3/IL-12: 0.5, NK_cell:IL2: 0.5, T_cell:Treg:Naive: 0.48, T_cell:CD4+_effector_memory: 0.48, NK_cell: 0.48, T_cell:CD4+_central_memory: 0.47, T_cell:CD8+: 0.47 |
WK036-O12 | NK_cell | 0.16 | 367.29 | Raw ScoresNK_cell: 0.44, NK_cell:IL2: 0.43, NK_cell:CD56hiCD62L+: 0.42, T_cell:CD8+_effector_memory_RA: 0.39, T_cell:CD8+_Central_memory: 0.39, T_cell:CD8+: 0.38, T_cell:gamma-delta: 0.38, T_cell:CD4+_effector_memory: 0.38, T_cell:CD4+_central_memory: 0.38, T_cell:CD8+_naive: 0.37 |
WK034-K2 | NK_cell | 0.18 | 361.74 | Raw ScoresNK_cell:IL2: 0.45, NK_cell: 0.45, T_cell:gamma-delta: 0.44, T_cell:CD4+_effector_memory: 0.44, T_cell:CD8+_Central_memory: 0.44, T_cell:CD8+_effector_memory_RA: 0.43, T_cell:CD8+: 0.43, T_cell:CD4+_central_memory: 0.43, T_cell:CD4+: 0.42, NK_cell:CD56hiCD62L+: 0.42 |
WK021-B3 | NK_cell:CD56hiCD62L+ | 0.19 | 347.03 | Raw ScoresNK_cell: 0.49, NK_cell:CD56hiCD62L+: 0.48, NK_cell:IL2: 0.48, T_cell:CD8+: 0.44, T_cell:CD4+_effector_memory: 0.43, T_cell:CD8+_effector_memory_RA: 0.43, T_cell:gamma-delta: 0.42, T_cell:CD4+: 0.42, T_cell:CD4+_central_memory: 0.42, T_cell:CD8+_Central_memory: 0.42 |
WK033-I21 | NK_cell | 0.16 | 303.38 | Raw ScoresNK_cell: 0.46, NK_cell:IL2: 0.46, T_cell:CD8+_Central_memory: 0.44, T_cell:CD8+_effector_memory_RA: 0.44, T_cell:CD4+_effector_memory: 0.44, T_cell:CD4+_central_memory: 0.44, NK_cell:CD56hiCD62L+: 0.44, T_cell:CD8+: 0.44, T_cell:CD8+_naive: 0.44, T_cell:CD4+: 0.43 |
WK021-L6 | NK_cell | 0.21 | 288.24 | Raw ScoresNK_cell: 0.52, NK_cell:IL2: 0.5, NK_cell:CD56hiCD62L+: 0.49, T_cell:CD8+: 0.46, T_cell:CD8+_effector_memory_RA: 0.45, T_cell:CD4+_effector_memory: 0.44, T_cell:gamma-delta: 0.44, T_cell:CD8+_Central_memory: 0.44, T_cell:CD4+: 0.44, T_cell:CD4+_central_memory: 0.44 |
WK019-D16 | T_cell:gamma-delta | 0.24 | 274.54 | Raw ScoresT_cell:gamma-delta: 0.56, T_cell:effector: 0.53, T_cell:CCR10-CLA+1,25(OH)2_vit_D3/IL-12: 0.53, T_cell:CCR10+CLA+1,25(OH)2_vit_D3/IL-12: 0.52, NK_cell:IL2: 0.52, T_cell:Treg:Naive: 0.51, T_cell:CD4+_effector_memory: 0.51, NK_cell: 0.5, T_cell:CD4+_central_memory: 0.5, T_cell:CD8+: 0.5 |
KK056-N8 | NK_cell:CD56hiCD62L+ | 0.15 | 274.21 | Raw ScoresNK_cell:IL2: 0.56, NK_cell: 0.56, T_cell:gamma-delta: 0.55, T_cell:effector: 0.54, T_cell:CCR10-CLA+1,25(OH)2_vit_D3/IL-12: 0.53, NK_cell:CD56hiCD62L+: 0.53, T_cell:CCR10+CLA+1,25(OH)2_vit_D3/IL-12: 0.53, Pro-B_cell_CD34+: 0.53, T_cell:CD4+_central_memory: 0.52, T_cell:CD8+: 0.52 |
WK038-M3 | T_cell:CD8+_Central_memory | 0.17 | 268.83 | Raw ScoresNK_cell: 0.49, NK_cell:IL2: 0.49, T_cell:CD4+_effector_memory: 0.48, T_cell:gamma-delta: 0.48, T_cell:CD8+_Central_memory: 0.48, T_cell:CD8+_effector_memory_RA: 0.48, T_cell:CD4+_central_memory: 0.47, T_cell:CD8+: 0.47, T_cell:CD4+: 0.46, T_cell:Treg:Naive: 0.46 |
WK021-I23 | NK_cell | 0.23 | 266.38 | Raw ScoresNK_cell: 0.52, NK_cell:IL2: 0.5, T_cell:CD8+: 0.49, NK_cell:CD56hiCD62L+: 0.48, T_cell:CD8+_effector_memory_RA: 0.48, T_cell:gamma-delta: 0.48, T_cell:CD4+_effector_memory: 0.48, T_cell:CD4+_central_memory: 0.47, T_cell:CD8+_Central_memory: 0.47, T_cell:CD4+: 0.46 |
WK021-H16 | NK_cell | 0.20 | 264.06 | Raw ScoresNK_cell: 0.48, NK_cell:IL2: 0.46, NK_cell:CD56hiCD62L+: 0.44, T_cell:CD8+_effector_memory_RA: 0.44, T_cell:CD8+_Central_memory: 0.43, T_cell:CD8+: 0.43, T_cell:CD4+_effector_memory: 0.42, T_cell:gamma-delta: 0.42, T_cell:CD4+_central_memory: 0.42, T_cell:CD8+_naive: 0.41 |
WK017-J8 | T_cell:gamma-delta | 0.15 | 259.12 | Raw ScoresNK_cell: 0.42, NK_cell:IL2: 0.42, T_cell:gamma-delta: 0.41, T_cell:CD4+_effector_memory: 0.41, T_cell:CD8+: 0.4, T_cell:CD8+_effector_memory_RA: 0.4, T_cell:CD8+_Central_memory: 0.4, T_cell:CD4+_central_memory: 0.4, NK_cell:CD56hiCD62L+: 0.4, T_cell:CD4+: 0.39 |
WK033-G18 | NK_cell | 0.18 | 256.37 | Raw ScoresNK_cell: 0.47, NK_cell:IL2: 0.46, NK_cell:CD56hiCD62L+: 0.44, T_cell:CD8+_effector_memory_RA: 0.43, T_cell:CD8+_Central_memory: 0.43, T_cell:CD4+_effector_memory: 0.43, T_cell:CD8+: 0.43, T_cell:gamma-delta: 0.42, T_cell:CD4+_central_memory: 0.42, T_cell:CD8+_naive: 0.41 |
WK034-F5 | T_cell:gamma-delta | 0.25 | 250.40 | Raw ScoresT_cell:gamma-delta: 0.6, NK_cell:IL2: 0.58, T_cell:CCR10-CLA+1,25(OH)2_vit_D3/IL-12: 0.57, T_cell:effector: 0.57, T_cell:CCR10+CLA+1,25(OH)2_vit_D3/IL-12: 0.56, T_cell:CD4+_effector_memory: 0.55, T_cell:CD4+_central_memory: 0.54, T_cell:CD8+: 0.54, T_cell:Treg:Naive: 0.54, NK_cell: 0.53 |
WK034-B1 | NK_cell:IL2 | 0.17 | 242.65 | Raw ScoresNK_cell:IL2: 0.44, NK_cell: 0.43, NK_cell:CD56hiCD62L+: 0.41, T_cell:gamma-delta: 0.4, T_cell:CD8+: 0.39, T_cell:CD4+_effector_memory: 0.39, T_cell:CD8+_effector_memory_RA: 0.38, T_cell:CD8+_Central_memory: 0.38, T_cell:CD4+: 0.38, T_cell:CD4+_central_memory: 0.38 |
WK038-G14 | T_cell:CD8+_Central_memory | 0.17 | 235.24 | Raw ScoresNK_cell: 0.43, T_cell:CD8+_Central_memory: 0.43, NK_cell:IL2: 0.42, T_cell:CD4+_effector_memory: 0.42, T_cell:CD8+_effector_memory_RA: 0.42, T_cell:CD4+_central_memory: 0.41, T_cell:CD8+_naive: 0.41, T_cell:CD8+: 0.41, T_cell:gamma-delta: 0.41, NK_cell:CD56hiCD62L+: 0.4 |
WK021-D13 | NK_cell:CD56hiCD62L+ | 0.17 | 233.62 | Raw ScoresNK_cell: 0.44, NK_cell:CD56hiCD62L+: 0.44, NK_cell:IL2: 0.43, T_cell:CD8+: 0.4, T_cell:CD4+_effector_memory: 0.39, T_cell:CD8+_effector_memory_RA: 0.39, T_cell:CD4+_central_memory: 0.38, T_cell:CD4+: 0.38, T_cell:gamma-delta: 0.38, T_cell:CD8+_Central_memory: 0.38 |
WK034-F3 | NK_cell:IL2 | 0.18 | 230.66 | Raw ScoresNK_cell:IL2: 0.44, NK_cell: 0.44, T_cell:CD8+: 0.42, T_cell:gamma-delta: 0.42, T_cell:CD8+_effector_memory_RA: 0.42, NK_cell:CD56hiCD62L+: 0.41, T_cell:CD4+_effector_memory: 0.41, T_cell:CD8+_Central_memory: 0.41, T_cell:CD4+_central_memory: 0.41, T_cell:CD4+: 0.4 |
KK055-C4 | NK_cell | 0.17 | 226.18 | Raw ScoresNK_cell: 0.45, NK_cell:CD56hiCD62L+: 0.43, NK_cell:IL2: 0.43, T_cell:CD8+_effector_memory_RA: 0.4, T_cell:CD8+_Central_memory: 0.4, T_cell:gamma-delta: 0.4, T_cell:CD4+_effector_memory: 0.4, T_cell:CD4+_central_memory: 0.39, T_cell:CD8+: 0.39, T_cell:CD4+: 0.39 |
KK057-G4 | NK_cell | 0.19 | 225.67 | Raw ScoresNK_cell: 0.48, NK_cell:IL2: 0.47, NK_cell:CD56hiCD62L+: 0.45, T_cell:CD8+_effector_memory_RA: 0.44, T_cell:CD8+: 0.43, T_cell:CD8+_Central_memory: 0.43, T_cell:CD4+_effector_memory: 0.43, T_cell:gamma-delta: 0.42, T_cell:CD4+_central_memory: 0.42, T_cell:CD4+: 0.42 |
WK034-L12 | T_cell:CD8+ | 0.18 | 224.05 | Raw ScoresT_cell:CD4+_effector_memory: 0.44, NK_cell:IL2: 0.44, T_cell:CD8+: 0.44, NK_cell: 0.44, T_cell:CD4+_central_memory: 0.43, T_cell:gamma-delta: 0.43, T_cell:CD4+: 0.43, T_cell:CD8+_effector_memory_RA: 0.43, T_cell:CD8+_Central_memory: 0.42, T_cell:CD8+_naive: 0.41 |
WK034-F2 | T_cell:CD8+_Central_memory | 0.18 | 217.56 | Raw ScoresNK_cell: 0.45, NK_cell:IL2: 0.44, T_cell:CD8+: 0.44, T_cell:CD8+_effector_memory_RA: 0.44, T_cell:CD4+_effector_memory: 0.44, T_cell:CD8+_Central_memory: 0.43, T_cell:gamma-delta: 0.43, T_cell:CD4+_central_memory: 0.43, NK_cell:CD56hiCD62L+: 0.42, T_cell:CD4+: 0.42 |
WK032-K5 | NK_cell | 0.14 | 216.29 | Raw ScoresNK_cell: 0.39, NK_cell:IL2: 0.38, NK_cell:CD56hiCD62L+: 0.37, T_cell:CD8+_effector_memory_RA: 0.36, T_cell:CD8+_Central_memory: 0.36, T_cell:CD8+_naive: 0.34, T_cell:gamma-delta: 0.33, T_cell:CD8+: 0.33, T_cell:CD4+_effector_memory: 0.33, T_cell:CD4+_central_memory: 0.33 |
WK021-J7 | NK_cell | 0.21 | 214.79 | Raw ScoresNK_cell: 0.51, NK_cell:IL2: 0.5, NK_cell:CD56hiCD62L+: 0.48, T_cell:CD8+: 0.47, T_cell:gamma-delta: 0.46, T_cell:CD4+_effector_memory: 0.46, T_cell:CD4+_central_memory: 0.46, T_cell:CD8+_effector_memory_RA: 0.45, T_cell:CD4+: 0.45, T_cell:CD8+_Central_memory: 0.44 |
WK034-E10 | T_cell:CD8+ | 0.17 | 211.34 | Raw ScoresT_cell:CD4+_effector_memory: 0.45, NK_cell:IL2: 0.45, T_cell:CD8+: 0.44, NK_cell: 0.44, T_cell:CD4+_central_memory: 0.44, T_cell:gamma-delta: 0.43, T_cell:CD4+: 0.43, T_cell:CD8+_effector_memory_RA: 0.42, T_cell:CD8+_Central_memory: 0.42, NK_cell:CD56hiCD62L+: 0.42 |
WK017-E16 | NK_cell | 0.15 | 203.30 | Raw ScoresNK_cell: 0.44, NK_cell:IL2: 0.43, NK_cell:CD56hiCD62L+: 0.42, T_cell:CD8+_Central_memory: 0.41, T_cell:CD8+_effector_memory_RA: 0.41, T_cell:gamma-delta: 0.41, T_cell:CD4+_effector_memory: 0.41, T_cell:CD4+_central_memory: 0.4, T_cell:CD8+: 0.4, T_cell:CD8+_naive: 0.4 |
WK021-F21 | NK_cell:CD56hiCD62L+ | 0.18 | 201.39 | Raw ScoresNK_cell: 0.43, NK_cell:CD56hiCD62L+: 0.42, NK_cell:IL2: 0.41, T_cell:CD4+_effector_memory: 0.38, T_cell:CD8+: 0.38, T_cell:CD8+_effector_memory_RA: 0.38, T_cell:CD4+_central_memory: 0.37, T_cell:CD8+_Central_memory: 0.37, T_cell:gamma-delta: 0.37, T_cell:CD4+: 0.37 |
WK038-L18 | T_cell:CD8+_Central_memory | 0.18 | 201.14 | Raw ScoresNK_cell: 0.45, T_cell:CD8+_Central_memory: 0.44, NK_cell:IL2: 0.44, T_cell:CD4+_effector_memory: 0.43, T_cell:CD8+_effector_memory_RA: 0.43, T_cell:CD8+_naive: 0.43, T_cell:CD4+_central_memory: 0.42, NK_cell:CD56hiCD62L+: 0.42, T_cell:CD8+: 0.41, T_cell:CD4+: 0.41 |
KK058-N15 | NK_cell | 0.18 | 199.77 | Raw ScoresNK_cell: 0.43, NK_cell:IL2: 0.42, NK_cell:CD56hiCD62L+: 0.42, T_cell:CD8+_effector_memory_RA: 0.39, T_cell:CD8+_Central_memory: 0.39, T_cell:CD8+: 0.38, T_cell:CD4+: 0.38, T_cell:CD4+_central_memory: 0.38, T_cell:CD4+_effector_memory: 0.38, T_cell:CD8+_naive: 0.37 |
TM36-F5 | NK_cell | 0.12 | 199.00 | Raw ScoresNK_cell: 0.36, NK_cell:IL2: 0.36, T_cell:CD4+_effector_memory: 0.36, T_cell:CD8+_Central_memory: 0.36, T_cell:CD4+_central_memory: 0.35, T_cell:CD8+_effector_memory_RA: 0.35, T_cell:CD8+: 0.35, T_cell:CD8+_naive: 0.35, T_cell:gamma-delta: 0.35, NK_cell:CD56hiCD62L+: 0.34 |
WK026-A3 | NK_cell | 0.20 | 196.78 | Raw ScoresNK_cell: 0.44, NK_cell:IL2: 0.42, NK_cell:CD56hiCD62L+: 0.41, T_cell:CD8+_effector_memory_RA: 0.41, T_cell:CD8+_Central_memory: 0.41, T_cell:CD8+: 0.4, T_cell:CD4+_effector_memory: 0.4, T_cell:CD4+_central_memory: 0.39, T_cell:CD8+_naive: 0.39, T_cell:CD4+: 0.38 |
WK034-B6 | T_cell:CD8+ | 0.18 | 195.22 | Raw ScoresNK_cell:IL2: 0.46, NK_cell: 0.46, T_cell:CD4+_effector_memory: 0.45, T_cell:CD8+: 0.45, T_cell:CD4+_central_memory: 0.45, T_cell:gamma-delta: 0.45, T_cell:CD4+: 0.44, T_cell:CD8+_Central_memory: 0.44, T_cell:CD8+_effector_memory_RA: 0.44, T_cell:Treg:Naive: 0.43 |
WK038-A5 | T_cell:CD8+_Central_memory | 0.12 | 189.91 | Raw ScoresNK_cell: 0.39, NK_cell:IL2: 0.39, T_cell:gamma-delta: 0.39, T_cell:CD4+_effector_memory: 0.39, T_cell:CD8+: 0.38, T_cell:CD4+_central_memory: 0.38, T_cell:CD8+_Central_memory: 0.38, T_cell:CD8+_effector_memory_RA: 0.38, T_cell:CD4+: 0.37, T_cell:CD8+_naive: 0.37 |
WK038-L8 | T_cell:CD8+_Central_memory | 0.19 | 189.86 | Raw ScoresNK_cell: 0.43, T_cell:CD8+_Central_memory: 0.43, T_cell:CD8+_effector_memory_RA: 0.42, NK_cell:IL2: 0.42, T_cell:CD8+_naive: 0.42, T_cell:CD4+_effector_memory: 0.42, T_cell:CD4+_central_memory: 0.41, T_cell:CD8+: 0.41, T_cell:gamma-delta: 0.41, NK_cell:CD56hiCD62L+: 0.4 |
WK038-I2 | T_cell:CD8+_Central_memory | 0.17 | 187.15 | Raw ScoresNK_cell: 0.44, T_cell:CD8+_Central_memory: 0.43, NK_cell:IL2: 0.43, T_cell:CD8+_effector_memory_RA: 0.43, T_cell:CD8+_naive: 0.42, NK_cell:CD56hiCD62L+: 0.41, T_cell:CD4+_effector_memory: 0.41, T_cell:CD8+: 0.41, T_cell:gamma-delta: 0.41, T_cell:CD4+_central_memory: 0.4 |
WK038-E11 | T_cell:CD8+_Central_memory | 0.17 | 183.90 | Raw ScoresT_cell:CD8+_Central_memory: 0.45, NK_cell: 0.45, NK_cell:IL2: 0.44, T_cell:CD8+_effector_memory_RA: 0.44, T_cell:CD4+_effector_memory: 0.44, T_cell:CD8+_naive: 0.44, T_cell:CD4+_central_memory: 0.43, T_cell:gamma-delta: 0.43, T_cell:CD8+: 0.43, T_cell:Treg:Naive: 0.42 |
WK038-C21 | T_cell:CD8+_Central_memory | 0.19 | 183.58 | Raw ScoresT_cell:CD8+_Central_memory: 0.46, T_cell:CD8+_effector_memory_RA: 0.46, NK_cell: 0.45, NK_cell:IL2: 0.45, T_cell:CD8+_naive: 0.44, T_cell:CD4+_effector_memory: 0.43, T_cell:gamma-delta: 0.43, T_cell:CD4+_central_memory: 0.43, T_cell:CD8+: 0.43, NK_cell:CD56hiCD62L+: 0.42 |
WK026-N9 | NK_cell | 0.20 | 183.40 | Raw ScoresNK_cell: 0.46, NK_cell:IL2: 0.44, NK_cell:CD56hiCD62L+: 0.43, T_cell:CD8+: 0.43, T_cell:CD4+_effector_memory: 0.43, T_cell:CD8+_effector_memory_RA: 0.42, T_cell:CD4+_central_memory: 0.42, T_cell:CD8+_Central_memory: 0.42, T_cell:gamma-delta: 0.41, T_cell:CD4+: 0.41 |
WK021-I21 | NK_cell | 0.20 | 181.98 | Raw ScoresNK_cell: 0.46, NK_cell:IL2: 0.44, T_cell:CD8+: 0.43, NK_cell:CD56hiCD62L+: 0.42, T_cell:CD8+_effector_memory_RA: 0.42, T_cell:gamma-delta: 0.41, T_cell:CD4+_effector_memory: 0.41, T_cell:CD8+_Central_memory: 0.41, T_cell:CD4+_central_memory: 0.4, T_cell:CD4+: 0.39 |
WK038-D8 | NK_cell | 0.18 | 181.61 | Raw ScoresNK_cell: 0.42, NK_cell:IL2: 0.41, T_cell:CD8+_Central_memory: 0.4, T_cell:CD4+_effector_memory: 0.4, T_cell:CD8+_effector_memory_RA: 0.4, T_cell:gamma-delta: 0.4, T_cell:CD8+_naive: 0.39, T_cell:CD4+_central_memory: 0.39, T_cell:CD8+: 0.39, NK_cell:CD56hiCD62L+: 0.39 |
WK021-H11 | NK_cell | 0.20 | 181.47 | Raw ScoresNK_cell: 0.45, NK_cell:IL2: 0.43, T_cell:CD8+: 0.42, T_cell:CD8+_effector_memory_RA: 0.41, NK_cell:CD56hiCD62L+: 0.41, T_cell:CD4+_effector_memory: 0.41, T_cell:CD8+_Central_memory: 0.4, T_cell:gamma-delta: 0.4, T_cell:CD4+_central_memory: 0.4, T_cell:CD4+: 0.39 |
WK097-K4 | NK_cell | 0.17 | 181.31 | Raw ScoresNK_cell: 0.42, NK_cell:IL2: 0.4, NK_cell:CD56hiCD62L+: 0.4, T_cell:CD8+_Central_memory: 0.4, T_cell:CD8+_effector_memory_RA: 0.4, T_cell:CD4+_effector_memory: 0.39, T_cell:gamma-delta: 0.39, T_cell:CD4+_central_memory: 0.39, T_cell:CD8+: 0.39, T_cell:CD8+_naive: 0.38 |
WK038-O10 | T_cell:CD8+_Central_memory | 0.17 | 181.20 | Raw ScoresNK_cell: 0.44, T_cell:CD8+_Central_memory: 0.44, T_cell:CD8+_effector_memory_RA: 0.43, T_cell:CD8+_naive: 0.43, NK_cell:IL2: 0.43, T_cell:CD4+_effector_memory: 0.42, T_cell:CD4+_central_memory: 0.42, T_cell:gamma-delta: 0.42, T_cell:CD8+: 0.41, NK_cell:CD56hiCD62L+: 0.41 |
WK034-P4 | T_cell:CD8+ | 0.16 | 181.11 | Raw ScoresT_cell:CD4+_effector_memory: 0.45, NK_cell:IL2: 0.45, T_cell:CD8+: 0.45, T_cell:CD4+_central_memory: 0.45, NK_cell: 0.44, T_cell:CD4+: 0.44, T_cell:gamma-delta: 0.44, T_cell:CD8+_effector_memory_RA: 0.43, T_cell:Treg:Naive: 0.42, T_cell:CD8+_Central_memory: 0.42 |
WK038-P1 | NK_cell | 0.17 | 179.27 | Raw ScoresNK_cell: 0.45, NK_cell:IL2: 0.44, T_cell:CD4+_effector_memory: 0.44, T_cell:CD8+_Central_memory: 0.44, T_cell:CD8+_effector_memory_RA: 0.43, T_cell:CD4+_central_memory: 0.43, T_cell:CD8+: 0.43, T_cell:CD8+_naive: 0.43, T_cell:gamma-delta: 0.42, T_cell:CD4+: 0.42 |
WK034-J2 | T_cell:CD8+_Central_memory | 0.16 | 178.48 | Raw ScoresNK_cell:IL2: 0.43, NK_cell: 0.43, T_cell:gamma-delta: 0.42, T_cell:CD4+_effector_memory: 0.42, T_cell:CD8+: 0.42, T_cell:CD4+_central_memory: 0.41, T_cell:CD8+_effector_memory_RA: 0.41, T_cell:CD8+_Central_memory: 0.41, T_cell:CD4+: 0.4, T_cell:Treg:Naive: 0.4 |
WK034-F1 | T_cell:CD8+ | 0.18 | 178.01 | Raw ScoresNK_cell: 0.42, T_cell:CD4+_effector_memory: 0.42, T_cell:CD4+_central_memory: 0.41, T_cell:CD8+: 0.41, NK_cell:IL2: 0.41, T_cell:CD8+_Central_memory: 0.41, T_cell:CD8+_effector_memory_RA: 0.41, T_cell:CD8+_naive: 0.4, T_cell:CD4+: 0.4, T_cell:gamma-delta: 0.4 |
WK038-C18 | T_cell:CD8+_Central_memory | 0.17 | 177.93 | Raw ScoresT_cell:CD4+_effector_memory: 0.47, NK_cell:IL2: 0.46, NK_cell: 0.46, T_cell:CD8+: 0.46, T_cell:gamma-delta: 0.46, T_cell:CD4+_central_memory: 0.46, T_cell:CD8+_effector_memory_RA: 0.45, T_cell:CD8+_Central_memory: 0.45, T_cell:CD4+: 0.45, T_cell:Treg:Naive: 0.43 |
WK097-J21 | T_cell:CD8+_naive | 0.14 | 177.52 | Raw ScoresNK_cell: 0.42, T_cell:CD8+_Central_memory: 0.41, NK_cell:IL2: 0.41, T_cell:CD8+_effector_memory_RA: 0.41, T_cell:CD4+_effector_memory: 0.41, T_cell:CD4+_central_memory: 0.41, T_cell:CD8+: 0.41, T_cell:CD8+_naive: 0.4, T_cell:gamma-delta: 0.4, T_cell:CD4+: 0.4 |
Below shows the significant enrichments of this GEP for literature curated gene lists
This data was procured from existing single cell RNA-seq maps of neuroblastoma or related relevant data.
High ranks indicate this gene is a driver of this GEP.
These curated gene list are ranked by the P-value (on this GEP) of their constituent genes.
The Mean Count column shows the mean read count in cells scoring highly (H > 50) on this gene expression program.
Genes | Weight | Rank | GTEx | DepMap | Decartes | Mean.Counts | Mean.TPM |
---|---|---|---|---|---|---|---|
PTPRC | 0.0093768 | 10 | GTEx | DepMap | Descartes | 11.90 | 1064.60 |
CXCR4 | 0.0067044 | 35 | GTEx | DepMap | Descartes | 9.25 | 2380.85 |
Immune cells (Jansky)
Mentioned in the main text (Jansky et al, Nature Genetics (2021)), page 1, that PTPRC+ Immune cells were identified in their fetal adrenal glands, this is also highlighted in the UMAP plot on their Fig 1B. Additional genes also shown in their Extended data Figure 2D.:
Wilcoxon ranksum test P-value for gene set overrepresentation: 7.65e-03
Mean rank of genes in gene set: 63
Rank on gene expression program of genes in gene set:
Genes | Weight | Rank | GTEx | DepMap | Decartes | Mean.Counts | Mean.TPM |
---|---|---|---|---|---|---|---|
PTPRC | 0.0093768 | 10 | GTEx | DepMap | Descartes | 11.90 | 1064.6 |
CD247 | 0.0047303 | 116 | GTEx | DepMap | Descartes | 1.29 | 206.2 |
Immune (Hanemaaijer)
Marker genes obtained from Supplementary Table SD of Hanemaaijer et al (PMID 33500353). The authors generated single-cell RNA-seq data (sort-seq, 2,229 cells total) from mouse adrenal glads at E13.5, E14.5, E17.5, E18.5, P1 and P5. These were marker genes that matched with a similar dataset generated by Furlan et al (PMID 28684471). This particular set of markers are for the broad Immune cluster:
Wilcoxon ranksum test P-value for gene set overrepresentation: 8.36e-03
Mean rank of genes in gene set: 145.5
Rank on gene expression program of genes in gene set:
Genes | Weight | Rank | GTEx | DepMap | Decartes | Mean.Counts | Mean.TPM |
---|---|---|---|---|---|---|---|
TMSB4X | 0.0052092 | 87 | GTEx | DepMap | Descartes | 24.69 | 6473.95 |
LCP2 | 0.0037274 | 204 | GTEx | DepMap | Descartes | 1.48 | 149.16 |
Below shows ranks on this GEP for literature curated gene lists for large gene sets
These include those reported as mesenchymal/adrenergic by Van Groningen et al.
High ranks indicate this gene is a driver of this GEP (note these results are not ordered).
The Mean Count column shows the mean read count in cells scoring highly (H > 50) on this gene expression program.
VanGroningen Adrenergic Genes
Adrenergic marker genes from Supplementary Table 2 of Van Groningen et al. Nature Genetics 2017. These genes were identified by differential expression analysis of mesenchymal-like and adrenergic-like neuroblastoma cell lines.
Wilcoxon ranksum test P-value for gene set overrepresentation: 1.00e+00
Mean rank of genes in gene set: 8801.54
Median rank of genes in gene set: 10399
Rank on gene expression program of top 30 genes in gene set:
Genes | Weight | Rank | GTEx | DepMap | Descartes | Mean.Counts | Mean.TPM |
---|---|---|---|---|---|---|---|
PIK3R1 | 0.0093090 | 12 | GTEx | DepMap | Descartes | 4.48 | 323.83 |
CXCR4 | 0.0067044 | 35 | GTEx | DepMap | Descartes | 9.25 | 2380.85 |
AUTS2 | 0.0058154 | 65 | GTEx | DepMap | Descartes | 1.98 | 132.67 |
EML4 | 0.0057770 | 67 | GTEx | DepMap | Descartes | 3.77 | 329.66 |
LEPROTL1 | 0.0041952 | 158 | GTEx | DepMap | Descartes | 1.81 | 278.14 |
SATB1 | 0.0038514 | 188 | GTEx | DepMap | Descartes | 1.93 | 115.47 |
ABLIM1 | 0.0038321 | 189 | GTEx | DepMap | Descartes | 1.54 | 90.98 |
DUSP4 | 0.0037111 | 205 | GTEx | DepMap | Descartes | 2.27 | 203.55 |
EVL | 0.0035001 | 230 | GTEx | DepMap | Descartes | 2.17 | 254.55 |
MCM6 | 0.0026818 | 376 | GTEx | DepMap | Descartes | 0.57 | 58.83 |
ARHGEF7 | 0.0024821 | 435 | GTEx | DepMap | Descartes | 0.76 | 61.45 |
KLF13 | 0.0024360 | 443 | GTEx | DepMap | Descartes | 1.35 | 87.58 |
MIAT | 0.0023297 | 475 | GTEx | DepMap | Descartes | 0.80 | 38.01 |
CYFIP2 | 0.0022098 | 518 | GTEx | DepMap | Descartes | 1.26 | 91.04 |
RALGDS | 0.0021566 | 538 | GTEx | DepMap | Descartes | 0.83 | 67.97 |
UCP2 | 0.0018817 | 641 | GTEx | DepMap | Descartes | 1.19 | 235.69 |
CELF2 | 0.0015641 | 836 | GTEx | DepMap | Descartes | 1.41 | 77.36 |
AGTPBP1 | 0.0014488 | 938 | GTEx | DepMap | Descartes | 0.30 | 28.48 |
FAM169A | 0.0013298 | 1053 | GTEx | DepMap | Descartes | 0.14 | 11.27 |
GLCCI1 | 0.0013010 | 1081 | GTEx | DepMap | Descartes | 1.04 | 99.57 |
CERK | 0.0012649 | 1118 | GTEx | DepMap | Descartes | 0.61 | 59.16 |
POLB | 0.0008294 | 1876 | GTEx | DepMap | Descartes | 0.27 | 87.51 |
CACNA2D2 | 0.0007720 | 2012 | GTEx | DepMap | Descartes | 0.04 | 3.51 |
KIF2A | 0.0007441 | 2073 | GTEx | DepMap | Descartes | 0.37 | 18.22 |
CCNI | 0.0007234 | 2133 | GTEx | DepMap | Descartes | 4.31 | 706.91 |
FAM107B | 0.0007233 | 2135 | GTEx | DepMap | Descartes | 1.37 | 165.82 |
GCH1 | 0.0006820 | 2247 | GTEx | DepMap | Descartes | 0.61 | 94.18 |
PPP2R3C | 0.0006321 | 2376 | GTEx | DepMap | Descartes | 0.23 | 49.12 |
NELFCD | 0.0006054 | 2440 | GTEx | DepMap | Descartes | 0.45 | NA |
CCP110 | 0.0005959 | 2466 | GTEx | DepMap | Descartes | 0.21 | 19.49 |
VanGroningen Mesenchymal Genes
Mesenchymal marker genes from Supplementary Table 2 of Van Groningen et al. Nature Genetics 2017. These genes were identified by differential expression analysis of mesenchymal-like and adrenergic-like neuroblastoma cell lines.
Wilcoxon ranksum test P-value for gene set overrepresentation: 1.00e+00
Mean rank of genes in gene set: 8991.11
Median rank of genes in gene set: 10973
Rank on gene expression program of top 30 genes in gene set:
Genes | Weight | Rank | GTEx | DepMap | Descartes | Mean.Counts | Mean.TPM |
---|---|---|---|---|---|---|---|
PLEKHA2 | 0.0063746 | 43 | GTEx | DepMap | Descartes | 2.25 | 194.20 |
B2M | 0.0062877 | 46 | GTEx | DepMap | Descartes | 50.56 | 9748.61 |
ITGA4 | 0.0052981 | 86 | GTEx | DepMap | Descartes | 1.17 | 82.34 |
FLNA | 0.0051723 | 91 | GTEx | DepMap | Descartes | 4.48 | 241.11 |
LITAF | 0.0050606 | 97 | GTEx | DepMap | Descartes | 5.95 | 1104.17 |
TSC22D3 | 0.0048193 | 111 | GTEx | DepMap | Descartes | 3.11 | 694.59 |
CD44 | 0.0043592 | 142 | GTEx | DepMap | Descartes | 7.32 | 621.98 |
JAK1 | 0.0043333 | 146 | GTEx | DepMap | Descartes | 3.00 | 167.87 |
IQGAP2 | 0.0039663 | 178 | GTEx | DepMap | Descartes | 1.36 | 108.17 |
ITM2C | 0.0035151 | 227 | GTEx | DepMap | Descartes | 1.11 | 244.11 |
SURF4 | 0.0034607 | 240 | GTEx | DepMap | Descartes | 1.72 | 255.97 |
ETS1 | 0.0033781 | 257 | GTEx | DepMap | Descartes | 3.66 | 328.39 |
ATXN1 | 0.0033015 | 272 | GTEx | DepMap | Descartes | 1.09 | 45.43 |
CBLB | 0.0032812 | 274 | GTEx | DepMap | Descartes | 1.85 | 126.99 |
IFITM2 | 0.0026833 | 375 | GTEx | DepMap | Descartes | 7.17 | 3870.69 |
SKIL | 0.0025038 | 421 | GTEx | DepMap | Descartes | 1.33 | 89.53 |
MBNL1 | 0.0022933 | 488 | GTEx | DepMap | Descartes | 2.49 | 175.45 |
FAM102B | 0.0021565 | 539 | GTEx | DepMap | Descartes | 0.34 | 20.70 |
MOB1A | 0.0021501 | 540 | GTEx | DepMap | Descartes | 1.11 | 95.86 |
COPA | 0.0019843 | 594 | GTEx | DepMap | Descartes | 1.27 | 107.00 |
SPCS3 | 0.0019640 | 600 | GTEx | DepMap | Descartes | 0.66 | 63.85 |
ELF1 | 0.0019079 | 631 | GTEx | DepMap | Descartes | 1.16 | 149.60 |
ELK4 | 0.0016540 | 768 | GTEx | DepMap | Descartes | 0.52 | 21.71 |
LASP1 | 0.0015863 | 815 | GTEx | DepMap | Descartes | 1.13 | 125.08 |
REST | 0.0015468 | 854 | GTEx | DepMap | Descartes | 0.73 | 45.86 |
TMEM50A | 0.0014653 | 919 | GTEx | DepMap | Descartes | 0.93 | 173.51 |
PTGER4 | 0.0014637 | 921 | GTEx | DepMap | Descartes | 0.97 | 136.99 |
CRELD2 | 0.0014375 | 954 | GTEx | DepMap | Descartes | 0.27 | 44.67 |
ABRACL | 0.0013920 | 990 | GTEx | DepMap | Descartes | 0.49 | NA |
RAP1B | 0.0013780 | 1002 | GTEx | DepMap | Descartes | 0.86 | 26.60 |
Descartes adrenocortical markers
Top 50 marker genes of adrenocortical cells in the Decartes fetal adrenal single cell map (https://atlas.brotmanbaty.org/bbi/human-gene-expression-during-development/cell/adrenocortical/in/adrenal)
Wilcoxon ranksum test P-value for gene set overrepresentation: 9.95e-01
Mean rank of genes in gene set: 7812.03
Median rank of genes in gene set: 9161
Rank on gene expression program of top 30 genes in gene set:
Genes | Weight | Rank | GTEx | DepMap | Descartes | Mean.Counts | Mean.TPM |
---|---|---|---|---|---|---|---|
GRAMD1B | 0.0038177 | 192 | GTEx | DepMap | Descartes | 0.65 | 37.84 |
ERN1 | 0.0019868 | 592 | GTEx | DepMap | Descartes | 0.66 | 38.98 |
CYB5B | 0.0012536 | 1125 | GTEx | DepMap | Descartes | 0.49 | 51.01 |
DHCR7 | 0.0011090 | 1334 | GTEx | DepMap | Descartes | 0.24 | 41.76 |
NPC1 | 0.0009433 | 1628 | GTEx | DepMap | Descartes | 0.41 | 42.71 |
FDX1 | 0.0006718 | 2279 | GTEx | DepMap | Descartes | 0.19 | 26.66 |
FDPS | 0.0002836 | 3560 | GTEx | DepMap | Descartes | 0.34 | 63.24 |
POR | 0.0001680 | 4084 | GTEx | DepMap | Descartes | 0.26 | 48.23 |
SGCZ | 0.0001507 | 4165 | GTEx | DepMap | Descartes | 0.00 | 0.00 |
TM7SF2 | 0.0000593 | 4627 | GTEx | DepMap | Descartes | 0.04 | 7.77 |
STAR | -0.0001475 | 5920 | GTEx | DepMap | Descartes | 0.00 | 0.82 |
INHA | -0.0002802 | 6954 | GTEx | DepMap | Descartes | 0.00 | 0.00 |
MSMO1 | -0.0003012 | 7123 | GTEx | DepMap | Descartes | 0.18 | 44.86 |
SCAP | -0.0003232 | 7292 | GTEx | DepMap | Descartes | 0.10 | 9.71 |
BAIAP2L1 | -0.0003529 | 7509 | GTEx | DepMap | Descartes | 0.01 | 0.98 |
FDXR | -0.0005002 | 8467 | GTEx | DepMap | Descartes | 0.01 | 1.19 |
FREM2 | -0.0005026 | 8490 | GTEx | DepMap | Descartes | 0.00 | 0.00 |
IGF1R | -0.0006107 | 9086 | GTEx | DepMap | Descartes | 0.19 | 6.13 |
JAKMIP2 | -0.0006375 | 9236 | GTEx | DepMap | Descartes | 0.06 | 2.66 |
HMGCR | -0.0007430 | 9727 | GTEx | DepMap | Descartes | 0.18 | 18.32 |
SCARB1 | -0.0007462 | 9745 | GTEx | DepMap | Descartes | 0.02 | 1.29 |
HMGCS1 | -0.0008642 | 10167 | GTEx | DepMap | Descartes | 0.27 | 22.80 |
DHCR24 | -0.0009312 | 10393 | GTEx | DepMap | Descartes | 0.02 | 1.20 |
FRMD5 | -0.0009416 | 10431 | GTEx | DepMap | Descartes | 0.00 | 0.18 |
DNER | -0.0009646 | 10500 | GTEx | DepMap | Descartes | 0.01 | 1.30 |
SLC16A9 | -0.0010006 | 10615 | GTEx | DepMap | Descartes | 0.00 | 0.00 |
APOC1 | -0.0010106 | 10651 | GTEx | DepMap | Descartes | 0.03 | 13.35 |
PDE10A | -0.0010646 | 10804 | GTEx | DepMap | Descartes | 0.02 | 0.77 |
SLC1A2 | -0.0012276 | 11198 | GTEx | DepMap | Descartes | 0.01 | 0.28 |
SH3PXD2B | -0.0012465 | 11247 | GTEx | DepMap | Descartes | 0.01 | 0.44 |
Descartes chromaffin markers
Top 50 marker genes of chromaffin cells in the Decartes fetal adrenal single cell map (https://atlas.brotmanbaty.org/bbi/human-gene-expression-during-development/cell/chromaffin/in/adrenal)
Wilcoxon ranksum test P-value for gene set overrepresentation: 1.00e+00
Mean rank of genes in gene set: 10333.54
Median rank of genes in gene set: 10863
Rank on gene expression program of top 30 genes in gene set:
Genes | Weight | Rank | GTEx | DepMap | Descartes | Mean.Counts | Mean.TPM |
---|---|---|---|---|---|---|---|
EPHA6 | 0.0001964 | 3953 | GTEx | DepMap | Descartes | 0.00 | 1.03 |
NTRK1 | -0.0000080 | 4999 | GTEx | DepMap | Descartes | 0.03 | 3.04 |
ANKFN1 | -0.0002776 | 6937 | GTEx | DepMap | Descartes | 0.00 | 0.00 |
GAL | -0.0003546 | 7533 | GTEx | DepMap | Descartes | 0.05 | 6.81 |
RYR2 | -0.0004230 | 8009 | GTEx | DepMap | Descartes | 0.06 | 1.10 |
PLXNA4 | -0.0004593 | 8245 | GTEx | DepMap | Descartes | 0.01 | 0.53 |
KCNB2 | -0.0005388 | 8704 | GTEx | DepMap | Descartes | 0.00 | 0.00 |
RPH3A | -0.0005467 | 8767 | GTEx | DepMap | Descartes | 0.00 | 0.06 |
TMEFF2 | -0.0005485 | 8778 | GTEx | DepMap | Descartes | 0.00 | 0.20 |
EYA4 | -0.0005681 | 8889 | GTEx | DepMap | Descartes | 0.01 | 0.09 |
ALK | -0.0006577 | 9343 | GTEx | DepMap | Descartes | 0.01 | 0.06 |
HS3ST5 | -0.0006858 | 9461 | GTEx | DepMap | Descartes | 0.00 | 0.00 |
SLC44A5 | -0.0006939 | 9490 | GTEx | DepMap | Descartes | 0.00 | 0.30 |
EYA1 | -0.0007047 | 9554 | GTEx | DepMap | Descartes | 0.02 | 0.68 |
CNKSR2 | -0.0007891 | 9906 | GTEx | DepMap | Descartes | 0.05 | 2.17 |
RBFOX1 | -0.0008688 | 10190 | GTEx | DepMap | Descartes | 0.01 | 0.42 |
IL7 | -0.0008838 | 10246 | GTEx | DepMap | Descartes | 0.01 | 1.61 |
CNTFR | -0.0009999 | 10611 | GTEx | DepMap | Descartes | 0.01 | 0.57 |
GREM1 | -0.0010163 | 10667 | GTEx | DepMap | Descartes | 0.01 | 0.32 |
FAT3 | -0.0010764 | 10847 | GTEx | DepMap | Descartes | 0.00 | 0.05 |
TMEM132C | -0.0010811 | 10863 | GTEx | DepMap | Descartes | 0.01 | 0.08 |
NPY | -0.0010922 | 10902 | GTEx | DepMap | Descartes | 0.10 | 18.38 |
PTCHD1 | -0.0011177 | 10952 | GTEx | DepMap | Descartes | 0.02 | 0.24 |
REEP1 | -0.0011563 | 11037 | GTEx | DepMap | Descartes | 0.03 | 3.71 |
MAB21L2 | -0.0012328 | 11210 | GTEx | DepMap | Descartes | 0.00 | 0.37 |
SLC6A2 | -0.0013048 | 11354 | GTEx | DepMap | Descartes | 0.00 | 0.07 |
MARCH11 | -0.0014814 | 11642 | GTEx | DepMap | Descartes | 0.01 | NA |
ELAVL2 | -0.0015278 | 11707 | GTEx | DepMap | Descartes | 0.00 | 0.03 |
ISL1 | -0.0016606 | 11874 | GTEx | DepMap | Descartes | 0.09 | 3.48 |
MAB21L1 | -0.0017001 | 11926 | GTEx | DepMap | Descartes | 0.02 | 1.83 |
Descartes Vascular_endothelial markers
Top 50 marker genes of Vascular_endothelial cells in the Decartes fetal adrenal single cell map (https://atlas.brotmanbaty.org/bbi/human-gene-expression-during-development/cell/vascular_endothelial/in/adrenal)
Wilcoxon ranksum test P-value for gene set overrepresentation: 1.00e+00
Mean rank of genes in gene set: 9869.63
Median rank of genes in gene set: 10114
Rank on gene expression program of top 30 genes in gene set:
Genes | Weight | Rank | GTEx | DepMap | Descartes | Mean.Counts | Mean.TPM |
---|---|---|---|---|---|---|---|
CRHBP | -0.0002242 | 6527 | GTEx | DepMap | Descartes | 0.00 | 0.00 |
F8 | -0.0002285 | 6559 | GTEx | DepMap | Descartes | 0.03 | 1.12 |
NR5A2 | -0.0002857 | 6997 | GTEx | DepMap | Descartes | 0.00 | 0.00 |
ESM1 | -0.0004109 | 7918 | GTEx | DepMap | Descartes | 0.00 | 1.35 |
BTNL9 | -0.0004851 | 8398 | GTEx | DepMap | Descartes | 0.00 | 0.73 |
CHRM3 | -0.0005447 | 8747 | GTEx | DepMap | Descartes | 0.01 | 0.54 |
CEACAM1 | -0.0005454 | 8753 | GTEx | DepMap | Descartes | 0.02 | 3.47 |
NPR1 | -0.0005574 | 8828 | GTEx | DepMap | Descartes | 0.00 | 0.00 |
GALNT15 | -0.0005581 | 8830 | GTEx | DepMap | Descartes | 0.01 | NA |
EHD3 | -0.0005638 | 8863 | GTEx | DepMap | Descartes | 0.03 | 1.68 |
FLT4 | -0.0006317 | 9203 | GTEx | DepMap | Descartes | 0.02 | 1.75 |
IRX3 | -0.0006798 | 9442 | GTEx | DepMap | Descartes | 0.00 | 0.46 |
KANK3 | -0.0007089 | 9569 | GTEx | DepMap | Descartes | 0.01 | 1.32 |
CLDN5 | -0.0007129 | 9583 | GTEx | DepMap | Descartes | 0.01 | 1.55 |
TEK | -0.0007422 | 9722 | GTEx | DepMap | Descartes | 0.01 | 0.77 |
NOTCH4 | -0.0007717 | 9831 | GTEx | DepMap | Descartes | 0.01 | 0.85 |
PODXL | -0.0007735 | 9840 | GTEx | DepMap | Descartes | 0.02 | 2.26 |
TMEM88 | -0.0008070 | 9970 | GTEx | DepMap | Descartes | 0.07 | 38.20 |
ROBO4 | -0.0008414 | 10091 | GTEx | DepMap | Descartes | 0.00 | 0.74 |
RASIP1 | -0.0008560 | 10137 | GTEx | DepMap | Descartes | 0.01 | 0.57 |
MYRIP | -0.0008821 | 10241 | GTEx | DepMap | Descartes | 0.00 | 0.18 |
SHE | -0.0009225 | 10365 | GTEx | DepMap | Descartes | 0.00 | 0.27 |
CDH5 | -0.0009252 | 10378 | GTEx | DepMap | Descartes | 0.00 | 0.20 |
SLCO2A1 | -0.0009254 | 10379 | GTEx | DepMap | Descartes | 0.02 | 0.83 |
KDR | -0.0009348 | 10410 | GTEx | DepMap | Descartes | 0.00 | 0.00 |
MMRN2 | -0.0010082 | 10641 | GTEx | DepMap | Descartes | 0.01 | 2.01 |
HYAL2 | -0.0010151 | 10664 | GTEx | DepMap | Descartes | 0.01 | 0.91 |
PTPRB | -0.0010431 | 10736 | GTEx | DepMap | Descartes | 0.01 | 0.63 |
TIE1 | -0.0010477 | 10755 | GTEx | DepMap | Descartes | 0.04 | 3.28 |
PLVAP | -0.0010986 | 10908 | GTEx | DepMap | Descartes | 0.04 | 5.51 |
Descartes stromal markers
Top 50 marker genes of stromal cells in the Decartes fetal adrenal single cell map (https://atlas.brotmanbaty.org/bbi/human-gene-expression-during-development/cell/stromal/in/adrenal)
Wilcoxon ranksum test P-value for gene set overrepresentation: 1.00e+00
Mean rank of genes in gene set: 11172.64
Median rank of genes in gene set: 11457.5
Rank on gene expression program of top 30 genes in gene set:
Genes | Weight | Rank | GTEx | DepMap | Descartes | Mean.Counts | Mean.TPM |
---|---|---|---|---|---|---|---|
GAS2 | -0.0002488 | 6724 | GTEx | DepMap | Descartes | 0.01 | 0.45 |
LAMC3 | -0.0003834 | 7766 | GTEx | DepMap | Descartes | 0.00 | 0.06 |
DKK2 | -0.0005376 | 8695 | GTEx | DepMap | Descartes | 0.00 | 0.00 |
FREM1 | -0.0006728 | 9419 | GTEx | DepMap | Descartes | 0.00 | 0.00 |
RSPO3 | -0.0006778 | 9438 | GTEx | DepMap | Descartes | 0.00 | NA |
LRRC17 | -0.0007412 | 9714 | GTEx | DepMap | Descartes | 0.01 | 1.31 |
HHIP | -0.0007423 | 9723 | GTEx | DepMap | Descartes | 0.01 | 0.25 |
GLI2 | -0.0007749 | 9845 | GTEx | DepMap | Descartes | 0.00 | 0.91 |
ADAMTSL3 | -0.0008041 | 9960 | GTEx | DepMap | Descartes | 0.01 | 0.65 |
ITGA11 | -0.0008644 | 10168 | GTEx | DepMap | Descartes | 0.01 | 0.32 |
CLDN11 | -0.0008903 | 10269 | GTEx | DepMap | Descartes | 0.01 | 1.10 |
POSTN | -0.0010210 | 10679 | GTEx | DepMap | Descartes | 0.01 | 1.81 |
SFRP2 | -0.0011309 | 10979 | GTEx | DepMap | Descartes | 0.03 | 10.06 |
ABCC9 | -0.0011468 | 11020 | GTEx | DepMap | Descartes | 0.00 | 0.00 |
PCDH18 | -0.0011948 | 11132 | GTEx | DepMap | Descartes | 0.01 | 0.33 |
CD248 | -0.0012063 | 11164 | GTEx | DepMap | Descartes | 0.01 | 1.53 |
IGFBP3 | -0.0012165 | 11183 | GTEx | DepMap | Descartes | 0.02 | 4.26 |
SCARA5 | -0.0012573 | 11267 | GTEx | DepMap | Descartes | 0.01 | 1.12 |
PAMR1 | -0.0013062 | 11358 | GTEx | DepMap | Descartes | 0.01 | 1.65 |
EDNRA | -0.0013123 | 11365 | GTEx | DepMap | Descartes | 0.01 | 1.53 |
COL27A1 | -0.0013125 | 11367 | GTEx | DepMap | Descartes | 0.01 | 0.37 |
ELN | -0.0013614 | 11447 | GTEx | DepMap | Descartes | 0.03 | 2.98 |
ACTA2 | -0.0013731 | 11468 | GTEx | DepMap | Descartes | 0.12 | 30.82 |
PRICKLE1 | -0.0014279 | 11555 | GTEx | DepMap | Descartes | 0.01 | 0.15 |
ABCA6 | -0.0014594 | 11602 | GTEx | DepMap | Descartes | 0.01 | 0.37 |
ADAMTS2 | -0.0014713 | 11626 | GTEx | DepMap | Descartes | 0.01 | 0.40 |
LOX | -0.0014792 | 11635 | GTEx | DepMap | Descartes | 0.01 | 0.58 |
BICC1 | -0.0015197 | 11702 | GTEx | DepMap | Descartes | 0.01 | 1.35 |
PDGFRA | -0.0017483 | 11973 | GTEx | DepMap | Descartes | 0.01 | 1.20 |
COL1A1 | -0.0020127 | 12187 | GTEx | DepMap | Descartes | 1.39 | 100.84 |
Descartes sympathoblasts markers
Top 50 marker genes of sympathoblasts cells in the Decartes fetal adrenal single cell map (https://atlas.brotmanbaty.org/bbi/human-gene-expression-during-development/cell/sympathoblasts/in/adrenal)
Wilcoxon ranksum test P-value for gene set overrepresentation: 1.00e+00
Mean rank of genes in gene set: 8258.61
Median rank of genes in gene set: 8032
Rank on gene expression program of top 30 genes in gene set:
Genes | Weight | Rank | GTEx | DepMap | Descartes | Mean.Counts | Mean.TPM |
---|---|---|---|---|---|---|---|
GCH1 | 0.0006820 | 2247 | GTEx | DepMap | Descartes | 0.61 | 94.18 |
HTATSF1 | 0.0000525 | 4660 | GTEx | DepMap | Descartes | 0.34 | 42.75 |
SLC35F3 | 0.0000524 | 4661 | GTEx | DepMap | Descartes | 0.01 | 0.86 |
GALNTL6 | -0.0000317 | 5151 | GTEx | DepMap | Descartes | 0.00 | 0.15 |
AGBL4 | -0.0000479 | 5255 | GTEx | DepMap | Descartes | 0.01 | 0.87 |
EML6 | -0.0000667 | 5356 | GTEx | DepMap | Descartes | 0.04 | 1.34 |
CDH18 | -0.0000999 | 5575 | GTEx | DepMap | Descartes | 0.00 | 0.25 |
GRM7 | -0.0001584 | 6013 | GTEx | DepMap | Descartes | 0.00 | 0.37 |
CDH12 | -0.0001858 | 6218 | GTEx | DepMap | Descartes | 0.00 | 0.05 |
SLC24A2 | -0.0001940 | 6282 | GTEx | DepMap | Descartes | 0.00 | 0.08 |
SPOCK3 | -0.0002154 | 6447 | GTEx | DepMap | Descartes | 0.00 | 0.70 |
PACRG | -0.0002233 | 6519 | GTEx | DepMap | Descartes | 0.00 | 0.00 |
SORCS3 | -0.0002393 | 6652 | GTEx | DepMap | Descartes | 0.00 | 0.00 |
GRID2 | -0.0002662 | 6858 | GTEx | DepMap | Descartes | 0.00 | 0.00 |
ST18 | -0.0003235 | 7293 | GTEx | DepMap | Descartes | 0.01 | 0.68 |
CCSER1 | -0.0003480 | 7474 | GTEx | DepMap | Descartes | 0.01 | NA |
TBX20 | -0.0003573 | 7557 | GTEx | DepMap | Descartes | 0.00 | 0.00 |
PENK | -0.0003745 | 7697 | GTEx | DepMap | Descartes | 0.00 | 0.00 |
CNTN3 | -0.0004121 | 7928 | GTEx | DepMap | Descartes | 0.00 | 0.30 |
TENM1 | -0.0004423 | 8136 | GTEx | DepMap | Descartes | 0.03 | NA |
KSR2 | -0.0005707 | 8901 | GTEx | DepMap | Descartes | 0.00 | 0.09 |
TIAM1 | -0.0005810 | 8947 | GTEx | DepMap | Descartes | 0.26 | 15.50 |
FGF14 | -0.0006180 | 9129 | GTEx | DepMap | Descartes | 0.01 | 0.26 |
MGAT4C | -0.0006390 | 9244 | GTEx | DepMap | Descartes | 0.01 | 0.17 |
PCSK2 | -0.0007046 | 9553 | GTEx | DepMap | Descartes | 0.00 | 0.26 |
LAMA3 | -0.0007089 | 9568 | GTEx | DepMap | Descartes | 0.01 | 0.20 |
KCTD16 | -0.0007132 | 9585 | GTEx | DepMap | Descartes | 0.01 | 0.70 |
SLC18A1 | -0.0008967 | 10286 | GTEx | DepMap | Descartes | 0.00 | 0.00 |
NTNG1 | -0.0009056 | 10312 | GTEx | DepMap | Descartes | 0.00 | 0.35 |
DGKK | -0.0009678 | 10518 | GTEx | DepMap | Descartes | 0.01 | 0.05 |
Descartes erythroblasts markers
Top 50 marker genes of erythroblasts cells in the Decartes fetal adrenal single cell map (https://atlas.brotmanbaty.org/bbi/human-gene-expression-during-development/cell/erythroblasts/in/adrenal)
Wilcoxon ranksum test P-value for gene set overrepresentation: 6.93e-01
Mean rank of genes in gene set: 6613.28
Median rank of genes in gene set: 6962
Rank on gene expression program of top 30 genes in gene set:
Genes | Weight | Rank | GTEx | DepMap | Descartes | Mean.Counts | Mean.TPM |
---|---|---|---|---|---|---|---|
GYPC | 0.0036138 | 215 | GTEx | DepMap | Descartes | 1.15 | 290.37 |
EPB41 | 0.0025029 | 423 | GTEx | DepMap | Descartes | 0.75 | 53.73 |
CPOX | 0.0015997 | 805 | GTEx | DepMap | Descartes | 0.20 | 35.57 |
DENND4A | 0.0009768 | 1559 | GTEx | DepMap | Descartes | 0.81 | 42.48 |
ABCB10 | 0.0004796 | 2830 | GTEx | DepMap | Descartes | 0.12 | 11.83 |
TFR2 | 0.0004265 | 2993 | GTEx | DepMap | Descartes | 0.03 | 7.04 |
XPO7 | 0.0002651 | 3636 | GTEx | DepMap | Descartes | 0.22 | 16.83 |
GCLC | 0.0001636 | 4104 | GTEx | DepMap | Descartes | 0.19 | 21.75 |
RHD | 0.0000026 | 4949 | GTEx | DepMap | Descartes | 0.00 | 0.00 |
TRAK2 | -0.0000188 | 5070 | GTEx | DepMap | Descartes | 0.21 | 14.66 |
FECH | -0.0000681 | 5367 | GTEx | DepMap | Descartes | 0.05 | 2.66 |
SLC25A21 | -0.0002014 | 6335 | GTEx | DepMap | Descartes | 0.00 | 0.00 |
RAPGEF2 | -0.0002051 | 6364 | GTEx | DepMap | Descartes | 0.43 | 23.44 |
SLC4A1 | -0.0002150 | 6444 | GTEx | DepMap | Descartes | 0.01 | 0.52 |
ALAS2 | -0.0002812 | 6962 | GTEx | DepMap | Descartes | 0.00 | 0.00 |
BLVRB | -0.0003903 | 7797 | GTEx | DepMap | Descartes | 0.08 | 25.59 |
TMCC2 | -0.0003946 | 7822 | GTEx | DepMap | Descartes | 0.00 | 0.03 |
CAT | -0.0005079 | 8528 | GTEx | DepMap | Descartes | 0.20 | 35.44 |
MICAL2 | -0.0005357 | 8683 | GTEx | DepMap | Descartes | 0.19 | 12.93 |
SPTB | -0.0005498 | 8784 | GTEx | DepMap | Descartes | 0.00 | 0.17 |
RGS6 | -0.0006113 | 9088 | GTEx | DepMap | Descartes | 0.01 | 1.05 |
SPECC1 | -0.0006172 | 9118 | GTEx | DepMap | Descartes | 0.05 | 2.00 |
MARCH3 | -0.0006518 | 9312 | GTEx | DepMap | Descartes | 0.09 | NA |
ANK1 | -0.0008788 | 10226 | GTEx | DepMap | Descartes | 0.04 | 2.42 |
SELENBP1 | -0.0010487 | 10759 | GTEx | DepMap | Descartes | 0.01 | 0.82 |
SNCA | -0.0010678 | 10818 | GTEx | DepMap | Descartes | 0.01 | 1.70 |
SLC25A37 | -0.0010811 | 10864 | GTEx | DepMap | Descartes | 0.20 | 20.13 |
TSPAN5 | -0.0011145 | 10943 | GTEx | DepMap | Descartes | 0.14 | 16.85 |
SOX6 | -0.0011350 | 10987 | GTEx | DepMap | Descartes | 0.02 | 0.71 |
NA | NA | NA | NA | NA | NA | NA | NA |
Descartes myeloid markers
Top 50 marker genes of myeloid cells in the Decartes fetal adrenal single cell map (https://atlas.brotmanbaty.org/bbi/human-gene-expression-during-development/cell/myeloid/in/adrenal)
Wilcoxon ranksum test P-value for gene set overrepresentation: 1.00e+00
Mean rank of genes in gene set: 9056.39
Median rank of genes in gene set: 10682
Rank on gene expression program of top 30 genes in gene set:
Genes | Weight | Rank | GTEx | DepMap | Descartes | Mean.Counts | Mean.TPM |
---|---|---|---|---|---|---|---|
SFMBT2 | 0.0029788 | 317 | GTEx | DepMap | Descartes | 0.42 | 24.13 |
RBPJ | 0.0021062 | 556 | GTEx | DepMap | Descartes | 1.81 | 125.27 |
PTPRE | 0.0011912 | 1203 | GTEx | DepMap | Descartes | 0.70 | 49.30 |
IFNGR1 | 0.0011739 | 1232 | GTEx | DepMap | Descartes | 0.43 | 76.04 |
ATP8B4 | 0.0008606 | 1805 | GTEx | DepMap | Descartes | 0.10 | 6.53 |
ITPR2 | 0.0003621 | 3245 | GTEx | DepMap | Descartes | 0.37 | 10.97 |
WWP1 | 0.0001891 | 3983 | GTEx | DepMap | Descartes | 0.22 | 20.91 |
SPP1 | -0.0003100 | 7194 | GTEx | DepMap | Descartes | 0.00 | 0.57 |
SLC9A9 | -0.0003122 | 7210 | GTEx | DepMap | Descartes | 0.08 | 8.74 |
CD163L1 | -0.0005158 | 8569 | GTEx | DepMap | Descartes | 0.01 | 0.27 |
CTSS | -0.0005429 | 8734 | GTEx | DepMap | Descartes | 0.64 | 71.66 |
FGD2 | -0.0005909 | 8993 | GTEx | DepMap | Descartes | 0.03 | 1.04 |
CTSC | -0.0007244 | 9635 | GTEx | DepMap | Descartes | 0.64 | 42.30 |
MERTK | -0.0007715 | 9829 | GTEx | DepMap | Descartes | 0.01 | 0.84 |
ADAP2 | -0.0008135 | 9999 | GTEx | DepMap | Descartes | 0.02 | 2.60 |
MS4A4A | -0.0009335 | 10405 | GTEx | DepMap | Descartes | 0.03 | 4.25 |
FMN1 | -0.0009417 | 10432 | GTEx | DepMap | Descartes | 0.04 | 1.21 |
CTSD | -0.0009906 | 10587 | GTEx | DepMap | Descartes | 0.60 | 127.88 |
SLC1A3 | -0.0010097 | 10648 | GTEx | DepMap | Descartes | 0.01 | 0.98 |
CSF1R | -0.0010363 | 10716 | GTEx | DepMap | Descartes | 0.08 | 3.46 |
MSR1 | -0.0010574 | 10780 | GTEx | DepMap | Descartes | 0.03 | 2.32 |
CD163 | -0.0010850 | 10879 | GTEx | DepMap | Descartes | 0.02 | 1.17 |
MARCH1 | -0.0010909 | 10895 | GTEx | DepMap | Descartes | 0.03 | NA |
SLCO2B1 | -0.0011235 | 10965 | GTEx | DepMap | Descartes | 0.02 | 0.98 |
CD14 | -0.0011628 | 11051 | GTEx | DepMap | Descartes | 0.03 | 7.25 |
HRH1 | -0.0011753 | 11080 | GTEx | DepMap | Descartes | 0.01 | 0.59 |
CPVL | -0.0012608 | 11271 | GTEx | DepMap | Descartes | 0.07 | 5.61 |
CYBB | -0.0012934 | 11336 | GTEx | DepMap | Descartes | 0.05 | 3.05 |
HCK | -0.0013122 | 11364 | GTEx | DepMap | Descartes | 0.05 | 3.76 |
FGL2 | -0.0014865 | 11649 | GTEx | DepMap | Descartes | 0.19 | 9.95 |
Descartes Schwann markers
Top 50 marker genes of Schwann cells in the Decartes fetal adrenal single cell map (https://atlas.brotmanbaty.org/bbi/human-gene-expression-during-development/cell/schwann/in/adrenal)
Wilcoxon ranksum test P-value for gene set overrepresentation: 1.00e+00
Mean rank of genes in gene set: 10619.02
Median rank of genes in gene set: 11076.5
Rank on gene expression program of top 30 genes in gene set:
Genes | Weight | Rank | GTEx | DepMap | Descartes | Mean.Counts | Mean.TPM |
---|---|---|---|---|---|---|---|
PAG1 | -0.0000795 | 5443 | GTEx | DepMap | Descartes | 1.08 | 45.51 |
IL1RAPL2 | -0.0000864 | 5481 | GTEx | DepMap | Descartes | 0.00 | 0.00 |
ERBB4 | -0.0003770 | 7711 | GTEx | DepMap | Descartes | 0.00 | 0.03 |
IL1RAPL1 | -0.0004198 | 7984 | GTEx | DepMap | Descartes | 0.00 | 0.58 |
HMGA2 | -0.0004375 | 8098 | GTEx | DepMap | Descartes | 0.01 | 0.94 |
LRRTM4 | -0.0004643 | 8268 | GTEx | DepMap | Descartes | 0.00 | 0.64 |
PPP2R2B | -0.0005048 | 8509 | GTEx | DepMap | Descartes | 0.12 | 4.26 |
MDGA2 | -0.0005049 | 8511 | GTEx | DepMap | Descartes | 0.01 | 0.55 |
MPZ | -0.0005102 | 8544 | GTEx | DepMap | Descartes | 0.01 | 2.17 |
TRPM3 | -0.0005812 | 8951 | GTEx | DepMap | Descartes | 0.01 | 0.18 |
COL25A1 | -0.0005870 | 8974 | GTEx | DepMap | Descartes | 0.00 | 0.00 |
ADAMTS5 | -0.0008008 | 9945 | GTEx | DepMap | Descartes | 0.01 | 0.33 |
PTPRZ1 | -0.0009022 | 10300 | GTEx | DepMap | Descartes | 0.00 | 0.27 |
PLCE1 | -0.0009044 | 10308 | GTEx | DepMap | Descartes | 0.02 | 0.61 |
XKR4 | -0.0009167 | 10345 | GTEx | DepMap | Descartes | 0.01 | 0.17 |
SLC35F1 | -0.0009596 | 10483 | GTEx | DepMap | Descartes | 0.01 | 0.90 |
PTN | -0.0009720 | 10527 | GTEx | DepMap | Descartes | 0.01 | 2.01 |
GRIK3 | -0.0010068 | 10637 | GTEx | DepMap | Descartes | 0.00 | 0.27 |
NRXN3 | -0.0010570 | 10779 | GTEx | DepMap | Descartes | 0.01 | 0.72 |
ERBB3 | -0.0010689 | 10821 | GTEx | DepMap | Descartes | 0.00 | 0.31 |
SOX5 | -0.0010813 | 10865 | GTEx | DepMap | Descartes | 0.00 | 0.00 |
FIGN | -0.0011448 | 11011 | GTEx | DepMap | Descartes | 0.01 | 0.21 |
EGFLAM | -0.0011974 | 11142 | GTEx | DepMap | Descartes | 0.01 | 1.00 |
GFRA3 | -0.0012721 | 11294 | GTEx | DepMap | Descartes | 0.01 | 2.16 |
GAS7 | -0.0013118 | 11363 | GTEx | DepMap | Descartes | 0.22 | 12.99 |
PLP1 | -0.0013778 | 11477 | GTEx | DepMap | Descartes | 0.00 | 1.23 |
EDNRB | -0.0015050 | 11682 | GTEx | DepMap | Descartes | 0.00 | 0.38 |
NRXN1 | -0.0015106 | 11691 | GTEx | DepMap | Descartes | 0.02 | 1.31 |
SORCS1 | -0.0015862 | 11765 | GTEx | DepMap | Descartes | 0.01 | 0.60 |
STARD13 | -0.0015936 | 11776 | GTEx | DepMap | Descartes | 0.02 | 1.40 |
Descartes Megakaryocytes markers
Top 50 marker genes of Megakaryocytes cells in the Decartes fetal adrenal single cell map (https://atlas.brotmanbaty.org/bbi/human-gene-expression-during-development/cell/megakaryocytes/in/adrenal)
Wilcoxon ranksum test P-value for gene set overrepresentation: 9.97e-01
Mean rank of genes in gene set: 7757.78
Median rank of genes in gene set: 8587
Rank on gene expression program of top 30 genes in gene set:
Genes | Weight | Rank | GTEx | DepMap | Descartes | Mean.Counts | Mean.TPM |
---|---|---|---|---|---|---|---|
TGFB1 | 0.0076850 | 21 | GTEx | DepMap | Descartes | 2.58 | 446.80 |
SPN | 0.0062783 | 48 | GTEx | DepMap | Descartes | 0.99 | 61.80 |
TMSB4X | 0.0052092 | 87 | GTEx | DepMap | Descartes | 24.69 | 6473.95 |
FLNA | 0.0051723 | 91 | GTEx | DepMap | Descartes | 4.48 | 241.11 |
MYH9 | 0.0041100 | 170 | GTEx | DepMap | Descartes | 5.59 | 341.85 |
FLI1 | 0.0015196 | 872 | GTEx | DepMap | Descartes | 0.38 | 32.47 |
RAP1B | 0.0013780 | 1002 | GTEx | DepMap | Descartes | 0.86 | 26.60 |
CD84 | 0.0009375 | 1638 | GTEx | DepMap | Descartes | 0.54 | 34.82 |
FERMT3 | 0.0007520 | 2055 | GTEx | DepMap | Descartes | 0.30 | 50.18 |
ZYX | 0.0006614 | 2310 | GTEx | DepMap | Descartes | 1.40 | 285.74 |
RAB27B | 0.0001928 | 3969 | GTEx | DepMap | Descartes | 0.04 | 2.03 |
UBASH3B | -0.0002020 | 6340 | GTEx | DepMap | Descartes | 0.21 | 12.51 |
TUBB1 | -0.0002187 | 6467 | GTEx | DepMap | Descartes | 0.00 | 0.28 |
SLC2A3 | -0.0002258 | 6537 | GTEx | DepMap | Descartes | 2.20 | 243.30 |
GP1BA | -0.0003534 | 7518 | GTEx | DepMap | Descartes | 0.00 | 0.77 |
P2RX1 | -0.0004349 | 8087 | GTEx | DepMap | Descartes | 0.01 | 1.32 |
TLN1 | -0.0004377 | 8100 | GTEx | DepMap | Descartes | 1.24 | 59.97 |
MED12L | -0.0004548 | 8207 | GTEx | DepMap | Descartes | 0.01 | 0.26 |
TRPC6 | -0.0004584 | 8235 | GTEx | DepMap | Descartes | 0.00 | 0.20 |
ITGA2B | -0.0004746 | 8335 | GTEx | DepMap | Descartes | 0.01 | 0.56 |
SLC24A3 | -0.0005015 | 8482 | GTEx | DepMap | Descartes | 0.00 | 0.43 |
ITGB3 | -0.0005176 | 8577 | GTEx | DepMap | Descartes | 0.00 | 0.00 |
INPP4B | -0.0005199 | 8587 | GTEx | DepMap | Descartes | 0.13 | 7.24 |
PSTPIP2 | -0.0005536 | 8808 | GTEx | DepMap | Descartes | 0.04 | 4.27 |
MMRN1 | -0.0006125 | 9097 | GTEx | DepMap | Descartes | 0.01 | 0.68 |
ARHGAP6 | -0.0007134 | 9586 | GTEx | DepMap | Descartes | 0.00 | 0.00 |
PRKAR2B | -0.0007792 | 9863 | GTEx | DepMap | Descartes | 0.06 | 6.51 |
DOK6 | -0.0007908 | 9911 | GTEx | DepMap | Descartes | 0.00 | 0.38 |
STON2 | -0.0008294 | 10061 | GTEx | DepMap | Descartes | 0.00 | 0.26 |
ANGPT1 | -0.0008313 | 10066 | GTEx | DepMap | Descartes | 0.00 | 0.10 |
Descartes Lyphoid markers
Top 50 marker genes of Lyphoid cells in the Decartes fetal adrenal single cell map (https://atlas.brotmanbaty.org/bbi/human-gene-expression-during-development/cell/lymphoid/in/adrenal)
Wilcoxon ranksum test P-value for gene set overrepresentation: 6.45e-15
Mean rank of genes in gene set: 1974.07
Median rank of genes in gene set: 348
Rank on gene expression program of top 30 genes in gene set:
Genes | Weight | Rank | GTEx | DepMap | Descartes | Mean.Counts | Mean.TPM |
---|---|---|---|---|---|---|---|
CCL5 | 0.0142921 | 1 | GTEx | DepMap | Descartes | 12.90 | 4552.64 |
PTPRC | 0.0093768 | 10 | GTEx | DepMap | Descartes | 11.90 | 1064.60 |
FYN | 0.0084924 | 13 | GTEx | DepMap | Descartes | 6.26 | 852.11 |
LCP1 | 0.0081900 | 15 | GTEx | DepMap | Descartes | 6.32 | 650.37 |
ARHGDIB | 0.0071246 | 26 | GTEx | DepMap | Descartes | 9.36 | 3568.81 |
PRKCH | 0.0071162 | 27 | GTEx | DepMap | Descartes | 2.04 | 265.60 |
WIPF1 | 0.0068933 | 31 | GTEx | DepMap | Descartes | 4.08 | 423.21 |
SAMD3 | 0.0066075 | 36 | GTEx | DepMap | Descartes | 0.60 | 72.21 |
PLEKHA2 | 0.0063746 | 43 | GTEx | DepMap | Descartes | 2.25 | 194.20 |
B2M | 0.0062877 | 46 | GTEx | DepMap | Descartes | 50.56 | 9748.61 |
PDE3B | 0.0061575 | 52 | GTEx | DepMap | Descartes | 2.13 | 166.36 |
GNG2 | 0.0051721 | 92 | GTEx | DepMap | Descartes | 1.94 | 235.52 |
MCTP2 | 0.0048580 | 109 | GTEx | DepMap | Descartes | 0.42 | 24.18 |
PITPNC1 | 0.0046472 | 121 | GTEx | DepMap | Descartes | 1.78 | 134.30 |
CD44 | 0.0043592 | 142 | GTEx | DepMap | Descartes | 7.32 | 621.98 |
ABLIM1 | 0.0038321 | 189 | GTEx | DepMap | Descartes | 1.54 | 90.98 |
EVL | 0.0035001 | 230 | GTEx | DepMap | Descartes | 2.17 | 254.55 |
IKZF1 | 0.0034117 | 248 | GTEx | DepMap | Descartes | 1.59 | 118.38 |
ETS1 | 0.0033781 | 257 | GTEx | DepMap | Descartes | 3.66 | 328.39 |
MSN | 0.0032021 | 290 | GTEx | DepMap | Descartes | 2.24 | 248.80 |
SORL1 | 0.0028740 | 335 | GTEx | DepMap | Descartes | 1.28 | 53.77 |
ANKRD44 | 0.0027424 | 361 | GTEx | DepMap | Descartes | 0.62 | 38.95 |
SCML4 | 0.0026079 | 392 | GTEx | DepMap | Descartes | 0.32 | 34.21 |
MBNL1 | 0.0022933 | 488 | GTEx | DepMap | Descartes | 2.49 | 175.45 |
DOCK10 | 0.0019765 | 596 | GTEx | DepMap | Descartes | 0.75 | 43.16 |
SKAP1 | 0.0018665 | 647 | GTEx | DepMap | Descartes | 0.26 | 70.71 |
SP100 | 0.0018361 | 665 | GTEx | DepMap | Descartes | 1.23 | 101.89 |
CELF2 | 0.0015641 | 836 | GTEx | DepMap | Descartes | 1.41 | 77.36 |
CCND3 | 0.0015241 | 866 | GTEx | DepMap | Descartes | 0.45 | 73.53 |
ITPKB | 0.0014286 | 962 | GTEx | DepMap | Descartes | 0.85 | 69.45 |
Below shows the ranks on this GEP for immune marker gene lists curated by CellTypist (https://www.celltypist.org/encyclopedia).
High ranks indicate this gene is a driver of this GEP.
These curated gene list are ranked by P-value (on this GEP) of their constituent genes.
The Mean Count column shows the mean read count in cells scoring highly (H > 50) on this gene expression program.
Genes | Weight | Rank | GTEx | DepMap | Decartes | Mean.Counts | Mean.TPM |
---|---|---|---|---|---|---|---|
CD8A | 0.0111051 | 4 | GTEx | DepMap | Descartes | 4.01 | 603.58 |
CTSW | 0.0094920 | 9 | GTEx | DepMap | Descartes | 1.78 | 613.28 |
PRKCH | 0.0071162 | 27 | GTEx | DepMap | Descartes | 2.04 | 265.60 |
MALAT1 | 0.0025933 | 396 | GTEx | DepMap | Descartes | 78.53 | 4223.32 |
CD27 | 0.0013498 | 1025 | GTEx | DepMap | Descartes | 0.30 | 103.73 |
NUCB2 | 0.0007317 | 2108 | GTEx | DepMap | Descartes | 0.36 | 49.13 |
LEF1 | -0.0007445 | 9732 | GTEx | DepMap | Descartes | 0.42 | 55.19 |
T cells: Tem/Trm cytotoxic T cells (model markers)
CD8+ cytotoxic T lymphocytes mainly localized in lymphoid and peripheral tissues and presenting an immediate:
Wilcoxon ranksum test P-value for gene set overrepresentation: 1.36e-03
Mean rank of genes in gene set: 4
Rank on gene expression program of genes in gene set:
Genes | Weight | Rank | GTEx | DepMap | Decartes | Mean.Counts | Mean.TPM |
---|---|---|---|---|---|---|---|
CCL5 | 0.0142921 | 1 | GTEx | DepMap | Descartes | 12.90 | 4552.64 |
CD8A | 0.0111051 | 4 | GTEx | DepMap | Descartes | 4.01 | 603.58 |
CST7 | 0.0099640 | 7 | GTEx | DepMap | Descartes | 3.26 | 1908.68 |
T cells: Trm cytotoxic T cells (model markers)
tissue resident CD8+ cytotoxic T lymphocytes mainly localized in epithelial tissues such as gut:
Wilcoxon ranksum test P-value for gene set overrepresentation: 1.57e-03
Mean rank of genes in gene set: 96
Rank on gene expression program of genes in gene set:
Genes | Weight | Rank | GTEx | DepMap | Decartes | Mean.Counts | Mean.TPM |
---|---|---|---|---|---|---|---|
CCL5 | 0.0142921 | 1 | GTEx | DepMap | Descartes | 12.90 | 4552.64 |
CD8A | 0.0111051 | 4 | GTEx | DepMap | Descartes | 4.01 | 603.58 |
IL7R | 0.0032277 | 283 | GTEx | DepMap | Descartes | 4.86 | 509.56 |