Program description and justification of annotation: 7.
Submit a comment on this gene expression program’s interpretation: CLICK
QQ-plot of gene loadings, averaged over both independent splits of the data
This plot highlights the relative contribution of each gene to the GEP
Top genes driving this program.
Note: Decartes website is buggy, try refreshing. Also, Decartes fetal adrenal data have been collected at specific time points (89-122 days), all possible cell types of interest may not be represented, do not overinterpret.
The Mean Count column shows the mean read count in cells scoring highly (H > 50) on this gene expression program.
Gene | Loading | Gene.Name | GTEx | DepMap | Descartes | Mean.Counts | Mean.Tpm | |
---|---|---|---|---|---|---|---|---|
1 | IGFBP3 | 0.0073177 | insulin like growth factor binding protein 3 | GTEx | DepMap | Descartes | 29.16 | 2079.01 |
2 | ESM1 | 0.0071295 | endothelial cell specific molecule 1 | GTEx | DepMap | Descartes | 4.44 | 270.46 |
3 | CDH5 | 0.0066265 | cadherin 5 | GTEx | DepMap | Descartes | 8.01 | 114.66 |
4 | ESAM | 0.0065748 | endothelial cell adhesion molecule | GTEx | DepMap | Descartes | 4.84 | 276.70 |
5 | ECSCR | 0.0063368 | endothelial cell surface expressed chemotaxis and apoptosis regulator | GTEx | DepMap | Descartes | 4.30 | 248.31 |
6 | GPIHBP1 | 0.0060371 | glycosylphosphatidylinositol anchored high density lipoprotein binding protein 1 | GTEx | DepMap | Descartes | 8.36 | 1844.23 |
7 | CD93 | 0.0059875 | CD93 molecule | GTEx | DepMap | Descartes | 4.79 | 400.07 |
8 | ADGRL4 | 0.0058613 | adhesion G protein-coupled receptor L4 | GTEx | DepMap | Descartes | 3.04 | 18.18 |
9 | KDR | 0.0057206 | kinase insert domain receptor | GTEx | DepMap | Descartes | 3.49 | 52.78 |
10 | PLVAP | 0.0056557 | plasmalemma vesicle associated protein | GTEx | DepMap | Descartes | 10.60 | 487.95 |
11 | RBP7 | 0.0055815 | retinol binding protein 7 | GTEx | DepMap | Descartes | 2.04 | 232.30 |
12 | MYCT1 | 0.0054980 | MYC target 1 | GTEx | DepMap | Descartes | 1.47 | 63.92 |
13 | FLT1 | 0.0054484 | fms related receptor tyrosine kinase 1 | GTEx | DepMap | Descartes | 4.81 | 19.37 |
14 | INHBB | 0.0054078 | inhibin subunit beta B | GTEx | DepMap | Descartes | 1.95 | 174.30 |
15 | BTNL9 | 0.0053349 | butyrophilin like 9 | GTEx | DepMap | Descartes | 0.99 | 30.41 |
16 | RAMP2 | 0.0052481 | receptor activity modifying protein 2 | GTEx | DepMap | Descartes | 5.93 | 251.64 |
17 | ADGRF5 | 0.0051456 | adhesion G protein-coupled receptor F5 | GTEx | DepMap | Descartes | 2.18 | 14.99 |
18 | EGFL7 | 0.0051170 | EGF like domain multiple 7 | GTEx | DepMap | Descartes | 10.01 | 515.36 |
19 | TMEM252 | 0.0051046 | transmembrane protein 252 | GTEx | DepMap | Descartes | 1.55 | 91.68 |
20 | PECAM1 | 0.0050910 | platelet and endothelial cell adhesion molecule 1 | GTEx | DepMap | Descartes | 6.78 | 47.73 |
21 | DLL4 | 0.0050819 | delta like canonical Notch ligand 4 | GTEx | DepMap | Descartes | 1.45 | 102.99 |
22 | CD300LG | 0.0050606 | CD300 molecule like family member g | GTEx | DepMap | Descartes | 1.26 | 63.22 |
23 | COL4A2 | 0.0050591 | collagen type IV alpha 2 chain | GTEx | DepMap | Descartes | 14.53 | 68.59 |
24 | CD34 | 0.0050341 | CD34 molecule | GTEx | DepMap | Descartes | 3.95 | 111.65 |
25 | COL4A1 | 0.0050252 | collagen type IV alpha 1 chain | GTEx | DepMap | Descartes | 25.44 | 140.93 |
26 | TM4SF1 | 0.0049696 | transmembrane 4 L six family member 1 | GTEx | DepMap | Descartes | 10.05 | 269.85 |
27 | GJA4 | 0.0049308 | gap junction protein alpha 4 | GTEx | DepMap | Descartes | 1.23 | 262.97 |
28 | CAV1 | 0.0048762 | caveolin 1 | GTEx | DepMap | Descartes | 3.30 | 46.79 |
29 | CTLA2A | 0.0047722 | NA | GTEx | DepMap | Descartes | 25.64 | 5575.31 |
30 | NID2 | 0.0047623 | nidogen 2 | GTEx | DepMap | Descartes | 1.18 | 11.13 |
31 | SOX18 | 0.0047094 | SRY-box transcription factor 18 | GTEx | DepMap | Descartes | 3.62 | 1274.40 |
32 | EMCN | 0.0046458 | endomucin | GTEx | DepMap | Descartes | 4.61 | 32.52 |
33 | MMRN2 | 0.0046041 | multimerin 2 | GTEx | DepMap | Descartes | 2.28 | 57.26 |
34 | WWTR1 | 0.0045727 | WW domain containing transcription regulator 1 | GTEx | DepMap | Descartes | 2.04 | 9.30 |
35 | EFNA1 | 0.0045274 | ephrin A1 | GTEx | DepMap | Descartes | 1.10 | 77.05 |
36 | FAM167B | 0.0045233 | family with sequence similarity 167 member B | GTEx | DepMap | Descartes | 1.77 | 571.36 |
37 | SPARCL1 | 0.0045098 | SPARC like 1 | GTEx | DepMap | Descartes | 10.78 | 186.14 |
38 | IGFBP7 | 0.0044923 | insulin like growth factor binding protein 7 | GTEx | DepMap | Descartes | 56.22 | 517.84 |
39 | 8430408G22RIK | 0.0044679 | NA | GTEx | DepMap | Descartes | 3.26 | NA |
40 | PRKCDBP | 0.0044542 | NA | GTEx | DepMap | Descartes | 5.46 | NA |
41 | KCNE3 | 0.0044289 | potassium voltage-gated channel subfamily E regulatory subunit 3 | GTEx | DepMap | Descartes | 1.50 | 87.52 |
42 | ICAM2 | 0.0043972 | intercellular adhesion molecule 2 | GTEx | DepMap | Descartes | 1.86 | 82.59 |
43 | FABP4 | 0.0043960 | fatty acid binding protein 4 | GTEx | DepMap | Descartes | 35.24 | 3208.12 |
44 | PTPRB | 0.0042720 | protein tyrosine phosphatase receptor type B | GTEx | DepMap | Descartes | 3.95 | 28.20 |
45 | HSPG2 | 0.0041346 | heparan sulfate proteoglycan 2 | GTEx | DepMap | Descartes | 4.02 | 23.44 |
46 | ROBO4 | 0.0040517 | roundabout guidance receptor 4 | GTEx | DepMap | Descartes | 1.50 | 75.07 |
47 | CLEC1A | 0.0039989 | C-type lectin domain family 1 member A | GTEx | DepMap | Descartes | 0.50 | 10.51 |
48 | APLN | 0.0039787 | apelin | GTEx | DepMap | Descartes | 1.21 | 74.93 |
49 | ENG | 0.0039785 | endoglin | GTEx | DepMap | Descartes | 4.62 | 91.09 |
50 | LAMA4 | 0.0039305 | laminin subunit alpha 4 | GTEx | DepMap | Descartes | 2.37 | 9.56 |
UMAP plots showing activity of gene expression program identified in community:7. Endothelial
CNV Data procured from inferCNV.
Outer tracks are putative CNV regions (gains = red, losses = blue) for each patient
Inner track is expression data representing:
The top cells expressing this GEP (purple)
Random cells (n =50) from the reference set used in inferCNV (orange)
Gene set Enrichments for this program, caculated from top 50 genes
mSigDB Cell Types Gene Set:
P-value | OR | Lower 95% CI | FDR | FWER | Genes Found | Gene Set Size | |
---|---|---|---|---|---|---|---|
DESCARTES_FETAL_INTESTINE_VASCULAR_ENDOTHELIAL_CELLS | 5.02e-25 | 241.87 | 107.60 | 2.11e-23 | 3.37e-22 | 13ESM1, ESAM, PLVAP, FLT1, BTNL9, DLL4, CD34, EMCN, MMRN2, FAM167B, FABP4, HSPG2, APLN |
43 |
GAO_LARGE_INTESTINE_24W_C2_MKI67POS_PROGENITOR | 1.74e-35 | 164.04 | 85.59 | 1.94e-33 | 1.17e-32 | 21CDH5, ESAM, ECSCR, CD93, KDR, PLVAP, MYCT1, FLT1, RAMP2, ADGRF5, EGFL7, PECAM1, CD34, TM4SF1, SOX18, EMCN, MMRN2, FABP4, PTPRB, ROBO4, ENG |
113 |
RUBENSTEIN_SKELETAL_MUSCLE_ENDOTHELIAL_CELLS | 6.61e-38 | 155.49 | 82.81 | 1.11e-35 | 4.43e-35 | 23CDH5, ESAM, CD93, ADGRL4, MYCT1, FLT1, BTNL9, RAMP2, ADGRF5, EGFL7, COL4A2, CD34, COL4A1, TM4SF1, CAV1, EMCN, MMRN2, SPARCL1, ICAM2, FABP4, PTPRB, HSPG2, ENG |
137 |
DURANTE_ADULT_OLFACTORY_NEUROEPITHELIUM_PERICYTES | 1.39e-27 | 155.90 | 76.19 | 7.76e-26 | 9.31e-25 | 16ESAM, ECSCR, CD93, ADGRL4, PLVAP, FLT1, RAMP2, EGFL7, PECAM1, CD34, TM4SF1, CAV1, SOX18, EMCN, SPARCL1, ENG |
79 |
CUI_DEVELOPING_HEART_C4_ENDOTHELIAL_CELL | 4.41e-35 | 132.45 | 70.01 | 4.22e-33 | 2.96e-32 | 22CDH5, ESAM, ECSCR, CD93, KDR, PLVAP, MYCT1, FLT1, RAMP2, ADGRF5, EGFL7, PECAM1, CD34, TM4SF1, GJA4, EMCN, MMRN2, WWTR1, EFNA1, PTPRB, ROBO4, ENG |
146 |
AIZARANI_LIVER_C10_MVECS_1 | 1.27e-40 | 110.04 | 59.85 | 2.83e-38 | 8.50e-38 | 28CDH5, ESAM, CD93, ADGRL4, KDR, PLVAP, RBP7, MYCT1, FLT1, BTNL9, RAMP2, ADGRF5, EGFL7, PECAM1, CD300LG, CD34, COL4A1, TM4SF1, CAV1, SOX18, EMCN, MMRN2, WWTR1, SPARCL1, IGFBP7, PTPRB, ROBO4, ENG |
269 |
DESCARTES_FETAL_MUSCLE_VASCULAR_ENDOTHELIAL_CELLS | 1.11e-21 | 121.62 | 56.58 | 3.91e-20 | 7.43e-19 | 13ESM1, CD93, ADGRL4, PLVAP, RBP7, FLT1, BTNL9, DLL4, CD300LG, TM4SF1, MMRN2, FAM167B, APLN |
73 |
DESCARTES_FETAL_EYE_VASCULAR_ENDOTHELIAL_CELLS | 1.97e-22 | 106.49 | 51.07 | 7.35e-21 | 1.32e-19 | 14CDH5, ECSCR, ADGRL4, PLVAP, MYCT1, FLT1, RAMP2, ADGRF5, EGFL7, SOX18, ICAM2, ROBO4, CLEC1A, ENG |
90 |
DESCARTES_FETAL_PLACENTA_VASCULAR_ENDOTHELIAL_CELLS | 1.27e-23 | 102.73 | 50.30 | 5.03e-22 | 8.55e-21 | 15CDH5, ECSCR, CD93, ADGRL4, KDR, PLVAP, RAMP2, ADGRF5, EGFL7, DLL4, CD34, SOX18, ROBO4, CLEC1A, APLN |
102 |
DESCARTES_FETAL_ADRENAL_VASCULAR_ENDOTHELIAL_CELLS | 2.66e-27 | 96.96 | 49.77 | 1.38e-25 | 1.79e-24 | 18ESM1, CDH5, ECSCR, ADGRL4, KDR, PLVAP, INHBB, BTNL9, RAMP2, DLL4, CD300LG, CD34, SOX18, MMRN2, EFNA1, PTPRB, ROBO4, ENG |
139 |
DESCARTES_FETAL_PANCREAS_VASCULAR_ENDOTHELIAL_CELLS | 2.88e-18 | 110.62 | 48.57 | 8.05e-17 | 1.93e-15 | 11ESM1, ESAM, CD93, PLVAP, FLT1, BTNL9, CD34, MMRN2, FAM167B, HSPG2, APLN |
64 |
CUI_DEVELOPING_HEART_CORONARY_VASCULAR_ENDOTHELIAL_CELL | 5.18e-14 | 120.22 | 45.33 | 1.20e-12 | 3.48e-11 | 8ADGRL4, RBP7, COL4A2, COL4A1, CAV1, IGFBP7, FABP4, ROBO4 |
41 |
MENON_FETAL_KIDNEY_9_ENDOTHELIAL_CELLS | 1.26e-21 | 92.11 | 44.32 | 4.24e-20 | 8.47e-19 | 14ESAM, ADGRL4, KDR, FLT1, RAMP2, ADGRF5, EGFL7, PECAM1, COL4A2, CD34, COL4A1, TM4SF1, EMCN, HSPG2 |
102 |
DESCARTES_MAIN_FETAL_VASCULAR_ENDOTHELIAL_CELLS | 3.24e-15 | 108.73 | 43.75 | 8.05e-14 | 2.17e-12 | 9ESM1, ADGRL4, DLL4, CD300LG, CAV1, FAM167B, PTPRB, ROBO4, APLN |
51 |
MURARO_PANCREAS_ENDOTHELIAL_CELL | 6.12e-37 | 79.78 | 43.44 | 8.22e-35 | 4.11e-34 | 28ESM1, CDH5, ESAM, ECSCR, CD93, ADGRL4, KDR, PLVAP, MYCT1, FLT1, RAMP2, ADGRF5, PECAM1, COL4A2, CD34, COL4A1, TM4SF1, CAV1, SOX18, EMCN, MMRN2, WWTR1, EFNA1, SPARCL1, IGFBP7, PTPRB, ROBO4, LAMA4 |
362 |
FAN_EMBRYONIC_CTX_BIG_GROUPS_BRAIN_ENDOTHELIAL | 5.83e-35 | 72.54 | 39.60 | 4.89e-33 | 3.91e-32 | 27CDH5, ESAM, ECSCR, CD93, ADGRL4, KDR, MYCT1, FLT1, RAMP2, ADGRF5, EGFL7, PECAM1, COL4A2, CD34, COL4A1, TM4SF1, GJA4, CAV1, NID2, EMCN, WWTR1, EFNA1, IGFBP7, PTPRB, ROBO4, ENG, LAMA4 |
365 |
DESCARTES_FETAL_CEREBELLUM_VASCULAR_ENDOTHELIAL_CELLS | 1.02e-40 | 74.12 | 39.57 | 2.83e-38 | 6.86e-38 | 34CDH5, ESAM, ECSCR, CD93, ADGRL4, KDR, MYCT1, FLT1, BTNL9, RAMP2, ADGRF5, EGFL7, DLL4, CD300LG, COL4A2, CD34, COL4A1, TM4SF1, GJA4, CAV1, SOX18, EMCN, MMRN2, WWTR1, EFNA1, IGFBP7, ICAM2, FABP4, PTPRB, HSPG2, ROBO4, CLEC1A, APLN, ENG |
633 |
AIZARANI_LIVER_C13_LSECS_2 | 2.35e-30 | 68.42 | 36.98 | 1.43e-28 | 1.58e-27 | 23CDH5, ESAM, CD93, ADGRL4, KDR, MYCT1, FLT1, BTNL9, RAMP2, ADGRF5, EGFL7, PECAM1, COL4A2, COL4A1, TM4SF1, GJA4, EMCN, MMRN2, FAM167B, IGFBP7, PTPRB, ROBO4, ENG |
283 |
CUI_DEVELOPING_HEART_LEFT_VENTRICULAR_CARDIOMYOCYTE | 4.93e-12 | 102.61 | 36.37 | 1.00e-10 | 3.31e-09 | 7ESAM, ECSCR, PLVAP, RAMP2, TM4SF1, EMCN, ENG |
40 |
MANNO_MIDBRAIN_NEUROTYPES_HENDO | 3.59e-41 | 70.09 | 36.21 | 2.41e-38 | 2.41e-38 | 37IGFBP3, ESM1, CDH5, ESAM, ECSCR, CD93, ADGRL4, KDR, PLVAP, MYCT1, FLT1, BTNL9, RAMP2, ADGRF5, EGFL7, PECAM1, DLL4, CD34, TM4SF1, GJA4, CAV1, NID2, SOX18, EMCN, MMRN2, WWTR1, EFNA1, IGFBP7, ICAM2, FABP4, PTPRB, HSPG2, ROBO4, CLEC1A, APLN, ENG, LAMA4 |
888 |
Dowload full table
mSigDB Hallmark Gene Sets:
P-value | OR | Lower 95% CI | FDR | FWER | Genes Found | Gene Set Size | |
---|---|---|---|---|---|---|---|
HALLMARK_KRAS_SIGNALING_UP | 7.45e-06 | 14.69 | 5.06 | 3.73e-04 | 3.73e-04 | 6IGFBP3, ADGRL4, PLVAP, PECAM1, SPARCL1, ENG |
200 |
HALLMARK_ADIPOGENESIS | 1.27e-03 | 9.27 | 2.40 | 1.59e-02 | 6.36e-02 | 4COL4A1, SPARCL1, FABP4, LAMA4 |
200 |
HALLMARK_MYOGENESIS | 1.27e-03 | 9.27 | 2.40 | 1.59e-02 | 6.36e-02 | 4IGFBP3, COL4A2, WWTR1, IGFBP7 |
200 |
HALLMARK_EPITHELIAL_MESENCHYMAL_TRANSITION | 1.27e-03 | 9.27 | 2.40 | 1.59e-02 | 6.36e-02 | 4IGFBP3, COL4A2, COL4A1, NID2 |
200 |
HALLMARK_TGF_BETA_SIGNALING | 7.34e-03 | 16.74 | 1.92 | 7.34e-02 | 3.67e-01 | 2WWTR1, ENG |
54 |
HALLMARK_HYPOXIA | 1.18e-02 | 6.77 | 1.34 | 8.42e-02 | 5.89e-01 | 3IGFBP3, CAV1, EFNA1 |
200 |
HALLMARK_APICAL_JUNCTION | 1.18e-02 | 6.77 | 1.34 | 8.42e-02 | 5.89e-01 | 3PECAM1, CD34, ICAM2 |
200 |
HALLMARK_P53_PATHWAY | 8.11e-02 | 4.40 | 0.51 | 5.07e-01 | 1.00e+00 | 2INHBB, TM4SF1 |
200 |
HALLMARK_COAGULATION | 2.80e-01 | 3.11 | 0.08 | 1.00e+00 | 1.00e+00 | 1PECAM1 |
138 |
HALLMARK_UV_RESPONSE_DN | 2.90e-01 | 2.98 | 0.07 | 1.00e+00 | 1.00e+00 | 1CAV1 |
144 |
HALLMARK_APOPTOSIS | 3.18e-01 | 2.67 | 0.07 | 1.00e+00 | 1.00e+00 | 1CAV1 |
161 |
HALLMARK_TNFA_SIGNALING_VIA_NFKB | 3.78e-01 | 2.14 | 0.05 | 1.00e+00 | 1.00e+00 | 1EFNA1 |
200 |
HALLMARK_ESTROGEN_RESPONSE_EARLY | 3.78e-01 | 2.14 | 0.05 | 1.00e+00 | 1.00e+00 | 1INHBB |
200 |
HALLMARK_ESTROGEN_RESPONSE_LATE | 3.78e-01 | 2.14 | 0.05 | 1.00e+00 | 1.00e+00 | 1CAV1 |
200 |
HALLMARK_COMPLEMENT | 3.78e-01 | 2.14 | 0.05 | 1.00e+00 | 1.00e+00 | 1COL4A2 |
200 |
HALLMARK_GLYCOLYSIS | 3.78e-01 | 2.14 | 0.05 | 1.00e+00 | 1.00e+00 | 1IGFBP3 |
200 |
HALLMARK_ALLOGRAFT_REJECTION | 3.78e-01 | 2.14 | 0.05 | 1.00e+00 | 1.00e+00 | 1INHBB |
200 |
HALLMARK_CHOLESTEROL_HOMEOSTASIS | 1.00e+00 | 0.00 | 0.00 | 1.00e+00 | 1.00e+00 | 0 |
74 |
HALLMARK_MITOTIC_SPINDLE | 1.00e+00 | 0.00 | 0.00 | 1.00e+00 | 1.00e+00 | 0 |
199 |
HALLMARK_WNT_BETA_CATENIN_SIGNALING | 1.00e+00 | 0.00 | 0.00 | 1.00e+00 | 1.00e+00 | 0 |
42 |
Dowload full table
KEGG Pathways:
P-value | OR | Lower 95% CI | FDR | FWER | Genes Found | Gene Set Size | |
---|---|---|---|---|---|---|---|
KEGG_ECM_RECEPTOR_INTERACTION | 4.74e-05 | 22.69 | 5.80 | 2.94e-03 | 8.81e-03 | 4COL4A2, COL4A1, HSPG2, LAMA4 |
84 |
KEGG_CELL_ADHESION_MOLECULES_CAMS | 1.56e-05 | 18.12 | 5.53 | 1.45e-03 | 2.91e-03 | 5CDH5, ESAM, PECAM1, CD34, ICAM2 |
133 |
KEGG_FOCAL_ADHESION | 7.25e-06 | 14.77 | 5.08 | 1.35e-03 | 1.35e-03 | 6KDR, FLT1, COL4A2, COL4A1, CAV1, LAMA4 |
199 |
KEGG_SMALL_CELL_LUNG_CANCER | 1.05e-03 | 16.47 | 3.21 | 4.89e-02 | 1.96e-01 | 3COL4A2, COL4A1, LAMA4 |
84 |
KEGG_LEUKOCYTE_TRANSENDOTHELIAL_MIGRATION | 2.64e-03 | 11.80 | 2.32 | 9.82e-02 | 4.91e-01 | 3CDH5, ESAM, PECAM1 |
116 |
KEGG_CYTOKINE_CYTOKINE_RECEPTOR_INTERACTION | 2.45e-02 | 5.09 | 1.01 | 7.61e-01 | 1.00e+00 | 3KDR, FLT1, INHBB |
265 |
KEGG_PATHWAYS_IN_CANCER | 4.09e-02 | 4.14 | 0.82 | 1.00e+00 | 1.00e+00 | 3COL4A2, COL4A1, LAMA4 |
325 |
KEGG_ENDOCYTOSIS | 6.84e-02 | 4.86 | 0.57 | 1.00e+00 | 1.00e+00 | 2KDR, FLT1 |
181 |
KEGG_NOTCH_SIGNALING_PATHWAY | 1.06e-01 | 9.27 | 0.23 | 1.00e+00 | 1.00e+00 | 1DLL4 |
47 |
KEGG_P53_SIGNALING_PATHWAY | 1.50e-01 | 6.36 | 0.16 | 1.00e+00 | 1.00e+00 | 1IGFBP3 |
68 |
KEGG_PPAR_SIGNALING_PATHWAY | 1.52e-01 | 6.27 | 0.15 | 1.00e+00 | 1.00e+00 | 1FABP4 |
69 |
KEGG_VIRAL_MYOCARDITIS | 1.54e-01 | 6.18 | 0.15 | 1.00e+00 | 1.00e+00 | 1CAV1 |
70 |
KEGG_ADHERENS_JUNCTION | 1.60e-01 | 5.92 | 0.15 | 1.00e+00 | 1.00e+00 | 1PTPRB |
73 |
KEGG_VEGF_SIGNALING_PATHWAY | 1.66e-01 | 5.69 | 0.14 | 1.00e+00 | 1.00e+00 | 1KDR |
76 |
KEGG_TGF_BETA_SIGNALING_PATHWAY | 1.85e-01 | 5.02 | 0.12 | 1.00e+00 | 1.00e+00 | 1INHBB |
86 |
KEGG_HEMATOPOIETIC_CELL_LINEAGE | 1.87e-01 | 4.96 | 0.12 | 1.00e+00 | 1.00e+00 | 1CD34 |
87 |
KEGG_VASCULAR_SMOOTH_MUSCLE_CONTRACTION | 2.40e-01 | 3.74 | 0.09 | 1.00e+00 | 1.00e+00 | 1RAMP2 |
115 |
KEGG_AXON_GUIDANCE | 2.65e-01 | 3.33 | 0.08 | 1.00e+00 | 1.00e+00 | 1EFNA1 |
129 |
KEGG_NATURAL_KILLER_CELL_MEDIATED_CYTOTOXICITY | 2.78e-01 | 3.14 | 0.08 | 1.00e+00 | 1.00e+00 | 1ICAM2 |
137 |
KEGG_N_GLYCAN_BIOSYNTHESIS | 1.00e+00 | 0.00 | 0.00 | 1.00e+00 | 1.00e+00 | 0 |
46 |
Dowload full table
CHR Positional Gene Sets:
P-value | OR | Lower 95% CI | FDR | FWER | Genes Found | Gene Set Size | |
---|---|---|---|---|---|---|---|
chr4q12 | 1.52e-02 | 11.31 | 1.31 | 1.00e+00 | 1.00e+00 | 2KDR, IGFBP7 |
79 |
chr17q23 | 2.91e-02 | 7.91 | 0.92 | 1.00e+00 | 1.00e+00 | 2PECAM1, ICAM2 |
112 |
chr3q25 | 5.04e-02 | 5.80 | 0.68 | 1.00e+00 | 1.00e+00 | 2TM4SF1, WWTR1 |
152 |
chr11q24 | 6.97e-02 | 4.81 | 0.56 | 1.00e+00 | 1.00e+00 | 2ESAM, ROBO4 |
183 |
chr9q34 | 1.66e-01 | 2.82 | 0.33 | 1.00e+00 | 1.00e+00 | 2EGFL7, ENG |
311 |
chr17q21 | 2.89e-01 | 1.91 | 0.22 | 1.00e+00 | 1.00e+00 | 2RAMP2, CD300LG |
457 |
chr12q15 | 1.23e-01 | 7.90 | 0.19 | 1.00e+00 | 1.00e+00 | 1PTPRB |
55 |
chr4q24 | 1.25e-01 | 7.75 | 0.19 | 1.00e+00 | 1.00e+00 | 1EMCN |
56 |
chr7p12 | 1.29e-01 | 7.48 | 0.18 | 1.00e+00 | 1.00e+00 | 1IGFBP3 |
58 |
chr1p36 | 6.65e-01 | 1.33 | 0.16 | 1.00e+00 | 1.00e+00 | 2RBP7, HSPG2 |
656 |
chr1q22 | 1.54e-01 | 6.18 | 0.15 | 1.00e+00 | 1.00e+00 | 1EFNA1 |
70 |
chr4q22 | 1.54e-01 | 6.18 | 0.15 | 1.00e+00 | 1.00e+00 | 1SPARCL1 |
70 |
chr16q21 | 1.62e-01 | 5.84 | 0.14 | 1.00e+00 | 1.00e+00 | 1CDH5 |
74 |
chr5q11 | 1.83e-01 | 5.08 | 0.12 | 1.00e+00 | 1.00e+00 | 1ESM1 |
85 |
chr14q22 | 1.93e-01 | 4.79 | 0.12 | 1.00e+00 | 1.00e+00 | 1NID2 |
90 |
chr6q21 | 2.43e-01 | 3.68 | 0.09 | 1.00e+00 | 1.00e+00 | 1LAMA4 |
117 |
chr7q31 | 2.65e-01 | 3.33 | 0.08 | 1.00e+00 | 1.00e+00 | 1CAV1 |
129 |
chr1p35 | 2.66e-01 | 3.31 | 0.08 | 1.00e+00 | 1.00e+00 | 1FAM167B |
130 |
chr15q15 | 2.89e-01 | 3.00 | 0.07 | 1.00e+00 | 1.00e+00 | 1DLL4 |
143 |
chr20p11 | 2.92e-01 | 2.96 | 0.07 | 1.00e+00 | 1.00e+00 | 1CD93 |
145 |
Dowload full table
Transcription Factor Targets:
P-value | OR | Lower 95% CI | FDR | FWER | Genes Found | Gene Set Size | |
---|---|---|---|---|---|---|---|
MYOGNF1_01 | 5.84e-03 | 18.92 | 2.16 | 9.46e-01 | 1.00e+00 | 2ESM1, APLN |
48 |
RGAGGAARY_PU1_Q6 | 1.20e-03 | 5.60 | 1.94 | 6.81e-01 | 1.00e+00 | 6ESM1, PLVAP, EMCN, MMRN2, EFNA1, ICAM2 |
515 |
NFAT_Q6 | 2.80e-03 | 7.42 | 1.92 | 7.53e-01 | 1.00e+00 | 4IGFBP3, DLL4, SPARCL1, HSPG2 |
249 |
NERF_Q2 | 3.01e-03 | 7.27 | 1.89 | 7.53e-01 | 1.00e+00 | 4FLT1, MMRN2, EFNA1, ROBO4 |
254 |
RYTTCCTG_ETS2_B | 7.86e-04 | 4.16 | 1.77 | 6.81e-01 | 8.91e-01 | 9CDH5, ESAM, CD93, MYCT1, FLT1, RAMP2, EGFL7, DLL4, ROBO4 |
1112 |
ETS2_B | 4.29e-03 | 6.56 | 1.70 | 8.10e-01 | 1.00e+00 | 4ESM1, CDH5, ESAM, MYCT1 |
281 |
TFEB_TARGET_GENES | 3.32e-03 | 3.33 | 1.42 | 7.53e-01 | 1.00e+00 | 9ESM1, CDH5, MYCT1, CD34, FAM167B, ICAM2, FABP4, ROBO4, APLN |
1387 |
TGTTTGY_HNF3_Q6 | 7.19e-03 | 3.84 | 1.33 | 1.00e+00 | 1.00e+00 | 6ESAM, EGFL7, EMCN, MMRN2, EFNA1, ROBO4 |
748 |
GATA_Q6 | 1.19e-02 | 6.74 | 1.33 | 1.00e+00 | 1.00e+00 | 3MYCT1, ADGRF5, CD34 |
201 |
CATTGTYY_SOX9_B1 | 1.08e-02 | 4.99 | 1.30 | 1.00e+00 | 1.00e+00 | 4MYCT1, ADGRF5, HSPG2, APLN |
368 |
GGARNTKYCCA_UNKNOWN | 1.56e-02 | 11.16 | 1.29 | 1.00e+00 | 1.00e+00 | 2RAMP2, HSPG2 |
80 |
RYAAAKNNNNNNTTGW_UNKNOWN | 1.71e-02 | 10.62 | 1.23 | 1.00e+00 | 1.00e+00 | 2EFNA1, LAMA4 |
84 |
SOX9_B1 | 1.86e-02 | 5.68 | 1.12 | 1.00e+00 | 1.00e+00 | 3MYCT1, EFNA1, HSPG2 |
238 |
AP2ALPHA_01 | 1.96e-02 | 5.56 | 1.10 | 1.00e+00 | 1.00e+00 | 3ESAM, DLL4, IGFBP7 |
243 |
LMO2COM_02 | 1.99e-02 | 5.54 | 1.09 | 1.00e+00 | 1.00e+00 | 3CDH5, CD34, ICAM2 |
244 |
GATA3_01 | 2.01e-02 | 5.51 | 1.09 | 1.00e+00 | 1.00e+00 | 3INHBB, CD34, HSPG2 |
245 |
CAGCTG_AP4_Q5 | 1.88e-02 | 2.62 | 1.06 | 1.00e+00 | 1.00e+00 | 8IGFBP3, RAMP2, DLL4, NID2, MMRN2, EFNA1, ROBO4, APLN |
1530 |
HMGIY_Q6 | 2.18e-02 | 5.34 | 1.06 | 1.00e+00 | 1.00e+00 | 3ESM1, NID2, HSPG2 |
253 |
GGGYGTGNY_UNKNOWN | 2.07e-02 | 3.41 | 1.05 | 1.00e+00 | 1.00e+00 | 5IGFBP3, CDH5, RAMP2, DLL4, CAV1 |
686 |
TCF11_01 | 2.29e-02 | 5.23 | 1.03 | 1.00e+00 | 1.00e+00 | 3ESM1, SPARCL1, FABP4 |
258 |
Dowload full table
GO Biological Processes:
P-value | OR | Lower 95% CI | FDR | FWER | Genes Found | Gene Set Size | |
---|---|---|---|---|---|---|---|
GOBP_POSITIVE_REGULATION_OF_VASCULOGENESIS | 2.77e-06 | 147.81 | 24.91 | 8.63e-04 | 2.07e-02 | 3KDR, RAMP2, CD34 |
12 |
GOBP_REGULATION_OF_VASCULOGENESIS | 6.99e-06 | 102.02 | 18.11 | 1.69e-03 | 5.23e-02 | 3KDR, RAMP2, CD34 |
16 |
GOBP_VASCULOGENESIS | 6.45e-10 | 47.84 | 17.55 | 6.03e-07 | 4.82e-06 | 7KDR, RAMP2, EGFL7, CD34, CAV1, SOX18, ENG |
78 |
GOBP_BASEMENT_MEMBRANE_ORGANIZATION | 7.47e-07 | 69.61 | 17.01 | 2.79e-04 | 5.59e-03 | 4RAMP2, COL4A1, CAV1, NID2 |
30 |
GOBP_ESTABLISHMENT_OF_ENDOTHELIAL_BARRIER | 9.88e-08 | 53.93 | 15.93 | 5.69e-05 | 7.39e-04 | 5CDH5, PECAM1, SOX18, ROBO4, ENG |
48 |
GOBP_ENDOTHELIUM_DEVELOPMENT | 3.16e-11 | 35.81 | 14.98 | 3.38e-08 | 2.36e-07 | 9CDH5, KDR, PECAM1, DLL4, CD34, GJA4, SOX18, ROBO4, ENG |
137 |
GOBP_BRANCHING_INVOLVED_IN_BLOOD_VESSEL_MORPHOGENESIS | 1.25e-06 | 60.46 | 14.88 | 4.34e-04 | 9.39e-03 | 4KDR, DLL4, COL4A1, ENG |
34 |
GOBP_DORSAL_AORTA_MORPHOGENESIS | 1.55e-04 | 144.44 | 13.92 | 2.09e-02 | 1.00e+00 | 2DLL4, ENG |
8 |
GOBP_VASCULATURE_DEVELOPMENT | 2.17e-20 | 23.35 | 12.72 | 1.62e-16 | 1.62e-16 | 23ESM1, CDH5, ECSCR, KDR, FLT1, RAMP2, ADGRF5, EGFL7, PECAM1, DLL4, COL4A2, CD34, COL4A1, GJA4, CAV1, SOX18, MMRN2, EFNA1, PTPRB, HSPG2, ROBO4, APLN, ENG |
786 |
GOBP_BLOOD_VESSEL_MORPHOGENESIS | 5.41e-19 | 23.08 | 12.44 | 2.02e-15 | 4.05e-15 | 21ESM1, CDH5, ECSCR, KDR, FLT1, RAMP2, ADGRF5, EGFL7, DLL4, COL4A2, CD34, COL4A1, CAV1, SOX18, MMRN2, EFNA1, PTPRB, HSPG2, ROBO4, APLN, ENG |
677 |
GOBP_ENDOTHELIAL_CELL_DEVELOPMENT | 4.97e-07 | 38.01 | 11.39 | 2.07e-04 | 3.72e-03 | 5CDH5, PECAM1, SOX18, ROBO4, ENG |
66 |
GOBP_DORSAL_AORTA_DEVELOPMENT | 2.48e-04 | 108.38 | 10.95 | 2.85e-02 | 1.00e+00 | 2DLL4, ENG |
10 |
GOBP_VASCULAR_ASSOCIATED_SMOOTH_MUSCLE_CELL_DEVELOPMENT | 2.48e-04 | 108.38 | 10.95 | 2.85e-02 | 1.00e+00 | 2RAMP2, ENG |
10 |
GOBP_REGULATION_OF_MEMBRANE_REPOLARIZATION_DURING_ACTION_POTENTIAL | 2.48e-04 | 108.38 | 10.95 | 2.85e-02 | 1.00e+00 | 2CAV1, KCNE3 |
10 |
GOBP_TUBE_MORPHOGENESIS | 1.40e-16 | 17.23 | 9.30 | 2.63e-13 | 1.05e-12 | 21ESM1, CDH5, ECSCR, KDR, FLT1, RAMP2, ADGRF5, EGFL7, DLL4, COL4A2, CD34, COL4A1, CAV1, SOX18, MMRN2, EFNA1, PTPRB, HSPG2, ROBO4, APLN, ENG |
900 |
GOBP_NEGATIVE_REGULATION_OF_PROTEIN_AUTOPHOSPHORYLATION | 3.62e-04 | 86.81 | 9.02 | 3.91e-02 | 1.00e+00 | 2CAV1, ENG |
12 |
GOBP_COLLAGEN_ACTIVATED_TYROSINE_KINASE_RECEPTOR_SIGNALING_PATHWAY | 3.62e-04 | 86.81 | 9.02 | 3.91e-02 | 1.00e+00 | 2COL4A2, COL4A1 |
12 |
GOBP_CIRCULATORY_SYSTEM_DEVELOPMENT | 5.64e-17 | 15.95 | 8.71 | 1.41e-13 | 4.22e-13 | 23ESM1, CDH5, ECSCR, KDR, FLT1, RAMP2, ADGRF5, EGFL7, PECAM1, DLL4, COL4A2, CD34, COL4A1, GJA4, CAV1, SOX18, MMRN2, EFNA1, PTPRB, HSPG2, ROBO4, APLN, ENG |
1140 |
GOBP_TUBE_DEVELOPMENT | 3.28e-16 | 15.46 | 8.40 | 4.91e-13 | 2.45e-12 | 22ESM1, CDH5, ECSCR, KDR, FLT1, RAMP2, ADGRF5, EGFL7, DLL4, COL4A2, CD34, COL4A1, CAV1, SOX18, MMRN2, WWTR1, EFNA1, PTPRB, HSPG2, ROBO4, APLN, ENG |
1085 |
GOBP_MAINTENANCE_OF_BLOOD_BRAIN_BARRIER | 6.60e-05 | 44.38 | 8.38 | 1.07e-02 | 4.94e-01 | 3CDH5, ESAM, PECAM1 |
33 |
Dowload full table
Immunological Gene Sets:
P-value | OR | Lower 95% CI | FDR | FWER | Genes Found | Gene Set Size | |
---|---|---|---|---|---|---|---|
GSE21379_WT_VS_SAP_KO_TFH_CD4_TCELL_UP | 3.37e-11 | 27.47 | 12.08 | 1.64e-07 | 1.64e-07 | 10CDH5, ESAM, ECSCR, KDR, COL4A2, COL4A1, TM4SF1, SOX18, FAM167B, ICAM2 |
200 |
GSE2405_0H_VS_3H_A_PHAGOCYTOPHILUM_STIM_NEUTROPHIL_UP | 7.45e-06 | 14.69 | 5.06 | 1.82e-02 | 3.63e-02 | 6IGFBP3, ECSCR, COL4A1, GJA4, SPARCL1, IGFBP7 |
200 |
GSE6681_DELETED_FOXP3_VS_WT_TREG_UP | 1.05e-04 | 11.97 | 3.67 | 6.57e-02 | 5.13e-01 | 5ESM1, KDR, RAMP2, TM4SF1, SOX18 |
199 |
GSE20715_0H_VS_48H_OZONE_TLR4_KO_LUNG_UP | 1.08e-04 | 11.91 | 3.65 | 6.57e-02 | 5.25e-01 | 5IGFBP3, CD93, DLL4, ICAM2, LAMA4 |
200 |
GSE7852_THYMUS_VS_FAT_TCONV_DN | 1.08e-04 | 11.91 | 3.65 | 6.57e-02 | 5.25e-01 | 5CD93, FLT1, COL4A1, CAV1, PTPRB |
200 |
GSE21546_WT_VS_SAP1A_KO_AND_ELK1_KO_DP_THYMOCYTES_DN | 1.08e-04 | 11.91 | 3.65 | 6.57e-02 | 5.25e-01 | 5CDH5, ESAM, ADGRL4, COL4A1, SOX18 |
200 |
GSE39556_CD8A_DC_VS_NK_CELL_UP | 1.08e-04 | 11.91 | 3.65 | 6.57e-02 | 5.25e-01 | 5PECAM1, CD34, CAV1, NID2, IGFBP7 |
200 |
GSE45365_CTRL_VS_MCMV_INFECTION_NK_CELL_UP | 1.08e-04 | 11.91 | 3.65 | 6.57e-02 | 5.25e-01 | 5BTNL9, CD300LG, GJA4, EMCN, FABP4 |
200 |
GSE41867_DAY6_VS_DAY15_LCMV_CLONE13_EFFECTOR_CD8_TCELL_DN | 1.05e-03 | 9.77 | 2.53 | 1.82e-01 | 1.00e+00 | 4IGFBP3, INHBB, BTNL9, COL4A1 |
190 |
GSE17974_IL4_AND_ANTI_IL12_VS_UNTREATED_12H_ACT_CD4_TCELL_DN | 1.07e-03 | 9.72 | 2.51 | 1.82e-01 | 1.00e+00 | 4GPIHBP1, RAMP2, EGFL7, SOX18 |
191 |
GSE6259_BCELL_VS_CD4_TCELL_UP | 1.07e-03 | 9.72 | 2.51 | 1.82e-01 | 1.00e+00 | 4ESAM, MYCT1, TM4SF1, HSPG2 |
191 |
GSE37533_PPARG1_FOXP3_VS_PPARG2_FOXP3_TRANSDUCED_CD4_TCELL_PIOGLITAZONE_TREATED_UP | 1.18e-03 | 9.46 | 2.45 | 1.82e-01 | 1.00e+00 | 4ESM1, RAMP2, PECAM1, TM4SF1 |
196 |
GSE8621_LPS_PRIMED_UNSTIM_VS_LPS_PRIMED_AND_LPS_STIM_MACROPHAGE_UP | 1.23e-03 | 9.37 | 2.43 | 1.82e-01 | 1.00e+00 | 4MYCT1, COL4A2, SOX18, ICAM2 |
198 |
GSE21670_UNTREATED_VS_TGFB_TREATED_CD4_TCELL_DN | 1.23e-03 | 9.37 | 2.43 | 1.82e-01 | 1.00e+00 | 4ESAM, MYCT1, COL4A2, COL4A1 |
198 |
GSE5589_WT_VS_IL6_KO_LPS_AND_IL6_STIM_MACROPHAGE_45MIN_DN | 1.25e-03 | 9.32 | 2.41 | 1.82e-01 | 1.00e+00 | 4COL4A2, COL4A1, TM4SF1, CAV1 |
199 |
GSE8621_UNSTIM_VS_LPS_PRIMED_AND_LPS_STIM_MACROPHAGE_UP | 1.25e-03 | 9.32 | 2.41 | 1.82e-01 | 1.00e+00 | 4ESAM, MYCT1, COL4A2, ENG |
199 |
GSE5503_LIVER_DC_VS_PLN_DC_ACTIVATED_ALLOGENIC_TCELL_UP | 1.25e-03 | 9.32 | 2.41 | 1.82e-01 | 1.00e+00 | 4ESAM, ADGRL4, MYCT1, ICAM2 |
199 |
GSE22229_UNTREATED_VS_IMMUNOSUPP_THERAPY_RENAL_TRANSPLANT_PATIENT_PBMC_DN | 1.25e-03 | 9.32 | 2.41 | 1.82e-01 | 1.00e+00 | 4MYCT1, BTNL9, COL4A2, COL4A1 |
199 |
GSE16386_IL4_VS_IL4_AND_ROSIGLITAZONE_STIM_MACROPHAGE_6H_DN | 1.25e-03 | 9.32 | 2.41 | 1.82e-01 | 1.00e+00 | 4RBP7, COL4A1, WWTR1, KCNE3 |
199 |
GSE17721_LPS_VS_CPG_16H_BMDC_DN | 1.27e-03 | 9.27 | 2.40 | 1.82e-01 | 1.00e+00 | 4CD93, EGFL7, GJA4, SPARCL1 |
200 |
Top Ranked Transcription Factors for this Gene Expression Program:
Gene Symbol | TF Rank | DNA Binding Domain | Motif Status | IUPAC PWM | GTEx | DepMap | Decartes |
---|---|---|---|---|---|---|---|
SOX18 | 31 | Yes | Known motif | Monomer or homomultimer | High-throughput in vitro | None | None |
WWTR1 | 34 | No | Unlikely to be sequence specific TF | Not a DNA binding protein | No motif | None | Transcriptional co-activator that binds to TEADs (PMID: 19324877) and TBX5 (PMID: 16332960) |
PLPP3 | 55 | No | Unlikely to be sequence specific TF | Not a DNA binding protein | No motif | None | None |
SOX17 | 57 | Yes | Known motif | Monomer or homomultimer | High-throughput in vitro | None | None |
ERG | 58 | Yes | Known motif | Monomer or homomultimer | High-throughput in vitro | None | None |
MEOX1 | 69 | Yes | Known motif | Monomer or homomultimer | High-throughput in vitro | None | None |
EPAS1 | 74 | Yes | Known motif | Monomer or homomultimer | In vivo/Misc source | Only known motifs are from Transfac or HocoMoco - origin is uncertain | None |
RGCC | 81 | No | Unlikely to be sequence specific TF | Not a DNA binding protein | No motif | None | None |
FZD4 | 82 | No | Unlikely to be sequence specific TF | Not a DNA binding protein | No motif | None | None |
BCL6B | 95 | Yes | Known motif | Monomer or homomultimer | High-throughput in vitro | None | None |
PLXND1 | 98 | No | Unlikely to be sequence specific TF | Not a DNA binding protein | No motif | None | Protein is a semaphorin receptor that operates far upstream on the signaling cascade. |
PREX2 | 102 | No | Unlikely to be sequence specific TF | Not a DNA binding protein | No motif | None | None |
SOX7 | 112 | Yes | Known motif | Monomer or homomultimer | High-throughput in vitro | None | None |
ELK3 | 126 | Yes | Known motif | Monomer or homomultimer | High-throughput in vitro | None | None |
CREB3L2 | 182 | Yes | Known motif | Monomer or homomultimer | 100 perc ID - in vitro | None | None |
ANXA3 | 183 | No | Unlikely to be sequence specific TF | Not a DNA binding protein | No motif | None | Protein operates far upstream on the signaling cascade. |
HOXB8 | 196 | Yes | Known motif | Monomer or homomultimer | High-throughput in vitro | None | None |
NOTCH1 | 214 | No | Unlikely to be sequence specific TF | Not a DNA binding protein | No motif | None | A transmembrane protein that inhibits MEF2C activation (PMID: 10082551). NOTCH1 does not bind DNA in the structure, and is not required for DNA binding, since RBPJ is bound without it in (PDB:4J2X). |
HOXB7 | 216 | Yes | Known motif | Monomer or homomultimer | High-throughput in vitro | None | None |
HSPA1A | 221 | No | Unlikely to be sequence specific TF | Not a DNA binding protein | No motif | None | None |
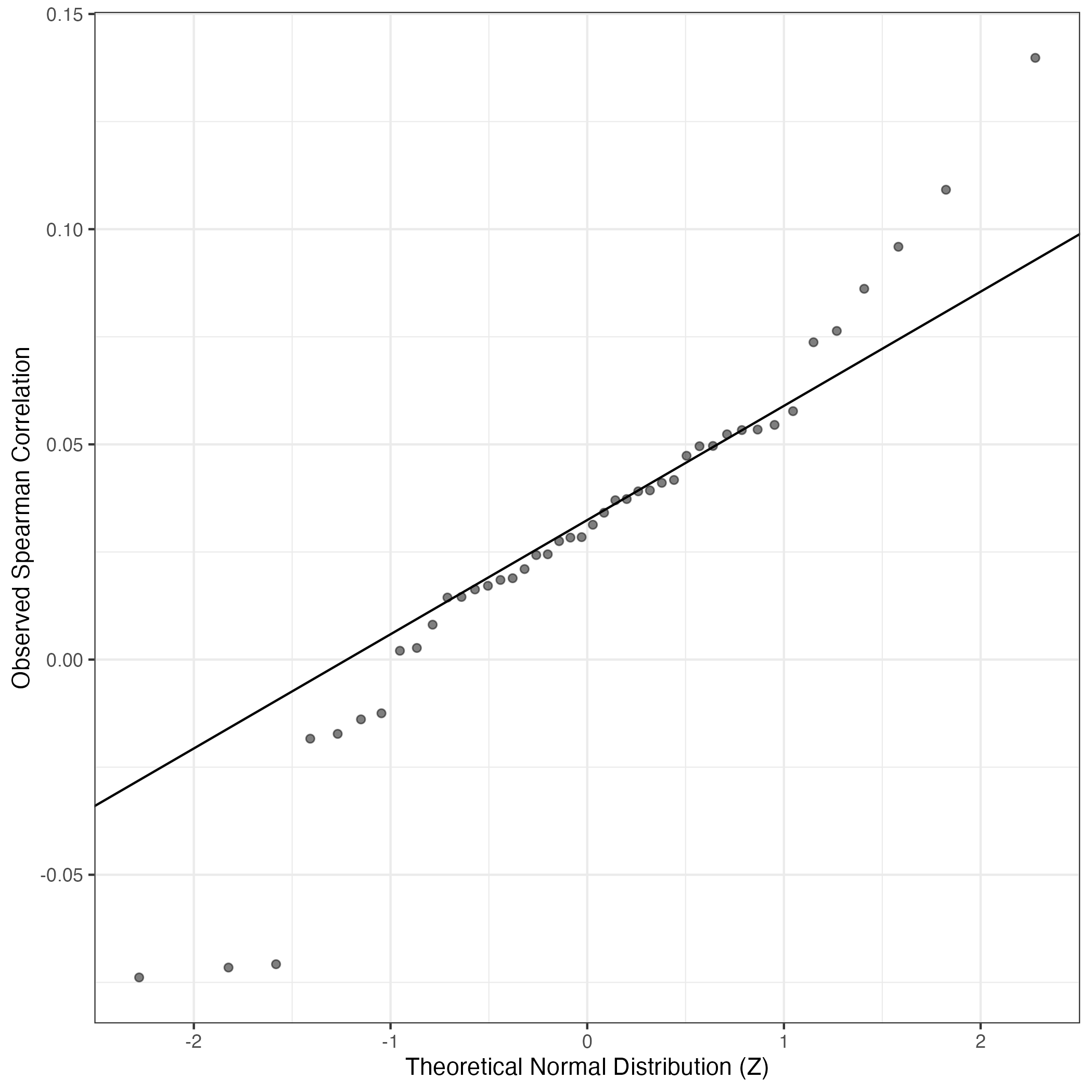
QQ Plot showing correlations with other Gene Expression Programs in this dataset, calculated by Spearman correlation:
Interactive QQ-plot of gene loadings:
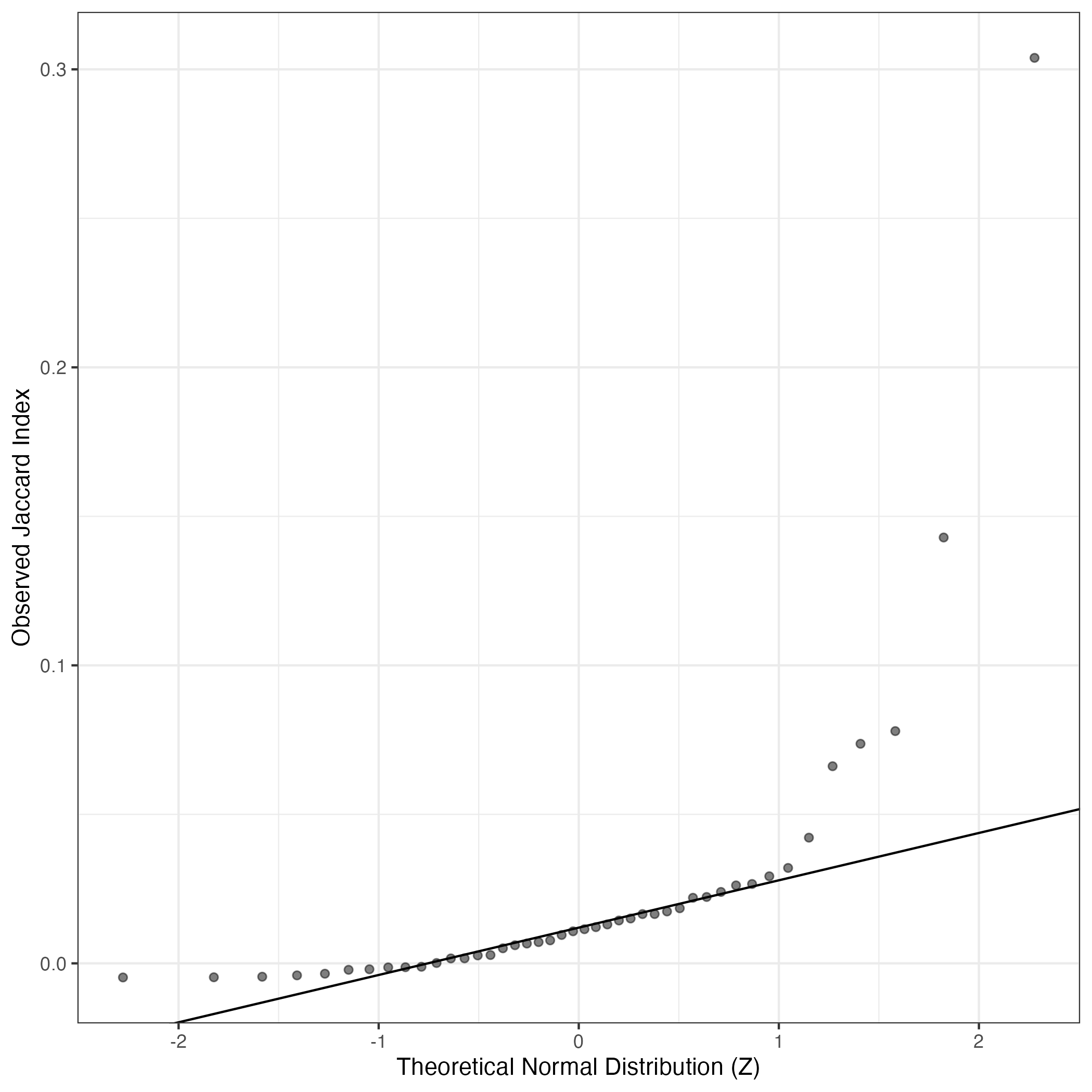
A similar QQ-plot as above, but only for instances where the H value is e.g. > 25, i.e. we are confident that the expression program is active above noise. Agreemenet between these binary vectors is tested using the Jaccard Index, with the P-values calculated by an exact test:
Interactive QQ-plot:
Singler cell type annotations for the top 50 cells on this program.
Cell ID | Singler label | Singler Delta | Activity Score | Top Singler Raw Scores |
---|---|---|---|---|
864_CAACGATGTGTTGCCG-1 | Endothelial_cells:lymphatic:TNFa_48h | 0.18 | 5584.65 | Raw ScoresEndothelial_cells:lymphatic:TNFa_48h: 0.54, Endothelial_cells:lymphatic:KSHV: 0.53, Endothelial_cells:lymphatic: 0.53, Endothelial_cells:blood_vessel: 0.53, Endothelial_cells:HUVEC:IL-1b: 0.52, Endothelial_cells:HUVEC: 0.52, Endothelial_cells:HUVEC:PR8-infected: 0.52, Endothelial_cells:HUVEC:FPV-infected: 0.52, Endothelial_cells:HUVEC:Serum_Amyloid_A: 0.52, Endothelial_cells:HUVEC:H5N1-infected: 0.51 |
864_TCGATTTCATTGGCAT-1 | Endothelial_cells:blood_vessel | 0.18 | 2245.34 | Raw ScoresEndothelial_cells:lymphatic:TNFa_48h: 0.54, Endothelial_cells:lymphatic: 0.54, Endothelial_cells:blood_vessel: 0.54, Endothelial_cells:lymphatic:KSHV: 0.53, Endothelial_cells:HUVEC:Serum_Amyloid_A: 0.53, Endothelial_cells:HUVEC: 0.53, Endothelial_cells:HUVEC:FPV-infected: 0.52, Endothelial_cells:HUVEC:IL-1b: 0.52, Endothelial_cells:HUVEC:PR8-infected: 0.52, Endothelial_cells:HUVEC:VEGF: 0.52 |
883_TCTCTGGCACCAGACC-1 | Endothelial_cells:blood_vessel | 0.17 | 1868.74 | Raw ScoresEndothelial_cells:blood_vessel: 0.47, Endothelial_cells:lymphatic:KSHV: 0.46, Endothelial_cells:lymphatic:TNFa_48h: 0.46, Endothelial_cells:lymphatic: 0.46, Endothelial_cells:HUVEC:Serum_Amyloid_A: 0.45, Endothelial_cells:HUVEC:IL-1b: 0.44, Endothelial_cells:HUVEC: 0.44, Endothelial_cells:HUVEC:PR8-infected: 0.44, Endothelial_cells:HUVEC:B._anthracis_LT: 0.43, Endothelial_cells:HUVEC:VEGF: 0.43 |
837_TTCACCGCAGAATGTA-1 | Endothelial_cells:blood_vessel | 0.18 | 1783.47 | Raw ScoresEndothelial_cells:blood_vessel: 0.53, Endothelial_cells:lymphatic: 0.52, Endothelial_cells:lymphatic:TNFa_48h: 0.52, Endothelial_cells:lymphatic:KSHV: 0.52, Endothelial_cells:HUVEC:IL-1b: 0.52, Endothelial_cells:HUVEC: 0.52, Endothelial_cells:HUVEC:Serum_Amyloid_A: 0.52, Endothelial_cells:HUVEC:FPV-infected: 0.51, Endothelial_cells:HUVEC:PR8-infected: 0.51, Endothelial_cells:HUVEC:B._anthracis_LT: 0.51 |
831_AGTCATGGTTCCGTTC-1 | Endothelial_cells:lymphatic:TNFa_48h | 0.17 | 1522.82 | Raw ScoresEndothelial_cells:lymphatic:TNFa_48h: 0.5, Endothelial_cells:blood_vessel: 0.5, Endothelial_cells:lymphatic:KSHV: 0.5, Endothelial_cells:lymphatic: 0.5, Endothelial_cells:HUVEC:Serum_Amyloid_A: 0.49, Endothelial_cells:HUVEC:IL-1b: 0.48, Endothelial_cells:HUVEC:PR8-infected: 0.47, Endothelial_cells:HUVEC: 0.47, Endothelial_cells:HUVEC:VEGF: 0.47, Endothelial_cells:HUVEC:B._anthracis_LT: 0.47 |
831_TTGCGTCTCATTCGTT-1 | Endothelial_cells:blood_vessel | 0.17 | 1364.02 | Raw ScoresEndothelial_cells:blood_vessel: 0.5, Endothelial_cells:lymphatic:KSHV: 0.49, Endothelial_cells:lymphatic:TNFa_48h: 0.49, Endothelial_cells:lymphatic: 0.49, Endothelial_cells:HUVEC:Serum_Amyloid_A: 0.48, Endothelial_cells:HUVEC:IL-1b: 0.48, Endothelial_cells:HUVEC: 0.48, Endothelial_cells:HUVEC:PR8-infected: 0.47, Endothelial_cells:HUVEC:FPV-infected: 0.47, Endothelial_cells:HUVEC:VEGF: 0.47 |
864_ACTTAGGCACTACAGT-1 | Endothelial_cells:lymphatic | 0.17 | 1264.85 | Raw ScoresEndothelial_cells:blood_vessel: 0.48, Endothelial_cells:lymphatic: 0.48, Endothelial_cells:lymphatic:TNFa_48h: 0.47, Endothelial_cells:lymphatic:KSHV: 0.47, Endothelial_cells:HUVEC:Serum_Amyloid_A: 0.46, Endothelial_cells:HUVEC: 0.46, Endothelial_cells:HUVEC:FPV-infected: 0.46, Endothelial_cells:HUVEC:IL-1b: 0.45, Endothelial_cells:HUVEC:PR8-infected: 0.45, Endothelial_cells:HUVEC:B._anthracis_LT: 0.45 |
883_CTTCTCTGTGCCTATA-1 | Endothelial_cells:blood_vessel | 0.16 | 1000.08 | Raw ScoresEndothelial_cells:lymphatic:TNFa_48h: 0.49, Endothelial_cells:blood_vessel: 0.49, Endothelial_cells:lymphatic:KSHV: 0.49, Endothelial_cells:lymphatic: 0.49, Endothelial_cells:HUVEC:Serum_Amyloid_A: 0.48, Endothelial_cells:HUVEC: 0.47, Endothelial_cells:HUVEC:FPV-infected: 0.47, Endothelial_cells:HUVEC:PR8-infected: 0.47, Endothelial_cells:HUVEC:IL-1b: 0.47, Endothelial_cells:HUVEC:VEGF: 0.46 |
864_AATCACGCATGGAACG-1 | Endothelial_cells:blood_vessel | 0.17 | 951.42 | Raw ScoresEndothelial_cells:lymphatic:KSHV: 0.39, Endothelial_cells:blood_vessel: 0.38, Endothelial_cells:lymphatic: 0.38, Endothelial_cells:lymphatic:TNFa_48h: 0.38, Endothelial_cells:HUVEC:Serum_Amyloid_A: 0.37, Endothelial_cells:HUVEC: 0.37, Endothelial_cells:HUVEC:IL-1b: 0.36, Endothelial_cells:HUVEC:PR8-infected: 0.36, Endothelial_cells:HUVEC:VEGF: 0.36, Endothelial_cells:HUVEC:FPV-infected: 0.36 |
864_TCCGGGAAGACGTCCC-1 | Endothelial_cells:blood_vessel | 0.16 | 916.11 | Raw ScoresEndothelial_cells:blood_vessel: 0.45, Endothelial_cells:lymphatic:KSHV: 0.45, Endothelial_cells:lymphatic:TNFa_48h: 0.44, Endothelial_cells:lymphatic: 0.44, Endothelial_cells:HUVEC:Serum_Amyloid_A: 0.43, Endothelial_cells:HUVEC:FPV-infected: 0.43, Endothelial_cells:HUVEC: 0.43, Endothelial_cells:HUVEC:IL-1b: 0.43, Endothelial_cells:HUVEC:PR8-infected: 0.43, Endothelial_cells:HUVEC:H5N1-infected: 0.42 |
837_TCACTCGCACCTGCAG-1 | Endothelial_cells:blood_vessel | 0.17 | 885.05 | Raw ScoresEndothelial_cells:blood_vessel: 0.42, Endothelial_cells:lymphatic:KSHV: 0.42, Endothelial_cells:lymphatic: 0.42, Endothelial_cells:lymphatic:TNFa_48h: 0.42, Endothelial_cells:HUVEC:Serum_Amyloid_A: 0.41, Endothelial_cells:HUVEC:VEGF: 0.4, Endothelial_cells:HUVEC:IL-1b: 0.4, Endothelial_cells:HUVEC: 0.4, Endothelial_cells:HUVEC:PR8-infected: 0.4, Endothelial_cells:HUVEC:FPV-infected: 0.4 |
864_CGGTCAGCAGCGATTT-1 | Endothelial_cells:lymphatic:KSHV | 0.12 | 853.00 | Raw ScoresEndothelial_cells:HUVEC: 0.48, Endothelial_cells:HUVEC:IL-1b: 0.48, Endothelial_cells:HUVEC:FPV-infected: 0.48, Endothelial_cells:HUVEC:H5N1-infected: 0.47, Endothelial_cells:HUVEC:PR8-infected: 0.47, Endothelial_cells:HUVEC:VEGF: 0.47, Endothelial_cells:lymphatic:TNFa_48h: 0.47, Endothelial_cells:lymphatic:KSHV: 0.46, Endothelial_cells:HUVEC:B._anthracis_LT: 0.46, Endothelial_cells:HUVEC:Serum_Amyloid_A: 0.46 |
856_GGGATCCCATGGGTTT-1 | Endothelial_cells:blood_vessel | 0.16 | 689.83 | Raw ScoresEndothelial_cells:blood_vessel: 0.43, Endothelial_cells:lymphatic:KSHV: 0.43, Endothelial_cells:lymphatic:TNFa_48h: 0.42, Endothelial_cells:lymphatic: 0.42, Endothelial_cells:HUVEC:PR8-infected: 0.41, Endothelial_cells:HUVEC:Serum_Amyloid_A: 0.41, Endothelial_cells:HUVEC:FPV-infected: 0.4, Endothelial_cells:HUVEC: 0.4, Endothelial_cells:HUVEC:B._anthracis_LT: 0.4, Endothelial_cells:HUVEC:H5N1-infected: 0.4 |
849_CATCCCACATCCTCAC-1 | Endothelial_cells:blood_vessel | 0.18 | 670.33 | Raw ScoresEndothelial_cells:blood_vessel: 0.48, Endothelial_cells:lymphatic:TNFa_48h: 0.47, Endothelial_cells:lymphatic: 0.47, Endothelial_cells:lymphatic:KSHV: 0.47, Endothelial_cells:HUVEC: 0.47, Endothelial_cells:HUVEC:Serum_Amyloid_A: 0.47, Endothelial_cells:HUVEC:FPV-infected: 0.46, Endothelial_cells:HUVEC:PR8-infected: 0.46, Endothelial_cells:HUVEC:B._anthracis_LT: 0.46, Endothelial_cells:HUVEC:H5N1-infected: 0.46 |
839_TGATGCAGTTTACGTG-1 | Endothelial_cells:blood_vessel | 0.16 | 659.69 | Raw ScoresEndothelial_cells:blood_vessel: 0.42, Endothelial_cells:lymphatic:TNFa_48h: 0.42, Endothelial_cells:lymphatic:KSHV: 0.42, Endothelial_cells:lymphatic: 0.42, Endothelial_cells:HUVEC:Serum_Amyloid_A: 0.4, Endothelial_cells:HUVEC:FPV-infected: 0.4, Endothelial_cells:HUVEC: 0.4, Endothelial_cells:HUVEC:PR8-infected: 0.4, Endothelial_cells:HUVEC:IL-1b: 0.39, Endothelial_cells:HUVEC:B._anthracis_LT: 0.39 |
839_TCGGATAGTGAGACGT-1 | Endothelial_cells:lymphatic | 0.17 | 595.26 | Raw ScoresEndothelial_cells:lymphatic: 0.41, Endothelial_cells:lymphatic:TNFa_48h: 0.41, Endothelial_cells:blood_vessel: 0.41, Endothelial_cells:lymphatic:KSHV: 0.4, Endothelial_cells:HUVEC:Serum_Amyloid_A: 0.39, Endothelial_cells:HUVEC: 0.39, Endothelial_cells:HUVEC:FPV-infected: 0.39, Endothelial_cells:HUVEC:VEGF: 0.38, Endothelial_cells:HUVEC:PR8-infected: 0.38, Endothelial_cells:HUVEC:B._anthracis_LT: 0.38 |
837_TCTGCCATCTTCGGTC-1 | Endothelial_cells:lymphatic | 0.15 | 563.12 | Raw ScoresEndothelial_cells:lymphatic: 0.45, Endothelial_cells:lymphatic:TNFa_48h: 0.44, Endothelial_cells:blood_vessel: 0.44, Endothelial_cells:lymphatic:KSHV: 0.43, Endothelial_cells:HUVEC:FPV-infected: 0.43, Endothelial_cells:HUVEC: 0.42, Endothelial_cells:HUVEC:Serum_Amyloid_A: 0.42, Endothelial_cells:HUVEC:PR8-infected: 0.42, Endothelial_cells:HUVEC:IL-1b: 0.42, Endothelial_cells:HUVEC:H5N1-infected: 0.42 |
849_CTTTCGGTCTTGGTGA-1 | Endothelial_cells:blood_vessel | 0.14 | 537.54 | Raw ScoresEndothelial_cells:lymphatic: 0.37, Endothelial_cells:lymphatic:TNFa_48h: 0.37, Endothelial_cells:blood_vessel: 0.37, Endothelial_cells:lymphatic:KSHV: 0.36, Endothelial_cells:HUVEC:Serum_Amyloid_A: 0.35, Endothelial_cells:HUVEC: 0.34, Endothelial_cells:HUVEC:B._anthracis_LT: 0.34, Endothelial_cells:HUVEC:IL-1b: 0.34, Endothelial_cells:HUVEC:PR8-infected: 0.34, Endothelial_cells:HUVEC:VEGF: 0.34 |
849_GCGTGCACAGAGATGC-1 | Endothelial_cells:blood_vessel | 0.16 | 501.48 | Raw ScoresEndothelial_cells:blood_vessel: 0.36, Endothelial_cells:lymphatic: 0.36, Endothelial_cells:lymphatic:TNFa_48h: 0.36, Endothelial_cells:lymphatic:KSHV: 0.36, Endothelial_cells:HUVEC:Serum_Amyloid_A: 0.35, Endothelial_cells:HUVEC: 0.34, Endothelial_cells:HUVEC:VEGF: 0.34, Endothelial_cells:HUVEC:B._anthracis_LT: 0.34, Endothelial_cells:HUVEC:IL-1b: 0.34, Endothelial_cells:HUVEC:FPV-infected: 0.34 |
839_CGCATAAAGATCCGAG-1 | Endothelial_cells:blood_vessel | 0.17 | 492.34 | Raw ScoresEndothelial_cells:lymphatic: 0.46, Endothelial_cells:lymphatic:TNFa_48h: 0.45, Endothelial_cells:blood_vessel: 0.45, Endothelial_cells:lymphatic:KSHV: 0.44, Endothelial_cells:HUVEC:FPV-infected: 0.43, Endothelial_cells:HUVEC: 0.43, Endothelial_cells:HUVEC:VEGF: 0.43, Endothelial_cells:HUVEC:Serum_Amyloid_A: 0.43, Endothelial_cells:HUVEC:PR8-infected: 0.42, Endothelial_cells:HUVEC:B._anthracis_LT: 0.42 |
849_GGGCTCATCATCACCC-1 | Endothelial_cells:blood_vessel | 0.14 | 488.59 | Raw ScoresEndothelial_cells:blood_vessel: 0.36, Endothelial_cells:lymphatic: 0.36, Endothelial_cells:lymphatic:TNFa_48h: 0.36, Endothelial_cells:lymphatic:KSHV: 0.35, Endothelial_cells:HUVEC:Serum_Amyloid_A: 0.35, Endothelial_cells:HUVEC:PR8-infected: 0.34, Endothelial_cells:HUVEC: 0.34, Endothelial_cells:HUVEC:FPV-infected: 0.34, Endothelial_cells:HUVEC:B._anthracis_LT: 0.34, Endothelial_cells:HUVEC:VEGF: 0.34 |
831_CTCCCAAAGTGTTGTC-1 | Endothelial_cells:blood_vessel | 0.16 | 482.59 | Raw ScoresEndothelial_cells:lymphatic: 0.48, Endothelial_cells:blood_vessel: 0.48, Endothelial_cells:lymphatic:TNFa_48h: 0.48, Endothelial_cells:lymphatic:KSHV: 0.48, Endothelial_cells:HUVEC:Serum_Amyloid_A: 0.47, Endothelial_cells:HUVEC: 0.46, Endothelial_cells:HUVEC:IL-1b: 0.46, Endothelial_cells:HUVEC:FPV-infected: 0.46, Endothelial_cells:HUVEC:H5N1-infected: 0.46, Endothelial_cells:HUVEC:PR8-infected: 0.46 |
839_TGAGGGAAGAGACAAG-1 | Endothelial_cells:lymphatic | 0.13 | 442.89 | Raw ScoresEndothelial_cells:lymphatic:TNFa_48h: 0.39, Endothelial_cells:lymphatic:KSHV: 0.39, Endothelial_cells:lymphatic: 0.39, Endothelial_cells:blood_vessel: 0.39, Endothelial_cells:HUVEC:FPV-infected: 0.38, Endothelial_cells:HUVEC:PR8-infected: 0.37, Endothelial_cells:HUVEC: 0.37, Endothelial_cells:HUVEC:IL-1b: 0.37, Endothelial_cells:HUVEC:B._anthracis_LT: 0.37, Endothelial_cells:HUVEC:Serum_Amyloid_A: 0.37 |
887_ACTCTCGCAACACAGG-1 | Endothelial_cells:lymphatic | 0.12 | 402.20 | Raw ScoresEndothelial_cells:blood_vessel: 0.39, Endothelial_cells:lymphatic:TNFa_48h: 0.39, Endothelial_cells:lymphatic: 0.39, Endothelial_cells:lymphatic:KSHV: 0.38, Endothelial_cells:HUVEC:PR8-infected: 0.38, Endothelial_cells:HUVEC:FPV-infected: 0.38, Endothelial_cells:HUVEC: 0.37, Endothelial_cells:HUVEC:B._anthracis_LT: 0.37, Endothelial_cells:HUVEC:Serum_Amyloid_A: 0.37, Endothelial_cells:HUVEC:H5N1-infected: 0.37 |
856_ATCCACCGTAACCCTA-1 | Endothelial_cells:blood_vessel | 0.16 | 396.66 | Raw ScoresEndothelial_cells:blood_vessel: 0.39, Endothelial_cells:lymphatic:KSHV: 0.38, Endothelial_cells:lymphatic: 0.38, Endothelial_cells:lymphatic:TNFa_48h: 0.38, Endothelial_cells:HUVEC:Serum_Amyloid_A: 0.36, Endothelial_cells:HUVEC: 0.36, Endothelial_cells:HUVEC:FPV-infected: 0.36, Endothelial_cells:HUVEC:PR8-infected: 0.36, Endothelial_cells:HUVEC:B._anthracis_LT: 0.36, Endothelial_cells:HUVEC:IL-1b: 0.36 |
883_TCATCATGTGCATGTT-1 | Endothelial_cells:blood_vessel | 0.16 | 393.75 | Raw ScoresEndothelial_cells:lymphatic:TNFa_48h: 0.36, Endothelial_cells:lymphatic:KSHV: 0.36, Endothelial_cells:lymphatic: 0.36, Endothelial_cells:blood_vessel: 0.36, Endothelial_cells:HUVEC:Serum_Amyloid_A: 0.36, Endothelial_cells:HUVEC: 0.35, Endothelial_cells:HUVEC:VEGF: 0.34, Endothelial_cells:HUVEC:IL-1b: 0.34, Endothelial_cells:HUVEC:B._anthracis_LT: 0.34, Endothelial_cells:HUVEC:PR8-infected: 0.34 |
839_CTTACCGTCTATTGTC-1 | Endothelial_cells:blood_vessel | 0.14 | 375.72 | Raw ScoresEndothelial_cells:lymphatic: 0.36, Endothelial_cells:lymphatic:TNFa_48h: 0.36, Endothelial_cells:blood_vessel: 0.35, Endothelial_cells:lymphatic:KSHV: 0.34, Endothelial_cells:HUVEC:Serum_Amyloid_A: 0.34, Endothelial_cells:HUVEC:FPV-infected: 0.33, Endothelial_cells:HUVEC: 0.33, Endothelial_cells:HUVEC:VEGF: 0.33, Endothelial_cells:HUVEC:PR8-infected: 0.33, Endothelial_cells:HUVEC:B._anthracis_LT: 0.33 |
883_AAACGAAAGCTCCATA-1 | Endothelial_cells:lymphatic | 0.15 | 358.41 | Raw ScoresEndothelial_cells:lymphatic:TNFa_48h: 0.4, Endothelial_cells:lymphatic: 0.39, Endothelial_cells:blood_vessel: 0.39, Endothelial_cells:lymphatic:KSHV: 0.39, Endothelial_cells:HUVEC: 0.38, Endothelial_cells:HUVEC:FPV-infected: 0.38, Endothelial_cells:HUVEC:VEGF: 0.38, Endothelial_cells:HUVEC:Serum_Amyloid_A: 0.38, Endothelial_cells:HUVEC:B._anthracis_LT: 0.37, Endothelial_cells:HUVEC:PR8-infected: 0.37 |
837_ATTCTACAGCTTTGTG-1 | Endothelial_cells:lymphatic:TNFa_48h | 0.16 | 285.94 | Raw ScoresEndothelial_cells:blood_vessel: 0.48, Endothelial_cells:lymphatic:KSHV: 0.47, Endothelial_cells:lymphatic:TNFa_48h: 0.47, Endothelial_cells:lymphatic: 0.47, Endothelial_cells:HUVEC:PR8-infected: 0.47, Endothelial_cells:HUVEC:FPV-infected: 0.46, Endothelial_cells:HUVEC:Serum_Amyloid_A: 0.46, Endothelial_cells:HUVEC:IL-1b: 0.46, Endothelial_cells:HUVEC:H5N1-infected: 0.46, Endothelial_cells:HUVEC:B._anthracis_LT: 0.46 |
883_CCTCACAGTATCTTCT-1 | Endothelial_cells:blood_vessel | 0.15 | 280.01 | Raw ScoresEndothelial_cells:lymphatic: 0.41, Endothelial_cells:blood_vessel: 0.41, Endothelial_cells:lymphatic:KSHV: 0.41, Endothelial_cells:lymphatic:TNFa_48h: 0.4, Endothelial_cells:HUVEC: 0.4, Endothelial_cells:HUVEC:Serum_Amyloid_A: 0.39, Endothelial_cells:HUVEC:PR8-infected: 0.39, Endothelial_cells:HUVEC:FPV-infected: 0.39, Endothelial_cells:HUVEC:H5N1-infected: 0.39, Endothelial_cells:HUVEC:B._anthracis_LT: 0.39 |
831_AAGACTCGTGTACAGG-1 | Endothelial_cells:lymphatic | 0.13 | 278.68 | Raw ScoresEndothelial_cells:lymphatic:TNFa_48h: 0.39, Endothelial_cells:lymphatic:KSHV: 0.39, Endothelial_cells:lymphatic: 0.38, Endothelial_cells:blood_vessel: 0.38, Endothelial_cells:HUVEC:FPV-infected: 0.37, Endothelial_cells:HUVEC:Serum_Amyloid_A: 0.37, Endothelial_cells:HUVEC: 0.37, Endothelial_cells:HUVEC:PR8-infected: 0.36, Endothelial_cells:HUVEC:H5N1-infected: 0.36, Endothelial_cells:HUVEC:IL-1b: 0.36 |
839_TCGGTCTCACAGCATT-1 | Endothelial_cells:lymphatic | 0.15 | 271.06 | Raw ScoresEndothelial_cells:blood_vessel: 0.41, Endothelial_cells:lymphatic:TNFa_48h: 0.41, Endothelial_cells:lymphatic: 0.41, Endothelial_cells:lymphatic:KSHV: 0.41, Endothelial_cells:HUVEC:Serum_Amyloid_A: 0.4, Endothelial_cells:HUVEC: 0.4, Endothelial_cells:HUVEC:FPV-infected: 0.4, Endothelial_cells:HUVEC:PR8-infected: 0.39, Endothelial_cells:HUVEC:VEGF: 0.39, Endothelial_cells:HUVEC:H5N1-infected: 0.39 |
849_GATTGGTGTTCGGCTG-1 | Endothelial_cells:blood_vessel | 0.13 | 268.33 | Raw ScoresEndothelial_cells:lymphatic: 0.36, Endothelial_cells:lymphatic:TNFa_48h: 0.36, Endothelial_cells:blood_vessel: 0.36, Endothelial_cells:lymphatic:KSHV: 0.36, Endothelial_cells:HUVEC: 0.35, Endothelial_cells:HUVEC:Serum_Amyloid_A: 0.35, Endothelial_cells:HUVEC:VEGF: 0.35, Endothelial_cells:HUVEC:FPV-infected: 0.35, Endothelial_cells:HUVEC:PR8-infected: 0.35, Endothelial_cells:HUVEC:B._anthracis_LT: 0.34 |
839_CAGCAATCATGGCCAC-1 | Endothelial_cells:lymphatic | 0.15 | 245.30 | Raw ScoresEndothelial_cells:lymphatic:KSHV: 0.33, Endothelial_cells:lymphatic: 0.33, Endothelial_cells:blood_vessel: 0.33, Endothelial_cells:lymphatic:TNFa_48h: 0.33, Endothelial_cells:HUVEC:Serum_Amyloid_A: 0.32, Endothelial_cells:HUVEC: 0.32, Endothelial_cells:HUVEC:VEGF: 0.31, Endothelial_cells:HUVEC:FPV-infected: 0.31, Endothelial_cells:HUVEC:IL-1b: 0.31, Endothelial_cells:HUVEC:PR8-infected: 0.3 |
883_TCAATCTGTATCGGTT-1 | Endothelial_cells:lymphatic | 0.13 | 243.22 | Raw ScoresEndothelial_cells:lymphatic:KSHV: 0.35, Endothelial_cells:lymphatic:TNFa_48h: 0.35, Endothelial_cells:blood_vessel: 0.35, Endothelial_cells:HUVEC:Serum_Amyloid_A: 0.34, Endothelial_cells:lymphatic: 0.34, Endothelial_cells:HUVEC:IL-1b: 0.34, Endothelial_cells:HUVEC:FPV-infected: 0.34, Endothelial_cells:HUVEC: 0.33, Endothelial_cells:HUVEC:PR8-infected: 0.33, Endothelial_cells:HUVEC:B._anthracis_LT: 0.33 |
864_ATTTACCTCGAAACAA-1 | Endothelial_cells:lymphatic:KSHV | 0.13 | 242.59 | Raw ScoresEndothelial_cells:lymphatic:TNFa_48h: 0.37, Endothelial_cells:lymphatic: 0.37, Endothelial_cells:lymphatic:KSHV: 0.36, Endothelial_cells:HUVEC: 0.36, Endothelial_cells:HUVEC:VEGF: 0.36, Endothelial_cells:HUVEC:FPV-infected: 0.36, Endothelial_cells:blood_vessel: 0.36, Endothelial_cells:HUVEC:Serum_Amyloid_A: 0.36, Endothelial_cells:HUVEC:PR8-infected: 0.35, Endothelial_cells:HUVEC:IL-1b: 0.35 |
831_TCCGGGATCATGTCTT-1 | Endothelial_cells:blood_vessel | 0.18 | 241.53 | Raw ScoresEndothelial_cells:lymphatic: 0.52, Endothelial_cells:blood_vessel: 0.52, Endothelial_cells:lymphatic:TNFa_48h: 0.52, Endothelial_cells:lymphatic:KSHV: 0.52, Endothelial_cells:HUVEC:Serum_Amyloid_A: 0.5, Endothelial_cells:HUVEC: 0.5, Endothelial_cells:HUVEC:IL-1b: 0.49, Endothelial_cells:HUVEC:PR8-infected: 0.49, Endothelial_cells:HUVEC:FPV-infected: 0.49, Endothelial_cells:HUVEC:B._anthracis_LT: 0.49 |
849_CTTCGGTGTAGTCACT-1 | Endothelial_cells:blood_vessel | 0.14 | 237.84 | Raw ScoresEndothelial_cells:blood_vessel: 0.41, Endothelial_cells:lymphatic:KSHV: 0.41, Endothelial_cells:HUVEC:FPV-infected: 0.41, Endothelial_cells:HUVEC: 0.4, Endothelial_cells:lymphatic:TNFa_48h: 0.4, Endothelial_cells:lymphatic: 0.4, Endothelial_cells:HUVEC:B._anthracis_LT: 0.4, Endothelial_cells:HUVEC:PR8-infected: 0.4, Endothelial_cells:HUVEC:H5N1-infected: 0.4, Endothelial_cells:HUVEC:IL-1b: 0.39 |
883_CGCCAGATCCATTGTT-1 | Endothelial_cells:blood_vessel | 0.16 | 236.04 | Raw ScoresEndothelial_cells:lymphatic:KSHV: 0.38, Endothelial_cells:lymphatic:TNFa_48h: 0.38, Endothelial_cells:lymphatic: 0.38, Endothelial_cells:blood_vessel: 0.38, Endothelial_cells:HUVEC:Serum_Amyloid_A: 0.37, Endothelial_cells:HUVEC: 0.37, Endothelial_cells:HUVEC:VEGF: 0.36, Endothelial_cells:HUVEC:IL-1b: 0.36, Endothelial_cells:HUVEC:PR8-infected: 0.36, Endothelial_cells:HUVEC:FPV-infected: 0.36 |
883_GCAGTTATCCTATTTG-1 | Neurons:adrenal_medulla_cell_line | 0.16 | 232.06 | Raw ScoresNeurons:adrenal_medulla_cell_line: 0.41, Neuroepithelial_cell:ESC-derived: 0.37, Endothelial_cells:HUVEC: 0.36, iPS_cells:PDB_2lox-22: 0.35, Endothelial_cells:HUVEC:FPV-infected: 0.35, iPS_cells:PDB_2lox-17: 0.35, Astrocyte:Embryonic_stem_cell-derived: 0.35, iPS_cells:PDB_2lox-21: 0.35, iPS_cells:iPS:minicircle-derived: 0.35, iPS_cells:adipose_stem_cell-derived:minicircle-derived: 0.35 |
849_CGGTCAGCAGTAGAAT-1 | Endothelial_cells:blood_vessel | 0.13 | 230.79 | Raw ScoresEndothelial_cells:blood_vessel: 0.35, Endothelial_cells:lymphatic: 0.35, Endothelial_cells:lymphatic:TNFa_48h: 0.35, Endothelial_cells:lymphatic:KSHV: 0.35, Endothelial_cells:HUVEC:PR8-infected: 0.34, Endothelial_cells:HUVEC: 0.34, Endothelial_cells:HUVEC:FPV-infected: 0.34, Endothelial_cells:HUVEC:H5N1-infected: 0.34, Endothelial_cells:HUVEC:Serum_Amyloid_A: 0.34, Endothelial_cells:HUVEC:B._anthracis_LT: 0.33 |
837_GCCATTCAGCAACTCT-1 | Endothelial_cells:lymphatic:TNFa_48h | 0.17 | 223.23 | Raw ScoresEndothelial_cells:lymphatic:TNFa_48h: 0.43, Endothelial_cells:lymphatic: 0.43, Endothelial_cells:lymphatic:KSHV: 0.43, Endothelial_cells:blood_vessel: 0.42, Endothelial_cells:HUVEC: 0.41, Endothelial_cells:HUVEC:Serum_Amyloid_A: 0.41, Endothelial_cells:HUVEC:FPV-infected: 0.41, Endothelial_cells:HUVEC:IL-1b: 0.41, Endothelial_cells:HUVEC:VEGF: 0.4, Endothelial_cells:HUVEC:PR8-infected: 0.4 |
847_AACAAGACAGCTGGTC-1 | Endothelial_cells:lymphatic:TNFa_48h | 0.11 | 194.52 | Raw ScoresEndothelial_cells:lymphatic:TNFa_48h: 0.29, Endothelial_cells:blood_vessel: 0.29, Endothelial_cells:lymphatic:KSHV: 0.29, Endothelial_cells:lymphatic: 0.29, Endothelial_cells:HUVEC:IL-1b: 0.28, Endothelial_cells:HUVEC: 0.27, Endothelial_cells:HUVEC:Serum_Amyloid_A: 0.27, Endothelial_cells:HUVEC:PR8-infected: 0.27, Endothelial_cells:HUVEC:FPV-infected: 0.26, Endothelial_cells:HUVEC:H5N1-infected: 0.26 |
837_ATCCATTTCGCTTGCT-1 | Smooth_muscle_cells:bronchial:vit_D | 0.12 | 186.83 | Raw ScoresSmooth_muscle_cells:bronchial:vit_D: 0.31, Smooth_muscle_cells:bronchial: 0.3, Smooth_muscle_cells:vascular: 0.3, iPS_cells:adipose_stem_cells: 0.3, Tissue_stem_cells:iliac_MSC: 0.3, Smooth_muscle_cells:vascular:IL-17: 0.3, Tissue_stem_cells:BM_MSC:BMP2: 0.3, Tissue_stem_cells:BM_MSC:TGFb3: 0.3, iPS_cells:CRL2097_foreskin: 0.29, MSC: 0.29 |
855_AGATGAAAGTTGCGAG-1 | Endothelial_cells:lymphatic | 0.15 | 176.16 | Raw ScoresEndothelial_cells:lymphatic: 0.4, Endothelial_cells:lymphatic:TNFa_48h: 0.4, Endothelial_cells:blood_vessel: 0.4, Endothelial_cells:lymphatic:KSHV: 0.39, Endothelial_cells:HUVEC:Serum_Amyloid_A: 0.37, Endothelial_cells:HUVEC: 0.37, Endothelial_cells:HUVEC:VEGF: 0.37, Endothelial_cells:HUVEC:IL-1b: 0.37, Endothelial_cells:HUVEC:FPV-infected: 0.37, Endothelial_cells:HUVEC:B._anthracis_LT: 0.37 |
837_GCATTAGGTACAAGCG-1 | Endothelial_cells:lymphatic:TNFa_48h | 0.15 | 171.83 | Raw ScoresEndothelial_cells:lymphatic:TNFa_48h: 0.41, Endothelial_cells:lymphatic: 0.41, Endothelial_cells:lymphatic:KSHV: 0.41, Endothelial_cells:blood_vessel: 0.4, Endothelial_cells:HUVEC:FPV-infected: 0.39, Endothelial_cells:HUVEC: 0.39, Endothelial_cells:HUVEC:PR8-infected: 0.39, Endothelial_cells:HUVEC:Serum_Amyloid_A: 0.39, Endothelial_cells:HUVEC:H5N1-infected: 0.38, Endothelial_cells:HUVEC:VEGF: 0.38 |
831_GATGTTGTCGAAGTGG-1 | Endothelial_cells:lymphatic:TNFa_48h | 0.15 | 163.13 | Raw ScoresEndothelial_cells:lymphatic: 0.39, Endothelial_cells:lymphatic:TNFa_48h: 0.39, Endothelial_cells:lymphatic:KSHV: 0.38, Endothelial_cells:blood_vessel: 0.38, Endothelial_cells:HUVEC:Serum_Amyloid_A: 0.37, Endothelial_cells:HUVEC: 0.36, Endothelial_cells:HUVEC:B._anthracis_LT: 0.36, Endothelial_cells:HUVEC:PR8-infected: 0.36, Endothelial_cells:HUVEC:FPV-infected: 0.36, Endothelial_cells:HUVEC:H5N1-infected: 0.36 |
849_TTACTGTAGCGCCGTT-1 | Endothelial_cells:lymphatic | 0.16 | 161.21 | Raw ScoresEndothelial_cells:lymphatic: 0.44, Endothelial_cells:lymphatic:TNFa_48h: 0.43, Endothelial_cells:blood_vessel: 0.4, Endothelial_cells:lymphatic:KSHV: 0.4, Endothelial_cells:HUVEC:Serum_Amyloid_A: 0.4, Endothelial_cells:HUVEC:FPV-infected: 0.39, Endothelial_cells:HUVEC: 0.39, Endothelial_cells:HUVEC:B._anthracis_LT: 0.39, Endothelial_cells:HUVEC:PR8-infected: 0.39, Endothelial_cells:HUVEC:VEGF: 0.39 |
839_GTCGAATTCATAGGCT-1 | Tissue_stem_cells:BM_MSC:BMP2 | 0.12 | 161.20 | Raw ScoresTissue_stem_cells:iliac_MSC: 0.35, Osteoblasts: 0.34, Smooth_muscle_cells:bronchial: 0.34, Smooth_muscle_cells:vascular: 0.34, iPS_cells:adipose_stem_cells: 0.34, Smooth_muscle_cells:bronchial:vit_D: 0.34, Tissue_stem_cells:BM_MSC:BMP2: 0.34, Fibroblasts:breast: 0.34, iPS_cells:CRL2097_foreskin: 0.33, Tissue_stem_cells:BM_MSC:TGFb3: 0.33 |
864_GTGGAAGTCCCGAAAT-1 | Endothelial_cells:blood_vessel | 0.09 | 151.36 | Raw ScoresEndothelial_cells:lymphatic:KSHV: 0.3, Endothelial_cells:HUVEC:FPV-infected: 0.29, Endothelial_cells:lymphatic:TNFa_48h: 0.29, Endothelial_cells:lymphatic: 0.29, Endothelial_cells:HUVEC:IL-1b: 0.29, Endothelial_cells:HUVEC: 0.29, Endothelial_cells:blood_vessel: 0.29, Endothelial_cells:HUVEC:PR8-infected: 0.29, Endothelial_cells:HUVEC:H5N1-infected: 0.28, Endothelial_cells:HUVEC:Serum_Amyloid_A: 0.28 |
Below shows the significant enrichments of this GEP for literature curated gene lists
This data was procured from existing single cell RNA-seq maps of neuroblastoma or related relevant data.
High ranks indicate this gene is a driver of this GEP.
These curated gene list are ranked by the P-value (on this GEP) of their constituent genes.
The Mean Count column shows the mean read count in cells scoring highly (H > 50) on this gene expression program.
Genes | Weight | Rank | GTEx | DepMap | Decartes | Mean.Counts | Mean.TPM |
---|---|---|---|---|---|---|---|
IGFBP3 | 0.0073177 | 1 | GTEx | DepMap | Descartes | 29.16 | 2079.01 |
TM4SF1 | 0.0049696 | 26 | GTEx | DepMap | Descartes | 10.05 | 269.85 |
MECOM | 0.0016157 | 233 | GTEx | DepMap | Descartes | 0.71 | 0.72 |
ADAMTS1 | 0.0014578 | 268 | GTEx | DepMap | Descartes | 1.44 | 84.90 |
HES1 | 0.0013000 | 314 | GTEx | DepMap | Descartes | 3.49 | 443.18 |
GJA1 | 0.0012426 | 328 | GTEx | DepMap | Descartes | 1.98 | 43.29 |
DUSP6 | 0.0011267 | 364 | GTEx | DepMap | Descartes | 0.82 | 137.98 |
CLIC4 | 0.0010449 | 391 | GTEx | DepMap | Descartes | 2.08 | 16.36 |
SHROOM2 | 0.0007608 | 566 | GTEx | DepMap | Descartes | 0.31 | 1.23 |
THBD | 0.0007412 | 582 | GTEx | DepMap | Descartes | 0.59 | 105.64 |
MCF2L | 0.0007142 | 602 | GTEx | DepMap | Descartes | 0.59 | 3.76 |
SPRY1 | 0.0006642 | 646 | GTEx | DepMap | Descartes | 0.47 | 64.77 |
RHOB | 0.0006351 | 678 | GTEx | DepMap | Descartes | 3.05 | 569.67 |
JAG1 | 0.0001713 | 2001 | GTEx | DepMap | Descartes | 0.77 | 11.10 |
IVNS1ABP | 0.0001563 | 2124 | GTEx | DepMap | Descartes | 1.49 | 46.79 |
FAM102A | 0.0000848 | 3021 | GTEx | DepMap | Descartes | 0.18 | 2.68 |
LFNG | -0.0000264 | 12406 | GTEx | DepMap | Descartes | 0.09 | 5.95 |
FBLN2 | -0.0001150 | 19042 | GTEx | DepMap | Descartes | 1.97 | 16.90 |
MARCKSL1 | -0.0001534 | 19941 | GTEx | DepMap | Descartes | 3.64 | 542.43 |
CDK1 | -0.0001968 | 20442 | GTEx | DepMap | Descartes | 1.09 | 16.35 |
Endothelium (Kameneva)
Marker gene were obtained from Fig. 1D of Kameneva et al (PMID 33833454). These genes were used by the authors to annotate each cell type in their human fetal adrenal scRNA-seq data obtained 6, 8, 9, 11, 12 and 14 weeks post conception.:
Wilcoxon ranksum test P-value for gene set overrepresentation: 9.41e-05
Mean rank of genes in gene set: 376.2
Rank on gene expression program of genes in gene set:
Genes | Weight | Rank | GTEx | DepMap | Decartes | Mean.Counts | Mean.TPM |
---|---|---|---|---|---|---|---|
KDR | 0.0057206 | 9 | GTEx | DepMap | Descartes | 3.49 | 52.78 |
FLT1 | 0.0054484 | 13 | GTEx | DepMap | Descartes | 4.81 | 19.37 |
EGFL7 | 0.0051170 | 18 | GTEx | DepMap | Descartes | 10.01 | 515.36 |
PECAM1 | 0.0050910 | 20 | GTEx | DepMap | Descartes | 6.78 | 47.73 |
PRCP | 0.0001994 | 1821 | GTEx | DepMap | Descartes | 0.85 | 9.03 |
EMT I melanoma (Kinker)
These marker genes were obtained in a pan cancer cell lines NMF analysis of scRNA-eq data in Kinker et al (PMID 33128048) - 10 metaprograms were recovered that manifest across cancers, this EMT program was melanoma specific.:
Wilcoxon ranksum test P-value for gene set overrepresentation: 1.65e-04
Mean rank of genes in gene set: 763.4
Rank on gene expression program of genes in gene set:
Genes | Weight | Rank | GTEx | DepMap | Decartes | Mean.Counts | Mean.TPM |
---|---|---|---|---|---|---|---|
CAV1 | 0.0048762 | 28 | GTEx | DepMap | Descartes | 3.30 | 46.79 |
RRAS | 0.0023042 | 146 | GTEx | DepMap | Descartes | 2.36 | 289.44 |
CYR61 | 0.0011256 | 365 | GTEx | DepMap | Descartes | 1.59 | NA |
CTGF | 0.0004945 | 887 | GTEx | DepMap | Descartes | 1.59 | NA |
TPM1 | 0.0001304 | 2391 | GTEx | DepMap | Descartes | 4.91 | 69.94 |
Below shows ranks on this GEP for literature curated gene lists for large gene sets
These include those reported as mesenchymal/adrenergic by Van Groningen et al.
High ranks indicate this gene is a driver of this GEP (note these results are not ordered).
The Mean Count column shows the mean read count in cells scoring highly (H > 50) on this gene expression program.
VanGroningen Adrenergic Genes
Adrenergic marker genes from Supplementary Table 2 of Van Groningen et al. Nature Genetics 2017. These genes were identified by differential expression analysis of mesenchymal-like and adrenergic-like neuroblastoma cell lines.
Wilcoxon ranksum test P-value for gene set overrepresentation: 1.00e+00
Mean rank of genes in gene set: 16362.22
Median rank of genes in gene set: 19107.5
Rank on gene expression program of top 30 genes in gene set:
Genes | Weight | Rank | GTEx | DepMap | Descartes | Mean.Counts | Mean.TPM |
---|---|---|---|---|---|---|---|
CD200 | 0.0029119 | 89 | GTEx | DepMap | Descartes | 3.62 | 87.24 |
HEY1 | 0.0012531 | 326 | GTEx | DepMap | Descartes | 0.54 | 85.22 |
RBP1 | 0.0011379 | 362 | GTEx | DepMap | Descartes | 4.74 | 73.11 |
CXCR4 | 0.0010430 | 393 | GTEx | DepMap | Descartes | 0.85 | 128.53 |
CDC42EP3 | 0.0009505 | 449 | GTEx | DepMap | Descartes | 0.88 | 17.55 |
GRB10 | 0.0007508 | 571 | GTEx | DepMap | Descartes | 0.86 | 4.15 |
ARHGEF7 | 0.0006248 | 690 | GTEx | DepMap | Descartes | 1.22 | 6.17 |
ABLIM1 | 0.0006198 | 694 | GTEx | DepMap | Descartes | 0.89 | 1.97 |
TSPAN7 | 0.0006122 | 704 | GTEx | DepMap | Descartes | 1.11 | 4.07 |
MAGI3 | 0.0004351 | 999 | GTEx | DepMap | Descartes | 0.30 | 0.92 |
ABCA3 | 0.0004172 | 1032 | GTEx | DepMap | Descartes | 0.53 | 4.74 |
AP1S2 | 0.0004092 | 1042 | GTEx | DepMap | Descartes | 0.84 | 19.00 |
DNAJB1 | 0.0003977 | 1069 | GTEx | DepMap | Descartes | 2.07 | 122.65 |
ST3GAL6 | 0.0003727 | 1121 | GTEx | DepMap | Descartes | 0.36 | 3.83 |
GAL | 0.0003240 | 1252 | GTEx | DepMap | Descartes | 0.70 | 28.80 |
AKAP12 | 0.0002964 | 1350 | GTEx | DepMap | Descartes | 1.21 | 5.97 |
GNB1 | 0.0002793 | 1425 | GTEx | DepMap | Descartes | 3.99 | 25.83 |
KLF13 | 0.0002742 | 1443 | GTEx | DepMap | Descartes | 1.51 | 13.96 |
RPS6KA2 | 0.0002698 | 1458 | GTEx | DepMap | Descartes | 0.24 | 0.89 |
RNF144A | 0.0002527 | 1545 | GTEx | DepMap | Descartes | 0.49 | 2.60 |
LYN | 0.0002346 | 1640 | GTEx | DepMap | Descartes | 0.62 | 2.56 |
EXOC5 | 0.0001928 | 1867 | GTEx | DepMap | Descartes | 0.75 | 6.52 |
TSPAN13 | 0.0001671 | 2035 | GTEx | DepMap | Descartes | 1.34 | 19.14 |
KLF7 | 0.0001557 | 2132 | GTEx | DepMap | Descartes | 1.49 | 8.09 |
CERK | 0.0001508 | 2183 | GTEx | DepMap | Descartes | 0.56 | 5.37 |
ICA1 | 0.0001504 | 2188 | GTEx | DepMap | Descartes | 0.54 | 2.26 |
GCH1 | 0.0001430 | 2258 | GTEx | DepMap | Descartes | 0.54 | 6.13 |
SLC35G2 | 0.0001311 | 2385 | GTEx | DepMap | Descartes | 0.12 | 2.08 |
INO80C | 0.0001189 | 2525 | GTEx | DepMap | Descartes | 0.22 | 4.14 |
MMD | 0.0001091 | 2657 | GTEx | DepMap | Descartes | 0.67 | 11.01 |
VanGroningen Mesenchymal Genes
Mesenchymal marker genes from Supplementary Table 2 of Van Groningen et al. Nature Genetics 2017. These genes were identified by differential expression analysis of mesenchymal-like and adrenergic-like neuroblastoma cell lines.
Wilcoxon ranksum test P-value for gene set overrepresentation: 2.26e-52
Mean rank of genes in gene set: 6250.52
Median rank of genes in gene set: 2308
Rank on gene expression program of top 30 genes in gene set:
Genes | Weight | Rank | GTEx | DepMap | Descartes | Mean.Counts | Mean.TPM |
---|---|---|---|---|---|---|---|
COL4A2 | 0.0050591 | 23 | GTEx | DepMap | Descartes | 14.53 | 68.59 |
COL4A1 | 0.0050252 | 25 | GTEx | DepMap | Descartes | 25.44 | 140.93 |
TM4SF1 | 0.0049696 | 26 | GTEx | DepMap | Descartes | 10.05 | 269.85 |
NID2 | 0.0047623 | 30 | GTEx | DepMap | Descartes | 1.18 | 11.13 |
WWTR1 | 0.0045727 | 34 | GTEx | DepMap | Descartes | 2.04 | 9.30 |
SPARCL1 | 0.0045098 | 37 | GTEx | DepMap | Descartes | 10.78 | 186.14 |
SPARC | 0.0038449 | 52 | GTEx | DepMap | Descartes | 54.47 | 927.26 |
MEOX1 | 0.0033071 | 69 | GTEx | DepMap | Descartes | 1.39 | 47.25 |
SEMA3F | 0.0032111 | 72 | GTEx | DepMap | Descartes | 1.43 | 30.75 |
PDLIM1 | 0.0031802 | 75 | GTEx | DepMap | Descartes | 3.59 | 34.45 |
RHOC | 0.0029564 | 86 | GTEx | DepMap | Descartes | 6.59 | 413.28 |
PPIC | 0.0027691 | 105 | GTEx | DepMap | Descartes | 2.60 | 103.87 |
VIM | 0.0025840 | 120 | GTEx | DepMap | Descartes | 35.80 | 1822.09 |
PTRF | 0.0025456 | 124 | GTEx | DepMap | Descartes | 2.03 | NA |
ELK3 | 0.0024975 | 126 | GTEx | DepMap | Descartes | 1.49 | 15.15 |
SPRY4 | 0.0024496 | 129 | GTEx | DepMap | Descartes | 0.47 | 20.18 |
NID1 | 0.0024396 | 130 | GTEx | DepMap | Descartes | 2.72 | 19.57 |
LAMB1 | 0.0024129 | 133 | GTEx | DepMap | Descartes | 2.27 | 21.56 |
SERPINH1 | 0.0023592 | 140 | GTEx | DepMap | Descartes | 6.76 | 388.09 |
EHD2 | 0.0023105 | 144 | GTEx | DepMap | Descartes | 2.11 | 60.31 |
NES | 0.0022486 | 154 | GTEx | DepMap | Descartes | 1.00 | 48.30 |
RHOJ | 0.0021779 | 163 | GTEx | DepMap | Descartes | 1.82 | 11.24 |
LAMC1 | 0.0021389 | 171 | GTEx | DepMap | Descartes | 1.78 | 8.43 |
NRP1 | 0.0020419 | 181 | GTEx | DepMap | Descartes | 3.37 | 14.59 |
CREB3L2 | 0.0020263 | 182 | GTEx | DepMap | Descartes | 1.14 | 5.40 |
LITAF | 0.0018232 | 205 | GTEx | DepMap | Descartes | 3.39 | 13.81 |
TJP1 | 0.0016213 | 231 | GTEx | DepMap | Descartes | 1.74 | 4.35 |
ITGB1 | 0.0016027 | 241 | GTEx | DepMap | Descartes | 8.55 | 91.71 |
ANXA2 | 0.0015780 | 246 | GTEx | DepMap | Descartes | 9.84 | 95.67 |
HLX | 0.0015621 | 250 | GTEx | DepMap | Descartes | 0.54 | 77.24 |
Descartes adrenocortical markers
Top 50 marker genes of adrenocortical cells in the Decartes fetal adrenal single cell map (https://atlas.brotmanbaty.org/bbi/human-gene-expression-during-development/cell/adrenocortical/in/adrenal)
Wilcoxon ranksum test P-value for gene set overrepresentation: 9.99e-01
Mean rank of genes in gene set: 13491.12
Median rank of genes in gene set: 15870
Rank on gene expression program of top 30 genes in gene set:
Genes | Weight | Rank | GTEx | DepMap | Descartes | Mean.Counts | Mean.TPM |
---|---|---|---|---|---|---|---|
SCARB1 | 0.0021924 | 160 | GTEx | DepMap | Descartes | 1.38 | 16.33 |
SH3BP5 | 0.0007068 | 608 | GTEx | DepMap | Descartes | 1.24 | 9.05 |
PAPSS2 | 0.0001872 | 1905 | GTEx | DepMap | Descartes | 0.28 | 1.21 |
CLU | 0.0000620 | 3489 | GTEx | DepMap | Descartes | 3.32 | 65.49 |
IGF1R | 0.0000535 | 3667 | GTEx | DepMap | Descartes | 0.44 | 0.72 |
PDE10A | 0.0000425 | 3969 | GTEx | DepMap | Descartes | 0.14 | 0.17 |
FDX1 | 0.0000387 | 4105 | GTEx | DepMap | Descartes | 0.79 | 13.04 |
NPC1 | 0.0000029 | 5822 | GTEx | DepMap | Descartes | 0.30 | 2.13 |
SULT2A1 | -0.0000007 | 6279 | GTEx | DepMap | Descartes | 0.00 | 0.00 |
CYP11B1 | -0.0000042 | 7383 | GTEx | DepMap | Descartes | 0.00 | 0.00 |
CYP17A1 | -0.0000048 | 7614 | GTEx | DepMap | Descartes | 0.00 | 0.00 |
CYP11A1 | -0.0000080 | 8694 | GTEx | DepMap | Descartes | 0.01 | 0.11 |
ERN1 | -0.0000107 | 9496 | GTEx | DepMap | Descartes | 0.14 | 0.82 |
SH3PXD2B | -0.0000140 | 10290 | GTEx | DepMap | Descartes | 0.18 | 0.73 |
SCAP | -0.0000141 | 10323 | GTEx | DepMap | Descartes | 0.34 | 2.49 |
FREM2 | -0.0000312 | 13055 | GTEx | DepMap | Descartes | 0.01 | 0.05 |
STAR | -0.0000336 | 13378 | GTEx | DepMap | Descartes | 0.00 | 0.00 |
INHA | -0.0000442 | 14525 | GTEx | DepMap | Descartes | 0.02 | 0.67 |
DNER | -0.0000450 | 14607 | GTEx | DepMap | Descartes | 0.04 | 0.05 |
CYB5B | -0.0000486 | 14993 | GTEx | DepMap | Descartes | 0.59 | 6.17 |
SGCZ | -0.0000542 | 15511 | GTEx | DepMap | Descartes | 0.00 | 0.00 |
SLC1A2 | -0.0000627 | 16229 | GTEx | DepMap | Descartes | 0.03 | 0.10 |
FDXR | -0.0000661 | 16496 | GTEx | DepMap | Descartes | 0.12 | 6.88 |
APOC1 | -0.0000678 | 16645 | GTEx | DepMap | Descartes | 0.11 | 8.30 |
TM7SF2 | -0.0000692 | 16756 | GTEx | DepMap | Descartes | 0.02 | 1.63 |
BAIAP2L1 | -0.0000780 | 17335 | GTEx | DepMap | Descartes | 0.14 | 0.32 |
FRMD5 | -0.0000890 | 17995 | GTEx | DepMap | Descartes | 0.04 | 0.02 |
GRAMD1B | -0.0000896 | 18028 | GTEx | DepMap | Descartes | 0.21 | 0.53 |
SLC16A9 | -0.0000977 | 18399 | GTEx | DepMap | Descartes | 0.11 | 1.30 |
GSTA4 | -0.0001055 | 18696 | GTEx | DepMap | Descartes | 6.24 | 21.16 |
Descartes chromaffin markers
Top 50 marker genes of chromaffin cells in the Decartes fetal adrenal single cell map (https://atlas.brotmanbaty.org/bbi/human-gene-expression-during-development/cell/chromaffin/in/adrenal)
Wilcoxon ranksum test P-value for gene set overrepresentation: 1.00e+00
Mean rank of genes in gene set: 15973.95
Median rank of genes in gene set: 17670
Rank on gene expression program of top 30 genes in gene set:
Genes | Weight | Rank | GTEx | DepMap | Descartes | Mean.Counts | Mean.TPM |
---|---|---|---|---|---|---|---|
GAL | 0.0003240 | 1252 | GTEx | DepMap | Descartes | 0.70 | 28.80 |
PTCHD1 | 0.0000777 | 3156 | GTEx | DepMap | Descartes | 0.04 | 0.27 |
PLXNA4 | 0.0000475 | 3816 | GTEx | DepMap | Descartes | 0.38 | 0.45 |
IL7 | 0.0000248 | 4598 | GTEx | DepMap | Descartes | 0.05 | 0.74 |
RGMB | 0.0000210 | 4760 | GTEx | DepMap | Descartes | 0.12 | 2.43 |
GREM1 | -0.0000148 | 10448 | GTEx | DepMap | Descartes | 0.05 | 0.61 |
EPHA6 | -0.0000160 | 10720 | GTEx | DepMap | Descartes | 0.00 | 0.00 |
SLC6A2 | -0.0000190 | 11282 | GTEx | DepMap | Descartes | 0.01 | 0.04 |
RPH3A | -0.0000238 | 12033 | GTEx | DepMap | Descartes | 0.00 | 0.00 |
ANKFN1 | -0.0000277 | 12594 | GTEx | DepMap | Descartes | 0.01 | 0.01 |
TMEM132C | -0.0000322 | 13198 | GTEx | DepMap | Descartes | 0.01 | 0.01 |
HS3ST5 | -0.0000335 | 13357 | GTEx | DepMap | Descartes | 0.03 | 0.01 |
NTRK1 | -0.0000410 | 14184 | GTEx | DepMap | Descartes | 0.01 | 1.52 |
ALK | -0.0000424 | 14336 | GTEx | DepMap | Descartes | 0.00 | 0.00 |
SYNPO2 | -0.0000518 | 15299 | GTEx | DepMap | Descartes | 0.05 | 0.25 |
MAB21L1 | -0.0000528 | 15383 | GTEx | DepMap | Descartes | 0.00 | 0.00 |
SLC44A5 | -0.0000569 | 15771 | GTEx | DepMap | Descartes | 0.08 | 0.10 |
PRPH | -0.0000569 | 15774 | GTEx | DepMap | Descartes | 0.74 | 77.18 |
NPY | -0.0000621 | 16173 | GTEx | DepMap | Descartes | 0.24 | 22.01 |
RYR2 | -0.0000695 | 16779 | GTEx | DepMap | Descartes | 0.01 | 0.01 |
EYA4 | -0.0000717 | 16934 | GTEx | DepMap | Descartes | 0.03 | 0.04 |
FAT3 | -0.0000812 | 17538 | GTEx | DepMap | Descartes | 0.04 | 0.03 |
HMX1 | -0.0000855 | 17802 | GTEx | DepMap | Descartes | 0.10 | 2.56 |
KCNB2 | -0.0000907 | 18075 | GTEx | DepMap | Descartes | 0.03 | 0.02 |
TMEFF2 | -0.0001012 | 18546 | GTEx | DepMap | Descartes | 0.07 | 0.06 |
MARCH11 | -0.0001290 | 19445 | GTEx | DepMap | Descartes | 0.09 | 0.30 |
TUBB2A | -0.0001352 | 19603 | GTEx | DepMap | Descartes | 2.84 | 245.66 |
RBFOX1 | -0.0001386 | 19668 | GTEx | DepMap | Descartes | 0.14 | 0.02 |
CNKSR2 | -0.0001457 | 19806 | GTEx | DepMap | Descartes | 0.11 | 0.24 |
REEP1 | -0.0001683 | 20174 | GTEx | DepMap | Descartes | 0.25 | 1.13 |
Descartes Vascular_endothelial markers
Top 50 marker genes of Vascular_endothelial cells in the Decartes fetal adrenal single cell map (https://atlas.brotmanbaty.org/bbi/human-gene-expression-during-development/cell/vascular_endothelial/in/adrenal)
Wilcoxon ranksum test P-value for gene set overrepresentation: 1.05e-19
Mean rank of genes in gene set: 2175.98
Median rank of genes in gene set: 151
Rank on gene expression program of top 30 genes in gene set:
Genes | Weight | Rank | GTEx | DepMap | Descartes | Mean.Counts | Mean.TPM |
---|---|---|---|---|---|---|---|
ESM1 | 0.0071295 | 2 | GTEx | DepMap | Descartes | 4.44 | 270.46 |
CDH5 | 0.0066265 | 3 | GTEx | DepMap | Descartes | 8.01 | 114.66 |
ECSCR | 0.0063368 | 5 | GTEx | DepMap | Descartes | 4.30 | 248.31 |
KDR | 0.0057206 | 9 | GTEx | DepMap | Descartes | 3.49 | 52.78 |
PLVAP | 0.0056557 | 10 | GTEx | DepMap | Descartes | 10.60 | 487.95 |
BTNL9 | 0.0053349 | 15 | GTEx | DepMap | Descartes | 0.99 | 30.41 |
RAMP2 | 0.0052481 | 16 | GTEx | DepMap | Descartes | 5.93 | 251.64 |
SOX18 | 0.0047094 | 31 | GTEx | DepMap | Descartes | 3.62 | 1274.40 |
MMRN2 | 0.0046041 | 33 | GTEx | DepMap | Descartes | 2.28 | 57.26 |
PTPRB | 0.0042720 | 44 | GTEx | DepMap | Descartes | 3.95 | 28.20 |
ROBO4 | 0.0040517 | 46 | GTEx | DepMap | Descartes | 1.50 | 75.07 |
TIE1 | 0.0039087 | 51 | GTEx | DepMap | Descartes | 2.01 | 85.26 |
CDH13 | 0.0035330 | 60 | GTEx | DepMap | Descartes | 2.11 | 1.07 |
RASIP1 | 0.0035272 | 61 | GTEx | DepMap | Descartes | 1.69 | 109.60 |
NOTCH4 | 0.0034644 | 63 | GTEx | DepMap | Descartes | 0.93 | 20.64 |
CLDN5 | 0.0033912 | 66 | GTEx | DepMap | Descartes | 2.80 | 990.95 |
SHE | 0.0028754 | 94 | GTEx | DepMap | Descartes | 0.32 | 10.13 |
FLT4 | 0.0028484 | 97 | GTEx | DepMap | Descartes | 0.54 | 8.55 |
PODXL | 0.0028239 | 100 | GTEx | DepMap | Descartes | 1.68 | 31.24 |
TMEM88 | 0.0026134 | 117 | GTEx | DepMap | Descartes | 0.66 | 256.83 |
KANK3 | 0.0023134 | 142 | GTEx | DepMap | Descartes | 1.01 | 50.20 |
EFNB2 | 0.0022673 | 151 | GTEx | DepMap | Descartes | 1.53 | 21.40 |
ARHGAP29 | 0.0022552 | 153 | GTEx | DepMap | Descartes | 2.93 | 28.51 |
APLNR | 0.0021528 | 169 | GTEx | DepMap | Descartes | 1.35 | 235.69 |
GALNT15 | 0.0019898 | 185 | GTEx | DepMap | Descartes | 0.12 | 2.76 |
CALCRL | 0.0019195 | 198 | GTEx | DepMap | Descartes | 1.21 | 9.83 |
TEK | 0.0014280 | 275 | GTEx | DepMap | Descartes | 0.79 | 5.27 |
SHANK3 | 0.0008025 | 538 | GTEx | DepMap | Descartes | 0.40 | 6.45 |
ID1 | 0.0007080 | 606 | GTEx | DepMap | Descartes | 3.01 | 1152.68 |
NPR1 | 0.0005461 | 794 | GTEx | DepMap | Descartes | 0.30 | 12.75 |
Descartes stromal markers
Top 50 marker genes of stromal cells in the Decartes fetal adrenal single cell map (https://atlas.brotmanbaty.org/bbi/human-gene-expression-during-development/cell/stromal/in/adrenal)
Wilcoxon ranksum test P-value for gene set overrepresentation: 9.98e-01
Mean rank of genes in gene set: 12998.11
Median rank of genes in gene set: 14427.5
Rank on gene expression program of top 30 genes in gene set:
Genes | Weight | Rank | GTEx | DepMap | Descartes | Mean.Counts | Mean.TPM |
---|---|---|---|---|---|---|---|
IGFBP3 | 0.0073177 | 1 | GTEx | DepMap | Descartes | 29.16 | 2079.01 |
ABCC9 | 0.0023946 | 134 | GTEx | DepMap | Descartes | 1.39 | 7.92 |
DKK2 | 0.0009715 | 428 | GTEx | DepMap | Descartes | 0.29 | 1.69 |
COL27A1 | 0.0003293 | 1233 | GTEx | DepMap | Descartes | 0.14 | 0.33 |
BICC1 | 0.0000811 | 3081 | GTEx | DepMap | Descartes | 0.35 | 0.68 |
PRICKLE1 | 0.0000657 | 3403 | GTEx | DepMap | Descartes | 0.07 | 0.67 |
OGN | 0.0000157 | 5033 | GTEx | DepMap | Descartes | 0.10 | 1.92 |
SULT1E1 | 0.0000122 | 5204 | GTEx | DepMap | Descartes | 0.00 | 0.00 |
GAS2 | -0.0000023 | 6647 | GTEx | DepMap | Descartes | 0.04 | 0.05 |
C7 | -0.0000176 | 11069 | GTEx | DepMap | Descartes | 0.00 | 0.00 |
ELN | -0.0000190 | 11280 | GTEx | DepMap | Descartes | 0.96 | 8.19 |
MGP | -0.0000203 | 11507 | GTEx | DepMap | Descartes | 6.18 | 871.03 |
ADAMTSL3 | -0.0000208 | 11587 | GTEx | DepMap | Descartes | 0.01 | 0.01 |
FREM1 | -0.0000253 | 12250 | GTEx | DepMap | Descartes | 0.00 | 0.00 |
SCARA5 | -0.0000255 | 12278 | GTEx | DepMap | Descartes | 0.05 | 0.20 |
LRRC17 | -0.0000303 | 12935 | GTEx | DepMap | Descartes | 0.01 | 0.07 |
FNDC1 | -0.0000333 | 13340 | GTEx | DepMap | Descartes | 0.36 | 1.21 |
LUM | -0.0000334 | 13355 | GTEx | DepMap | Descartes | 0.25 | 9.74 |
ABCA6 | -0.0000363 | 13706 | GTEx | DepMap | Descartes | 0.03 | 0.17 |
CD248 | -0.0000365 | 13739 | GTEx | DepMap | Descartes | 0.53 | 105.75 |
PDGFRA | -0.0000366 | 13744 | GTEx | DepMap | Descartes | 0.20 | 1.17 |
GLI2 | -0.0000409 | 14183 | GTEx | DepMap | Descartes | 0.01 | 0.01 |
HHIP | -0.0000432 | 14416 | GTEx | DepMap | Descartes | 0.01 | 0.02 |
EDNRA | -0.0000434 | 14439 | GTEx | DepMap | Descartes | 0.28 | 3.10 |
PCDH18 | -0.0000505 | 15201 | GTEx | DepMap | Descartes | 0.09 | 4.79 |
ISLR | -0.0000506 | 15212 | GTEx | DepMap | Descartes | 0.28 | 2.11 |
POSTN | -0.0000514 | 15270 | GTEx | DepMap | Descartes | 2.01 | 25.91 |
ITGA11 | -0.0000520 | 15308 | GTEx | DepMap | Descartes | 0.01 | 0.02 |
RSPO3 | -0.0000529 | 15398 | GTEx | DepMap | Descartes | 0.12 | 1.08 |
LAMC3 | -0.0000575 | 15827 | GTEx | DepMap | Descartes | 0.07 | 0.37 |
Descartes sympathoblasts markers
Top 50 marker genes of sympathoblasts cells in the Decartes fetal adrenal single cell map (https://atlas.brotmanbaty.org/bbi/human-gene-expression-during-development/cell/sympathoblasts/in/adrenal)
Wilcoxon ranksum test P-value for gene set overrepresentation: 1.00e+00
Mean rank of genes in gene set: 14310.55
Median rank of genes in gene set: 15325.5
Rank on gene expression program of top 30 genes in gene set:
Genes | Weight | Rank | GTEx | DepMap | Descartes | Mean.Counts | Mean.TPM |
---|---|---|---|---|---|---|---|
LAMA3 | 0.0003264 | 1241 | GTEx | DepMap | Descartes | 0.11 | 0.35 |
ROBO1 | 0.0002454 | 1574 | GTEx | DepMap | Descartes | 0.27 | 0.18 |
GCH1 | 0.0001430 | 2258 | GTEx | DepMap | Descartes | 0.54 | 6.13 |
CCSER1 | 0.0000205 | 4781 | GTEx | DepMap | Descartes | 0.09 | 0.04 |
PNMT | 0.0000103 | 5307 | GTEx | DepMap | Descartes | 0.00 | 0.00 |
KCTD16 | -0.0000081 | 8724 | GTEx | DepMap | Descartes | 0.00 | 0.00 |
EML6 | -0.0000134 | 10155 | GTEx | DepMap | Descartes | 0.03 | 0.04 |
CDH18 | -0.0000194 | 11345 | GTEx | DepMap | Descartes | 0.00 | 0.00 |
CDH12 | -0.0000222 | 11791 | GTEx | DepMap | Descartes | 0.00 | 0.00 |
SORCS3 | -0.0000244 | 12127 | GTEx | DepMap | Descartes | 0.03 | 0.02 |
GRM7 | -0.0000265 | 12427 | GTEx | DepMap | Descartes | 0.00 | 0.00 |
CNTN3 | -0.0000266 | 12447 | GTEx | DepMap | Descartes | 0.00 | 0.00 |
GRID2 | -0.0000272 | 12522 | GTEx | DepMap | Descartes | 0.00 | 0.00 |
SLC24A2 | -0.0000274 | 12565 | GTEx | DepMap | Descartes | 0.01 | 0.02 |
SLC18A1 | -0.0000311 | 13040 | GTEx | DepMap | Descartes | 0.00 | 0.00 |
SLC35F3 | -0.0000314 | 13074 | GTEx | DepMap | Descartes | 0.00 | 0.00 |
TENM1 | -0.0000338 | 13389 | GTEx | DepMap | Descartes | 0.00 | 0.00 |
AGBL4 | -0.0000343 | 13468 | GTEx | DepMap | Descartes | 0.00 | 0.00 |
PENK | -0.0000375 | 13826 | GTEx | DepMap | Descartes | 0.11 | 11.61 |
PACRG | -0.0000429 | 14382 | GTEx | DepMap | Descartes | 0.00 | 0.00 |
TBX20 | -0.0000518 | 15296 | GTEx | DepMap | Descartes | 0.03 | 0.20 |
TMEM130 | -0.0000524 | 15355 | GTEx | DepMap | Descartes | 0.01 | 0.12 |
DGKK | -0.0000548 | 15564 | GTEx | DepMap | Descartes | 0.02 | 0.15 |
FGF14 | -0.0000612 | 16110 | GTEx | DepMap | Descartes | 0.01 | 0.02 |
MGAT4C | -0.0000719 | 16947 | GTEx | DepMap | Descartes | 0.04 | 0.02 |
HTATSF1 | -0.0000726 | 16996 | GTEx | DepMap | Descartes | 0.53 | 20.20 |
GALNTL6 | -0.0000760 | 17229 | GTEx | DepMap | Descartes | 0.01 | 0.00 |
CHGB | -0.0000788 | 17399 | GTEx | DepMap | Descartes | 0.24 | 6.38 |
SPOCK3 | -0.0000806 | 17503 | GTEx | DepMap | Descartes | 0.05 | 0.03 |
NTNG1 | -0.0000806 | 17505 | GTEx | DepMap | Descartes | 0.04 | 0.04 |
Descartes erythroblasts markers
Top 50 marker genes of erythroblasts cells in the Decartes fetal adrenal single cell map (https://atlas.brotmanbaty.org/bbi/human-gene-expression-during-development/cell/erythroblasts/in/adrenal)
Wilcoxon ranksum test P-value for gene set overrepresentation: 5.68e-01
Mean rank of genes in gene set: 10649.4
Median rank of genes in gene set: 10815
Rank on gene expression program of top 30 genes in gene set:
Genes | Weight | Rank | GTEx | DepMap | Descartes | Mean.Counts | Mean.TPM |
---|---|---|---|---|---|---|---|
CR1L | 0.0003958 | 1072 | GTEx | DepMap | Descartes | 0.72 | 10.97 |
RAPGEF2 | 0.0002856 | 1397 | GTEx | DepMap | Descartes | 0.41 | 1.23 |
CAT | 0.0001657 | 2045 | GTEx | DepMap | Descartes | 0.37 | 7.72 |
MARCH3 | 0.0001211 | 2498 | GTEx | DepMap | Descartes | 0.04 | 0.41 |
FECH | 0.0001079 | 2669 | GTEx | DepMap | Descartes | 0.27 | 2.78 |
GYPC | 0.0000926 | 2892 | GTEx | DepMap | Descartes | 0.10 | 1.47 |
MICAL2 | 0.0000590 | 3548 | GTEx | DepMap | Descartes | 0.22 | 0.43 |
TRAK2 | 0.0000491 | 3766 | GTEx | DepMap | Descartes | 0.32 | 3.60 |
TMCC2 | 0.0000247 | 4603 | GTEx | DepMap | Descartes | 0.15 | 1.86 |
SPECC1 | 0.0000047 | 5686 | GTEx | DepMap | Descartes | 0.25 | 0.58 |
RHD | -0.0000064 | 8201 | GTEx | DepMap | Descartes | 0.00 | 0.00 |
HEMGN | -0.0000066 | 8294 | GTEx | DepMap | Descartes | 0.00 | 0.00 |
EPB42 | -0.0000071 | 8445 | GTEx | DepMap | Descartes | 0.00 | 0.00 |
RGS6 | -0.0000073 | 8488 | GTEx | DepMap | Descartes | 0.00 | 0.00 |
SPTA1 | -0.0000094 | 9148 | GTEx | DepMap | Descartes | 0.01 | 0.01 |
SLC4A1 | -0.0000128 | 10020 | GTEx | DepMap | Descartes | 0.00 | 0.00 |
GCLC | -0.0000138 | 10246 | GTEx | DepMap | Descartes | 0.27 | 2.57 |
GYPA | -0.0000165 | 10815 | GTEx | DepMap | Descartes | 0.00 | 0.00 |
SLC25A21 | -0.0000181 | 11136 | GTEx | DepMap | Descartes | 0.00 | 0.00 |
BLVRB | -0.0000190 | 11294 | GTEx | DepMap | Descartes | 0.84 | 14.89 |
TSPAN5 | -0.0000253 | 12246 | GTEx | DepMap | Descartes | 0.42 | 1.28 |
ANK1 | -0.0000258 | 12343 | GTEx | DepMap | Descartes | 0.00 | 0.00 |
TFR2 | -0.0000390 | 13989 | GTEx | DepMap | Descartes | 0.01 | 0.36 |
SLC25A37 | -0.0000469 | 14815 | GTEx | DepMap | Descartes | 0.18 | 1.91 |
ABCB10 | -0.0000492 | 15060 | GTEx | DepMap | Descartes | 0.08 | 2.13 |
XPO7 | -0.0000526 | 15373 | GTEx | DepMap | Descartes | 0.35 | 1.12 |
TMEM56 | -0.0000589 | 15933 | GTEx | DepMap | Descartes | 0.01 | 0.05 |
DENND4A | -0.0000642 | 16352 | GTEx | DepMap | Descartes | 0.18 | 1.08 |
SELENBP1 | -0.0000770 | 17284 | GTEx | DepMap | Descartes | 0.07 | 2.69 |
ALAS2 | -0.0000796 | 17438 | GTEx | DepMap | Descartes | 0.12 | 1.07 |
Descartes myeloid markers
Top 50 marker genes of myeloid cells in the Decartes fetal adrenal single cell map (https://atlas.brotmanbaty.org/bbi/human-gene-expression-during-development/cell/myeloid/in/adrenal)
Wilcoxon ranksum test P-value for gene set overrepresentation: 9.61e-01
Mean rank of genes in gene set: 12063.16
Median rank of genes in gene set: 14636
Rank on gene expression program of top 30 genes in gene set:
Genes | Weight | Rank | GTEx | DepMap | Descartes | Mean.Counts | Mean.TPM |
---|---|---|---|---|---|---|---|
PTPRE | 0.0010235 | 400 | GTEx | DepMap | Descartes | 0.64 | 2.08 |
SLCO2B1 | 0.0009065 | 475 | GTEx | DepMap | Descartes | 0.16 | 2.33 |
RGL1 | 0.0006972 | 617 | GTEx | DepMap | Descartes | 0.71 | 2.11 |
ABCA1 | 0.0005132 | 844 | GTEx | DepMap | Descartes | 1.66 | 8.91 |
IFNGR1 | 0.0005049 | 857 | GTEx | DepMap | Descartes | 1.34 | 41.63 |
ITPR2 | 0.0002519 | 1548 | GTEx | DepMap | Descartes | 0.33 | 0.56 |
LGMN | 0.0001677 | 2033 | GTEx | DepMap | Descartes | 3.30 | 30.92 |
RNASE1 | 0.0001204 | 2504 | GTEx | DepMap | Descartes | 0.08 | 13.33 |
FMN1 | 0.0001012 | 2753 | GTEx | DepMap | Descartes | 0.14 | 0.13 |
CTSB | 0.0000816 | 3070 | GTEx | DepMap | Descartes | 9.62 | 139.29 |
CST3 | 0.0000237 | 4647 | GTEx | DepMap | Descartes | 9.38 | 954.35 |
WWP1 | 0.0000070 | 5528 | GTEx | DepMap | Descartes | 0.38 | 2.16 |
MERTK | -0.0000128 | 10015 | GTEx | DepMap | Descartes | 0.09 | 0.63 |
CPVL | -0.0000177 | 11074 | GTEx | DepMap | Descartes | 0.00 | 0.00 |
CD163 | -0.0000223 | 11807 | GTEx | DepMap | Descartes | 0.00 | 0.00 |
SPP1 | -0.0000247 | 12170 | GTEx | DepMap | Descartes | 14.66 | 370.68 |
VSIG4 | -0.0000277 | 12602 | GTEx | DepMap | Descartes | 0.01 | 0.01 |
SFMBT2 | -0.0000295 | 12833 | GTEx | DepMap | Descartes | 0.01 | 0.00 |
MSR1 | -0.0000297 | 12854 | GTEx | DepMap | Descartes | 0.34 | 0.88 |
FGD2 | -0.0000339 | 13417 | GTEx | DepMap | Descartes | 0.01 | 0.07 |
CD163L1 | -0.0000358 | 13647 | GTEx | DepMap | Descartes | 0.00 | 0.00 |
HRH1 | -0.0000404 | 14118 | GTEx | DepMap | Descartes | 0.00 | 0.00 |
ATP8B4 | -0.0000452 | 14636 | GTEx | DepMap | Descartes | 0.05 | 0.16 |
MARCH1 | -0.0000491 | 15045 | GTEx | DepMap | Descartes | 0.04 | 0.01 |
ADAP2 | -0.0000498 | 15131 | GTEx | DepMap | Descartes | 0.05 | 1.30 |
HCK | -0.0000534 | 15442 | GTEx | DepMap | Descartes | 0.05 | 0.28 |
MS4A4A | -0.0000540 | 15496 | GTEx | DepMap | Descartes | 0.01 | 0.26 |
SLC1A3 | -0.0000542 | 15510 | GTEx | DepMap | Descartes | 0.01 | 0.03 |
SLC9A9 | -0.0000546 | 15549 | GTEx | DepMap | Descartes | 0.06 | 0.06 |
AXL | -0.0000550 | 15584 | GTEx | DepMap | Descartes | 0.32 | 3.78 |
Descartes Schwann markers
Top 50 marker genes of Schwann cells in the Decartes fetal adrenal single cell map (https://atlas.brotmanbaty.org/bbi/human-gene-expression-during-development/cell/schwann/in/adrenal)
Wilcoxon ranksum test P-value for gene set overrepresentation: 6.42e-01
Mean rank of genes in gene set: 10795.57
Median rank of genes in gene set: 13458
Rank on gene expression program of top 30 genes in gene set:
Genes | Weight | Rank | GTEx | DepMap | Descartes | Mean.Counts | Mean.TPM |
---|---|---|---|---|---|---|---|
LAMA4 | 0.0039305 | 50 | GTEx | DepMap | Descartes | 2.37 | 9.56 |
EDNRB | 0.0028891 | 92 | GTEx | DepMap | Descartes | 1.93 | 40.95 |
VIM | 0.0025840 | 120 | GTEx | DepMap | Descartes | 35.80 | 1822.09 |
LAMB1 | 0.0024129 | 133 | GTEx | DepMap | Descartes | 2.27 | 21.56 |
COL18A1 | 0.0023055 | 145 | GTEx | DepMap | Descartes | 5.66 | 25.28 |
LAMC1 | 0.0021389 | 171 | GTEx | DepMap | Descartes | 1.78 | 8.43 |
PTN | 0.0005542 | 790 | GTEx | DepMap | Descartes | 3.12 | 18.55 |
MARCKS | 0.0003477 | 1185 | GTEx | DepMap | Descartes | 7.43 | 684.23 |
ADAMTS5 | 0.0002715 | 1456 | GTEx | DepMap | Descartes | 1.01 | 11.76 |
OLFML2A | 0.0002003 | 1814 | GTEx | DepMap | Descartes | 0.40 | 9.72 |
STARD13 | 0.0001989 | 1827 | GTEx | DepMap | Descartes | 0.27 | 0.72 |
KCTD12 | 0.0000856 | 3009 | GTEx | DepMap | Descartes | 0.55 | 48.69 |
ERBB4 | 0.0000640 | 3436 | GTEx | DepMap | Descartes | 0.01 | 0.00 |
SLC35F1 | 0.0000287 | 4450 | GTEx | DepMap | Descartes | 0.11 | 0.15 |
TRPM3 | 0.0000285 | 4456 | GTEx | DepMap | Descartes | 0.01 | 0.00 |
HMGA2 | 0.0000145 | 5087 | GTEx | DepMap | Descartes | 0.02 | 0.08 |
DST | -0.0000041 | 7348 | GTEx | DepMap | Descartes | 2.51 | 3.19 |
EGFLAM | -0.0000050 | 7723 | GTEx | DepMap | Descartes | 0.07 | 0.34 |
IL1RAPL2 | -0.0000080 | 8706 | GTEx | DepMap | Descartes | 0.00 | 0.00 |
MPZ | -0.0000239 | 12041 | GTEx | DepMap | Descartes | 0.00 | 0.00 |
IL1RAPL1 | -0.0000256 | 12309 | GTEx | DepMap | Descartes | 0.01 | 0.00 |
SOX10 | -0.0000282 | 12664 | GTEx | DepMap | Descartes | 0.24 | 12.59 |
LRRTM4 | -0.0000312 | 13047 | GTEx | DepMap | Descartes | 0.00 | 0.00 |
NRXN3 | -0.0000343 | 13458 | GTEx | DepMap | Descartes | 0.01 | 0.00 |
GRIK3 | -0.0000398 | 14065 | GTEx | DepMap | Descartes | 0.02 | 0.06 |
COL5A2 | -0.0000406 | 14147 | GTEx | DepMap | Descartes | 2.05 | 5.99 |
FIGN | -0.0000421 | 14300 | GTEx | DepMap | Descartes | 0.11 | 0.53 |
CDH19 | -0.0000428 | 14378 | GTEx | DepMap | Descartes | 0.11 | 0.68 |
SOX5 | -0.0000486 | 14995 | GTEx | DepMap | Descartes | 0.11 | 0.07 |
COL25A1 | -0.0000547 | 15558 | GTEx | DepMap | Descartes | 0.03 | 0.03 |
Descartes Megakaryocytes markers
Top 50 marker genes of Megakaryocytes cells in the Decartes fetal adrenal single cell map (https://atlas.brotmanbaty.org/bbi/human-gene-expression-during-development/cell/megakaryocytes/in/adrenal)
Wilcoxon ranksum test P-value for gene set overrepresentation: 4.34e-02
Mean rank of genes in gene set: 8997.39
Median rank of genes in gene set: 6688
Rank on gene expression program of top 30 genes in gene set:
Genes | Weight | Rank | GTEx | DepMap | Descartes | Mean.Counts | Mean.TPM |
---|---|---|---|---|---|---|---|
TPM4 | 0.0016378 | 228 | GTEx | DepMap | Descartes | 5.36 | 100.85 |
MYH9 | 0.0013949 | 287 | GTEx | DepMap | Descartes | 4.13 | 29.12 |
ITGB3 | 0.0011992 | 343 | GTEx | DepMap | Descartes | 0.41 | 4.36 |
FLI1 | 0.0009794 | 423 | GTEx | DepMap | Descartes | 0.86 | 4.90 |
TMSB4X | 0.0009371 | 454 | GTEx | DepMap | Descartes | 162.35 | 28010.77 |
TGFB1 | 0.0009205 | 464 | GTEx | DepMap | Descartes | 1.88 | 48.74 |
LIMS1 | 0.0008490 | 509 | GTEx | DepMap | Descartes | 2.11 | 9.77 |
TLN1 | 0.0005865 | 735 | GTEx | DepMap | Descartes | 2.31 | 39.17 |
VCL | 0.0004904 | 893 | GTEx | DepMap | Descartes | 1.12 | 5.00 |
RAP1B | 0.0004868 | 897 | GTEx | DepMap | Descartes | 2.38 | 32.27 |
CD9 | 0.0004340 | 1002 | GTEx | DepMap | Descartes | 7.68 | 95.16 |
FLNA | 0.0004047 | 1051 | GTEx | DepMap | Descartes | 2.29 | 39.35 |
THBS1 | 0.0002933 | 1361 | GTEx | DepMap | Descartes | 1.93 | 80.00 |
ITGA2B | 0.0001793 | 1953 | GTEx | DepMap | Descartes | 0.14 | 6.50 |
ACTN1 | 0.0001690 | 2023 | GTEx | DepMap | Descartes | 1.44 | 6.71 |
ZYX | 0.0001514 | 2176 | GTEx | DepMap | Descartes | 1.10 | 43.35 |
ARHGAP6 | 0.0000689 | 3326 | GTEx | DepMap | Descartes | 0.14 | 0.12 |
GP9 | 0.0000665 | 3382 | GTEx | DepMap | Descartes | 0.10 | 49.16 |
PPBP | 0.0000559 | 3620 | GTEx | DepMap | Descartes | 0.09 | 46.77 |
STOM | 0.0000527 | 3685 | GTEx | DepMap | Descartes | 0.45 | 8.17 |
GP1BA | 0.0000040 | 5723 | GTEx | DepMap | Descartes | 0.00 | 0.00 |
ACTB | 0.0000027 | 5854 | GTEx | DepMap | Descartes | 89.97 | 8533.87 |
PF4 | 0.0000009 | 6063 | GTEx | DepMap | Descartes | 3.00 | 1211.71 |
MYLK | -0.0000018 | 6505 | GTEx | DepMap | Descartes | 0.89 | 1.45 |
TUBB1 | -0.0000024 | 6688 | GTEx | DepMap | Descartes | 0.00 | 0.00 |
INPP4B | -0.0000061 | 8125 | GTEx | DepMap | Descartes | 0.20 | 0.15 |
SPN | -0.0000065 | 8227 | GTEx | DepMap | Descartes | 0.01 | 0.18 |
PSTPIP2 | -0.0000130 | 10063 | GTEx | DepMap | Descartes | 0.03 | 0.03 |
UBASH3B | -0.0000161 | 10740 | GTEx | DepMap | Descartes | 0.12 | 0.46 |
SLC24A3 | -0.0000318 | 13134 | GTEx | DepMap | Descartes | 0.00 | 0.00 |
Descartes Lyphoid markers
Top 50 marker genes of Lyphoid cells in the Decartes fetal adrenal single cell map (https://atlas.brotmanbaty.org/bbi/human-gene-expression-during-development/cell/lymphoid/in/adrenal)
Wilcoxon ranksum test P-value for gene set overrepresentation: 4.60e-01
Mean rank of genes in gene set: 10383.05
Median rank of genes in gene set: 14392
Rank on gene expression program of top 30 genes in gene set:
Genes | Weight | Rank | GTEx | DepMap | Descartes | Mean.Counts | Mean.TPM |
---|---|---|---|---|---|---|---|
MSN | 0.0015144 | 259 | GTEx | DepMap | Descartes | 5.36 | 39.37 |
ETS1 | 0.0012027 | 339 | GTEx | DepMap | Descartes | 2.99 | 16.30 |
ITPKB | 0.0011580 | 355 | GTEx | DepMap | Descartes | 0.96 | 6.76 |
PRKCH | 0.0009604 | 442 | GTEx | DepMap | Descartes | 0.54 | 1.91 |
FYN | 0.0007384 | 585 | GTEx | DepMap | Descartes | 1.30 | 3.91 |
ABLIM1 | 0.0006198 | 694 | GTEx | DepMap | Descartes | 0.89 | 1.97 |
B2M | 0.0004843 | 901 | GTEx | DepMap | Descartes | 7.05 | 656.62 |
CCND3 | 0.0003858 | 1090 | GTEx | DepMap | Descartes | 0.68 | 3.86 |
SP100 | 0.0002465 | 1568 | GTEx | DepMap | Descartes | 0.70 | 7.83 |
WIPF1 | 0.0002276 | 1683 | GTEx | DepMap | Descartes | 0.39 | 2.10 |
BCL2 | 0.0001994 | 1823 | GTEx | DepMap | Descartes | 0.32 | 1.15 |
RCSD1 | 0.0001861 | 1910 | GTEx | DepMap | Descartes | 0.17 | 1.63 |
LCP1 | 0.0001629 | 2065 | GTEx | DepMap | Descartes | 0.80 | 4.63 |
ARID5B | 0.0001515 | 2174 | GTEx | DepMap | Descartes | 0.41 | 1.01 |
PITPNC1 | 0.0001368 | 2325 | GTEx | DepMap | Descartes | 0.55 | 1.54 |
MBNL1 | 0.0000762 | 3185 | GTEx | DepMap | Descartes | 1.73 | 5.55 |
GNG2 | 0.0000637 | 3446 | GTEx | DepMap | Descartes | 1.18 | 4.94 |
ARHGDIB | 0.0000152 | 5051 | GTEx | DepMap | Descartes | 0.89 | 20.04 |
FOXP1 | 0.0000017 | 5944 | GTEx | DepMap | Descartes | 1.15 | 1.18 |
SKAP1 | -0.0000342 | 13442 | GTEx | DepMap | Descartes | 0.01 | 0.01 |
SAMD3 | -0.0000358 | 13644 | GTEx | DepMap | Descartes | 0.00 | 0.00 |
EVL | -0.0000413 | 14221 | GTEx | DepMap | Descartes | 0.93 | 2.65 |
PLEKHA2 | -0.0000445 | 14563 | GTEx | DepMap | Descartes | 0.08 | 0.42 |
CCL5 | -0.0000468 | 14805 | GTEx | DepMap | Descartes | 0.01 | 1.52 |
BACH2 | -0.0000491 | 15049 | GTEx | DepMap | Descartes | 0.09 | 0.11 |
SCML4 | -0.0000492 | 15057 | GTEx | DepMap | Descartes | 0.01 | 0.02 |
PDE3B | -0.0000507 | 15226 | GTEx | DepMap | Descartes | 0.16 | 0.73 |
NKG7 | -0.0000586 | 15900 | GTEx | DepMap | Descartes | 0.00 | 0.00 |
IKZF1 | -0.0000643 | 16365 | GTEx | DepMap | Descartes | 0.01 | 0.01 |
RAP1GAP2 | -0.0000659 | 16483 | GTEx | DepMap | Descartes | 0.06 | 0.11 |
Below shows the ranks on this GEP for immune marker gene lists curated by CellTypist (https://www.celltypist.org/encyclopedia).
High ranks indicate this gene is a driver of this GEP.
These curated gene list are ranked by P-value (on this GEP) of their constituent genes.
The Mean Count column shows the mean read count in cells scoring highly (H > 50) on this gene expression program.
Genes | Weight | Rank | GTEx | DepMap | Decartes | Mean.Counts | Mean.TPM |
---|---|---|---|---|---|---|---|
GPIHBP1 | 0.0060371 | 6 | GTEx | DepMap | Descartes | 8.36 | 1844.23 |
HOXB5 | 0.0012444 | 327 | GTEx | DepMap | Descartes | 0.11 | 37.26 |
CH25H | 0.0012081 | 337 | GTEx | DepMap | Descartes | 0.13 | 34.49 |
SOCS3 | 0.0002822 | 1413 | GTEx | DepMap | Descartes | 1.01 | 105.78 |
KLRB1 | -0.0000058 | 8004 | GTEx | DepMap | Descartes | 0.00 | 0.00 |
Endothelial cells: Endothelial cells (curated markers)
single-layered lining cells that constitute the interior vasculature:
Wilcoxon ranksum test P-value for gene set overrepresentation: 1.40e-03
Mean rank of genes in gene set: 37.67
Rank on gene expression program of genes in gene set:
Genes | Weight | Rank | GTEx | DepMap | Decartes | Mean.Counts | Mean.TPM |
---|---|---|---|---|---|---|---|
PLVAP | 0.0056557 | 10 | GTEx | DepMap | Descartes | 10.60 | 487.95 |
SPARCL1 | 0.0045098 | 37 | GTEx | DepMap | Descartes | 10.78 | 186.14 |
CLDN5 | 0.0033912 | 66 | GTEx | DepMap | Descartes | 2.80 | 990.95 |
ETP: ETP (curated markers)
early thymic progenitors migrated to the thymus before turning into double-negative thymocytes or other cells:
Wilcoxon ranksum test P-value for gene set overrepresentation: 2.41e-02
Mean rank of genes in gene set: 3580.33
Rank on gene expression program of genes in gene set:
Genes | Weight | Rank | GTEx | DepMap | Decartes | Mean.Counts | Mean.TPM |
---|---|---|---|---|---|---|---|
CD34 | 0.0050341 | 24 | GTEx | DepMap | Descartes | 3.95 | 111.65 |
ACY3 | 0.0003268 | 1239 | GTEx | DepMap | Descartes | 0.05 | 8.38 |
SPINK2 | -0.0000107 | 9478 | GTEx | DepMap | Descartes | 0.00 | 0.00 |