Program description and justification of annotation: 31.
Submit a comment on this gene expression program’s interpretation: CLICK
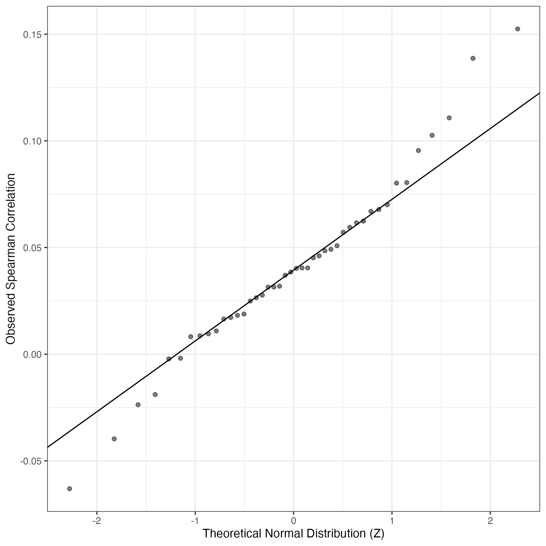
QQ-plot of gene loadings, averaged over both independent splits of the data
This plot highlights the relative contribution of each gene to the GEP
Top genes driving this program.
Note: Decartes website is buggy, try refreshing. Also, Decartes fetal adrenal data have been collected at specific time points (89-122 days), all possible cell types of interest may not be represented, do not overinterpret.
The Mean Count column shows the mean read count in cells scoring highly (H > 50) on this gene expression program.
Gene | Loading | Gene.Name | GTEx | DepMap | Descartes | Mean.Counts | Mean.Tpm | |
---|---|---|---|---|---|---|---|---|
1 | DMBT1 | 0.0167763 | deleted in malignant brain tumors 1 | GTEx | DepMap | Descartes | 31.40 | 53.42 |
2 | SULT1C2 | 0.0126559 | sulfotransferase family 1C member 2 | GTEx | DepMap | Descartes | 8.75 | 76.53 |
3 | TSPAN1 | 0.0112553 | tetraspanin 1 | GTEx | DepMap | Descartes | 9.26 | 215.63 |
4 | ACSM3 | 0.0109054 | acyl-CoA synthetase medium chain family member 3 | GTEx | DepMap | Descartes | 2.10 | 11.75 |
5 | TSPAN8 | 0.0106881 | tetraspanin 8 | GTEx | DepMap | Descartes | 34.90 | 139.96 |
6 | SULT1D1 | 0.0101099 | NA | GTEx | DepMap | Descartes | 6.55 | 64.43 |
7 | GSTA3 | 0.0098404 | glutathione S-transferase alpha 3 | GTEx | DepMap | Descartes | 6.99 | 39.13 |
8 | KRT18 | 0.0096720 | keratin 18 | GTEx | DepMap | Descartes | 23.76 | 901.21 |
9 | SH2D4A | 0.0095994 | SH2 domain containing 4A | GTEx | DepMap | Descartes | 5.18 | 10.08 |
10 | SMIM6 | 0.0095835 | small integral membrane protein 6 | GTEx | DepMap | Descartes | 14.82 | 1027.48 |
11 | REG1 | 0.0093871 | NA | GTEx | DepMap | Descartes | 9.30 | 199.31 |
12 | GSTM3 | 0.0093145 | glutathione S-transferase mu 3 | GTEx | DepMap | Descartes | 0.65 | 25.44 |
13 | CAR2 | 0.0092736 | NA | GTEx | DepMap | Descartes | 58.58 | 586.61 |
14 | SULT1B1 | 0.0090989 | sulfotransferase family 1B member 1 | GTEx | DepMap | Descartes | 4.72 | 27.14 |
15 | GCNT3 | 0.0088525 | glucosaminyl (N-acetyl) transferase 3, mucin type | GTEx | DepMap | Descartes | 10.85 | 242.74 |
16 | LGALS4 | 0.0086891 | galectin 4 | GTEx | DepMap | Descartes | 41.53 | 721.01 |
17 | SFTPD | 0.0085977 | surfactant protein D | GTEx | DepMap | Descartes | 0.34 | 3.46 |
18 | TMEM213 | 0.0085626 | transmembrane protein 213 | GTEx | DepMap | Descartes | 1.12 | 17.84 |
19 | RP23-378D16.5 | 0.0082091 | NA | GTEx | DepMap | Descartes | 0.02 | NA |
20 | PRSS32 | 0.0079542 | NA | GTEx | DepMap | Descartes | 2.05 | 18.44 |
21 | CLU | 0.0079286 | clusterin | GTEx | DepMap | Descartes | 79.31 | 894.55 |
22 | CLDN18 | 0.0079084 | claudin 18 | GTEx | DepMap | Descartes | 24.14 | 126.06 |
23 | VSIG1 | 0.0078970 | V-set and immunoglobulin domain containing 1 | GTEx | DepMap | Descartes | 8.42 | 40.28 |
24 | PLA2G10 | 0.0078762 | phospholipase A2 group X | GTEx | DepMap | Descartes | 5.99 | 50.56 |
25 | VIL1 | 0.0078037 | villin 1 | GTEx | DepMap | Descartes | 2.17 | 11.55 |
26 | GSTA4 | 0.0077142 | glutathione S-transferase alpha 4 | GTEx | DepMap | Descartes | 112.42 | 520.61 |
27 | FOXA1 | 0.0074281 | forkhead box A1 | GTEx | DepMap | Descartes | 2.49 | 59.89 |
28 | TMC5 | 0.0074191 | transmembrane channel like 5 | GTEx | DepMap | Descartes | 0.84 | 1.48 |
29 | KRT8 | 0.0073763 | keratin 8 | GTEx | DepMap | Descartes | 103.92 | 1957.26 |
30 | LRRC26 | 0.0073186 | leucine rich repeat containing 26 | GTEx | DepMap | Descartes | 2.33 | 244.55 |
31 | GIPC2 | 0.0072857 | GIPC PDZ domain containing family member 2 | GTEx | DepMap | Descartes | 6.48 | 12.22 |
32 | CXCL17 | 0.0072559 | C-X-C motif chemokine ligand 17 | GTEx | DepMap | Descartes | 3.42 | 35.01 |
33 | MUC4 | 0.0070751 | mucin 4, cell surface associated | GTEx | DepMap | Descartes | 1.58 | 4.44 |
34 | AKR1C14 | 0.0070508 | NA | GTEx | DepMap | Descartes | 1.58 | 6.56 |
35 | OCIAD2 | 0.0069697 | OCIA domain containing 2 | GTEx | DepMap | Descartes | 7.50 | 52.62 |
36 | TFF2 | 0.0069544 | trefoil factor 2 | GTEx | DepMap | Descartes | 1413.34 | 53698.18 |
37 | PLLP | 0.0069261 | plasmolipin | GTEx | DepMap | Descartes | 4.91 | 31.58 |
38 | SPINK4 | 0.0068610 | serine peptidase inhibitor Kazal type 4 | GTEx | DepMap | Descartes | 23.19 | 285.47 |
39 | TMEM54 | 0.0068142 | transmembrane protein 54 | GTEx | DepMap | Descartes | 3.74 | 75.32 |
40 | DNAJC22 | 0.0066812 | DnaJ heat shock protein family (Hsp40) member C22 | GTEx | DepMap | Descartes | 0.36 | 4.61 |
41 | FXYD3 | 0.0065367 | FXYD domain containing ion transport regulator 3 | GTEx | DepMap | Descartes | 53.34 | 775.29 |
42 | HNF4A | 0.0065171 | hepatocyte nuclear factor 4 alpha | GTEx | DepMap | Descartes | 1.27 | 2.95 |
43 | FUT2 | 0.0065086 | fucosyltransferase 2 | GTEx | DepMap | Descartes | 2.62 | 25.66 |
44 | GM3336 | 0.0064497 | NA | GTEx | DepMap | Descartes | 6.07 | 209.56 |
45 | EPCAM | 0.0063952 | epithelial cell adhesion molecule | GTEx | DepMap | Descartes | 21.69 | 186.43 |
46 | PDX1 | 0.0063727 | pancreatic and duodenal homeobox 1 | GTEx | DepMap | Descartes | 0.64 | 16.28 |
47 | GATA4 | 0.0063288 | GATA binding protein 4 | GTEx | DepMap | Descartes | 1.88 | 3.79 |
48 | CBR3 | 0.0062786 | carbonyl reductase 3 | GTEx | DepMap | Descartes | 14.31 | 249.20 |
49 | TMPRSS2 | 0.0061797 | transmembrane serine protease 2 | GTEx | DepMap | Descartes | 2.56 | 9.36 |
50 | AKR1C19 | 0.0061776 | NA | GTEx | DepMap | Descartes | 0.93 | 4.81 |
UMAP plots showing activity of gene expression program identified in community:31. Neuroblastoma EMT III (NB837:NB847)
CNV Data procured from inferCNV.
Outer tracks are putative CNV regions (gains = red, losses = blue) for each patient
Inner track is expression data representing:
The top cells expressing this GEP (purple)
Random cells (n =50) from the reference set used in inferCNV (orange)
Gene set Enrichments for this program, caculated from top 50 genes
mSigDB Cell Types Gene Set:
P-value | OR | Lower 95% CI | FDR | FWER | Genes Found | Gene Set Size | |
---|---|---|---|---|---|---|---|
DURANTE_ADULT_OLFACTORY_NEUROEPITHELIUM_SUSTENTACULAR_CELLS | 1.33e-09 | 69.25 | 22.90 | 1.28e-07 | 8.94e-07 | 6TSPAN1, TSPAN8, KRT18, TMEM213, KRT8, CXCL17 |
47 |
BUSSLINGER_GASTRIC_METALLOTHIONEIN_CELLS | 1.82e-12 | 50.34 | 20.90 | 4.07e-10 | 1.22e-09 | 9SULT1C2, TSPAN8, CLDN18, VSIG1, KRT8, TFF2, PLLP, FXYD3, TMPRSS2 |
100 |
BUSSLINGER_GASTRIC_IMMATURE_PIT_CELLS | 3.25e-15 | 43.08 | 20.10 | 1.09e-12 | 2.18e-12 | 12SULT1C2, TSPAN1, TSPAN8, KRT18, LGALS4, CLDN18, VSIG1, PLA2G10, KRT8, TFF2, TMEM54, FXYD3 |
165 |
DESCARTES_FETAL_EYE_CORNEAL_AND_CONJUNCTIVAL_EPITHELIAL_CELLS | 3.03e-16 | 35.48 | 17.43 | 2.03e-13 | 2.03e-13 | 14TSPAN1, ACSM3, KRT18, SH2D4A, GCNT3, FOXA1, TMC5, KRT8, CXCL17, MUC4, TMEM54, FXYD3, EPCAM, TMPRSS2 |
243 |
BUSSLINGER_GASTRIC_MATURE_PIT_CELLS | 3.78e-12 | 27.65 | 12.60 | 6.34e-10 | 2.53e-09 | 11SULT1C2, TSPAN1, TSPAN8, LGALS4, CLDN18, VSIG1, PLA2G10, KRT8, TFF2, TMEM54, FXYD3 |
224 |
AIZARANI_LIVER_C24_EPCAM_POS_BILE_DUCT_CELLS_3 | 4.56e-10 | 26.04 | 10.96 | 5.10e-08 | 3.06e-07 | 9TSPAN8, KRT18, GCNT3, LGALS4, CLU, TMC5, KRT8, FXYD3, EPCAM |
185 |
BUSSLINGER_GASTRIC_PPP1R1B_POSITIVE_CELLS | 4.09e-07 | 24.75 | 8.46 | 3.43e-05 | 2.75e-04 | 6SULT1C2, TSPAN8, CLU, CXCL17, EPCAM, TMPRSS2 |
121 |
DURANTE_ADULT_OLFACTORY_NEUROEPITHELIUM_RESPIRATORY_HORIZONTAL_BASAL_CELLS | 6.60e-05 | 44.38 | 8.38 | 2.01e-03 | 4.43e-02 | 3KRT18, KRT8, FXYD3 |
33 |
DURANTE_ADULT_OLFACTORY_NEUROEPITHELIUM_BOWMANS_GLAND | 6.60e-05 | 44.38 | 8.38 | 2.01e-03 | 4.43e-02 | 3DMBT1, LRRC26, CXCL17 |
33 |
BUSSLINGER_GASTRIC_ISTHMUS_CELLS | 2.87e-11 | 16.51 | 7.99 | 3.85e-09 | 1.93e-08 | 13SULT1C2, TSPAN1, TSPAN8, KRT18, LGALS4, CLDN18, VSIG1, PLA2G10, KRT8, PLLP, TMEM54, FXYD3, EPCAM |
458 |
MENON_FETAL_KIDNEY_6_COLLECTING_DUCT_CELLS | 2.89e-06 | 26.09 | 7.89 | 1.94e-04 | 1.94e-03 | 5KRT18, GSTM3, CLU, KRT8, EPCAM |
94 |
TRAVAGLINI_LUNG_SIGNALING_ALVEOLAR_EPITHELIAL_TYPE_2_CELL | 2.45e-05 | 27.11 | 6.89 | 9.12e-04 | 1.64e-02 | 4SFTPD, CLDN18, GSTA4, CXCL17 |
71 |
TRAVAGLINI_LUNG_MUCOUS_CELL | 1.16e-05 | 19.34 | 5.89 | 4.86e-04 | 7.78e-03 | 5TSPAN8, CLU, TMC5, MUC4, CBR3 |
125 |
DESCARTES_FETAL_KIDNEY_URETERIC_BUD_CELLS | 4.61e-07 | 13.63 | 5.48 | 3.44e-05 | 3.10e-04 | 8TSPAN1, KRT18, SMIM6, FOXA1, KRT8, CXCL17, FXYD3, TMPRSS2 |
300 |
AIZARANI_LIVER_C4_EPCAM_POS_BILE_DUCT_CELLS_1 | 5.74e-06 | 15.40 | 5.30 | 3.21e-04 | 3.85e-03 | 6KRT18, LGALS4, CLU, KRT8, EPCAM, TMPRSS2 |
191 |
DURANTE_ADULT_OLFACTORY_NEUROEPITHELIUM_OLFACTORY_MICROVILLAR_CELLS | 2.73e-04 | 26.67 | 5.14 | 6.12e-03 | 1.83e-01 | 3KRT18, KRT8, EPCAM |
53 |
TRAVAGLINI_LUNG_SEROUS_CELL | 7.65e-05 | 19.97 | 5.11 | 2.14e-03 | 5.14e-02 | 4DMBT1, GCNT3, LRRC26, CXCL17 |
95 |
TRAVAGLINI_LUNG_GOBLET_CELL | 2.61e-05 | 16.23 | 4.96 | 9.21e-04 | 1.75e-02 | 5TSPAN8, LRRC26, CXCL17, MUC4, FUT2 |
148 |
DESCARTES_FETAL_LUNG_SQUAMOUS_EPITHELIAL_CELLS | 8.81e-06 | 14.25 | 4.91 | 4.22e-04 | 5.91e-03 | 6SH2D4A, GCNT3, CXCL17, MUC4, TMEM54, FUT2 |
206 |
DESCARTES_FETAL_INTESTINE_INTESTINAL_EPITHELIAL_CELLS | 3.61e-06 | 12.65 | 4.76 | 2.20e-04 | 2.42e-03 | 7DMBT1, SULT1C2, TSPAN8, SULT1B1, TMC5, GIPC2, TMPRSS2 |
276 |
Dowload full table
mSigDB Hallmark Gene Sets:
P-value | OR | Lower 95% CI | FDR | FWER | Genes Found | Gene Set Size | |
---|---|---|---|---|---|---|---|
HALLMARK_PROTEIN_SECRETION | 2.19e-02 | 9.26 | 1.07 | 4.98e-01 | 1.00e+00 | 2TSPAN8, KRT18 |
96 |
HALLMARK_ANDROGEN_RESPONSE | 2.36e-02 | 8.88 | 1.03 | 4.98e-01 | 1.00e+00 | 2KRT8, TMPRSS2 |
100 |
HALLMARK_COAGULATION | 4.25e-02 | 6.40 | 0.75 | 4.98e-01 | 1.00e+00 | 2CLU, HNF4A |
138 |
HALLMARK_FATTY_ACID_METABOLISM | 5.40e-02 | 5.58 | 0.65 | 4.98e-01 | 1.00e+00 | 2ACSM3, CBR3 |
158 |
HALLMARK_APOPTOSIS | 5.58e-02 | 5.48 | 0.64 | 4.98e-01 | 1.00e+00 | 2KRT18, CLU |
161 |
HALLMARK_ESTROGEN_RESPONSE_EARLY | 8.11e-02 | 4.40 | 0.51 | 4.98e-01 | 1.00e+00 | 2KRT18, KRT8 |
200 |
HALLMARK_COMPLEMENT | 8.11e-02 | 4.40 | 0.51 | 4.98e-01 | 1.00e+00 | 2CLU, HNF4A |
200 |
HALLMARK_XENOBIOTIC_METABOLISM | 8.11e-02 | 4.40 | 0.51 | 4.98e-01 | 1.00e+00 | 2GSTA3, HNF4A |
200 |
HALLMARK_PANCREAS_BETA_CELLS | 9.11e-02 | 10.93 | 0.26 | 4.98e-01 | 1.00e+00 | 1PDX1 |
40 |
HALLMARK_APICAL_SURFACE | 9.97e-02 | 9.91 | 0.24 | 4.98e-01 | 1.00e+00 | 1GSTM3 |
44 |
HALLMARK_CHOLESTEROL_HOMEOSTASIS | 1.62e-01 | 5.84 | 0.14 | 7.35e-01 | 1.00e+00 | 1CLU |
74 |
HALLMARK_BILE_ACID_METABOLISM | 2.34e-01 | 3.84 | 0.09 | 9.76e-01 | 1.00e+00 | 1SULT1B1 |
112 |
HALLMARK_SPERMATOGENESIS | 2.75e-01 | 3.18 | 0.08 | 1.00e+00 | 1.00e+00 | 1GSTM3 |
135 |
HALLMARK_UV_RESPONSE_UP | 3.13e-01 | 2.72 | 0.07 | 1.00e+00 | 1.00e+00 | 1EPCAM |
158 |
HALLMARK_MYOGENESIS | 3.78e-01 | 2.14 | 0.05 | 1.00e+00 | 1.00e+00 | 1CLU |
200 |
HALLMARK_APICAL_JUNCTION | 3.78e-01 | 2.14 | 0.05 | 1.00e+00 | 1.00e+00 | 1CLDN18 |
200 |
HALLMARK_KRAS_SIGNALING_UP | 3.78e-01 | 2.14 | 0.05 | 1.00e+00 | 1.00e+00 | 1TSPAN1 |
200 |
HALLMARK_KRAS_SIGNALING_DN | 3.78e-01 | 2.14 | 0.05 | 1.00e+00 | 1.00e+00 | 1TFF2 |
200 |
HALLMARK_TNFA_SIGNALING_VIA_NFKB | 1.00e+00 | 0.00 | 0.00 | 1.00e+00 | 1.00e+00 | 0 |
200 |
HALLMARK_HYPOXIA | 1.00e+00 | 0.00 | 0.00 | 1.00e+00 | 1.00e+00 | 0 |
200 |
Dowload full table
KEGG Pathways:
P-value | OR | Lower 95% CI | FDR | FWER | Genes Found | Gene Set Size | |
---|---|---|---|---|---|---|---|
KEGG_GLUTATHIONE_METABOLISM | 2.30e-04 | 28.36 | 5.46 | 4.17e-02 | 4.28e-02 | 3GSTA3, GSTM3, GSTA4 |
50 |
KEGG_MATURITY_ONSET_DIABETES_OF_THE_YOUNG | 1.61e-03 | 37.81 | 4.21 | 7.50e-02 | 3.00e-01 | 2HNF4A, PDX1 |
25 |
KEGG_METABOLISM_OF_XENOBIOTICS_BY_CYTOCHROME_P450 | 6.20e-04 | 19.89 | 3.87 | 4.17e-02 | 1.15e-01 | 3GSTA3, GSTM3, GSTA4 |
70 |
KEGG_DRUG_METABOLISM_CYTOCHROME_P450 | 6.73e-04 | 19.33 | 3.76 | 4.17e-02 | 1.25e-01 | 3GSTA3, GSTM3, GSTA4 |
72 |
KEGG_ARACHIDONIC_ACID_METABOLISM | 8.43e-03 | 15.54 | 1.79 | 3.14e-01 | 1.00e+00 | 2PLA2G10, CBR3 |
58 |
KEGG_GLYCOSPHINGOLIPID_BIOSYNTHESIS_GLOBO_SERIES | 3.29e-02 | 32.78 | 0.76 | 1.00e+00 | 1.00e+00 | 1FUT2 |
14 |
KEGG_ALPHA_LINOLENIC_ACID_METABOLISM | 4.44e-02 | 23.68 | 0.56 | 1.00e+00 | 1.00e+00 | 1PLA2G10 |
19 |
KEGG_GLYCOSPHINGOLIPID_BIOSYNTHESIS_LACTO_AND_NEOLACTO_SERIES | 6.02e-02 | 17.06 | 0.41 | 1.00e+00 | 1.00e+00 | 1FUT2 |
26 |
KEGG_LINOLEIC_ACID_METABOLISM | 6.69e-02 | 15.22 | 0.37 | 1.00e+00 | 1.00e+00 | 1PLA2G10 |
29 |
KEGG_O_GLYCAN_BIOSYNTHESIS | 6.91e-02 | 14.70 | 0.35 | 1.00e+00 | 1.00e+00 | 1GCNT3 |
30 |
KEGG_ETHER_LIPID_METABOLISM | 7.58e-02 | 13.33 | 0.32 | 1.00e+00 | 1.00e+00 | 1PLA2G10 |
33 |
KEGG_BUTANOATE_METABOLISM | 7.80e-02 | 12.92 | 0.31 | 1.00e+00 | 1.00e+00 | 1ACSM3 |
34 |
KEGG_TYPE_II_DIABETES_MELLITUS | 1.06e-01 | 9.27 | 0.23 | 1.00e+00 | 1.00e+00 | 1PDX1 |
47 |
KEGG_PATHOGENIC_ESCHERICHIA_COLI_INFECTION | 1.25e-01 | 7.75 | 0.19 | 1.00e+00 | 1.00e+00 | 1KRT18 |
56 |
KEGG_LONG_TERM_DEPRESSION | 1.54e-01 | 6.18 | 0.15 | 1.00e+00 | 1.00e+00 | 1PLA2G10 |
70 |
KEGG_VEGF_SIGNALING_PATHWAY | 1.66e-01 | 5.69 | 0.14 | 1.00e+00 | 1.00e+00 | 1PLA2G10 |
76 |
KEGG_GLYCEROPHOSPHOLIPID_METABOLISM | 1.68e-01 | 5.61 | 0.14 | 1.00e+00 | 1.00e+00 | 1PLA2G10 |
77 |
KEGG_FC_EPSILON_RI_SIGNALING_PATHWAY | 1.72e-01 | 5.47 | 0.13 | 1.00e+00 | 1.00e+00 | 1PLA2G10 |
79 |
KEGG_GNRH_SIGNALING_PATHWAY | 2.14e-01 | 4.26 | 0.10 | 1.00e+00 | 1.00e+00 | 1PLA2G10 |
101 |
KEGG_VASCULAR_SMOOTH_MUSCLE_CONTRACTION | 2.40e-01 | 3.74 | 0.09 | 1.00e+00 | 1.00e+00 | 1PLA2G10 |
115 |
Dowload full table
CHR Positional Gene Sets:
P-value | OR | Lower 95% CI | FDR | FWER | Genes Found | Gene Set Size | |
---|---|---|---|---|---|---|---|
chr8p21 | 3.71e-02 | 6.91 | 0.80 | 1.00e+00 | 1.00e+00 | 2SH2D4A, CLU |
128 |
chr21q22 | 4.99e-02 | 3.81 | 0.76 | 1.00e+00 | 1.00e+00 | 3TFF2, CBR3, TMPRSS2 |
353 |
chr12q13 | 6.98e-02 | 3.30 | 0.65 | 1.00e+00 | 1.00e+00 | 3KRT18, KRT8, DNAJC22 |
407 |
chr16p12 | 5.76e-02 | 5.38 | 0.63 | 1.00e+00 | 1.00e+00 | 2ACSM3, TMC5 |
164 |
chr4p11 | 4.44e-02 | 23.68 | 0.56 | 1.00e+00 | 1.00e+00 | 1OCIAD2 |
19 |
chr19q13 | 3.36e-01 | 1.57 | 0.41 | 1.00e+00 | 1.00e+00 | 4LGALS4, CXCL17, FXYD3, FUT2 |
1165 |
chr16q13 | 9.11e-02 | 10.93 | 0.26 | 1.00e+00 | 1.00e+00 | 1PLLP |
40 |
chr2q12 | 1.72e-01 | 5.47 | 0.13 | 1.00e+00 | 1.00e+00 | 1SULT1C2 |
79 |
chr2p21 | 1.74e-01 | 5.40 | 0.13 | 1.00e+00 | 1.00e+00 | 1EPCAM |
80 |
chr14q21 | 1.95e-01 | 4.74 | 0.12 | 1.00e+00 | 1.00e+00 | 1FOXA1 |
91 |
chr3q22 | 2.43e-01 | 3.68 | 0.09 | 1.00e+00 | 1.00e+00 | 1CLDN18 |
117 |
chr3q29 | 2.52e-01 | 3.52 | 0.09 | 1.00e+00 | 1.00e+00 | 1MUC4 |
122 |
chr15q22 | 2.56e-01 | 3.47 | 0.09 | 1.00e+00 | 1.00e+00 | 1GCNT3 |
124 |
chr2q35 | 2.59e-01 | 3.41 | 0.08 | 1.00e+00 | 1.00e+00 | 1VIL1 |
126 |
chr12q21 | 2.63e-01 | 3.36 | 0.08 | 1.00e+00 | 1.00e+00 | 1TSPAN8 |
128 |
chr1p35 | 2.66e-01 | 3.31 | 0.08 | 1.00e+00 | 1.00e+00 | 1TMEM54 |
130 |
chrXq22 | 3.31e-01 | 2.54 | 0.06 | 1.00e+00 | 1.00e+00 | 1VSIG1 |
169 |
chr9p13 | 3.33e-01 | 2.52 | 0.06 | 1.00e+00 | 1.00e+00 | 1SPINK4 |
170 |
chr7q34 | 3.48e-01 | 2.38 | 0.06 | 1.00e+00 | 1.00e+00 | 1TMEM213 |
180 |
chr10q26 | 3.78e-01 | 2.14 | 0.05 | 1.00e+00 | 1.00e+00 | 1DMBT1 |
200 |
Dowload full table
Transcription Factor Targets:
P-value | OR | Lower 95% CI | FDR | FWER | Genes Found | Gene Set Size | |
---|---|---|---|---|---|---|---|
HNF4_Q6 | 4.34e-04 | 8.73 | 2.68 | 4.91e-01 | 4.91e-01 | 5FOXA1, GIPC2, DNAJC22, FUT2, GATA4 |
271 |
HNF4_01_B | 3.13e-03 | 7.18 | 1.86 | 1.00e+00 | 1.00e+00 | 4LGALS4, PLLP, DNAJC22, GATA4 |
257 |
AREB6_03 | 3.40e-03 | 7.02 | 1.82 | 1.00e+00 | 1.00e+00 | 4FOXA1, KRT8, HNF4A, EPCAM |
263 |
GR_Q6_01 | 4.29e-03 | 6.56 | 1.70 | 1.00e+00 | 1.00e+00 | 4TSPAN8, GCNT3, FOXA1, GIPC2 |
281 |
AREB6_04 | 2.18e-02 | 5.34 | 1.06 | 1.00e+00 | 1.00e+00 | 3FOXA1, TMC5, HNF4A |
253 |
AREB6_02 | 2.31e-02 | 5.21 | 1.03 | 1.00e+00 | 1.00e+00 | 3TSPAN8, FOXA1, HNF4A |
259 |
COUP_01 | 2.45e-02 | 5.09 | 1.01 | 1.00e+00 | 1.00e+00 | 3LGALS4, FOXA1, GATA4 |
265 |
HNF4_DR1_Q3 | 2.50e-02 | 5.05 | 1.00 | 1.00e+00 | 1.00e+00 | 3FOXA1, DNAJC22, GATA4 |
267 |
HNF4ALPHA_Q6 | 2.60e-02 | 4.98 | 0.98 | 1.00e+00 | 1.00e+00 | 3PLLP, DNAJC22, GATA4 |
271 |
HNF4_01 | 2.65e-02 | 4.94 | 0.98 | 1.00e+00 | 1.00e+00 | 3LGALS4, GIPC2, GATA4 |
273 |
TGTTTGY_HNF3_Q6 | 2.84e-02 | 3.13 | 0.97 | 1.00e+00 | 1.00e+00 | 5ACSM3, PLA2G10, TFF2, DNAJC22, HNF4A |
748 |
ZNF318_TARGET_GENES | 2.80e-02 | 3.70 | 0.96 | 1.00e+00 | 1.00e+00 | 4KRT18, FOXA1, KRT8, SPINK4 |
495 |
GATA1_05 | 2.92e-02 | 4.75 | 0.94 | 1.00e+00 | 1.00e+00 | 3VSIG1, FOXA1, GATA4 |
284 |
ZNF486_TARGET_GENES | 3.19e-02 | 4.58 | 0.91 | 1.00e+00 | 1.00e+00 | 3ACSM3, GSTA4, PLLP |
294 |
ZNF581_TARGET_GENES | 4.15e-02 | 4.12 | 0.82 | 1.00e+00 | 1.00e+00 | 3KRT18, GCNT3, KRT8 |
327 |
TERT_TARGET_GENES | 3.66e-02 | 6.96 | 0.81 | 1.00e+00 | 1.00e+00 | 2GSTA4, KRT8 |
127 |
DLX6_TARGET_GENES | 4.91e-02 | 3.07 | 0.80 | 1.00e+00 | 1.00e+00 | 4KRT8, TFF2, TMEM54, HNF4A |
596 |
FOXH1_TARGET_GENES | 5.90e-02 | 2.53 | 0.78 | 1.00e+00 | 1.00e+00 | 5SMIM6, LGALS4, CLDN18, OCIAD2, EPCAM |
924 |
CUX1_TARGET_GENES | 6.06e-02 | 2.85 | 0.74 | 1.00e+00 | 1.00e+00 | 4GCNT3, GSTA4, KRT8, HNF4A |
641 |
FREAC4_01 | 5.10e-02 | 5.77 | 0.67 | 1.00e+00 | 1.00e+00 | 2TSPAN8, CLDN18 |
153 |
Dowload full table
GO Biological Processes:
P-value | OR | Lower 95% CI | FDR | FWER | Genes Found | Gene Set Size | |
---|---|---|---|---|---|---|---|
GOBP_INDUCTION_OF_BACTERIAL_AGGLUTINATION | 5.55e-05 | 286.32 | 23.57 | 4.16e-02 | 4.16e-01 | 2DMBT1, SFTPD |
5 |
GOBP_TRANSDIFFERENTIATION | 1.55e-04 | 144.44 | 13.92 | 8.91e-02 | 1.00e+00 | 2PDX1, GATA4 |
8 |
GOBP_MAINTENANCE_OF_GASTROINTESTINAL_EPITHELIUM | 1.90e-05 | 69.91 | 12.85 | 2.37e-02 | 1.42e-01 | 3VSIG1, MUC4, TFF2 |
22 |
GOBP_GLUTATHIONE_DERIVATIVE_METABOLIC_PROCESS | 1.90e-05 | 69.91 | 12.85 | 2.37e-02 | 1.42e-01 | 3GSTA3, GSTM3, GSTA4 |
22 |
GOBP_EPITHELIAL_STRUCTURE_MAINTENANCE | 4.46e-05 | 51.17 | 9.60 | 3.70e-02 | 3.33e-01 | 3VSIG1, MUC4, TFF2 |
29 |
GOBP_RESPONSE_TO_XENOBIOTIC_STIMULUS | 6.52e-07 | 22.78 | 7.79 | 4.35e-03 | 4.88e-03 | 6GSTA3, GSTM3, SULT1B1, GSTA4, HNF4A, CBR3 |
131 |
GOBP_HEPATOCYTE_APOPTOTIC_PROCESS | 4.98e-04 | 72.33 | 7.67 | 1.86e-01 | 1.00e+00 | 2KRT18, KRT8 |
14 |
GOBP_DIGESTIVE_SYSTEM_PROCESS | 3.72e-06 | 24.70 | 7.48 | 9.29e-03 | 2.79e-02 | 5GCNT3, VSIG1, VIL1, MUC4, TFF2 |
99 |
GOBP_HEPATOCYTE_DIFFERENTIATION | 6.55e-04 | 62.06 | 6.67 | 2.33e-01 | 1.00e+00 | 2KRT18, HNF4A |
16 |
GOBP_SIGNAL_TRANSDUCTION_INVOLVED_IN_REGULATION_OF_GENE_EXPRESSION | 7.41e-04 | 57.94 | 6.26 | 2.52e-01 | 1.00e+00 | 2HNF4A, EPCAM |
17 |
GOBP_COLUMNAR_CUBOIDAL_EPITHELIAL_CELL_DIFFERENTIATION | 4.31e-05 | 23.30 | 5.94 | 3.70e-02 | 3.23e-01 | 4FOXA1, HNF4A, PDX1, GATA4 |
82 |
GOBP_GLANDULAR_EPITHELIAL_CELL_DIFFERENTIATION | 2.04e-04 | 29.62 | 5.69 | 1.09e-01 | 1.00e+00 | 3FOXA1, HNF4A, PDX1 |
48 |
GOBP_DIGESTION | 1.87e-05 | 17.45 | 5.32 | 2.37e-02 | 1.40e-01 | 5GCNT3, VSIG1, VIL1, MUC4, TFF2 |
138 |
GOBP_REGULATION_OF_CELL_CELL_ADHESION_MEDIATED_BY_CADHERIN | 1.14e-03 | 45.73 | 5.03 | 3.68e-01 | 1.00e+00 | 2FOXA1, EPCAM |
21 |
GOBP_ANTIBACTERIAL_HUMORAL_RESPONSE | 4.14e-04 | 22.99 | 4.45 | 1.72e-01 | 1.00e+00 | 3DMBT1, SFTPD, OCIAD2 |
61 |
GOBP_SULFATION | 1.49e-03 | 39.53 | 4.39 | 4.15e-01 | 1.00e+00 | 2SULT1C2, SULT1B1 |
24 |
GOBP_GLUTATHIONE_METABOLIC_PROCESS | 4.77e-04 | 21.86 | 4.24 | 1.86e-01 | 1.00e+00 | 3GSTA3, GSTM3, GSTA4 |
64 |
GOBP_3_PHOSPHOADENOSINE_5_PHOSPHOSULFATE_METABOLIC_PROCESS | 1.61e-03 | 37.81 | 4.21 | 4.31e-01 | 1.00e+00 | 2SULT1C2, SULT1B1 |
25 |
GOBP_STEM_CELL_DIFFERENTIATION | 2.66e-05 | 11.63 | 4.01 | 2.85e-02 | 1.99e-01 | 6KRT18, FOXA1, OCIAD2, EPCAM, PDX1, GATA4 |
251 |
GOBP_POSITIVE_REGULATION_OF_VASCULAR_ENDOTHELIAL_GROWTH_FACTOR_PRODUCTION | 2.02e-03 | 33.43 | 3.75 | 4.73e-01 | 1.00e+00 | 2CXCL17, GATA4 |
28 |
Dowload full table
Immunological Gene Sets:
P-value | OR | Lower 95% CI | FDR | FWER | Genes Found | Gene Set Size | |
---|---|---|---|---|---|---|---|
GSE20715_0H_VS_48H_OZONE_TLR4_KO_LUNG_DN | 7.45e-06 | 14.69 | 5.06 | 3.63e-02 | 3.63e-02 | 6KRT18, GCNT3, CLU, KRT8, CXCL17, EPCAM |
200 |
GSE28130_ACTIVATED_VS_INDUCEED_TREG_DN | 9.82e-05 | 12.16 | 3.72 | 1.05e-01 | 4.78e-01 | 5DMBT1, LGALS4, GSTA4, TFF2, TMPRSS2 |
196 |
GSE24634_NAIVE_CD4_TCELL_VS_DAY10_IL4_CONV_TREG_UP | 1.03e-04 | 12.03 | 3.69 | 1.05e-01 | 5.01e-01 | 5TSPAN1, ACSM3, KRT18, GCNT3, SPINK4 |
198 |
GSE20715_0H_VS_24H_OZONE_LUNG_DN | 1.08e-04 | 11.91 | 3.65 | 1.05e-01 | 5.25e-01 | 5GSTA3, KRT18, SFTPD, KRT8, CXCL17 |
200 |
GSE22443_NAIVE_VS_ACT_AND_IL2_TREATED_CD8_TCELL_UP | 1.08e-04 | 11.91 | 3.65 | 1.05e-01 | 5.25e-01 | 5DMBT1, CLU, FOXA1, GIPC2, TMPRSS2 |
200 |
GSE27786_CD8_TCELL_VS_ERYTHROBLAST_DN | 1.27e-03 | 9.27 | 2.40 | 6.89e-01 | 1.00e+00 | 4KRT8, MUC4, SPINK4, FUT2 |
200 |
GSE5542_IFNG_VS_IFNA_AND_IFNG_TREATED_EPITHELIAL_CELLS_24H_DN | 1.27e-03 | 9.27 | 2.40 | 6.89e-01 | 1.00e+00 | 4SULT1B1, SPINK4, CBR3, TMPRSS2 |
200 |
GSE22025_UNTREATED_VS_TGFB1_AND_PROGESTERONE_TREATED_CD4_TCELL_UP | 1.27e-03 | 9.27 | 2.40 | 6.89e-01 | 1.00e+00 | 4GSTM3, FOXA1, KRT8, EPCAM |
200 |
GSE41176_WT_VS_TAK1_KO_ANTI_IGM_STIM_BCELL_1H_DN | 1.27e-03 | 9.27 | 2.40 | 6.89e-01 | 1.00e+00 | 4TSPAN8, TMEM213, KRT8, PLLP |
200 |
GSE9946_IMMATURE_VS_MATURE_STIMULATORY_DC_UP | 4.21e-03 | 9.95 | 1.96 | 1.00e+00 | 1.00e+00 | 3TSPAN1, TMC5, KRT8 |
137 |
GSE37319_WT_VS_RC3H1_KO_CD44LOW_CD8_TCELL_DN | 4.38e-03 | 9.81 | 1.93 | 1.00e+00 | 1.00e+00 | 3KRT18, VIL1, DNAJC22 |
139 |
GSE40274_CTRL_VS_FOXP3_AND_GATA1_TRANSDUCED_ACTIVATED_CD4_TCELL_DN | 5.41e-03 | 9.07 | 1.79 | 1.00e+00 | 1.00e+00 | 3TSPAN8, SH2D4A, EPCAM |
150 |
GSE41867_LCMV_ARMSTRONG_VS_CLONE13_DAY15_EFFECTOR_CD8_TCELL_DN | 9.43e-03 | 7.37 | 1.45 | 1.00e+00 | 1.00e+00 | 3GSTM3, TMC5, PLLP |
184 |
GSE13485_DAY1_VS_DAY3_YF17D_VACCINE_PBMC_UP | 9.57e-03 | 7.33 | 1.45 | 1.00e+00 | 1.00e+00 | 3GSTA3, SH2D4A, PLA2G10 |
185 |
GSE21927_HEALTHY_VS_TUMOROUS_BALBC_MOUSE_MONOCYTE_DN | 9.99e-03 | 7.21 | 1.42 | 1.00e+00 | 1.00e+00 | 3SULT1B1, SFTPD, PLA2G10 |
188 |
GSE25087_TREG_VS_TCONV_FETUS_DN | 1.07e-02 | 7.02 | 1.39 | 1.00e+00 | 1.00e+00 | 3SH2D4A, OCIAD2, PLLP |
193 |
GSE45365_WT_VS_IFNAR_KO_CD8A_DC_MCMV_INFECTION_DN | 1.07e-02 | 7.02 | 1.39 | 1.00e+00 | 1.00e+00 | 3KRT18, GCNT3, PLLP |
193 |
GSE37301_LYMPHOID_PRIMED_MPP_VS_RAG2_KO_NK_CELL_DN | 1.09e-02 | 6.98 | 1.38 | 1.00e+00 | 1.00e+00 | 3GSTA3, LGALS4, PLLP |
194 |
GSE29618_LAIV_VS_TIV_FLU_VACCINE_DAY7_MONOCYTE_DN | 1.10e-02 | 6.95 | 1.37 | 1.00e+00 | 1.00e+00 | 3KRT18, SH2D4A, SPINK4 |
195 |
GSE2585_THYMIC_DC_VS_THYMIC_MACROPHAGE_UP | 1.10e-02 | 6.95 | 1.37 | 1.00e+00 | 1.00e+00 | 3SULT1C2, CLDN18, EPCAM |
195 |
Top Ranked Transcription Factors for this Gene Expression Program:
Gene Symbol | TF Rank | DNA Binding Domain | Motif Status | IUPAC PWM | GTEx | DepMap | Decartes |
---|---|---|---|---|---|---|---|
CLU | 21 | No | Unlikely to be sequence specific TF | Not a DNA binding protein | No motif | None | Included only because GO says positive regulation of NF-kappaB transcription factor activity, but there is no DBD and no evidence of DNA binding. |
PLA2G10 | 24 | No | Unlikely to be sequence specific TF | Not a DNA binding protein | No motif | None | None |
FOXA1 | 27 | Yes | Known motif | Monomer or homomultimer | High-throughput in vitro | None | None |
HNF4A | 42 | Yes | Known motif | Monomer or homomultimer | High-throughput in vitro | None | None |
PDX1 | 46 | Yes | Known motif | Monomer or homomultimer | High-throughput in vitro | None | None |
GATA4 | 47 | Yes | Known motif | Monomer or homomultimer | High-throughput in vitro | None | None |
NKX6-3 | 56 | Yes | Known motif | Monomer or homomultimer | High-throughput in vitro | None | None |
GATA5 | 67 | Yes | Known motif | Monomer or homomultimer | High-throughput in vitro | None | None |
TFCP2L1 | 69 | Yes | Known motif | Monomer or homomultimer | High-throughput in vitro | None | None |
ELF3 | 82 | Yes | Known motif | Monomer or homomultimer | High-throughput in vitro | None | None |
PLEK2 | 91 | No | Unlikely to be sequence specific TF | Not a DNA binding protein | No motif | None | None |
FOXQ1 | 103 | Yes | Known motif | Monomer or homomultimer | High-throughput in vitro | None | None |
HNF4G | 118 | Yes | Known motif | Monomer or homomultimer | In vivo/Misc source | None | None |
LSR | 136 | No | Unlikely to be sequence specific TF | Not a DNA binding protein | No motif | None | Cell plasma membrane resident protein that functions in cell-cell junctions (PMID: 25753034) |
NR1I2 | 145 | Yes | Known motif | Monomer or homomultimer | High-throughput in vitro | None | None |
PAX8 | 147 | Yes | Known motif | Monomer or homomultimer | High-throughput in vitro | None | None |
SOX21 | 179 | Yes | Known motif | Monomer or homomultimer | High-throughput in vitro | None | None |
FOXA3 | 187 | Yes | Known motif | Monomer or homomultimer | High-throughput in vitro | None | None |
TCF23 | 206 | Yes | Inferred motif | Monomer or homomultimer | High-throughput in vitro | None | Basic region is very similar to TCF21, which binds DNA as a homodimer in HT-SELEX. |
FOXA2 | 209 | Yes | Known motif | Monomer or homomultimer | High-throughput in vitro | None | None |
QQ Plot showing correlations with other Gene Expression Programs in this dataset, calculated by Spearman correlation:
Interactive QQ-plot of gene loadings:
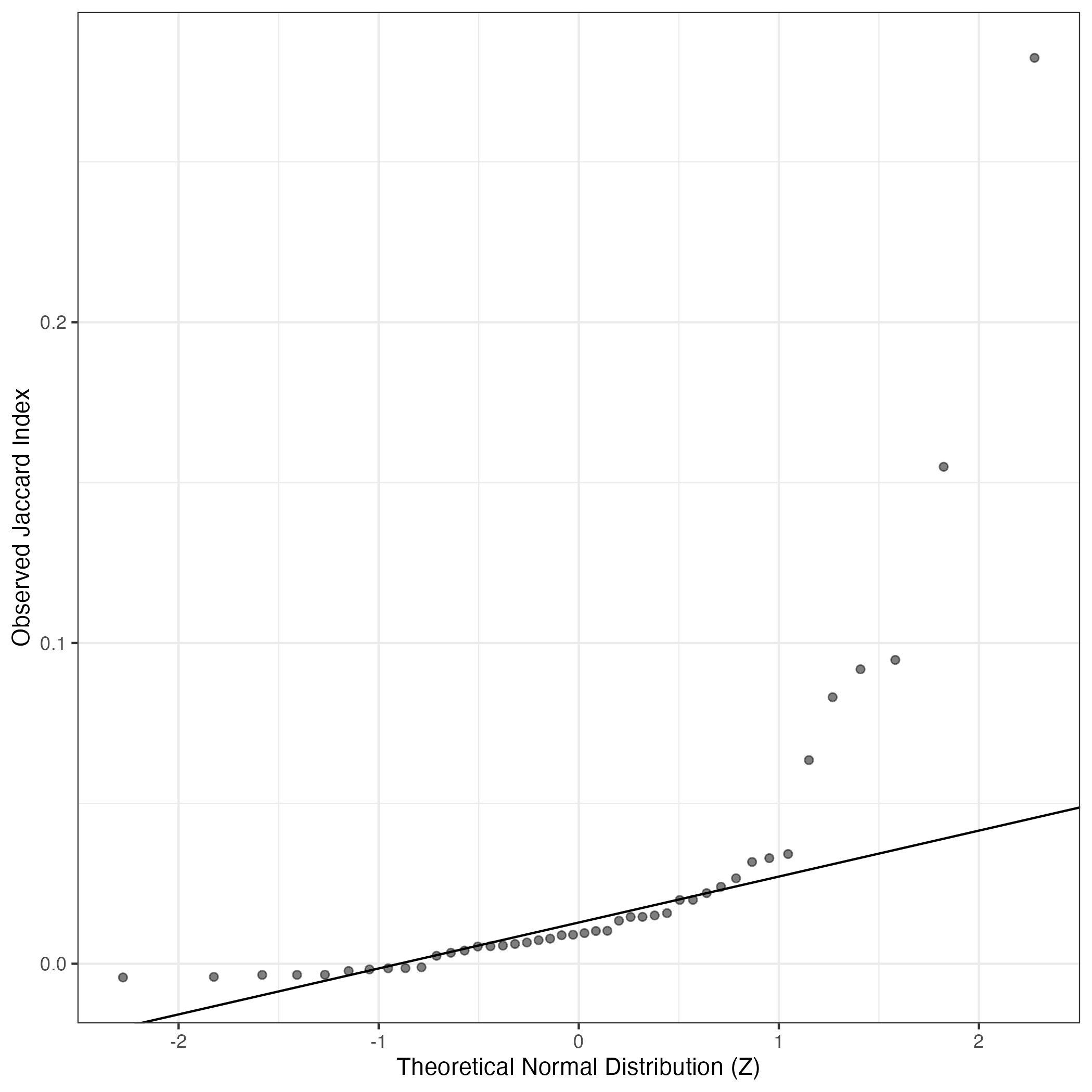
A similar QQ-plot as above, but only for instances where the H value is e.g. > 25, i.e. we are confident that the expression program is active above noise. Agreemenet between these binary vectors is tested using the Jaccard Index, with the P-values calculated by an exact test:
Interactive QQ-plot:
Singler cell type annotations for the top 50 cells on this program.
Cell ID | Singler label | Singler Delta | Activity Score | Top Singler Raw Scores |
---|---|---|---|---|
837_GCAGGCTCACTGCACG-1 | Epithelial_cells:bronchial | 0.14 | 2125.98 | Raw ScoresEpithelial_cells:bronchial: 0.5, Epithelial_cells:bladder: 0.48, Keratinocytes:KGF: 0.44, iPS_cells:CRL2097_foreskin-derived:d20_hepatic_diff: 0.44, Keratinocytes:IL20: 0.44, Keratinocytes:IL24: 0.44, Keratinocytes: 0.44, Keratinocytes:IL22: 0.44, Keratinocytes:IL19: 0.44, iPS_cells:skin_fibroblast-derived: 0.44 |
837_CTCGAGGAGTCCGCCA-1 | Epithelial_cells:bronchial | 0.12 | 1968.91 | Raw ScoresEpithelial_cells:bronchial: 0.49, Epithelial_cells:bladder: 0.48, iPS_cells:iPS:minicircle-derived: 0.45, iPS_cells:skin_fibroblast-derived: 0.45, Embryonic_stem_cells: 0.45, Keratinocytes:KGF: 0.44, iPS_cells:CRL2097_foreskin-derived:d20_hepatic_diff: 0.44, iPS_cells:CRL2097_foreskin-derived:undiff.: 0.44, iPS_cells:PDB_1lox-21Puro-20: 0.44, Keratinocytes:IL20: 0.44 |
837_AATCACGTCTATGTGG-1 | Epithelial_cells:bronchial | 0.14 | 1878.28 | Raw ScoresEpithelial_cells:bronchial: 0.49, Epithelial_cells:bladder: 0.45, Hepatocytes: 0.42, iPS_cells:CRL2097_foreskin-derived:d20_hepatic_diff: 0.41, Keratinocytes:IL19: 0.41, Keratinocytes:IL20: 0.41, Keratinocytes:KGF: 0.41, Keratinocytes:IL24: 0.41, Keratinocytes:IL22: 0.41, Keratinocytes: 0.41 |
837_ACACGCGCAGACCGCT-1 | Epithelial_cells:bronchial | 0.15 | 1867.96 | Raw ScoresEpithelial_cells:bronchial: 0.49, Epithelial_cells:bladder: 0.48, Keratinocytes:KGF: 0.44, Keratinocytes:IL20: 0.44, Keratinocytes:IL22: 0.44, Keratinocytes: 0.44, Keratinocytes:IL19: 0.44, Keratinocytes:IL24: 0.44, Keratinocytes:IL26: 0.44, Keratinocytes:IL1b: 0.44 |
837_CTATCCGAGCCTTGAT-1 | Epithelial_cells:bronchial | 0.14 | 1761.50 | Raw ScoresEpithelial_cells:bronchial: 0.49, Epithelial_cells:bladder: 0.46, iPS_cells:CRL2097_foreskin-derived:d20_hepatic_diff: 0.43, iPS_cells:PDB_1lox-21Puro-20: 0.43, iPS_cells:PDB_1lox-21Puro-26: 0.43, iPS_cells:PDB_1lox-17Puro-5: 0.43, Keratinocytes:KGF: 0.43, Hepatocytes: 0.43, Embryonic_stem_cells: 0.43, Keratinocytes:IL20: 0.43 |
837_CTGTACCTCAAGCCGC-1 | Epithelial_cells:bronchial | 0.15 | 1758.20 | Raw ScoresEpithelial_cells:bronchial: 0.49, Epithelial_cells:bladder: 0.48, Keratinocytes:KGF: 0.44, Keratinocytes: 0.44, Keratinocytes:IL20: 0.44, Keratinocytes:IL26: 0.44, Keratinocytes:IL19: 0.44, Keratinocytes:IL22: 0.44, Keratinocytes:IL24: 0.44, Keratinocytes:IL1b: 0.44 |
837_ATAGAGAAGATGACAT-1 | Epithelial_cells:bronchial | 0.16 | 1755.22 | Raw ScoresEpithelial_cells:bronchial: 0.48, Epithelial_cells:bladder: 0.46, Keratinocytes:IL22: 0.42, Keratinocytes:IL20: 0.42, Keratinocytes:KGF: 0.42, Keratinocytes:IL19: 0.42, Keratinocytes:IL24: 0.41, Keratinocytes:IL26: 0.41, Keratinocytes: 0.41, Keratinocytes:IL1b: 0.41 |
837_TTGTTCATCATCGACA-1 | Epithelial_cells:bronchial | 0.14 | 1743.09 | Raw ScoresEpithelial_cells:bronchial: 0.46, Epithelial_cells:bladder: 0.43, Hepatocytes: 0.42, Keratinocytes:IL19: 0.4, Keratinocytes: 0.4, Keratinocytes:IL20: 0.4, Keratinocytes:KGF: 0.4, Keratinocytes:IL24: 0.39, Keratinocytes:IL22: 0.39, Keratinocytes:IL26: 0.39 |
837_CGTGAATAGCGAAACC-1 | Epithelial_cells:bronchial | 0.11 | 1591.37 | Raw ScoresEpithelial_cells:bronchial: 0.48, Epithelial_cells:bladder: 0.48, iPS_cells:iPS:minicircle-derived: 0.47, iPS_cells:skin_fibroblast-derived: 0.47, Embryonic_stem_cells: 0.46, iPS_cells:PDB_1lox-21Puro-20: 0.46, iPS_cells:CRL2097_foreskin-derived:undiff.: 0.46, iPS_cells:PDB_1lox-21Puro-26: 0.46, iPS_cells:PDB_2lox-17: 0.46, iPS_cells:PDB_2lox-22: 0.46 |
837_TCCGGGACAGTTAGAA-1 | Epithelial_cells:bronchial | 0.13 | 1368.85 | Raw ScoresEpithelial_cells:bronchial: 0.43, Epithelial_cells:bladder: 0.42, Hepatocytes: 0.38, Keratinocytes:IL22: 0.37, Keratinocytes:IL19: 0.37, Keratinocytes:IL20: 0.37, Keratinocytes:KGF: 0.37, Keratinocytes: 0.37, Keratinocytes:IL24: 0.37, Keratinocytes:IL26: 0.37 |
837_CAATGACCAGCAGTGA-1 | Epithelial_cells:bronchial | 0.12 | 1357.74 | Raw ScoresEpithelial_cells:bronchial: 0.47, Epithelial_cells:bladder: 0.46, iPS_cells:iPS:minicircle-derived: 0.45, iPS_cells:skin_fibroblast-derived: 0.45, Embryonic_stem_cells: 0.44, iPS_cells:CRL2097_foreskin-derived:undiff.: 0.44, iPS_cells:PDB_1lox-21Puro-20: 0.44, iPS_cells:PDB_1lox-21Puro-26: 0.43, iPS_cells:PDB_2lox-17: 0.43, iPS_cells:adipose_stem_cell-derived:lentiviral: 0.43 |
837_GTAGGTTGTGGATCGA-1 | Epithelial_cells:bronchial | 0.10 | 1350.11 | Raw ScoresEpithelial_cells:bladder: 0.48, iPS_cells:iPS:minicircle-derived: 0.47, iPS_cells:skin_fibroblast-derived: 0.46, Epithelial_cells:bronchial: 0.46, Embryonic_stem_cells: 0.46, iPS_cells:CRL2097_foreskin-derived:undiff.: 0.46, iPS_cells:adipose_stem_cell-derived:lentiviral: 0.46, iPS_cells:PDB_1lox-21Puro-20: 0.46, iPS_cells:CRL2097_foreskin-derived:d20_hepatic_diff: 0.45, iPS_cells:PDB_2lox-17: 0.45 |
837_ATGGGAGAGTCAAGCG-1 | Epithelial_cells:bronchial | 0.13 | 1192.62 | Raw ScoresEpithelial_cells:bronchial: 0.44, Epithelial_cells:bladder: 0.42, Keratinocytes:IL20: 0.38, Keratinocytes:IL22: 0.38, Keratinocytes:IL24: 0.38, Keratinocytes:IL19: 0.37, Keratinocytes:IL1b: 0.37, Hepatocytes: 0.37, iPS_cells:CRL2097_foreskin-derived:d20_hepatic_diff: 0.37, Keratinocytes:KGF: 0.37 |
837_GACAGCCTCCTCAGGG-1 | Epithelial_cells:bronchial | 0.14 | 1186.52 | Raw ScoresEpithelial_cells:bronchial: 0.42, Epithelial_cells:bladder: 0.42, Keratinocytes:IL22: 0.37, Keratinocytes:IL1b: 0.37, Keratinocytes:IL24: 0.37, Keratinocytes:IL19: 0.37, Keratinocytes:IL20: 0.37, Keratinocytes:KGF: 0.37, Keratinocytes:IL26: 0.37, Keratinocytes: 0.36 |
847_TCGATTTGTAGGTACG-1 | Epithelial_cells:bronchial | 0.12 | 1152.67 | Raw ScoresEpithelial_cells:bronchial: 0.49, Epithelial_cells:bladder: 0.48, iPS_cells:PDB_1lox-21Puro-20: 0.47, iPS_cells:PDB_1lox-21Puro-26: 0.47, iPS_cells:PDB_1lox-17Puro-5: 0.47, iPS_cells:iPS:minicircle-derived: 0.47, iPS_cells:skin_fibroblast-derived: 0.47, Embryonic_stem_cells: 0.47, iPS_cells:PDB_1lox-17Puro-10: 0.47, iPS_cells:CRL2097_foreskin-derived:undiff.: 0.46 |
837_GTGTCCTGTAACGCGA-1 | Epithelial_cells:bronchial | 0.13 | 1144.52 | Raw ScoresEpithelial_cells:bronchial: 0.45, Epithelial_cells:bladder: 0.43, Hepatocytes: 0.39, Keratinocytes:KGF: 0.38, Keratinocytes:IL20: 0.38, iPS_cells:CRL2097_foreskin-derived:d20_hepatic_diff: 0.38, Keratinocytes:IL19: 0.38, Keratinocytes: 0.38, Keratinocytes:IL22: 0.38, Keratinocytes:IL24: 0.38 |
837_GTGGAAGTCGCTCTCA-1 | Epithelial_cells:bronchial | 0.12 | 1126.50 | Raw ScoresEpithelial_cells:bronchial: 0.44, Epithelial_cells:bladder: 0.42, iPS_cells:iPS:minicircle-derived: 0.4, iPS_cells:skin_fibroblast-derived: 0.39, iPS_cells:CRL2097_foreskin-derived:d20_hepatic_diff: 0.39, Embryonic_stem_cells: 0.39, iPS_cells:CRL2097_foreskin-derived:undiff.: 0.39, iPS_cells:adipose_stem_cell-derived:lentiviral: 0.39, iPS_cells:PDB_2lox-17: 0.39, iPS_cells:PDB_1lox-21Puro-20: 0.39 |
837_TTGGATGTCGGCTTGG-1 | Epithelial_cells:bronchial | 0.12 | 1031.16 | Raw ScoresEpithelial_cells:bronchial: 0.43, Epithelial_cells:bladder: 0.41, Hepatocytes: 0.38, Keratinocytes: 0.37, Keratinocytes:IL19: 0.37, Keratinocytes:IL20: 0.37, Keratinocytes:IL26: 0.37, Keratinocytes:KGF: 0.37, Keratinocytes:IL22: 0.37, Keratinocytes:IL24: 0.37 |
837_ATATCCTTCACCATGA-1 | Neurons:adrenal_medulla_cell_line | 0.19 | 1014.53 | Raw ScoresNeurons:adrenal_medulla_cell_line: 0.55, iPS_cells:PDB_1lox-21Puro-20: 0.54, iPS_cells:PDB_1lox-21Puro-26: 0.53, iPS_cells:PDB_1lox-17Puro-5: 0.53, iPS_cells:PDB_1lox-17Puro-10: 0.53, iPS_cells:PDB_2lox-22: 0.52, iPS_cells:PDB_2lox-17: 0.52, Embryonic_stem_cells: 0.52, iPS_cells:PDB_2lox-21: 0.52, iPS_cells:skin_fibroblast-derived: 0.52 |
837_CAGAGCCAGTTCGGTT-1 | Epithelial_cells:bronchial | 0.13 | 981.63 | Raw ScoresEpithelial_cells:bronchial: 0.43, Epithelial_cells:bladder: 0.4, Hepatocytes: 0.37, Keratinocytes: 0.37, Keratinocytes:IL19: 0.37, Keratinocytes:IL20: 0.37, Keratinocytes:IL22: 0.37, Keratinocytes:IL26: 0.37, Keratinocytes:KGF: 0.36, Keratinocytes:IL24: 0.36 |
837_CCCGGAAGTTGACTGT-1 | Epithelial_cells:bronchial | 0.10 | 962.85 | Raw ScoresEpithelial_cells:bronchial: 0.44, Epithelial_cells:bladder: 0.43, iPS_cells:iPS:minicircle-derived: 0.43, iPS_cells:skin_fibroblast-derived: 0.43, iPS_cells:PDB_1lox-21Puro-20: 0.43, Embryonic_stem_cells: 0.43, iPS_cells:PDB_1lox-21Puro-26: 0.43, iPS_cells:CRL2097_foreskin-derived:undiff.: 0.43, iPS_cells:PDB_1lox-17Puro-5: 0.43, iPS_cells:PDB_2lox-21: 0.43 |
847_GCATCGGTCGCTCATC-1 | Epithelial_cells:bronchial | 0.10 | 944.65 | Raw ScoresEpithelial_cells:bronchial: 0.48, iPS_cells:iPS:minicircle-derived: 0.47, Epithelial_cells:bladder: 0.47, iPS_cells:skin_fibroblast-derived: 0.47, iPS_cells:PDB_1lox-21Puro-20: 0.47, iPS_cells:PDB_1lox-21Puro-26: 0.47, Embryonic_stem_cells: 0.47, iPS_cells:PDB_1lox-17Puro-5: 0.47, iPS_cells:CRL2097_foreskin-derived:undiff.: 0.46, iPS_cells:PDB_1lox-17Puro-10: 0.46 |
847_CTGAATGCAATGTCAC-1 | Epithelial_cells:bronchial | 0.11 | 854.21 | Raw ScoresEmbryonic_stem_cells: 0.49, Epithelial_cells:bronchial: 0.49, iPS_cells:PDB_1lox-21Puro-20: 0.48, iPS_cells:PDB_1lox-21Puro-26: 0.48, iPS_cells:skin_fibroblast-derived: 0.48, iPS_cells:iPS:minicircle-derived: 0.48, Epithelial_cells:bladder: 0.48, iPS_cells:PDB_1lox-17Puro-5: 0.48, iPS_cells:CRL2097_foreskin-derived:undiff.: 0.48, iPS_cells:fibroblast-derived:Direct_del._reprog: 0.48 |
847_CGAGTTAAGGAACATT-1 | Epithelial_cells:bronchial | 0.14 | 840.78 | Raw ScoresEpithelial_cells:bronchial: 0.43, Epithelial_cells:bladder: 0.4, Hepatocytes: 0.37, Keratinocytes:IL19: 0.36, Keratinocytes:IL26: 0.36, Keratinocytes:KGF: 0.36, Keratinocytes:IL24: 0.36, Keratinocytes:IL22: 0.36, Keratinocytes: 0.36, Keratinocytes:IL20: 0.36 |
837_TCGGGCAAGTACAGCG-1 | Epithelial_cells:bronchial | 0.12 | 832.35 | Raw ScoresEpithelial_cells:bronchial: 0.43, Epithelial_cells:bladder: 0.42, Keratinocytes:KGF: 0.39, Keratinocytes: 0.38, Keratinocytes:IL26: 0.38, Keratinocytes:IL19: 0.38, Keratinocytes:IL20: 0.38, Keratinocytes:IL22: 0.38, Keratinocytes:IL1b: 0.38, Keratinocytes:IL24: 0.38 |
837_TAGACCACACGGGTAA-1 | Epithelial_cells:bronchial | 0.14 | 774.03 | Raw ScoresEpithelial_cells:bronchial: 0.44, Epithelial_cells:bladder: 0.41, Hepatocytes: 0.37, Keratinocytes:IL19: 0.37, Keratinocytes:IL22: 0.37, Keratinocytes:IL24: 0.37, Keratinocytes:IL20: 0.37, Keratinocytes: 0.37, Keratinocytes:IL1b: 0.37, Keratinocytes:IL26: 0.37 |
837_TGCGGCACAGAGAGGG-1 | Epithelial_cells:bronchial | 0.15 | 735.06 | Raw ScoresEpithelial_cells:bronchial: 0.44, Epithelial_cells:bladder: 0.43, Keratinocytes:KGF: 0.39, Keratinocytes:IL22: 0.39, Keratinocytes:IL20: 0.39, Keratinocytes:IL19: 0.39, Keratinocytes:IL26: 0.39, Keratinocytes: 0.39, Keratinocytes:IL24: 0.39, Keratinocytes:IL1b: 0.38 |
837_GCACGTGAGTCGTCTA-1 | Epithelial_cells:bronchial | 0.13 | 707.65 | Raw ScoresEpithelial_cells:bronchial: 0.42, Epithelial_cells:bladder: 0.4, Keratinocytes:KGF: 0.37, Keratinocytes:IL19: 0.37, Keratinocytes:IL26: 0.36, Keratinocytes: 0.36, Keratinocytes:IL20: 0.36, Keratinocytes:IL22: 0.36, Keratinocytes:IL24: 0.36, Keratinocytes:IL1b: 0.36 |
837_TGAGGGAGTTTGTTCT-1 | Epithelial_cells:bronchial | 0.15 | 656.27 | Raw ScoresEpithelial_cells:bronchial: 0.45, Epithelial_cells:bladder: 0.44, Keratinocytes:IL19: 0.39, Keratinocytes:IL22: 0.39, Keratinocytes:IL1b: 0.39, Keratinocytes:IL20: 0.39, Keratinocytes: 0.39, Keratinocytes:IL26: 0.39, Keratinocytes:IL24: 0.39, Keratinocytes:KGF: 0.39 |
837_AAGCATCGTTTCGTTT-1 | Neurons:adrenal_medulla_cell_line | 0.15 | 639.10 | Raw ScoresNeurons:adrenal_medulla_cell_line: 0.49, iPS_cells:PDB_1lox-21Puro-20: 0.48, iPS_cells:PDB_1lox-21Puro-26: 0.48, iPS_cells:PDB_1lox-17Puro-5: 0.48, iPS_cells:PDB_2lox-22: 0.48, iPS_cells:PDB_1lox-17Puro-10: 0.48, iPS_cells:PDB_2lox-17: 0.48, iPS_cells:PDB_2lox-21: 0.47, Embryonic_stem_cells: 0.47, iPS_cells:CRL2097_foreskin-derived:undiff.: 0.47 |
837_CTCCGATAGTGTTGAA-1 | Epithelial_cells:bronchial | 0.14 | 612.96 | Raw ScoresEpithelial_cells:bronchial: 0.45, Epithelial_cells:bladder: 0.43, Keratinocytes:IL19: 0.39, Keratinocytes:IL20: 0.39, Keratinocytes: 0.39, Keratinocytes:IL22: 0.38, Keratinocytes:IL26: 0.38, Keratinocytes:KGF: 0.38, Keratinocytes:IL24: 0.38, Keratinocytes:IL1b: 0.38 |
837_CCAAGCGAGCCGCTTG-1 | Epithelial_cells:bronchial | 0.12 | 586.73 | Raw ScoresEpithelial_cells:bronchial: 0.42, Epithelial_cells:bladder: 0.39, Hepatocytes: 0.37, iPS_cells:CRL2097_foreskin-derived:d20_hepatic_diff: 0.36, iPS_cells:iPS:minicircle-derived: 0.35, iPS_cells:skin_fibroblast-derived: 0.35, Keratinocytes:KGF: 0.35, iPS_cells:CRL2097_foreskin-derived:undiff.: 0.35, Embryonic_stem_cells: 0.35, iPS_cells:PDB_1lox-17Puro-5: 0.35 |
837_TCTCAGCAGGCCCGTT-1 | Epithelial_cells:bronchial | 0.14 | 536.83 | Raw ScoresEpithelial_cells:bronchial: 0.44, Epithelial_cells:bladder: 0.41, Keratinocytes:IL19: 0.38, Keratinocytes: 0.38, Keratinocytes:KGF: 0.38, Keratinocytes:IL24: 0.38, Keratinocytes:IL26: 0.38, Keratinocytes:IL20: 0.38, Keratinocytes:IL22: 0.38, Keratinocytes:IL1b: 0.37 |
837_GTCTGTCGTCCAGCCA-1 | Epithelial_cells:bronchial | 0.15 | 530.79 | Raw ScoresEpithelial_cells:bronchial: 0.43, Epithelial_cells:bladder: 0.4, Keratinocytes:IL19: 0.37, Keratinocytes:IL20: 0.37, Keratinocytes:IL22: 0.37, Keratinocytes:IL26: 0.36, Keratinocytes:IL24: 0.36, Keratinocytes: 0.36, Keratinocytes:KGF: 0.36, Keratinocytes:IL1b: 0.36 |
837_GCCAGTGAGTAACAGT-1 | Epithelial_cells:bronchial | 0.14 | 503.21 | Raw ScoresEpithelial_cells:bronchial: 0.43, Epithelial_cells:bladder: 0.41, Keratinocytes:IL22: 0.38, Keratinocytes:IL20: 0.38, Keratinocytes:IL19: 0.38, Keratinocytes: 0.38, Keratinocytes:IL24: 0.38, Keratinocytes:IL26: 0.38, Keratinocytes:KGF: 0.38, Hepatocytes: 0.38 |
837_CCGGGTAGTGCCGTAC-1 | Epithelial_cells:bronchial | 0.14 | 480.57 | Raw ScoresEpithelial_cells:bronchial: 0.4, Epithelial_cells:bladder: 0.38, Keratinocytes:IL26: 0.34, Keratinocytes: 0.34, Keratinocytes:KGF: 0.34, Keratinocytes:IL19: 0.34, Keratinocytes:IL22: 0.34, Keratinocytes:IL1b: 0.34, Keratinocytes:IL24: 0.34, Keratinocytes:IL20: 0.34 |
837_ACATTTCAGAATCCCT-1 | Epithelial_cells:bronchial | 0.11 | 435.52 | Raw ScoresEpithelial_cells:bronchial: 0.36, Epithelial_cells:bladder: 0.34, Keratinocytes:IL20: 0.31, Keratinocytes:KGF: 0.31, Keratinocytes:IL22: 0.31, Keratinocytes:IL19: 0.31, Keratinocytes: 0.31, Keratinocytes:IL26: 0.31, Keratinocytes:IL24: 0.31, Keratinocytes:IL1b: 0.31 |
837_AGTAACCCAACCTATG-1 | Epithelial_cells:bronchial | 0.14 | 420.42 | Raw ScoresEpithelial_cells:bronchial: 0.44, Epithelial_cells:bladder: 0.42, Hepatocytes: 0.39, Keratinocytes:IL22: 0.39, Keratinocytes:IL19: 0.39, Keratinocytes:IL24: 0.39, Keratinocytes:IL20: 0.39, Keratinocytes:KGF: 0.39, Keratinocytes: 0.39, Keratinocytes:IL26: 0.39 |
837_TTCGATTTCAGACAAA-1 | Epithelial_cells:bronchial | 0.11 | 406.84 | Raw ScoresEpithelial_cells:bronchial: 0.37, Epithelial_cells:bladder: 0.35, iPS_cells:skin_fibroblast-derived: 0.34, iPS_cells:iPS:minicircle-derived: 0.34, iPS_cells:CRL2097_foreskin-derived:d20_hepatic_diff: 0.33, Embryonic_stem_cells: 0.33, iPS_cells:PDB_1lox-21Puro-20: 0.33, iPS_cells:PDB_1lox-17Puro-5: 0.33, iPS_cells:PDB_1lox-21Puro-26: 0.33, iPS_cells:fibroblast-derived:Direct_del._reprog: 0.33 |
837_ACGATGTTCCTCAGAA-1 | Epithelial_cells:bronchial | 0.13 | 390.17 | Raw ScoresEpithelial_cells:bronchial: 0.36, Epithelial_cells:bladder: 0.33, Keratinocytes:IL22: 0.31, Keratinocytes:IL24: 0.31, Keratinocytes:IL19: 0.31, Keratinocytes:IL20: 0.31, Keratinocytes:IL26: 0.31, Keratinocytes: 0.3, Keratinocytes:KGF: 0.3, Keratinocytes:IL1b: 0.3 |
837_TCGCACTCAAGGTCGA-1 | Epithelial_cells:bronchial | 0.12 | 387.24 | Raw ScoresEpithelial_cells:bronchial: 0.35, Epithelial_cells:bladder: 0.33, iPS_cells:CRL2097_foreskin-derived:d20_hepatic_diff: 0.29, Keratinocytes:KGF: 0.29, Keratinocytes:IL26: 0.29, Keratinocytes:IL1b: 0.29, Keratinocytes:IL19: 0.29, Keratinocytes:IL20: 0.29, Keratinocytes:IL22: 0.28, Keratinocytes: 0.28 |
837_CAGGTATAGCACCCAC-1 | Epithelial_cells:bronchial | 0.13 | 371.81 | Raw ScoresEpithelial_cells:bronchial: 0.44, Epithelial_cells:bladder: 0.43, Keratinocytes:IL22: 0.38, Keratinocytes:IL19: 0.38, Keratinocytes:IL20: 0.38, Keratinocytes:IL24: 0.38, Keratinocytes: 0.38, Keratinocytes:IL26: 0.38, Keratinocytes:IL1b: 0.38, Keratinocytes:KGF: 0.38 |
837_GGATCTAAGTCACTAC-1 | Epithelial_cells:bronchial | 0.13 | 369.92 | Raw ScoresEpithelial_cells:bronchial: 0.39, Epithelial_cells:bladder: 0.37, Keratinocytes:IL26: 0.33, Keratinocytes:IL19: 0.33, Keratinocytes: 0.33, Keratinocytes:IL22: 0.33, Keratinocytes:KGF: 0.33, Keratinocytes:IL20: 0.33, Keratinocytes:IL24: 0.33, Keratinocytes:IL1b: 0.33 |
847_GGAAGTGAGATGGTAT-1 | Epithelial_cells:bronchial | 0.13 | 369.77 | Raw ScoresEpithelial_cells:bronchial: 0.45, Epithelial_cells:bladder: 0.44, Keratinocytes:KGF: 0.4, Keratinocytes: 0.4, Keratinocytes:IL19: 0.4, Keratinocytes:IL20: 0.4, Hepatocytes: 0.4, Keratinocytes:IL26: 0.4, Keratinocytes:IL24: 0.39, Keratinocytes:IL22: 0.39 |
837_GTGATGTTCAGAACCT-1 | Neurons:adrenal_medulla_cell_line | 0.14 | 354.47 | Raw ScoresNeurons:adrenal_medulla_cell_line: 0.46, iPS_cells:PDB_1lox-21Puro-20: 0.45, iPS_cells:PDB_1lox-21Puro-26: 0.45, iPS_cells:PDB_1lox-17Puro-5: 0.44, Embryonic_stem_cells: 0.44, iPS_cells:iPS:minicircle-derived: 0.44, iPS_cells:PDB_1lox-17Puro-10: 0.44, iPS_cells:skin_fibroblast-derived: 0.44, iPS_cells:PDB_2lox-22: 0.44, iPS_cells:PDB_2lox-17: 0.44 |
837_TGTTTGTAGGGTATAT-1 | Epithelial_cells:bronchial | 0.13 | 353.76 | Raw ScoresEpithelial_cells:bronchial: 0.35, Epithelial_cells:bladder: 0.34, Keratinocytes:IL22: 0.29, Keratinocytes:IL19: 0.29, Keratinocytes:IL26: 0.29, Keratinocytes:IL1b: 0.29, Keratinocytes:IL24: 0.29, Keratinocytes:IL20: 0.29, Keratinocytes: 0.29, Keratinocytes:KGF: 0.29 |
837_ATCGGCGGTATACAGA-1 | Epithelial_cells:bronchial | 0.14 | 351.85 | Raw ScoresEpithelial_cells:bronchial: 0.43, Epithelial_cells:bladder: 0.39, Hepatocytes: 0.36, Keratinocytes:IL22: 0.36, Keratinocytes:IL19: 0.36, Keratinocytes:IL24: 0.36, Keratinocytes:IL20: 0.36, Keratinocytes: 0.36, Keratinocytes:IL26: 0.36, Keratinocytes:IL1b: 0.36 |
847_AGGCTGCAGCATGGGT-1 | Epithelial_cells:bronchial | 0.16 | 324.57 | Raw ScoresEpithelial_cells:bronchial: 0.44, Epithelial_cells:bladder: 0.42, Keratinocytes:IL19: 0.38, Keratinocytes:IL22: 0.38, Keratinocytes:IL20: 0.38, Keratinocytes:IL24: 0.38, Keratinocytes:IL26: 0.38, Keratinocytes: 0.38, Keratinocytes:IL1b: 0.37, Keratinocytes:KGF: 0.37 |
847_GTAGCTATCTCTCTAA-1 | Epithelial_cells:bronchial | 0.11 | 290.45 | Raw ScoresEpithelial_cells:bronchial: 0.39, Epithelial_cells:bladder: 0.38, Keratinocytes:KGF: 0.34, Keratinocytes:IL19: 0.34, Keratinocytes:IL20: 0.34, Keratinocytes: 0.34, Keratinocytes:IL24: 0.34, Keratinocytes:IL26: 0.34, iPS_cells:CRL2097_foreskin-derived:undiff.: 0.34, Keratinocytes:IL22: 0.34 |
837_CACGTTCTCAAAGGAT-1 | Epithelial_cells:bronchial | 0.14 | 289.30 | Raw ScoresEpithelial_cells:bronchial: 0.38, Epithelial_cells:bladder: 0.36, Keratinocytes:IL22: 0.32, Keratinocytes:IL20: 0.32, Keratinocytes:IL19: 0.32, Keratinocytes:IL24: 0.32, Keratinocytes: 0.32, Keratinocytes:IL26: 0.32, Keratinocytes:KGF: 0.32, Keratinocytes:IL1b: 0.32 |
Below shows the significant enrichments of this GEP for literature curated gene lists
This data was procured from existing single cell RNA-seq maps of neuroblastoma or related relevant data.
High ranks indicate this gene is a driver of this GEP.
These curated gene list are ranked by the P-value (on this GEP) of their constituent genes.
The Mean Count column shows the mean read count in cells scoring highly (H > 50) on this gene expression program.
Genes | Weight | Rank | GTEx | DepMap | Decartes | Mean.Counts | Mean.TPM |
---|---|---|---|---|---|---|---|
HNF4A | 0.0065171 | 42 | GTEx | DepMap | Descartes | 1.27 | 2.95 |
ALDOB | 0.0003085 | 1337 | GTEx | DepMap | Descartes | 0.02 | 0.20 |
ITIH1 | 0.0000646 | 3165 | GTEx | DepMap | Descartes | 0.00 | 0.00 |
AHSG | 0.0000097 | 4608 | GTEx | DepMap | Descartes | 0.00 | 0.00 |
VTN | -0.0000109 | 7437 | GTEx | DepMap | Descartes | 0.00 | 0.00 |
M1 Macrophage
These genes were collated from multiple sources:
Wilcoxon ranksum test P-value for gene set overrepresentation: 1.63e-02
Mean rank of genes in gene set: 7341.47
Rank on gene expression program of genes in gene set:
Genes | Weight | Rank | GTEx | DepMap | Decartes | Mean.Counts | Mean.TPM |
---|---|---|---|---|---|---|---|
IL18 | 0.0007456 | 654 | GTEx | DepMap | Descartes | 5.32 | 25.84 |
IL33 | 0.0004348 | 1011 | GTEx | DepMap | Descartes | 1.34 | 4.33 |
TLR4 | 0.0002338 | 1640 | GTEx | DepMap | Descartes | 0.45 | 0.65 |
CD14 | 0.0001194 | 2416 | GTEx | DepMap | Descartes | 0.66 | 47.51 |
CXCL9 | 0.0000140 | 4394 | GTEx | DepMap | Descartes | 0.00 | 0.00 |
CXCL10 | 0.0000106 | 4549 | GTEx | DepMap | Descartes | 0.03 | 1.97 |
IL1B | -0.0000006 | 5453 | GTEx | DepMap | Descartes | 0.02 | 0.31 |
CCL4 | -0.0000064 | 6515 | GTEx | DepMap | Descartes | 0.00 | 0.00 |
CCL5 | -0.0000105 | 7364 | GTEx | DepMap | Descartes | 0.00 | 0.00 |
TNF | -0.0000126 | 7765 | GTEx | DepMap | Descartes | 0.00 | 0.00 |
CCL3 | -0.0000145 | 8115 | GTEx | DepMap | Descartes | 0.01 | 0.92 |
IL6 | -0.0000393 | 11144 | GTEx | DepMap | Descartes | 0.00 | 0.00 |
CD80 | -0.0000441 | 11613 | GTEx | DepMap | Descartes | 0.01 | 0.02 |
ITGAX | -0.0000460 | 11787 | GTEx | DepMap | Descartes | 0.00 | 0.00 |
CCL2 | -0.0000640 | 13177 | GTEx | DepMap | Descartes | 0.01 | 0.74 |
CD86 | -0.0000687 | 13514 | GTEx | DepMap | Descartes | 0.00 | 0.00 |
CXCL16 | -0.0000712 | 13694 | GTEx | DepMap | Descartes | 0.18 | 3.74 |
Hepatocytes (Jansky)
Mentioned in the main text (Jansky et al, Nature Genetics (2021)), page 1, that ALB+ Hepatocytes were identified in their fetal adrenal glands, this is also highlighted in the UMAP plot on their Fig 1B. Additional genes also shown in their Extended data Figure 2D. The main text also speculated that these hepatocytes were probably derived from neighboring tissue, and hence artifactual, but there is no evidence presented for this.:
Wilcoxon ranksum test P-value for gene set overrepresentation: 3.85e-02
Mean rank of genes in gene set: 4300
Rank on gene expression program of genes in gene set:
Genes | Weight | Rank | GTEx | DepMap | Decartes | Mean.Counts | Mean.TPM |
---|---|---|---|---|---|---|---|
ALB | 0.0002095 | 1774 | GTEx | DepMap | Descartes | 0.02 | 0.28 |
AFP | 0.0001413 | 2208 | GTEx | DepMap | Descartes | 0.03 | 0.37 |
ASGR1 | -0.0000192 | 8918 | GTEx | DepMap | Descartes | 0.00 | 0.00 |
Below shows ranks on this GEP for literature curated gene lists for large gene sets
These include those reported as mesenchymal/adrenergic by Van Groningen et al.
High ranks indicate this gene is a driver of this GEP (note these results are not ordered).
The Mean Count column shows the mean read count in cells scoring highly (H > 50) on this gene expression program.
VanGroningen Adrenergic Genes
Adrenergic marker genes from Supplementary Table 2 of Van Groningen et al. Nature Genetics 2017. These genes were identified by differential expression analysis of mesenchymal-like and adrenergic-like neuroblastoma cell lines.
Wilcoxon ranksum test P-value for gene set overrepresentation: 1.00e+00
Mean rank of genes in gene set: 16715.73
Median rank of genes in gene set: 18920.5
Rank on gene expression program of top 30 genes in gene set:
Genes | Weight | Rank | GTEx | DepMap | Descartes | Mean.Counts | Mean.TPM |
---|---|---|---|---|---|---|---|
RBP1 | 0.0032673 | 152 | GTEx | DepMap | Descartes | 14.74 | 87.88 |
UCP2 | 0.0009666 | 526 | GTEx | DepMap | Descartes | 18.82 | 297.86 |
SEC11C | 0.0008242 | 594 | GTEx | DepMap | Descartes | 11.02 | 74.24 |
GLDC | 0.0008123 | 600 | GTEx | DepMap | Descartes | 1.43 | 2.59 |
GLRX | 0.0005166 | 871 | GTEx | DepMap | Descartes | 1.72 | 23.49 |
PTS | 0.0004920 | 896 | GTEx | DepMap | Descartes | 1.45 | 30.35 |
FAM107B | 0.0004467 | 984 | GTEx | DepMap | Descartes | 1.69 | 1.08 |
ABCA3 | 0.0003573 | 1180 | GTEx | DepMap | Descartes | 1.15 | 3.12 |
CDKN3 | 0.0003209 | 1291 | GTEx | DepMap | Descartes | 0.49 | 3.59 |
GGH | 0.0002866 | 1424 | GTEx | DepMap | Descartes | 2.58 | 12.31 |
SCAMP5 | 0.0002772 | 1461 | GTEx | DepMap | Descartes | 1.67 | 10.07 |
CXADR | 0.0002582 | 1535 | GTEx | DepMap | Descartes | 3.89 | 9.98 |
ABLIM1 | 0.0002484 | 1574 | GTEx | DepMap | Descartes | 2.75 | 1.46 |
GCH1 | 0.0002166 | 1725 | GTEx | DepMap | Descartes | 1.86 | 6.62 |
MAGI3 | 0.0002137 | 1744 | GTEx | DepMap | Descartes | 0.75 | 0.56 |
ENDOG | 0.0002122 | 1755 | GTEx | DepMap | Descartes | 1.19 | 59.43 |
NET1 | 0.0001736 | 1968 | GTEx | DepMap | Descartes | 1.36 | 5.34 |
ST3GAL6 | 0.0001511 | 2127 | GTEx | DepMap | Descartes | 0.82 | 2.16 |
CDKN2C | 0.0001010 | 2632 | GTEx | DepMap | Descartes | 0.59 | 9.88 |
ACVR1B | 0.0000881 | 2800 | GTEx | DepMap | Descartes | 0.57 | 2.42 |
INO80C | 0.0000860 | 2836 | GTEx | DepMap | Descartes | 0.55 | 4.14 |
CCDC167 | 0.0000688 | 3084 | GTEx | DepMap | Descartes | 0.84 | 3.53 |
MTCL1 | 0.0000541 | 3355 | GTEx | DepMap | Descartes | 0.39 | 0.60 |
LYN | 0.0000410 | 3634 | GTEx | DepMap | Descartes | 0.59 | 0.74 |
NARS2 | 0.0000376 | 3701 | GTEx | DepMap | Descartes | 0.38 | 0.55 |
TRAP1 | 0.0000313 | 3855 | GTEx | DepMap | Descartes | 1.35 | 4.31 |
DUSP4 | 0.0000306 | 3873 | GTEx | DepMap | Descartes | 0.09 | 2.17 |
AKAP1 | 0.0000295 | 3902 | GTEx | DepMap | Descartes | 0.82 | 3.15 |
NGRN | 0.0000294 | 3903 | GTEx | DepMap | Descartes | 1.01 | 33.32 |
PDK1 | 0.0000278 | 3938 | GTEx | DepMap | Descartes | 0.77 | 4.54 |
VanGroningen Mesenchymal Genes
Mesenchymal marker genes from Supplementary Table 2 of Van Groningen et al. Nature Genetics 2017. These genes were identified by differential expression analysis of mesenchymal-like and adrenergic-like neuroblastoma cell lines.
Wilcoxon ranksum test P-value for gene set overrepresentation: 3.51e-04
Mean rank of genes in gene set: 9532.54
Median rank of genes in gene set: 10441.5
Rank on gene expression program of top 30 genes in gene set:
Genes | Weight | Rank | GTEx | DepMap | Descartes | Mean.Counts | Mean.TPM |
---|---|---|---|---|---|---|---|
CFI | 0.0025392 | 212 | GTEx | DepMap | Descartes | 2.24 | 8.05 |
STEAP1 | 0.0022834 | 235 | GTEx | DepMap | Descartes | 0.40 | 4.09 |
QSOX1 | 0.0022514 | 239 | GTEx | DepMap | Descartes | 8.23 | 33.64 |
ATP1B1 | 0.0019361 | 274 | GTEx | DepMap | Descartes | 17.84 | 127.39 |
PROM1 | 0.0019127 | 281 | GTEx | DepMap | Descartes | 4.44 | 5.96 |
MGST1 | 0.0017878 | 301 | GTEx | DepMap | Descartes | 6.90 | 61.30 |
DNAJC10 | 0.0016602 | 327 | GTEx | DepMap | Descartes | 9.42 | 35.28 |
IQGAP2 | 0.0016596 | 328 | GTEx | DepMap | Descartes | 3.38 | 2.06 |
PLSCR1 | 0.0016170 | 336 | GTEx | DepMap | Descartes | 2.33 | 13.07 |
PAPSS2 | 0.0013732 | 381 | GTEx | DepMap | Descartes | 4.47 | 9.74 |
ITPRIPL2 | 0.0013119 | 405 | GTEx | DepMap | Descartes | 2.76 | 71.04 |
KLF4 | 0.0012031 | 436 | GTEx | DepMap | Descartes | 11.10 | 324.35 |
SOX9 | 0.0011419 | 456 | GTEx | DepMap | Descartes | 2.72 | 56.58 |
PON2 | 0.0010965 | 473 | GTEx | DepMap | Descartes | 7.11 | 31.36 |
ERLIN1 | 0.0010799 | 480 | GTEx | DepMap | Descartes | 2.33 | 8.55 |
ID1 | 0.0010761 | 483 | GTEx | DepMap | Descartes | 11.23 | 1320.25 |
EPS8 | 0.0010688 | 488 | GTEx | DepMap | Descartes | 1.55 | 1.15 |
SEL1L3 | 0.0010492 | 491 | GTEx | DepMap | Descartes | 1.55 | 2.34 |
ANXA2 | 0.0010105 | 503 | GTEx | DepMap | Descartes | 14.05 | 46.77 |
CTNNA1 | 0.0010100 | 505 | GTEx | DepMap | Descartes | 6.55 | 7.10 |
UGDH | 0.0009924 | 511 | GTEx | DepMap | Descartes | 6.08 | 46.02 |
LASP1 | 0.0009705 | 524 | GTEx | DepMap | Descartes | 4.55 | 16.68 |
PDLIM1 | 0.0009658 | 527 | GTEx | DepMap | Descartes | 4.55 | 12.09 |
LPP | 0.0008637 | 576 | GTEx | DepMap | Descartes | 3.16 | 0.86 |
ASPH | 0.0008501 | 581 | GTEx | DepMap | Descartes | 4.09 | 2.53 |
SHROOM3 | 0.0008450 | 582 | GTEx | DepMap | Descartes | 1.97 | 1.11 |
TRAM1 | 0.0008418 | 583 | GTEx | DepMap | Descartes | 5.66 | 31.72 |
SDC4 | 0.0008380 | 587 | GTEx | DepMap | Descartes | 7.42 | 49.87 |
PTPRK | 0.0008310 | 590 | GTEx | DepMap | Descartes | 1.18 | 0.36 |
GNG12 | 0.0008198 | 596 | GTEx | DepMap | Descartes | 3.53 | 3.74 |
Descartes adrenocortical markers
Top 50 marker genes of adrenocortical cells in the Decartes fetal adrenal single cell map (https://atlas.brotmanbaty.org/bbi/human-gene-expression-during-development/cell/adrenocortical/in/adrenal)
Wilcoxon ranksum test P-value for gene set overrepresentation: 2.92e-01
Mean rank of genes in gene set: 9965.12
Median rank of genes in gene set: 12567.5
Rank on gene expression program of top 30 genes in gene set:
Genes | Weight | Rank | GTEx | DepMap | Descartes | Mean.Counts | Mean.TPM |
---|---|---|---|---|---|---|---|
CLU | 0.0079286 | 21 | GTEx | DepMap | Descartes | 79.31 | 894.55 |
GSTA4 | 0.0077142 | 26 | GTEx | DepMap | Descartes | 112.42 | 520.61 |
PAPSS2 | 0.0013732 | 381 | GTEx | DepMap | Descartes | 4.47 | 9.74 |
HMGCS1 | 0.0006727 | 700 | GTEx | DepMap | Descartes | 6.53 | 55.39 |
CYB5B | 0.0004852 | 909 | GTEx | DepMap | Descartes | 3.70 | 13.98 |
DHCR24 | 0.0004752 | 923 | GTEx | DepMap | Descartes | 2.80 | 16.02 |
LDLR | 0.0003876 | 1103 | GTEx | DepMap | Descartes | 1.32 | 6.91 |
FDX1 | 0.0003705 | 1140 | GTEx | DepMap | Descartes | 3.44 | 20.50 |
MSMO1 | 0.0002106 | 1767 | GTEx | DepMap | Descartes | 3.00 | 28.90 |
HSPE1 | 0.0001982 | 1832 | GTEx | DepMap | Descartes | 19.72 | 645.64 |
SLC16A9 | 0.0001227 | 2378 | GTEx | DepMap | Descartes | 0.51 | 1.87 |
ERN1 | 0.0000895 | 2776 | GTEx | DepMap | Descartes | 0.28 | 0.45 |
BAIAP2L1 | 0.0000707 | 3055 | GTEx | DepMap | Descartes | 1.78 | 2.35 |
SH3PXD2B | 0.0000696 | 3068 | GTEx | DepMap | Descartes | 0.41 | 0.77 |
TM7SF2 | 0.0000355 | 3751 | GTEx | DepMap | Descartes | 0.16 | 7.05 |
FDPS | 0.0000285 | 3928 | GTEx | DepMap | Descartes | 4.67 | 67.57 |
SULT2A1 | 0.0000056 | 4827 | GTEx | DepMap | Descartes | 0.00 | 0.00 |
CYP11B1 | 0.0000040 | 4929 | GTEx | DepMap | Descartes | 0.00 | 0.00 |
CYP17A1 | -0.0000270 | 9883 | GTEx | DepMap | Descartes | 0.00 | 0.00 |
FREM2 | -0.0000336 | 10580 | GTEx | DepMap | Descartes | 0.00 | 0.00 |
SCARB1 | -0.0000504 | 12138 | GTEx | DepMap | Descartes | 0.38 | 0.82 |
DHCR7 | -0.0000613 | 12997 | GTEx | DepMap | Descartes | 0.52 | 3.12 |
SCAP | -0.0000696 | 13583 | GTEx | DepMap | Descartes | 1.58 | 4.31 |
HSPD1 | -0.0000778 | 14100 | GTEx | DepMap | Descartes | 14.31 | 160.06 |
STAR | -0.0000800 | 14256 | GTEx | DepMap | Descartes | 0.05 | 0.83 |
INHA | -0.0000824 | 14372 | GTEx | DepMap | Descartes | 0.01 | 0.50 |
SLC1A2 | -0.0000827 | 14396 | GTEx | DepMap | Descartes | 0.07 | 0.04 |
FDXR | -0.0000905 | 14870 | GTEx | DepMap | Descartes | 0.26 | 3.19 |
DNER | -0.0001007 | 15378 | GTEx | DepMap | Descartes | 0.02 | 0.01 |
CYP11A1 | -0.0001026 | 15470 | GTEx | DepMap | Descartes | 0.00 | 0.00 |
Descartes chromaffin markers
Top 50 marker genes of chromaffin cells in the Decartes fetal adrenal single cell map (https://atlas.brotmanbaty.org/bbi/human-gene-expression-during-development/cell/chromaffin/in/adrenal)
Wilcoxon ranksum test P-value for gene set overrepresentation: 1.00e+00
Mean rank of genes in gene set: 16967.77
Median rank of genes in gene set: 18641
Rank on gene expression program of top 30 genes in gene set:
Genes | Weight | Rank | GTEx | DepMap | Descartes | Mean.Counts | Mean.TPM |
---|---|---|---|---|---|---|---|
IL7 | 0.0001438 | 2180 | GTEx | DepMap | Descartes | 0.05 | 0.18 |
ANKFN1 | -0.0000225 | 9349 | GTEx | DepMap | Descartes | 0.00 | 0.00 |
SYNPO2 | -0.0000342 | 10653 | GTEx | DepMap | Descartes | 0.00 | 0.00 |
RPH3A | -0.0000393 | 11141 | GTEx | DepMap | Descartes | 0.00 | 0.00 |
RGMB | -0.0000446 | 11638 | GTEx | DepMap | Descartes | 0.30 | 1.31 |
GREM1 | -0.0000454 | 11713 | GTEx | DepMap | Descartes | 0.00 | 0.00 |
PRPH | -0.0000580 | 12729 | GTEx | DepMap | Descartes | 0.05 | 2.31 |
EPHA6 | -0.0000630 | 13111 | GTEx | DepMap | Descartes | 0.00 | 0.00 |
TMEM132C | -0.0000703 | 13633 | GTEx | DepMap | Descartes | 0.00 | 0.00 |
FAT3 | -0.0000724 | 13776 | GTEx | DepMap | Descartes | 0.00 | 0.00 |
NTRK1 | -0.0000728 | 13803 | GTEx | DepMap | Descartes | 0.00 | 0.00 |
HMX1 | -0.0000751 | 13937 | GTEx | DepMap | Descartes | 0.00 | 0.00 |
MAB21L1 | -0.0000879 | 14697 | GTEx | DepMap | Descartes | 0.00 | 0.00 |
SLC6A2 | -0.0000919 | 14956 | GTEx | DepMap | Descartes | 0.00 | 0.00 |
GAL | -0.0000934 | 15031 | GTEx | DepMap | Descartes | 0.02 | 0.41 |
HS3ST5 | -0.0001013 | 15404 | GTEx | DepMap | Descartes | 0.00 | 0.00 |
PTCHD1 | -0.0001119 | 15906 | GTEx | DepMap | Descartes | 0.01 | 0.02 |
ALK | -0.0001202 | 16286 | GTEx | DepMap | Descartes | 0.00 | 0.00 |
SLC44A5 | -0.0001340 | 16856 | GTEx | DepMap | Descartes | 0.01 | 0.00 |
NPY | -0.0001716 | 18087 | GTEx | DepMap | Descartes | 0.06 | 1.17 |
RYR2 | -0.0001830 | 18402 | GTEx | DepMap | Descartes | 0.00 | 0.00 |
KCNB2 | -0.0001880 | 18540 | GTEx | DepMap | Descartes | 0.01 | 0.00 |
PLXNA4 | -0.0001968 | 18742 | GTEx | DepMap | Descartes | 0.09 | 0.04 |
EYA4 | -0.0001977 | 18765 | GTEx | DepMap | Descartes | 0.02 | 0.01 |
MARCH11 | -0.0002173 | 19125 | GTEx | DepMap | Descartes | 0.08 | 0.07 |
RBFOX1 | -0.0002317 | 19353 | GTEx | DepMap | Descartes | 0.06 | 0.00 |
TMEFF2 | -0.0002339 | 19393 | GTEx | DepMap | Descartes | 0.08 | 0.03 |
GAP43 | -0.0002797 | 20007 | GTEx | DepMap | Descartes | 2.26 | 2.47 |
TUBB2A | -0.0002968 | 20145 | GTEx | DepMap | Descartes | 0.89 | 26.32 |
STMN4 | -0.0003109 | 20239 | GTEx | DepMap | Descartes | 0.26 | 1.70 |
Descartes Vascular_endothelial markers
Top 50 marker genes of Vascular_endothelial cells in the Decartes fetal adrenal single cell map (https://atlas.brotmanbaty.org/bbi/human-gene-expression-during-development/cell/vascular_endothelial/in/adrenal)
Wilcoxon ranksum test P-value for gene set overrepresentation: 9.91e-01
Mean rank of genes in gene set: 12669.05
Median rank of genes in gene set: 13381
Rank on gene expression program of top 30 genes in gene set:
Genes | Weight | Rank | GTEx | DepMap | Descartes | Mean.Counts | Mean.TPM |
---|---|---|---|---|---|---|---|
ID1 | 0.0010761 | 483 | GTEx | DepMap | Descartes | 11.23 | 1320.25 |
CEACAM1 | 0.0008301 | 592 | GTEx | DepMap | Descartes | 1.08 | 8.89 |
NR5A2 | 0.0000858 | 2837 | GTEx | DepMap | Descartes | 0.01 | 0.02 |
CHRM3 | 0.0000722 | 3034 | GTEx | DepMap | Descartes | 0.03 | 0.01 |
CRHBP | -0.0000107 | 7403 | GTEx | DepMap | Descartes | 0.00 | 0.00 |
ECSCR | -0.0000155 | 8272 | GTEx | DepMap | Descartes | 0.25 | 2.64 |
BTNL9 | -0.0000173 | 8602 | GTEx | DepMap | Descartes | 0.00 | 0.00 |
DNASE1L3 | -0.0000197 | 8981 | GTEx | DepMap | Descartes | 0.00 | 0.00 |
FCGR2B | -0.0000229 | 9395 | GTEx | DepMap | Descartes | 0.01 | 0.07 |
SHE | -0.0000253 | 9690 | GTEx | DepMap | Descartes | 0.00 | 0.00 |
APLNR | -0.0000264 | 9822 | GTEx | DepMap | Descartes | 0.00 | 0.00 |
EFNB2 | -0.0000414 | 11348 | GTEx | DepMap | Descartes | 0.47 | 1.78 |
HYAL2 | -0.0000496 | 12074 | GTEx | DepMap | Descartes | 0.56 | 13.99 |
TMEM88 | -0.0000529 | 12326 | GTEx | DepMap | Descartes | 0.00 | 0.00 |
ROBO4 | -0.0000537 | 12395 | GTEx | DepMap | Descartes | 0.00 | 0.00 |
KDR | -0.0000568 | 12657 | GTEx | DepMap | Descartes | 0.14 | 0.58 |
ESM1 | -0.0000577 | 12716 | GTEx | DepMap | Descartes | 0.00 | 0.00 |
GALNT15 | -0.0000592 | 12824 | GTEx | DepMap | Descartes | 0.00 | 0.00 |
NPR1 | -0.0000628 | 13096 | GTEx | DepMap | Descartes | 0.07 | 0.75 |
CALCRL | -0.0000648 | 13245 | GTEx | DepMap | Descartes | 0.05 | 0.08 |
PLVAP | -0.0000664 | 13348 | GTEx | DepMap | Descartes | 0.00 | 0.00 |
ARHGAP29 | -0.0000668 | 13381 | GTEx | DepMap | Descartes | 1.06 | 2.52 |
TEK | -0.0000671 | 13406 | GTEx | DepMap | Descartes | 0.00 | 0.00 |
PTPRB | -0.0000770 | 14049 | GTEx | DepMap | Descartes | 0.00 | 0.00 |
TIE1 | -0.0000817 | 14333 | GTEx | DepMap | Descartes | 0.00 | 0.00 |
CLDN5 | -0.0000864 | 14612 | GTEx | DepMap | Descartes | 0.00 | 0.00 |
EHD3 | -0.0000868 | 14631 | GTEx | DepMap | Descartes | 0.03 | 0.17 |
MMRN2 | -0.0000914 | 14925 | GTEx | DepMap | Descartes | 0.00 | 0.00 |
KANK3 | -0.0000915 | 14932 | GTEx | DepMap | Descartes | 0.05 | 0.38 |
CDH5 | -0.0000951 | 15113 | GTEx | DepMap | Descartes | 0.00 | 0.00 |
Descartes stromal markers
Top 50 marker genes of stromal cells in the Decartes fetal adrenal single cell map (https://atlas.brotmanbaty.org/bbi/human-gene-expression-during-development/cell/stromal/in/adrenal)
Wilcoxon ranksum test P-value for gene set overrepresentation: 9.70e-01
Mean rank of genes in gene set: 12153.15
Median rank of genes in gene set: 12415.5
Rank on gene expression program of top 30 genes in gene set:
Genes | Weight | Rank | GTEx | DepMap | Descartes | Mean.Counts | Mean.TPM |
---|---|---|---|---|---|---|---|
COL27A1 | 0.0001728 | 1976 | GTEx | DepMap | Descartes | 0.28 | 0.39 |
PAMR1 | 0.0000714 | 3044 | GTEx | DepMap | Descartes | 0.03 | 0.06 |
SULT1E1 | 0.0000592 | 3273 | GTEx | DepMap | Descartes | 0.25 | 1.43 |
ACTA2 | -0.0000150 | 8196 | GTEx | DepMap | Descartes | 0.59 | 2.93 |
FREM1 | -0.0000175 | 8642 | GTEx | DepMap | Descartes | 0.00 | 0.00 |
C7 | -0.0000255 | 9721 | GTEx | DepMap | Descartes | 0.00 | 0.00 |
ITGA11 | -0.0000264 | 9812 | GTEx | DepMap | Descartes | 0.00 | 0.00 |
ABCA6 | -0.0000295 | 10164 | GTEx | DepMap | Descartes | 0.00 | 0.00 |
OGN | -0.0000306 | 10292 | GTEx | DepMap | Descartes | 0.01 | 0.13 |
PRRX1 | -0.0000320 | 10423 | GTEx | DepMap | Descartes | 0.00 | 0.00 |
ABCC9 | -0.0000320 | 10427 | GTEx | DepMap | Descartes | 0.00 | 0.00 |
LAMC3 | -0.0000326 | 10479 | GTEx | DepMap | Descartes | 0.00 | 0.00 |
PDGFRA | -0.0000335 | 10576 | GTEx | DepMap | Descartes | 0.01 | 0.10 |
GLI2 | -0.0000366 | 10883 | GTEx | DepMap | Descartes | 0.00 | 0.00 |
ISLR | -0.0000421 | 11409 | GTEx | DepMap | Descartes | 0.00 | 0.00 |
MGP | -0.0000425 | 11457 | GTEx | DepMap | Descartes | 0.28 | 16.22 |
LUM | -0.0000433 | 11528 | GTEx | DepMap | Descartes | 0.00 | 0.00 |
RSPO3 | -0.0000436 | 11565 | GTEx | DepMap | Descartes | 0.00 | 0.00 |
EDNRA | -0.0000437 | 11574 | GTEx | DepMap | Descartes | 0.00 | 0.00 |
DKK2 | -0.0000461 | 11793 | GTEx | DepMap | Descartes | 0.00 | 0.00 |
SCARA5 | -0.0000496 | 12083 | GTEx | DepMap | Descartes | 0.01 | 0.02 |
COL6A3 | -0.0000521 | 12268 | GTEx | DepMap | Descartes | 0.00 | 0.00 |
ADAMTSL3 | -0.0000532 | 12355 | GTEx | DepMap | Descartes | 0.01 | 0.01 |
CCDC80 | -0.0000547 | 12476 | GTEx | DepMap | Descartes | 0.17 | 0.92 |
BICC1 | -0.0000553 | 12536 | GTEx | DepMap | Descartes | 0.42 | 0.44 |
COL3A1 | -0.0000554 | 12544 | GTEx | DepMap | Descartes | 1.27 | 6.45 |
ADAMTS2 | -0.0000561 | 12591 | GTEx | DepMap | Descartes | 0.05 | 0.04 |
CD248 | -0.0000565 | 12620 | GTEx | DepMap | Descartes | 0.08 | 5.91 |
COL1A2 | -0.0000566 | 12631 | GTEx | DepMap | Descartes | 0.24 | 1.22 |
LRRC17 | -0.0000638 | 13165 | GTEx | DepMap | Descartes | 0.00 | 0.00 |
Descartes sympathoblasts markers
Top 50 marker genes of sympathoblasts cells in the Decartes fetal adrenal single cell map (https://atlas.brotmanbaty.org/bbi/human-gene-expression-during-development/cell/sympathoblasts/in/adrenal)
Wilcoxon ranksum test P-value for gene set overrepresentation: 1.00e+00
Mean rank of genes in gene set: 14119.12
Median rank of genes in gene set: 14670.5
Rank on gene expression program of top 30 genes in gene set:
Genes | Weight | Rank | GTEx | DepMap | Descartes | Mean.Counts | Mean.TPM |
---|---|---|---|---|---|---|---|
GCH1 | 0.0002166 | 1725 | GTEx | DepMap | Descartes | 1.86 | 6.62 |
GALNTL6 | 0.0001618 | 2044 | GTEx | DepMap | Descartes | 0.56 | 0.07 |
TENM1 | 0.0001351 | 2261 | GTEx | DepMap | Descartes | 0.08 | 0.01 |
PCSK2 | 0.0000457 | 3533 | GTEx | DepMap | Descartes | 0.24 | 0.10 |
EML6 | 0.0000169 | 4279 | GTEx | DepMap | Descartes | 0.15 | 0.06 |
KCTD16 | -0.0000159 | 8355 | GTEx | DepMap | Descartes | 0.00 | 0.00 |
ARC | -0.0000332 | 10553 | GTEx | DepMap | Descartes | 0.09 | 2.91 |
PNMT | -0.0000404 | 11238 | GTEx | DepMap | Descartes | 0.00 | 0.00 |
HTATSF1 | -0.0000408 | 11274 | GTEx | DepMap | Descartes | 1.45 | 12.92 |
CDH18 | -0.0000408 | 11277 | GTEx | DepMap | Descartes | 0.00 | 0.00 |
SLC35F3 | -0.0000408 | 11282 | GTEx | DepMap | Descartes | 0.00 | 0.00 |
SLC24A2 | -0.0000494 | 12057 | GTEx | DepMap | Descartes | 0.00 | 0.00 |
CHGB | -0.0000584 | 12753 | GTEx | DepMap | Descartes | 1.86 | 12.95 |
SORCS3 | -0.0000586 | 12768 | GTEx | DepMap | Descartes | 0.00 | 0.00 |
CNTN3 | -0.0000595 | 12850 | GTEx | DepMap | Descartes | 0.00 | 0.00 |
AGBL4 | -0.0000599 | 12887 | GTEx | DepMap | Descartes | 0.00 | 0.00 |
SLC18A1 | -0.0000603 | 12911 | GTEx | DepMap | Descartes | 0.00 | 0.00 |
PENK | -0.0000632 | 13120 | GTEx | DepMap | Descartes | 0.00 | 0.00 |
GRID2 | -0.0000637 | 13159 | GTEx | DepMap | Descartes | 0.01 | 0.00 |
CDH12 | -0.0000851 | 14526 | GTEx | DepMap | Descartes | 0.00 | 0.00 |
GRM7 | -0.0000864 | 14610 | GTEx | DepMap | Descartes | 0.00 | 0.00 |
TBX20 | -0.0000884 | 14731 | GTEx | DepMap | Descartes | 0.00 | 0.00 |
DGKK | -0.0000893 | 14788 | GTEx | DepMap | Descartes | 0.17 | 0.14 |
TMEM130 | -0.0001048 | 15582 | GTEx | DepMap | Descartes | 0.01 | 0.04 |
PACRG | -0.0001105 | 15847 | GTEx | DepMap | Descartes | 0.03 | 0.01 |
FGF14 | -0.0001180 | 16199 | GTEx | DepMap | Descartes | 0.01 | 0.00 |
SPOCK3 | -0.0001297 | 16687 | GTEx | DepMap | Descartes | 0.05 | 0.01 |
MGAT4C | -0.0001420 | 17170 | GTEx | DepMap | Descartes | 0.09 | 0.02 |
CCSER1 | -0.0001497 | 17423 | GTEx | DepMap | Descartes | 0.17 | 0.04 |
ROBO1 | -0.0001956 | 18718 | GTEx | DepMap | Descartes | 0.11 | 0.02 |
Descartes erythroblasts markers
Top 50 marker genes of erythroblasts cells in the Decartes fetal adrenal single cell map (https://atlas.brotmanbaty.org/bbi/human-gene-expression-during-development/cell/erythroblasts/in/adrenal)
Wilcoxon ranksum test P-value for gene set overrepresentation: 6.89e-02
Mean rank of genes in gene set: 8959.66
Median rank of genes in gene set: 7702
Rank on gene expression program of top 30 genes in gene set:
Genes | Weight | Rank | GTEx | DepMap | Descartes | Mean.Counts | Mean.TPM |
---|---|---|---|---|---|---|---|
BLVRB | 0.0011145 | 467 | GTEx | DepMap | Descartes | 6.23 | 43.94 |
SLC25A21 | 0.0007020 | 682 | GTEx | DepMap | Descartes | 0.02 | 0.00 |
GCLC | 0.0006882 | 692 | GTEx | DepMap | Descartes | 3.17 | 12.36 |
SPECC1 | 0.0002321 | 1654 | GTEx | DepMap | Descartes | 0.32 | 0.23 |
ABCB10 | 0.0001922 | 1857 | GTEx | DepMap | Descartes | 0.82 | 4.54 |
CR1L | 0.0001823 | 1916 | GTEx | DepMap | Descartes | 1.41 | 5.13 |
SELENBP1 | 0.0001731 | 1972 | GTEx | DepMap | Descartes | 0.55 | 6.38 |
ANK1 | 0.0001634 | 2035 | GTEx | DepMap | Descartes | 0.09 | 0.07 |
FECH | 0.0001049 | 2580 | GTEx | DepMap | Descartes | 0.59 | 2.12 |
CAT | 0.0001030 | 2604 | GTEx | DepMap | Descartes | 1.59 | 7.49 |
GYPA | 0.0000430 | 3590 | GTEx | DepMap | Descartes | 0.01 | 0.05 |
HEMGN | 0.0000217 | 4129 | GTEx | DepMap | Descartes | 0.00 | 0.00 |
MICAL2 | 0.0000171 | 4272 | GTEx | DepMap | Descartes | 0.65 | 0.50 |
CPOX | 0.0000012 | 5191 | GTEx | DepMap | Descartes | 1.07 | 2.94 |
SPTA1 | -0.0000048 | 6210 | GTEx | DepMap | Descartes | 0.00 | 0.00 |
EPB42 | -0.0000099 | 7258 | GTEx | DepMap | Descartes | 0.00 | 0.00 |
RHD | -0.0000103 | 7321 | GTEx | DepMap | Descartes | 0.00 | 0.00 |
SLC4A1 | -0.0000122 | 7702 | GTEx | DepMap | Descartes | 0.00 | 0.00 |
RGS6 | -0.0000217 | 9255 | GTEx | DepMap | Descartes | 0.00 | 0.00 |
TMEM56 | -0.0000378 | 10997 | GTEx | DepMap | Descartes | 0.22 | 0.41 |
MARCH3 | -0.0000424 | 11436 | GTEx | DepMap | Descartes | 0.00 | 0.00 |
GYPC | -0.0000439 | 11594 | GTEx | DepMap | Descartes | 0.00 | 0.00 |
TFR2 | -0.0000452 | 11697 | GTEx | DepMap | Descartes | 0.00 | 0.00 |
TRAK2 | -0.0000594 | 12838 | GTEx | DepMap | Descartes | 0.53 | 1.34 |
ALAS2 | -0.0000657 | 13304 | GTEx | DepMap | Descartes | 0.01 | 0.09 |
DENND4A | -0.0000777 | 14088 | GTEx | DepMap | Descartes | 0.14 | 0.18 |
XPO7 | -0.0000871 | 14648 | GTEx | DepMap | Descartes | 0.90 | 1.46 |
SNCA | -0.0001129 | 15941 | GTEx | DepMap | Descartes | 0.05 | 0.04 |
SLC25A37 | -0.0001142 | 16015 | GTEx | DepMap | Descartes | 0.49 | 1.45 |
RAPGEF2 | -0.0001428 | 17203 | GTEx | DepMap | Descartes | 0.27 | 0.18 |
Descartes myeloid markers
Top 50 marker genes of myeloid cells in the Decartes fetal adrenal single cell map (https://atlas.brotmanbaty.org/bbi/human-gene-expression-during-development/cell/myeloid/in/adrenal)
Wilcoxon ranksum test P-value for gene set overrepresentation: 5.83e-01
Mean rank of genes in gene set: 10663.51
Median rank of genes in gene set: 12349
Rank on gene expression program of top 30 genes in gene set:
Genes | Weight | Rank | GTEx | DepMap | Descartes | Mean.Counts | Mean.TPM |
---|---|---|---|---|---|---|---|
WWP1 | 0.0006148 | 745 | GTEx | DepMap | Descartes | 3.12 | 4.47 |
FMN1 | 0.0003311 | 1257 | GTEx | DepMap | Descartes | 1.24 | 0.57 |
SLC1A3 | 0.0003060 | 1345 | GTEx | DepMap | Descartes | 0.73 | 1.37 |
SPP1 | 0.0002942 | 1394 | GTEx | DepMap | Descartes | 23.89 | 965.74 |
IFNGR1 | 0.0001867 | 1891 | GTEx | DepMap | Descartes | 2.60 | 20.92 |
CD14 | 0.0001194 | 2416 | GTEx | DepMap | Descartes | 0.66 | 47.51 |
HCK | 0.0000501 | 3427 | GTEx | DepMap | Descartes | 0.03 | 0.08 |
ATP8B4 | 0.0000333 | 3798 | GTEx | DepMap | Descartes | 0.00 | 0.00 |
CST3 | 0.0000291 | 3915 | GTEx | DepMap | Descartes | 15.34 | 495.56 |
CTSC | 0.0000050 | 4868 | GTEx | DepMap | Descartes | 1.47 | 6.45 |
ITPR2 | -0.0000021 | 5707 | GTEx | DepMap | Descartes | 0.50 | 0.12 |
CPVL | -0.0000059 | 6429 | GTEx | DepMap | Descartes | 0.00 | 0.00 |
MS4A4A | -0.0000140 | 8024 | GTEx | DepMap | Descartes | 0.00 | 0.00 |
ADAP2 | -0.0000141 | 8048 | GTEx | DepMap | Descartes | 0.03 | 0.17 |
VSIG4 | -0.0000193 | 8919 | GTEx | DepMap | Descartes | 0.00 | 0.00 |
MS4A7 | -0.0000290 | 10103 | GTEx | DepMap | Descartes | 0.01 | 0.24 |
SLCO2B1 | -0.0000346 | 10695 | GTEx | DepMap | Descartes | 0.00 | 0.00 |
CD163 | -0.0000368 | 10898 | GTEx | DepMap | Descartes | 0.00 | 0.00 |
CSF1R | -0.0000402 | 11213 | GTEx | DepMap | Descartes | 0.02 | 0.14 |
C1QA | -0.0000497 | 12086 | GTEx | DepMap | Descartes | 0.01 | 0.24 |
FGD2 | -0.0000514 | 12214 | GTEx | DepMap | Descartes | 0.02 | 0.15 |
SLC9A9 | -0.0000521 | 12274 | GTEx | DepMap | Descartes | 0.06 | 0.01 |
CD163L1 | -0.0000532 | 12349 | GTEx | DepMap | Descartes | 0.00 | 0.00 |
C1QB | -0.0000554 | 12538 | GTEx | DepMap | Descartes | 0.00 | 0.00 |
C1QC | -0.0000566 | 12628 | GTEx | DepMap | Descartes | 0.01 | 0.67 |
CTSS | -0.0000570 | 12670 | GTEx | DepMap | Descartes | 0.01 | 0.04 |
MARCH1 | -0.0000574 | 12693 | GTEx | DepMap | Descartes | 0.00 | 0.00 |
MSR1 | -0.0000603 | 12919 | GTEx | DepMap | Descartes | 0.00 | 0.00 |
CYBB | -0.0000627 | 13089 | GTEx | DepMap | Descartes | 0.00 | 0.00 |
FGL2 | -0.0000643 | 13195 | GTEx | DepMap | Descartes | 0.03 | 0.71 |
Descartes Schwann markers
Top 50 marker genes of Schwann cells in the Decartes fetal adrenal single cell map (https://atlas.brotmanbaty.org/bbi/human-gene-expression-during-development/cell/schwann/in/adrenal)
Wilcoxon ranksum test P-value for gene set overrepresentation: 1.00e+00
Mean rank of genes in gene set: 13482.6
Median rank of genes in gene set: 14459
Rank on gene expression program of top 30 genes in gene set:
Genes | Weight | Rank | GTEx | DepMap | Descartes | Mean.Counts | Mean.TPM |
---|---|---|---|---|---|---|---|
ERBB3 | 0.0008601 | 578 | GTEx | DepMap | Descartes | 1.86 | 15.45 |
PLCE1 | 0.0005180 | 867 | GTEx | DepMap | Descartes | 1.08 | 0.59 |
HMGA2 | 0.0005132 | 876 | GTEx | DepMap | Descartes | 0.10 | 0.10 |
EGFLAM | 0.0000480 | 3479 | GTEx | DepMap | Descartes | 0.01 | 0.05 |
STARD13 | 0.0000082 | 4690 | GTEx | DepMap | Descartes | 0.31 | 0.22 |
LAMC1 | -0.0000075 | 6748 | GTEx | DepMap | Descartes | 0.59 | 0.79 |
IL1RAPL2 | -0.0000081 | 6872 | GTEx | DepMap | Descartes | 0.00 | 0.00 |
TRPM3 | -0.0000178 | 8683 | GTEx | DepMap | Descartes | 0.00 | 0.00 |
IL1RAPL1 | -0.0000305 | 10277 | GTEx | DepMap | Descartes | 0.00 | 0.00 |
SOX5 | -0.0000332 | 10547 | GTEx | DepMap | Descartes | 0.17 | 0.04 |
GRIK3 | -0.0000333 | 10561 | GTEx | DepMap | Descartes | 0.00 | 0.00 |
PAG1 | -0.0000367 | 10887 | GTEx | DepMap | Descartes | 0.15 | 0.13 |
SOX10 | -0.0000411 | 11314 | GTEx | DepMap | Descartes | 0.00 | 0.00 |
SCN7A | -0.0000429 | 11498 | GTEx | DepMap | Descartes | 0.02 | 0.02 |
CDH19 | -0.0000447 | 11650 | GTEx | DepMap | Descartes | 0.00 | 0.00 |
PLP1 | -0.0000496 | 12076 | GTEx | DepMap | Descartes | 0.01 | 0.27 |
KCTD12 | -0.0000498 | 12091 | GTEx | DepMap | Descartes | 0.41 | 7.38 |
COL25A1 | -0.0000514 | 12218 | GTEx | DepMap | Descartes | 0.00 | 0.00 |
OLFML2A | -0.0000547 | 12475 | GTEx | DepMap | Descartes | 0.00 | 0.00 |
EDNRB | -0.0000657 | 13299 | GTEx | DepMap | Descartes | 0.00 | 0.00 |
SLC35F1 | -0.0000694 | 13564 | GTEx | DepMap | Descartes | 0.00 | 0.00 |
NRXN3 | -0.0000704 | 13638 | GTEx | DepMap | Descartes | 0.00 | 0.00 |
ADAMTS5 | -0.0000746 | 13903 | GTEx | DepMap | Descartes | 0.00 | 0.00 |
ERBB4 | -0.0000838 | 14459 | GTEx | DepMap | Descartes | 0.01 | 0.00 |
LRRTM4 | -0.0000872 | 14656 | GTEx | DepMap | Descartes | 0.01 | 0.00 |
GAS7 | -0.0000898 | 14830 | GTEx | DepMap | Descartes | 0.08 | 0.05 |
VCAN | -0.0000908 | 14893 | GTEx | DepMap | Descartes | 0.03 | 0.05 |
COL18A1 | -0.0000933 | 15025 | GTEx | DepMap | Descartes | 0.91 | 1.29 |
COL5A2 | -0.0000947 | 15089 | GTEx | DepMap | Descartes | 0.11 | 0.17 |
MPZ | -0.0001060 | 15641 | GTEx | DepMap | Descartes | 0.01 | 0.15 |
Descartes Megakaryocytes markers
Top 50 marker genes of Megakaryocytes cells in the Decartes fetal adrenal single cell map (https://atlas.brotmanbaty.org/bbi/human-gene-expression-during-development/cell/megakaryocytes/in/adrenal)
Wilcoxon ranksum test P-value for gene set overrepresentation: 9.65e-01
Mean rank of genes in gene set: 12039.82
Median rank of genes in gene set: 13526
Rank on gene expression program of top 30 genes in gene set:
Genes | Weight | Rank | GTEx | DepMap | Descartes | Mean.Counts | Mean.TPM |
---|---|---|---|---|---|---|---|
RAB27B | 0.0032746 | 151 | GTEx | DepMap | Descartes | 5.42 | 5.18 |
CD9 | 0.0010924 | 477 | GTEx | DepMap | Descartes | 18.81 | 67.79 |
MYH9 | 0.0003838 | 1110 | GTEx | DepMap | Descartes | 6.52 | 11.26 |
ACTN1 | 0.0003067 | 1342 | GTEx | DepMap | Descartes | 2.22 | 3.25 |
TMSB4X | 0.0002686 | 1491 | GTEx | DepMap | Descartes | 325.12 | 18007.41 |
GP9 | 0.0000393 | 3665 | GTEx | DepMap | Descartes | 0.02 | 2.47 |
VCL | 0.0000383 | 3683 | GTEx | DepMap | Descartes | 0.97 | 1.44 |
GSN | 0.0000322 | 3827 | GTEx | DepMap | Descartes | 9.70 | 26.83 |
ANGPT1 | 0.0000196 | 4201 | GTEx | DepMap | Descartes | 0.03 | 0.03 |
TUBB1 | -0.0000031 | 5889 | GTEx | DepMap | Descartes | 0.00 | 0.00 |
GP1BA | -0.0000059 | 6416 | GTEx | DepMap | Descartes | 0.00 | 0.00 |
TRPC6 | -0.0000166 | 8478 | GTEx | DepMap | Descartes | 0.00 | 0.00 |
P2RX1 | -0.0000175 | 8646 | GTEx | DepMap | Descartes | 0.00 | 0.00 |
ITGB3 | -0.0000198 | 9014 | GTEx | DepMap | Descartes | 0.00 | 0.00 |
RAP1B | -0.0000209 | 9131 | GTEx | DepMap | Descartes | 1.95 | 9.41 |
PF4 | -0.0000264 | 9817 | GTEx | DepMap | Descartes | 0.01 | 1.10 |
ARHGAP6 | -0.0000337 | 10590 | GTEx | DepMap | Descartes | 0.11 | 0.04 |
BIN2 | -0.0000363 | 10855 | GTEx | DepMap | Descartes | 0.00 | 0.00 |
SPN | -0.0000412 | 11325 | GTEx | DepMap | Descartes | 0.00 | 0.00 |
FLI1 | -0.0000423 | 11423 | GTEx | DepMap | Descartes | 0.00 | 0.00 |
MCTP1 | -0.0000493 | 12056 | GTEx | DepMap | Descartes | 0.00 | 0.00 |
ZYX | -0.0000597 | 12870 | GTEx | DepMap | Descartes | 1.28 | 15.54 |
PLEK | -0.0000608 | 12960 | GTEx | DepMap | Descartes | 0.00 | 0.00 |
SLC24A3 | -0.0000650 | 13257 | GTEx | DepMap | Descartes | 0.01 | 0.00 |
MYLK | -0.0000688 | 13526 | GTEx | DepMap | Descartes | 0.03 | 0.02 |
INPP4B | -0.0000711 | 13681 | GTEx | DepMap | Descartes | 0.05 | 0.01 |
PSTPIP2 | -0.0000712 | 13689 | GTEx | DepMap | Descartes | 0.00 | 0.00 |
CD84 | -0.0000719 | 13742 | GTEx | DepMap | Descartes | 0.00 | 0.00 |
FERMT3 | -0.0000791 | 14194 | GTEx | DepMap | Descartes | 0.08 | 0.54 |
TLN1 | -0.0000825 | 14380 | GTEx | DepMap | Descartes | 1.32 | 5.82 |
Descartes Lyphoid markers
Top 50 marker genes of Lyphoid cells in the Decartes fetal adrenal single cell map (https://atlas.brotmanbaty.org/bbi/human-gene-expression-during-development/cell/lymphoid/in/adrenal)
Wilcoxon ranksum test P-value for gene set overrepresentation: 8.33e-01
Mean rank of genes in gene set: 11354.75
Median rank of genes in gene set: 12238.5
Rank on gene expression program of top 30 genes in gene set:
Genes | Weight | Rank | GTEx | DepMap | Descartes | Mean.Counts | Mean.TPM |
---|---|---|---|---|---|---|---|
SORL1 | 0.0004710 | 928 | GTEx | DepMap | Descartes | 1.92 | 2.07 |
PLEKHA2 | 0.0003758 | 1130 | GTEx | DepMap | Descartes | 0.59 | 1.57 |
SCML4 | 0.0003705 | 1141 | GTEx | DepMap | Descartes | 0.47 | 0.63 |
ABLIM1 | 0.0002484 | 1574 | GTEx | DepMap | Descartes | 2.75 | 1.46 |
STK39 | 0.0001820 | 1918 | GTEx | DepMap | Descartes | 1.89 | 0.93 |
CCND3 | 0.0000899 | 2773 | GTEx | DepMap | Descartes | 0.78 | 1.39 |
LCP1 | 0.0000409 | 3635 | GTEx | DepMap | Descartes | 0.68 | 0.95 |
BCL2 | 0.0000244 | 4045 | GTEx | DepMap | Descartes | 0.58 | 0.54 |
RAP1GAP2 | 0.0000092 | 4624 | GTEx | DepMap | Descartes | 0.22 | 0.16 |
SAMD3 | 0.0000063 | 4794 | GTEx | DepMap | Descartes | 0.00 | 0.00 |
MBNL1 | 0.0000023 | 5062 | GTEx | DepMap | Descartes | 3.38 | 3.28 |
TOX | -0.0000002 | 5393 | GTEx | DepMap | Descartes | 0.36 | 0.15 |
MCTP2 | -0.0000018 | 5643 | GTEx | DepMap | Descartes | 0.20 | 0.12 |
CCL5 | -0.0000105 | 7364 | GTEx | DepMap | Descartes | 0.00 | 0.00 |
NKG7 | -0.0000149 | 8175 | GTEx | DepMap | Descartes | 0.00 | 0.00 |
SKAP1 | -0.0000150 | 8190 | GTEx | DepMap | Descartes | 0.00 | 0.00 |
NCALD | -0.0000242 | 9561 | GTEx | DepMap | Descartes | 0.36 | 0.16 |
FOXP1 | -0.0000243 | 9570 | GTEx | DepMap | Descartes | 3.51 | 0.91 |
ANKRD44 | -0.0000285 | 10052 | GTEx | DepMap | Descartes | 0.35 | 0.22 |
RCSD1 | -0.0000331 | 10534 | GTEx | DepMap | Descartes | 0.01 | 0.03 |
ARHGAP15 | -0.0000364 | 10860 | GTEx | DepMap | Descartes | 0.00 | 0.00 |
IKZF1 | -0.0000468 | 11858 | GTEx | DepMap | Descartes | 0.00 | 0.00 |
PRKCH | -0.0000565 | 12619 | GTEx | DepMap | Descartes | 0.03 | 0.02 |
ARID5B | -0.0000590 | 12802 | GTEx | DepMap | Descartes | 0.68 | 0.50 |
SP100 | -0.0000603 | 12912 | GTEx | DepMap | Descartes | 0.07 | 0.32 |
WIPF1 | -0.0000613 | 12995 | GTEx | DepMap | Descartes | 0.03 | 0.04 |
ARHGDIB | -0.0000681 | 13476 | GTEx | DepMap | Descartes | 0.12 | 0.71 |
PTPRC | -0.0000887 | 14747 | GTEx | DepMap | Descartes | 0.01 | 0.01 |
ITPKB | -0.0000927 | 15001 | GTEx | DepMap | Descartes | 0.02 | 0.02 |
PDE3B | -0.0000960 | 15160 | GTEx | DepMap | Descartes | 0.42 | 0.68 |
Below shows the ranks on this GEP for immune marker gene lists curated by CellTypist (https://www.celltypist.org/encyclopedia).
High ranks indicate this gene is a driver of this GEP.
These curated gene list are ranked by P-value (on this GEP) of their constituent genes.
The Mean Count column shows the mean read count in cells scoring highly (H > 50) on this gene expression program.
Genes | Weight | Rank | GTEx | DepMap | Decartes | Mean.Counts | Mean.TPM |
---|---|---|---|---|---|---|---|
RPL17 | 0.0001909 | 1865 | GTEx | DepMap | Descartes | 45.59 | 1059.07 |
PRDM16 | 0.0001662 | 2018 | GTEx | DepMap | Descartes | 0.57 | 0.31 |
ANXA1 | 0.0000540 | 3359 | GTEx | DepMap | Descartes | 8.58 | 53.07 |
CEBPB | 0.0000456 | 3534 | GTEx | DepMap | Descartes | 2.49 | 212.44 |
CCL5 | -0.0000105 | 7364 | GTEx | DepMap | Descartes | 0.00 | 0.00 |
KLRB1 | -0.0000115 | 7543 | GTEx | DepMap | Descartes | 0.00 | 0.00 |
Early MK: Early MK (model markers)
early megakaryocytes which are committed to megakaryocyte lineage cells:
Wilcoxon ranksum test P-value for gene set overrepresentation: 2.73e-02
Mean rank of genes in gene set: 4663.25
Rank on gene expression program of genes in gene set:
Genes | Weight | Rank | GTEx | DepMap | Decartes | Mean.Counts | Mean.TPM |
---|---|---|---|---|---|---|---|
CIB3 | 0.0016693 | 325 | GTEx | DepMap | Descartes | 0.05 | 0.68 |
CD207 | 0.0000315 | 3847 | GTEx | DepMap | Descartes | 0.00 | 0.00 |
PCP2 | -0.0000022 | 5718 | GTEx | DepMap | Descartes | 0.00 | 0.00 |
CCDC175 | -0.0000183 | 8763 | GTEx | DepMap | Descartes | 0.00 | 0.00 |
T cells: Tem/Trm cytotoxic T cells (model markers)
CD8+ cytotoxic T lymphocytes mainly localized in lymphoid and peripheral tissues and presenting an immediate:
Wilcoxon ranksum test P-value for gene set overrepresentation: 4.38e-02
Mean rank of genes in gene set: 6571.86
Rank on gene expression program of genes in gene set:
Genes | Weight | Rank | GTEx | DepMap | Decartes | Mean.Counts | Mean.TPM |
---|---|---|---|---|---|---|---|
RPS2 | 0.0008698 | 574 | GTEx | DepMap | Descartes | 131.18 | 3677.64 |
GZMK | 0.0000159 | 4319 | GTEx | DepMap | Descartes | 0.00 | 0.00 |
RPS29 | 0.0000092 | 4623 | GTEx | DepMap | Descartes | 117.91 | 9627.67 |
CCL5 | -0.0000105 | 7364 | GTEx | DepMap | Descartes | 0.00 | 0.00 |
CD8A | -0.0000111 | 7473 | GTEx | DepMap | Descartes | 0.00 | 0.00 |
NKG7 | -0.0000149 | 8175 | GTEx | DepMap | Descartes | 0.00 | 0.00 |
CST7 | -0.0000681 | 13475 | GTEx | DepMap | Descartes | 0.00 | 0.00 |