QQ-plot of gene loadings, averaged over both independent splits of the data
This plot highlights the relative contribution of each gene to the GEP
Top genes driving this program. Note: Decartes website is buggy, try refreshing. Also, Decartes fetal adrenal data have been collected at specific time points (89-122 days), all possible cell types of interest may not be represented, do not overinterpret. The Mean Count column shows the mean read count in cells scoring highly (H > 50) on this gene expression program (currently only calculated for the cells in the first 50/50 split of the data).
Note: Decartes website is buggy, try refreshing. Also, Decartes fetal adrenal data have been collected at specific time points (89-122 days), all possible cell types of interest may not be represented, do not overinterpret.
The Mean Count column shows the mean read count in cells scoring highly (H > 50) on this gene expression program.
Gene | Loading | Gene.Name | GTEx | DepMap | Descartes | Mean.Counts | Mean.Tpm | |
---|---|---|---|---|---|---|---|---|
1 | COL1A2 | 0.0135041 | collagen type I alpha 2 chain | GTEx | DepMap | Descartes | 847.88 | 14033.33 |
2 | COL1A1 | 0.0129046 | collagen type I alpha 1 chain | GTEx | DepMap | Descartes | 2296.24 | 44165.33 |
3 | SPARC | 0.0100763 | secreted protein acidic and cysteine rich | GTEx | DepMap | Descartes | 641.92 | 19454.24 |
4 | COL11A1 | 0.0090138 | collagen type XI alpha 1 chain | GTEx | DepMap | Descartes | 11.50 | 170.86 |
5 | PTN | 0.0087728 | pleiotrophin | GTEx | DepMap | Descartes | 19.13 | 2656.58 |
6 | COL5A2 | 0.0077883 | collagen type V alpha 2 chain | GTEx | DepMap | Descartes | 43.30 | 597.72 |
7 | LRRC15 | 0.0072346 | leucine rich repeat containing 15 | GTEx | DepMap | Descartes | 7.20 | 330.56 |
8 | COL3A1 | 0.0069863 | collagen type III alpha 1 chain | GTEx | DepMap | Descartes | 619.95 | 13541.43 |
9 | EGFL6 | 0.0057174 | EGF like domain multiple 6 | GTEx | DepMap | Descartes | 1.73 | 212.98 |
10 | SFRP2 | 0.0056303 | secreted frizzled related protein 2 | GTEx | DepMap | Descartes | 92.35 | 5923.14 |
11 | COL5A1 | 0.0051816 | collagen type V alpha 1 chain | GTEx | DepMap | Descartes | 47.98 | 587.90 |
12 | PCOLCE | 0.0050695 | procollagen C-endopeptidase enhancer | GTEx | DepMap | Descartes | 33.74 | 3379.26 |
13 | COL8A2 | 0.0045128 | collagen type VIII alpha 2 chain | GTEx | DepMap | Descartes | 4.89 | 122.02 |
14 | CERCAM | 0.0044696 | cerebral endothelial cell adhesion molecule | GTEx | DepMap | Descartes | 13.37 | 293.18 |
15 | CREB3L1 | 0.0040720 | cAMP responsive element binding protein 3 like 1 | GTEx | DepMap | Descartes | 16.67 | 650.56 |
16 | BGN | 0.0036839 | biglycan | GTEx | DepMap | Descartes | 89.31 | 5858.27 |
17 | KDELR3 | 0.0036181 | KDEL endoplasmic reticulum protein retention receptor 3 | GTEx | DepMap | Descartes | 5.09 | 165.24 |
18 | HAPLN1 | 0.0035686 | hyaluronan and proteoglycan link protein 1 | GTEx | DepMap | Descartes | 1.15 | 59.16 |
19 | PTH1R | 0.0034261 | parathyroid hormone 1 receptor | GTEx | DepMap | Descartes | 1.61 | 73.51 |
20 | ASPN | 0.0033948 | asporin | GTEx | DepMap | Descartes | 7.20 | 422.39 |
21 | RBP4 | 0.0032523 | retinol binding protein 4 | GTEx | DepMap | Descartes | 2.00 | 295.29 |
22 | HTRA1 | 0.0031570 | HtrA serine peptidase 1 | GTEx | DepMap | Descartes | 17.22 | 1375.20 |
23 | COL12A1 | 0.0029330 | collagen type XII alpha 1 chain | GTEx | DepMap | Descartes | 18.82 | 265.15 |
24 | C1QTNF6 | 0.0028778 | C1q and TNF related 6 | GTEx | DepMap | Descartes | 3.15 | 91.86 |
25 | CTHRC1 | 0.0027891 | collagen triple helix repeat containing 1 | GTEx | DepMap | Descartes | 8.35 | 937.70 |
26 | SERPINF1 | 0.0027821 | serpin family F member 1 | GTEx | DepMap | Descartes | 72.58 | 5404.72 |
27 | ADAMTS2 | 0.0027592 | ADAM metallopeptidase with thrombospondin type 1 motif 2 | GTEx | DepMap | Descartes | 11.42 | 232.72 |
28 | COL16A1 | 0.0026121 | collagen type XVI alpha 1 chain | GTEx | DepMap | Descartes | 8.76 | 288.78 |
29 | ITGB5 | 0.0025547 | integrin subunit beta 5 | GTEx | DepMap | Descartes | 7.65 | 203.85 |
30 | LOX | 0.0025412 | lysyl oxidase | GTEx | DepMap | Descartes | 11.02 | 208.80 |
31 | COL6A1 | 0.0024433 | collagen type VI alpha 1 chain | GTEx | DepMap | Descartes | 45.39 | 1647.67 |
32 | COPZ2 | 0.0023880 | COPI coat complex subunit zeta 2 | GTEx | DepMap | Descartes | 3.28 | 386.71 |
33 | PPIC | 0.0023855 | peptidylprolyl isomerase C | GTEx | DepMap | Descartes | 3.91 | 415.97 |
34 | FKBP10 | 0.0023728 | FKBP prolyl isomerase 10 | GTEx | DepMap | Descartes | 4.29 | 127.75 |
35 | RCN3 | 0.0023588 | reticulocalbin 3 | GTEx | DepMap | Descartes | 7.02 | 512.43 |
36 | CD9 | 0.0023353 | CD9 molecule | GTEx | DepMap | Descartes | 13.55 | 699.26 |
37 | LGALS1 | 0.0023232 | galectin 1 | GTEx | DepMap | Descartes | 27.10 | 6925.91 |
38 | SDC1 | 0.0023167 | syndecan 1 | GTEx | DepMap | Descartes | 1.27 | 86.68 |
39 | GXYLT2 | 0.0022976 | glucoside xylosyltransferase 2 | GTEx | DepMap | Descartes | 5.18 | 165.93 |
40 | THY1 | 0.0022907 | Thy-1 cell surface antigen | GTEx | DepMap | Descartes | 12.42 | 509.04 |
41 | COL10A1 | 0.0022899 | collagen type X alpha 1 chain | GTEx | DepMap | Descartes | 3.31 | 98.63 |
42 | MMP2 | 0.0022329 | matrix metallopeptidase 2 | GTEx | DepMap | Descartes | 30.93 | 1085.23 |
43 | COL13A1 | 0.0022190 | collagen type XIII alpha 1 chain | GTEx | DepMap | Descartes | 0.79 | 8.44 |
44 | ALPL | 0.0022153 | alkaline phosphatase, biomineralization associated | GTEx | DepMap | Descartes | 1.28 | 41.07 |
45 | TMEM119 | 0.0022143 | transmembrane protein 119 | GTEx | DepMap | Descartes | 10.40 | 407.73 |
46 | OLFML3 | 0.0021662 | olfactomedin like 3 | GTEx | DepMap | Descartes | 9.63 | 623.40 |
47 | ZIC1 | 0.0020786 | Zic family member 1 | GTEx | DepMap | Descartes | 0.76 | 12.17 |
48 | CHMP4C | 0.0020761 | charged multivesicular body protein 4C | GTEx | DepMap | Descartes | 0.33 | 6.20 |
49 | SMOC2 | 0.0020566 | SPARC related modular calcium binding 2 | GTEx | DepMap | Descartes | 9.85 | 500.88 |
50 | CTSK | 0.0020243 | cathepsin K | GTEx | DepMap | Descartes | 15.67 | 1338.51 |
UMAP plots showing activity of gene expression program identified in community:12. Cancer Associated Fibroblast: Myofibroblast
CNV Data procured from inferCNV.
Outer tracks are putative CNV regions (gains = red, losses = blue) for each patient
Inner track is expression data representing:
The top cells expressing this GEP (purple)
Random cells (n =50) from the reference set used in inferCNV (orange)
Gene set Enrichments for this program, caculated from top 50 genes
mSigDB Cell Types Gene Set:
P-value | OR | Lower 95% CI | FDR | FWER | Genes Found | Gene Set Size | |
---|---|---|---|---|---|---|---|
CUI_DEVELOPING_HEART_SMOOTH_MUSCLE_CELL | 1.94e-21 | 125.31 | 55.99 | 2.17e-19 | 1.30e-18 | 13COL1A2, COL1A1, SPARC, COL3A1, EGFL6, SFRP2, PCOLCE, BGN, SERPINF1, LOX, PPIC, RCN3, CTSK |
48 |
GAO_LARGE_INTESTINE_24W_C1_DCLK1POS_PROGENITOR | 3.84e-28 | 95.39 | 48.89 | 1.29e-25 | 2.58e-25 | 19COL1A2, COL1A1, SPARC, COL5A2, COL3A1, SFRP2, COL5A1, PCOLCE, CERCAM, ASPN, HTRA1, C1QTNF6, CTHRC1, SERPINF1, ADAMTS2, COL16A1, LOX, RCN3, MMP2 |
99 |
CUI_DEVELOPING_HEART_C3_FIBROBLAST_LIKE_CELL | 1.40e-28 | 85.73 | 44.56 | 9.41e-26 | 9.41e-26 | 20COL1A2, COL1A1, SPARC, PTN, COL5A2, COL5A1, PCOLCE, ASPN, COL12A1, SERPINF1, ADAMTS2, COL16A1, LOX, COL6A1, RCN3, LGALS1, THY1, MMP2, OLFML3, SMOC2 |
117 |
DESCARTES_FETAL_EYE_STROMAL_CELLS | 5.15e-25 | 87.77 | 43.91 | 8.64e-23 | 3.46e-22 | 17COL1A2, COL1A1, SPARC, COL5A2, COL3A1, EGFL6, SFRP2, COL5A1, PCOLCE, CREB3L1, KDELR3, ASPN, COL12A1, CTHRC1, ADAMTS2, LOX, COL6A1 |
90 |
DESCARTES_FETAL_THYMUS_STROMAL_CELLS | 3.98e-27 | 71.12 | 37.16 | 8.89e-25 | 2.67e-24 | 20COL1A2, COL1A1, SPARC, COL5A2, COL3A1, SFRP2, COL5A1, PCOLCE, CERCAM, CREB3L1, BGN, ASPN, COL12A1, LOX, COL6A1, FKBP10, RCN3, GXYLT2, MMP2, OLFML3 |
137 |
CUI_DEVELOPING_HEART_COMPACT_VENTRICULAR_CARDIOMYOCYTE | 1.25e-17 | 74.26 | 33.43 | 1.04e-15 | 8.40e-15 | 12COL1A2, COL1A1, SPARC, COL5A2, COL3A1, COL5A1, HAPLN1, ASPN, COL12A1, COL6A1, LGALS1, MMP2 |
65 |
DURANTE_ADULT_OLFACTORY_NEUROEPITHELIUM_FIBROBLASTS_STROMAL_CELLS | 1.31e-14 | 49.59 | 21.99 | 6.29e-13 | 8.81e-12 | 11COL1A2, COL1A1, SPARC, PTN, COL3A1, SFRP2, PCOLCE, BGN, SERPINF1, LGALS1, THY1 |
82 |
DESCARTES_FETAL_MUSCLE_STROMAL_CELLS | 2.23e-15 | 45.82 | 21.07 | 1.25e-13 | 1.50e-12 | 12COL1A2, COL1A1, COL3A1, EGFL6, PCOLCE, COL8A2, KDELR3, ASPN, COL12A1, TMEM119, SMOC2, CTSK |
98 |
DESCARTES_FETAL_HEART_STROMAL_CELLS | 3.57e-09 | 60.70 | 19.56 | 9.58e-08 | 2.39e-06 | 6COL1A2, COL1A1, PTN, PCOLCE, SERPINF1, ADAMTS2 |
34 |
AIZARANI_LIVER_C21_STELLATE_CELLS_1 | 1.40e-17 | 33.03 | 16.71 | 1.04e-15 | 9.37e-15 | 16COL1A2, COL1A1, SPARC, PTN, COL3A1, COL5A1, PCOLCE, BGN, SERPINF1, ADAMTS2, ITGB5, COL6A1, LGALS1, THY1, MMP2, OLFML3 |
194 |
TRAVAGLINI_LUNG_MYOFIBROBLAST_CELL | 1.44e-10 | 41.68 | 16.18 | 4.84e-09 | 9.68e-08 | 8COL1A1, COL3A1, ASPN, COL12A1, CTHRC1, COL16A1, CD9, MMP2 |
65 |
DESCARTES_MAIN_FETAL_STROMAL_CELLS | 1.02e-06 | 67.68 | 15.86 | 2.37e-05 | 6.87e-04 | 4COL1A2, COL1A1, COL5A1, COL12A1 |
20 |
HAY_BONE_MARROW_STROMAL | 3.01e-22 | 21.62 | 11.86 | 4.05e-20 | 2.02e-19 | 28COL1A2, COL1A1, COL11A1, PTN, COL5A2, COL3A1, COL5A1, PCOLCE, BGN, PTH1R, HTRA1, COL12A1, ADAMTS2, COL16A1, ITGB5, LOX, COL6A1, PPIC, FKBP10, RCN3, THY1, MMP2, ALPL, TMEM119, OLFML3, ZIC1, SMOC2, CTSK |
765 |
AIZARANI_LIVER_C33_STELLATE_CELLS_2 | 4.82e-11 | 26.91 | 11.71 | 1.83e-09 | 3.23e-08 | 10COL1A2, COL1A1, SPARC, PTN, COL3A1, COL5A1, BGN, PTH1R, COL6A1, LGALS1 |
126 |
CUI_DEVELOPING_HEART_LEFT_VENTRICULAR_CARDIOMYOCYTE | 4.77e-07 | 39.59 | 11.58 | 1.14e-05 | 3.20e-04 | 5COL3A1, HAPLN1, CTHRC1, LGALS1, THY1 |
40 |
MURARO_PANCREAS_MESENCHYMAL_STROMAL_CELL | 7.27e-21 | 20.74 | 11.37 | 6.97e-19 | 4.88e-18 | 26COL1A2, COL1A1, SPARC, COL5A2, COL3A1, SFRP2, COL5A1, CERCAM, CREB3L1, BGN, KDELR3, HTRA1, COL12A1, CTHRC1, SERPINF1, ADAMTS2, COL16A1, ITGB5, LOX, COL6A1, PPIC, FKBP10, LGALS1, THY1, MMP2, CTSK |
680 |
FAN_OVARY_CL6_PUTATIVE_EARLY_ATRETIC_FOLLICLE_THECAL_CELL_2 | 1.26e-14 | 20.72 | 10.55 | 6.29e-13 | 8.46e-12 | 16COL1A2, COL1A1, SPARC, COL3A1, BGN, HTRA1, SERPINF1, COL6A1, PPIC, FKBP10, LGALS1, THY1, MMP2, OLFML3, SMOC2, CTSK |
300 |
MENON_FETAL_KIDNEY_3_STROMAL_CELLS | 2.74e-08 | 27.47 | 10.09 | 7.08e-07 | 1.84e-05 | 7COL1A2, COL1A1, SPARC, PTN, COL5A2, COL3A1, LGALS1 |
81 |
GAO_LARGE_INTESTINE_ADULT_CJ_IMMUNE_CELLS | 3.44e-17 | 18.72 | 10.07 | 2.31e-15 | 2.31e-14 | 21COL1A2, COL1A1, SPARC, PTN, COL5A2, COL3A1, COL5A1, PCOLCE, BGN, PTH1R, HTRA1, COL12A1, SERPINF1, LOX, COL6A1, FKBP10, THY1, MMP2, COL13A1, TMEM119, OLFML3 |
505 |
DESCARTES_FETAL_KIDNEY_STROMAL_CELLS | 2.06e-10 | 22.97 | 10.03 | 6.28e-09 | 1.38e-07 | 10COL1A2, COL1A1, SPARC, COL3A1, SFRP2, KDELR3, ASPN, COL12A1, SERPINF1, LOX |
146 |
Dowload full table
mSigDB Hallmark Gene Sets:
P-value | OR | Lower 95% CI | FDR | FWER | Genes Found | Gene Set Size | |
---|---|---|---|---|---|---|---|
HALLMARK_EPITHELIAL_MESENCHYMAL_TRANSITION | 1.99e-25 | 50.47 | 26.84 | 9.96e-24 | 9.96e-24 | 21COL1A2, COL1A1, SPARC, COL11A1, COL5A2, LRRC15, COL3A1, COL5A1, PCOLCE, COL8A2, BGN, HTRA1, COL12A1, CTHRC1, COL16A1, ITGB5, LOX, LGALS1, SDC1, THY1, MMP2 |
200 |
HALLMARK_COAGULATION | 2.02e-04 | 10.44 | 3.18 | 4.11e-03 | 1.01e-02 | 5SPARC, HTRA1, CD9, MMP2, CTSK |
138 |
HALLMARK_UV_RESPONSE_DN | 2.46e-04 | 9.99 | 3.05 | 4.11e-03 | 1.23e-02 | 5COL1A2, COL1A1, COL11A1, COL5A2, COL3A1 |
144 |
HALLMARK_ANGIOGENESIS | 8.94e-03 | 15.30 | 1.73 | 6.39e-02 | 4.47e-01 | 2COL5A2, COL3A1 |
36 |
HALLMARK_HYPOXIA | 7.71e-03 | 5.55 | 1.44 | 6.39e-02 | 3.85e-01 | 4COL5A1, BGN, KDELR3, LOX |
200 |
HALLMARK_MYOGENESIS | 7.71e-03 | 5.55 | 1.44 | 6.39e-02 | 3.85e-01 | 4COL1A1, SPARC, COL3A1, ITGB5 |
200 |
HALLMARK_APICAL_JUNCTION | 7.71e-03 | 5.55 | 1.44 | 6.39e-02 | 3.85e-01 | 4CERCAM, COL16A1, THY1, MMP2 |
200 |
HALLMARK_GLYCOLYSIS | 4.35e-02 | 4.05 | 0.80 | 2.72e-01 | 1.00e+00 | 3COL5A1, KDELR3, SDC1 |
200 |
HALLMARK_APOPTOSIS | 1.32e-01 | 3.28 | 0.38 | 6.68e-01 | 1.00e+00 | 2BGN, MMP2 |
161 |
HALLMARK_IL2_STAT5_SIGNALING | 1.83e-01 | 2.64 | 0.31 | 7.64e-01 | 1.00e+00 | 2PTH1R, COL6A1 |
199 |
HALLMARK_HEDGEHOG_SIGNALING | 1.34e-01 | 7.29 | 0.18 | 6.68e-01 | 1.00e+00 | 1THY1 |
36 |
HALLMARK_APICAL_SURFACE | 1.61e-01 | 5.93 | 0.14 | 7.31e-01 | 1.00e+00 | 1THY1 |
44 |
HALLMARK_CHOLESTEROL_HOMEOSTASIS | 2.55e-01 | 3.49 | 0.09 | 9.81e-01 | 1.00e+00 | 1CD9 |
74 |
HALLMARK_IL6_JAK_STAT3_SIGNALING | 2.93e-01 | 2.97 | 0.07 | 1.00e+00 | 1.00e+00 | 1CD9 |
87 |
HALLMARK_UNFOLDED_PROTEIN_RESPONSE | 3.62e-01 | 2.28 | 0.06 | 1.00e+00 | 1.00e+00 | 1KDELR3 |
113 |
HALLMARK_FATTY_ACID_METABOLISM | 4.66e-01 | 1.62 | 0.04 | 1.00e+00 | 1.00e+00 | 1LGALS1 |
158 |
HALLMARK_ESTROGEN_RESPONSE_EARLY | 5.47e-01 | 1.28 | 0.03 | 1.00e+00 | 1.00e+00 | 1OLFML3 |
200 |
HALLMARK_ESTROGEN_RESPONSE_LATE | 5.47e-01 | 1.28 | 0.03 | 1.00e+00 | 1.00e+00 | 1CD9 |
200 |
HALLMARK_MTORC1_SIGNALING | 5.47e-01 | 1.28 | 0.03 | 1.00e+00 | 1.00e+00 | 1CD9 |
200 |
HALLMARK_XENOBIOTIC_METABOLISM | 5.47e-01 | 1.28 | 0.03 | 1.00e+00 | 1.00e+00 | 1RBP4 |
200 |
Dowload full table
KEGG Pathways:
P-value | OR | Lower 95% CI | FDR | FWER | Genes Found | Gene Set Size | |
---|---|---|---|---|---|---|---|
KEGG_ECM_RECEPTOR_INTERACTION | 3.29e-11 | 36.55 | 15.06 | 6.11e-09 | 6.11e-09 | 9COL1A2, COL1A1, COL11A1, COL5A2, COL3A1, COL5A1, ITGB5, COL6A1, SDC1 |
84 |
KEGG_FOCAL_ADHESION | 9.38e-07 | 12.47 | 4.99 | 8.72e-05 | 1.74e-04 | 8COL1A2, COL1A1, COL11A1, COL5A2, COL3A1, COL5A1, ITGB5, COL6A1 |
199 |
KEGG_FOLATE_BIOSYNTHESIS | 4.29e-02 | 25.48 | 0.58 | 1.00e+00 | 1.00e+00 | 1ALPL |
11 |
KEGG_LEUKOCYTE_TRANSENDOTHELIAL_MIGRATION | 7.67e-02 | 4.57 | 0.53 | 1.00e+00 | 1.00e+00 | 2THY1, MMP2 |
116 |
KEGG_BLADDER_CANCER | 1.54e-01 | 6.22 | 0.15 | 1.00e+00 | 1.00e+00 | 1MMP2 |
42 |
KEGG_VASOPRESSIN_REGULATED_WATER_REABSORPTION | 1.61e-01 | 5.93 | 0.14 | 1.00e+00 | 1.00e+00 | 1CREB3L1 |
44 |
KEGG_VIBRIO_CHOLERAE_INFECTION | 1.94e-01 | 4.81 | 0.12 | 1.00e+00 | 1.00e+00 | 1KDELR3 |
54 |
KEGG_ARRHYTHMOGENIC_RIGHT_VENTRICULAR_CARDIOMYOPATHY_ARVC | 2.55e-01 | 3.49 | 0.09 | 1.00e+00 | 1.00e+00 | 1ITGB5 |
74 |
KEGG_HYPERTROPHIC_CARDIOMYOPATHY_HCM | 2.81e-01 | 3.11 | 0.08 | 1.00e+00 | 1.00e+00 | 1ITGB5 |
83 |
KEGG_HEMATOPOIETIC_CELL_LINEAGE | 2.93e-01 | 2.97 | 0.07 | 1.00e+00 | 1.00e+00 | 1CD9 |
87 |
KEGG_PROSTATE_CANCER | 2.98e-01 | 2.90 | 0.07 | 1.00e+00 | 1.00e+00 | 1CREB3L1 |
89 |
KEGG_DILATED_CARDIOMYOPATHY | 3.01e-01 | 2.87 | 0.07 | 1.00e+00 | 1.00e+00 | 1ITGB5 |
90 |
KEGG_GNRH_SIGNALING_PATHWAY | 3.31e-01 | 2.55 | 0.06 | 1.00e+00 | 1.00e+00 | 1MMP2 |
101 |
KEGG_MELANOGENESIS | 3.31e-01 | 2.55 | 0.06 | 1.00e+00 | 1.00e+00 | 1CREB3L1 |
101 |
KEGG_TOLL_LIKE_RECEPTOR_SIGNALING_PATHWAY | 3.33e-01 | 2.53 | 0.06 | 1.00e+00 | 1.00e+00 | 1CTSK |
102 |
KEGG_LYSOSOME | 3.82e-01 | 2.13 | 0.05 | 1.00e+00 | 1.00e+00 | 1CTSK |
121 |
KEGG_CELL_ADHESION_MOLECULES_CAMS | 4.10e-01 | 1.93 | 0.05 | 1.00e+00 | 1.00e+00 | 1SDC1 |
133 |
KEGG_WNT_SIGNALING_PATHWAY | 4.51e-01 | 1.70 | 0.04 | 1.00e+00 | 1.00e+00 | 1SFRP2 |
151 |
KEGG_ENDOCYTOSIS | 5.12e-01 | 1.42 | 0.03 | 1.00e+00 | 1.00e+00 | 1CHMP4C |
181 |
KEGG_HUNTINGTONS_DISEASE | 5.14e-01 | 1.41 | 0.03 | 1.00e+00 | 1.00e+00 | 1CREB3L1 |
182 |
Dowload full table
CHR Positional Gene Sets:
P-value | OR | Lower 95% CI | FDR | FWER | Genes Found | Gene Set Size | |
---|---|---|---|---|---|---|---|
chr2q32 | 6.78e-02 | 4.91 | 0.57 | 1.00e+00 | 1.00e+00 | 2COL5A2, COL3A1 |
108 |
chr5q23 | 7.11e-02 | 4.78 | 0.56 | 1.00e+00 | 1.00e+00 | 2LOX, PPIC |
111 |
chr17q21 | 2.57e-01 | 1.76 | 0.35 | 1.00e+00 | 1.00e+00 | 3COL1A1, COPZ2, FKBP10 |
457 |
chr22q13 | 3.33e-01 | 1.72 | 0.20 | 1.00e+00 | 1.00e+00 | 2KDELR3, LGALS1 |
305 |
chr9q34 | 3.42e-01 | 1.69 | 0.20 | 1.00e+00 | 1.00e+00 | 2COL5A1, CERCAM |
311 |
chr3p13 | 1.47e-01 | 6.54 | 0.16 | 1.00e+00 | 1.00e+00 | 1GXYLT2 |
40 |
chr7q33 | 1.87e-01 | 5.00 | 0.12 | 1.00e+00 | 1.00e+00 | 1PTN |
52 |
chr2p24 | 2.55e-01 | 3.49 | 0.09 | 1.00e+00 | 1.00e+00 | 1SDC1 |
74 |
chr6q27 | 2.58e-01 | 3.45 | 0.08 | 1.00e+00 | 1.00e+00 | 1SMOC2 |
75 |
chr6q14 | 3.09e-01 | 2.77 | 0.07 | 1.00e+00 | 1.00e+00 | 1COL12A1 |
93 |
chr16q12 | 3.17e-01 | 2.68 | 0.07 | 1.00e+00 | 1.00e+00 | 1MMP2 |
96 |
chr1p21 | 3.25e-01 | 2.60 | 0.06 | 1.00e+00 | 1.00e+00 | 1COL11A1 |
99 |
chr5q33 | 3.52e-01 | 2.36 | 0.06 | 1.00e+00 | 1.00e+00 | 1SPARC |
109 |
chr6q22 | 3.77e-01 | 2.16 | 0.05 | 1.00e+00 | 1.00e+00 | 1COL10A1 |
119 |
chr3q29 | 3.84e-01 | 2.11 | 0.05 | 1.00e+00 | 1.00e+00 | 1LRRC15 |
122 |
chr1p35 | 4.03e-01 | 1.98 | 0.05 | 1.00e+00 | 1.00e+00 | 1COL16A1 |
130 |
chr5q14 | 4.03e-01 | 1.98 | 0.05 | 1.00e+00 | 1.00e+00 | 1HAPLN1 |
130 |
chr3q21 | 4.22e-01 | 1.86 | 0.05 | 1.00e+00 | 1.00e+00 | 1ITGB5 |
138 |
chr11p11 | 4.38e-01 | 1.77 | 0.04 | 1.00e+00 | 1.00e+00 | 1CREB3L1 |
145 |
chr12q23 | 4.38e-01 | 1.77 | 0.04 | 1.00e+00 | 1.00e+00 | 1TMEM119 |
145 |
Dowload full table
Transcription Factor Targets:
P-value | OR | Lower 95% CI | FDR | FWER | Genes Found | Gene Set Size | |
---|---|---|---|---|---|---|---|
RP58_01 | 1.39e-03 | 6.71 | 2.06 | 3.16e-01 | 1.00e+00 | 5COL3A1, EGFL6, PCOLCE, ADAMTS2, COL16A1 |
212 |
POU6F1_01 | 2.38e-03 | 5.91 | 1.81 | 3.37e-01 | 1.00e+00 | 5COL1A2, LRRC15, PTH1R, OLFML3, CTSK |
240 |
NFAT_Q6 | 2.78e-03 | 5.69 | 1.75 | 3.40e-01 | 1.00e+00 | 5COL3A1, HAPLN1, COL16A1, LGALS1, ZIC1 |
249 |
WGGAATGY_TEF1_Q6 | 3.60e-03 | 4.48 | 1.55 | 3.40e-01 | 1.00e+00 | 6SPARC, HAPLN1, PTH1R, OLFML3, ZIC1, SMOC2 |
387 |
TGGAAA_NFAT_Q4_01 | 5.47e-03 | 2.53 | 1.26 | 4.13e-01 | 1.00e+00 | 14COL1A2, EGFL6, HAPLN1, ASPN, COL12A1, CTHRC1, ADAMTS2, COL16A1, LOX, RCN3, LGALS1, OLFML3, ZIC1, CTSK |
1934 |
TBP_01 | 1.58e-02 | 4.45 | 1.16 | 5.19e-01 | 1.00e+00 | 4COL1A2, HAPLN1, COL10A1, COL13A1 |
248 |
MEIS1_01 | 1.60e-02 | 4.44 | 1.15 | 5.19e-01 | 1.00e+00 | 4COL11A1, CREB3L1, COPZ2, CTSK |
249 |
CIZ_01 | 1.71e-02 | 4.35 | 1.13 | 5.19e-01 | 1.00e+00 | 4COL3A1, COL16A1, MMP2, ZIC1 |
254 |
IPF1_Q4 | 1.80e-02 | 4.28 | 1.11 | 5.19e-01 | 1.00e+00 | 4HAPLN1, LOX, ZIC1, CTSK |
258 |
STAT5A_01 | 1.82e-02 | 4.26 | 1.11 | 5.19e-01 | 1.00e+00 | 4EGFL6, PCOLCE, SDC1, OLFML3 |
259 |
PAX2_02 | 1.96e-02 | 4.16 | 1.08 | 5.19e-01 | 1.00e+00 | 4PTH1R, LOX, SDC1, COL10A1 |
265 |
NF1_Q6_01 | 2.23e-02 | 4.00 | 1.04 | 5.45e-01 | 1.00e+00 | 4SFRP2, PTH1R, ASPN, LOX |
276 |
TGANTCA_AP1_C | 3.37e-02 | 2.43 | 1.04 | 5.87e-01 | 1.00e+00 | 9COL1A1, SPARC, COL5A2, LRRC15, PTH1R, RBP4, CTHRC1, COL16A1, LGALS1 |
1139 |
RTTTNNNYTGGM_UNKNOWN | 2.30e-02 | 5.25 | 1.03 | 5.45e-01 | 1.00e+00 | 3HAPLN1, RBP4, ZIC1 |
155 |
ER_Q6_01 | 2.33e-02 | 3.94 | 1.02 | 5.45e-01 | 1.00e+00 | 4PTH1R, COPZ2, SDC1, ZIC1 |
280 |
ETS2_B | 2.36e-02 | 3.92 | 1.02 | 5.45e-01 | 1.00e+00 | 4SPARC, HAPLN1, C1QTNF6, CTHRC1 |
281 |
TGGNNNNNNKCCAR_UNKNOWN | 2.56e-02 | 3.22 | 0.99 | 5.69e-01 | 1.00e+00 | 5SFRP2, PCOLCE, CTHRC1, LOX, SDC1 |
436 |
RYTAAWNNNTGAY_UNKNOWN | 2.58e-02 | 8.53 | 0.98 | 5.69e-01 | 1.00e+00 | 2PTH1R, COL16A1 |
63 |
ARP1_01 | 2.78e-02 | 4.86 | 0.96 | 5.72e-01 | 1.00e+00 | 3SPARC, HAPLN1, COL16A1 |
167 |
TTANWNANTGGM_UNKNOWN | 2.73e-02 | 8.26 | 0.95 | 5.72e-01 | 1.00e+00 | 2COL12A1, OLFML3 |
65 |
Dowload full table
GO Biological Processes:
P-value | OR | Lower 95% CI | FDR | FWER | Genes Found | Gene Set Size | |
---|---|---|---|---|---|---|---|
GOBP_COLLAGEN_FIBRIL_ORGANIZATION | 1.11e-18 | 93.66 | 41.61 | 4.15e-15 | 8.31e-15 | 12COL1A2, COL1A1, COL11A1, COL5A2, COL3A1, SFRP2, COL5A1, COL12A1, ADAMTS2, LOX, FKBP10, COL13A1 |
54 |
GOBP_EXTERNAL_ENCAPSULATING_STRUCTURE_ORGANIZATION | 1.16e-26 | 36.62 | 20.00 | 8.69e-23 | 8.69e-23 | 26COL1A2, COL1A1, SPARC, COL11A1, COL5A2, COL3A1, EGFL6, SFRP2, COL5A1, COL8A2, CREB3L1, BGN, HAPLN1, HTRA1, COL12A1, ADAMTS2, COL16A1, ITGB5, LOX, COL6A1, FKBP10, COL10A1, MMP2, COL13A1, SMOC2, CTSK |
396 |
GOBP_ENDODERMAL_CELL_DIFFERENTIATION | 3.44e-10 | 54.82 | 19.55 | 4.34e-07 | 2.58e-06 | 7COL11A1, COL5A2, COL5A1, COL12A1, ITGB5, COL6A1, MMP2 |
44 |
GOBP_ENDODERM_FORMATION | 1.34e-09 | 44.16 | 15.93 | 1.12e-06 | 1.00e-05 | 7COL11A1, COL5A2, COL5A1, COL12A1, ITGB5, COL6A1, MMP2 |
53 |
GOBP_OSSIFICATION_INVOLVED_IN_BONE_REMODELING | 1.54e-04 | 172.68 | 14.09 | 2.18e-02 | 1.00e+00 | 2PTN, CTHRC1 |
5 |
GOBP_REGULATION_OF_ENDODERMAL_CELL_DIFFERENTIATION | 1.54e-04 | 172.68 | 14.09 | 2.18e-02 | 1.00e+00 | 2COL5A2, COL5A1 |
5 |
GOBP_DIRECT_OSSIFICATION | 2.31e-04 | 129.66 | 11.45 | 3.14e-02 | 1.00e+00 | 2COL1A1, MMP2 |
6 |
GOBP_COLLAGEN_METABOLIC_PROCESS | 3.48e-10 | 27.40 | 11.41 | 4.34e-07 | 2.60e-06 | 9COL1A2, COL1A1, COL5A1, CREB3L1, ADAMTS2, RCN3, MMP2, COL13A1, CTSK |
109 |
GOBP_REPLACEMENT_OSSIFICATION | 4.22e-06 | 45.22 | 10.96 | 1.17e-03 | 3.16e-02 | 4COL1A1, COL13A1, ALPL, TMEM119 |
28 |
GOBP_ENDODERM_DEVELOPMENT | 1.75e-08 | 29.46 | 10.80 | 1.19e-05 | 1.31e-04 | 7COL11A1, COL5A2, COL5A1, COL12A1, ITGB5, COL6A1, MMP2 |
76 |
GOBP_TENDON_DEVELOPMENT | 3.22e-04 | 103.49 | 9.64 | 4.09e-02 | 1.00e+00 | 2COL11A1, COL5A1 |
7 |
GOBP_REGULATION_OF_BONE_DEVELOPMENT | 3.22e-04 | 103.49 | 9.64 | 4.09e-02 | 1.00e+00 | 2LOX, TMEM119 |
7 |
GOBP_CELLULAR_RESPONSE_TO_ACID_CHEMICAL | 2.82e-07 | 27.03 | 9.08 | 1.32e-04 | 2.11e-03 | 6COL1A2, COL1A1, COL5A2, COL16A1, COL6A1, MMP2 |
69 |
GOBP_FORMATION_OF_PRIMARY_GERM_LAYER | 1.41e-08 | 22.24 | 8.80 | 1.06e-05 | 1.06e-04 | 8COL11A1, COL5A2, SFRP2, COL5A1, COL12A1, ITGB5, COL6A1, MMP2 |
115 |
GOBP_OSSIFICATION | 5.64e-14 | 16.86 | 8.73 | 1.41e-10 | 4.22e-10 | 17COL1A2, COL1A1, SPARC, COL11A1, PTN, COL5A2, SFRP2, CREB3L1, PTH1R, ASPN, CTHRC1, LOX, COL6A1, MMP2, COL13A1, ALPL, TMEM119 |
399 |
GOBP_TRABECULA_FORMATION | 8.65e-05 | 41.89 | 7.68 | 1.35e-02 | 6.47e-01 | 3COL1A1, RBP4, MMP2 |
22 |
GOBP_BONE_TRABECULA_FORMATION | 5.49e-04 | 74.10 | 7.33 | 6.05e-02 | 1.00e+00 | 2COL1A1, MMP2 |
9 |
GOBP_TOOTH_MINERALIZATION | 9.91e-05 | 39.79 | 7.33 | 1.48e-02 | 7.41e-01 | 3COL1A1, ASPN, ALPL |
23 |
GOBP_RESPONSE_TO_ACID_CHEMICAL | 3.86e-07 | 18.15 | 6.74 | 1.61e-04 | 2.89e-03 | 7COL1A2, COL1A1, PTN, COL5A2, COL16A1, COL6A1, MMP2 |
119 |
GOBP_SKELETAL_SYSTEM_DEVELOPMENT | 1.62e-11 | 12.55 | 6.42 | 3.03e-08 | 1.21e-07 | 16COL1A2, COL1A1, COL11A1, COL5A2, COL3A1, SFRP2, BGN, HAPLN1, PTH1R, RBP4, LOX, COL10A1, MMP2, COL13A1, ALPL, TMEM119 |
485 |
Dowload full table
Immunological Gene Sets:
P-value | OR | Lower 95% CI | FDR | FWER | Genes Found | Gene Set Size | |
---|---|---|---|---|---|---|---|
GSE28737_BCL6_HET_VS_BCL6_KO_FOLLICULAR_BCELL_DN | 4.29e-09 | 16.45 | 7.22 | 2.09e-05 | 2.09e-05 | 10COL1A2, COL1A1, SPARC, BGN, KDELR3, ITGB5, LOX, COPZ2, FKBP10, CTSK |
200 |
GSE20715_WT_VS_TLR4_KO_24H_OZONE_LUNG_UP | 9.73e-07 | 12.40 | 4.96 | 2.37e-03 | 4.74e-03 | 8COL1A2, ASPN, COPZ2, RCN3, LGALS1, COL13A1, TMEM119, OLFML3 |
200 |
GSE19888_ADENOSINE_A3R_ACT_VS_TCELL_MEMBRANES_ACT_IN_MAST_CELL_UP | 1.19e-05 | 10.54 | 3.95 | 1.93e-02 | 5.79e-02 | 7COL5A2, COL3A1, PCOLCE, ADAMTS2, COL6A1, PPIC, RCN3 |
200 |
GSE10422_WT_VS_BAFF_TRANSGENIC_LN_BCELL_DN | 1.48e-04 | 11.20 | 3.41 | 7.22e-02 | 7.22e-01 | 5COL11A1, EGFL6, COL12A1, CTHRC1, RCN3 |
129 |
GSE3982_BCELL_VS_EFF_MEMORY_CD4_TCELL_DN | 1.08e-04 | 9.02 | 3.10 | 6.70e-02 | 5.25e-01 | 6CREB3L1, RBP4, HTRA1, LOX, COPZ2, COL10A1 |
195 |
GSE1460_CD4_THYMOCYTE_VS_THYMIC_STROMAL_CELL_DN | 1.20e-04 | 8.83 | 3.04 | 6.70e-02 | 5.86e-01 | 6COL1A1, LRRC15, CREB3L1, COPZ2, OLFML3, CTSK |
199 |
GSE20715_WT_VS_TLR4_KO_LUNG_UP | 1.24e-04 | 8.78 | 3.02 | 6.70e-02 | 6.03e-01 | 6BGN, ASPN, RBP4, COPZ2, CD9, CHMP4C |
200 |
GSE8835_HEALTHY_VS_CLL_CD8_TCELL_DN | 1.24e-04 | 8.78 | 3.02 | 6.70e-02 | 6.03e-01 | 6COL1A2, COL1A1, COL3A1, COL5A1, MMP2, TMEM119 |
200 |
GSE43955_1H_VS_20H_ACT_CD4_TCELL_DN | 1.24e-04 | 8.78 | 3.02 | 6.70e-02 | 6.03e-01 | 6COL5A2, SFRP2, PCOLCE, BGN, HTRA1, ALPL |
200 |
GSE18804_SPLEEN_MACROPHAGE_VS_COLON_TUMORAL_MACROPHAGE_UP | 1.24e-04 | 8.78 | 3.02 | 6.70e-02 | 6.03e-01 | 6COL1A1, SPARC, COL5A1, COL6A1, THY1, OLFML3 |
200 |
GSE11961_PLASMA_CELL_DAY7_VS_MEMORY_BCELL_DAY40_DN | 1.03e-03 | 7.19 | 2.20 | 2.63e-01 | 1.00e+00 | 5COL11A1, CTHRC1, ADAMTS2, TMEM119, CHMP4C |
198 |
GSE360_DC_VS_MAC_T_GONDII_DN | 1.06e-03 | 7.16 | 2.19 | 2.63e-01 | 1.00e+00 | 5SPARC, HAPLN1, HTRA1, ITGB5, CTSK |
199 |
GSE8921_UNSTIM_0H_VS_TLR1_2_STIM_MONOCYTE_24H_UP | 1.06e-03 | 7.16 | 2.19 | 2.63e-01 | 1.00e+00 | 5COL1A1, SPARC, COL11A1, ASPN, CTHRC1 |
199 |
GSE1432_CTRL_VS_IFNG_24H_MICROGLIA_UP | 1.08e-03 | 7.12 | 2.18 | 2.63e-01 | 1.00e+00 | 5HTRA1, ITGB5, COL6A1, CD9, MMP2 |
200 |
GSE1432_1H_VS_24H_IFNG_MICROGLIA_UP | 1.08e-03 | 7.12 | 2.18 | 2.63e-01 | 1.00e+00 | 5HTRA1, COL6A1, CD9, LGALS1, MMP2 |
200 |
GSE1432_6H_VS_24H_IFNG_MICROGLIA_UP | 1.08e-03 | 7.12 | 2.18 | 2.63e-01 | 1.00e+00 | 5SPARC, COL6A1, CD9, LGALS1, MMP2 |
200 |
GSE20715_WT_VS_TLR4_KO_6H_OZONE_LUNG_UP | 1.08e-03 | 7.12 | 2.18 | 2.63e-01 | 1.00e+00 | 5BGN, HTRA1, SERPINF1, COL16A1, COPZ2 |
200 |
GSE27434_WT_VS_DNMT1_KO_TREG_DN | 1.08e-03 | 7.12 | 2.18 | 2.63e-01 | 1.00e+00 | 5COL1A2, COL5A2, KDELR3, COL6A1, PPIC |
200 |
GSE43955_1H_VS_20H_ACT_CD4_TCELL_WITH_TGFB_IL6_DN | 1.08e-03 | 7.12 | 2.18 | 2.63e-01 | 1.00e+00 | 5COL1A2, COL5A2, KDELR3, COL10A1, CTSK |
200 |
GSE43955_1H_VS_42H_ACT_CD4_TCELL_WITH_TGFB_IL6_DN | 1.08e-03 | 7.12 | 2.18 | 2.63e-01 | 1.00e+00 | 5COL1A1, COL5A2, BGN, FKBP10, CTSK |
200 |
Top Ranked Transcription Factors for this Gene Expression Program:
Gene Symbol | TF Rank | DNA Binding Domain | Motif Status | IUPAC PWM | GTEx | DepMap | Decartes |
---|---|---|---|---|---|---|---|
CREB3L1 | 15 | Yes | Known motif | Monomer or homomultimer | High-throughput in vitro | None | None |
ZIC1 | 47 | Yes | Known motif | Monomer or homomultimer | High-throughput in vitro | None | None |
IRX3 | 69 | Yes | Known motif | Monomer or homomultimer | High-throughput in vitro | None | None |
IRX5 | 73 | Yes | Known motif | Monomer or homomultimer | High-throughput in vitro | None | None |
AEBP1 | 91 | Yes | Likely to be sequence specific TF | Monomer or homomultimer | No motif | None | This is a protease, but its ability to bind DNA is supported by both gel-shift (PMID: 15654748) and ChIP (PMID: 22723309). |
NFIX | 97 | Yes | Known motif | Monomer or homomultimer | High-throughput in vitro | None | None |
MSX2 | 107 | Yes | Known motif | Monomer or homomultimer | High-throughput in vitro | None | None |
MDFI | 120 | No | Unlikely to be sequence specific TF | Not a DNA binding protein | No motif | None | MDF1 is a co-repressor that inhibits DNA-binding (PMID: 8797820) |
OPRD1 | 128 | No | Unlikely to be sequence specific TF | Not a DNA binding protein | No motif | None | Transmembrane protein |
DAP | 153 | No | Unlikely to be sequence specific TF | Not a DNA binding protein | No motif | None | Protein functions in apoptotic signaling |
SFRP4 | 158 | No | Unlikely to be sequence specific TF | Not a DNA binding protein | No motif | None | None |
CAMK1D | 163 | No | Unlikely to be sequence specific TF | Not a DNA binding protein | No motif | None | Functions in signalling cascade that leads to phosphorylation and activation of CREB (PMID: 16324104) |
ALX3 | 195 | Yes | Known motif | Monomer or homomultimer | High-throughput in vitro | None | None |
LGR4 | 204 | No | Unlikely to be sequence specific TF | Not a DNA binding protein | No motif | None | None |
RARG | 210 | Yes | Known motif | Monomer or homomultimer | High-throughput in vitro | None | None |
PTGIS | 215 | No | Unlikely to be sequence specific TF | Not a DNA binding protein | No motif | None | It is a cytochrome p450 enzyme |
TWIST1 | 222 | Yes | Known motif | Monomer or homomultimer | In vivo/Misc source | Only known motifs are from Transfac or HocoMoco - origin is uncertain | Can form both homodimers and heterodimers with TCF3 (PMID: 16502419). |
ZFHX4 | 228 | Yes | Inferred motif | Monomer or homomultimer | In vivo/Misc source | None | Curious protein with numerous C2H2 and homeodomain-like domains. |
PRRX2 | 231 | Yes | Known motif | Monomer or homomultimer | High-throughput in vitro | None | None |
CCDC3 | 251 | No | Unlikely to be sequence specific TF | Not a DNA binding protein | No motif | None | bZIP domain is truncated and lacks the DNA-contacting residues. |
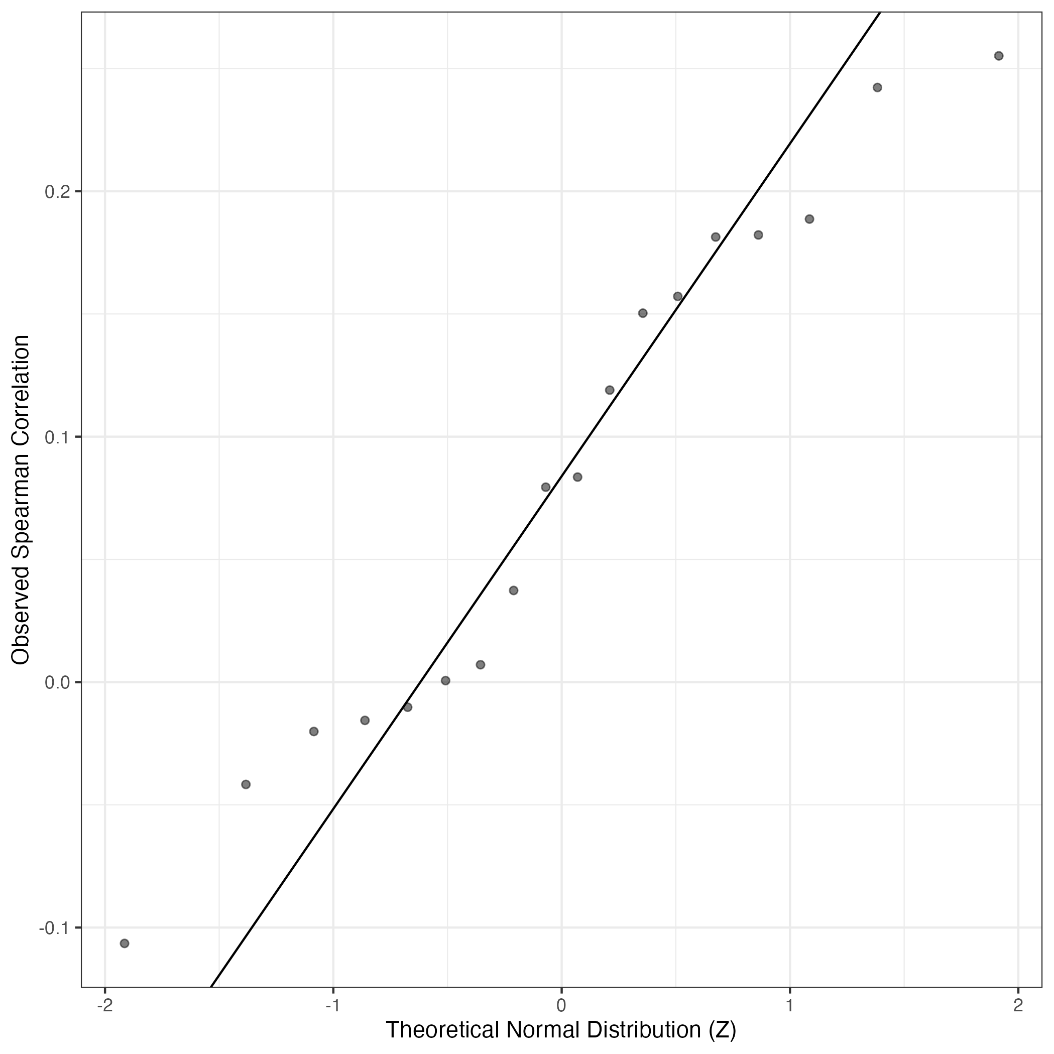
QQ Plot showing correlations with other GEPs in this dataset, calculated by Spearman correlation:
Interactive QQ-plot of gene loadings:
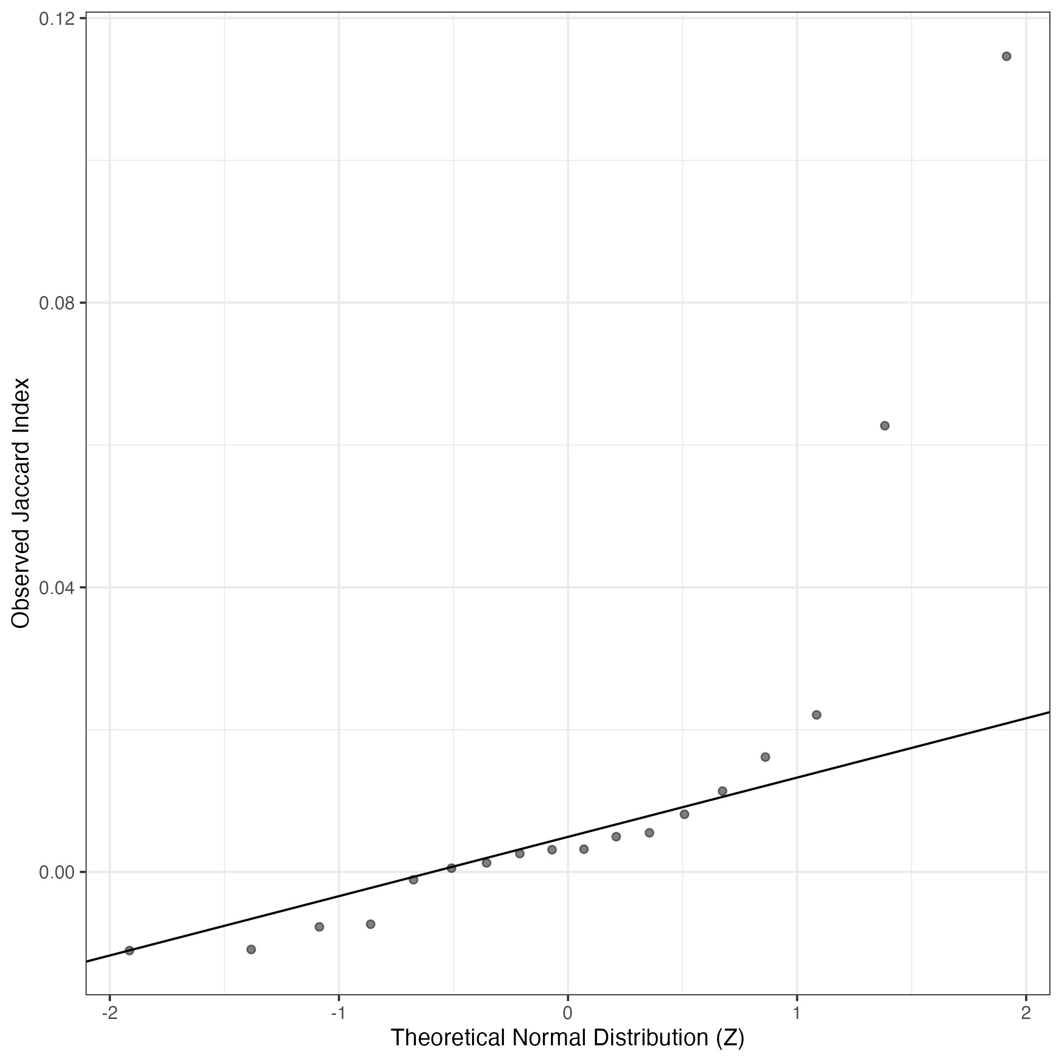
A similar QQ-plot as above, but only for instances where the H value is e.g. > 25, i.e. we are confident that the expression program is active above noise. Agreemenet between these binary vectors is tested using the Jaccard Index, with the P-values calculated by an exact test:
Interactive QQ-plot:
Singler cell type annotations for the top 50 cells on this program.
Cell ID | Singler label | Singler Delta | Activity Score | Top Singler Raw Scores |
---|---|---|---|---|
TM96-A2 | Chondrocytes:MSC-derived | 0.20 | 1687.90 | Raw ScoresChondrocytes:MSC-derived: 0.54, iPS_cells:adipose_stem_cells: 0.51, Osteoblasts: 0.51, Fibroblasts:breast: 0.5, Tissue_stem_cells:BM_MSC:TGFb3: 0.5, iPS_cells:CRL2097_foreskin: 0.5, Osteoblasts:BMP2: 0.5, Smooth_muscle_cells:bronchial:vit_D: 0.49, Smooth_muscle_cells:bronchial: 0.49, Smooth_muscle_cells:vascular:IL-17: 0.49 |
TM96-C21 | Chondrocytes:MSC-derived | 0.23 | 977.44 | Raw ScoresChondrocytes:MSC-derived: 0.57, Osteoblasts: 0.55, iPS_cells:adipose_stem_cells: 0.55, Tissue_stem_cells:BM_MSC:TGFb3: 0.55, Fibroblasts:breast: 0.54, Osteoblasts:BMP2: 0.54, Tissue_stem_cells:BM_MSC:BMP2: 0.54, iPS_cells:CRL2097_foreskin: 0.54, Smooth_muscle_cells:bronchial: 0.54, Smooth_muscle_cells:bronchial:vit_D: 0.53 |
TM96-B19 | Chondrocytes:MSC-derived | 0.22 | 599.39 | Raw ScoresChondrocytes:MSC-derived: 0.52, Osteoblasts: 0.5, iPS_cells:adipose_stem_cells: 0.5, Fibroblasts:breast: 0.5, Smooth_muscle_cells:bronchial: 0.5, Tissue_stem_cells:BM_MSC:TGFb3: 0.5, Smooth_muscle_cells:bronchial:vit_D: 0.5, iPS_cells:CRL2097_foreskin: 0.49, Tissue_stem_cells:BM_MSC:BMP2: 0.49, Osteoblasts:BMP2: 0.49 |
TM96-D12 | Chondrocytes:MSC-derived | 0.21 | 250.77 | Raw ScoresChondrocytes:MSC-derived: 0.46, Osteoblasts: 0.44, iPS_cells:adipose_stem_cells: 0.43, Smooth_muscle_cells:bronchial: 0.43, Tissue_stem_cells:BM_MSC:BMP2: 0.43, Fibroblasts:breast: 0.43, Smooth_muscle_cells:bronchial:vit_D: 0.43, Tissue_stem_cells:BM_MSC:TGFb3: 0.42, iPS_cells:CRL2097_foreskin: 0.42, Osteoblasts:BMP2: 0.42 |
TM95-F7 | Chondrocytes:MSC-derived | 0.20 | 151.38 | Raw ScoresChondrocytes:MSC-derived: 0.4, Osteoblasts: 0.39, Tissue_stem_cells:BM_MSC:TGFb3: 0.38, Tissue_stem_cells:BM_MSC:BMP2: 0.38, Fibroblasts:breast: 0.38, iPS_cells:adipose_stem_cells: 0.38, Smooth_muscle_cells:bronchial: 0.38, Smooth_muscle_cells:bronchial:vit_D: 0.37, Tissue_stem_cells:BM_MSC: 0.37, iPS_cells:CRL2097_foreskin: 0.37 |
TM95-C18 | Chondrocytes:MSC-derived | 0.21 | 122.88 | Raw ScoresChondrocytes:MSC-derived: 0.38, Osteoblasts: 0.35, iPS_cells:adipose_stem_cells: 0.35, Fibroblasts:breast: 0.35, Smooth_muscle_cells:bronchial: 0.34, Tissue_stem_cells:BM_MSC:TGFb3: 0.34, Smooth_muscle_cells:bronchial:vit_D: 0.34, Tissue_stem_cells:BM_MSC:BMP2: 0.34, iPS_cells:CRL2097_foreskin: 0.34, Tissue_stem_cells:BM_MSC: 0.34 |
TM96-I19 | Neurons:Schwann_cell | 0.20 | 116.20 | Raw ScoresNeurons:Schwann_cell: 0.49, Chondrocytes:MSC-derived: 0.45, iPS_cells:adipose_stem_cells: 0.45, Osteoblasts: 0.45, Fibroblasts:breast: 0.44, Tissue_stem_cells:BM_MSC:TGFb3: 0.44, iPS_cells:CRL2097_foreskin: 0.44, Osteoblasts:BMP2: 0.44, Smooth_muscle_cells:vascular:IL-17: 0.44, Tissue_stem_cells:BM_MSC:BMP2: 0.44 |
WK014-P19 | Fibroblasts:breast | 0.24 | 105.25 | Raw ScoresFibroblasts:breast: 0.51, iPS_cells:adipose_stem_cells: 0.51, Chondrocytes:MSC-derived: 0.5, Smooth_muscle_cells:vascular:IL-17: 0.49, Smooth_muscle_cells:vascular: 0.49, Smooth_muscle_cells:bronchial: 0.49, Osteoblasts: 0.49, Osteoblasts:BMP2: 0.49, Tissue_stem_cells:BM_MSC:TGFb3: 0.49, Smooth_muscle_cells:bronchial:vit_D: 0.49 |
TM95-N17 | Chondrocytes:MSC-derived | 0.19 | 103.16 | Raw ScoresChondrocytes:MSC-derived: 0.35, Fibroblasts:breast: 0.34, Osteoblasts: 0.34, iPS_cells:adipose_stem_cells: 0.34, iPS_cells:CRL2097_foreskin: 0.33, Tissue_stem_cells:BM_MSC:TGFb3: 0.33, Smooth_muscle_cells:bronchial: 0.32, Tissue_stem_cells:BM_MSC:BMP2: 0.32, Smooth_muscle_cells:bronchial:vit_D: 0.32, Tissue_stem_cells:BM_MSC: 0.32 |
TM96-D4 | DC:monocyte-derived:antiCD40/VAF347 | 0.17 | 96.19 | Raw ScoresDC:monocyte-derived:antiCD40/VAF347: 0.56, Macrophage:monocyte-derived:S._aureus: 0.55, Macrophage:monocyte-derived: 0.55, DC:monocyte-derived:A._fumigatus_germ_tubes_6h: 0.55, DC:monocyte-derived:Galectin-1: 0.55, Macrophage:monocyte-derived:M-CSF/Pam3Cys: 0.54, DC:monocyte-derived: 0.54, Macrophage:monocyte-derived:M-CSF/IFNg/Pam3Cys: 0.54, DC:monocyte-derived:LPS: 0.54, DC:monocyte-derived:CD40L: 0.54 |
WK012-J17 | iPS_cells:adipose_stem_cells | 0.24 | 88.07 | Raw ScoresFibroblasts:breast: 0.52, iPS_cells:adipose_stem_cells: 0.51, Chondrocytes:MSC-derived: 0.5, Osteoblasts: 0.5, Tissue_stem_cells:BM_MSC:TGFb3: 0.5, iPS_cells:CRL2097_foreskin: 0.49, Smooth_muscle_cells:vascular:IL-17: 0.49, Smooth_muscle_cells:bronchial: 0.49, Smooth_muscle_cells:vascular: 0.49, Tissue_stem_cells:BM_MSC:BMP2: 0.49 |
TM95-M7 | Chondrocytes:MSC-derived | 0.16 | 87.58 | Raw ScoresiPS_cells:adipose_stem_cells: 0.36, Chondrocytes:MSC-derived: 0.35, Fibroblasts:breast: 0.35, Tissue_stem_cells:BM_MSC:BMP2: 0.35, Smooth_muscle_cells:vascular:IL-17: 0.35, Tissue_stem_cells:BM_MSC:TGFb3: 0.35, Smooth_muscle_cells:vascular: 0.35, iPS_cells:CRL2097_foreskin: 0.34, Osteoblasts: 0.34, Smooth_muscle_cells:bronchial: 0.34 |
WK014-M1 | Chondrocytes:MSC-derived | 0.22 | 86.45 | Raw ScoresFibroblasts:breast: 0.49, Chondrocytes:MSC-derived: 0.49, iPS_cells:adipose_stem_cells: 0.49, Osteoblasts: 0.48, Tissue_stem_cells:BM_MSC:TGFb3: 0.48, Smooth_muscle_cells:bronchial: 0.48, Smooth_muscle_cells:bronchial:vit_D: 0.47, Tissue_stem_cells:BM_MSC:BMP2: 0.47, iPS_cells:CRL2097_foreskin: 0.47, Osteoblasts:BMP2: 0.47 |
WK014-I5 | iPS_cells:adipose_stem_cells | 0.28 | 83.42 | Raw ScoresFibroblasts:breast: 0.58, iPS_cells:adipose_stem_cells: 0.58, Chondrocytes:MSC-derived: 0.56, Osteoblasts: 0.56, Smooth_muscle_cells:vascular: 0.56, iPS_cells:CRL2097_foreskin: 0.56, Smooth_muscle_cells:vascular:IL-17: 0.56, Osteoblasts:BMP2: 0.55, Tissue_stem_cells:BM_MSC:TGFb3: 0.55, Smooth_muscle_cells:bronchial: 0.55 |
TM95-K10 | Chondrocytes:MSC-derived | 0.16 | 82.22 | Raw ScoresTissue_stem_cells:BM_MSC:BMP2: 0.4, iPS_cells:adipose_stem_cells: 0.4, Fibroblasts:breast: 0.4, Tissue_stem_cells:BM_MSC:TGFb3: 0.39, Chondrocytes:MSC-derived: 0.39, Tissue_stem_cells:BM_MSC: 0.39, Osteoblasts: 0.39, Smooth_muscle_cells:vascular:IL-17: 0.38, iPS_cells:CRL2097_foreskin: 0.38, Fibroblasts:foreskin: 0.38 |
TM95-M16 | Chondrocytes:MSC-derived | 0.19 | 79.99 | Raw ScoresChondrocytes:MSC-derived: 0.38, Osteoblasts: 0.37, iPS_cells:adipose_stem_cells: 0.36, Tissue_stem_cells:BM_MSC:TGFb3: 0.36, Tissue_stem_cells:BM_MSC:BMP2: 0.36, Fibroblasts:breast: 0.36, Tissue_stem_cells:BM_MSC: 0.35, Smooth_muscle_cells:vascular:IL-17: 0.35, Osteoblasts:BMP2: 0.35, Smooth_muscle_cells:bronchial: 0.35 |
WK012-I10 | Fibroblasts:breast | 0.24 | 77.66 | Raw ScoresiPS_cells:adipose_stem_cells: 0.49, Fibroblasts:breast: 0.49, Chondrocytes:MSC-derived: 0.49, Osteoblasts: 0.49, Smooth_muscle_cells:vascular:IL-17: 0.48, Smooth_muscle_cells:vascular: 0.47, Tissue_stem_cells:BM_MSC:TGFb3: 0.47, Smooth_muscle_cells:bronchial: 0.47, iPS_cells:CRL2097_foreskin: 0.47, Tissue_stem_cells:BM_MSC:BMP2: 0.47 |
TM95-L20 | Chondrocytes:MSC-derived | 0.17 | 75.97 | Raw ScoresChondrocytes:MSC-derived: 0.33, iPS_cells:adipose_stem_cells: 0.33, Fibroblasts:breast: 0.32, Tissue_stem_cells:BM_MSC:BMP2: 0.32, Tissue_stem_cells:BM_MSC:TGFb3: 0.32, Osteoblasts: 0.32, Tissue_stem_cells:BM_MSC: 0.31, iPS_cells:CRL2097_foreskin: 0.31, Smooth_muscle_cells:bronchial: 0.31, Osteoblasts:BMP2: 0.31 |
TM95-F16 | Chondrocytes:MSC-derived | 0.16 | 75.33 | Raw ScoresChondrocytes:MSC-derived: 0.33, Fibroblasts:breast: 0.32, iPS_cells:adipose_stem_cells: 0.32, Osteoblasts: 0.31, Tissue_stem_cells:BM_MSC:TGFb3: 0.31, Tissue_stem_cells:BM_MSC:BMP2: 0.31, Tissue_stem_cells:BM_MSC: 0.31, iPS_cells:CRL2097_foreskin: 0.31, Osteoblasts:BMP2: 0.3, Smooth_muscle_cells:vascular:IL-17: 0.3 |
TM95-D17 | Chondrocytes:MSC-derived | 0.18 | 66.03 | Raw ScoresChondrocytes:MSC-derived: 0.35, iPS_cells:adipose_stem_cells: 0.35, Fibroblasts:breast: 0.35, Osteoblasts: 0.35, Tissue_stem_cells:BM_MSC:TGFb3: 0.34, Tissue_stem_cells:BM_MSC:BMP2: 0.34, iPS_cells:CRL2097_foreskin: 0.33, Smooth_muscle_cells:bronchial: 0.33, Tissue_stem_cells:BM_MSC: 0.33, Smooth_muscle_cells:bronchial:vit_D: 0.33 |
WK014-N5 | Fibroblasts:breast | 0.24 | 65.31 | Raw ScoresFibroblasts:breast: 0.51, iPS_cells:adipose_stem_cells: 0.51, Smooth_muscle_cells:vascular:IL-17: 0.5, Osteoblasts: 0.5, Smooth_muscle_cells:vascular: 0.5, Chondrocytes:MSC-derived: 0.5, Tissue_stem_cells:BM_MSC:BMP2: 0.49, Tissue_stem_cells:BM_MSC:TGFb3: 0.49, Osteoblasts:BMP2: 0.49, Smooth_muscle_cells:bronchial: 0.49 |
WK014-N15 | Fibroblasts:breast | 0.28 | 64.57 | Raw ScoresFibroblasts:breast: 0.58, iPS_cells:adipose_stem_cells: 0.58, Smooth_muscle_cells:vascular:IL-17: 0.57, Smooth_muscle_cells:vascular: 0.56, iPS_cells:CRL2097_foreskin: 0.56, Osteoblasts: 0.56, Chondrocytes:MSC-derived: 0.56, Tissue_stem_cells:BM_MSC:TGFb3: 0.56, Smooth_muscle_cells:bronchial: 0.56, Osteoblasts:BMP2: 0.55 |
WK012-E18 | Chondrocytes:MSC-derived | 0.23 | 63.94 | Raw ScoresFibroblasts:breast: 0.51, iPS_cells:adipose_stem_cells: 0.5, Chondrocytes:MSC-derived: 0.49, Osteoblasts: 0.49, iPS_cells:CRL2097_foreskin: 0.48, Smooth_muscle_cells:vascular:IL-17: 0.48, Tissue_stem_cells:BM_MSC:TGFb3: 0.48, Smooth_muscle_cells:vascular: 0.48, Osteoblasts:BMP2: 0.48, Smooth_muscle_cells:bronchial: 0.48 |
TM95-K8 | Fibroblasts:breast | 0.15 | 62.88 | Raw ScoresChondrocytes:MSC-derived: 0.33, Fibroblasts:breast: 0.32, iPS_cells:adipose_stem_cells: 0.32, Osteoblasts: 0.31, Tissue_stem_cells:BM_MSC:TGFb3: 0.31, Tissue_stem_cells:BM_MSC: 0.31, Tissue_stem_cells:BM_MSC:BMP2: 0.31, iPS_cells:CRL2097_foreskin: 0.3, Osteoblasts:BMP2: 0.3, iPS_cells:PDB_fibroblasts: 0.3 |
KK052-A6 | Fibroblasts:breast | 0.26 | 62.33 | Raw ScoresFibroblasts:breast: 0.53, iPS_cells:adipose_stem_cells: 0.52, iPS_cells:CRL2097_foreskin: 0.51, Osteoblasts: 0.51, Smooth_muscle_cells:vascular: 0.51, Smooth_muscle_cells:vascular:IL-17: 0.5, Tissue_stem_cells:BM_MSC:TGFb3: 0.5, Smooth_muscle_cells:bronchial: 0.5, Smooth_muscle_cells:bronchial:vit_D: 0.5, Osteoblasts:BMP2: 0.49 |
TM37-O7 | Chondrocytes:MSC-derived | 0.23 | 60.39 | Raw ScoresFibroblasts:breast: 0.52, Chondrocytes:MSC-derived: 0.52, Osteoblasts: 0.51, iPS_cells:adipose_stem_cells: 0.51, Tissue_stem_cells:BM_MSC:TGFb3: 0.51, Tissue_stem_cells:BM_MSC:BMP2: 0.51, Smooth_muscle_cells:vascular:IL-17: 0.51, Smooth_muscle_cells:vascular: 0.5, iPS_cells:CRL2097_foreskin: 0.5, Osteoblasts:BMP2: 0.5 |
TM95-D14 | Chondrocytes:MSC-derived | 0.18 | 58.71 | Raw ScoresChondrocytes:MSC-derived: 0.34, Tissue_stem_cells:BM_MSC:BMP2: 0.33, Osteoblasts: 0.33, Tissue_stem_cells:BM_MSC:TGFb3: 0.33, iPS_cells:adipose_stem_cells: 0.33, Fibroblasts:breast: 0.32, Tissue_stem_cells:BM_MSC: 0.32, iPS_cells:CRL2097_foreskin: 0.32, Smooth_muscle_cells:bronchial: 0.31, Smooth_muscle_cells:bronchial:vit_D: 0.31 |
WK014-F19 | Fibroblasts:breast | 0.24 | 58.48 | Raw ScoresFibroblasts:breast: 0.52, iPS_cells:adipose_stem_cells: 0.52, Osteoblasts: 0.51, Chondrocytes:MSC-derived: 0.51, Smooth_muscle_cells:vascular: 0.5, Smooth_muscle_cells:vascular:IL-17: 0.5, Tissue_stem_cells:BM_MSC:TGFb3: 0.5, Smooth_muscle_cells:bronchial: 0.5, iPS_cells:CRL2097_foreskin: 0.5, Smooth_muscle_cells:bronchial:vit_D: 0.49 |
KK055-P4 | Fibroblasts:breast | 0.24 | 56.82 | Raw ScoresFibroblasts:breast: 0.51, iPS_cells:adipose_stem_cells: 0.5, iPS_cells:CRL2097_foreskin: 0.49, Smooth_muscle_cells:bronchial: 0.49, Osteoblasts: 0.49, Smooth_muscle_cells:bronchial:vit_D: 0.48, Tissue_stem_cells:BM_MSC:TGFb3: 0.48, Smooth_muscle_cells:vascular: 0.48, Chondrocytes:MSC-derived: 0.48, Osteoblasts:BMP2: 0.47 |
TM96-C13 | Macrophage:monocyte-derived | 0.12 | 56.71 | Raw ScoresDC:monocyte-derived:antiCD40/VAF347: 0.45, Macrophage:monocyte-derived:IL-4/Dex/TGFb: 0.45, Macrophage:monocyte-derived:M-CSF: 0.45, Macrophage:monocyte-derived:M-CSF/Pam3Cys: 0.45, DC:monocyte-derived: 0.45, DC:monocyte-derived:A._fumigatus_germ_tubes_6h: 0.44, Macrophage:monocyte-derived:S._aureus: 0.44, Macrophage:monocyte-derived: 0.44, Macrophage:monocyte-derived:M-CSF/IFNg/Pam3Cys: 0.44, Macrophage:monocyte-derived:IL-4/Dex/cntrl: 0.44 |
TM95-D12 | Chondrocytes:MSC-derived | 0.16 | 56.26 | Raw ScoresChondrocytes:MSC-derived: 0.32, Osteoblasts: 0.31, Smooth_muscle_cells:bronchial: 0.3, Smooth_muscle_cells:bronchial:vit_D: 0.3, iPS_cells:adipose_stem_cells: 0.3, Tissue_stem_cells:BM_MSC: 0.3, Fibroblasts:breast: 0.3, Tissue_stem_cells:BM_MSC:osteogenic: 0.3, Tissue_stem_cells:BM_MSC:BMP2: 0.3, Tissue_stem_cells:BM_MSC:TGFb3: 0.3 |
WK012-K3 | iPS_cells:adipose_stem_cells | 0.22 | 50.71 | Raw ScoresFibroblasts:breast: 0.52, iPS_cells:adipose_stem_cells: 0.51, Smooth_muscle_cells:vascular:IL-17: 0.5, Smooth_muscle_cells:vascular: 0.5, Tissue_stem_cells:BM_MSC:TGFb3: 0.5, Tissue_stem_cells:BM_MSC:BMP2: 0.5, Tissue_stem_cells:BM_MSC: 0.49, Chondrocytes:MSC-derived: 0.49, Osteoblasts: 0.49, Osteoblasts:BMP2: 0.49 |
WK014-O23 | Fibroblasts:breast | 0.25 | 50.48 | Raw ScoresFibroblasts:breast: 0.53, iPS_cells:adipose_stem_cells: 0.52, Osteoblasts: 0.5, Smooth_muscle_cells:vascular: 0.5, Smooth_muscle_cells:vascular:IL-17: 0.5, Chondrocytes:MSC-derived: 0.5, iPS_cells:CRL2097_foreskin: 0.5, Tissue_stem_cells:BM_MSC:TGFb3: 0.5, Osteoblasts:BMP2: 0.5, Smooth_muscle_cells:bronchial: 0.49 |
Below shows the significant enrichments of this GEP for literature curated gene lists
This data was procured from existing single cell RNA-seq maps of neuroblastoma or related relevant data.
High ranks indicate this gene is a driver of this GEP.
These curated gene list are ranked by the P-value (on this GEP) of their constituent genes.
The Mean Count column shows the mean read count in cells scoring highly (H > 50) on this gene expression program.
Genes | Weight | Rank | GTEx | DepMap | Decartes | Mean.Counts | Mean.TPM |
---|---|---|---|---|---|---|---|
COL1A2 | 0.0135041 | 1 | GTEx | DepMap | Descartes | 847.88 | 14033.33 |
COL3A1 | 0.0069863 | 8 | GTEx | DepMap | Descartes | 619.95 | 13541.43 |
COL6A1 | 0.0024433 | 31 | GTEx | DepMap | Descartes | 45.39 | 1647.67 |
VIM | 0.0004907 | 308 | GTEx | DepMap | Descartes | 110.25 | 4894.97 |
Mesenchymal Fig 1D (Olsen)
Selected mesenchymal marker genes shown in Fig. 1D of Olsen et al. https://www.biorxiv.org/content/10.1101/2020.05.04.077057v1 - these are highly expressed in their mesenchymal cluster on their UMAP.:
Wilcoxon ranksum test P-value for gene set overrepresentation: 4.09e-04
Mean rank of genes in gene set: 2913.85
Rank on gene expression program of genes in gene set:
Genes | Weight | Rank | GTEx | DepMap | Decartes | Mean.Counts | Mean.TPM |
---|---|---|---|---|---|---|---|
COL1A2 | 0.0135041 | 1 | GTEx | DepMap | Descartes | 847.88 | 14033.33 |
COL1A1 | 0.0129046 | 2 | GTEx | DepMap | Descartes | 2296.24 | 44165.33 |
SPARC | 0.0100763 | 3 | GTEx | DepMap | Descartes | 641.92 | 19454.24 |
COL3A1 | 0.0069863 | 8 | GTEx | DepMap | Descartes | 619.95 | 13541.43 |
BGN | 0.0036839 | 16 | GTEx | DepMap | Descartes | 89.31 | 5858.27 |
LUM | 0.0016347 | 67 | GTEx | DepMap | Descartes | 89.49 | 3931.27 |
COL6A2 | 0.0015219 | 71 | GTEx | DepMap | Descartes | 36.89 | 1710.13 |
DCN | 0.0004462 | 356 | GTEx | DepMap | Descartes | 128.71 | 1920.66 |
PRRX1 | 0.0003016 | 568 | GTEx | DepMap | Descartes | 7.95 | 241.78 |
LEPR | 0.0002208 | 794 | GTEx | DepMap | Descartes | 0.45 | 7.02 |
CALD1 | -0.0002815 | 11547 | GTEx | DepMap | Descartes | 12.98 | 316.64 |
PDGFRA | -0.0003497 | 11940 | GTEx | DepMap | Descartes | 3.85 | 60.24 |
MGP | -0.0008449 | 12507 | GTEx | DepMap | Descartes | 92.43 | 5636.73 |
Myofibroblastic CAF
These marker genes were curated across cancer subtypes in multiple organ systems as reviewed in Lavie et. al. (PMID 35883004) and contain myofibroblastic specific CAF genes:
Wilcoxon ranksum test P-value for gene set overrepresentation: 5.84e-04
Mean rank of genes in gene set: 4597.96
Rank on gene expression program of genes in gene set:
Genes | Weight | Rank | GTEx | DepMap | Decartes | Mean.Counts | Mean.TPM |
---|---|---|---|---|---|---|---|
COL1A2 | 0.0135041 | 1 | GTEx | DepMap | Descartes | 847.88 | 14033.33 |
COL1A1 | 0.0129046 | 2 | GTEx | DepMap | Descartes | 2296.24 | 44165.33 |
COL11A1 | 0.0090138 | 4 | GTEx | DepMap | Descartes | 11.50 | 170.86 |
COL5A2 | 0.0077883 | 6 | GTEx | DepMap | Descartes | 43.30 | 597.72 |
COL3A1 | 0.0069863 | 8 | GTEx | DepMap | Descartes | 619.95 | 13541.43 |
COL5A1 | 0.0051816 | 11 | GTEx | DepMap | Descartes | 47.98 | 587.90 |
BGN | 0.0036839 | 16 | GTEx | DepMap | Descartes | 89.31 | 5858.27 |
COL12A1 | 0.0029330 | 23 | GTEx | DepMap | Descartes | 18.82 | 265.15 |
THY1 | 0.0022907 | 40 | GTEx | DepMap | Descartes | 12.42 | 509.04 |
COL10A1 | 0.0022899 | 41 | GTEx | DepMap | Descartes | 3.31 | 98.63 |
MMP2 | 0.0022329 | 42 | GTEx | DepMap | Descartes | 30.93 | 1085.23 |
COL13A1 | 0.0022190 | 43 | GTEx | DepMap | Descartes | 0.79 | 8.44 |
TMEM119 | 0.0022143 | 45 | GTEx | DepMap | Descartes | 10.40 | 407.73 |
LUM | 0.0016347 | 67 | GTEx | DepMap | Descartes | 89.49 | 3931.27 |
COL8A1 | 0.0013220 | 85 | GTEx | DepMap | Descartes | 16.58 | 305.84 |
THBS2 | 0.0007557 | 180 | GTEx | DepMap | Descartes | 21.22 | 467.19 |
DCN | 0.0004462 | 356 | GTEx | DepMap | Descartes | 128.71 | 1920.66 |
MEF2C | 0.0003767 | 438 | GTEx | DepMap | Descartes | 1.37 | 9.02 |
MMP11 | 0.0003153 | 544 | GTEx | DepMap | Descartes | 0.58 | 36.29 |
COL15A1 | 0.0001833 | 965 | GTEx | DepMap | Descartes | 1.82 | 39.83 |
MYLK | 0.0001721 | 1025 | GTEx | DepMap | Descartes | 7.07 | 73.70 |
MYL9 | 0.0001674 | 1042 | GTEx | DepMap | Descartes | 7.16 | 363.83 |
TNC | 0.0001662 | 1047 | GTEx | DepMap | Descartes | 3.86 | 66.93 |
TGFB1 | 0.0000971 | 1627 | GTEx | DepMap | Descartes | 1.76 | 84.08 |
RGS5 | 0.0000627 | 2067 | GTEx | DepMap | Descartes | 1.67 | 23.26 |
TPM2 | 0.0000440 | 2386 | GTEx | DepMap | Descartes | 3.85 | 319.40 |
WNT5A | 0.0000379 | 2519 | GTEx | DepMap | Descartes | 0.12 | 1.85 |
PGF | 0.0000221 | 2902 | GTEx | DepMap | Descartes | 0.18 | 4.15 |
TGFBR1 | 0.0000139 | 3121 | GTEx | DepMap | Descartes | 2.27 | 39.69 |
ITGA7 | -0.0000201 | 4240 | GTEx | DepMap | Descartes | 0.12 | 2.70 |
MYH11 | -0.0000305 | 4680 | GTEx | DepMap | Descartes | 0.18 | 2.50 |
TPM1 | -0.0000448 | 5330 | GTEx | DepMap | Descartes | 6.55 | 194.61 |
CNN2 | -0.0001011 | 7928 | GTEx | DepMap | Descartes | 4.48 | 274.31 |
POSTN | -0.0001148 | 8425 | GTEx | DepMap | Descartes | 7.21 | 264.69 |
FN1 | -0.0001572 | 9716 | GTEx | DepMap | Descartes | 31.14 | 418.86 |
CNN3 | -0.0001660 | 9943 | GTEx | DepMap | Descartes | 3.91 | 224.66 |
COL14A1 | -0.0001660 | 9944 | GTEx | DepMap | Descartes | 31.96 | 447.41 |
ACTG2 | -0.0001799 | 10248 | GTEx | DepMap | Descartes | 0.03 | 1.58 |
TGFB2 | -0.0002546 | 11313 | GTEx | DepMap | Descartes | 0.36 | 11.53 |
HOPX | -0.0002562 | 11327 | GTEx | DepMap | Descartes | 0.39 | 10.76 |
ACTA2 | -0.0004418 | 12193 | GTEx | DepMap | Descartes | 3.86 | 245.34 |
TGFBR2 | -0.0004585 | 12222 | GTEx | DepMap | Descartes | 1.79 | 31.68 |
COL4A1 | -0.0004738 | 12245 | GTEx | DepMap | Descartes | 6.86 | 96.13 |
VCAN | -0.0005898 | 12388 | GTEx | DepMap | Descartes | 19.10 | 188.45 |
TAGLN | -0.0006670 | 12439 | GTEx | DepMap | Descartes | 14.80 | 435.05 |
THBS1 | -0.0007344 | 12472 | GTEx | DepMap | Descartes | 17.39 | 241.64 |
IGFBP3 | -0.0008891 | 12522 | GTEx | DepMap | Descartes | 2.48 | 102.38 |
VEGFA | -0.0009702 | 12534 | GTEx | DepMap | Descartes | 8.41 | 67.28 |
IGFBP7 | -0.0010254 | 12538 | GTEx | DepMap | Descartes | 48.57 | 3964.38 |
Below shows ranks on this GEP for literature curated gene lists for large gene sets
These include those reported as mesenchymal/adrenergic by Van Groningen et al.
High ranks indicate this gene is a driver of this GEP (note these results are not ordered).
The Mean Count column shows the mean read count in cells scoring highly (H > 50) on this gene expression program.
VanGroningen Adrenergic Genes
Adrenergic marker genes from Supplementary Table 2 of Van Groningen et al. Nature Genetics 2017. These genes were identified by differential expression analysis of mesenchymal-like and adrenergic-like neuroblastoma cell lines.
Wilcoxon ranksum test P-value for gene set overrepresentation: 1.00e+00
Mean rank of genes in gene set: 7266.88
Median rank of genes in gene set: 7914
Rank on gene expression program of top 30 genes in gene set:
Genes | Weight | Rank | GTEx | DepMap | Descartes | Mean.Counts | Mean.TPM |
---|---|---|---|---|---|---|---|
TUBB2A | 0.0006479 | 219 | GTEx | DepMap | Descartes | 4.97 | 704.89 |
SHC3 | 0.0004606 | 335 | GTEx | DepMap | Descartes | 0.39 | 6.81 |
RNF144A | 0.0004593 | 341 | GTEx | DepMap | Descartes | 1.06 | 34.43 |
PHPT1 | 0.0004491 | 350 | GTEx | DepMap | Descartes | 1.36 | 157.95 |
GGH | 0.0004440 | 357 | GTEx | DepMap | Descartes | 0.42 | 30.97 |
FHOD3 | 0.0004222 | 380 | GTEx | DepMap | Descartes | 0.70 | 13.46 |
DPYSL3 | 0.0004104 | 395 | GTEx | DepMap | Descartes | 5.64 | 166.06 |
CADM1 | 0.0002974 | 577 | GTEx | DepMap | Descartes | 1.79 | 18.38 |
TMEM108 | 0.0002749 | 627 | GTEx | DepMap | Descartes | 0.27 | 8.69 |
ADAM22 | 0.0002593 | 671 | GTEx | DepMap | Descartes | 0.15 | 2.65 |
ANK2 | 0.0002241 | 781 | GTEx | DepMap | Descartes | 2.88 | 20.35 |
NPTX2 | 0.0002228 | 788 | GTEx | DepMap | Descartes | 0.21 | 2.92 |
RPS6KA2 | 0.0002132 | 828 | GTEx | DepMap | Descartes | 0.85 | 15.10 |
FAM167A | 0.0002117 | 834 | GTEx | DepMap | Descartes | 0.06 | 4.11 |
NET1 | 0.0002072 | 854 | GTEx | DepMap | Descartes | 1.39 | 49.96 |
SLIT3 | 0.0001990 | 896 | GTEx | DepMap | Descartes | 7.22 | 93.01 |
EYA1 | 0.0001988 | 899 | GTEx | DepMap | Descartes | 0.09 | 2.03 |
REEP1 | 0.0001471 | 1168 | GTEx | DepMap | Descartes | 0.30 | 3.36 |
PBX3 | 0.0001340 | 1258 | GTEx | DepMap | Descartes | 1.79 | 59.16 |
FAM155A | 0.0001338 | 1261 | GTEx | DepMap | Descartes | 0.48 | 2.48 |
CCDC167 | 0.0001335 | 1268 | GTEx | DepMap | Descartes | 0.21 | 109.90 |
HS6ST2 | 0.0001205 | 1387 | GTEx | DepMap | Descartes | 0.03 | 0.20 |
TSPAN7 | 0.0001175 | 1417 | GTEx | DepMap | Descartes | 0.61 | 39.82 |
ENDOG | 0.0001011 | 1569 | GTEx | DepMap | Descartes | 0.12 | 20.24 |
SCN3A | 0.0001005 | 1580 | GTEx | DepMap | Descartes | 0.06 | 0.28 |
TFAP2B | 0.0000995 | 1593 | GTEx | DepMap | Descartes | 0.00 | 0.00 |
SETD7 | 0.0000912 | 1688 | GTEx | DepMap | Descartes | 1.88 | 28.10 |
PTS | 0.0000870 | 1730 | GTEx | DepMap | Descartes | 1.39 | 170.08 |
RGS5 | 0.0000627 | 2067 | GTEx | DepMap | Descartes | 1.67 | 23.26 |
TACC2 | 0.0000625 | 2072 | GTEx | DepMap | Descartes | 0.64 | 10.20 |
VanGroningen Mesenchymal Genes
Mesenchymal marker genes from Supplementary Table 2 of Van Groningen et al. Nature Genetics 2017. These genes were identified by differential expression analysis of mesenchymal-like and adrenergic-like neuroblastoma cell lines.
Wilcoxon ranksum test P-value for gene set overrepresentation: 2.57e-02
Mean rank of genes in gene set: 5942.63
Median rank of genes in gene set: 5856
Rank on gene expression program of top 30 genes in gene set:
Genes | Weight | Rank | GTEx | DepMap | Descartes | Mean.Counts | Mean.TPM |
---|---|---|---|---|---|---|---|
COL1A1 | 0.0129046 | 2 | GTEx | DepMap | Descartes | 2296.24 | 44165.33 |
SPARC | 0.0100763 | 3 | GTEx | DepMap | Descartes | 641.92 | 19454.24 |
COL11A1 | 0.0090138 | 4 | GTEx | DepMap | Descartes | 11.50 | 170.86 |
PTN | 0.0087728 | 5 | GTEx | DepMap | Descartes | 19.13 | 2656.58 |
COL5A2 | 0.0077883 | 6 | GTEx | DepMap | Descartes | 43.30 | 597.72 |
COL3A1 | 0.0069863 | 8 | GTEx | DepMap | Descartes | 619.95 | 13541.43 |
COL5A1 | 0.0051816 | 11 | GTEx | DepMap | Descartes | 47.98 | 587.90 |
BGN | 0.0036839 | 16 | GTEx | DepMap | Descartes | 89.31 | 5858.27 |
KDELR3 | 0.0036181 | 17 | GTEx | DepMap | Descartes | 5.09 | 165.24 |
HTRA1 | 0.0031570 | 22 | GTEx | DepMap | Descartes | 17.22 | 1375.20 |
COL12A1 | 0.0029330 | 23 | GTEx | DepMap | Descartes | 18.82 | 265.15 |
COL6A1 | 0.0024433 | 31 | GTEx | DepMap | Descartes | 45.39 | 1647.67 |
PPIC | 0.0023855 | 33 | GTEx | DepMap | Descartes | 3.91 | 415.97 |
LGALS1 | 0.0023232 | 37 | GTEx | DepMap | Descartes | 27.10 | 6925.91 |
MMP2 | 0.0022329 | 42 | GTEx | DepMap | Descartes | 30.93 | 1085.23 |
OLFML3 | 0.0021662 | 46 | GTEx | DepMap | Descartes | 9.63 | 623.40 |
RGS3 | 0.0019655 | 53 | GTEx | DepMap | Descartes | 4.84 | 142.52 |
COL6A3 | 0.0019508 | 54 | GTEx | DepMap | Descartes | 36.86 | 475.70 |
CKAP4 | 0.0016985 | 64 | GTEx | DepMap | Descartes | 8.95 | 368.64 |
PRDX4 | 0.0016595 | 66 | GTEx | DepMap | Descartes | 3.92 | 458.25 |
FMOD | 0.0015939 | 70 | GTEx | DepMap | Descartes | 4.82 | 301.27 |
COL6A2 | 0.0015219 | 71 | GTEx | DepMap | Descartes | 36.89 | 1710.13 |
COL27A1 | 0.0014837 | 74 | GTEx | DepMap | Descartes | 2.61 | 74.67 |
FIBIN | 0.0014244 | 77 | GTEx | DepMap | Descartes | 1.33 | 68.82 |
SERPINH1 | 0.0013772 | 79 | GTEx | DepMap | Descartes | 11.51 | 430.29 |
AEBP1 | 0.0012673 | 91 | GTEx | DepMap | Descartes | 35.40 | 1478.99 |
PPIB | 0.0011983 | 99 | GTEx | DepMap | Descartes | 13.20 | 1231.28 |
ENAH | 0.0011856 | 101 | GTEx | DepMap | Descartes | 9.42 | 89.75 |
GJA1 | 0.0011647 | 102 | GTEx | DepMap | Descartes | 5.19 | 206.63 |
GPX8 | 0.0011631 | 103 | GTEx | DepMap | Descartes | 2.22 | 66.56 |
Descartes adrenocortical markers
Top 50 marker genes of adrenocortical cells in the Decartes fetal adrenal single cell map (https://atlas.brotmanbaty.org/bbi/human-gene-expression-during-development/cell/adrenocortical/in/adrenal)
Wilcoxon ranksum test P-value for gene set overrepresentation: 7.32e-01
Mean rank of genes in gene set: 6647.67
Median rank of genes in gene set: 6867.5
Rank on gene expression program of top 30 genes in gene set:
Genes | Weight | Rank | GTEx | DepMap | Descartes | Mean.Counts | Mean.TPM |
---|---|---|---|---|---|---|---|
SH3PXD2B | 0.0004287 | 375 | GTEx | DepMap | Descartes | 1.82 | 25.50 |
GSTA4 | 0.0003561 | 480 | GTEx | DepMap | Descartes | 1.18 | 53.57 |
PAPSS2 | 0.0002829 | 603 | GTEx | DepMap | Descartes | 3.22 | 65.76 |
SCAP | 0.0000609 | 2101 | GTEx | DepMap | Descartes | 0.85 | 27.80 |
FDXR | 0.0000457 | 2354 | GTEx | DepMap | Descartes | 0.06 | 0.90 |
BAIAP2L1 | 0.0000291 | 2726 | GTEx | DepMap | Descartes | 0.00 | 0.00 |
SCARB1 | 0.0000192 | 2980 | GTEx | DepMap | Descartes | 0.48 | 7.29 |
SH3BP5 | 0.0000123 | 3162 | GTEx | DepMap | Descartes | 3.45 | 112.39 |
INHA | -0.0000022 | 3584 | GTEx | DepMap | Descartes | 0.00 | 0.00 |
FRMD5 | -0.0000060 | 3698 | GTEx | DepMap | Descartes | 0.00 | 0.00 |
DNER | -0.0000106 | 3868 | GTEx | DepMap | Descartes | 0.09 | 2.23 |
FREM2 | -0.0000209 | 4275 | GTEx | DepMap | Descartes | 0.06 | 0.35 |
GRAMD1B | -0.0000374 | 4990 | GTEx | DepMap | Descartes | 0.24 | 1.28 |
TM7SF2 | -0.0000390 | 5064 | GTEx | DepMap | Descartes | 0.03 | 1.66 |
CYB5B | -0.0000548 | 5790 | GTEx | DepMap | Descartes | 0.79 | 22.54 |
JAKMIP2 | -0.0000554 | 5818 | GTEx | DepMap | Descartes | 0.00 | 0.00 |
STAR | -0.0000644 | 6261 | GTEx | DepMap | Descartes | 0.03 | 0.78 |
DHCR24 | -0.0000757 | 6790 | GTEx | DepMap | Descartes | 0.36 | 5.04 |
NPC1 | -0.0000786 | 6945 | GTEx | DepMap | Descartes | 0.94 | 28.29 |
APOC1 | -0.0000834 | 7169 | GTEx | DepMap | Descartes | 3.61 | 283.83 |
POR | -0.0000906 | 7481 | GTEx | DepMap | Descartes | 0.33 | 15.74 |
SGCZ | -0.0000998 | 7875 | GTEx | DepMap | Descartes | 0.00 | 0.00 |
SLC16A9 | -0.0001036 | 8028 | GTEx | DepMap | Descartes | 0.03 | 0.40 |
DHCR7 | -0.0001087 | 8210 | GTEx | DepMap | Descartes | 0.21 | 10.03 |
IGF1R | -0.0001099 | 8252 | GTEx | DepMap | Descartes | 0.85 | 5.87 |
SLC1A2 | -0.0001344 | 9103 | GTEx | DepMap | Descartes | 0.00 | 0.00 |
ERN1 | -0.0001499 | 9540 | GTEx | DepMap | Descartes | 0.91 | 12.61 |
FDX1 | -0.0001502 | 9549 | GTEx | DepMap | Descartes | 0.42 | 12.22 |
FDPS | -0.0001694 | 10032 | GTEx | DepMap | Descartes | 0.48 | 23.32 |
PDE10A | -0.0002055 | 10711 | GTEx | DepMap | Descartes | 0.09 | 1.12 |
Descartes chromaffin markers
Top 50 marker genes of chromaffin cells in the Decartes fetal adrenal single cell map (https://atlas.brotmanbaty.org/bbi/human-gene-expression-during-development/cell/chromaffin/in/adrenal)
Wilcoxon ranksum test P-value for gene set overrepresentation: 9.72e-02
Mean rank of genes in gene set: 5541.93
Median rank of genes in gene set: 5797
Rank on gene expression program of top 30 genes in gene set:
Genes | Weight | Rank | GTEx | DepMap | Descartes | Mean.Counts | Mean.TPM |
---|---|---|---|---|---|---|---|
FAT3 | 0.0011262 | 104 | GTEx | DepMap | Descartes | 0.45 | 2.65 |
TUBB2A | 0.0006479 | 219 | GTEx | DepMap | Descartes | 4.97 | 704.89 |
BASP1 | 0.0002910 | 587 | GTEx | DepMap | Descartes | 9.48 | 630.42 |
EYA4 | 0.0002778 | 620 | GTEx | DepMap | Descartes | 0.03 | 0.30 |
EYA1 | 0.0001988 | 899 | GTEx | DepMap | Descartes | 0.09 | 2.03 |
REEP1 | 0.0001471 | 1168 | GTEx | DepMap | Descartes | 0.30 | 3.36 |
RYR2 | 0.0000834 | 1774 | GTEx | DepMap | Descartes | 0.03 | 0.05 |
RGMB | 0.0000761 | 1866 | GTEx | DepMap | Descartes | 1.24 | 31.92 |
NTRK1 | 0.0000698 | 1961 | GTEx | DepMap | Descartes | 0.00 | 0.00 |
RPH3A | 0.0000663 | 2009 | GTEx | DepMap | Descartes | 0.12 | 0.76 |
EPHA6 | 0.0000582 | 2138 | GTEx | DepMap | Descartes | 0.03 | 0.80 |
PLXNA4 | 0.0000311 | 2672 | GTEx | DepMap | Descartes | 0.06 | 0.34 |
SLC6A2 | 0.0000125 | 3157 | GTEx | DepMap | Descartes | 0.03 | 0.48 |
RBFOX1 | 0.0000096 | 3245 | GTEx | DepMap | Descartes | 0.09 | 7.43 |
ANKFN1 | -0.0000250 | 4457 | GTEx | DepMap | Descartes | 0.00 | 0.00 |
KCNB2 | -0.0000294 | 4636 | GTEx | DepMap | Descartes | 0.00 | 0.00 |
CNTFR | -0.0000331 | 4788 | GTEx | DepMap | Descartes | 0.09 | 3.01 |
SLC44A5 | -0.0000397 | 5095 | GTEx | DepMap | Descartes | 0.00 | 0.00 |
ALK | -0.0000425 | 5233 | GTEx | DepMap | Descartes | 0.03 | 0.38 |
TMEM132C | -0.0000528 | 5699 | GTEx | DepMap | Descartes | 0.06 | 2.68 |
MAB21L2 | -0.0000549 | 5797 | GTEx | DepMap | Descartes | 0.06 | 2.17 |
GAP43 | -0.0000591 | 5988 | GTEx | DepMap | Descartes | 0.82 | 30.89 |
GAL | -0.0000598 | 6020 | GTEx | DepMap | Descartes | 0.03 | 3.18 |
TMEFF2 | -0.0000629 | 6182 | GTEx | DepMap | Descartes | 0.00 | 0.00 |
NPY | -0.0000738 | 6701 | GTEx | DepMap | Descartes | 0.12 | 10.83 |
IL7 | -0.0000783 | 6927 | GTEx | DepMap | Descartes | 0.03 | 0.58 |
TUBA1A | -0.0000784 | 6935 | GTEx | DepMap | Descartes | 14.99 | 1097.78 |
ISL1 | -0.0000825 | 7126 | GTEx | DepMap | Descartes | 0.15 | 5.42 |
PTCHD1 | -0.0000846 | 7229 | GTEx | DepMap | Descartes | 0.00 | 0.00 |
CNKSR2 | -0.0000973 | 7774 | GTEx | DepMap | Descartes | 0.12 | 1.13 |
Descartes Vascular_endothelial markers
Top 50 marker genes of Vascular_endothelial cells in the Decartes fetal adrenal single cell map (https://atlas.brotmanbaty.org/bbi/human-gene-expression-during-development/cell/vascular_endothelial/in/adrenal)
Wilcoxon ranksum test P-value for gene set overrepresentation: 1.73e-02
Mean rank of genes in gene set: 5035.05
Median rank of genes in gene set: 4733.5
Rank on gene expression program of top 30 genes in gene set:
Genes | Weight | Rank | GTEx | DepMap | Descartes | Mean.Counts | Mean.TPM |
---|---|---|---|---|---|---|---|
IRX3 | 0.0016201 | 69 | GTEx | DepMap | Descartes | 1.28 | 87.86 |
GALNT15 | 0.0004286 | 376 | GTEx | DepMap | Descartes | 0.48 | NA |
RASIP1 | 0.0000957 | 1644 | GTEx | DepMap | Descartes | 0.15 | 10.73 |
HYAL2 | 0.0000856 | 1742 | GTEx | DepMap | Descartes | 0.21 | 4.14 |
RAMP2 | 0.0000762 | 1865 | GTEx | DepMap | Descartes | 0.36 | 44.99 |
BTNL9 | 0.0000707 | 1948 | GTEx | DepMap | Descartes | 0.03 | 0.49 |
CLDN5 | 0.0000693 | 1968 | GTEx | DepMap | Descartes | 0.03 | 0.88 |
TIE1 | 0.0000527 | 2238 | GTEx | DepMap | Descartes | 0.03 | 0.87 |
SLCO2A1 | 0.0000478 | 2311 | GTEx | DepMap | Descartes | 0.00 | 0.00 |
F8 | 0.0000470 | 2323 | GTEx | DepMap | Descartes | 0.06 | 0.70 |
PLVAP | 0.0000391 | 2486 | GTEx | DepMap | Descartes | 0.09 | 3.93 |
NOTCH4 | 0.0000236 | 2853 | GTEx | DepMap | Descartes | 0.00 | 0.00 |
FLT4 | 0.0000230 | 2875 | GTEx | DepMap | Descartes | 0.00 | 0.00 |
MMRN2 | 0.0000140 | 3115 | GTEx | DepMap | Descartes | 0.09 | 1.97 |
KANK3 | 0.0000103 | 3219 | GTEx | DepMap | Descartes | 0.00 | 0.00 |
NR5A2 | -0.0000014 | 3552 | GTEx | DepMap | Descartes | 0.00 | 0.00 |
KDR | -0.0000192 | 4204 | GTEx | DepMap | Descartes | 0.00 | 0.00 |
PODXL | -0.0000292 | 4620 | GTEx | DepMap | Descartes | 0.03 | 0.56 |
ROBO4 | -0.0000312 | 4707 | GTEx | DepMap | Descartes | 0.00 | 0.00 |
ESM1 | -0.0000325 | 4760 | GTEx | DepMap | Descartes | 0.03 | 1.91 |
SHANK3 | -0.0000455 | 5370 | GTEx | DepMap | Descartes | 0.09 | 1.29 |
CRHBP | -0.0000517 | 5658 | GTEx | DepMap | Descartes | 0.00 | 0.00 |
TEK | -0.0000529 | 5708 | GTEx | DepMap | Descartes | 0.03 | 0.19 |
MYRIP | -0.0000556 | 5830 | GTEx | DepMap | Descartes | 0.00 | 0.00 |
CDH5 | -0.0000564 | 5862 | GTEx | DepMap | Descartes | 0.00 | 0.00 |
SHE | -0.0000568 | 5882 | GTEx | DepMap | Descartes | 0.30 | 4.24 |
NPR1 | -0.0000623 | 6158 | GTEx | DepMap | Descartes | 0.24 | 4.20 |
CHRM3 | -0.0000664 | 6365 | GTEx | DepMap | Descartes | 0.06 | 0.57 |
CEACAM1 | -0.0000666 | 6370 | GTEx | DepMap | Descartes | 0.00 | 0.00 |
ARHGAP29 | -0.0000668 | 6379 | GTEx | DepMap | Descartes | 0.12 | 1.59 |
Descartes stromal markers
Top 50 marker genes of stromal cells in the Decartes fetal adrenal single cell map (https://atlas.brotmanbaty.org/bbi/human-gene-expression-during-development/cell/stromal/in/adrenal)
Wilcoxon ranksum test P-value for gene set overrepresentation: 1.66e-02
Mean rank of genes in gene set: 5114.09
Median rank of genes in gene set: 2348.5
Rank on gene expression program of top 30 genes in gene set:
Genes | Weight | Rank | GTEx | DepMap | Descartes | Mean.Counts | Mean.TPM |
---|---|---|---|---|---|---|---|
COL1A2 | 0.0135041 | 1 | GTEx | DepMap | Descartes | 847.88 | 14033.33 |
COL1A1 | 0.0129046 | 2 | GTEx | DepMap | Descartes | 2296.24 | 44165.33 |
COL3A1 | 0.0069863 | 8 | GTEx | DepMap | Descartes | 619.95 | 13541.43 |
SFRP2 | 0.0056303 | 10 | GTEx | DepMap | Descartes | 92.35 | 5923.14 |
PCOLCE | 0.0050695 | 12 | GTEx | DepMap | Descartes | 33.74 | 3379.26 |
COL12A1 | 0.0029330 | 23 | GTEx | DepMap | Descartes | 18.82 | 265.15 |
ADAMTS2 | 0.0027592 | 27 | GTEx | DepMap | Descartes | 11.42 | 232.72 |
LOX | 0.0025412 | 30 | GTEx | DepMap | Descartes | 11.02 | 208.80 |
COL6A3 | 0.0019508 | 54 | GTEx | DepMap | Descartes | 36.86 | 475.70 |
LUM | 0.0016347 | 67 | GTEx | DepMap | Descartes | 89.49 | 3931.27 |
COL27A1 | 0.0014837 | 74 | GTEx | DepMap | Descartes | 2.61 | 74.67 |
ITGA11 | 0.0009618 | 121 | GTEx | DepMap | Descartes | 2.48 | 24.61 |
CDH11 | 0.0006793 | 209 | GTEx | DepMap | Descartes | 5.76 | 104.75 |
DCN | 0.0004462 | 356 | GTEx | DepMap | Descartes | 128.71 | 1920.66 |
OGN | 0.0004349 | 366 | GTEx | DepMap | Descartes | 6.65 | 257.76 |
PRRX1 | 0.0003016 | 568 | GTEx | DepMap | Descartes | 7.95 | 241.78 |
GLI2 | 0.0002021 | 879 | GTEx | DepMap | Descartes | 0.48 | 4.13 |
PCDH18 | 0.0001906 | 933 | GTEx | DepMap | Descartes | 1.24 | 21.78 |
ISLR | 0.0001787 | 992 | GTEx | DepMap | Descartes | 9.78 | 540.89 |
PAMR1 | 0.0000987 | 1605 | GTEx | DepMap | Descartes | 0.48 | 11.97 |
LRRC17 | 0.0000792 | 1830 | GTEx | DepMap | Descartes | 0.94 | 49.98 |
DKK2 | 0.0000479 | 2309 | GTEx | DepMap | Descartes | 0.36 | 14.45 |
CD248 | 0.0000438 | 2388 | GTEx | DepMap | Descartes | 1.21 | 58.55 |
FREM1 | -0.0000186 | 4181 | GTEx | DepMap | Descartes | 0.09 | 0.90 |
PRICKLE1 | -0.0000519 | 5669 | GTEx | DepMap | Descartes | 1.39 | 23.35 |
EDNRA | -0.0000882 | 7367 | GTEx | DepMap | Descartes | 1.12 | 30.99 |
CLDN11 | -0.0000960 | 7711 | GTEx | DepMap | Descartes | 0.48 | 18.97 |
ABCC9 | -0.0001106 | 8280 | GTEx | DepMap | Descartes | 1.24 | 12.37 |
POSTN | -0.0001148 | 8425 | GTEx | DepMap | Descartes | 7.21 | 264.69 |
BICC1 | -0.0001213 | 8669 | GTEx | DepMap | Descartes | 1.61 | 30.24 |
Descartes sympathoblasts markers
Top 50 marker genes of sympathoblasts cells in the Decartes fetal adrenal single cell map (https://atlas.brotmanbaty.org/bbi/human-gene-expression-during-development/cell/sympathoblasts/in/adrenal)
Wilcoxon ranksum test P-value for gene set overrepresentation: 1.41e-01
Mean rank of genes in gene set: 5643
Median rank of genes in gene set: 5905.5
Rank on gene expression program of top 30 genes in gene set:
Genes | Weight | Rank | GTEx | DepMap | Descartes | Mean.Counts | Mean.TPM |
---|---|---|---|---|---|---|---|
ROBO1 | 0.0002048 | 866 | GTEx | DepMap | Descartes | 0.42 | 2.51 |
SORCS3 | 0.0001475 | 1165 | GTEx | DepMap | Descartes | 0.00 | 0.00 |
FAM155A | 0.0001338 | 1261 | GTEx | DepMap | Descartes | 0.48 | 2.48 |
NTNG1 | 0.0001277 | 1322 | GTEx | DepMap | Descartes | 0.06 | 4.59 |
CNTN3 | 0.0000849 | 1752 | GTEx | DepMap | Descartes | 0.03 | 0.48 |
ARC | 0.0000796 | 1826 | GTEx | DepMap | Descartes | 6.97 | 178.17 |
SLC35F3 | 0.0000693 | 1969 | GTEx | DepMap | Descartes | 0.00 | 0.00 |
FGF14 | 0.0000444 | 2378 | GTEx | DepMap | Descartes | 0.48 | 4.98 |
GALNTL6 | 0.0000380 | 2516 | GTEx | DepMap | Descartes | 0.03 | 0.59 |
LAMA3 | 0.0000353 | 2573 | GTEx | DepMap | Descartes | 0.15 | 2.71 |
DGKK | 0.0000268 | 2777 | GTEx | DepMap | Descartes | 0.00 | 0.00 |
ST18 | 0.0000057 | 3344 | GTEx | DepMap | Descartes | 0.03 | 0.34 |
GRM7 | 0.0000016 | 3466 | GTEx | DepMap | Descartes | 0.06 | 0.85 |
SLC24A2 | -0.0000013 | 3550 | GTEx | DepMap | Descartes | 0.00 | 0.00 |
TBX20 | -0.0000089 | 3800 | GTEx | DepMap | Descartes | 0.00 | 0.00 |
CDH18 | -0.0000274 | 4549 | GTEx | DepMap | Descartes | 0.00 | 0.00 |
PACRG | -0.0000294 | 4635 | GTEx | DepMap | Descartes | 0.18 | 6.79 |
SPOCK3 | -0.0000489 | 5531 | GTEx | DepMap | Descartes | 0.00 | 0.00 |
SLC18A1 | -0.0000536 | 5736 | GTEx | DepMap | Descartes | 0.00 | 0.00 |
CHGB | -0.0000608 | 6075 | GTEx | DepMap | Descartes | 0.21 | 4.34 |
CDH12 | -0.0000632 | 6200 | GTEx | DepMap | Descartes | 0.00 | 0.00 |
CCSER1 | -0.0000634 | 6208 | GTEx | DepMap | Descartes | 0.00 | NA |
KSR2 | -0.0000731 | 6666 | GTEx | DepMap | Descartes | 0.00 | 0.00 |
PENK | -0.0000769 | 6854 | GTEx | DepMap | Descartes | 0.00 | 0.00 |
AGBL4 | -0.0000821 | 7113 | GTEx | DepMap | Descartes | 0.00 | 0.00 |
MGAT4C | -0.0000895 | 7425 | GTEx | DepMap | Descartes | 0.09 | 0.44 |
HTATSF1 | -0.0000901 | 7451 | GTEx | DepMap | Descartes | 0.58 | 23.67 |
KCTD16 | -0.0000933 | 7587 | GTEx | DepMap | Descartes | 0.12 | 0.71 |
EML6 | -0.0000937 | 7606 | GTEx | DepMap | Descartes | 0.00 | 0.00 |
C1QL1 | -0.0001003 | 7890 | GTEx | DepMap | Descartes | 0.06 | 3.56 |
Descartes erythroblasts markers
Top 50 marker genes of erythroblasts cells in the Decartes fetal adrenal single cell map (https://atlas.brotmanbaty.org/bbi/human-gene-expression-during-development/cell/erythroblasts/in/adrenal)
Wilcoxon ranksum test P-value for gene set overrepresentation: 9.59e-01
Mean rank of genes in gene set: 7442.97
Median rank of genes in gene set: 8052
Rank on gene expression program of top 30 genes in gene set:
Genes | Weight | Rank | GTEx | DepMap | Descartes | Mean.Counts | Mean.TPM |
---|---|---|---|---|---|---|---|
TRAK2 | 0.0000603 | 2108 | GTEx | DepMap | Descartes | 0.70 | 10.83 |
TFR2 | 0.0000107 | 3203 | GTEx | DepMap | Descartes | 0.00 | 0.00 |
BLVRB | 0.0000098 | 3235 | GTEx | DepMap | Descartes | 0.73 | 38.31 |
TMCC2 | 0.0000017 | 3462 | GTEx | DepMap | Descartes | 0.06 | 1.10 |
ANK1 | -0.0000016 | 3562 | GTEx | DepMap | Descartes | 0.12 | 1.26 |
XPO7 | -0.0000053 | 3678 | GTEx | DepMap | Descartes | 0.64 | 15.10 |
RHD | -0.0000150 | 4027 | GTEx | DepMap | Descartes | 0.00 | 0.00 |
SLC25A21 | -0.0000200 | 4236 | GTEx | DepMap | Descartes | 0.00 | 0.00 |
ALAS2 | -0.0000234 | 4385 | GTEx | DepMap | Descartes | 0.00 | 0.00 |
SLC4A1 | -0.0000237 | 4397 | GTEx | DepMap | Descartes | 0.06 | 1.09 |
SPTB | -0.0000329 | 4778 | GTEx | DepMap | Descartes | 0.03 | 0.26 |
ABCB10 | -0.0000625 | 6167 | GTEx | DepMap | Descartes | 0.15 | 2.69 |
FECH | -0.0000783 | 6925 | GTEx | DepMap | Descartes | 0.15 | 1.86 |
CPOX | -0.0000989 | 7836 | GTEx | DepMap | Descartes | 0.15 | 6.87 |
SNCA | -0.0001041 | 8052 | GTEx | DepMap | Descartes | 0.09 | 1.42 |
MICAL2 | -0.0001173 | 8523 | GTEx | DepMap | Descartes | 4.97 | 72.05 |
RGS6 | -0.0001244 | 8764 | GTEx | DepMap | Descartes | 0.00 | 0.00 |
TSPAN5 | -0.0001382 | 9213 | GTEx | DepMap | Descartes | 0.52 | 11.27 |
SPECC1 | -0.0001412 | 9309 | GTEx | DepMap | Descartes | 0.12 | 1.07 |
GCLC | -0.0001824 | 10302 | GTEx | DepMap | Descartes | 0.15 | 3.63 |
RAPGEF2 | -0.0001839 | 10330 | GTEx | DepMap | Descartes | 1.79 | 20.79 |
SLC25A37 | -0.0001866 | 10379 | GTEx | DepMap | Descartes | 0.88 | 30.28 |
CAT | -0.0001996 | 10607 | GTEx | DepMap | Descartes | 0.64 | 26.35 |
SELENBP1 | -0.0002260 | 10988 | GTEx | DepMap | Descartes | 0.52 | 24.99 |
EPB41 | -0.0002278 | 11017 | GTEx | DepMap | Descartes | 0.09 | 0.86 |
GYPC | -0.0002386 | 11132 | GTEx | DepMap | Descartes | 0.61 | 45.14 |
SOX6 | -0.0002463 | 11222 | GTEx | DepMap | Descartes | 0.18 | 0.92 |
DENND4A | -0.0003050 | 11716 | GTEx | DepMap | Descartes | 1.91 | 22.71 |
MARCH3 | -0.0005002 | 12293 | GTEx | DepMap | Descartes | 0.61 | NA |
NA | NA | NA | NA | NA | NA | NA | NA |
Descartes myeloid markers
Top 50 marker genes of myeloid cells in the Decartes fetal adrenal single cell map (https://atlas.brotmanbaty.org/bbi/human-gene-expression-during-development/cell/myeloid/in/adrenal)
Wilcoxon ranksum test P-value for gene set overrepresentation: 9.60e-01
Mean rank of genes in gene set: 7302.61
Median rank of genes in gene set: 8201
Rank on gene expression program of top 30 genes in gene set:
Genes | Weight | Rank | GTEx | DepMap | Descartes | Mean.Counts | Mean.TPM |
---|---|---|---|---|---|---|---|
CST3 | 0.0008845 | 136 | GTEx | DepMap | Descartes | 43.97 | 2133.10 |
HRH1 | 0.0003953 | 412 | GTEx | DepMap | Descartes | 1.58 | 38.43 |
TGFBI | 0.0001765 | 1006 | GTEx | DepMap | Descartes | 6.22 | 134.05 |
AXL | 0.0001520 | 1133 | GTEx | DepMap | Descartes | 4.80 | 90.04 |
LGMN | 0.0001518 | 1139 | GTEx | DepMap | Descartes | 7.70 | 313.88 |
RGL1 | 0.0001296 | 1307 | GTEx | DepMap | Descartes | 1.06 | 20.96 |
SLC1A3 | 0.0000311 | 2676 | GTEx | DepMap | Descartes | 0.45 | 16.92 |
SPP1 | 0.0000125 | 3158 | GTEx | DepMap | Descartes | 3.26 | 114.83 |
FMN1 | 0.0000057 | 3346 | GTEx | DepMap | Descartes | 0.30 | 0.88 |
CTSB | -0.0000187 | 4185 | GTEx | DepMap | Descartes | 15.54 | 358.40 |
MSR1 | -0.0000286 | 4600 | GTEx | DepMap | Descartes | 0.42 | 6.00 |
ADAP2 | -0.0000317 | 4730 | GTEx | DepMap | Descartes | 0.48 | 8.89 |
SLC9A9 | -0.0000799 | 7016 | GTEx | DepMap | Descartes | 0.24 | 4.50 |
WWP1 | -0.0000814 | 7073 | GTEx | DepMap | Descartes | 0.76 | 12.51 |
ATP8B4 | -0.0000901 | 7450 | GTEx | DepMap | Descartes | 0.09 | 0.97 |
CD163L1 | -0.0000939 | 7616 | GTEx | DepMap | Descartes | 0.15 | 1.16 |
MERTK | -0.0000987 | 7831 | GTEx | DepMap | Descartes | 0.30 | 4.43 |
FGD2 | -0.0001036 | 8029 | GTEx | DepMap | Descartes | 0.03 | 0.19 |
MS4A4A | -0.0001076 | 8165 | GTEx | DepMap | Descartes | 0.55 | 14.17 |
CD14 | -0.0001094 | 8237 | GTEx | DepMap | Descartes | 4.10 | 132.24 |
CTSD | -0.0001183 | 8553 | GTEx | DepMap | Descartes | 16.12 | 614.27 |
HCK | -0.0001300 | 8971 | GTEx | DepMap | Descartes | 0.42 | 7.79 |
CPVL | -0.0001380 | 9203 | GTEx | DepMap | Descartes | 0.36 | 24.03 |
CYBB | -0.0001396 | 9249 | GTEx | DepMap | Descartes | 1.40 | 13.71 |
SLCO2B1 | -0.0001650 | 9921 | GTEx | DepMap | Descartes | 0.33 | 4.38 |
CD163 | -0.0001670 | 9971 | GTEx | DepMap | Descartes | 0.52 | 4.25 |
SFMBT2 | -0.0001673 | 9979 | GTEx | DepMap | Descartes | 0.15 | 1.25 |
CSF1R | -0.0001732 | 10104 | GTEx | DepMap | Descartes | 0.15 | 1.64 |
MARCH1 | -0.0001771 | 10194 | GTEx | DepMap | Descartes | 0.03 | NA |
IFNGR1 | -0.0001854 | 10358 | GTEx | DepMap | Descartes | 1.24 | 63.45 |
Descartes Schwann markers
Top 50 marker genes of Schwann cells in the Decartes fetal adrenal single cell map (https://atlas.brotmanbaty.org/bbi/human-gene-expression-during-development/cell/schwann/in/adrenal)
Wilcoxon ranksum test P-value for gene set overrepresentation: 9.41e-01
Mean rank of genes in gene set: 7129.32
Median rank of genes in gene set: 7414
Rank on gene expression program of top 30 genes in gene set:
Genes | Weight | Rank | GTEx | DepMap | Descartes | Mean.Counts | Mean.TPM |
---|---|---|---|---|---|---|---|
PTN | 0.0087728 | 5 | GTEx | DepMap | Descartes | 19.13 | 2656.58 |
COL5A2 | 0.0077883 | 6 | GTEx | DepMap | Descartes | 43.30 | 597.72 |
VIM | 0.0004907 | 308 | GTEx | DepMap | Descartes | 110.25 | 4894.97 |
MARCKS | 0.0002160 | 818 | GTEx | DepMap | Descartes | 13.65 | 330.58 |
PTPRZ1 | 0.0002136 | 824 | GTEx | DepMap | Descartes | 0.85 | 5.39 |
DST | 0.0000936 | 1664 | GTEx | DepMap | Descartes | 10.08 | 47.60 |
ADAMTS5 | 0.0000669 | 1998 | GTEx | DepMap | Descartes | 0.88 | 12.41 |
LAMC1 | 0.0000441 | 2385 | GTEx | DepMap | Descartes | 7.83 | 126.03 |
COL25A1 | 0.0000262 | 2793 | GTEx | DepMap | Descartes | 0.06 | 2.34 |
PMP22 | 0.0000133 | 3133 | GTEx | DepMap | Descartes | 4.42 | 235.36 |
COL18A1 | -0.0000068 | 3738 | GTEx | DepMap | Descartes | 2.58 | 60.83 |
OLFML2A | -0.0000077 | 3760 | GTEx | DepMap | Descartes | 1.18 | 13.89 |
NRXN3 | -0.0000428 | 5245 | GTEx | DepMap | Descartes | 0.15 | 1.07 |
IL1RAPL2 | -0.0000584 | 5949 | GTEx | DepMap | Descartes | 0.00 | 0.00 |
SLC35F1 | -0.0000655 | 6309 | GTEx | DepMap | Descartes | 0.24 | 3.45 |
LRRTM4 | -0.0000659 | 6332 | GTEx | DepMap | Descartes | 0.00 | 0.00 |
MPZ | -0.0000730 | 6662 | GTEx | DepMap | Descartes | 0.03 | 1.22 |
STARD13 | -0.0000735 | 6690 | GTEx | DepMap | Descartes | 0.45 | 5.17 |
FIGN | -0.0000754 | 6779 | GTEx | DepMap | Descartes | 0.55 | 6.48 |
IL1RAPL1 | -0.0000762 | 6824 | GTEx | DepMap | Descartes | 0.00 | 0.00 |
GAS7 | -0.0000786 | 6943 | GTEx | DepMap | Descartes | 2.42 | 27.93 |
TRPM3 | -0.0000790 | 6971 | GTEx | DepMap | Descartes | 0.12 | 0.93 |
XKR4 | -0.0000993 | 7857 | GTEx | DepMap | Descartes | 0.09 | 0.35 |
SOX5 | -0.0000993 | 7858 | GTEx | DepMap | Descartes | 0.18 | 2.25 |
MDGA2 | -0.0001156 | 8456 | GTEx | DepMap | Descartes | 0.00 | 0.00 |
EDNRB | -0.0001215 | 8679 | GTEx | DepMap | Descartes | 0.55 | 9.60 |
ERBB4 | -0.0001260 | 8813 | GTEx | DepMap | Descartes | 0.00 | 0.00 |
PPP2R2B | -0.0001287 | 8920 | GTEx | DepMap | Descartes | 0.00 | 0.00 |
GFRA3 | -0.0001331 | 9066 | GTEx | DepMap | Descartes | 0.30 | 11.93 |
HMGA2 | -0.0001446 | 9397 | GTEx | DepMap | Descartes | 0.00 | 0.00 |
Descartes Megakaryocytes markers
Top 50 marker genes of Megakaryocytes cells in the Decartes fetal adrenal single cell map (https://atlas.brotmanbaty.org/bbi/human-gene-expression-during-development/cell/megakaryocytes/in/adrenal)
Wilcoxon ranksum test P-value for gene set overrepresentation: 9.97e-01
Mean rank of genes in gene set: 7737.22
Median rank of genes in gene set: 8584
Rank on gene expression program of top 30 genes in gene set:
Genes | Weight | Rank | GTEx | DepMap | Descartes | Mean.Counts | Mean.TPM |
---|---|---|---|---|---|---|---|
CD9 | 0.0023353 | 36 | GTEx | DepMap | Descartes | 13.55 | 699.26 |
STON2 | 0.0003488 | 489 | GTEx | DepMap | Descartes | 0.55 | 12.82 |
MYLK | 0.0001721 | 1025 | GTEx | DepMap | Descartes | 7.07 | 73.70 |
RAB27B | 0.0000997 | 1590 | GTEx | DepMap | Descartes | 0.03 | 0.17 |
TGFB1 | 0.0000971 | 1627 | GTEx | DepMap | Descartes | 1.76 | 84.08 |
ITGB3 | 0.0000270 | 2773 | GTEx | DepMap | Descartes | 0.03 | 0.28 |
ACTN1 | 0.0000158 | 3070 | GTEx | DepMap | Descartes | 9.25 | 231.44 |
TRPC6 | -0.0000030 | 3604 | GTEx | DepMap | Descartes | 0.00 | 0.00 |
DOK6 | -0.0000078 | 3761 | GTEx | DepMap | Descartes | 0.33 | 3.15 |
P2RX1 | -0.0000118 | 3902 | GTEx | DepMap | Descartes | 0.00 | 0.00 |
TLN1 | -0.0000119 | 3907 | GTEx | DepMap | Descartes | 6.79 | 85.10 |
ITGA2B | -0.0000134 | 3966 | GTEx | DepMap | Descartes | 0.00 | 0.00 |
TUBB1 | -0.0000337 | 4810 | GTEx | DepMap | Descartes | 0.00 | 0.00 |
TPM4 | -0.0000496 | 5563 | GTEx | DepMap | Descartes | 12.36 | 276.05 |
MCTP1 | -0.0000690 | 6484 | GTEx | DepMap | Descartes | 0.21 | 4.58 |
ANGPT1 | -0.0000727 | 6644 | GTEx | DepMap | Descartes | 0.24 | 5.39 |
ARHGAP6 | -0.0000865 | 7305 | GTEx | DepMap | Descartes | 0.03 | 0.36 |
PLEK | -0.0000923 | 7549 | GTEx | DepMap | Descartes | 5.37 | 76.49 |
MMRN1 | -0.0000954 | 7679 | GTEx | DepMap | Descartes | 0.00 | 0.00 |
MED12L | -0.0000964 | 7727 | GTEx | DepMap | Descartes | 0.09 | 0.78 |
FLI1 | -0.0001124 | 8328 | GTEx | DepMap | Descartes | 0.21 | 10.06 |
SPN | -0.0001155 | 8453 | GTEx | DepMap | Descartes | 0.18 | 1.42 |
PRKAR2B | -0.0001191 | 8584 | GTEx | DepMap | Descartes | 0.12 | 5.62 |
FLNA | -0.0001244 | 8766 | GTEx | DepMap | Descartes | 6.73 | 92.24 |
VCL | -0.0001275 | 8874 | GTEx | DepMap | Descartes | 6.43 | 81.16 |
GP1BA | -0.0001290 | 8932 | GTEx | DepMap | Descartes | 0.03 | 0.95 |
PSTPIP2 | -0.0001344 | 9104 | GTEx | DepMap | Descartes | 0.09 | 1.77 |
INPP4B | -0.0001406 | 9282 | GTEx | DepMap | Descartes | 0.09 | 2.52 |
SLC24A3 | -0.0001626 | 9861 | GTEx | DepMap | Descartes | 0.55 | 13.80 |
CD84 | -0.0001646 | 9911 | GTEx | DepMap | Descartes | 1.83 | 13.51 |
Descartes Lyphoid markers
Top 50 marker genes of Lyphoid cells in the Decartes fetal adrenal single cell map (https://atlas.brotmanbaty.org/bbi/human-gene-expression-during-development/cell/lymphoid/in/adrenal)
Wilcoxon ranksum test P-value for gene set overrepresentation: 1.00e+00
Mean rank of genes in gene set: 10243.6
Median rank of genes in gene set: 10871.5
Rank on gene expression program of top 30 genes in gene set:
Genes | Weight | Rank | GTEx | DepMap | Descartes | Mean.Counts | Mean.TPM |
---|---|---|---|---|---|---|---|
TMSB10 | 0.0000299 | 2706 | GTEx | DepMap | Descartes | 22.32 | 7045.47 |
RAP1GAP2 | -0.0000466 | 5408 | GTEx | DepMap | Descartes | 0.03 | 0.40 |
PITPNC1 | -0.0000811 | 7062 | GTEx | DepMap | Descartes | 0.94 | 12.15 |
CCND3 | -0.0000900 | 7445 | GTEx | DepMap | Descartes | 0.61 | 30.36 |
MCTP2 | -0.0000962 | 7721 | GTEx | DepMap | Descartes | 0.00 | 0.00 |
TOX | -0.0001161 | 8471 | GTEx | DepMap | Descartes | 0.06 | 0.78 |
BACH2 | -0.0001206 | 8642 | GTEx | DepMap | Descartes | 0.30 | 2.42 |
RCSD1 | -0.0001213 | 8671 | GTEx | DepMap | Descartes | 0.15 | 1.39 |
SKAP1 | -0.0001259 | 8808 | GTEx | DepMap | Descartes | 0.09 | 3.84 |
ITPKB | -0.0001301 | 8975 | GTEx | DepMap | Descartes | 0.88 | 12.49 |
STK39 | -0.0001412 | 9306 | GTEx | DepMap | Descartes | 0.39 | 13.56 |
SCML4 | -0.0001504 | 9551 | GTEx | DepMap | Descartes | 0.03 | 0.24 |
SAMD3 | -0.0001587 | 9754 | GTEx | DepMap | Descartes | 0.00 | 0.00 |
FYN | -0.0001624 | 9856 | GTEx | DepMap | Descartes | 2.06 | 63.66 |
LEF1 | -0.0001636 | 9889 | GTEx | DepMap | Descartes | 0.45 | 14.73 |
WIPF1 | -0.0001692 | 10024 | GTEx | DepMap | Descartes | 1.76 | 46.77 |
ANKRD44 | -0.0001734 | 10109 | GTEx | DepMap | Descartes | 0.21 | 2.10 |
MSN | -0.0001741 | 10129 | GTEx | DepMap | Descartes | 3.82 | 103.42 |
GNG2 | -0.0001945 | 10519 | GTEx | DepMap | Descartes | 0.91 | 25.66 |
PLEKHA2 | -0.0002071 | 10727 | GTEx | DepMap | Descartes | 1.45 | 24.97 |
NCALD | -0.0002077 | 10733 | GTEx | DepMap | Descartes | 0.30 | 7.54 |
SORL1 | -0.0002273 | 11010 | GTEx | DepMap | Descartes | 0.06 | 0.40 |
PDE3B | -0.0002287 | 11032 | GTEx | DepMap | Descartes | 0.06 | 0.79 |
SP100 | -0.0002301 | 11050 | GTEx | DepMap | Descartes | 2.12 | 35.14 |
DOCK10 | -0.0002506 | 11273 | GTEx | DepMap | Descartes | 0.39 | 4.70 |
CCL5 | -0.0002510 | 11279 | GTEx | DepMap | Descartes | 0.18 | 11.99 |
PRKCH | -0.0002518 | 11288 | GTEx | DepMap | Descartes | 0.06 | 2.15 |
EVL | -0.0002581 | 11346 | GTEx | DepMap | Descartes | 1.88 | 49.00 |
IKZF1 | -0.0002670 | 11431 | GTEx | DepMap | Descartes | 0.15 | 1.66 |
ARHGAP15 | -0.0002821 | 11551 | GTEx | DepMap | Descartes | 0.09 | 1.52 |
Below shows the ranks on this GEP for immune marker gene lists curated by CellTypist (https://www.celltypist.org/encyclopedia).
High ranks indicate this gene is a driver of this GEP.
These curated gene list are ranked by P-value (on this GEP) of their constituent genes.
The Mean Count column shows the mean read count in cells scoring highly (H > 50) on this gene expression program.
Genes | Weight | Rank | GTEx | DepMap | Decartes | Mean.Counts | Mean.TPM |
---|---|---|---|---|---|---|---|
COL1A2 | 0.0135041 | 1 | GTEx | DepMap | Descartes | 847.88 | 14033.33 |
COL1A1 | 0.0129046 | 2 | GTEx | DepMap | Descartes | 2296.24 | 44165.33 |
DCN | 0.0004462 | 356 | GTEx | DepMap | Descartes | 128.71 | 1920.66 |
DC: DC2 (model markers)
conventional type 2 dendritic cells which constitute the major subset of myeloid dendritic cells:
Wilcoxon ranksum test P-value for gene set overrepresentation: 1.80e-02
Mean rank of genes in gene set: 1890
Rank on gene expression program of genes in gene set:
Genes | Weight | Rank | GTEx | DepMap | Decartes | Mean.Counts | Mean.TPM |
---|---|---|---|---|---|---|---|
CST3 | 0.0008845 | 136 | GTEx | DepMap | Descartes | 43.97 | 2133.10 |
MMP9 | 0.0000376 | 2522 | GTEx | DepMap | Descartes | 7.46 | 147.19 |
AGRP | 0.0000180 | 3012 | GTEx | DepMap | Descartes | 0.00 | 0.00 |
B cells: Transitional B cells (curated markers)
immature B cell precursors in the bone marrow which connect Pre-B cells with mature naive B cells and are subject to the process of B cell selection:
Wilcoxon ranksum test P-value for gene set overrepresentation: 5.44e-02
Mean rank of genes in gene set: 465
Rank on gene expression program of genes in gene set:
Genes | Weight | Rank | GTEx | DepMap | Decartes | Mean.Counts | Mean.TPM |
---|---|---|---|---|---|---|---|
MYO1C | 0.000365 | 465 | GTEx | DepMap | Descartes | 3.15 | 66.71 |