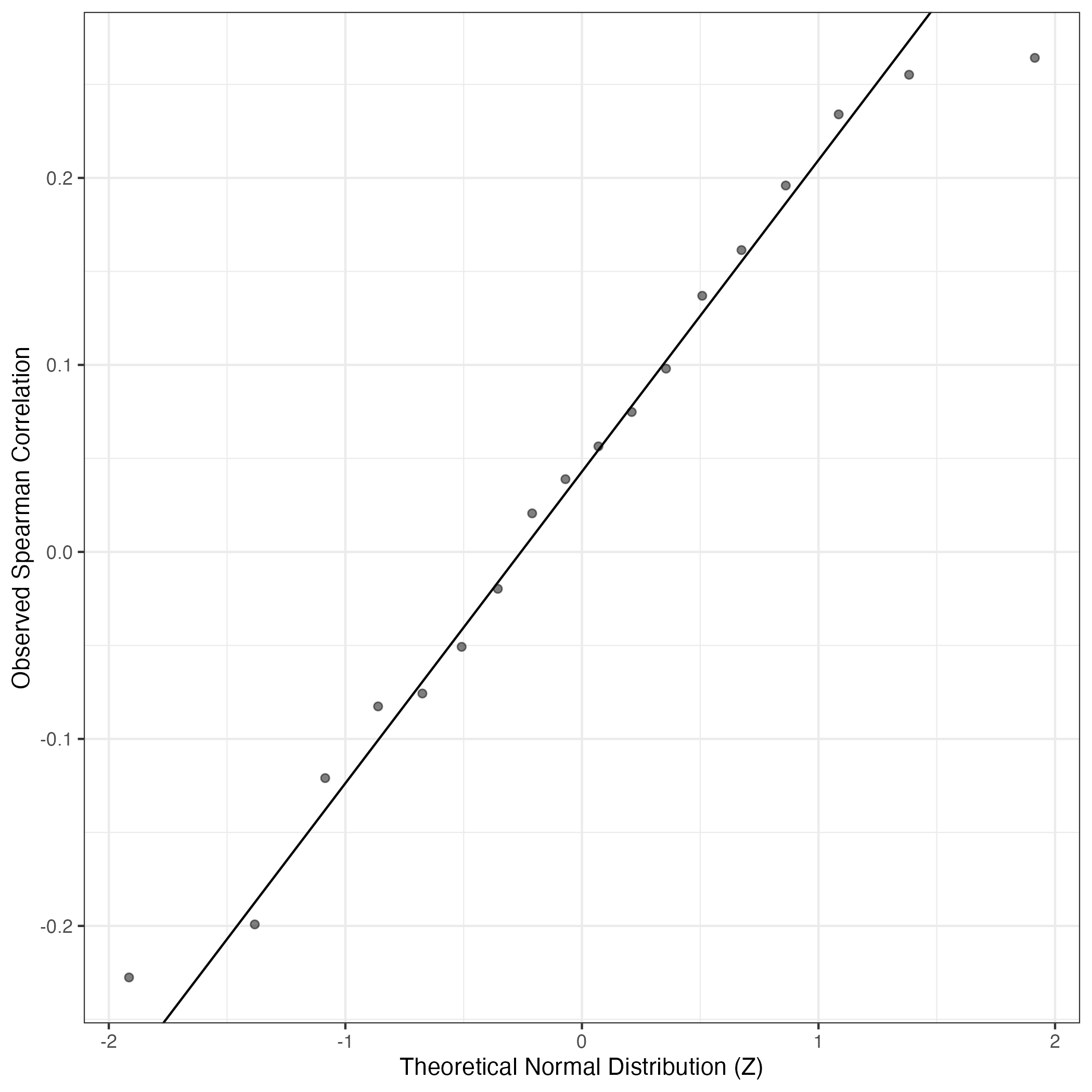
QQ-plot of gene loadings, averaged over both independent splits of the data
This plot highlights the relative contribution of each gene to the GEP
Top genes driving this program. Note: Decartes website is buggy, try refreshing. Also, Decartes fetal adrenal data have been collected at specific time points (89-122 days), all possible cell types of interest may not be represented, do not overinterpret. The Mean Count column shows the mean read count in cells scoring highly (H > 50) on this gene expression program (currently only calculated for the cells in the first 50/50 split of the data).
Note: Decartes website is buggy, try refreshing. Also, Decartes fetal adrenal data have been collected at specific time points (89-122 days), all possible cell types of interest may not be represented, do not overinterpret.
The Mean Count column shows the mean read count in cells scoring highly (H > 50) on this gene expression program.
Gene | Loading | Gene.Name | GTEx | DepMap | Descartes | Mean.Counts | Mean.Tpm | |
---|---|---|---|---|---|---|---|---|
1 | POSTN | 0.0135136 | periostin | GTEx | DepMap | Descartes | 19.99 | 1032.26 |
2 | SULF1 | 0.0099076 | sulfatase 1 | GTEx | DepMap | Descartes | 9.98 | 270.69 |
3 | COMP | 0.0093955 | cartilage oligomeric matrix protein | GTEx | DepMap | Descartes | 2.54 | 75.63 |
4 | FN1 | 0.0088595 | fibronectin 1 | GTEx | DepMap | Descartes | 48.65 | 840.18 |
5 | LTBP2 | 0.0078783 | latent transforming growth factor beta binding protein 2 | GTEx | DepMap | Descartes | 6.75 | 124.40 |
6 | BGN | 0.0071677 | biglycan | GTEx | DepMap | Descartes | 45.61 | 3275.12 |
7 | COL4A2 | 0.0067995 | collagen type IV alpha 2 chain | GTEx | DepMap | Descartes | 28.31 | 709.18 |
8 | COL3A1 | 0.0064724 | collagen type III alpha 1 chain | GTEx | DepMap | Descartes | 204.34 | 5465.92 |
9 | SPARC | 0.0062869 | secreted protein acidic and cysteine rich | GTEx | DepMap | Descartes | 184.62 | 7777.83 |
10 | COL12A1 | 0.0061765 | collagen type XII alpha 1 chain | GTEx | DepMap | Descartes | 9.68 | 122.13 |
11 | COL6A3 | 0.0057242 | collagen type VI alpha 3 chain | GTEx | DepMap | Descartes | 20.75 | 315.01 |
12 | COL4A1 | 0.0057175 | collagen type IV alpha 1 chain | GTEx | DepMap | Descartes | 20.31 | 486.96 |
13 | COL5A1 | 0.0056857 | collagen type V alpha 1 chain | GTEx | DepMap | Descartes | 16.57 | 298.58 |
14 | THBS2 | 0.0055015 | thrombospondin 2 | GTEx | DepMap | Descartes | 18.31 | 490.63 |
15 | VCAN | 0.0054048 | versican | GTEx | DepMap | Descartes | 21.24 | 304.32 |
16 | F2R | 0.0053949 | coagulation factor II thrombin receptor | GTEx | DepMap | Descartes | 4.49 | 207.05 |
17 | COL1A2 | 0.0053899 | collagen type I alpha 2 chain | GTEx | DepMap | Descartes | 156.21 | 3919.73 |
18 | LOXL2 | 0.0053004 | lysyl oxidase like 2 | GTEx | DepMap | Descartes | 2.43 | 98.18 |
19 | THBS4 | 0.0050681 | thrombospondin 4 | GTEx | DepMap | Descartes | 13.00 | 479.81 |
20 | ANO1 | 0.0050479 | anoctamin 1 | GTEx | DepMap | Descartes | 2.05 | 74.07 |
21 | CTHRC1 | 0.0049553 | collagen triple helix repeat containing 1 | GTEx | DepMap | Descartes | 3.79 | 435.01 |
22 | TNC | 0.0047838 | tenascin C | GTEx | DepMap | Descartes | 6.77 | 162.87 |
23 | IGFBP5 | 0.0047098 | insulin like growth factor binding protein 5 | GTEx | DepMap | Descartes | 44.74 | 1123.25 |
24 | COL5A2 | 0.0046649 | collagen type V alpha 2 chain | GTEx | DepMap | Descartes | 10.32 | 231.32 |
25 | COL1A1 | 0.0045522 | collagen type I alpha 1 chain | GTEx | DepMap | Descartes | 369.99 | 9280.27 |
26 | FBN1 | 0.0045251 | fibrillin 1 | GTEx | DepMap | Descartes | 9.61 | 113.86 |
27 | FAP | 0.0045189 | fibroblast activation protein alpha | GTEx | DepMap | Descartes | 2.53 | 136.48 |
28 | PALLD | 0.0044905 | palladin, cytoskeletal associated protein | GTEx | DepMap | Descartes | 8.09 | 234.03 |
29 | ASPN | 0.0044766 | asporin | GTEx | DepMap | Descartes | 4.12 | 283.65 |
30 | TPM1 | 0.0042899 | tropomyosin 1 | GTEx | DepMap | Descartes | 10.17 | 428.81 |
31 | COL8A1 | 0.0042470 | collagen type VIII alpha 1 chain | GTEx | DepMap | Descartes | 10.66 | 286.04 |
32 | CDH11 | 0.0042073 | cadherin 11 | GTEx | DepMap | Descartes | 4.01 | 90.42 |
33 | PRSS23 | 0.0041237 | serine protease 23 | GTEx | DepMap | Descartes | 6.67 | 188.36 |
34 | TIMP1 | 0.0041030 | TIMP metallopeptidase inhibitor 1 | GTEx | DepMap | Descartes | 62.51 | 9430.11 |
35 | MICAL2 | 0.0040827 | microtubule associated monooxygenase, calponin and LIM domain containing 2 | GTEx | DepMap | Descartes | 6.15 | 155.97 |
36 | COL6A1 | 0.0040498 | collagen type VI alpha 1 chain | GTEx | DepMap | Descartes | 27.35 | 1124.50 |
37 | ITGB1 | 0.0039627 | integrin subunit beta 1 | GTEx | DepMap | Descartes | 7.04 | 294.36 |
38 | AEBP1 | 0.0039250 | AE binding protein 1 | GTEx | DepMap | Descartes | 20.89 | 858.56 |
39 | FSTL1 | 0.0039090 | follistatin like 1 | GTEx | DepMap | Descartes | 16.57 | 422.21 |
40 | COL10A1 | 0.0038874 | collagen type X alpha 1 chain | GTEx | DepMap | Descartes | 1.84 | 85.17 |
41 | PXDN | 0.0038533 | peroxidasin | GTEx | DepMap | Descartes | 5.49 | 125.71 |
42 | PLXDC2 | 0.0038327 | plexin domain containing 2 | GTEx | DepMap | Descartes | 6.66 | 87.77 |
43 | PDLIM3 | 0.0037988 | PDZ and LIM domain 3 | GTEx | DepMap | Descartes | 6.50 | 213.45 |
44 | TPM4 | 0.0037630 | tropomyosin 4 | GTEx | DepMap | Descartes | 14.19 | 464.57 |
45 | TAGLN | 0.0035821 | transgelin | GTEx | DepMap | Descartes | 25.24 | 1195.87 |
46 | CALD1 | 0.0034932 | caldesmon 1 | GTEx | DepMap | Descartes | 19.19 | 604.79 |
47 | ITGB5 | 0.0034793 | integrin subunit beta 5 | GTEx | DepMap | Descartes | 3.42 | 126.14 |
48 | COL16A1 | 0.0034629 | collagen type XVI alpha 1 chain | GTEx | DepMap | Descartes | 4.53 | 128.79 |
49 | THY1 | 0.0034340 | Thy-1 cell surface antigen | GTEx | DepMap | Descartes | 8.20 | 292.32 |
50 | ITGA11 | 0.0033488 | integrin subunit alpha 11 | GTEx | DepMap | Descartes | 1.49 | 24.60 |
UMAP plots showing activity of gene expression program identified in community:11. Cancer Associated Fibroblast: Myofibroblast (POSTN+)
CNV Data procured from inferCNV.
Outer tracks are putative CNV regions (gains = red, losses = blue) for each patient
Inner track is expression data representing:
The top cells expressing this GEP (purple)
Random cells (n =50) from the reference set used in inferCNV (orange)
Gene set Enrichments for this program, caculated from top 50 genes
mSigDB Cell Types Gene Set:
P-value | OR | Lower 95% CI | FDR | FWER | Genes Found | Gene Set Size | |
---|---|---|---|---|---|---|---|
MENON_FETAL_KIDNEY_3_STROMAL_CELLS | 3.10e-34 | 149.65 | 76.79 | 1.04e-31 | 2.08e-31 | 21POSTN, FN1, COL4A2, COL3A1, SPARC, COL6A3, COL4A1, VCAN, COL1A2, TNC, IGFBP5, COL5A2, COL1A1, PALLD, TPM1, CDH11, ITGB1, FSTL1, PXDN, TPM4, CALD1 |
81 |
MURARO_PANCREAS_MESENCHYMAL_STROMAL_CELL | 7.12e-45 | 89.45 | 42.54 | 4.77e-42 | 4.77e-42 | 41POSTN, SULF1, FN1, LTBP2, BGN, COL4A2, COL3A1, SPARC, COL12A1, COL6A3, COL4A1, COL5A1, THBS2, VCAN, F2R, COL1A2, LOXL2, ANO1, CTHRC1, TNC, IGFBP5, COL5A2, COL1A1, FBN1, FAP, TPM1, COL8A1, CDH11, TIMP1, MICAL2, COL6A1, ITGB1, AEBP1, FSTL1, PXDN, TPM4, CALD1, ITGB5, COL16A1, THY1, ITGA11 |
680 |
CUI_DEVELOPING_HEART_COMPACT_VENTRICULAR_CARDIOMYOCYTE | 1.55e-19 | 84.17 | 38.73 | 7.99e-18 | 1.04e-16 | 13POSTN, FN1, COL3A1, SPARC, COL12A1, COL6A3, COL5A1, COL1A2, COL5A2, COL1A1, FBN1, ASPN, COL6A1 |
65 |
DESCARTES_FETAL_EYE_STROMAL_CELLS | 3.33e-21 | 71.27 | 34.65 | 2.79e-19 | 2.24e-18 | 15POSTN, FN1, COL3A1, SPARC, COL12A1, COL6A3, COL5A1, THBS2, COL1A2, CTHRC1, COL5A2, COL1A1, FBN1, ASPN, COL6A1 |
90 |
DURANTE_ADULT_OLFACTORY_NEUROEPITHELIUM_FIBROBLASTS_STROMAL_CELLS | 5.74e-20 | 71.31 | 33.94 | 3.21e-18 | 3.85e-17 | 14POSTN, BGN, COL3A1, SPARC, COL1A2, IGFBP5, COL1A1, TPM1, CDH11, TIMP1, AEBP1, TAGLN, CALD1, THY1 |
82 |
TRAVAGLINI_LUNG_MYOFIBROBLAST_CELL | 1.25e-17 | 74.26 | 33.43 | 5.60e-16 | 8.40e-15 | 12POSTN, COMP, LTBP2, COL3A1, COL12A1, VCAN, CTHRC1, TNC, COL1A1, ASPN, PDLIM3, COL16A1 |
65 |
AIZARANI_LIVER_C21_STELLATE_CELLS_1 | 3.15e-29 | 62.18 | 33.38 | 5.29e-27 | 2.12e-26 | 23BGN, COL4A2, COL3A1, SPARC, COL6A3, COL4A1, COL5A1, THBS2, COL1A2, IGFBP5, COL1A1, FBN1, PALLD, PRSS23, TIMP1, COL6A1, ITGB1, AEBP1, FSTL1, TPM4, CALD1, ITGB5, THY1 |
194 |
DESCARTES_FETAL_THYMUS_STROMAL_CELLS | 9.71e-22 | 53.59 | 27.23 | 1.09e-19 | 6.52e-19 | 17POSTN, BGN, COL3A1, SPARC, COL12A1, COL5A1, THBS2, VCAN, COL1A2, IGFBP5, COL5A2, COL1A1, FBN1, ASPN, TIMP1, COL6A1, FSTL1 |
137 |
AIZARANI_LIVER_C33_STELLATE_CELLS_2 | 1.27e-20 | 53.38 | 26.71 | 8.49e-19 | 8.49e-18 | 16BGN, COL4A2, COL3A1, SPARC, COL4A1, COL5A1, COL1A2, IGFBP5, COL1A1, PALLD, TPM1, COL6A1, ITGB1, PXDN, TPM4, CALD1 |
126 |
CUI_DEVELOPING_HEART_C3_FIBROBLAST_LIKE_CELL | 2.07e-19 | 52.41 | 25.77 | 9.94e-18 | 1.39e-16 | 15SPARC, COL12A1, COL6A3, COL5A1, THBS2, COL1A2, COL5A2, COL1A1, FBN1, ASPN, TIMP1, COL6A1, FSTL1, COL16A1, THY1 |
117 |
DESCARTES_MAIN_FETAL_STROMAL_CELLS | 1.20e-08 | 92.39 | 25.13 | 3.10e-07 | 8.07e-06 | 5COL12A1, COL5A1, THBS2, COL1A2, COL1A1 |
20 |
HU_FETAL_RETINA_FIBROBLAST | 3.38e-30 | 44.59 | 24.34 | 7.57e-28 | 2.27e-27 | 28SULF1, FN1, BGN, COL4A2, COL3A1, SPARC, COL6A3, COL4A1, COL5A1, VCAN, F2R, COL1A2, LOXL2, IGFBP5, COL5A2, COL1A1, FBN1, TPM1, CDH11, PRSS23, TIMP1, ITGB1, AEBP1, FSTL1, PXDN, TPM4, CALD1, THY1 |
385 |
GAO_LARGE_INTESTINE_24W_C1_DCLK1POS_PROGENITOR | 2.53e-15 | 45.30 | 20.84 | 9.99e-14 | 1.70e-12 | 12COL3A1, SPARC, COL5A1, THBS2, VCAN, COL1A2, CTHRC1, COL5A2, COL1A1, ASPN, COL8A1, COL16A1 |
99 |
FAN_EMBRYONIC_CTX_BRAIN_ENDOTHELIAL_2 | 1.21e-21 | 32.09 | 17.18 | 1.16e-19 | 8.11e-19 | 21FN1, BGN, COL4A2, COL3A1, SPARC, COL4A1, F2R, COL1A2, COL5A2, CDH11, TIMP1, COL6A1, ITGB1, AEBP1, FSTL1, PXDN, TPM4, TAGLN, CALD1, THY1, ITGA11 |
303 |
FAN_OVARY_CL6_PUTATIVE_EARLY_ATRETIC_FOLLICLE_THECAL_CELL_2 | 3.09e-20 | 29.76 | 15.82 | 1.88e-18 | 2.07e-17 | 20FN1, BGN, COL3A1, SPARC, COL6A3, COL1A2, IGFBP5, COL1A1, PALLD, TPM1, CDH11, TIMP1, COL6A1, AEBP1, FSTL1, PDLIM3, TPM4, TAGLN, CALD1, THY1 |
300 |
DESCARTES_FETAL_ADRENAL_STROMAL_CELLS | 1.62e-14 | 31.35 | 14.95 | 6.05e-13 | 1.09e-11 | 13POSTN, SULF1, COL3A1, COL12A1, COL6A3, THBS2, ANO1, COL1A1, FAP, ASPN, CDH11, TAGLN, ITGA11 |
153 |
GAO_LARGE_INTESTINE_ADULT_CJ_IMMUNE_CELLS | 1.40e-22 | 26.07 | 14.25 | 1.88e-20 | 9.40e-20 | 25POSTN, SULF1, LTBP2, BGN, COL4A2, COL3A1, SPARC, COL12A1, COL6A3, COL4A1, COL5A1, VCAN, COL1A2, IGFBP5, COL5A2, COL1A1, FBN1, CDH11, COL6A1, AEBP1, FSTL1, PXDN, CALD1, THY1, ITGA11 |
505 |
RUBENSTEIN_SKELETAL_MUSCLE_PERICYTES | 2.40e-13 | 29.87 | 13.90 | 8.24e-12 | 1.61e-10 | 12COL4A2, COL3A1, SPARC, COL6A3, COL4A1, THBS4, ASPN, TPM1, TIMP1, ITGB1, TAGLN, CALD1 |
144 |
MENON_FETAL_KIDNEY_9_ENDOTHELIAL_CELLS | 1.92e-10 | 29.48 | 12.24 | 5.36e-09 | 1.29e-07 | 9FN1, COL4A2, SPARC, COL4A1, IGFBP5, ITGB1, PXDN, TPM4, THY1 |
102 |
DESCARTES_FETAL_KIDNEY_STROMAL_CELLS | 8.10e-12 | 26.10 | 11.80 | 2.47e-10 | 5.43e-09 | 11POSTN, SULF1, LTBP2, COL3A1, SPARC, COL12A1, THBS2, COL1A2, COL1A1, FBN1, ASPN |
146 |
Dowload full table
mSigDB Hallmark Gene Sets:
P-value | OR | Lower 95% CI | FDR | FWER | Genes Found | Gene Set Size | |
---|---|---|---|---|---|---|---|
HALLMARK_EPITHELIAL_MESENCHYMAL_TRANSITION | 1.96e-46 | 132.09 | 70.42 | 9.79e-45 | 9.79e-45 | 32POSTN, COMP, FN1, BGN, COL4A2, COL3A1, SPARC, COL12A1, COL6A3, COL4A1, COL5A1, THBS2, VCAN, COL1A2, LOXL2, CTHRC1, TNC, COL5A2, COL1A1, FBN1, FAP, TPM1, CDH11, TIMP1, ITGB1, FSTL1, TPM4, TAGLN, CALD1, ITGB5, COL16A1, THY1 |
200 |
HALLMARK_ANGIOGENESIS | 5.13e-09 | 56.67 | 18.36 | 1.28e-07 | 2.57e-07 | 6POSTN, COL3A1, VCAN, COL5A2, TIMP1, FSTL1 |
36 |
HALLMARK_MYOGENESIS | 6.91e-08 | 14.37 | 6.05 | 1.15e-06 | 3.45e-06 | 9COL4A2, COL3A1, SPARC, COL6A3, COL1A1, ITGB1, AEBP1, TAGLN, ITGB5 |
200 |
HALLMARK_COAGULATION | 1.59e-05 | 12.91 | 4.42 | 1.99e-04 | 7.96e-04 | 6COMP, FN1, SPARC, FBN1, PRSS23, TIMP1 |
138 |
HALLMARK_UV_RESPONSE_DN | 2.46e-04 | 9.99 | 3.05 | 2.05e-03 | 1.23e-02 | 5COL3A1, COL1A2, IGFBP5, COL5A2, COL1A1 |
144 |
HALLMARK_APICAL_JUNCTION | 1.24e-04 | 8.78 | 3.02 | 1.24e-03 | 6.18e-03 | 6VCAN, FBN1, CDH11, ITGB1, COL16A1, THY1 |
200 |
HALLMARK_APOPTOSIS | 2.53e-02 | 5.05 | 0.99 | 1.81e-01 | 1.00e+00 | 3BGN, F2R, TIMP1 |
161 |
HALLMARK_COMPLEMENT | 4.35e-02 | 4.05 | 0.80 | 2.42e-01 | 1.00e+00 | 3FN1, COL4A2, TIMP1 |
200 |
HALLMARK_ALLOGRAFT_REJECTION | 4.35e-02 | 4.05 | 0.80 | 2.42e-01 | 1.00e+00 | 3F2R, TIMP1, THY1 |
200 |
HALLMARK_HYPOXIA | 1.85e-01 | 2.63 | 0.31 | 6.05e-01 | 1.00e+00 | 2BGN, COL5A1 |
200 |
HALLMARK_ESTROGEN_RESPONSE_EARLY | 1.85e-01 | 2.63 | 0.31 | 6.05e-01 | 1.00e+00 | 2PRSS23, PDLIM3 |
200 |
HALLMARK_ESTROGEN_RESPONSE_LATE | 1.85e-01 | 2.63 | 0.31 | 6.05e-01 | 1.00e+00 | 2PRSS23, PDLIM3 |
200 |
HALLMARK_GLYCOLYSIS | 1.85e-01 | 2.63 | 0.31 | 6.05e-01 | 1.00e+00 | 2COL5A1, VCAN |
200 |
HALLMARK_HEDGEHOG_SIGNALING | 1.34e-01 | 7.29 | 0.18 | 6.05e-01 | 1.00e+00 | 1THY1 |
36 |
HALLMARK_APICAL_SURFACE | 1.61e-01 | 5.93 | 0.14 | 6.05e-01 | 1.00e+00 | 1THY1 |
44 |
HALLMARK_TGF_BETA_SIGNALING | 1.94e-01 | 4.81 | 0.12 | 6.05e-01 | 1.00e+00 | 1LTBP2 |
54 |
HALLMARK_UV_RESPONSE_UP | 4.66e-01 | 1.62 | 0.04 | 1.00e+00 | 1.00e+00 | 1PDLIM3 |
158 |
HALLMARK_MITOTIC_SPINDLE | 5.45e-01 | 1.29 | 0.03 | 1.00e+00 | 1.00e+00 | 1PALLD |
199 |
HALLMARK_IL2_STAT5_SIGNALING | 5.45e-01 | 1.29 | 0.03 | 1.00e+00 | 1.00e+00 | 1COL6A1 |
199 |
HALLMARK_TNFA_SIGNALING_VIA_NFKB | 5.47e-01 | 1.28 | 0.03 | 1.00e+00 | 1.00e+00 | 1TNC |
200 |
Dowload full table
KEGG Pathways:
P-value | OR | Lower 95% CI | FDR | FWER | Genes Found | Gene Set Size | |
---|---|---|---|---|---|---|---|
KEGG_ECM_RECEPTOR_INTERACTION | 1.44e-25 | 95.53 | 47.65 | 2.68e-23 | 2.68e-23 | 17COMP, FN1, COL4A2, COL3A1, COL6A3, COL4A1, COL5A1, THBS2, COL1A2, THBS4, TNC, COL5A2, COL1A1, COL6A1, ITGB1, ITGB5, ITGA11 |
84 |
KEGG_FOCAL_ADHESION | 6.10e-19 | 35.37 | 18.14 | 5.68e-17 | 1.14e-16 | 17COMP, FN1, COL4A2, COL3A1, COL6A3, COL4A1, COL5A1, THBS2, COL1A2, THBS4, TNC, COL5A2, COL1A1, COL6A1, ITGB1, ITGB5, ITGA11 |
199 |
KEGG_HYPERTROPHIC_CARDIOMYOPATHY_HCM | 1.82e-05 | 17.79 | 5.37 | 1.13e-03 | 3.39e-03 | 5TPM1, ITGB1, TPM4, ITGB5, ITGA11 |
83 |
KEGG_DILATED_CARDIOMYOPATHY | 2.69e-05 | 16.33 | 4.94 | 1.25e-03 | 5.01e-03 | 5TPM1, ITGB1, TPM4, ITGB5, ITGA11 |
90 |
KEGG_SMALL_CELL_LUNG_CANCER | 3.32e-04 | 13.58 | 3.47 | 1.23e-02 | 6.17e-02 | 4FN1, COL4A2, COL4A1, ITGB1 |
84 |
KEGG_ARRHYTHMOGENIC_RIGHT_VENTRICULAR_CARDIOMYOPATHY_ARVC | 3.11e-03 | 11.23 | 2.19 | 8.27e-02 | 5.79e-01 | 3ITGB1, ITGB5, ITGA11 |
74 |
KEGG_REGULATION_OF_ACTIN_CYTOSKELETON | 1.42e-03 | 6.68 | 2.05 | 4.41e-02 | 2.64e-01 | 5FN1, F2R, ITGB1, ITGB5, ITGA11 |
213 |
KEGG_TGF_BETA_SIGNALING_PATHWAY | 4.74e-03 | 9.61 | 1.88 | 1.10e-01 | 8.81e-01 | 3COMP, THBS2, THBS4 |
86 |
KEGG_PATHWAYS_IN_CANCER | 3.70e-02 | 3.39 | 0.88 | 7.26e-01 | 1.00e+00 | 4FN1, COL4A2, COL4A1, ITGB1 |
325 |
KEGG_CARDIAC_MUSCLE_CONTRACTION | 3.90e-02 | 6.76 | 0.78 | 7.26e-01 | 1.00e+00 | 2TPM1, TPM4 |
79 |
KEGG_LEUKOCYTE_TRANSENDOTHELIAL_MIGRATION | 7.67e-02 | 4.57 | 0.53 | 1.00e+00 | 1.00e+00 | 2ITGB1, THY1 |
116 |
KEGG_CELL_ADHESION_MOLECULES_CAMS | 9.66e-02 | 3.98 | 0.46 | 1.00e+00 | 1.00e+00 | 2VCAN, ITGB1 |
133 |
KEGG_PATHOGENIC_ESCHERICHIA_COLI_INFECTION | 2.00e-01 | 4.64 | 0.11 | 1.00e+00 | 1.00e+00 | 1ITGB1 |
56 |
KEGG_COMPLEMENT_AND_COAGULATION_CASCADES | 2.40e-01 | 3.75 | 0.09 | 1.00e+00 | 1.00e+00 | 1F2R |
69 |
KEGG_LEISHMANIA_INFECTION | 2.49e-01 | 3.59 | 0.09 | 1.00e+00 | 1.00e+00 | 1ITGB1 |
72 |
KEGG_VASCULAR_SMOOTH_MUSCLE_CONTRACTION | 3.67e-01 | 2.24 | 0.06 | 1.00e+00 | 1.00e+00 | 1CALD1 |
115 |
KEGG_AXON_GUIDANCE | 4.01e-01 | 1.99 | 0.05 | 1.00e+00 | 1.00e+00 | 1ITGB1 |
129 |
KEGG_CALCIUM_SIGNALING_PATHWAY | 5.06e-01 | 1.44 | 0.04 | 1.00e+00 | 1.00e+00 | 1F2R |
178 |
KEGG_ENDOCYTOSIS | 5.12e-01 | 1.42 | 0.03 | 1.00e+00 | 1.00e+00 | 1F2R |
181 |
KEGG_NEUROACTIVE_LIGAND_RECEPTOR_INTERACTION | 1.00e+00 | 0.94 | 0.02 | 1.00e+00 | 1.00e+00 | 1F2R |
272 |
Dowload full table
CHR Positional Gene Sets:
P-value | OR | Lower 95% CI | FDR | FWER | Genes Found | Gene Set Size | |
---|---|---|---|---|---|---|---|
chr2q32 | 6.78e-02 | 4.91 | 0.57 | 1.00e+00 | 1.00e+00 | 2COL3A1, COL5A2 |
108 |
chr2q35 | 8.82e-02 | 4.20 | 0.49 | 1.00e+00 | 1.00e+00 | 2FN1, IGFBP5 |
126 |
chr5q14 | 9.30e-02 | 4.07 | 0.47 | 1.00e+00 | 1.00e+00 | 2VCAN, THBS4 |
130 |
chr11q23 | 1.92e-01 | 2.57 | 0.30 | 1.00e+00 | 1.00e+00 | 2TAGLN, THY1 |
205 |
chr3q12 | 1.67e-01 | 5.67 | 0.14 | 1.00e+00 | 1.00e+00 | 1COL8A1 |
46 |
chr7p13 | 1.81e-01 | 5.21 | 0.13 | 1.00e+00 | 1.00e+00 | 1AEBP1 |
50 |
chr7q33 | 1.87e-01 | 5.00 | 0.12 | 1.00e+00 | 1.00e+00 | 1CALD1 |
52 |
chr15q23 | 2.28e-01 | 3.99 | 0.10 | 1.00e+00 | 1.00e+00 | 1ITGA11 |
65 |
chr8q13 | 2.46e-01 | 3.64 | 0.09 | 1.00e+00 | 1.00e+00 | 1SULF1 |
71 |
chr16q21 | 2.55e-01 | 3.49 | 0.09 | 1.00e+00 | 1.00e+00 | 1CDH11 |
74 |
chr6q27 | 2.58e-01 | 3.45 | 0.08 | 1.00e+00 | 1.00e+00 | 1THBS2 |
75 |
chr13q13 | 2.67e-01 | 3.31 | 0.08 | 1.00e+00 | 1.00e+00 | 1POSTN |
78 |
chr19p13 | 1.00e+00 | 0.68 | 0.08 | 1.00e+00 | 1.00e+00 | 2COMP, TPM4 |
773 |
chr6q14 | 3.09e-01 | 2.77 | 0.07 | 1.00e+00 | 1.00e+00 | 1COL12A1 |
93 |
chr4q35 | 3.41e-01 | 2.45 | 0.06 | 1.00e+00 | 1.00e+00 | 1PDLIM3 |
105 |
chr5q33 | 3.52e-01 | 2.36 | 0.06 | 1.00e+00 | 1.00e+00 | 1SPARC |
109 |
chr4q32 | 3.62e-01 | 2.28 | 0.06 | 1.00e+00 | 1.00e+00 | 1PALLD |
113 |
chr2p25 | 3.72e-01 | 2.20 | 0.05 | 1.00e+00 | 1.00e+00 | 1PXDN |
117 |
chr6q22 | 3.77e-01 | 2.16 | 0.05 | 1.00e+00 | 1.00e+00 | 1COL10A1 |
119 |
chr15q22 | 3.89e-01 | 2.07 | 0.05 | 1.00e+00 | 1.00e+00 | 1TPM1 |
124 |
Dowload full table
Transcription Factor Targets:
P-value | OR | Lower 95% CI | FDR | FWER | Genes Found | Gene Set Size | |
---|---|---|---|---|---|---|---|
SRF_Q6 | 2.73e-03 | 5.72 | 1.76 | 3.52e-01 | 1.00e+00 | 5COL1A2, COL1A1, PDLIM3, TAGLN, CALD1 |
248 |
NFAT_Q6 | 2.78e-03 | 5.69 | 1.75 | 3.52e-01 | 1.00e+00 | 5SULF1, COL3A1, FAP, COL8A1, COL16A1 |
249 |
AP3_Q6 | 2.88e-03 | 5.65 | 1.73 | 3.52e-01 | 1.00e+00 | 5SULF1, FN1, SPARC, FSTL1, CALD1 |
251 |
TGGAAA_NFAT_Q4_01 | 5.35e-04 | 3.07 | 1.58 | 3.52e-01 | 6.06e-01 | 16SULF1, FN1, LTBP2, COL12A1, VCAN, COL1A2, CTHRC1, IGFBP5, FAP, ASPN, TPM1, COL8A1, FSTL1, PDLIM3, CALD1, COL16A1 |
1934 |
SUPT16H_TARGET_GENES | 2.47e-03 | 2.78 | 1.41 | 3.52e-01 | 1.00e+00 | 15FN1, SPARC, COL6A3, THBS2, COL1A2, LOXL2, CTHRC1, COL1A1, FBN1, TPM1, COL8A1, TAGLN, CALD1, ITGB5, COL16A1 |
1944 |
SRF_C | 9.84e-03 | 5.15 | 1.33 | 5.87e-01 | 1.00e+00 | 4COL1A2, COL8A1, TAGLN, CALD1 |
215 |
TATAAA_TATA_01 | 6.32e-03 | 2.70 | 1.24 | 5.12e-01 | 1.00e+00 | 11POSTN, SULF1, FN1, THBS2, COL1A2, CTHRC1, COL1A1, COL8A1, COL10A1, PDLIM3, CALD1 |
1317 |
SRF_01 | 1.74e-02 | 10.62 | 1.22 | 6.67e-01 | 1.00e+00 | 2TPM1, CALD1 |
51 |
CTAWWWATA_RSRFC4_Q2 | 1.33e-02 | 3.85 | 1.18 | 6.01e-01 | 1.00e+00 | 5THBS2, FAP, PALLD, COL8A1, COL10A1 |
366 |
AFP1_Q6 | 2.03e-02 | 4.12 | 1.07 | 6.67e-01 | 1.00e+00 | 4SULF1, COL8A1, CALD1, ITGA11 |
268 |
RYTTCCTG_ETS2_B | 6.16e-02 | 2.16 | 0.87 | 9.56e-01 | 1.00e+00 | 8SPARC, COL6A3, THBS2, TIMP1, MICAL2, ITGB1, FSTL1, CALD1 |
1112 |
STTTCRNTTT_IRF_Q6 | 3.94e-02 | 4.22 | 0.83 | 9.56e-01 | 1.00e+00 | 3COL4A2, COL4A1, IGFBP5 |
192 |
ZNF16_TARGET_GENES | 3.72e-02 | 6.94 | 0.80 | 9.56e-01 | 1.00e+00 | 2TPM4, COL16A1 |
77 |
PIAS4_TARGET_GENES | 3.81e-02 | 6.85 | 0.79 | 9.56e-01 | 1.00e+00 | 2VCAN, COL6A1 |
78 |
WGGAATGY_TEF1_Q6 | 6.19e-02 | 2.84 | 0.74 | 9.56e-01 | 1.00e+00 | 4SPARC, TPM1, ITGB1, FSTL1 |
387 |
RYAAAKNNNNNNTTGW_UNKNOWN | 4.36e-02 | 6.35 | 0.74 | 9.56e-01 | 1.00e+00 | 2CALD1, ITGB5 |
84 |
TAATTA_CHX10_01 | 1.27e-01 | 2.09 | 0.72 | 1.00e+00 | 1.00e+00 | 6SULF1, COL12A1, COL1A1, FAP, COL10A1, CALD1 |
823 |
SRF_Q5_01 | 5.78e-02 | 3.59 | 0.71 | 9.56e-01 | 1.00e+00 | 3COL1A1, TAGLN, CALD1 |
225 |
RNCTGNYNRNCTGNY_UNKNOWN | 4.64e-02 | 6.13 | 0.71 | 9.56e-01 | 1.00e+00 | 2SPARC, CALD1 |
87 |
CREB_Q2_01 | 5.84e-02 | 3.58 | 0.71 | 9.56e-01 | 1.00e+00 | 3PDLIM3, TPM4, CALD1 |
226 |
Dowload full table
GO Biological Processes:
P-value | OR | Lower 95% CI | FDR | FWER | Genes Found | Gene Set Size | |
---|---|---|---|---|---|---|---|
GOBP_COLLAGEN_FIBRIL_ORGANIZATION | 7.80e-15 | 70.81 | 29.68 | 2.92e-11 | 5.83e-11 | 10COMP, COL3A1, COL12A1, COL5A1, COL1A2, LOXL2, COL5A2, COL1A1, AEBP1, PXDN |
54 |
GOBP_EXTERNAL_ENCAPSULATING_STRUCTURE_ORGANIZATION | 3.35e-33 | 51.30 | 27.87 | 2.50e-29 | 2.50e-29 | 30POSTN, SULF1, COMP, FN1, BGN, COL4A2, COL3A1, SPARC, COL12A1, COL6A3, COL4A1, COL5A1, VCAN, COL1A2, LOXL2, TNC, COL5A2, COL1A1, FBN1, FAP, COL8A1, TIMP1, COL6A1, ITGB1, AEBP1, COL10A1, PXDN, ITGB5, COL16A1, ITGA11 |
396 |
GOBP_ENDODERMAL_CELL_DIFFERENTIATION | 5.46e-12 | 65.93 | 24.97 | 1.02e-08 | 4.09e-08 | 8FN1, COL4A2, COL12A1, COL5A1, COL5A2, COL8A1, COL6A1, ITGB5 |
44 |
GOBP_COLLAGEN_ACTIVATED_SIGNALING_PATHWAY | 2.93e-07 | 98.26 | 22.02 | 8.44e-05 | 2.19e-03 | 4COL4A2, COL4A1, COL1A1, ITGA11 |
15 |
GOBP_ENDODERM_FORMATION | 2.64e-11 | 52.76 | 20.26 | 3.30e-08 | 1.98e-07 | 8FN1, COL4A2, COL12A1, COL5A1, COL5A2, COL8A1, COL6A1, ITGB5 |
53 |
GOBP_COLLAGEN_ACTIVATED_TYROSINE_KINASE_RECEPTOR_SIGNALING_PATHWAY | 1.27e-05 | 88.17 | 14.90 | 2.51e-03 | 9.52e-02 | 3COL4A2, COL4A1, COL1A1 |
12 |
GOBP_REGULATION_OF_ENDODERMAL_CELL_DIFFERENTIATION | 1.54e-04 | 172.68 | 14.09 | 2.36e-02 | 1.00e+00 | 2COL5A1, COL5A2 |
5 |
GOBP_ENDODERM_DEVELOPMENT | 5.18e-10 | 34.96 | 13.66 | 4.20e-07 | 3.88e-06 | 8FN1, COL4A2, COL12A1, COL5A1, COL5A2, COL8A1, COL6A1, ITGB5 |
76 |
GOBP_FORMATION_OF_PRIMARY_GERM_LAYER | 5.61e-10 | 25.85 | 10.78 | 4.20e-07 | 4.20e-06 | 9FN1, COL4A2, COL12A1, COL5A1, COL5A2, COL8A1, COL6A1, ITGB1, ITGB5 |
115 |
GOBP_TENDON_DEVELOPMENT | 3.22e-04 | 103.49 | 9.64 | 4.23e-02 | 1.00e+00 | 2COMP, COL5A1 |
7 |
GOBP_INTEGRIN_MEDIATED_SIGNALING_PATHWAY | 7.44e-09 | 24.27 | 9.59 | 3.48e-06 | 5.57e-05 | 8FN1, COL3A1, TIMP1, ITGB1, ITGB5, COL16A1, THY1, ITGA11 |
106 |
GOBP_CELLULAR_RESPONSE_TO_ACID_CHEMICAL | 2.82e-07 | 27.03 | 9.08 | 8.43e-05 | 2.11e-03 | 6COL4A1, COL1A2, COL5A2, COL1A1, COL6A1, COL16A1 |
69 |
GOBP_WOUND_HEALING_INVOLVED_IN_INFLAMMATORY_RESPONSE | 4.28e-04 | 86.37 | 8.33 | 5.01e-02 | 1.00e+00 | 2F2R, TIMP1 |
8 |
GOBP_GASTRULATION | 2.68e-08 | 16.14 | 6.79 | 1.00e-05 | 2.01e-04 | 9FN1, COL4A2, COL12A1, COL5A1, COL5A2, COL8A1, COL6A1, ITGB1, ITGB5 |
179 |
GOBP_OSSIFICATION | 1.90e-10 | 12.63 | 6.24 | 1.77e-07 | 1.42e-06 | 14COMP, SPARC, VCAN, COL1A2, CTHRC1, TNC, IGFBP5, COL5A2, COL1A1, ASPN, CDH11, COL6A1, TPM4, ITGA11 |
399 |
GOBP_CELL_ADHESION_MEDIATED_BY_INTEGRIN | 9.11e-06 | 20.72 | 6.22 | 1.84e-03 | 6.81e-02 | 5FBN1, ITGB1, ITGB5, COL16A1, ITGA11 |
72 |
GOBP_SKIN_MORPHOGENESIS | 8.35e-04 | 57.69 | 5.91 | 8.89e-02 | 1.00e+00 | 2COL1A2, COL1A1 |
11 |
GOBP_COLLAGEN_METABOLIC_PROCESS | 4.15e-06 | 16.54 | 5.63 | 9.40e-04 | 3.10e-02 | 6COL5A1, F2R, COL1A2, COL1A1, FAP, ITGB1 |
109 |
GOBP_CELLULAR_RESPONSE_TO_VITAMIN | 2.22e-04 | 29.50 | 5.54 | 3.20e-02 | 1.00e+00 | 3POSTN, TNC, COL1A1 |
30 |
GOBP_RESPONSE_TO_ACID_CHEMICAL | 6.87e-06 | 15.08 | 5.15 | 1.51e-03 | 5.14e-02 | 6COL4A1, COL1A2, COL5A2, COL1A1, COL6A1, COL16A1 |
119 |
Dowload full table
Immunological Gene Sets:
P-value | OR | Lower 95% CI | FDR | FWER | Genes Found | Gene Set Size | |
---|---|---|---|---|---|---|---|
GSE28737_BCL6_HET_VS_BCL6_KO_FOLLICULAR_BCELL_DN | 9.73e-07 | 12.40 | 4.96 | 4.74e-03 | 4.74e-03 | 8BGN, SPARC, COL6A3, COL1A2, TNC, COL1A1, FSTL1, ITGB5 |
200 |
GSE2405_0H_VS_3H_A_PHAGOCYTOPHILUM_STIM_NEUTROPHIL_UP | 1.19e-05 | 10.54 | 3.95 | 9.64e-03 | 5.79e-02 | 7LTBP2, BGN, COL6A3, COL4A1, COL1A2, TIMP1, PXDN |
200 |
GSE4748_CTRL_VS_LPS_STIM_DC_3H_UP | 1.19e-05 | 10.54 | 3.95 | 9.64e-03 | 5.79e-02 | 7POSTN, COL3A1, COL5A2, FBN1, CDH11, PRSS23, FSTL1 |
200 |
GSE21670_STAT3_KO_VS_WT_CD4_TCELL_IL6_TREATED_DN | 1.19e-05 | 10.54 | 3.95 | 9.64e-03 | 5.79e-02 | 7BGN, COL4A2, COL4A1, F2R, PALLD, FSTL1, PLXDC2 |
200 |
GSE21379_WT_VS_SAP_KO_TFH_CD4_TCELL_UP | 1.19e-05 | 10.54 | 3.95 | 9.64e-03 | 5.79e-02 | 7BGN, COL4A2, COL4A1, F2R, PALLD, PXDN, THY1 |
200 |
GSE43955_1H_VS_20H_ACT_CD4_TCELL_WITH_TGFB_IL6_DN | 1.19e-05 | 10.54 | 3.95 | 9.64e-03 | 5.79e-02 | 7COL1A2, TNC, COL5A2, FBN1, AEBP1, COL10A1, TAGLN |
200 |
GSE21546_UNSTIM_VS_ANTI_CD3_STIM_SAP1A_KO_DP_THYMOCYTES_UP | 1.17e-04 | 8.88 | 3.05 | 4.64e-02 | 5.71e-01 | 6FN1, THBS2, PRSS23, ITGB1, FSTL1, TAGLN |
198 |
GSE8921_UNSTIM_0H_VS_TLR1_2_STIM_MONOCYTE_24H_UP | 1.20e-04 | 8.83 | 3.04 | 4.64e-02 | 5.86e-01 | 6SPARC, THBS2, CTHRC1, COL1A1, ASPN, FSTL1 |
199 |
GSE33424_CD161_HIGH_VS_NEG_CD8_TCELL_DN | 1.20e-04 | 8.83 | 3.04 | 4.64e-02 | 5.86e-01 | 6COL4A1, F2R, COL1A2, FBN1, AEBP1, THY1 |
199 |
GSE17721_CTRL_VS_LPS_2H_BMDC_DN | 1.24e-04 | 8.78 | 3.02 | 4.64e-02 | 6.03e-01 | 6POSTN, BGN, COL4A2, VCAN, PALLD, TIMP1 |
200 |
GSE2405_0H_VS_24H_A_PHAGOCYTOPHILUM_STIM_NEUTROPHIL_DN | 1.24e-04 | 8.78 | 3.02 | 4.64e-02 | 6.03e-01 | 6SULF1, LTBP2, SPARC, COL6A1, AEBP1, PXDN |
200 |
GSE37301_GRANULOCYTE_MONOCYTE_PROGENITOR_VS_RAG2_KO_NK_CELL_DN | 1.24e-04 | 8.78 | 3.02 | 4.64e-02 | 6.03e-01 | 6POSTN, COL4A2, COL3A1, COL4A1, FBN1, ITGB1 |
200 |
GSE43955_1H_VS_10H_ACT_CD4_TCELL_WITH_TGFB_IL6_DN | 1.24e-04 | 8.78 | 3.02 | 4.64e-02 | 6.03e-01 | 6FN1, LTBP2, BGN, COL4A2, COL1A2, COL5A2 |
200 |
GSE6259_CD4_TCELL_VS_CD8_TCELL_UP | 8.02e-04 | 7.63 | 2.34 | 1.88e-01 | 1.00e+00 | 5LTBP2, TIMP1, FSTL1, TAGLN, CALD1 |
187 |
GSE40685_NAIVE_CD4_TCELL_VS_FOXP3_KO_TREG_PRECURSOR_DN | 9.66e-04 | 7.31 | 2.24 | 1.88e-01 | 1.00e+00 | 5COL4A2, SPARC, PRSS23, COL6A1, ITGB1 |
195 |
GSE21670_UNTREATED_VS_TGFB_TREATED_CD4_TCELL_DN | 1.03e-03 | 7.19 | 2.20 | 1.88e-01 | 1.00e+00 | 5COL4A2, COL4A1, PALLD, FSTL1, PLXDC2 |
198 |
GSE22025_TGFB1_VS_TGFB1_AND_PROGESTERONE_TREATED_CD4_TCELL_UP | 1.03e-03 | 7.19 | 2.20 | 1.88e-01 | 1.00e+00 | 5FN1, COL6A3, THBS2, VCAN, COL6A1 |
198 |
GSE13522_WT_VS_IFNAR_KO_SKING_T_CRUZI_Y_STRAIN_INF_DN | 1.06e-03 | 7.16 | 2.19 | 1.88e-01 | 1.00e+00 | 5POSTN, F2R, LOXL2, TIMP1, ITGB5 |
199 |
GSE21546_UNSTIM_VS_ANTI_CD3_STIM_DP_THYMOCYTES_UP | 1.06e-03 | 7.16 | 2.19 | 1.88e-01 | 1.00e+00 | 5FN1, SPARC, ITGB1, FSTL1, TAGLN |
199 |
GSE22025_TGFB1_VS_TGFB1_AND_PROGESTERONE_TREATED_CD4_TCELL_DN | 1.06e-03 | 7.16 | 2.19 | 1.88e-01 | 1.00e+00 | 5SPARC, COL6A3, COL4A1, THBS2, COL6A1 |
199 |
Top Ranked Transcription Factors for this Gene Expression Program:
Gene Symbol | TF Rank | DNA Binding Domain | Motif Status | IUPAC PWM | GTEx | DepMap | Decartes |
---|---|---|---|---|---|---|---|
FBN1 | 26 | No | Unlikely to be sequence specific TF | Not a DNA binding protein | No motif | None | None |
AEBP1 | 38 | Yes | Likely to be sequence specific TF | Monomer or homomultimer | No motif | None | This is a protease, but its ability to bind DNA is supported by both gel-shift (PMID: 15654748) and ChIP (PMID: 22723309). |
PTGIS | 61 | No | Unlikely to be sequence specific TF | Not a DNA binding protein | No motif | None | It is a cytochrome p450 enzyme |
FHL2 | 70 | No | Unlikely to be sequence specific TF | Not a DNA binding protein | No motif | None | LIM ZF proteins are unlikely to bind DNA. Experimental evidence does not support a role for FHL2 as a sequence-specific DNA-binding protein (PMID:10654935) |
TNFSF18 | 85 | No | Unlikely to be sequence specific TF | Not a DNA binding protein | No motif | None | Protein is a cytokine |
GREM1 | 93 | No | Unlikely to be sequence specific TF | Not a DNA binding protein | No motif | None | None |
CMKLR1 | 134 | No | Unlikely to be sequence specific TF | Not a DNA binding protein | No motif | None | Protein is a G protein-coupled receptor for the chemoattractant adipokine chemerin |
HEYL | 147 | Yes | Inferred motif | Monomer or homomultimer | High-throughput in vitro | None | None |
FZD1 | 201 | No | Unlikely to be sequence specific TF | Not a DNA binding protein | No motif | None | None |
GATA6 | 211 | Yes | Known motif | Monomer or homomultimer | High-throughput in vitro | None | None |
TGFB1I1 | 218 | No | Unlikely to be sequence specific TF | Not a DNA binding protein | No motif | None | Available evidence suggests that it acts as a co-factor |
NFIC | 222 | Yes | Known motif | Monomer or homomultimer | High-throughput in vitro | None | None |
NFIX | 232 | Yes | Known motif | Monomer or homomultimer | High-throughput in vitro | None | None |
PPP1R13L | 245 | No | Unlikely to be sequence specific TF | Not a DNA binding protein | No motif | None | None |
FZD4 | 262 | No | Unlikely to be sequence specific TF | Not a DNA binding protein | No motif | None | None |
CREB3L1 | 270 | Yes | Known motif | Monomer or homomultimer | High-throughput in vitro | None | None |
NOTCH3 | 285 | No | Unlikely to be sequence specific TF | Not a DNA binding protein | No motif | None | Fragment of NOTCH. Is a coactivator. |
NFIB | 292 | Yes | Known motif | Monomer or homomultimer | High-throughput in vitro | None | None |
NFIA | 314 | Yes | Known motif | Monomer or homomultimer | High-throughput in vitro | None | None |
HOPX | 315 | No | Unlikely to be sequence specific TF | Not a DNA binding protein | No motif | None | Lacks conserved residues required for DNA binding (PMID: 24287901) |
QQ Plot showing correlations with other GEPs in this dataset, calculated by Spearman correlation:
Interactive QQ-plot of gene loadings:
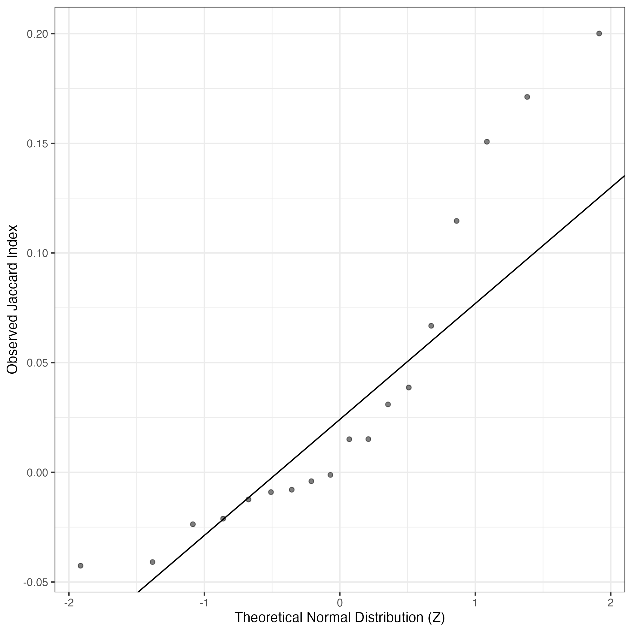
A similar QQ-plot as above, but only for instances where the H value is e.g. > 25, i.e. we are confident that the expression program is active above noise. Agreemenet between these binary vectors is tested using the Jaccard Index, with the P-values calculated by an exact test:
Interactive QQ-plot:
Singler cell type annotations for the top 50 cells on this program.
Cell ID | Singler label | Singler Delta | Activity Score | Top Singler Raw Scores |
---|---|---|---|---|
KK058-P19 | Fibroblasts:breast | 0.27 | 1734.48 | Raw ScoresFibroblasts:breast: 0.58, iPS_cells:adipose_stem_cells: 0.57, iPS_cells:CRL2097_foreskin: 0.56, Osteoblasts: 0.56, Chondrocytes:MSC-derived: 0.55, Smooth_muscle_cells:bronchial: 0.54, Tissue_stem_cells:BM_MSC:TGFb3: 0.54, Osteoblasts:BMP2: 0.54, Smooth_muscle_cells:vascular: 0.54, iPS_cells:PDB_fibroblasts: 0.54 |
KK059-D5 | Fibroblasts:breast | 0.25 | 881.59 | Raw ScoresFibroblasts:breast: 0.54, iPS_cells:adipose_stem_cells: 0.54, iPS_cells:CRL2097_foreskin: 0.54, MSC: 0.53, Smooth_muscle_cells:bronchial: 0.52, Osteoblasts: 0.52, Tissue_stem_cells:BM_MSC:TGFb3: 0.52, Smooth_muscle_cells:vascular: 0.52, Chondrocytes:MSC-derived: 0.52, Smooth_muscle_cells:bronchial:vit_D: 0.51 |
KK053-J21 | Fibroblasts:breast | 0.26 | 465.18 | Raw ScoresFibroblasts:breast: 0.52, iPS_cells:adipose_stem_cells: 0.5, Osteoblasts: 0.5, iPS_cells:CRL2097_foreskin: 0.5, Osteoblasts:BMP2: 0.5, Smooth_muscle_cells:bronchial: 0.5, Chondrocytes:MSC-derived: 0.5, Tissue_stem_cells:BM_MSC:TGFb3: 0.49, Smooth_muscle_cells:bronchial:vit_D: 0.49, Smooth_muscle_cells:vascular: 0.49 |
KK052-A6 | Fibroblasts:breast | 0.26 | 455.88 | Raw ScoresFibroblasts:breast: 0.53, iPS_cells:adipose_stem_cells: 0.52, iPS_cells:CRL2097_foreskin: 0.51, Osteoblasts: 0.51, Smooth_muscle_cells:vascular: 0.51, Smooth_muscle_cells:vascular:IL-17: 0.5, Tissue_stem_cells:BM_MSC:TGFb3: 0.5, Smooth_muscle_cells:bronchial: 0.5, Smooth_muscle_cells:bronchial:vit_D: 0.5, Osteoblasts:BMP2: 0.49 |
KK055-P4 | Fibroblasts:breast | 0.24 | 444.86 | Raw ScoresFibroblasts:breast: 0.51, iPS_cells:adipose_stem_cells: 0.5, iPS_cells:CRL2097_foreskin: 0.49, Smooth_muscle_cells:bronchial: 0.49, Osteoblasts: 0.49, Smooth_muscle_cells:bronchial:vit_D: 0.48, Tissue_stem_cells:BM_MSC:TGFb3: 0.48, Smooth_muscle_cells:vascular: 0.48, Chondrocytes:MSC-derived: 0.48, Osteoblasts:BMP2: 0.47 |
KK052-P13 | Tissue_stem_cells:BM_MSC | 0.21 | 374.73 | Raw ScoresFibroblasts:breast: 0.51, iPS_cells:adipose_stem_cells: 0.51, Osteoblasts: 0.5, Tissue_stem_cells:BM_MSC:BMP2: 0.5, Tissue_stem_cells:BM_MSC:TGFb3: 0.5, iPS_cells:CRL2097_foreskin: 0.5, Tissue_stem_cells:BM_MSC: 0.5, Smooth_muscle_cells:vascular: 0.49, Chondrocytes:MSC-derived: 0.49, Osteoblasts:BMP2: 0.49 |
KK057-A15 | Fibroblasts:breast | 0.21 | 336.65 | Raw ScoresFibroblasts:breast: 0.53, iPS_cells:adipose_stem_cells: 0.52, Smooth_muscle_cells:bronchial: 0.52, Smooth_muscle_cells:bronchial:vit_D: 0.51, iPS_cells:CRL2097_foreskin: 0.51, Osteoblasts: 0.5, Smooth_muscle_cells:vascular: 0.5, Tissue_stem_cells:BM_MSC:TGFb3: 0.5, Osteoblasts:BMP2: 0.49, Smooth_muscle_cells:vascular:IL-17: 0.49 |
KK051-E13 | Fibroblasts:breast | 0.22 | 287.28 | Raw ScoresFibroblasts:breast: 0.51, Smooth_muscle_cells:vascular: 0.5, iPS_cells:adipose_stem_cells: 0.5, Smooth_muscle_cells:vascular:IL-17: 0.49, Osteoblasts: 0.49, Chondrocytes:MSC-derived: 0.49, iPS_cells:CRL2097_foreskin: 0.49, Tissue_stem_cells:BM_MSC:TGFb3: 0.49, Osteoblasts:BMP2: 0.49, Smooth_muscle_cells:bronchial: 0.48 |
KK058-I11 | Tissue_stem_cells:BM_MSC:TGFb3 | 0.18 | 226.89 | Raw ScoresiPS_cells:adipose_stem_cells: 0.45, Osteoblasts: 0.45, Tissue_stem_cells:BM_MSC:TGFb3: 0.45, Fibroblasts:breast: 0.44, Tissue_stem_cells:BM_MSC:BMP2: 0.44, Osteoblasts:BMP2: 0.44, Chondrocytes:MSC-derived: 0.44, iPS_cells:CRL2097_foreskin: 0.44, Tissue_stem_cells:BM_MSC: 0.43, Smooth_muscle_cells:bronchial: 0.43 |
KK051-M19 | Fibroblasts:breast | 0.24 | 216.96 | Raw ScoresFibroblasts:breast: 0.48, iPS_cells:adipose_stem_cells: 0.48, Smooth_muscle_cells:vascular: 0.46, Smooth_muscle_cells:vascular:IL-17: 0.46, Osteoblasts: 0.46, iPS_cells:CRL2097_foreskin: 0.46, Tissue_stem_cells:BM_MSC:TGFb3: 0.45, Smooth_muscle_cells:bronchial: 0.45, Chondrocytes:MSC-derived: 0.45, Osteoblasts:BMP2: 0.45 |
KK052-K17 | Tissue_stem_cells:BM_MSC | 0.23 | 215.41 | Raw ScoresFibroblasts:breast: 0.49, iPS_cells:adipose_stem_cells: 0.48, Osteoblasts: 0.48, iPS_cells:CRL2097_foreskin: 0.48, Tissue_stem_cells:BM_MSC: 0.48, Smooth_muscle_cells:vascular: 0.48, Tissue_stem_cells:BM_MSC:TGFb3: 0.48, Smooth_muscle_cells:vascular:IL-17: 0.48, Chondrocytes:MSC-derived: 0.47, Tissue_stem_cells:BM_MSC:BMP2: 0.47 |
WK012-K8 | Smooth_muscle_cells:vascular:IL-17 | 0.23 | 213.62 | Raw ScoresFibroblasts:breast: 0.45, Smooth_muscle_cells:vascular: 0.44, iPS_cells:adipose_stem_cells: 0.44, Smooth_muscle_cells:vascular:IL-17: 0.44, iPS_cells:CRL2097_foreskin: 0.44, Osteoblasts: 0.44, Osteoblasts:BMP2: 0.44, Tissue_stem_cells:BM_MSC:TGFb3: 0.44, Chondrocytes:MSC-derived: 0.43, Tissue_stem_cells:BM_MSC: 0.43 |
KK059-C3 | Fibroblasts:breast | 0.23 | 205.53 | Raw ScoresFibroblasts:breast: 0.43, iPS_cells:adipose_stem_cells: 0.43, Osteoblasts: 0.43, Tissue_stem_cells:BM_MSC:TGFb3: 0.42, iPS_cells:CRL2097_foreskin: 0.42, Chondrocytes:MSC-derived: 0.42, Smooth_muscle_cells:bronchial: 0.41, Tissue_stem_cells:BM_MSC:BMP2: 0.41, Smooth_muscle_cells:bronchial:vit_D: 0.41, Osteoblasts:BMP2: 0.41 |
WK014-I5 | iPS_cells:adipose_stem_cells | 0.28 | 204.28 | Raw ScoresFibroblasts:breast: 0.58, iPS_cells:adipose_stem_cells: 0.58, Chondrocytes:MSC-derived: 0.56, Osteoblasts: 0.56, Smooth_muscle_cells:vascular: 0.56, iPS_cells:CRL2097_foreskin: 0.56, Smooth_muscle_cells:vascular:IL-17: 0.56, Osteoblasts:BMP2: 0.55, Tissue_stem_cells:BM_MSC:TGFb3: 0.55, Smooth_muscle_cells:bronchial: 0.55 |
WK014-H6 | Tissue_stem_cells:BM_MSC | 0.21 | 201.83 | Raw ScoresFibroblasts:breast: 0.53, iPS_cells:adipose_stem_cells: 0.52, iPS_cells:CRL2097_foreskin: 0.52, Smooth_muscle_cells:vascular: 0.51, Osteoblasts: 0.51, Smooth_muscle_cells:vascular:IL-17: 0.51, Tissue_stem_cells:BM_MSC:BMP2: 0.51, Tissue_stem_cells:BM_MSC:TGFb3: 0.51, Chondrocytes:MSC-derived: 0.51, Smooth_muscle_cells:bronchial: 0.51 |
KK051-F20 | Tissue_stem_cells:BM_MSC | 0.24 | 196.79 | Raw ScoresFibroblasts:breast: 0.53, iPS_cells:adipose_stem_cells: 0.52, Osteoblasts: 0.51, iPS_cells:CRL2097_foreskin: 0.51, Smooth_muscle_cells:vascular: 0.51, Smooth_muscle_cells:bronchial: 0.5, Chondrocytes:MSC-derived: 0.5, Smooth_muscle_cells:vascular:IL-17: 0.5, Tissue_stem_cells:BM_MSC:TGFb3: 0.5, Smooth_muscle_cells:bronchial:vit_D: 0.49 |
KK051-D6 | Tissue_stem_cells:BM_MSC | 0.20 | 196.51 | Raw ScoresFibroblasts:breast: 0.46, iPS_cells:adipose_stem_cells: 0.45, Smooth_muscle_cells:vascular: 0.45, Tissue_stem_cells:BM_MSC:TGFb3: 0.45, Tissue_stem_cells:BM_MSC:BMP2: 0.45, Osteoblasts: 0.45, Tissue_stem_cells:BM_MSC: 0.44, Smooth_muscle_cells:vascular:IL-17: 0.44, Chondrocytes:MSC-derived: 0.44, iPS_cells:CRL2097_foreskin: 0.44 |
WK014-J15 | Tissue_stem_cells:BM_MSC:BMP2 | 0.21 | 185.75 | Raw ScoresTissue_stem_cells:BM_MSC:TGFb3: 0.47, Osteoblasts: 0.47, Fibroblasts:breast: 0.47, iPS_cells:adipose_stem_cells: 0.47, Smooth_muscle_cells:vascular: 0.47, Tissue_stem_cells:BM_MSC:BMP2: 0.47, Smooth_muscle_cells:vascular:IL-17: 0.47, Osteoblasts:BMP2: 0.46, Chondrocytes:MSC-derived: 0.46, iPS_cells:CRL2097_foreskin: 0.46 |
TM96-I19 | Neurons:Schwann_cell | 0.20 | 178.47 | Raw ScoresNeurons:Schwann_cell: 0.49, Chondrocytes:MSC-derived: 0.45, iPS_cells:adipose_stem_cells: 0.45, Osteoblasts: 0.45, Fibroblasts:breast: 0.44, Tissue_stem_cells:BM_MSC:TGFb3: 0.44, iPS_cells:CRL2097_foreskin: 0.44, Osteoblasts:BMP2: 0.44, Smooth_muscle_cells:vascular:IL-17: 0.44, Tissue_stem_cells:BM_MSC:BMP2: 0.44 |
KK051-K6 | Smooth_muscle_cells:bronchial | 0.22 | 171.86 | Raw ScoresFibroblasts:breast: 0.52, iPS_cells:adipose_stem_cells: 0.52, Smooth_muscle_cells:vascular: 0.51, Osteoblasts: 0.5, Smooth_muscle_cells:vascular:IL-17: 0.5, Tissue_stem_cells:BM_MSC:TGFb3: 0.5, Chondrocytes:MSC-derived: 0.5, iPS_cells:CRL2097_foreskin: 0.5, Smooth_muscle_cells:bronchial: 0.5, Tissue_stem_cells:BM_MSC:BMP2: 0.5 |
WK032-N7 | Fibroblasts:breast | 0.29 | 171.18 | Raw ScoresFibroblasts:breast: 0.61, iPS_cells:adipose_stem_cells: 0.6, Smooth_muscle_cells:vascular:IL-17: 0.58, Smooth_muscle_cells:vascular: 0.58, Osteoblasts: 0.58, iPS_cells:CRL2097_foreskin: 0.58, Osteoblasts:BMP2: 0.57, Smooth_muscle_cells:bronchial: 0.57, Chondrocytes:MSC-derived: 0.57, Smooth_muscle_cells:bronchial:vit_D: 0.56 |
KK059-O17 | Smooth_muscle_cells:bronchial | 0.22 | 165.09 | Raw ScoresFibroblasts:breast: 0.41, iPS_cells:CRL2097_foreskin: 0.4, Smooth_muscle_cells:bronchial: 0.4, iPS_cells:adipose_stem_cells: 0.4, Osteoblasts: 0.39, Smooth_muscle_cells:bronchial:vit_D: 0.39, Chondrocytes:MSC-derived: 0.39, Tissue_stem_cells:BM_MSC:TGFb3: 0.39, Tissue_stem_cells:BM_MSC:BMP2: 0.39, Smooth_muscle_cells:vascular: 0.38 |
WK014-N15 | Fibroblasts:breast | 0.28 | 164.65 | Raw ScoresFibroblasts:breast: 0.58, iPS_cells:adipose_stem_cells: 0.58, Smooth_muscle_cells:vascular:IL-17: 0.57, Smooth_muscle_cells:vascular: 0.56, iPS_cells:CRL2097_foreskin: 0.56, Osteoblasts: 0.56, Chondrocytes:MSC-derived: 0.56, Tissue_stem_cells:BM_MSC:TGFb3: 0.56, Smooth_muscle_cells:bronchial: 0.56, Osteoblasts:BMP2: 0.55 |
WK036-C7 | Osteoblasts | 0.20 | 159.05 | Raw ScoresFibroblasts:breast: 0.46, iPS_cells:adipose_stem_cells: 0.46, Tissue_stem_cells:BM_MSC:TGFb3: 0.45, Osteoblasts: 0.45, iPS_cells:CRL2097_foreskin: 0.45, Chondrocytes:MSC-derived: 0.45, Smooth_muscle_cells:vascular: 0.45, Smooth_muscle_cells:bronchial: 0.44, Tissue_stem_cells:BM_MSC:BMP2: 0.44, Smooth_muscle_cells:vascular:IL-17: 0.44 |
KK001-C13 | iPS_cells:adipose_stem_cells | 0.23 | 154.61 | Raw ScoresFibroblasts:breast: 0.46, iPS_cells:adipose_stem_cells: 0.46, Tissue_stem_cells:BM_MSC:TGFb3: 0.45, iPS_cells:CRL2097_foreskin: 0.45, Osteoblasts: 0.45, Chondrocytes:MSC-derived: 0.44, Tissue_stem_cells:BM_MSC:BMP2: 0.44, Smooth_muscle_cells:vascular: 0.44, Tissue_stem_cells:BM_MSC: 0.44, Osteoblasts:BMP2: 0.43 |
WK012-E3 | Tissue_stem_cells:BM_MSC:BMP2 | 0.21 | 153.72 | Raw ScoresFibroblasts:breast: 0.51, iPS_cells:CRL2097_foreskin: 0.5, iPS_cells:adipose_stem_cells: 0.5, Osteoblasts: 0.5, Tissue_stem_cells:BM_MSC:TGFb3: 0.5, Osteoblasts:BMP2: 0.5, Tissue_stem_cells:BM_MSC:BMP2: 0.5, Smooth_muscle_cells:vascular: 0.49, Tissue_stem_cells:BM_MSC: 0.49, Smooth_muscle_cells:vascular:IL-17: 0.49 |
WK014-L21 | Chondrocytes:MSC-derived | 0.18 | 153.01 | Raw ScoresFibroblasts:breast: 0.43, Smooth_muscle_cells:vascular: 0.43, Smooth_muscle_cells:vascular:IL-17: 0.43, iPS_cells:adipose_stem_cells: 0.43, Tissue_stem_cells:BM_MSC:TGFb3: 0.43, Tissue_stem_cells:BM_MSC:BMP2: 0.42, iPS_cells:CRL2097_foreskin: 0.42, Osteoblasts: 0.42, Chondrocytes:MSC-derived: 0.42, Osteoblasts:BMP2: 0.41 |
KK001-L9 | Tissue_stem_cells:BM_MSC:TGFb3 | 0.21 | 146.19 | Raw ScoresFibroblasts:breast: 0.47, iPS_cells:adipose_stem_cells: 0.47, Tissue_stem_cells:BM_MSC:TGFb3: 0.47, Tissue_stem_cells:BM_MSC:BMP2: 0.47, Smooth_muscle_cells:vascular: 0.46, Osteoblasts: 0.46, Smooth_muscle_cells:vascular:IL-17: 0.46, iPS_cells:CRL2097_foreskin: 0.46, Osteoblasts:BMP2: 0.46, Chondrocytes:MSC-derived: 0.46 |
WK014-O11 | Tissue_stem_cells:BM_MSC:TGFb3 | 0.21 | 143.45 | Raw ScoresTissue_stem_cells:BM_MSC:TGFb3: 0.48, Fibroblasts:breast: 0.48, Osteoblasts: 0.47, iPS_cells:adipose_stem_cells: 0.47, Tissue_stem_cells:BM_MSC:BMP2: 0.47, Smooth_muscle_cells:vascular:IL-17: 0.47, Osteoblasts:BMP2: 0.47, Smooth_muscle_cells:vascular: 0.47, Chondrocytes:MSC-derived: 0.47, iPS_cells:CRL2097_foreskin: 0.46 |
WK014-A11 | Fibroblasts:breast | 0.25 | 140.41 | Raw ScoresFibroblasts:breast: 0.49, iPS_cells:adipose_stem_cells: 0.48, iPS_cells:CRL2097_foreskin: 0.48, Osteoblasts: 0.47, Smooth_muscle_cells:vascular: 0.47, Chondrocytes:MSC-derived: 0.46, Tissue_stem_cells:BM_MSC:TGFb3: 0.46, Smooth_muscle_cells:vascular:IL-17: 0.46, Osteoblasts:BMP2: 0.46, Tissue_stem_cells:BM_MSC:BMP2: 0.46 |
WK012-H21 | Fibroblasts:breast | 0.28 | 139.85 | Raw ScoresFibroblasts:breast: 0.58, iPS_cells:adipose_stem_cells: 0.57, Chondrocytes:MSC-derived: 0.56, Smooth_muscle_cells:vascular:IL-17: 0.56, Smooth_muscle_cells:vascular: 0.56, Smooth_muscle_cells:bronchial: 0.56, Tissue_stem_cells:BM_MSC:TGFb3: 0.55, iPS_cells:CRL2097_foreskin: 0.55, Osteoblasts: 0.55, Smooth_muscle_cells:bronchial:vit_D: 0.55 |
WK016-J7 | Neurons:Schwann_cell | 0.24 | 138.35 | Raw ScoresNeurons:Schwann_cell: 0.56, MSC: 0.48, iPS_cells:CRL2097_foreskin: 0.47, Tissue_stem_cells:BM_MSC: 0.46, Smooth_muscle_cells:vascular:IL-17: 0.46, Fibroblasts:foreskin: 0.46, iPS_cells:foreskin_fibrobasts: 0.46, Fibroblasts:breast: 0.46, iPS_cells:adipose_stem_cells: 0.46, Osteoblasts:BMP2: 0.46 |
WK020-F15 | Tissue_stem_cells:BM_MSC | 0.19 | 138.28 | Raw ScoresFibroblasts:breast: 0.45, iPS_cells:adipose_stem_cells: 0.44, Osteoblasts:BMP2: 0.44, Osteoblasts: 0.44, Smooth_muscle_cells:vascular:IL-17: 0.44, Smooth_muscle_cells:vascular: 0.44, Tissue_stem_cells:BM_MSC:BMP2: 0.44, Smooth_muscle_cells:bronchial: 0.43, Tissue_stem_cells:BM_MSC:TGFb3: 0.43, iPS_cells:CRL2097_foreskin: 0.43 |
WK012-F12 | Chondrocytes:MSC-derived | 0.20 | 136.98 | Raw ScoresTissue_stem_cells:BM_MSC:TGFb3: 0.44, Fibroblasts:breast: 0.44, iPS_cells:adipose_stem_cells: 0.44, Osteoblasts: 0.43, Tissue_stem_cells:BM_MSC:BMP2: 0.43, Chondrocytes:MSC-derived: 0.43, Smooth_muscle_cells:vascular: 0.42, Osteoblasts:BMP2: 0.42, iPS_cells:CRL2097_foreskin: 0.42, Smooth_muscle_cells:vascular:IL-17: 0.42 |
WK036-P8 | Tissue_stem_cells:BM_MSC:BMP2 | 0.21 | 136.30 | Raw ScoresTissue_stem_cells:BM_MSC:TGFb3: 0.51, iPS_cells:adipose_stem_cells: 0.51, Tissue_stem_cells:BM_MSC:BMP2: 0.51, Fibroblasts:breast: 0.51, Osteoblasts: 0.5, Smooth_muscle_cells:vascular:IL-17: 0.5, Osteoblasts:BMP2: 0.5, Smooth_muscle_cells:vascular: 0.5, iPS_cells:CRL2097_foreskin: 0.49, Tissue_stem_cells:BM_MSC: 0.49 |
WK012-C8 | Osteoblasts | 0.19 | 136.14 | Raw ScoresOsteoblasts: 0.43, Fibroblasts:breast: 0.43, Tissue_stem_cells:BM_MSC:TGFb3: 0.42, iPS_cells:adipose_stem_cells: 0.42, Osteoblasts:BMP2: 0.42, Tissue_stem_cells:BM_MSC:BMP2: 0.42, iPS_cells:CRL2097_foreskin: 0.42, Chondrocytes:MSC-derived: 0.42, Smooth_muscle_cells:vascular: 0.42, Smooth_muscle_cells:vascular:IL-17: 0.42 |
WK012-F14 | Fibroblasts:breast | 0.22 | 135.83 | Raw ScoresFibroblasts:breast: 0.39, iPS_cells:adipose_stem_cells: 0.39, Osteoblasts: 0.38, Smooth_muscle_cells:vascular: 0.38, iPS_cells:CRL2097_foreskin: 0.38, Osteoblasts:BMP2: 0.37, Chondrocytes:MSC-derived: 0.37, Smooth_muscle_cells:vascular:IL-17: 0.37, Tissue_stem_cells:BM_MSC:BMP2: 0.36, Smooth_muscle_cells:bronchial: 0.36 |
KK051-G15 | Tissue_stem_cells:BM_MSC | 0.20 | 134.50 | Raw ScoresFibroblasts:breast: 0.44, Smooth_muscle_cells:vascular: 0.43, iPS_cells:adipose_stem_cells: 0.43, Osteoblasts: 0.43, Osteoblasts:BMP2: 0.43, Tissue_stem_cells:BM_MSC: 0.43, Smooth_muscle_cells:vascular:IL-17: 0.43, iPS_cells:CRL2097_foreskin: 0.43, Tissue_stem_cells:BM_MSC:BMP2: 0.42, Tissue_stem_cells:BM_MSC:TGFb3: 0.42 |
KK054-M6 | Smooth_muscle_cells:vascular | 0.21 | 134.42 | Raw ScoresFibroblasts:breast: 0.47, iPS_cells:CRL2097_foreskin: 0.46, iPS_cells:adipose_stem_cells: 0.46, Smooth_muscle_cells:bronchial: 0.45, Smooth_muscle_cells:vascular: 0.45, Osteoblasts: 0.45, Smooth_muscle_cells:vascular:IL-17: 0.45, Chondrocytes:MSC-derived: 0.45, Smooth_muscle_cells:bronchial:vit_D: 0.45, Tissue_stem_cells:BM_MSC:TGFb3: 0.45 |
WK012-M17 | Fibroblasts:breast | 0.24 | 132.79 | Raw ScoresFibroblasts:breast: 0.52, iPS_cells:adipose_stem_cells: 0.52, Chondrocytes:MSC-derived: 0.51, Osteoblasts: 0.51, Smooth_muscle_cells:vascular:IL-17: 0.51, Smooth_muscle_cells:vascular: 0.5, Tissue_stem_cells:BM_MSC:TGFb3: 0.5, iPS_cells:CRL2097_foreskin: 0.5, Osteoblasts:BMP2: 0.5, Tissue_stem_cells:BM_MSC:BMP2: 0.5 |
WK016-J2 | Neurons:Schwann_cell | 0.23 | 131.60 | Raw ScoresNeurons:Schwann_cell: 0.54, iPS_cells:CRL2097_foreskin: 0.46, iPS_cells:adipose_stem_cells: 0.46, MSC: 0.46, Tissue_stem_cells:BM_MSC:BMP2: 0.46, Smooth_muscle_cells:vascular:IL-17: 0.46, Osteoblasts:BMP2: 0.46, Smooth_muscle_cells:vascular: 0.46, Fibroblasts:breast: 0.46, Osteoblasts: 0.46 |
WK032-L4 | Fibroblasts:breast | 0.22 | 131.57 | Raw ScoresFibroblasts:breast: 0.5, iPS_cells:adipose_stem_cells: 0.49, Smooth_muscle_cells:vascular: 0.49, Osteoblasts: 0.49, Osteoblasts:BMP2: 0.48, iPS_cells:CRL2097_foreskin: 0.48, Smooth_muscle_cells:vascular:IL-17: 0.48, Tissue_stem_cells:BM_MSC: 0.48, Chondrocytes:MSC-derived: 0.48, Tissue_stem_cells:BM_MSC:BMP2: 0.48 |
WK014-P19 | Fibroblasts:breast | 0.24 | 131.21 | Raw ScoresFibroblasts:breast: 0.51, iPS_cells:adipose_stem_cells: 0.51, Chondrocytes:MSC-derived: 0.5, Smooth_muscle_cells:vascular:IL-17: 0.49, Smooth_muscle_cells:vascular: 0.49, Smooth_muscle_cells:bronchial: 0.49, Osteoblasts: 0.49, Osteoblasts:BMP2: 0.49, Tissue_stem_cells:BM_MSC:TGFb3: 0.49, Smooth_muscle_cells:bronchial:vit_D: 0.49 |
WK016-K13 | Tissue_stem_cells:BM_MSC | 0.18 | 130.99 | Raw ScoresFibroblasts:breast: 0.41, Tissue_stem_cells:BM_MSC:TGFb3: 0.41, iPS_cells:adipose_stem_cells: 0.41, Tissue_stem_cells:BM_MSC:BMP2: 0.41, Osteoblasts: 0.41, iPS_cells:CRL2097_foreskin: 0.41, Smooth_muscle_cells:vascular: 0.41, Smooth_muscle_cells:vascular:IL-17: 0.41, Osteoblasts:BMP2: 0.4, Smooth_muscle_cells:bronchial: 0.4 |
KK053-O8 | Tissue_stem_cells:BM_MSC | 0.20 | 129.66 | Raw ScoresFibroblasts:breast: 0.48, Tissue_stem_cells:BM_MSC:BMP2: 0.48, Tissue_stem_cells:BM_MSC:TGFb3: 0.47, iPS_cells:adipose_stem_cells: 0.47, Osteoblasts: 0.47, Smooth_muscle_cells:vascular: 0.47, Chondrocytes:MSC-derived: 0.47, Osteoblasts:BMP2: 0.46, Smooth_muscle_cells:vascular:IL-17: 0.46, Tissue_stem_cells:BM_MSC: 0.46 |
WK020-J11 | Neurons:Schwann_cell | 0.21 | 129.36 | Raw ScoresNeurons:Schwann_cell: 0.5, Tissue_stem_cells:BM_MSC:BMP2: 0.43, Smooth_muscle_cells:bronchial: 0.43, iPS_cells:CRL2097_foreskin: 0.43, Smooth_muscle_cells:bronchial:vit_D: 0.43, Fibroblasts:foreskin: 0.42, Fibroblasts:breast: 0.42, Tissue_stem_cells:BM_MSC: 0.42, Osteoblasts: 0.42, Osteoblasts:BMP2: 0.42 |
KK051-N6 | Smooth_muscle_cells:vascular | 0.14 | 129.07 | Raw ScoresTissue_stem_cells:BM_MSC:TGFb3: 0.42, Fibroblasts:breast: 0.41, iPS_cells:CRL2097_foreskin: 0.41, Tissue_stem_cells:BM_MSC:BMP2: 0.41, iPS_cells:adipose_stem_cells: 0.41, Osteoblasts: 0.41, Chondrocytes:MSC-derived: 0.4, Osteoblasts:BMP2: 0.4, Smooth_muscle_cells:vascular:IL-17: 0.4, MSC: 0.4 |
KK001-N17 | Osteoblasts | 0.22 | 127.49 | Raw ScoresFibroblasts:breast: 0.49, iPS_cells:adipose_stem_cells: 0.49, Tissue_stem_cells:BM_MSC:TGFb3: 0.49, Osteoblasts: 0.48, iPS_cells:CRL2097_foreskin: 0.48, Smooth_muscle_cells:vascular: 0.48, Tissue_stem_cells:BM_MSC:BMP2: 0.48, Osteoblasts:BMP2: 0.47, Tissue_stem_cells:BM_MSC: 0.47, Chondrocytes:MSC-derived: 0.47 |
WK032-L21 | Fibroblasts:breast | 0.28 | 122.29 | Raw ScoresFibroblasts:breast: 0.54, iPS_cells:adipose_stem_cells: 0.54, Osteoblasts: 0.53, Chondrocytes:MSC-derived: 0.52, Smooth_muscle_cells:vascular: 0.52, Smooth_muscle_cells:vascular:IL-17: 0.52, iPS_cells:CRL2097_foreskin: 0.52, Osteoblasts:BMP2: 0.52, Smooth_muscle_cells:bronchial: 0.52, Tissue_stem_cells:BM_MSC:TGFb3: 0.51 |
WK020-P11 | Tissue_stem_cells:BM_MSC:BMP2 | 0.19 | 120.73 | Raw ScoresFibroblasts:breast: 0.47, iPS_cells:adipose_stem_cells: 0.47, Smooth_muscle_cells:vascular: 0.46, Osteoblasts: 0.46, iPS_cells:CRL2097_foreskin: 0.45, Smooth_muscle_cells:bronchial: 0.45, Osteoblasts:BMP2: 0.45, Tissue_stem_cells:BM_MSC:BMP2: 0.45, Smooth_muscle_cells:vascular:IL-17: 0.45, Smooth_muscle_cells:bronchial:vit_D: 0.45 |
Below shows the significant enrichments of this GEP for literature curated gene lists
This data was procured from existing single cell RNA-seq maps of neuroblastoma or related relevant data.
High ranks indicate this gene is a driver of this GEP.
These curated gene list are ranked by the P-value (on this GEP) of their constituent genes.
The Mean Count column shows the mean read count in cells scoring highly (H > 50) on this gene expression program.
Genes | Weight | Rank | GTEx | DepMap | Decartes | Mean.Counts | Mean.TPM |
---|---|---|---|---|---|---|---|
POSTN | 0.0135136 | 1 | GTEx | DepMap | Descartes | 19.99 | 1032.26 |
FN1 | 0.0088595 | 4 | GTEx | DepMap | Descartes | 48.65 | 840.18 |
BGN | 0.0071677 | 6 | GTEx | DepMap | Descartes | 45.61 | 3275.12 |
COL3A1 | 0.0064724 | 8 | GTEx | DepMap | Descartes | 204.34 | 5465.92 |
COL12A1 | 0.0061765 | 10 | GTEx | DepMap | Descartes | 9.68 | 122.13 |
COL4A1 | 0.0057175 | 12 | GTEx | DepMap | Descartes | 20.31 | 486.96 |
COL5A1 | 0.0056857 | 13 | GTEx | DepMap | Descartes | 16.57 | 298.58 |
THBS2 | 0.0055015 | 14 | GTEx | DepMap | Descartes | 18.31 | 490.63 |
VCAN | 0.0054048 | 15 | GTEx | DepMap | Descartes | 21.24 | 304.32 |
COL1A2 | 0.0053899 | 17 | GTEx | DepMap | Descartes | 156.21 | 3919.73 |
TNC | 0.0047838 | 22 | GTEx | DepMap | Descartes | 6.77 | 162.87 |
COL5A2 | 0.0046649 | 24 | GTEx | DepMap | Descartes | 10.32 | 231.32 |
COL1A1 | 0.0045522 | 25 | GTEx | DepMap | Descartes | 369.99 | 9280.27 |
TPM1 | 0.0042899 | 30 | GTEx | DepMap | Descartes | 10.17 | 428.81 |
COL8A1 | 0.0042470 | 31 | GTEx | DepMap | Descartes | 10.66 | 286.04 |
COL10A1 | 0.0038874 | 40 | GTEx | DepMap | Descartes | 1.84 | 85.17 |
TAGLN | 0.0035821 | 45 | GTEx | DepMap | Descartes | 25.24 | 1195.87 |
THY1 | 0.0034340 | 49 | GTEx | DepMap | Descartes | 8.20 | 292.32 |
IGFBP7 | 0.0032235 | 55 | GTEx | DepMap | Descartes | 106.83 | 12017.22 |
ACTA2 | 0.0027983 | 68 | GTEx | DepMap | Descartes | 23.50 | 2965.60 |
MYL9 | 0.0027778 | 69 | GTEx | DepMap | Descartes | 11.57 | 677.21 |
TMEM119 | 0.0027208 | 72 | GTEx | DepMap | Descartes | 3.85 | 220.41 |
MMP11 | 0.0026240 | 77 | GTEx | DepMap | Descartes | 1.17 | 57.57 |
MYLK | 0.0023861 | 90 | GTEx | DepMap | Descartes | 6.48 | 109.68 |
TGFB2 | 0.0017477 | 149 | GTEx | DepMap | Descartes | 1.51 | 40.26 |
TPM2 | 0.0016092 | 179 | GTEx | DepMap | Descartes | 5.76 | 595.69 |
COL15A1 | 0.0012589 | 243 | GTEx | DepMap | Descartes | 3.51 | 96.39 |
TGFBR1 | 0.0010690 | 303 | GTEx | DepMap | Descartes | 2.03 | 50.78 |
HOPX | 0.0010468 | 315 | GTEx | DepMap | Descartes | 0.71 | 35.47 |
COL11A1 | 0.0006785 | 601 | GTEx | DepMap | Descartes | 1.26 | 26.74 |
CNN3 | 0.0006710 | 611 | GTEx | DepMap | Descartes | 5.17 | 412.53 |
COL14A1 | 0.0006589 | 636 | GTEx | DepMap | Descartes | 17.39 | 336.01 |
CNN2 | 0.0005935 | 740 | GTEx | DepMap | Descartes | 3.03 | 211.37 |
LUM | 0.0005297 | 843 | GTEx | DepMap | Descartes | 40.18 | 2103.96 |
IGFBP3 | 0.0004932 | 907 | GTEx | DepMap | Descartes | 3.05 | 158.23 |
WNT5A | 0.0000945 | 3307 | GTEx | DepMap | Descartes | 0.16 | 3.29 |
ACTG2 | 0.0000800 | 3499 | GTEx | DepMap | Descartes | 1.13 | 111.40 |
MEF2C | 0.0000537 | 3918 | GTEx | DepMap | Descartes | 0.90 | 18.06 |
PGF | -0.0000092 | 5071 | GTEx | DepMap | Descartes | 0.64 | 25.67 |
DCN | -0.0000478 | 6007 | GTEx | DepMap | Descartes | 65.57 | 1357.24 |
COL13A1 | -0.0000684 | 6542 | GTEx | DepMap | Descartes | 0.03 | 1.25 |
TGFB1 | -0.0000952 | 7293 | GTEx | DepMap | Descartes | 0.93 | 58.04 |
TGFBR2 | -0.0003151 | 10992 | GTEx | DepMap | Descartes | 2.61 | 61.61 |
RGS5 | -0.0003600 | 11311 | GTEx | DepMap | Descartes | 15.45 | 374.69 |
ITGA7 | -0.0004702 | 11821 | GTEx | DepMap | Descartes | 0.92 | 38.78 |
MMP2 | -0.0004937 | 11892 | GTEx | DepMap | Descartes | 9.49 | 395.45 |
THBS1 | -0.0005824 | 12083 | GTEx | DepMap | Descartes | 17.90 | 397.23 |
VEGFA | -0.0006932 | 12226 | GTEx | DepMap | Descartes | 6.74 | 92.63 |
MYH11 | -0.0010332 | 12432 | GTEx | DepMap | Descartes | 2.28 | 57.89 |
Mesenchymal Fig 1D (Olsen)
Selected mesenchymal marker genes shown in Fig. 1D of Olsen et al. https://www.biorxiv.org/content/10.1101/2020.05.04.077057v1 - these are highly expressed in their mesenchymal cluster on their UMAP.:
Wilcoxon ranksum test P-value for gene set overrepresentation: 3.38e-07
Mean rank of genes in gene set: 1285.46
Rank on gene expression program of genes in gene set:
Genes | Weight | Rank | GTEx | DepMap | Decartes | Mean.Counts | Mean.TPM |
---|---|---|---|---|---|---|---|
BGN | 0.0071677 | 6 | GTEx | DepMap | Descartes | 45.61 | 3275.12 |
COL3A1 | 0.0064724 | 8 | GTEx | DepMap | Descartes | 204.34 | 5465.92 |
SPARC | 0.0062869 | 9 | GTEx | DepMap | Descartes | 184.62 | 7777.83 |
COL1A2 | 0.0053899 | 17 | GTEx | DepMap | Descartes | 156.21 | 3919.73 |
COL1A1 | 0.0045522 | 25 | GTEx | DepMap | Descartes | 369.99 | 9280.27 |
CALD1 | 0.0034932 | 46 | GTEx | DepMap | Descartes | 19.19 | 604.79 |
MGP | 0.0029272 | 64 | GTEx | DepMap | Descartes | 97.34 | 9636.29 |
COL6A2 | 0.0028646 | 66 | GTEx | DepMap | Descartes | 21.90 | 1063.87 |
PDGFRA | 0.0018756 | 127 | GTEx | DepMap | Descartes | 2.45 | 59.61 |
PRRX1 | 0.0006957 | 576 | GTEx | DepMap | Descartes | 4.86 | 185.20 |
LUM | 0.0005297 | 843 | GTEx | DepMap | Descartes | 40.18 | 2103.96 |
DCN | -0.0000478 | 6007 | GTEx | DepMap | Descartes | 65.57 | 1357.24 |
LEPR | -0.0001622 | 8917 | GTEx | DepMap | Descartes | 0.41 | 8.77 |
Stromal 2 (Hanemaaijer)
Marker genes obtained from Supplementary Table SD of Hanemaaijer et al (PMID 33500353). The authors generated single-cell RNA-seq data (sort-seq, 2,229 cells total) from mouse adrenal glads at E13.5, E14.5, E17.5, E18.5, P1 and P5. These were marker genes that matched with a similar dataset generated by Furlan et al (PMID 28684471). This particular set of markers are for Stroma subcluster:
Wilcoxon ranksum test P-value for gene set overrepresentation: 1.24e-03
Mean rank of genes in gene set: 3112.92
Rank on gene expression program of genes in gene set:
Genes | Weight | Rank | GTEx | DepMap | Decartes | Mean.Counts | Mean.TPM |
---|---|---|---|---|---|---|---|
POSTN | 0.0135136 | 1 | GTEx | DepMap | Descartes | 19.99 | 1032.26 |
IGFBP5 | 0.0047098 | 23 | GTEx | DepMap | Descartes | 44.74 | 1123.25 |
COL5A2 | 0.0046649 | 24 | GTEx | DepMap | Descartes | 10.32 | 231.32 |
FBN1 | 0.0045251 | 26 | GTEx | DepMap | Descartes | 9.61 | 113.86 |
FSTL1 | 0.0039090 | 39 | GTEx | DepMap | Descartes | 16.57 | 422.21 |
SFRP1 | 0.0012865 | 235 | GTEx | DepMap | Descartes | 3.72 | 98.32 |
COL14A1 | 0.0006589 | 636 | GTEx | DepMap | Descartes | 17.39 | 336.01 |
FBN2 | 0.0003079 | 1506 | GTEx | DepMap | Descartes | 0.30 | 5.01 |
GAS1 | -0.0000039 | 4972 | GTEx | DepMap | Descartes | 1.26 | 58.64 |
PENK | -0.0000349 | 5706 | GTEx | DepMap | Descartes | 0.20 | 47.77 |
GSN | -0.0004763 | 11840 | GTEx | DepMap | Descartes | 13.78 | 329.69 |
ITM2A | -0.0008438 | 12347 | GTEx | DepMap | Descartes | 1.71 | 145.38 |
Below shows ranks on this GEP for literature curated gene lists for large gene sets
These include those reported as mesenchymal/adrenergic by Van Groningen et al.
High ranks indicate this gene is a driver of this GEP (note these results are not ordered).
The Mean Count column shows the mean read count in cells scoring highly (H > 50) on this gene expression program.
VanGroningen Adrenergic Genes
Adrenergic marker genes from Supplementary Table 2 of Van Groningen et al. Nature Genetics 2017. These genes were identified by differential expression analysis of mesenchymal-like and adrenergic-like neuroblastoma cell lines.
Wilcoxon ranksum test P-value for gene set overrepresentation: 1.00e+00
Mean rank of genes in gene set: 8706.4
Median rank of genes in gene set: 9849
Rank on gene expression program of top 30 genes in gene set:
Genes | Weight | Rank | GTEx | DepMap | Descartes | Mean.Counts | Mean.TPM |
---|---|---|---|---|---|---|---|
DPYSL3 | 0.0015777 | 183 | GTEx | DepMap | Descartes | 4.09 | 111.94 |
RBP1 | 0.0011368 | 274 | GTEx | DepMap | Descartes | 1.07 | 91.45 |
HEY1 | 0.0009871 | 349 | GTEx | DepMap | Descartes | 0.82 | 32.30 |
STRA6 | 0.0009670 | 356 | GTEx | DepMap | Descartes | 0.11 | 8.90 |
PHPT1 | 0.0007024 | 569 | GTEx | DepMap | Descartes | 0.93 | 116.49 |
CCNI | 0.0005943 | 736 | GTEx | DepMap | Descartes | 12.70 | 734.82 |
SETD7 | 0.0005119 | 880 | GTEx | DepMap | Descartes | 1.37 | 27.39 |
RNF144A | 0.0004598 | 981 | GTEx | DepMap | Descartes | 0.76 | 16.94 |
TTC8 | 0.0004533 | 996 | GTEx | DepMap | Descartes | 0.22 | 6.26 |
SLIT3 | 0.0004358 | 1051 | GTEx | DepMap | Descartes | 5.47 | 87.51 |
EXOC5 | 0.0004141 | 1116 | GTEx | DepMap | Descartes | 1.12 | 16.29 |
CYGB | 0.0004112 | 1125 | GTEx | DepMap | Descartes | 2.21 | 180.54 |
GNB1 | 0.0003986 | 1156 | GTEx | DepMap | Descartes | 4.29 | 213.56 |
RNF150 | 0.0003459 | 1351 | GTEx | DepMap | Descartes | 0.59 | 8.10 |
ZWILCH | 0.0003457 | 1352 | GTEx | DepMap | Descartes | 0.24 | 9.63 |
FBXO8 | 0.0003178 | 1462 | GTEx | DepMap | Descartes | 0.23 | 16.97 |
NGRN | 0.0002826 | 1651 | GTEx | DepMap | Descartes | 0.29 | 15.44 |
RTN2 | 0.0002733 | 1697 | GTEx | DepMap | Descartes | 0.15 | 11.03 |
ACOT7 | 0.0002719 | 1711 | GTEx | DepMap | Descartes | 0.54 | 37.37 |
PBX3 | 0.0002618 | 1769 | GTEx | DepMap | Descartes | 1.03 | 53.78 |
DPYSL2 | 0.0002326 | 1950 | GTEx | DepMap | Descartes | 3.04 | 88.21 |
GGCT | 0.0002263 | 1992 | GTEx | DepMap | Descartes | 0.49 | 66.08 |
RGS17 | 0.0001970 | 2205 | GTEx | DepMap | Descartes | 0.20 | 3.55 |
POPDC3 | 0.0001920 | 2249 | GTEx | DepMap | Descartes | 0.07 | 6.12 |
KLF7 | 0.0001845 | 2314 | GTEx | DepMap | Descartes | 0.98 | 17.61 |
LSM3 | 0.0001687 | 2471 | GTEx | DepMap | Descartes | 0.69 | 29.43 |
DCX | 0.0001643 | 2520 | GTEx | DepMap | Descartes | 0.49 | 14.35 |
NCOA7 | 0.0001261 | 2914 | GTEx | DepMap | Descartes | 2.50 | NA |
CCDC167 | 0.0001206 | 2971 | GTEx | DepMap | Descartes | 0.22 | 60.89 |
GGH | 0.0001178 | 2997 | GTEx | DepMap | Descartes | 0.26 | 26.82 |
VanGroningen Mesenchymal Genes
Mesenchymal marker genes from Supplementary Table 2 of Van Groningen et al. Nature Genetics 2017. These genes were identified by differential expression analysis of mesenchymal-like and adrenergic-like neuroblastoma cell lines.
Wilcoxon ranksum test P-value for gene set overrepresentation: 2.60e-53
Mean rank of genes in gene set: 3659.61
Median rank of genes in gene set: 1248
Rank on gene expression program of top 30 genes in gene set:
Genes | Weight | Rank | GTEx | DepMap | Descartes | Mean.Counts | Mean.TPM |
---|---|---|---|---|---|---|---|
POSTN | 0.0135136 | 1 | GTEx | DepMap | Descartes | 19.99 | 1032.26 |
FN1 | 0.0088595 | 4 | GTEx | DepMap | Descartes | 48.65 | 840.18 |
BGN | 0.0071677 | 6 | GTEx | DepMap | Descartes | 45.61 | 3275.12 |
COL4A2 | 0.0067995 | 7 | GTEx | DepMap | Descartes | 28.31 | 709.18 |
COL3A1 | 0.0064724 | 8 | GTEx | DepMap | Descartes | 204.34 | 5465.92 |
SPARC | 0.0062869 | 9 | GTEx | DepMap | Descartes | 184.62 | 7777.83 |
COL12A1 | 0.0061765 | 10 | GTEx | DepMap | Descartes | 9.68 | 122.13 |
COL6A3 | 0.0057242 | 11 | GTEx | DepMap | Descartes | 20.75 | 315.01 |
COL4A1 | 0.0057175 | 12 | GTEx | DepMap | Descartes | 20.31 | 486.96 |
COL5A1 | 0.0056857 | 13 | GTEx | DepMap | Descartes | 16.57 | 298.58 |
F2R | 0.0053949 | 16 | GTEx | DepMap | Descartes | 4.49 | 207.05 |
LOXL2 | 0.0053004 | 18 | GTEx | DepMap | Descartes | 2.43 | 98.18 |
TNC | 0.0047838 | 22 | GTEx | DepMap | Descartes | 6.77 | 162.87 |
IGFBP5 | 0.0047098 | 23 | GTEx | DepMap | Descartes | 44.74 | 1123.25 |
COL5A2 | 0.0046649 | 24 | GTEx | DepMap | Descartes | 10.32 | 231.32 |
COL1A1 | 0.0045522 | 25 | GTEx | DepMap | Descartes | 369.99 | 9280.27 |
FBN1 | 0.0045251 | 26 | GTEx | DepMap | Descartes | 9.61 | 113.86 |
PALLD | 0.0044905 | 28 | GTEx | DepMap | Descartes | 8.09 | 234.03 |
TPM1 | 0.0042899 | 30 | GTEx | DepMap | Descartes | 10.17 | 428.81 |
CDH11 | 0.0042073 | 32 | GTEx | DepMap | Descartes | 4.01 | 90.42 |
TIMP1 | 0.0041030 | 34 | GTEx | DepMap | Descartes | 62.51 | 9430.11 |
MICAL2 | 0.0040827 | 35 | GTEx | DepMap | Descartes | 6.15 | 155.97 |
COL6A1 | 0.0040498 | 36 | GTEx | DepMap | Descartes | 27.35 | 1124.50 |
ITGB1 | 0.0039627 | 37 | GTEx | DepMap | Descartes | 7.04 | 294.36 |
AEBP1 | 0.0039250 | 38 | GTEx | DepMap | Descartes | 20.89 | 858.56 |
FSTL1 | 0.0039090 | 39 | GTEx | DepMap | Descartes | 16.57 | 422.21 |
PXDN | 0.0038533 | 41 | GTEx | DepMap | Descartes | 5.49 | 125.71 |
PLXDC2 | 0.0038327 | 42 | GTEx | DepMap | Descartes | 6.66 | 87.77 |
CALD1 | 0.0034932 | 46 | GTEx | DepMap | Descartes | 19.19 | 604.79 |
HTRA1 | 0.0032866 | 53 | GTEx | DepMap | Descartes | 8.27 | 626.59 |
Descartes adrenocortical markers
Top 50 marker genes of adrenocortical cells in the Decartes fetal adrenal single cell map (https://atlas.brotmanbaty.org/bbi/human-gene-expression-during-development/cell/adrenocortical/in/adrenal)
Wilcoxon ranksum test P-value for gene set overrepresentation: 9.97e-01
Mean rank of genes in gene set: 7913.47
Median rank of genes in gene set: 8909
Rank on gene expression program of top 30 genes in gene set:
Genes | Weight | Rank | GTEx | DepMap | Descartes | Mean.Counts | Mean.TPM |
---|---|---|---|---|---|---|---|
PAPSS2 | 0.0005002 | 894 | GTEx | DepMap | Descartes | 1.29 | 52.55 |
GSTA4 | 0.0003591 | 1295 | GTEx | DepMap | Descartes | 0.53 | 48.03 |
IGF1R | 0.0003187 | 1461 | GTEx | DepMap | Descartes | 1.07 | 14.20 |
FRMD5 | 0.0002453 | 1868 | GTEx | DepMap | Descartes | 0.21 | 6.28 |
PDE10A | 0.0001699 | 2450 | GTEx | DepMap | Descartes | 0.20 | 3.51 |
SGCZ | 0.0000754 | 3566 | GTEx | DepMap | Descartes | 0.00 | 0.00 |
FDX1 | 0.0000387 | 4165 | GTEx | DepMap | Descartes | 0.43 | 20.55 |
SH3PXD2B | 0.0000294 | 4311 | GTEx | DepMap | Descartes | 0.63 | 13.14 |
DHCR24 | -0.0000147 | 5202 | GTEx | DepMap | Descartes | 0.18 | 5.22 |
STAR | -0.0000161 | 5247 | GTEx | DepMap | Descartes | 0.00 | 0.47 |
APOC1 | -0.0000234 | 5435 | GTEx | DepMap | Descartes | 0.28 | 87.27 |
FDXR | -0.0000821 | 6933 | GTEx | DepMap | Descartes | 0.04 | 3.05 |
BAIAP2L1 | -0.0000847 | 7001 | GTEx | DepMap | Descartes | 0.02 | 1.44 |
INHA | -0.0001137 | 7808 | GTEx | DepMap | Descartes | 0.00 | 0.00 |
CYB5B | -0.0001192 | 7951 | GTEx | DepMap | Descartes | 0.67 | 23.93 |
SCARB1 | -0.0001234 | 8075 | GTEx | DepMap | Descartes | 0.18 | 3.92 |
DNER | -0.0001273 | 8176 | GTEx | DepMap | Descartes | 0.06 | 2.61 |
TM7SF2 | -0.0001585 | 8858 | GTEx | DepMap | Descartes | 0.07 | 4.73 |
FDPS | -0.0001647 | 8960 | GTEx | DepMap | Descartes | 0.69 | 51.47 |
POR | -0.0001705 | 9075 | GTEx | DepMap | Descartes | 0.72 | 44.87 |
SCAP | -0.0001766 | 9202 | GTEx | DepMap | Descartes | 0.34 | 13.96 |
ERN1 | -0.0002254 | 9984 | GTEx | DepMap | Descartes | 0.74 | 14.82 |
FREM2 | -0.0002261 | 9992 | GTEx | DepMap | Descartes | 0.05 | 0.67 |
SLC16A9 | -0.0002321 | 10078 | GTEx | DepMap | Descartes | 0.10 | 3.91 |
SLC1A2 | -0.0002450 | 10261 | GTEx | DepMap | Descartes | 0.06 | 0.52 |
NPC1 | -0.0002516 | 10332 | GTEx | DepMap | Descartes | 0.58 | 17.78 |
SH3BP5 | -0.0002798 | 10646 | GTEx | DepMap | Descartes | 1.85 | 75.09 |
GRAMD1B | -0.0002984 | 10852 | GTEx | DepMap | Descartes | 0.06 | 1.05 |
JAKMIP2 | -0.0003104 | 10948 | GTEx | DepMap | Descartes | 0.06 | 0.91 |
DHCR7 | -0.0003218 | 11051 | GTEx | DepMap | Descartes | 0.10 | 4.31 |
Descartes chromaffin markers
Top 50 marker genes of chromaffin cells in the Decartes fetal adrenal single cell map (https://atlas.brotmanbaty.org/bbi/human-gene-expression-during-development/cell/chromaffin/in/adrenal)
Wilcoxon ranksum test P-value for gene set overrepresentation: 1.00e+00
Mean rank of genes in gene set: 8395.78
Median rank of genes in gene set: 9526
Rank on gene expression program of top 30 genes in gene set:
Genes | Weight | Rank | GTEx | DepMap | Descartes | Mean.Counts | Mean.TPM |
---|---|---|---|---|---|---|---|
GREM1 | 0.0023256 | 93 | GTEx | DepMap | Descartes | 4.99 | 46.44 |
PLXNA4 | 0.0002798 | 1664 | GTEx | DepMap | Descartes | 0.13 | 1.48 |
RGMB | 0.0001557 | 2589 | GTEx | DepMap | Descartes | 1.01 | 35.77 |
BASP1 | 0.0001452 | 2687 | GTEx | DepMap | Descartes | 4.53 | 423.64 |
MAB21L2 | 0.0001280 | 2891 | GTEx | DepMap | Descartes | 0.37 | 13.70 |
MAP1B | 0.0000890 | 3380 | GTEx | DepMap | Descartes | 17.09 | 228.14 |
IL7 | 0.0000593 | 3819 | GTEx | DepMap | Descartes | 0.05 | 3.25 |
TUBA1A | 0.0000253 | 4387 | GTEx | DepMap | Descartes | 13.81 | 1090.77 |
KCNB2 | -0.0000652 | 6454 | GTEx | DepMap | Descartes | 0.01 | 0.52 |
EPHA6 | -0.0000761 | 6751 | GTEx | DepMap | Descartes | 0.00 | 0.13 |
FAT3 | -0.0001138 | 7813 | GTEx | DepMap | Descartes | 0.10 | 1.05 |
SLC44A5 | -0.0001221 | 8037 | GTEx | DepMap | Descartes | 0.00 | 0.00 |
GAL | -0.0001296 | 8237 | GTEx | DepMap | Descartes | 0.14 | 15.32 |
ALK | -0.0001326 | 8296 | GTEx | DepMap | Descartes | 0.01 | 0.24 |
NTRK1 | -0.0001342 | 8328 | GTEx | DepMap | Descartes | 0.01 | 0.72 |
ANKFN1 | -0.0001377 | 8416 | GTEx | DepMap | Descartes | 0.00 | 0.00 |
HS3ST5 | -0.0001478 | 8624 | GTEx | DepMap | Descartes | 0.00 | 0.30 |
RPH3A | -0.0001789 | 9251 | GTEx | DepMap | Descartes | 0.01 | 0.40 |
EYA1 | -0.0001844 | 9337 | GTEx | DepMap | Descartes | 0.01 | 0.25 |
GAP43 | -0.0001927 | 9479 | GTEx | DepMap | Descartes | 0.68 | 49.73 |
ISL1 | -0.0001954 | 9526 | GTEx | DepMap | Descartes | 0.31 | 13.62 |
CCND1 | -0.0002052 | 9693 | GTEx | DepMap | Descartes | 3.58 | 105.20 |
TMEFF2 | -0.0002165 | 9859 | GTEx | DepMap | Descartes | 0.00 | 0.00 |
ELAVL2 | -0.0002176 | 9871 | GTEx | DepMap | Descartes | 0.09 | 1.47 |
PTCHD1 | -0.0002373 | 10155 | GTEx | DepMap | Descartes | 0.01 | 0.14 |
MARCH11 | -0.0002410 | 10202 | GTEx | DepMap | Descartes | 0.04 | NA |
SLC6A2 | -0.0002429 | 10231 | GTEx | DepMap | Descartes | 0.05 | 1.90 |
EYA4 | -0.0002440 | 10247 | GTEx | DepMap | Descartes | 0.00 | 0.09 |
NPY | -0.0002562 | 10383 | GTEx | DepMap | Descartes | 0.33 | 59.81 |
TMEM132C | -0.0002563 | 10386 | GTEx | DepMap | Descartes | 0.05 | 1.34 |
Descartes Vascular_endothelial markers
Top 50 marker genes of Vascular_endothelial cells in the Decartes fetal adrenal single cell map (https://atlas.brotmanbaty.org/bbi/human-gene-expression-during-development/cell/vascular_endothelial/in/adrenal)
Wilcoxon ranksum test P-value for gene set overrepresentation: 9.59e-01
Mean rank of genes in gene set: 7292.34
Median rank of genes in gene set: 7796
Rank on gene expression program of top 30 genes in gene set:
Genes | Weight | Rank | GTEx | DepMap | Descartes | Mean.Counts | Mean.TPM |
---|---|---|---|---|---|---|---|
CDH13 | 0.0019888 | 112 | GTEx | DepMap | Descartes | 0.78 | 16.07 |
EHD3 | 0.0008043 | 469 | GTEx | DepMap | Descartes | 0.23 | 8.02 |
ESM1 | 0.0003209 | 1451 | GTEx | DepMap | Descartes | 0.79 | 35.88 |
TEK | 0.0002073 | 2141 | GTEx | DepMap | Descartes | 0.15 | 4.74 |
HYAL2 | 0.0000873 | 3402 | GTEx | DepMap | Descartes | 0.31 | 9.66 |
ROBO4 | 0.0000747 | 3583 | GTEx | DepMap | Descartes | 0.29 | 6.70 |
FLT4 | 0.0000733 | 3608 | GTEx | DepMap | Descartes | 0.18 | 3.35 |
CALCRL | 0.0000696 | 3667 | GTEx | DepMap | Descartes | 0.69 | 15.56 |
PODXL | 0.0000571 | 3855 | GTEx | DepMap | Descartes | 0.46 | 7.69 |
ARHGAP29 | 0.0000433 | 4073 | GTEx | DepMap | Descartes | 0.58 | 9.46 |
F8 | 0.0000343 | 4233 | GTEx | DepMap | Descartes | 0.15 | 2.23 |
CRHBP | 0.0000061 | 4750 | GTEx | DepMap | Descartes | 0.00 | 0.40 |
CHRM3 | -0.0000182 | 5298 | GTEx | DepMap | Descartes | 0.02 | 1.01 |
NPR1 | -0.0000610 | 6344 | GTEx | DepMap | Descartes | 0.20 | 6.66 |
NR5A2 | -0.0000647 | 6441 | GTEx | DepMap | Descartes | 0.03 | 0.62 |
RAMP2 | -0.0000776 | 6795 | GTEx | DepMap | Descartes | 0.42 | 57.82 |
IRX3 | -0.0000880 | 7098 | GTEx | DepMap | Descartes | 0.07 | 5.09 |
PLVAP | -0.0000912 | 7182 | GTEx | DepMap | Descartes | 1.37 | 54.72 |
KANK3 | -0.0000990 | 7403 | GTEx | DepMap | Descartes | 0.21 | 7.12 |
CDH5 | -0.0001278 | 8189 | GTEx | DepMap | Descartes | 0.30 | 6.59 |
TIE1 | -0.0001360 | 8370 | GTEx | DepMap | Descartes | 0.46 | 13.32 |
CEACAM1 | -0.0001467 | 8603 | GTEx | DepMap | Descartes | 0.08 | 2.26 |
BTNL9 | -0.0001668 | 8994 | GTEx | DepMap | Descartes | 0.08 | 1.95 |
NOTCH4 | -0.0001807 | 9280 | GTEx | DepMap | Descartes | 0.21 | 3.27 |
SLCO2A1 | -0.0001976 | 9566 | GTEx | DepMap | Descartes | 0.17 | 4.09 |
RASIP1 | -0.0002074 | 9722 | GTEx | DepMap | Descartes | 0.13 | 6.27 |
PTPRB | -0.0002092 | 9745 | GTEx | DepMap | Descartes | 0.26 | 2.19 |
MYRIP | -0.0002229 | 9946 | GTEx | DepMap | Descartes | 0.02 | 0.48 |
KDR | -0.0002375 | 10157 | GTEx | DepMap | Descartes | 0.20 | 3.48 |
MMRN2 | -0.0002378 | 10160 | GTEx | DepMap | Descartes | 0.30 | 6.80 |
Descartes stromal markers
Top 50 marker genes of stromal cells in the Decartes fetal adrenal single cell map (https://atlas.brotmanbaty.org/bbi/human-gene-expression-during-development/cell/stromal/in/adrenal)
Wilcoxon ranksum test P-value for gene set overrepresentation: 1.23e-15
Mean rank of genes in gene set: 1959.43
Median rank of genes in gene set: 343.5
Rank on gene expression program of top 30 genes in gene set:
Genes | Weight | Rank | GTEx | DepMap | Descartes | Mean.Counts | Mean.TPM |
---|---|---|---|---|---|---|---|
POSTN | 0.0135136 | 1 | GTEx | DepMap | Descartes | 19.99 | 1032.26 |
COL3A1 | 0.0064724 | 8 | GTEx | DepMap | Descartes | 204.34 | 5465.92 |
COL12A1 | 0.0061765 | 10 | GTEx | DepMap | Descartes | 9.68 | 122.13 |
COL6A3 | 0.0057242 | 11 | GTEx | DepMap | Descartes | 20.75 | 315.01 |
COL1A2 | 0.0053899 | 17 | GTEx | DepMap | Descartes | 156.21 | 3919.73 |
COL1A1 | 0.0045522 | 25 | GTEx | DepMap | Descartes | 369.99 | 9280.27 |
CDH11 | 0.0042073 | 32 | GTEx | DepMap | Descartes | 4.01 | 90.42 |
ITGA11 | 0.0033488 | 50 | GTEx | DepMap | Descartes | 1.49 | 24.60 |
ADAMTS2 | 0.0032967 | 52 | GTEx | DepMap | Descartes | 3.99 | 83.82 |
ISLR | 0.0029375 | 63 | GTEx | DepMap | Descartes | 7.04 | 464.15 |
MGP | 0.0029272 | 64 | GTEx | DepMap | Descartes | 97.34 | 9636.29 |
ACTA2 | 0.0027983 | 68 | GTEx | DepMap | Descartes | 23.50 | 2965.60 |
LOX | 0.0027472 | 71 | GTEx | DepMap | Descartes | 3.53 | 90.08 |
EDNRA | 0.0021341 | 102 | GTEx | DepMap | Descartes | 1.98 | 71.85 |
CCDC80 | 0.0020634 | 107 | GTEx | DepMap | Descartes | 39.28 | 422.17 |
PRICKLE1 | 0.0019305 | 120 | GTEx | DepMap | Descartes | 1.13 | 28.79 |
PDGFRA | 0.0018756 | 127 | GTEx | DepMap | Descartes | 2.45 | 59.61 |
LRRC17 | 0.0016107 | 178 | GTEx | DepMap | Descartes | 0.84 | 64.86 |
CD248 | 0.0013971 | 216 | GTEx | DepMap | Descartes | 1.55 | 74.17 |
PCOLCE | 0.0012277 | 252 | GTEx | DepMap | Descartes | 8.39 | 866.97 |
ELN | 0.0011857 | 260 | GTEx | DepMap | Descartes | 10.39 | 348.48 |
SFRP2 | 0.0010911 | 297 | GTEx | DepMap | Descartes | 23.65 | 1498.08 |
C7 | 0.0009068 | 390 | GTEx | DepMap | Descartes | 25.40 | 773.79 |
DKK2 | 0.0008768 | 410 | GTEx | DepMap | Descartes | 0.41 | 16.91 |
CLDN11 | 0.0008655 | 417 | GTEx | DepMap | Descartes | 0.70 | 31.90 |
LAMC3 | 0.0008347 | 442 | GTEx | DepMap | Descartes | 0.08 | 1.52 |
PRRX1 | 0.0006957 | 576 | GTEx | DepMap | Descartes | 4.86 | 185.20 |
ABCC9 | 0.0006597 | 634 | GTEx | DepMap | Descartes | 1.26 | 25.22 |
BICC1 | 0.0006463 | 650 | GTEx | DepMap | Descartes | 1.35 | 35.82 |
HHIP | 0.0006380 | 664 | GTEx | DepMap | Descartes | 0.22 | 2.13 |
Descartes sympathoblasts markers
Top 50 marker genes of sympathoblasts cells in the Decartes fetal adrenal single cell map (https://atlas.brotmanbaty.org/bbi/human-gene-expression-during-development/cell/sympathoblasts/in/adrenal)
Wilcoxon ranksum test P-value for gene set overrepresentation: 9.99e-01
Mean rank of genes in gene set: 8177.95
Median rank of genes in gene set: 8177.5
Rank on gene expression program of top 30 genes in gene set:
Genes | Weight | Rank | GTEx | DepMap | Descartes | Mean.Counts | Mean.TPM |
---|---|---|---|---|---|---|---|
ROBO1 | 0.0006780 | 603 | GTEx | DepMap | Descartes | 0.63 | 13.68 |
LAMA3 | 0.0001861 | 2303 | GTEx | DepMap | Descartes | 0.32 | 4.79 |
EML6 | -0.0000002 | 4892 | GTEx | DepMap | Descartes | 0.06 | 1.27 |
AGBL4 | -0.0000215 | 5381 | GTEx | DepMap | Descartes | 0.01 | 0.13 |
CCSER1 | -0.0000228 | 5416 | GTEx | DepMap | Descartes | 0.02 | NA |
GALNTL6 | -0.0000243 | 5449 | GTEx | DepMap | Descartes | 0.01 | 0.35 |
PENK | -0.0000349 | 5706 | GTEx | DepMap | Descartes | 0.20 | 47.77 |
SLC35F3 | -0.0000391 | 5805 | GTEx | DepMap | Descartes | 0.01 | 0.60 |
FGF14 | -0.0000440 | 5918 | GTEx | DepMap | Descartes | 0.16 | 2.06 |
CDH12 | -0.0000461 | 5968 | GTEx | DepMap | Descartes | 0.00 | 0.00 |
SPOCK3 | -0.0000502 | 6067 | GTEx | DepMap | Descartes | 0.01 | 0.54 |
ST18 | -0.0000581 | 6267 | GTEx | DepMap | Descartes | 0.00 | 0.05 |
SLC24A2 | -0.0000715 | 6633 | GTEx | DepMap | Descartes | 0.00 | 0.00 |
HTATSF1 | -0.0000753 | 6728 | GTEx | DepMap | Descartes | 0.77 | 38.13 |
CDH18 | -0.0000916 | 7195 | GTEx | DepMap | Descartes | 0.00 | 0.00 |
PCSK1N | -0.0000925 | 7215 | GTEx | DepMap | Descartes | 0.49 | 66.59 |
GRID2 | -0.0000992 | 7412 | GTEx | DepMap | Descartes | 0.00 | 0.06 |
PACRG | -0.0000999 | 7440 | GTEx | DepMap | Descartes | 0.02 | 1.78 |
GRM7 | -0.0001199 | 7965 | GTEx | DepMap | Descartes | 0.01 | 0.36 |
TBX20 | -0.0001371 | 8390 | GTEx | DepMap | Descartes | 0.00 | 0.00 |
KSR2 | -0.0001719 | 9112 | GTEx | DepMap | Descartes | 0.00 | 0.01 |
NTNG1 | -0.0001765 | 9199 | GTEx | DepMap | Descartes | 0.05 | 1.68 |
SORCS3 | -0.0002080 | 9729 | GTEx | DepMap | Descartes | 0.00 | 0.00 |
SLC18A1 | -0.0002278 | 10012 | GTEx | DepMap | Descartes | 0.00 | 0.09 |
KCTD16 | -0.0002284 | 10020 | GTEx | DepMap | Descartes | 0.05 | 0.48 |
PCSK2 | -0.0002368 | 10150 | GTEx | DepMap | Descartes | 0.09 | 3.26 |
TENM1 | -0.0002422 | 10222 | GTEx | DepMap | Descartes | 0.02 | NA |
DGKK | -0.0002437 | 10242 | GTEx | DepMap | Descartes | 0.01 | 0.23 |
CHGA | -0.0002445 | 10256 | GTEx | DepMap | Descartes | 1.00 | 50.95 |
UNC80 | -0.0002695 | 10541 | GTEx | DepMap | Descartes | 0.03 | 0.41 |
Descartes erythroblasts markers
Top 50 marker genes of erythroblasts cells in the Decartes fetal adrenal single cell map (https://atlas.brotmanbaty.org/bbi/human-gene-expression-during-development/cell/erythroblasts/in/adrenal)
Wilcoxon ranksum test P-value for gene set overrepresentation: 9.22e-01
Mean rank of genes in gene set: 7226.59
Median rank of genes in gene set: 6807
Rank on gene expression program of top 30 genes in gene set:
Genes | Weight | Rank | GTEx | DepMap | Descartes | Mean.Counts | Mean.TPM |
---|---|---|---|---|---|---|---|
MICAL2 | 0.0040827 | 35 | GTEx | DepMap | Descartes | 6.15 | 155.97 |
TRAK2 | 0.0002879 | 1614 | GTEx | DepMap | Descartes | 0.65 | 17.81 |
TSPAN5 | 0.0001029 | 3185 | GTEx | DepMap | Descartes | 0.75 | 30.33 |
SPECC1 | 0.0000907 | 3357 | GTEx | DepMap | Descartes | 0.37 | 7.68 |
SELENBP1 | 0.0000804 | 3491 | GTEx | DepMap | Descartes | 0.56 | 31.62 |
GYPC | 0.0000416 | 4105 | GTEx | DepMap | Descartes | 0.90 | 77.73 |
ABCB10 | 0.0000289 | 4319 | GTEx | DepMap | Descartes | 0.24 | 10.63 |
RHD | -0.0000012 | 4910 | GTEx | DepMap | Descartes | 0.00 | 0.23 |
SLC25A21 | -0.0000165 | 5254 | GTEx | DepMap | Descartes | 0.00 | 0.00 |
TMCC2 | -0.0000237 | 5441 | GTEx | DepMap | Descartes | 0.08 | 3.64 |
ALAS2 | -0.0000355 | 5721 | GTEx | DepMap | Descartes | 0.00 | 0.00 |
SLC4A1 | -0.0000526 | 6131 | GTEx | DepMap | Descartes | 0.00 | 0.11 |
FECH | -0.0000562 | 6220 | GTEx | DepMap | Descartes | 0.12 | 2.16 |
MARCH3 | -0.0000628 | 6387 | GTEx | DepMap | Descartes | 0.69 | NA |
CPOX | -0.0000779 | 6807 | GTEx | DepMap | Descartes | 0.14 | 8.88 |
XPO7 | -0.0000788 | 6831 | GTEx | DepMap | Descartes | 0.47 | 14.96 |
BLVRB | -0.0000978 | 7373 | GTEx | DepMap | Descartes | 0.34 | 35.83 |
SLC25A37 | -0.0001381 | 8425 | GTEx | DepMap | Descartes | 1.19 | 43.94 |
CAT | -0.0001512 | 8697 | GTEx | DepMap | Descartes | 0.63 | 43.35 |
ANK1 | -0.0001684 | 9027 | GTEx | DepMap | Descartes | 0.06 | 0.86 |
TFR2 | -0.0002022 | 9645 | GTEx | DepMap | Descartes | 0.01 | 0.50 |
RAPGEF2 | -0.0002452 | 10263 | GTEx | DepMap | Descartes | 1.59 | 30.82 |
GCLC | -0.0003174 | 11014 | GTEx | DepMap | Descartes | 0.43 | 20.54 |
SPTB | -0.0003221 | 11058 | GTEx | DepMap | Descartes | 0.01 | 0.19 |
EPB41 | -0.0004392 | 11689 | GTEx | DepMap | Descartes | 0.10 | 2.01 |
SOX6 | -0.0005022 | 11926 | GTEx | DepMap | Descartes | 0.15 | 3.93 |
DENND4A | -0.0006409 | 12160 | GTEx | DepMap | Descartes | 1.04 | 20.76 |
RGS6 | -0.0006892 | 12225 | GTEx | DepMap | Descartes | 0.00 | 0.00 |
SNCA | -0.0007302 | 12261 | GTEx | DepMap | Descartes | 0.10 | 3.62 |
NA | NA | NA | NA | NA | NA | NA | NA |
Descartes myeloid markers
Top 50 marker genes of myeloid cells in the Decartes fetal adrenal single cell map (https://atlas.brotmanbaty.org/bbi/human-gene-expression-during-development/cell/myeloid/in/adrenal)
Wilcoxon ranksum test P-value for gene set overrepresentation: 9.86e-01
Mean rank of genes in gene set: 7561.34
Median rank of genes in gene set: 8887
Rank on gene expression program of top 30 genes in gene set:
Genes | Weight | Rank | GTEx | DepMap | Descartes | Mean.Counts | Mean.TPM |
---|---|---|---|---|---|---|---|
TGFBI | 0.0032995 | 51 | GTEx | DepMap | Descartes | 10.96 | 431.71 |
CTSB | 0.0006887 | 586 | GTEx | DepMap | Descartes | 5.49 | 230.47 |
CST3 | 0.0006756 | 606 | GTEx | DepMap | Descartes | 21.00 | 1004.26 |
AXL | 0.0005525 | 794 | GTEx | DepMap | Descartes | 2.83 | 89.23 |
CTSC | 0.0003549 | 1309 | GTEx | DepMap | Descartes | 2.54 | 67.91 |
PTPRE | 0.0002402 | 1900 | GTEx | DepMap | Descartes | 1.27 | 35.13 |
CTSD | 0.0000847 | 3438 | GTEx | DepMap | Descartes | 4.18 | 330.89 |
MERTK | 0.0000727 | 3614 | GTEx | DepMap | Descartes | 0.17 | 8.58 |
SLC9A9 | 0.0000110 | 4660 | GTEx | DepMap | Descartes | 0.18 | 8.49 |
ITPR2 | -0.0000034 | 4962 | GTEx | DepMap | Descartes | 0.69 | 8.77 |
HRH1 | -0.0000109 | 5116 | GTEx | DepMap | Descartes | 0.57 | 18.64 |
LGMN | -0.0000223 | 5403 | GTEx | DepMap | Descartes | 1.70 | 125.36 |
IFNGR1 | -0.0000725 | 6661 | GTEx | DepMap | Descartes | 0.86 | 54.21 |
CD163L1 | -0.0001070 | 7638 | GTEx | DepMap | Descartes | 0.00 | 0.38 |
ABCA1 | -0.0001120 | 7765 | GTEx | DepMap | Descartes | 1.98 | 28.14 |
SPP1 | -0.0001123 | 7772 | GTEx | DepMap | Descartes | 0.39 | 23.75 |
CPVL | -0.0001325 | 8291 | GTEx | DepMap | Descartes | 0.14 | 7.99 |
ATP8B4 | -0.0001557 | 8799 | GTEx | DepMap | Descartes | 0.02 | 0.70 |
FMN1 | -0.0001588 | 8867 | GTEx | DepMap | Descartes | 0.16 | 1.73 |
FGD2 | -0.0001615 | 8907 | GTEx | DepMap | Descartes | 0.01 | 0.15 |
CSF1R | -0.0001834 | 9325 | GTEx | DepMap | Descartes | 0.06 | 2.14 |
MS4A4A | -0.0001952 | 9523 | GTEx | DepMap | Descartes | 0.00 | 0.00 |
RGL1 | -0.0002004 | 9620 | GTEx | DepMap | Descartes | 0.70 | 19.44 |
CD163 | -0.0002042 | 9675 | GTEx | DepMap | Descartes | 0.02 | 0.68 |
CYBB | -0.0002240 | 9960 | GTEx | DepMap | Descartes | 0.04 | 0.95 |
RBPJ | -0.0002294 | 10038 | GTEx | DepMap | Descartes | 2.61 | 62.41 |
HCK | -0.0002296 | 10042 | GTEx | DepMap | Descartes | 0.02 | 1.99 |
CD14 | -0.0002435 | 10240 | GTEx | DepMap | Descartes | 0.32 | 30.46 |
MSR1 | -0.0002619 | 10447 | GTEx | DepMap | Descartes | 0.01 | 0.29 |
ADAP2 | -0.0002867 | 10722 | GTEx | DepMap | Descartes | 0.07 | 2.25 |
Descartes Schwann markers
Top 50 marker genes of Schwann cells in the Decartes fetal adrenal single cell map (https://atlas.brotmanbaty.org/bbi/human-gene-expression-during-development/cell/schwann/in/adrenal)
Wilcoxon ranksum test P-value for gene set overrepresentation: 8.64e-01
Mean rank of genes in gene set: 6874.98
Median rank of genes in gene set: 9152.5
Rank on gene expression program of top 30 genes in gene set:
Genes | Weight | Rank | GTEx | DepMap | Descartes | Mean.Counts | Mean.TPM |
---|---|---|---|---|---|---|---|
VCAN | 0.0054048 | 15 | GTEx | DepMap | Descartes | 21.24 | 304.32 |
COL5A2 | 0.0046649 | 24 | GTEx | DepMap | Descartes | 10.32 | 231.32 |
COL18A1 | 0.0026201 | 78 | GTEx | DepMap | Descartes | 9.69 | 244.43 |
LAMB1 | 0.0024052 | 88 | GTEx | DepMap | Descartes | 5.95 | 164.85 |
LAMC1 | 0.0015395 | 186 | GTEx | DepMap | Descartes | 8.57 | 161.13 |
LAMA4 | 0.0013190 | 233 | GTEx | DepMap | Descartes | 4.80 | 95.09 |
SFRP1 | 0.0012865 | 235 | GTEx | DepMap | Descartes | 3.72 | 98.32 |
HMGA2 | 0.0006580 | 637 | GTEx | DepMap | Descartes | 0.14 | 3.09 |
PMP22 | 0.0006185 | 701 | GTEx | DepMap | Descartes | 3.80 | 302.59 |
MARCKS | 0.0005714 | 771 | GTEx | DepMap | Descartes | 10.72 | 373.52 |
ADAMTS5 | 0.0004390 | 1039 | GTEx | DepMap | Descartes | 0.74 | 12.27 |
ERBB4 | 0.0004216 | 1094 | GTEx | DepMap | Descartes | 0.05 | 0.93 |
IL1RAPL2 | 0.0003472 | 1345 | GTEx | DepMap | Descartes | 0.02 | 1.89 |
PTPRZ1 | 0.0002075 | 2140 | GTEx | DepMap | Descartes | 0.57 | 10.02 |
STARD13 | 0.0001309 | 2852 | GTEx | DepMap | Descartes | 1.46 | 39.48 |
IL1RAPL1 | 0.0001224 | 2954 | GTEx | DepMap | Descartes | 0.07 | 3.13 |
DST | 0.0000739 | 3593 | GTEx | DepMap | Descartes | 7.52 | 57.80 |
VIM | 0.0000737 | 3599 | GTEx | DepMap | Descartes | 72.65 | 4322.15 |
FIGN | 0.0000699 | 3664 | GTEx | DepMap | Descartes | 0.46 | 7.83 |
COL25A1 | -0.0000674 | 6508 | GTEx | DepMap | Descartes | 0.06 | 1.02 |
MDGA2 | -0.0001392 | 8453 | GTEx | DepMap | Descartes | 0.01 | 0.39 |
OLFML2A | -0.0001614 | 8906 | GTEx | DepMap | Descartes | 1.75 | 39.73 |
SOX5 | -0.0001878 | 9399 | GTEx | DepMap | Descartes | 0.25 | 4.88 |
LRRTM4 | -0.0002177 | 9874 | GTEx | DepMap | Descartes | 0.01 | 0.42 |
PAG1 | -0.0002441 | 10249 | GTEx | DepMap | Descartes | 1.30 | 15.96 |
GFRA3 | -0.0003020 | 10886 | GTEx | DepMap | Descartes | 0.64 | 47.88 |
TRPM3 | -0.0003037 | 10900 | GTEx | DepMap | Descartes | 0.03 | 0.68 |
NRXN3 | -0.0003059 | 10919 | GTEx | DepMap | Descartes | 0.44 | 8.24 |
GAS7 | -0.0003563 | 11286 | GTEx | DepMap | Descartes | 2.35 | 40.03 |
SLC35F1 | -0.0003818 | 11441 | GTEx | DepMap | Descartes | 0.43 | 12.06 |
Descartes Megakaryocytes markers
Top 50 marker genes of Megakaryocytes cells in the Decartes fetal adrenal single cell map (https://atlas.brotmanbaty.org/bbi/human-gene-expression-during-development/cell/megakaryocytes/in/adrenal)
Wilcoxon ranksum test P-value for gene set overrepresentation: 1.30e-01
Mean rank of genes in gene set: 5667.64
Median rank of genes in gene set: 5454
Rank on gene expression program of top 30 genes in gene set:
Genes | Weight | Rank | GTEx | DepMap | Descartes | Mean.Counts | Mean.TPM |
---|---|---|---|---|---|---|---|
TPM4 | 0.0037630 | 44 | GTEx | DepMap | Descartes | 14.19 | 464.57 |
MYLK | 0.0023861 | 90 | GTEx | DepMap | Descartes | 6.48 | 109.68 |
ACTB | 0.0020270 | 109 | GTEx | DepMap | Descartes | 45.28 | 3081.43 |
ACTN1 | 0.0019413 | 118 | GTEx | DepMap | Descartes | 10.03 | 372.58 |
VCL | 0.0016402 | 167 | GTEx | DepMap | Descartes | 5.62 | 113.05 |
MYH9 | 0.0015082 | 193 | GTEx | DepMap | Descartes | 13.83 | 306.27 |
ZYX | 0.0014114 | 213 | GTEx | DepMap | Descartes | 6.93 | 490.90 |
LIMS1 | 0.0010207 | 333 | GTEx | DepMap | Descartes | 4.96 | 176.50 |
LTBP1 | 0.0009708 | 354 | GTEx | DepMap | Descartes | 2.52 | 70.82 |
SLC24A3 | 0.0009661 | 357 | GTEx | DepMap | Descartes | 0.29 | 9.70 |
TLN1 | 0.0006845 | 595 | GTEx | DepMap | Descartes | 5.76 | 108.35 |
FLNA | 0.0006330 | 673 | GTEx | DepMap | Descartes | 8.23 | 165.22 |
GP1BA | 0.0004986 | 896 | GTEx | DepMap | Descartes | 0.06 | 3.38 |
TMSB4X | 0.0003019 | 1541 | GTEx | DepMap | Descartes | 32.22 | 2937.32 |
PDE3A | 0.0002516 | 1824 | GTEx | DepMap | Descartes | 1.02 | 21.64 |
CD9 | 0.0002493 | 1841 | GTEx | DepMap | Descartes | 3.04 | 266.93 |
MMRN1 | 0.0002411 | 1896 | GTEx | DepMap | Descartes | 0.46 | 12.55 |
TRPC6 | 0.0000768 | 3549 | GTEx | DepMap | Descartes | 0.12 | 4.37 |
RAP1B | 0.0000761 | 3555 | GTEx | DepMap | Descartes | 1.60 | 16.94 |
DOK6 | 0.0000732 | 3610 | GTEx | DepMap | Descartes | 0.19 | 3.08 |
PSTPIP2 | 0.0000169 | 4543 | GTEx | DepMap | Descartes | 0.04 | 1.86 |
INPP4B | -0.0000020 | 4929 | GTEx | DepMap | Descartes | 0.46 | 9.88 |
TUBB1 | -0.0000245 | 5454 | GTEx | DepMap | Descartes | 0.01 | 0.87 |
RAB27B | -0.0000335 | 5668 | GTEx | DepMap | Descartes | 0.01 | 0.31 |
ANGPT1 | -0.0000628 | 6385 | GTEx | DepMap | Descartes | 0.32 | 14.84 |
MED12L | -0.0000902 | 7157 | GTEx | DepMap | Descartes | 0.05 | 1.40 |
TGFB1 | -0.0000952 | 7293 | GTEx | DepMap | Descartes | 0.93 | 58.04 |
FLI1 | -0.0001501 | 8670 | GTEx | DepMap | Descartes | 0.26 | 6.31 |
ITGB3 | -0.0001503 | 8677 | GTEx | DepMap | Descartes | 0.04 | 1.01 |
ARHGAP6 | -0.0001593 | 8875 | GTEx | DepMap | Descartes | 0.17 | 3.84 |
Descartes Lyphoid markers
Top 50 marker genes of Lyphoid cells in the Decartes fetal adrenal single cell map (https://atlas.brotmanbaty.org/bbi/human-gene-expression-during-development/cell/lymphoid/in/adrenal)
Wilcoxon ranksum test P-value for gene set overrepresentation: 1.00e+00
Mean rank of genes in gene set: 9860.55
Median rank of genes in gene set: 11478
Rank on gene expression program of top 30 genes in gene set:
Genes | Weight | Rank | GTEx | DepMap | Descartes | Mean.Counts | Mean.TPM |
---|---|---|---|---|---|---|---|
TMSB10 | 0.0013846 | 220 | GTEx | DepMap | Descartes | 20.39 | 6975.53 |
FOXP1 | 0.0007156 | 559 | GTEx | DepMap | Descartes | 6.28 | 117.56 |
NCALD | 0.0003190 | 1458 | GTEx | DepMap | Descartes | 0.46 | 21.74 |
MSN | 0.0001080 | 3121 | GTEx | DepMap | Descartes | 3.50 | 135.95 |
CCND3 | 0.0000254 | 4384 | GTEx | DepMap | Descartes | 0.50 | 32.70 |
EVL | -0.0000703 | 6600 | GTEx | DepMap | Descartes | 1.44 | 61.96 |
LEF1 | -0.0000800 | 6868 | GTEx | DepMap | Descartes | 0.62 | 22.61 |
DOCK10 | -0.0001132 | 7794 | GTEx | DepMap | Descartes | 0.46 | 11.51 |
RAP1GAP2 | -0.0001147 | 7833 | GTEx | DepMap | Descartes | 0.15 | 2.72 |
MBNL1 | -0.0001192 | 7952 | GTEx | DepMap | Descartes | 3.49 | 91.60 |
MCTP2 | -0.0001730 | 9136 | GTEx | DepMap | Descartes | 0.08 | 1.56 |
SAMD3 | -0.0001749 | 9165 | GTEx | DepMap | Descartes | 0.01 | 0.54 |
SKAP1 | -0.0002444 | 10255 | GTEx | DepMap | Descartes | 0.01 | 1.06 |
ANKRD44 | -0.0002536 | 10357 | GTEx | DepMap | Descartes | 0.26 | 5.32 |
SCML4 | -0.0002635 | 10459 | GTEx | DepMap | Descartes | 0.00 | 0.43 |
RCSD1 | -0.0002763 | 10614 | GTEx | DepMap | Descartes | 0.09 | 2.18 |
STK39 | -0.0003180 | 11024 | GTEx | DepMap | Descartes | 0.26 | 10.17 |
TOX | -0.0003465 | 11235 | GTEx | DepMap | Descartes | 0.04 | 1.60 |
CCL5 | -0.0003700 | 11375 | GTEx | DepMap | Descartes | 0.14 | 15.28 |
SP100 | -0.0003733 | 11391 | GTEx | DepMap | Descartes | 1.73 | 51.17 |
PLEKHA2 | -0.0003743 | 11398 | GTEx | DepMap | Descartes | 0.80 | 22.26 |
ETS1 | -0.0004070 | 11558 | GTEx | DepMap | Descartes | 5.23 | 148.74 |
BACH2 | -0.0004212 | 11620 | GTEx | DepMap | Descartes | 0.45 | 8.11 |
GNG2 | -0.0004243 | 11637 | GTEx | DepMap | Descartes | 0.74 | 28.20 |
ARHGDIB | -0.0004309 | 11662 | GTEx | DepMap | Descartes | 2.45 | 312.10 |
ARHGAP15 | -0.0004523 | 11749 | GTEx | DepMap | Descartes | 0.37 | 18.70 |
PRKCH | -0.0004530 | 11754 | GTEx | DepMap | Descartes | 0.17 | 4.95 |
PITPNC1 | -0.0004628 | 11797 | GTEx | DepMap | Descartes | 0.62 | 13.49 |
PDE3B | -0.0004646 | 11806 | GTEx | DepMap | Descartes | 0.03 | 0.57 |
WIPF1 | -0.0004743 | 11831 | GTEx | DepMap | Descartes | 1.32 | 42.91 |
Below shows the ranks on this GEP for immune marker gene lists curated by CellTypist (https://www.celltypist.org/encyclopedia).
High ranks indicate this gene is a driver of this GEP.
These curated gene list are ranked by P-value (on this GEP) of their constituent genes.
The Mean Count column shows the mean read count in cells scoring highly (H > 50) on this gene expression program.
Genes | Weight | Rank | GTEx | DepMap | Decartes | Mean.Counts | Mean.TPM |
---|---|---|---|---|---|---|---|
COL1A2 | 0.0053899 | 17 | GTEx | DepMap | Descartes | 156.21 | 3919.73 |
COL1A1 | 0.0045522 | 25 | GTEx | DepMap | Descartes | 369.99 | 9280.27 |
DCN | -0.0000478 | 6007 | GTEx | DepMap | Descartes | 65.57 | 1357.24 |
Fibroblasts: Fibroblasts (model markers)
the most common cells of connective tissues which synthesize the extracellular matrix and collagen to maintain tissue homeostasis:
Wilcoxon ranksum test P-value for gene set overrepresentation: 2.74e-02
Mean rank of genes in gene set: 3955.78
Rank on gene expression program of genes in gene set:
Genes | Weight | Rank | GTEx | DepMap | Decartes | Mean.Counts | Mean.TPM |
---|---|---|---|---|---|---|---|
PDGFRA | 0.0018756 | 127 | GTEx | DepMap | Descartes | 2.45 | 59.61 |
SFRP1 | 0.0012865 | 235 | GTEx | DepMap | Descartes | 3.72 | 98.32 |
PRRX1 | 0.0006957 | 576 | GTEx | DepMap | Descartes | 4.86 | 185.20 |
OLFML1 | 0.0006476 | 649 | GTEx | DepMap | Descartes | 1.14 | 63.45 |
SMOC2 | 0.0006122 | 713 | GTEx | DepMap | Descartes | 3.88 | 173.93 |
NTRK2 | 0.0000622 | 3780 | GTEx | DepMap | Descartes | 1.76 | 29.54 |
F10 | -0.0000756 | 6738 | GTEx | DepMap | Descartes | 0.31 | 27.77 |
EBF2 | -0.0003324 | 11144 | GTEx | DepMap | Descartes | 0.72 | 20.02 |
ANGPTL1 | -0.0004252 | 11640 | GTEx | DepMap | Descartes | 0.80 | 31.12 |
Monocyte precursor: Monocyte precursor (curated markers)
monocyte precursors that are committed to the monocytes:
Wilcoxon ranksum test P-value for gene set overrepresentation: 4.20e-02
Mean rank of genes in gene set: 15
Rank on gene expression program of genes in gene set:
Genes | Weight | Rank | GTEx | DepMap | Decartes | Mean.Counts | Mean.TPM |
---|---|---|---|---|---|---|---|
VCAN | 0.0054048 | 15 | GTEx | DepMap | Descartes | 21.24 | 304.32 |