Program description and justification of annotation: 6.
Submit a comment on this gene expression program’s interpretation: CLICK
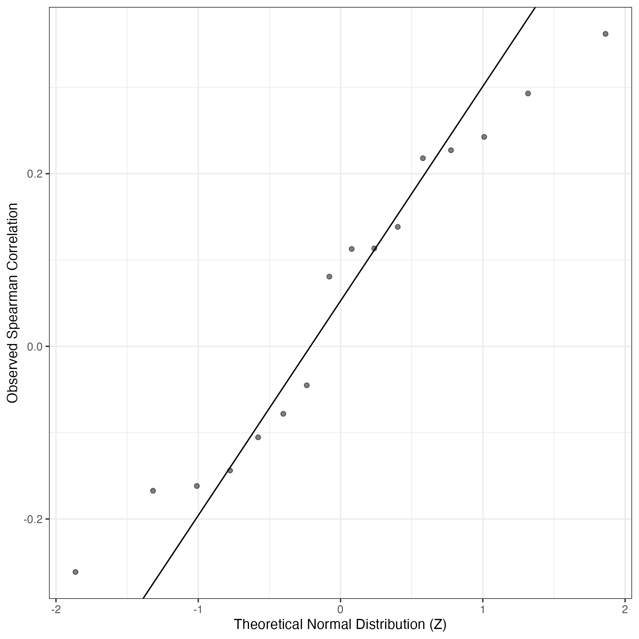
QQ-plot of gene loadings, averaged over both independent splits of the data
This plot highlights the relative contribution of each gene to the GEP
Top genes driving this program.
Note: Decartes website is buggy, try refreshing. Also, Decartes fetal adrenal data have been collected at specific time points (89-122 days), all possible cell types of interest may not be represented, do not overinterpret.
The Mean Count column shows the mean read count in cells scoring highly (H > 50) on this gene expression program.
Gene | Loading | Gene.Name | GTEx | DepMap | Descartes | Mean.Counts | Mean.Tpm | |
---|---|---|---|---|---|---|---|---|
1 | CDK2AP1 | 0.0282811 | cyclin dependent kinase 2 associated protein 1 | GTEx | DepMap | Descartes | 96.53 | 1485.34 |
2 | ARL6IP4 | 0.0275593 | ADP ribosylation factor like GTPase 6 interacting protein 4 | GTEx | DepMap | Descartes | 104.14 | 3426.00 |
3 | BCL7A | 0.0273656 | BAF chromatin remodeling complex subunit BCL7A | GTEx | DepMap | Descartes | 51.07 | 483.57 |
4 | CDK4 | 0.0269301 | cyclin dependent kinase 4 | GTEx | DepMap | Descartes | 91.05 | 2881.29 |
5 | DENR | 0.0268459 | density regulated re-initiation and release factor | GTEx | DepMap | Descartes | 57.57 | 1230.74 |
6 | YEATS4 | 0.0258043 | YEATS domain containing 4 | GTEx | DepMap | Descartes | 32.80 | 1291.91 |
7 | CNOT2 | 0.0253625 | CCR4-NOT transcription complex subunit 2 | GTEx | DepMap | Descartes | 34.70 | 432.01 |
8 | PSMD9 | 0.0248141 | proteasome 26S subunit, non-ATPase 9 | GTEx | DepMap | Descartes | 33.22 | 638.87 |
9 | ANAPC5 | 0.0238302 | anaphase promoting complex subunit 5 | GTEx | DepMap | Descartes | 40.80 | 391.20 |
10 | TSFM | 0.0233915 | Ts translation elongation factor, mitochondrial | GTEx | DepMap | Descartes | 27.45 | 637.41 |
11 | SBNO1 | 0.0228824 | strawberry notch homolog 1 | GTEx | DepMap | Descartes | 30.61 | 163.14 |
12 | RAP1B | 0.0211611 | RAP1B, member of RAS oncogene family | GTEx | DepMap | Descartes | 28.06 | 124.32 |
13 | KDM2B | 0.0210178 | lysine demethylase 2B | GTEx | DepMap | Descartes | 10.79 | 96.20 |
14 | NUP107 | 0.0204700 | nucleoporin 107 | GTEx | DepMap | Descartes | 19.06 | 180.47 |
15 | MPHOSPH9 | 0.0197640 | M-phase phosphoprotein 9 | GTEx | DepMap | Descartes | 19.32 | 176.96 |
16 | MLXIP | 0.0195200 | MLX interacting protein | GTEx | DepMap | Descartes | 12.92 | 89.24 |
17 | MDM2 | 0.0192079 | MDM2 proto-oncogene | GTEx | DepMap | Descartes | 19.18 | 90.24 |
18 | RSRC2 | 0.0176891 | arginine and serine rich coiled-coil 2 | GTEx | DepMap | Descartes | 32.19 | 556.05 |
19 | TMEM163 | 0.0174200 | transmembrane protein 163 | GTEx | DepMap | Descartes | 1.61 | 19.18 |
20 | RNF34 | 0.0170236 | ring finger protein 34 | GTEx | DepMap | Descartes | 11.41 | 329.45 |
21 | CAMKK2 | 0.0168976 | calcium/calmodulin dependent protein kinase kinase 2 | GTEx | DepMap | Descartes | 8.46 | 88.36 |
22 | DSC2 | 0.0164475 | desmocollin 2 | GTEx | DepMap | Descartes | 1.37 | 6.56 |
23 | SLC17A8 | 0.0163427 | solute carrier family 17 member 8 | GTEx | DepMap | Descartes | 1.33 | 20.62 |
24 | CDKN2A | 0.0163084 | cyclin dependent kinase inhibitor 2A | GTEx | DepMap | Descartes | 11.20 | 516.50 |
25 | CLIP1 | 0.0152948 | CAP-Gly domain containing linker protein 1 | GTEx | DepMap | Descartes | 9.28 | 93.60 |
26 | VPS33A | 0.0152336 | VPS33A core subunit of CORVET and HOPS complexes | GTEx | DepMap | Descartes | 8.64 | 112.09 |
27 | ZCCHC8 | 0.0151068 | zinc finger CCHC-type containing 8 | GTEx | DepMap | Descartes | 9.46 | 97.36 |
28 | CTDSP2 | 0.0145404 | CTD small phosphatase 2 | GTEx | DepMap | Descartes | 6.98 | 86.02 |
29 | VPS37B | 0.0137145 | VPS37B subunit of ESCRT-I | GTEx | DepMap | Descartes | 5.20 | 111.60 |
30 | KNTC1 | 0.0134514 | kinetochore associated 1 | GTEx | DepMap | Descartes | 10.19 | 86.52 |
31 | FRS2 | 0.0130392 | fibroblast growth factor receptor substrate 2 | GTEx | DepMap | Descartes | 5.73 | 51.27 |
32 | HOPX | 0.0129458 | HOP homeobox | GTEx | DepMap | Descartes | 1.91 | 34.22 |
33 | SLC35E3 | 0.0127512 | solute carrier family 35 member E3 | GTEx | DepMap | Descartes | 8.56 | 27.98 |
34 | SLC16A7 | 0.0124705 | solute carrier family 16 member 7 | GTEx | DepMap | Descartes | 5.22 | 25.41 |
35 | LUZP2 | 0.0122945 | leucine zipper protein 2 | GTEx | DepMap | Descartes | 1.24 | 14.79 |
36 | PITPNM2 | 0.0122931 | phosphatidylinositol transfer protein membrane associated 2 | GTEx | DepMap | Descartes | 1.39 | 12.04 |
37 | SYT6 | 0.0122708 | synaptotagmin 6 | GTEx | DepMap | Descartes | 0.98 | 13.11 |
38 | TSPAN31 | 0.0122196 | tetraspanin 31 | GTEx | DepMap | Descartes | 7.89 | 133.61 |
39 | SOX11 | 0.0120091 | SRY-box transcription factor 11 | GTEx | DepMap | Descartes | 20.92 | 136.92 |
40 | H3F3A | 0.0118135 | NA | GTEx | DepMap | Descartes | 170.89 | NA |
41 | CPM | 0.0114516 | carboxypeptidase M | GTEx | DepMap | Descartes | 0.78 | 6.99 |
42 | ERBB4 | 0.0109032 | erb-b2 receptor tyrosine kinase 4 | GTEx | DepMap | Descartes | 1.59 | 7.96 |
43 | SAMD11 | 0.0109018 | sterile alpha motif domain containing 11 | GTEx | DepMap | Descartes | 7.62 | 181.96 |
44 | POU4F1 | 0.0108938 | POU class 4 homeobox 1 | GTEx | DepMap | Descartes | 0.91 | 11.27 |
45 | HIP1R | 0.0108284 | huntingtin interacting protein 1 related | GTEx | DepMap | Descartes | 2.36 | 31.46 |
46 | METTL1 | 0.0106931 | methyltransferase 1, tRNA methylguanosine | GTEx | DepMap | Descartes | 5.04 | 216.75 |
47 | TXLNB | 0.0105677 | taxilin beta | GTEx | DepMap | Descartes | 0.33 | 4.28 |
48 | CPSF6 | 0.0101316 | cleavage and polyadenylation specific factor 6 | GTEx | DepMap | Descartes | 10.86 | 90.36 |
49 | RYR2 | 0.0098518 | ryanodine receptor 2 | GTEx | DepMap | Descartes | 2.65 | 9.40 |
50 | ENO1 | 0.0098257 | enolase 1 | GTEx | DepMap | Descartes | 46.19 | 1078.40 |
UMAP plots showing activity of gene expression program identified in community:6. NB Cell Line #6 (NGP)
CNV Data procured from inferCNV.
Outer tracks are putative CNV regions (gains = red, losses = blue) for each patient
Inner track is expression data representing:
The top cells expressing this GEP (purple)
Random cells (n =50) from the reference set used in inferCNV (orange)
Gene set Enrichments for this program, caculated from top 50 genes
mSigDB Cell Types Gene Set:
P-value | OR | Lower 95% CI | FDR | FWER | Genes Found | Gene Set Size | |
---|---|---|---|---|---|---|---|
HAY_BONE_MARROW_CD34_POS_PRE_PC | 1.28e-02 | 6.59 | 1.29 | 1.00e+00 | 1.00e+00 | 3MLXIP, MDM2, SLC35E3 |
124 |
DESCARTES_FETAL_EYE_GANGLION_CELLS | 1.61e-02 | 11.07 | 1.27 | 1.00e+00 | 1.00e+00 | 2TMEM163, POU4F1 |
49 |
FAN_EMBRYONIC_CTX_BIG_GROUPS_GLIAL | 1.54e-02 | 6.14 | 1.21 | 1.00e+00 | 1.00e+00 | 3HOPX, LUZP2, ENO1 |
133 |
FAN_EMBRYONIC_CTX_IN_3_INTERNEURON | 2.37e-02 | 50.83 | 1.06 | 1.00e+00 | 1.00e+00 | 1ERBB4 |
6 |
BUSSLINGER_ESOPHAGEAL_PROLIFERATING_BASAL_CELLS | 3.13e-02 | 7.66 | 0.88 | 1.00e+00 | 1.00e+00 | 2HOPX, ENO1 |
70 |
TRAVAGLINI_LUNG_PROLIFERATING_BASAL_CELL | 4.55e-02 | 2.30 | 0.87 | 1.00e+00 | 1.00e+00 | 7CDK2AP1, CDK4, YEATS4, CNOT2, ANAPC5, RAP1B, ENO1 |
891 |
TRAVAGLINI_LUNG_SIGNALING_ALVEOLAR_EPITHELIAL_TYPE_2_CELL | 3.21e-02 | 7.55 | 0.87 | 1.00e+00 | 1.00e+00 | 2HOPX, CPM |
71 |
GAO_ESOPHAGUS_25W_C2_KRT6BPOS_SECRETORY_PROGENITOR_CELLS | 3.72e-02 | 6.94 | 0.80 | 1.00e+00 | 1.00e+00 | 2CDKN2A, HOPX |
77 |
ZHONG_PFC_C3_HOPX_POS_OPC | 3.14e-02 | 36.29 | 0.79 | 1.00e+00 | 1.00e+00 | 1HOPX |
8 |
DURANTE_ADULT_OLFACTORY_NEUROEPITHELIUM_NK_CELLS | 4.36e-02 | 6.35 | 0.74 | 1.00e+00 | 1.00e+00 | 2RAP1B, HOPX |
84 |
RUBENSTEIN_SKELETAL_MUSCLE_NK_CELLS | 5.84e-02 | 3.58 | 0.71 | 1.00e+00 | 1.00e+00 | 3RAP1B, HOPX, ENO1 |
226 |
MANNO_MIDBRAIN_NEUROTYPES_HGABA | 1.21e-01 | 1.85 | 0.70 | 1.00e+00 | 1.00e+00 | 7KDM2B, TMEM163, CLIP1, SYT6, SOX11, SAMD11, RYR2 |
1105 |
TRAVAGLINI_LUNG_PROXIMAL_CILIATED_CELL | 2.77e-01 | 1.56 | 0.67 | 1.00e+00 | 1.00e+00 | 9ARL6IP4, PSMD9, ANAPC5, SBNO1, MLXIP, MDM2, CLIP1, ERBB4, TXLNB |
1770 |
BUSSLINGER_GASTRIC_IMMUNE_CELLS | 2.44e-01 | 1.61 | 0.65 | 1.00e+00 | 1.00e+00 | 8CNOT2, SBNO1, RAP1B, RSRC2, CLIP1, HOPX, SLC16A7, ENO1 |
1490 |
ZHENG_CORD_BLOOD_C7_PUTATIVE_LYMPHOID_PRIMED_MULTIPOTENT_PROGENITOR_1 | 5.42e-02 | 5.60 | 0.65 | 1.00e+00 | 1.00e+00 | 2BCL7A, ENO1 |
95 |
FAN_OVARY_CL4_T_LYMPHOCYTE_NK_CELL_1 | 7.12e-02 | 3.28 | 0.65 | 1.00e+00 | 1.00e+00 | 3RAP1B, HOPX, ENO1 |
246 |
ZHENG_CORD_BLOOD_C8_PUTATIVE_LYMPHOID_PRIMED_MULTIPOTENT_PROGENITOR_2 | 5.62e-02 | 5.48 | 0.64 | 1.00e+00 | 1.00e+00 | 2HOPX, ENO1 |
97 |
MURARO_PANCREAS_MESENCHYMAL_STROMAL_CELL | 1.13e-01 | 2.06 | 0.64 | 1.00e+00 | 1.00e+00 | 5CDK2AP1, CDK4, RAP1B, CTDSP2, ENO1 |
680 |
FAN_EMBRYONIC_CTX_IN_4_INTERNEURON | 3.91e-02 | 28.30 | 0.63 | 1.00e+00 | 1.00e+00 | 1ERBB4 |
10 |
MENON_FETAL_KIDNEY_7_LOOPOF_HENLE_CELLS_DISTAL | 9.24e-02 | 2.92 | 0.58 | 1.00e+00 | 1.00e+00 | 3CPM, ERBB4, ENO1 |
276 |
Dowload full table
mSigDB Hallmark Gene Sets:
P-value | OR | Lower 95% CI | FDR | FWER | Genes Found | Gene Set Size | |
---|---|---|---|---|---|---|---|
HALLMARK_E2F_TARGETS | 4.35e-02 | 4.05 | 0.80 | 1.00e+00 | 1.00e+00 | 3CDK4, NUP107, CDKN2A |
200 |
HALLMARK_MITOTIC_SPINDLE | 1.83e-01 | 2.64 | 0.31 | 1.00e+00 | 1.00e+00 | 2CLIP1, KNTC1 |
199 |
HALLMARK_GLYCOLYSIS | 1.85e-01 | 2.63 | 0.31 | 1.00e+00 | 1.00e+00 | 2DSC2, ENO1 |
200 |
HALLMARK_P53_PATHWAY | 1.85e-01 | 2.63 | 0.31 | 1.00e+00 | 1.00e+00 | 2MDM2, CDKN2A |
200 |
HALLMARK_KRAS_SIGNALING_DN | 1.85e-01 | 2.63 | 0.31 | 1.00e+00 | 1.00e+00 | 2SLC16A7, RYR2 |
200 |
HALLMARK_MYC_TARGETS_V2 | 2.06e-01 | 4.47 | 0.11 | 1.00e+00 | 1.00e+00 | 1CDK4 |
58 |
HALLMARK_ANDROGEN_RESPONSE | 3.28e-01 | 2.58 | 0.06 | 1.00e+00 | 1.00e+00 | 1CAMKK2 |
100 |
HALLMARK_PI3K_AKT_MTOR_SIGNALING | 3.41e-01 | 2.45 | 0.06 | 1.00e+00 | 1.00e+00 | 1CDK4 |
105 |
HALLMARK_UNFOLDED_PROTEIN_RESPONSE | 3.62e-01 | 2.28 | 0.06 | 1.00e+00 | 1.00e+00 | 1CNOT2 |
113 |
HALLMARK_DNA_REPAIR | 4.49e-01 | 1.71 | 0.04 | 1.00e+00 | 1.00e+00 | 1VPS37B |
150 |
HALLMARK_IL2_STAT5_SIGNALING | 5.45e-01 | 1.29 | 0.03 | 1.00e+00 | 1.00e+00 | 1HOPX |
199 |
HALLMARK_HYPOXIA | 5.47e-01 | 1.28 | 0.03 | 1.00e+00 | 1.00e+00 | 1ENO1 |
200 |
HALLMARK_G2M_CHECKPOINT | 5.47e-01 | 1.28 | 0.03 | 1.00e+00 | 1.00e+00 | 1CDK4 |
200 |
HALLMARK_COMPLEMENT | 5.47e-01 | 1.28 | 0.03 | 1.00e+00 | 1.00e+00 | 1CPM |
200 |
HALLMARK_MTORC1_SIGNALING | 5.47e-01 | 1.28 | 0.03 | 1.00e+00 | 1.00e+00 | 1ENO1 |
200 |
HALLMARK_MYC_TARGETS_V1 | 5.47e-01 | 1.28 | 0.03 | 1.00e+00 | 1.00e+00 | 1CDK4 |
200 |
HALLMARK_HEME_METABOLISM | 5.47e-01 | 1.28 | 0.03 | 1.00e+00 | 1.00e+00 | 1PSMD9 |
200 |
HALLMARK_ALLOGRAFT_REJECTION | 5.47e-01 | 1.28 | 0.03 | 1.00e+00 | 1.00e+00 | 1CDKN2A |
200 |
HALLMARK_TNFA_SIGNALING_VIA_NFKB | 1.00e+00 | 0.00 | 0.00 | 1.00e+00 | 1.00e+00 | 0 |
200 |
HALLMARK_CHOLESTEROL_HOMEOSTASIS | 1.00e+00 | 0.00 | 0.00 | 1.00e+00 | 1.00e+00 | 0 |
74 |
Dowload full table
KEGG Pathways:
P-value | OR | Lower 95% CI | FDR | FWER | Genes Found | Gene Set Size | |
---|---|---|---|---|---|---|---|
KEGG_BLADDER_CANCER | 6.07e-04 | 20.43 | 3.90 | 9.28e-02 | 1.13e-01 | 3CDK4, MDM2, CDKN2A |
42 |
KEGG_GLIOMA | 2.15e-03 | 12.86 | 2.49 | 9.28e-02 | 4.01e-01 | 3CDK4, MDM2, CDKN2A |
65 |
KEGG_P53_SIGNALING_PATHWAY | 2.45e-03 | 12.27 | 2.38 | 9.28e-02 | 4.55e-01 | 3CDK4, MDM2, CDKN2A |
68 |
KEGG_CELL_CYCLE | 1.46e-03 | 8.98 | 2.31 | 9.28e-02 | 2.72e-01 | 4CDK4, ANAPC5, MDM2, CDKN2A |
125 |
KEGG_MELANOMA | 2.77e-03 | 11.73 | 2.28 | 9.28e-02 | 5.15e-01 | 3CDK4, MDM2, CDKN2A |
71 |
KEGG_CHRONIC_MYELOID_LEUKEMIA | 2.99e-03 | 11.39 | 2.22 | 9.28e-02 | 5.57e-01 | 3CDK4, MDM2, CDKN2A |
73 |
KEGG_NON_SMALL_CELL_LUNG_CANCER | 1.94e-02 | 10.01 | 1.15 | 5.14e-01 | 1.00e+00 | 2CDK4, CDKN2A |
54 |
KEGG_RNA_DEGRADATION | 2.28e-02 | 9.13 | 1.05 | 5.31e-01 | 1.00e+00 | 2CNOT2, ENO1 |
59 |
KEGG_ENDOCYTOSIS | 3.40e-02 | 4.48 | 0.88 | 5.86e-01 | 1.00e+00 | 3MDM2, VPS37B, ERBB4 |
181 |
KEGG_PANCREATIC_CANCER | 3.13e-02 | 7.66 | 0.88 | 5.86e-01 | 1.00e+00 | 2CDK4, CDKN2A |
70 |
KEGG_ARRHYTHMOGENIC_RIGHT_VENTRICULAR_CARDIOMYOPATHY_ARVC | 3.47e-02 | 7.23 | 0.84 | 5.86e-01 | 1.00e+00 | 2DSC2, RYR2 |
74 |
KEGG_PATHWAYS_IN_CANCER | 1.32e-01 | 2.48 | 0.49 | 1.00e+00 | 1.00e+00 | 3CDK4, MDM2, CDKN2A |
325 |
KEGG_NEUROTROPHIN_SIGNALING_PATHWAY | 8.82e-02 | 4.20 | 0.49 | 1.00e+00 | 1.00e+00 | 2RAP1B, FRS2 |
126 |
KEGG_UBIQUITIN_MEDIATED_PROTEOLYSIS | 9.90e-02 | 3.92 | 0.46 | 1.00e+00 | 1.00e+00 | 2ANAPC5, MDM2 |
135 |
KEGG_CALCIUM_SIGNALING_PATHWAY | 1.55e-01 | 2.96 | 0.35 | 1.00e+00 | 1.00e+00 | 2ERBB4, RYR2 |
178 |
KEGG_GLYCOLYSIS_GLUCONEOGENESIS | 2.19e-01 | 4.18 | 0.10 | 1.00e+00 | 1.00e+00 | 1ENO1 |
62 |
KEGG_ADIPOCYTOKINE_SIGNALING_PATHWAY | 2.34e-01 | 3.86 | 0.09 | 1.00e+00 | 1.00e+00 | 1CAMKK2 |
67 |
KEGG_LONG_TERM_POTENTIATION | 2.43e-01 | 3.70 | 0.09 | 1.00e+00 | 1.00e+00 | 1RAP1B |
70 |
KEGG_RENAL_CELL_CARCINOMA | 2.43e-01 | 3.70 | 0.09 | 1.00e+00 | 1.00e+00 | 1RAP1B |
70 |
KEGG_CARDIAC_MUSCLE_CONTRACTION | 2.70e-01 | 3.27 | 0.08 | 1.00e+00 | 1.00e+00 | 1RYR2 |
79 |
Dowload full table
CHR Positional Gene Sets:
P-value | OR | Lower 95% CI | FDR | FWER | Genes Found | Gene Set Size | |
---|---|---|---|---|---|---|---|
chr12q15 | 6.31e-13 | 59.50 | 24.01 | 8.77e-11 | 1.75e-10 | 9YEATS4, CNOT2, RAP1B, NUP107, MDM2, FRS2, SLC35E3, CPM, CPSF6 |
55 |
chr12q24 | 4.87e-18 | 22.53 | 12.01 | 1.35e-15 | 1.35e-15 | 20CDK2AP1, ARL6IP4, BCL7A, DENR, PSMD9, ANAPC5, SBNO1, KDM2B, MPHOSPH9, MLXIP, RSRC2, RNF34, CAMKK2, CLIP1, VPS33A, ZCCHC8, VPS37B, KNTC1, PITPNM2, HIP1R |
390 |
chr12q14 | 3.34e-06 | 17.21 | 5.86 | 3.10e-04 | 9.29e-04 | 6CDK4, TSFM, CTDSP2, SLC16A7, TSPAN31, METTL1 |
105 |
chr2q34 | 1.64e-01 | 5.80 | 0.14 | 1.00e+00 | 1.00e+00 | 1ERBB4 |
45 |
chr11p14 | 2.00e-01 | 4.64 | 0.11 | 1.00e+00 | 1.00e+00 | 1LUZP2 |
56 |
chr1q43 | 2.13e-01 | 4.32 | 0.11 | 1.00e+00 | 1.00e+00 | 1RYR2 |
60 |
chr1p36 | 1.00e+00 | 0.80 | 0.09 | 1.00e+00 | 1.00e+00 | 2SAMD11, ENO1 |
656 |
chr6q24 | 2.49e-01 | 3.59 | 0.09 | 1.00e+00 | 1.00e+00 | 1TXLNB |
72 |
chr4q12 | 2.70e-01 | 3.27 | 0.08 | 1.00e+00 | 1.00e+00 | 1HOPX |
79 |
chr18q12 | 3.17e-01 | 2.68 | 0.07 | 1.00e+00 | 1.00e+00 | 1DSC2 |
96 |
chr13q31 | 3.20e-01 | 2.66 | 0.07 | 1.00e+00 | 1.00e+00 | 1POU4F1 |
97 |
chr2p25 | 3.72e-01 | 2.20 | 0.05 | 1.00e+00 | 1.00e+00 | 1SOX11 |
117 |
chr12q23 | 4.38e-01 | 1.77 | 0.04 | 1.00e+00 | 1.00e+00 | 1SLC17A8 |
145 |
chr2q21 | 4.40e-01 | 1.76 | 0.04 | 1.00e+00 | 1.00e+00 | 1TMEM163 |
146 |
chr1p13 | 5.56e-01 | 1.25 | 0.03 | 1.00e+00 | 1.00e+00 | 1SYT6 |
205 |
chr1p12 | 1.00e+00 | 0.00 | 0.00 | 1.00e+00 | 1.00e+00 | 0 |
49 |
chr1p21 | 1.00e+00 | 0.00 | 0.00 | 1.00e+00 | 1.00e+00 | 0 |
99 |
chr1p22 | 1.00e+00 | 0.00 | 0.00 | 1.00e+00 | 1.00e+00 | 0 |
129 |
chr1p31 | 1.00e+00 | 0.00 | 0.00 | 1.00e+00 | 1.00e+00 | 0 |
217 |
chr1p32 | 1.00e+00 | 0.00 | 0.00 | 1.00e+00 | 1.00e+00 | 0 |
152 |
Dowload full table
Transcription Factor Targets:
P-value | OR | Lower 95% CI | FDR | FWER | Genes Found | Gene Set Size | |
---|---|---|---|---|---|---|---|
ZSCAN5C_TARGET_GENES | 2.63e-03 | 7.60 | 1.96 | 1.00e+00 | 1.00e+00 | 4CDK2AP1, CNOT2, CLIP1, PITPNM2 |
147 |
DNMT1_TARGET_GENES | 5.47e-03 | 6.14 | 1.59 | 1.00e+00 | 1.00e+00 | 4CDK4, CNOT2, MDM2, PITPNM2 |
181 |
ZNF169_TARGET_GENES | 1.43e-02 | 11.83 | 1.35 | 1.00e+00 | 1.00e+00 | 2BCL7A, TXLNB |
46 |
ZBTB49_TARGET_GENES | 1.98e-02 | 63.54 | 1.27 | 1.00e+00 | 1.00e+00 | 1PSMD9 |
5 |
PITX1_TARGET_GENES | 1.05e-02 | 4.09 | 1.26 | 1.00e+00 | 1.00e+00 | 5YEATS4, PSMD9, ANAPC5, RNF34, SLC35E3 |
345 |
RFX7_TARGET_GENES | 1.17e-02 | 3.45 | 1.20 | 1.00e+00 | 1.00e+00 | 6YEATS4, CNOT2, RSRC2, CDKN2A, VPS33A, KNTC1 |
500 |
CACBINDINGPROTEIN_Q6 | 1.54e-02 | 4.49 | 1.17 | 1.00e+00 | 1.00e+00 | 4BCL7A, RSRC2, KNTC1, SYT6 |
246 |
E2F1_Q4 | 1.60e-02 | 4.44 | 1.15 | 1.00e+00 | 1.00e+00 | 4CDK2AP1, RSRC2, ZCCHC8, KNTC1 |
249 |
FOXP2_TARGET_GENES | 1.88e-02 | 2.29 | 1.12 | 1.00e+00 | 1.00e+00 | 13CDK2AP1, BCL7A, CNOT2, TSFM, KDM2B, MDM2, CDKN2A, CLIP1, CTDSP2, VPS37B, SLC16A7, SAMD11, CPSF6 |
1931 |
PGM3_TARGET_GENES | 2.05e-02 | 4.10 | 1.06 | 1.00e+00 | 1.00e+00 | 4CDK2AP1, ANAPC5, RNF34, SAMD11 |
269 |
FOXG1_TARGET_GENES | 2.33e-02 | 2.93 | 1.02 | 1.00e+00 | 1.00e+00 | 6DENR, MPHOSPH9, MDM2, CLIP1, TSPAN31, ENO1 |
587 |
JDP2_TARGET_GENES | 3.28e-02 | 2.10 | 1.00 | 1.00e+00 | 1.00e+00 | 12CDK4, DENR, YEATS4, ANAPC5, SBNO1, NUP107, MPHOSPH9, MLXIP, RSRC2, KNTC1, TSPAN31, ENO1 |
1891 |
RGAANNTTC_HSF1_01 | 3.06e-02 | 3.07 | 0.95 | 1.00e+00 | 1.00e+00 | 5RSRC2, CAMKK2, KNTC1, TSPAN31, HIP1R |
458 |
RAG1_TARGET_GENES | 5.39e-02 | 2.29 | 0.93 | 1.00e+00 | 1.00e+00 | 8ARL6IP4, PSMD9, ANAPC5, TSFM, MPHOSPH9, MDM2, RNF34, VPS33A |
1046 |
NFE2L1_TARGET_GENES | 8.69e-02 | 1.89 | 0.87 | 1.00e+00 | 1.00e+00 | 11DENR, PSMD9, TSFM, SBNO1, NUP107, RSRC2, CDKN2A, CLIP1, KNTC1, METTL1, ENO1 |
1875 |
TFEB_TARGET_GENES | 9.04e-02 | 1.99 | 0.85 | 1.00e+00 | 1.00e+00 | 9CDK4, PSMD9, SBNO1, MDM2, CLIP1, VPS33A, VPS37B, SLC35E3, SLC16A7 |
1387 |
CREB3L4_TARGET_GENES | 9.35e-02 | 1.95 | 0.83 | 1.00e+00 | 1.00e+00 | 9CDK4, DENR, YEATS4, KDM2B, MPHOSPH9, CLIP1, ZCCHC8, SLC35E3, ENO1 |
1418 |
GCM2_TARGET_GENES | 9.61e-02 | 1.79 | 0.83 | 1.00e+00 | 1.00e+00 | 11CDK4, DENR, ANAPC5, SBNO1, MDM2, RSRC2, CLIP1, KNTC1, SLC16A7, CPM, ERBB4 |
1980 |
SETD1A_TARGET_GENES | 9.46e-02 | 1.93 | 0.83 | 1.00e+00 | 1.00e+00 | 9DENR, CNOT2, PSMD9, ANAPC5, TSFM, SBNO1, NUP107, VPS33A, TSPAN31 |
1428 |
TBX3_TARGET_GENES | 4.66e-02 | 3.13 | 0.81 | 1.00e+00 | 1.00e+00 | 4CDK4, PSMD9, ANAPC5, VPS33A |
351 |
Dowload full table
GO Biological Processes:
P-value | OR | Lower 95% CI | FDR | FWER | Genes Found | Gene Set Size | |
---|---|---|---|---|---|---|---|
GOBP_EMBRYONIC_CAMERA_TYPE_EYE_MORPHOGENESIS | 1.13e-04 | 37.87 | 7.01 | 3.07e-01 | 8.45e-01 | 3KDM2B, FRS2, SOX11 |
24 |
GOBP_EMBRYONIC_CAMERA_TYPE_EYE_FORMATION | 8.35e-04 | 57.69 | 5.91 | 5.57e-01 | 1.00e+00 | 2FRS2, SOX11 |
11 |
GOBP_REGULATION_OF_VENTRICULAR_CARDIAC_MUSCLE_CELL_ACTION_POTENTIAL | 9.99e-04 | 51.89 | 5.39 | 5.57e-01 | 1.00e+00 | 2DSC2, RYR2 |
12 |
GOBP_EMBRYONIC_EYE_MORPHOGENESIS | 2.70e-04 | 27.48 | 5.18 | 3.69e-01 | 1.00e+00 | 3KDM2B, FRS2, SOX11 |
32 |
GOBP_EMBRYONIC_CAMERA_TYPE_EYE_DEVELOPMENT | 2.96e-04 | 26.56 | 5.01 | 3.69e-01 | 1.00e+00 | 3KDM2B, FRS2, SOX11 |
33 |
GOBP_TROPHECTODERMAL_CELL_DIFFERENTIATION | 1.80e-03 | 37.11 | 3.99 | 8.68e-01 | 1.00e+00 | 2CNOT2, HOPX |
16 |
GOBP_NEGATIVE_REGULATION_OF_CELL_CYCLE_G1_S_PHASE_TRANSITION | 1.23e-04 | 11.67 | 3.55 | 3.07e-01 | 9.22e-01 | 5CDK4, CNOT2, MDM2, CDKN2A, CTDSP2 |
124 |
GOBP_NEGATIVE_REGULATION_OF_CELL_CYCLE_PHASE_TRANSITION | 7.48e-05 | 7.80 | 2.93 | 3.07e-01 | 5.60e-01 | 7CDK4, CNOT2, PSMD9, MDM2, CDKN2A, CTDSP2, KNTC1 |
268 |
GOBP_NEGATIVE_REGULATION_OF_CELL_CYCLE_ARREST | 3.72e-03 | 24.78 | 2.74 | 1.00e+00 | 1.00e+00 | 2CDK4, MDM2 |
23 |
GOBP_REGULATION_OF_CELL_CYCLE_ARREST | 8.54e-04 | 10.45 | 2.68 | 5.57e-01 | 1.00e+00 | 4CDK4, CNOT2, MDM2, POU4F1 |
108 |
GOBP_CARDIAC_VENTRICLE_DEVELOPMENT | 1.04e-03 | 9.88 | 2.54 | 5.57e-01 | 1.00e+00 | 4FRS2, SOX11, POU4F1, RYR2 |
114 |
GOBP_NEGATIVE_REGULATION_OF_MITOTIC_CELL_CYCLE | 2.24e-04 | 6.48 | 2.44 | 3.69e-01 | 1.00e+00 | 7CDK4, CNOT2, PSMD9, MDM2, CDKN2A, CTDSP2, KNTC1 |
321 |
GOBP_CARDIAC_VENTRICLE_MORPHOGENESIS | 2.55e-03 | 12.08 | 2.35 | 9.80e-01 | 1.00e+00 | 3SOX11, POU4F1, RYR2 |
69 |
GOBP_REGULATION_OF_CARDIAC_MUSCLE_CELL_ACTION_POTENTIAL | 5.10e-03 | 20.80 | 2.32 | 1.00e+00 | 1.00e+00 | 2DSC2, RYR2 |
27 |
GOBP_REGULATION_OF_CELL_CYCLE_G1_S_PHASE_TRANSITION | 9.66e-04 | 7.31 | 2.24 | 5.57e-01 | 1.00e+00 | 5CDK4, CNOT2, MDM2, CDKN2A, CTDSP2 |
195 |
GOBP_NEGATIVE_REGULATION_OF_CELL_CYCLE_PROCESS | 4.33e-04 | 5.78 | 2.18 | 4.05e-01 | 1.00e+00 | 7CDK4, CNOT2, PSMD9, MDM2, CDKN2A, CTDSP2, KNTC1 |
359 |
GOBP_SIGNAL_TRANSDUCTION_INVOLVED_IN_CELL_CYCLE_CHECKPOINT | 3.35e-03 | 10.92 | 2.13 | 1.00e+00 | 1.00e+00 | 3CNOT2, MDM2, SOX11 |
76 |
GOBP_LENS_DEVELOPMENT_IN_CAMERA_TYPE_EYE | 3.48e-03 | 10.78 | 2.10 | 1.00e+00 | 1.00e+00 | 3CDK4, FRS2, SOX11 |
77 |
GOBP_REGULATION_OF_CELL_CYCLE_PHASE_TRANSITION | 4.28e-04 | 5.07 | 2.04 | 4.05e-01 | 1.00e+00 | 8CDK4, CNOT2, PSMD9, ANAPC5, MDM2, CDKN2A, CTDSP2, KNTC1 |
478 |
GOBP_NEGATIVE_REGULATION_OF_SIGNAL_TRANSDUCTION_BY_P53_CLASS_MEDIATOR | 6.69e-03 | 17.94 | 2.02 | 1.00e+00 | 1.00e+00 | 2MDM2, RNF34 |
31 |
Dowload full table
Immunological Gene Sets:
P-value | OR | Lower 95% CI | FDR | FWER | Genes Found | Gene Set Size | |
---|---|---|---|---|---|---|---|
GSE40225_WT_VS_RIP_B7X_DIABETIC_MOUSE_PANCREATIC_CD8_TCELL_DN | 1.24e-04 | 8.78 | 3.02 | 6.03e-01 | 6.03e-01 | 6PSMD9, MDM2, CAMKK2, KNTC1, METTL1, ENO1 |
200 |
GSE2770_IL12_VS_IL4_TREATED_ACT_CD4_TCELL_48H_DN | 1.06e-03 | 7.16 | 2.19 | 6.57e-01 | 1.00e+00 | 5SBNO1, RAP1B, KDM2B, VPS33A, PITPNM2 |
199 |
GSE14699_NAIVE_VS_ACT_CD8_TCELL_UP | 1.06e-03 | 7.16 | 2.19 | 6.57e-01 | 1.00e+00 | 5KDM2B, RNF34, HOPX, TSPAN31, METTL1 |
199 |
GSE17721_PAM3CSK4_VS_CPG_8H_BMDC_DN | 1.08e-03 | 7.12 | 2.18 | 6.57e-01 | 1.00e+00 | 5RAP1B, MLXIP, MDM2, RNF34, CDKN2A |
200 |
GSE24972_WT_VS_IRF8_KO_SPLEEN_FOLLICULAR_BCELL_DN | 1.08e-03 | 7.12 | 2.18 | 6.57e-01 | 1.00e+00 | 5KDM2B, NUP107, MDM2, KNTC1, ENO1 |
200 |
GSE28726_ACT_CD4_TCELL_VS_ACT_VA24NEG_NKTCELL_UP | 1.08e-03 | 7.12 | 2.18 | 6.57e-01 | 1.00e+00 | 5CDK2AP1, CDK4, SLC16A7, METTL1, ENO1 |
200 |
GSE28726_NAIVE_VS_ACTIVATED_VA24NEG_NKTCELL_UP | 1.08e-03 | 7.12 | 2.18 | 6.57e-01 | 1.00e+00 | 5CDK2AP1, CDK4, CAMKK2, HOPX, ENO1 |
200 |
GSE41867_DAY8_EFFECTOR_VS_DAY30_MEMORY_CD8_TCELL_LCMV_ARMSTRONG_DN | 1.08e-03 | 7.12 | 2.18 | 6.57e-01 | 1.00e+00 | 5BCL7A, DENR, VPS33A, VPS37B, HIP1R |
200 |
GSE40274_FOXP3_VS_FOXP3_AND_HELIOS_TRANSDUCED_ACTIVATED_CD4_TCELL_DN | 2.38e-03 | 7.82 | 2.02 | 9.63e-01 | 1.00e+00 | 4ARL6IP4, MPHOSPH9, RSRC2, CPSF6 |
143 |
GSE40274_CTRL_VS_EOS_TRANSDUCED_ACTIVATED_CD4_TCELL_UP | 4.96e-03 | 6.32 | 1.63 | 9.63e-01 | 1.00e+00 | 4CDK2AP1, ARL6IP4, RAP1B, KNTC1 |
176 |
GSE11864_CSF1_PAM3CYS_VS_CSF1_IFNG_PAM3CYS_IN_MAC_UP | 7.07e-03 | 5.69 | 1.47 | 9.63e-01 | 1.00e+00 | 4CDK2AP1, BCL7A, DENR, DSC2 |
195 |
GSE12366_GC_BCELL_VS_PLASMA_CELL_UP | 7.20e-03 | 5.66 | 1.47 | 9.63e-01 | 1.00e+00 | 4KDM2B, CTDSP2, CPM, ENO1 |
196 |
GSE22611_NOD2_TRANSD_VS_CTRL_TRANSD_HEK293_MDP_STIM_6H_UP | 7.32e-03 | 5.63 | 1.46 | 9.63e-01 | 1.00e+00 | 4SBNO1, RAP1B, SOX11, METTL1 |
197 |
GSE36888_STAT5_AB_KNOCKIN_VS_WT_TCELL_IL2_TREATED_17H_DN | 7.32e-03 | 5.63 | 1.46 | 9.63e-01 | 1.00e+00 | 4MDM2, CLIP1, VPS37B, FRS2 |
197 |
GSE22886_NAIVE_BCELL_VS_DC_UP | 7.45e-03 | 5.60 | 1.45 | 9.63e-01 | 1.00e+00 | 4BCL7A, SBNO1, HOPX, SLC16A7 |
198 |
GSE20727_CTRL_VS_ROS_INHIBITOR_TREATED_DC_UP | 7.45e-03 | 5.60 | 1.45 | 9.63e-01 | 1.00e+00 | 4CDK4, PSMD9, TSFM, CDKN2A |
198 |
GSE557_WT_VS_CIITA_KO_DC_DN | 7.58e-03 | 5.57 | 1.44 | 9.63e-01 | 1.00e+00 | 4RAP1B, RSRC2, VPS37B, CPM |
199 |
GSE8621_UNSTIM_VS_LPS_STIM_MACROPHAGE_DN | 7.58e-03 | 5.57 | 1.44 | 9.63e-01 | 1.00e+00 | 4MPHOSPH9, HOPX, PITPNM2, CPM |
199 |
GSE22432_CONVENTIONAL_CDC_VS_PLASMACYTOID_PDC_UP | 7.58e-03 | 5.57 | 1.44 | 9.63e-01 | 1.00e+00 | 4YEATS4, TSFM, KNTC1, METTL1 |
199 |
GSE32986_GMCSF_AND_CURDLAN_LOWDOSE_VS_GMCSF_AND_CURDLAN_HIGHDOSE_STIM_DC_UP | 7.58e-03 | 5.57 | 1.44 | 9.63e-01 | 1.00e+00 | 4YEATS4, MPHOSPH9, ZCCHC8, SLC16A7 |
199 |
Top Ranked Transcription Factors for this Gene Expression Program:
Gene Symbol | TF Rank | DNA Binding Domain | Motif Status | IUPAC PWM | GTEx | DepMap | Decartes |
---|---|---|---|---|---|---|---|
YEATS4 | 6 | No | Unlikely to be sequence specific TF | Not a DNA binding protein | No motif | None | Lacks a DBD and the study cited by GO annotation (PMID: 9302258) doesnt have experimental evidence for DNA-binding |
KDM2B | 13 | Yes | Known motif | Monomer or homomultimer | High-throughput in vitro | None | None |
MLXIP | 16 | Yes | Inferred motif | Obligate heteromer | High-throughput in vitro | None | None |
MDM2 | 17 | No | ssDNA/RNA binding | Not a DNA binding protein | No motif | None | None |
CDKN2A | 24 | No | Unlikely to be sequence specific TF | Not a DNA binding protein | No motif | None | Protein binds to and inactivates NFKB1 (PMID: 10353611) |
KNTC1 | 30 | No | Unlikely to be sequence specific TF | Not a DNA binding protein | No motif | None | Rod_C domain localizes to kinetochores but has not been shown to be DNA-binding |
HOPX | 32 | No | Unlikely to be sequence specific TF | Not a DNA binding protein | No motif | None | Lacks conserved residues required for DNA binding (PMID: 24287901) |
SOX11 | 39 | Yes | Known motif | Monomer or homomultimer | 100 perc ID - in vitro | None | None |
POU4F1 | 44 | Yes | Known motif | Monomer or homomultimer | High-throughput in vitro | None | None |
ENO1 | 50 | No | Unlikely to be sequence specific TF | Not a DNA binding protein | No motif | Only known motifs are from Transfac or HocoMoco - origin is uncertain | Enolase - DNA binding not shown to be direct |
PAX6 | 61 | Yes | Known motif | Monomer or homomultimer | High-throughput in vitro | None | None |
TBX1 | 65 | Yes | Known motif | Monomer or homomultimer | High-throughput in vitro | None | None |
THRB | 70 | Yes | Known motif | Monomer or homomultimer | High-throughput in vitro | None | None |
GATA6 | 71 | Yes | Known motif | Monomer or homomultimer | High-throughput in vitro | None | None |
CYP1B1 | 73 | No | Unlikely to be sequence specific TF | Not a DNA binding protein | No motif | None | None |
SMARCA4 | 79 | No | Unlikely to be sequence specific TF | Not a DNA binding protein | No motif | Has a putative AT-hook | (PMID: 24752179) shows via ChIP that it has DNA mediated regulatory activity, but unknown if this is direct or indirect binding. No clear DBD present in the protein. |
SMARCE1 | 85 | No | Unlikely to be sequence specific TF | Low specificity DNA-binding protein | No motif | None | In the alignment, it clusters with other HMG proteins that have not yielded motifs. Contributes to SWI/SNF DNA-binding (PMID: 9435219). |
TLE1 | 88 | No | Unlikely to be sequence specific TF | Not a DNA binding protein | No motif | None | Transcriptional co-factor |
HNRNPAB | 89 | No | ssDNA/RNA binding | Not a DNA binding protein | No motif | None | HNRNPAB proteins are involved in pre-mRNA splicing. However; RRM domains can also constitute ssDNA binding domains |
PITX1 | 93 | Yes | Known motif | Monomer or homomultimer | High-throughput in vitro | None | None |
QQ Plot showing correlations with other Gene Expression Programs in this dataset, calculated by Spearman correlation:
Interactive QQ-plot of gene loadings:
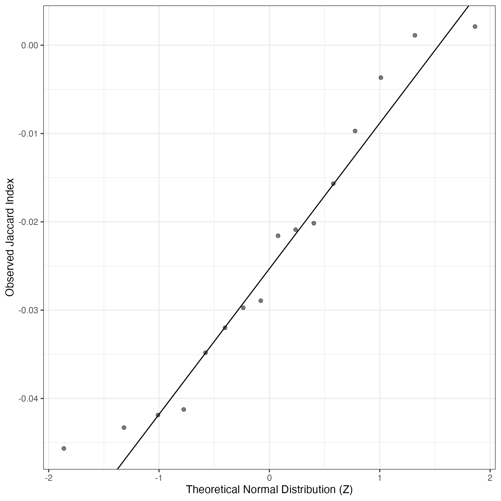
A similar QQ-plot as above, but only for instances where the H value is e.g. > 25, i.e. we are confident that the expression program is active above noise. Agreemenet between these binary vectors is tested using the Jaccard Index, with the P-values calculated by an exact test:
Interactive QQ-plot:
Singler cell type annotations for the top 50 cells on this program.
Cell ID | Singler label | Singler Delta | Activity Score | Top Singler Raw Scores |
---|---|---|---|---|
NGP_TGCAGATGTAGCTGCC-1 | Neurons | 0.32 | 494.78 | Raw ScoresNeurons:adrenal_medulla_cell_line: 0.64, Neuroepithelial_cell:ESC-derived: 0.58, iPS_cells:PDB_1lox-21Puro-20: 0.55, iPS_cells:PDB_1lox-21Puro-26: 0.54, iPS_cells:PDB_1lox-17Puro-10: 0.54, iPS_cells:PDB_2lox-22: 0.54, iPS_cells:PDB_2lox-21: 0.54, Embryonic_stem_cells: 0.54, iPS_cells:PDB_1lox-17Puro-5: 0.53, Neurons:ES_cell-derived_neural_precursor: 0.53 |
NGP_CTGGTCTCACTGTGAT-1 | Neurons | 0.32 | 412.82 | Raw ScoresNeurons:adrenal_medulla_cell_line: 0.63, Neuroepithelial_cell:ESC-derived: 0.58, iPS_cells:PDB_1lox-21Puro-20: 0.55, iPS_cells:PDB_1lox-21Puro-26: 0.55, iPS_cells:PDB_1lox-17Puro-10: 0.55, iPS_cells:PDB_2lox-22: 0.55, iPS_cells:PDB_2lox-21: 0.54, iPS_cells:PDB_1lox-17Puro-5: 0.54, iPS_cells:PDB_2lox-17: 0.54, Embryonic_stem_cells: 0.54 |
NGP_ATTTACCGTTATGGTC-1 | Neurons | 0.31 | 410.48 | Raw ScoresNeurons:adrenal_medulla_cell_line: 0.62, Neuroepithelial_cell:ESC-derived: 0.56, iPS_cells:PDB_1lox-21Puro-20: 0.53, iPS_cells:PDB_1lox-21Puro-26: 0.53, iPS_cells:PDB_1lox-17Puro-10: 0.53, iPS_cells:PDB_2lox-22: 0.52, iPS_cells:PDB_2lox-21: 0.52, Embryonic_stem_cells: 0.52, iPS_cells:PDB_1lox-17Puro-5: 0.52, iPS_cells:PDB_2lox-17: 0.52 |
NGP_CAGCACGGTTCAAGTC-1 | Neurons | 0.30 | 391.90 | Raw ScoresNeurons:adrenal_medulla_cell_line: 0.61, Neuroepithelial_cell:ESC-derived: 0.56, iPS_cells:PDB_1lox-21Puro-20: 0.53, iPS_cells:PDB_1lox-21Puro-26: 0.52, iPS_cells:PDB_2lox-22: 0.52, iPS_cells:PDB_1lox-17Puro-10: 0.52, Astrocyte:Embryonic_stem_cell-derived: 0.51, iPS_cells:PDB_2lox-17: 0.51, iPS_cells:PDB_2lox-21: 0.51, iPS_cells:PDB_1lox-17Puro-5: 0.51 |
NGP_GTGTAACCAAATGCGG-1 | Neurons | 0.32 | 382.42 | Raw ScoresNeurons:adrenal_medulla_cell_line: 0.63, Neuroepithelial_cell:ESC-derived: 0.57, iPS_cells:PDB_1lox-21Puro-20: 0.54, iPS_cells:PDB_1lox-21Puro-26: 0.53, iPS_cells:PDB_1lox-17Puro-10: 0.53, iPS_cells:PDB_2lox-22: 0.53, Embryonic_stem_cells: 0.53, iPS_cells:PDB_1lox-17Puro-5: 0.53, iPS_cells:PDB_2lox-21: 0.53, Astrocyte:Embryonic_stem_cell-derived: 0.52 |
NGP_ATGTCCCCAAGTTCCA-1 | Neurons | 0.31 | 373.50 | Raw ScoresNeurons:adrenal_medulla_cell_line: 0.62, Neuroepithelial_cell:ESC-derived: 0.56, iPS_cells:PDB_1lox-21Puro-20: 0.54, iPS_cells:PDB_1lox-21Puro-26: 0.53, iPS_cells:PDB_1lox-17Puro-10: 0.53, iPS_cells:PDB_2lox-22: 0.53, iPS_cells:PDB_1lox-17Puro-5: 0.53, Embryonic_stem_cells: 0.52, iPS_cells:PDB_2lox-21: 0.52, iPS_cells:PDB_2lox-17: 0.52 |
NGP_CACTAAGAGACGCTCC-1 | Neurons | 0.31 | 367.43 | Raw ScoresNeurons:adrenal_medulla_cell_line: 0.63, Neuroepithelial_cell:ESC-derived: 0.57, iPS_cells:PDB_1lox-21Puro-20: 0.54, iPS_cells:PDB_1lox-21Puro-26: 0.54, iPS_cells:PDB_1lox-17Puro-10: 0.54, iPS_cells:PDB_2lox-22: 0.53, Embryonic_stem_cells: 0.53, iPS_cells:PDB_1lox-17Puro-5: 0.53, iPS_cells:PDB_2lox-17: 0.53, iPS_cells:PDB_2lox-21: 0.53 |
NGP_ATAGGCTCATTGAGCT-1 | Neurons | 0.32 | 345.61 | Raw ScoresNeurons:adrenal_medulla_cell_line: 0.63, Neuroepithelial_cell:ESC-derived: 0.57, iPS_cells:PDB_1lox-21Puro-20: 0.53, iPS_cells:PDB_1lox-17Puro-10: 0.53, iPS_cells:PDB_1lox-21Puro-26: 0.53, iPS_cells:PDB_2lox-22: 0.52, iPS_cells:PDB_1lox-17Puro-5: 0.52, Neurons:ES_cell-derived_neural_precursor: 0.52, iPS_cells:PDB_2lox-21: 0.52, iPS_cells:PDB_2lox-17: 0.52 |
NGP_CATCGCTCAGTGTGCC-1 | Neurons | 0.31 | 341.83 | Raw ScoresNeurons:adrenal_medulla_cell_line: 0.62, Neuroepithelial_cell:ESC-derived: 0.56, iPS_cells:PDB_1lox-21Puro-20: 0.53, iPS_cells:PDB_1lox-21Puro-26: 0.53, iPS_cells:PDB_2lox-22: 0.53, iPS_cells:PDB_1lox-17Puro-10: 0.52, iPS_cells:PDB_2lox-21: 0.52, iPS_cells:PDB_2lox-17: 0.52, iPS_cells:PDB_1lox-17Puro-5: 0.52, Astrocyte:Embryonic_stem_cell-derived: 0.52 |
NGP_TGCACGGTCCGCTTAC-1 | Neurons | 0.32 | 339.34 | Raw ScoresNeurons:adrenal_medulla_cell_line: 0.63, Neuroepithelial_cell:ESC-derived: 0.56, iPS_cells:PDB_1lox-21Puro-20: 0.53, iPS_cells:PDB_1lox-21Puro-26: 0.52, iPS_cells:PDB_1lox-17Puro-10: 0.52, Astrocyte:Embryonic_stem_cell-derived: 0.52, iPS_cells:PDB_2lox-22: 0.52, iPS_cells:PDB_1lox-17Puro-5: 0.52, Neurons:ES_cell-derived_neural_precursor: 0.51, Embryonic_stem_cells: 0.51 |
NGP_GTGTAACAGTAGTGCG-1 | Neurons | 0.31 | 335.86 | Raw ScoresNeurons:adrenal_medulla_cell_line: 0.62, Neuroepithelial_cell:ESC-derived: 0.56, iPS_cells:PDB_1lox-21Puro-20: 0.53, iPS_cells:PDB_1lox-21Puro-26: 0.52, iPS_cells:PDB_1lox-17Puro-10: 0.52, iPS_cells:PDB_2lox-22: 0.52, Embryonic_stem_cells: 0.52, Neurons:ES_cell-derived_neural_precursor: 0.52, iPS_cells:PDB_1lox-17Puro-5: 0.52, iPS_cells:PDB_2lox-21: 0.52 |
NGP_GTCGAATCACAAGCCC-1 | Neurons | 0.29 | 319.82 | Raw ScoresNeurons:adrenal_medulla_cell_line: 0.61, Neuroepithelial_cell:ESC-derived: 0.55, iPS_cells:PDB_1lox-21Puro-20: 0.52, iPS_cells:PDB_2lox-22: 0.51, iPS_cells:PDB_1lox-21Puro-26: 0.51, iPS_cells:PDB_1lox-17Puro-10: 0.51, Astrocyte:Embryonic_stem_cell-derived: 0.51, iPS_cells:PDB_2lox-17: 0.51, iPS_cells:PDB_2lox-21: 0.51, iPS_cells:PDB_1lox-17Puro-5: 0.51 |
NGP_TCCACGTAGGCTCAAG-1 | Neurons | 0.30 | 315.78 | Raw ScoresNeurons:adrenal_medulla_cell_line: 0.61, Neuroepithelial_cell:ESC-derived: 0.55, iPS_cells:PDB_1lox-21Puro-20: 0.51, iPS_cells:PDB_1lox-21Puro-26: 0.51, Astrocyte:Embryonic_stem_cell-derived: 0.51, iPS_cells:PDB_1lox-17Puro-10: 0.5, iPS_cells:PDB_2lox-22: 0.5, iPS_cells:PDB_2lox-21: 0.5, Embryonic_stem_cells: 0.5, Neurons:ES_cell-derived_neural_precursor: 0.5 |
NGP_TATGTTCGTTAGCTAC-1 | Neurons | 0.31 | 309.81 | Raw ScoresNeurons:adrenal_medulla_cell_line: 0.64, Neuroepithelial_cell:ESC-derived: 0.57, iPS_cells:PDB_1lox-21Puro-20: 0.55, iPS_cells:PDB_1lox-21Puro-26: 0.54, iPS_cells:PDB_2lox-22: 0.54, iPS_cells:PDB_1lox-17Puro-10: 0.54, iPS_cells:PDB_2lox-21: 0.53, iPS_cells:PDB_2lox-17: 0.53, iPS_cells:PDB_1lox-17Puro-5: 0.53, Embryonic_stem_cells: 0.53 |
NGP_TCAGCCTCACTATGTG-1 | Neurons | 0.31 | 309.02 | Raw ScoresNeurons:adrenal_medulla_cell_line: 0.64, Neuroepithelial_cell:ESC-derived: 0.58, iPS_cells:PDB_1lox-21Puro-20: 0.55, iPS_cells:PDB_2lox-22: 0.55, iPS_cells:PDB_1lox-21Puro-26: 0.55, iPS_cells:PDB_1lox-17Puro-10: 0.54, iPS_cells:PDB_2lox-21: 0.54, iPS_cells:PDB_2lox-17: 0.54, iPS_cells:PDB_1lox-17Puro-5: 0.54, Embryonic_stem_cells: 0.54 |
NGP_TCGACGGAGCGAACTG-1 | Neurons | 0.32 | 302.27 | Raw ScoresNeurons:adrenal_medulla_cell_line: 0.62, Neuroepithelial_cell:ESC-derived: 0.56, iPS_cells:PDB_1lox-21Puro-20: 0.53, iPS_cells:PDB_1lox-21Puro-26: 0.53, iPS_cells:PDB_1lox-17Puro-10: 0.53, iPS_cells:PDB_2lox-22: 0.52, iPS_cells:PDB_1lox-17Puro-5: 0.52, Embryonic_stem_cells: 0.52, iPS_cells:PDB_2lox-21: 0.52, Neurons:ES_cell-derived_neural_precursor: 0.52 |
NGP_TTACCGCTCTTCACAT-1 | Neurons | 0.32 | 297.88 | Raw ScoresNeurons:adrenal_medulla_cell_line: 0.64, Neuroepithelial_cell:ESC-derived: 0.57, iPS_cells:PDB_1lox-21Puro-20: 0.55, iPS_cells:PDB_1lox-21Puro-26: 0.55, iPS_cells:PDB_1lox-17Puro-10: 0.54, iPS_cells:PDB_2lox-22: 0.54, iPS_cells:PDB_1lox-17Puro-5: 0.54, iPS_cells:PDB_2lox-21: 0.53, iPS_cells:PDB_2lox-17: 0.53, Neurons:ES_cell-derived_neural_precursor: 0.53 |
NGP_TGATGGTAGCCTCACG-1 | Neurons | 0.31 | 296.63 | Raw ScoresNeurons:adrenal_medulla_cell_line: 0.62, Neuroepithelial_cell:ESC-derived: 0.56, iPS_cells:PDB_1lox-21Puro-20: 0.53, iPS_cells:PDB_1lox-21Puro-26: 0.53, iPS_cells:PDB_1lox-17Puro-10: 0.52, iPS_cells:PDB_2lox-22: 0.52, Embryonic_stem_cells: 0.52, iPS_cells:PDB_1lox-17Puro-5: 0.52, iPS_cells:PDB_2lox-21: 0.52, Neurons:ES_cell-derived_neural_precursor: 0.52 |
NGP_TCCGGGAGTATAGGGC-1 | Neurons | 0.30 | 294.29 | Raw ScoresNeurons:adrenal_medulla_cell_line: 0.62, Neuroepithelial_cell:ESC-derived: 0.55, iPS_cells:PDB_1lox-21Puro-20: 0.53, iPS_cells:PDB_1lox-21Puro-26: 0.52, iPS_cells:PDB_2lox-22: 0.52, iPS_cells:PDB_1lox-17Puro-10: 0.52, iPS_cells:PDB_2lox-21: 0.52, iPS_cells:PDB_2lox-17: 0.52, iPS_cells:PDB_1lox-17Puro-5: 0.52, Astrocyte:Embryonic_stem_cell-derived: 0.52 |
NGP_AGATGAAAGTCCGTCG-1 | Neurons | 0.31 | 293.53 | Raw ScoresNeurons:adrenal_medulla_cell_line: 0.62, Neuroepithelial_cell:ESC-derived: 0.56, iPS_cells:PDB_1lox-21Puro-20: 0.53, iPS_cells:PDB_1lox-21Puro-26: 0.53, iPS_cells:PDB_1lox-17Puro-10: 0.52, iPS_cells:PDB_2lox-22: 0.52, iPS_cells:PDB_1lox-17Puro-5: 0.52, iPS_cells:PDB_2lox-21: 0.52, Embryonic_stem_cells: 0.52, iPS_cells:PDB_2lox-17: 0.52 |
NGP_TCCTCGACAGCACACC-1 | Neurons | 0.32 | 289.82 | Raw ScoresNeurons:adrenal_medulla_cell_line: 0.61, Neuroepithelial_cell:ESC-derived: 0.55, iPS_cells:PDB_1lox-21Puro-20: 0.52, iPS_cells:PDB_1lox-21Puro-26: 0.51, Astrocyte:Embryonic_stem_cell-derived: 0.51, iPS_cells:PDB_2lox-22: 0.51, iPS_cells:PDB_1lox-17Puro-10: 0.51, Neurons:ES_cell-derived_neural_precursor: 0.51, Embryonic_stem_cells: 0.5, iPS_cells:PDB_1lox-17Puro-5: 0.5 |
NGP_ACCTACCAGCCTAGGA-1 | Neurons | 0.31 | 286.46 | Raw ScoresNeurons:adrenal_medulla_cell_line: 0.62, Neuroepithelial_cell:ESC-derived: 0.56, iPS_cells:PDB_1lox-21Puro-20: 0.52, iPS_cells:PDB_1lox-21Puro-26: 0.52, iPS_cells:PDB_1lox-17Puro-10: 0.52, Neurons:ES_cell-derived_neural_precursor: 0.52, iPS_cells:PDB_2lox-22: 0.51, iPS_cells:PDB_1lox-17Puro-5: 0.51, Embryonic_stem_cells: 0.51, iPS_cells:PDB_2lox-21: 0.51 |
NGP_GAGAAATGTCGCTTAA-1 | Neurons | 0.32 | 284.08 | Raw ScoresNeurons:adrenal_medulla_cell_line: 0.63, Neuroepithelial_cell:ESC-derived: 0.56, iPS_cells:PDB_1lox-21Puro-20: 0.54, iPS_cells:PDB_1lox-21Puro-26: 0.53, iPS_cells:PDB_2lox-22: 0.53, iPS_cells:PDB_1lox-17Puro-10: 0.53, iPS_cells:PDB_2lox-21: 0.53, iPS_cells:PDB_2lox-17: 0.53, Embryonic_stem_cells: 0.53, iPS_cells:PDB_1lox-17Puro-5: 0.52 |
NGP_TTCCTAAGTCTCGACG-1 | Neurons | 0.30 | 269.22 | Raw ScoresNeurons:adrenal_medulla_cell_line: 0.61, Neuroepithelial_cell:ESC-derived: 0.56, iPS_cells:PDB_1lox-21Puro-20: 0.53, iPS_cells:PDB_1lox-21Puro-26: 0.53, iPS_cells:PDB_1lox-17Puro-10: 0.52, iPS_cells:PDB_2lox-22: 0.52, Embryonic_stem_cells: 0.52, iPS_cells:PDB_2lox-21: 0.52, iPS_cells:PDB_2lox-17: 0.52, iPS_cells:PDB_1lox-17Puro-5: 0.52 |
NGP_GCATCTCCATCCTTCG-1 | Neurons | 0.30 | 266.49 | Raw ScoresNeurons:adrenal_medulla_cell_line: 0.61, Neuroepithelial_cell:ESC-derived: 0.57, iPS_cells:PDB_1lox-21Puro-20: 0.54, iPS_cells:PDB_1lox-21Puro-26: 0.54, iPS_cells:PDB_1lox-17Puro-10: 0.54, iPS_cells:PDB_2lox-22: 0.53, iPS_cells:PDB_1lox-17Puro-5: 0.53, Neurons:ES_cell-derived_neural_precursor: 0.53, Embryonic_stem_cells: 0.52, iPS_cells:PDB_2lox-21: 0.52 |
NGP_TTACGCCTCAGTGCGC-1 | Neurons | 0.33 | 254.08 | Raw ScoresNeurons:adrenal_medulla_cell_line: 0.63, Neuroepithelial_cell:ESC-derived: 0.56, iPS_cells:PDB_1lox-21Puro-20: 0.53, iPS_cells:PDB_1lox-21Puro-26: 0.53, iPS_cells:PDB_1lox-17Puro-10: 0.52, iPS_cells:PDB_2lox-22: 0.52, iPS_cells:PDB_1lox-17Puro-5: 0.52, iPS_cells:PDB_2lox-21: 0.51, Neurons:ES_cell-derived_neural_precursor: 0.51, Embryonic_stem_cells: 0.51 |
NGP_CGGACACGTATGCTAC-1 | Neurons | 0.31 | 252.21 | Raw ScoresNeurons:adrenal_medulla_cell_line: 0.6, Neuroepithelial_cell:ESC-derived: 0.54, iPS_cells:PDB_1lox-21Puro-20: 0.51, iPS_cells:PDB_1lox-17Puro-10: 0.51, iPS_cells:PDB_1lox-21Puro-26: 0.51, iPS_cells:PDB_1lox-17Puro-5: 0.5, iPS_cells:PDB_2lox-22: 0.5, Embryonic_stem_cells: 0.5, iPS_cells:PDB_2lox-21: 0.49, iPS_cells:PDB_2lox-17: 0.49 |
NGP_TAAGTCGAGTCTCTGA-1 | Neurons | 0.28 | 252.12 | Raw ScoresNeurons:adrenal_medulla_cell_line: 0.61, Neuroepithelial_cell:ESC-derived: 0.56, iPS_cells:PDB_1lox-21Puro-20: 0.53, iPS_cells:PDB_1lox-21Puro-26: 0.52, iPS_cells:PDB_1lox-17Puro-10: 0.52, iPS_cells:PDB_2lox-22: 0.52, iPS_cells:PDB_1lox-17Puro-5: 0.52, iPS_cells:PDB_2lox-17: 0.52, iPS_cells:PDB_2lox-21: 0.52, Embryonic_stem_cells: 0.51 |
NGP_TCCCATGGTCACCGAC-1 | Neurons | 0.28 | 250.83 | Raw ScoresNeurons:adrenal_medulla_cell_line: 0.61, Neuroepithelial_cell:ESC-derived: 0.56, iPS_cells:PDB_1lox-21Puro-20: 0.53, iPS_cells:PDB_1lox-21Puro-26: 0.52, iPS_cells:PDB_2lox-22: 0.52, iPS_cells:PDB_1lox-17Puro-10: 0.52, Embryonic_stem_cells: 0.52, iPS_cells:PDB_1lox-17Puro-5: 0.52, iPS_cells:PDB_2lox-21: 0.52, iPS_cells:PDB_2lox-17: 0.51 |
NGP_ACATTTCCAAGAGTTA-1 | Neurons | 0.30 | 247.23 | Raw ScoresNeurons:adrenal_medulla_cell_line: 0.61, Neuroepithelial_cell:ESC-derived: 0.54, iPS_cells:PDB_1lox-21Puro-20: 0.52, iPS_cells:PDB_1lox-21Puro-26: 0.51, iPS_cells:PDB_2lox-22: 0.51, iPS_cells:PDB_1lox-17Puro-10: 0.51, iPS_cells:PDB_2lox-17: 0.5, iPS_cells:PDB_2lox-21: 0.5, Embryonic_stem_cells: 0.5, iPS_cells:PDB_1lox-17Puro-5: 0.5 |
NGP_AACCCAATCTACACAG-1 | Neurons | 0.31 | 247.01 | Raw ScoresNeurons:adrenal_medulla_cell_line: 0.6, Neuroepithelial_cell:ESC-derived: 0.55, iPS_cells:PDB_1lox-21Puro-20: 0.52, iPS_cells:PDB_1lox-21Puro-26: 0.51, iPS_cells:PDB_1lox-17Puro-10: 0.51, iPS_cells:PDB_2lox-22: 0.5, iPS_cells:PDB_1lox-17Puro-5: 0.5, Neurons:ES_cell-derived_neural_precursor: 0.5, Embryonic_stem_cells: 0.5, iPS_cells:PDB_2lox-21: 0.5 |
NGP_AGGCCACAGTACAGAT-1 | Neurons | 0.28 | 246.57 | Raw ScoresNeurons:adrenal_medulla_cell_line: 0.61, Neuroepithelial_cell:ESC-derived: 0.55, iPS_cells:PDB_1lox-21Puro-20: 0.52, iPS_cells:PDB_1lox-21Puro-26: 0.52, iPS_cells:PDB_2lox-22: 0.52, iPS_cells:PDB_1lox-17Puro-10: 0.52, iPS_cells:PDB_2lox-17: 0.51, iPS_cells:PDB_1lox-17Puro-5: 0.51, iPS_cells:PDB_2lox-21: 0.51, Embryonic_stem_cells: 0.51 |
NGP_AAATGGACAAGACGAC-1 | Neurons | 0.32 | 246.30 | Raw ScoresNeurons:adrenal_medulla_cell_line: 0.62, Neuroepithelial_cell:ESC-derived: 0.56, iPS_cells:PDB_1lox-21Puro-20: 0.53, iPS_cells:PDB_1lox-21Puro-26: 0.53, iPS_cells:PDB_1lox-17Puro-10: 0.53, iPS_cells:PDB_2lox-22: 0.52, iPS_cells:PDB_1lox-17Puro-5: 0.52, Embryonic_stem_cells: 0.52, iPS_cells:PDB_2lox-21: 0.52, Neurons:ES_cell-derived_neural_precursor: 0.52 |
NGP_CAATGACCAAGTTCCA-1 | Neurons | 0.28 | 241.65 | Raw ScoresNeurons:adrenal_medulla_cell_line: 0.6, Neuroepithelial_cell:ESC-derived: 0.54, iPS_cells:PDB_1lox-21Puro-20: 0.52, iPS_cells:PDB_2lox-22: 0.52, iPS_cells:PDB_1lox-21Puro-26: 0.52, iPS_cells:PDB_1lox-17Puro-10: 0.51, iPS_cells:PDB_2lox-21: 0.51, iPS_cells:PDB_2lox-17: 0.51, iPS_cells:PDB_1lox-17Puro-5: 0.51, Embryonic_stem_cells: 0.5 |
NGP_ATCACAGGTTGCGTAT-1 | Neurons | 0.29 | 241.32 | Raw ScoresNeurons:adrenal_medulla_cell_line: 0.6, Neuroepithelial_cell:ESC-derived: 0.55, iPS_cells:PDB_1lox-21Puro-20: 0.52, iPS_cells:PDB_1lox-21Puro-26: 0.52, iPS_cells:PDB_1lox-17Puro-10: 0.52, iPS_cells:PDB_2lox-22: 0.52, iPS_cells:PDB_1lox-17Puro-5: 0.51, Neurons:ES_cell-derived_neural_precursor: 0.51, iPS_cells:PDB_2lox-21: 0.51, iPS_cells:PDB_2lox-17: 0.51 |
NGP_GACTGATCAATAGTGA-1 | Neurons | 0.32 | 241.18 | Raw ScoresNeurons:adrenal_medulla_cell_line: 0.63, Neuroepithelial_cell:ESC-derived: 0.57, iPS_cells:PDB_1lox-21Puro-20: 0.53, iPS_cells:PDB_1lox-21Puro-26: 0.53, iPS_cells:PDB_1lox-17Puro-10: 0.53, iPS_cells:PDB_2lox-22: 0.52, iPS_cells:PDB_2lox-21: 0.52, iPS_cells:PDB_1lox-17Puro-5: 0.52, Neurons:ES_cell-derived_neural_precursor: 0.52, iPS_cells:PDB_2lox-17: 0.52 |
NGP_TTACAGGCACAACGTT-1 | Neurons | 0.29 | 240.96 | Raw ScoresNeurons:adrenal_medulla_cell_line: 0.58, Neuroepithelial_cell:ESC-derived: 0.53, iPS_cells:PDB_1lox-21Puro-20: 0.51, iPS_cells:PDB_1lox-21Puro-26: 0.5, iPS_cells:PDB_2lox-22: 0.5, iPS_cells:PDB_1lox-17Puro-10: 0.5, iPS_cells:PDB_2lox-21: 0.5, iPS_cells:PDB_2lox-17: 0.5, iPS_cells:PDB_1lox-17Puro-5: 0.49, Embryonic_stem_cells: 0.49 |
NGP_CGCATAATCTCGACGG-1 | Neurons | 0.29 | 239.08 | Raw ScoresNeurons:adrenal_medulla_cell_line: 0.6, Neuroepithelial_cell:ESC-derived: 0.54, iPS_cells:PDB_1lox-21Puro-20: 0.51, iPS_cells:PDB_1lox-21Puro-26: 0.51, iPS_cells:PDB_2lox-22: 0.51, iPS_cells:PDB_1lox-17Puro-10: 0.51, iPS_cells:PDB_2lox-17: 0.5, iPS_cells:PDB_2lox-21: 0.5, iPS_cells:PDB_1lox-17Puro-5: 0.5, Embryonic_stem_cells: 0.5 |
NGP_TTTCACATCGGTGCAC-1 | Neurons | 0.31 | 238.87 | Raw ScoresNeurons:adrenal_medulla_cell_line: 0.64, Neuroepithelial_cell:ESC-derived: 0.57, iPS_cells:PDB_1lox-21Puro-20: 0.55, iPS_cells:PDB_1lox-21Puro-26: 0.54, iPS_cells:PDB_1lox-17Puro-10: 0.54, iPS_cells:PDB_2lox-22: 0.54, iPS_cells:PDB_1lox-17Puro-5: 0.53, iPS_cells:PDB_2lox-21: 0.53, iPS_cells:PDB_2lox-17: 0.53, Embryonic_stem_cells: 0.53 |
NGP_AACGAAATCGGCTATA-1 | Neurons | 0.31 | 238.25 | Raw ScoresNeurons:adrenal_medulla_cell_line: 0.61, Neuroepithelial_cell:ESC-derived: 0.55, iPS_cells:PDB_1lox-21Puro-20: 0.53, iPS_cells:PDB_1lox-21Puro-26: 0.53, iPS_cells:PDB_1lox-17Puro-10: 0.52, iPS_cells:PDB_2lox-22: 0.52, iPS_cells:PDB_1lox-17Puro-5: 0.52, iPS_cells:PDB_2lox-21: 0.52, iPS_cells:PDB_2lox-17: 0.52, Embryonic_stem_cells: 0.51 |
NGP_ACTGCAAAGGTATCTC-1 | Neurons | 0.31 | 237.84 | Raw ScoresNeurons:adrenal_medulla_cell_line: 0.6, Neuroepithelial_cell:ESC-derived: 0.56, iPS_cells:PDB_1lox-21Puro-20: 0.52, iPS_cells:PDB_1lox-21Puro-26: 0.52, iPS_cells:PDB_1lox-17Puro-10: 0.52, Neurons:ES_cell-derived_neural_precursor: 0.51, iPS_cells:PDB_1lox-17Puro-5: 0.51, iPS_cells:PDB_2lox-22: 0.51, Embryonic_stem_cells: 0.51, iPS_cells:PDB_2lox-21: 0.51 |
NGP_TTGGGTAGTCCACATA-1 | Neurons | 0.27 | 237.46 | Raw ScoresNeurons:adrenal_medulla_cell_line: 0.59, Neuroepithelial_cell:ESC-derived: 0.53, iPS_cells:PDB_1lox-21Puro-20: 0.51, iPS_cells:PDB_2lox-22: 0.51, iPS_cells:PDB_1lox-21Puro-26: 0.5, iPS_cells:PDB_2lox-21: 0.5, iPS_cells:PDB_1lox-17Puro-10: 0.5, iPS_cells:PDB_2lox-17: 0.5, iPS_cells:PDB_1lox-17Puro-5: 0.5, Embryonic_stem_cells: 0.5 |
NGP_TAAGCCAGTACAGTAA-1 | Neurons | 0.30 | 237.24 | Raw ScoresNeurons:adrenal_medulla_cell_line: 0.6, Neuroepithelial_cell:ESC-derived: 0.54, iPS_cells:PDB_1lox-21Puro-20: 0.51, iPS_cells:PDB_1lox-21Puro-26: 0.5, iPS_cells:PDB_2lox-22: 0.5, iPS_cells:PDB_1lox-17Puro-10: 0.5, Astrocyte:Embryonic_stem_cell-derived: 0.5, iPS_cells:PDB_2lox-21: 0.49, iPS_cells:PDB_2lox-17: 0.49, iPS_cells:PDB_1lox-17Puro-5: 0.49 |
NGP_GTGCTGGGTCAACCAT-1 | Neurons | 0.30 | 236.46 | Raw ScoresNeurons:adrenal_medulla_cell_line: 0.61, Neuroepithelial_cell:ESC-derived: 0.55, iPS_cells:PDB_1lox-21Puro-20: 0.52, iPS_cells:PDB_1lox-21Puro-26: 0.52, iPS_cells:PDB_1lox-17Puro-10: 0.52, iPS_cells:PDB_2lox-22: 0.52, iPS_cells:PDB_1lox-17Puro-5: 0.51, Embryonic_stem_cells: 0.51, iPS_cells:PDB_2lox-21: 0.51, iPS_cells:PDB_2lox-17: 0.51 |
NGP_CGCATAACAGCCTTCT-1 | Neurons | 0.28 | 236.31 | Raw ScoresNeurons:adrenal_medulla_cell_line: 0.6, Neuroepithelial_cell:ESC-derived: 0.55, iPS_cells:PDB_1lox-21Puro-20: 0.52, iPS_cells:PDB_1lox-21Puro-26: 0.52, iPS_cells:PDB_1lox-17Puro-10: 0.52, iPS_cells:PDB_2lox-22: 0.52, iPS_cells:PDB_1lox-17Puro-5: 0.52, Embryonic_stem_cells: 0.51, iPS_cells:PDB_2lox-21: 0.51, iPS_cells:PDB_2lox-17: 0.51 |
NGP_GTGGGAACAGCATCTA-1 | Neurons | 0.29 | 234.26 | Raw ScoresNeurons:adrenal_medulla_cell_line: 0.59, Neuroepithelial_cell:ESC-derived: 0.54, iPS_cells:PDB_1lox-21Puro-20: 0.51, iPS_cells:PDB_2lox-22: 0.51, iPS_cells:PDB_1lox-21Puro-26: 0.51, iPS_cells:PDB_1lox-17Puro-10: 0.5, iPS_cells:PDB_2lox-21: 0.5, iPS_cells:PDB_2lox-17: 0.5, iPS_cells:PDB_1lox-17Puro-5: 0.5, Embryonic_stem_cells: 0.5 |
NGP_CCCGGAAGTCGAGATG-1 | Neurons | 0.27 | 233.20 | Raw ScoresNeurons:adrenal_medulla_cell_line: 0.58, Neuroepithelial_cell:ESC-derived: 0.53, iPS_cells:PDB_2lox-22: 0.49, iPS_cells:PDB_1lox-21Puro-20: 0.49, iPS_cells:PDB_1lox-21Puro-26: 0.49, iPS_cells:PDB_2lox-21: 0.49, iPS_cells:PDB_2lox-17: 0.49, iPS_cells:PDB_1lox-17Puro-10: 0.48, Astrocyte:Embryonic_stem_cell-derived: 0.48, iPS_cells:PDB_2lox-5: 0.48 |
NGP_CCGGGTAGTCCAGTTA-1 | Neurons | 0.28 | 230.79 | Raw ScoresNeurons:adrenal_medulla_cell_line: 0.58, Neuroepithelial_cell:ESC-derived: 0.52, iPS_cells:PDB_2lox-22: 0.5, iPS_cells:PDB_1lox-21Puro-20: 0.5, iPS_cells:PDB_1lox-21Puro-26: 0.5, iPS_cells:PDB_1lox-17Puro-10: 0.5, iPS_cells:PDB_2lox-21: 0.5, iPS_cells:PDB_2lox-17: 0.5, iPS_cells:PDB_2lox-5: 0.49, iPS_cells:PDB_1lox-17Puro-5: 0.49 |
NGP_TTAGGGTAGGACCCAA-1 | Neurons | 0.28 | 229.26 | Raw ScoresNeurons:adrenal_medulla_cell_line: 0.6, Neuroepithelial_cell:ESC-derived: 0.54, iPS_cells:PDB_1lox-21Puro-20: 0.53, iPS_cells:PDB_1lox-21Puro-26: 0.53, iPS_cells:PDB_2lox-22: 0.52, iPS_cells:PDB_1lox-17Puro-10: 0.52, iPS_cells:PDB_1lox-17Puro-5: 0.52, iPS_cells:PDB_2lox-21: 0.52, iPS_cells:PDB_2lox-17: 0.52, Embryonic_stem_cells: 0.52 |
NGP_TCAATTCTCCCTTGGT-1 | Neurons | 0.29 | 227.64 | Raw ScoresNeurons:adrenal_medulla_cell_line: 0.56, Neuroepithelial_cell:ESC-derived: 0.5, iPS_cells:PDB_1lox-21Puro-20: 0.47, iPS_cells:PDB_1lox-21Puro-26: 0.47, iPS_cells:PDB_1lox-17Puro-10: 0.47, Astrocyte:Embryonic_stem_cell-derived: 0.46, iPS_cells:PDB_2lox-22: 0.46, iPS_cells:PDB_2lox-21: 0.46, iPS_cells:PDB_2lox-17: 0.46, Neurons:ES_cell-derived_neural_precursor: 0.46 |
Below shows the significant enrichments of this GEP for literature curated gene lists
This data was procured from existing single cell RNA-seq maps of neuroblastoma or related relevant data.
High ranks indicate this gene is a driver of this GEP.
These curated gene list are ranked by the P-value (on this GEP) of their constituent genes.
The Mean Count column shows the mean read count in cells scoring highly (H > 50) on this gene expression program.
Genes | Weight | Rank | GTEx | DepMap | Decartes | Mean.Counts | Mean.TPM |
---|---|---|---|---|---|---|---|
MDK | 0.0096876 | 51 | GTEx | DepMap | Descartes | 58.05 | 2572.74 |
PCBP2 | 0.0036981 | 346 | GTEx | DepMap | Descartes | 16.18 | 295.89 |
HMGB1 | 0.0024094 | 697 | GTEx | DepMap | Descartes | 82.44 | 888.14 |
SRP14 | 0.0003625 | 3494 | GTEx | DepMap | Descartes | 32.13 | 1702.53 |
Mesencchymal populations mouse (Olsen)
Stated on page 6 of the main text of Olsen et al. https://www.biorxiv.org/content/10.1101/2020.05.04.077057v1 - seems to be referencing previous mouse lineage tracing studies in mouse which sucggested SCPs give rise to autonomic neurons and mesenchymal cells:
Wilcoxon ranksum test P-value for gene set overrepresentation: 8.39e-03
Mean rank of genes in gene set: 149
Rank on gene expression program of genes in gene set:
Genes | Weight | Rank | GTEx | DepMap | Decartes | Mean.Counts | Mean.TPM |
---|---|---|---|---|---|---|---|
PRRX1 | 0.0058096 | 140 | GTEx | DepMap | Descartes | 3.46 | 50.36 |
FLI1 | 0.0054486 | 158 | GTEx | DepMap | Descartes | 0.13 | 1.51 |
Meta_8 undefined undifferentiated neuronal (Dong)
Markers obtained in computationally inferred meta program (by NMF applied to their neuroblastoma sc-RNA-seq data) from Fig. 5(a) of Dong et al. (PMID 32946775).:
Wilcoxon ranksum test P-value for gene set overrepresentation: 9.60e-03
Mean rank of genes in gene set: 276.5
Rank on gene expression program of genes in gene set:
Genes | Weight | Rank | GTEx | DepMap | Decartes | Mean.Counts | Mean.TPM |
---|---|---|---|---|---|---|---|
SOX11 | 0.0120091 | 39 | GTEx | DepMap | Descartes | 20.92 | 136.92 |
CTNNB1 | 0.0029604 | 514 | GTEx | DepMap | Descartes | 3.65 | 45.68 |
Below shows ranks on this GEP for literature curated gene lists for large gene sets
These include those reported as mesenchymal/adrenergic by Van Groningen et al.
High ranks indicate this gene is a driver of this GEP (note these results are not ordered).
The Mean Count column shows the mean read count in cells scoring highly (H > 50) on this gene expression program.
VanGroningen Adrenergic Genes
Adrenergic marker genes from Supplementary Table 2 of Van Groningen et al. Nature Genetics 2017. These genes were identified by differential expression analysis of mesenchymal-like and adrenergic-like neuroblastoma cell lines.
Wilcoxon ranksum test P-value for gene set overrepresentation: 6.48e-06
Mean rank of genes in gene set: 5381.5
Median rank of genes in gene set: 3581
Rank on gene expression program of top 30 genes in gene set:
Genes | Weight | Rank | GTEx | DepMap | Descartes | Mean.Counts | Mean.TPM |
---|---|---|---|---|---|---|---|
SOX11 | 0.0120091 | 39 | GTEx | DepMap | Descartes | 20.92 | 136.92 |
CENPV | 0.0094146 | 54 | GTEx | DepMap | Descartes | 21.77 | 715.04 |
ICA1 | 0.0079906 | 78 | GTEx | DepMap | Descartes | 9.72 | 238.69 |
RANBP1 | 0.0074894 | 90 | GTEx | DepMap | Descartes | 52.16 | 1392.51 |
ELAVL3 | 0.0072013 | 95 | GTEx | DepMap | Descartes | 10.33 | 126.42 |
CD200 | 0.0064934 | 112 | GTEx | DepMap | Descartes | 1.61 | 43.72 |
CELF2 | 0.0060576 | 130 | GTEx | DepMap | Descartes | 1.53 | 10.88 |
INA | 0.0060341 | 132 | GTEx | DepMap | Descartes | 6.86 | 122.77 |
TBC1D30 | 0.0058518 | 139 | GTEx | DepMap | Descartes | 0.91 | 6.43 |
DACH1 | 0.0057653 | 144 | GTEx | DepMap | Descartes | 3.91 | 43.79 |
DPYSL5 | 0.0056391 | 151 | GTEx | DepMap | Descartes | 3.33 | 36.88 |
KLHL23 | 0.0050202 | 188 | GTEx | DepMap | Descartes | 7.74 | 109.30 |
TTC8 | 0.0049133 | 197 | GTEx | DepMap | Descartes | 4.45 | 50.00 |
SEC11C | 0.0048951 | 200 | GTEx | DepMap | Descartes | 6.45 | 184.35 |
ACOT7 | 0.0047936 | 206 | GTEx | DepMap | Descartes | 4.25 | 100.32 |
GRIA2 | 0.0045816 | 221 | GTEx | DepMap | Descartes | 2.67 | 29.02 |
SBK1 | 0.0045465 | 226 | GTEx | DepMap | Descartes | 2.07 | 24.34 |
RAB33A | 0.0044555 | 234 | GTEx | DepMap | Descartes | 2.34 | 142.29 |
HES6 | 0.0042460 | 261 | GTEx | DepMap | Descartes | 4.85 | 181.92 |
KIF1A | 0.0041886 | 266 | GTEx | DepMap | Descartes | 5.47 | 34.33 |
CKB | 0.0041389 | 271 | GTEx | DepMap | Descartes | 27.41 | 1115.12 |
KDM1A | 0.0039900 | 286 | GTEx | DepMap | Descartes | 12.09 | 231.36 |
TAGLN3 | 0.0038283 | 314 | GTEx | DepMap | Descartes | 4.32 | 171.43 |
AUTS2 | 0.0037477 | 333 | GTEx | DepMap | Descartes | 3.71 | 29.31 |
LYN | 0.0037302 | 338 | GTEx | DepMap | Descartes | 4.29 | 43.50 |
GNG4 | 0.0037243 | 339 | GTEx | DepMap | Descartes | 7.97 | 93.08 |
HMGA1 | 0.0037173 | 341 | GTEx | DepMap | Descartes | 14.60 | 391.55 |
GNB1 | 0.0037060 | 345 | GTEx | DepMap | Descartes | 7.22 | 132.85 |
VRK1 | 0.0036900 | 349 | GTEx | DepMap | Descartes | 3.77 | 131.11 |
LSM3 | 0.0036720 | 352 | GTEx | DepMap | Descartes | 11.26 | 193.40 |
VanGroningen Mesenchymal Genes
Mesenchymal marker genes from Supplementary Table 2 of Van Groningen et al. Nature Genetics 2017. These genes were identified by differential expression analysis of mesenchymal-like and adrenergic-like neuroblastoma cell lines.
Wilcoxon ranksum test P-value for gene set overrepresentation: 1.00e+00
Mean rank of genes in gene set: 8773.12
Median rank of genes in gene set: 10786
Rank on gene expression program of top 30 genes in gene set:
Genes | Weight | Rank | GTEx | DepMap | Descartes | Mean.Counts | Mean.TPM |
---|---|---|---|---|---|---|---|
RAP1B | 0.0211611 | 12 | GTEx | DepMap | Descartes | 28.06 | 124.32 |
CTDSP2 | 0.0145404 | 28 | GTEx | DepMap | Descartes | 6.98 | 86.02 |
IGFBP5 | 0.0067416 | 104 | GTEx | DepMap | Descartes | 9.09 | 91.64 |
COL4A2 | 0.0063799 | 114 | GTEx | DepMap | Descartes | 4.38 | 40.34 |
MICAL2 | 0.0061870 | 123 | GTEx | DepMap | Descartes | 1.54 | 14.75 |
PRRX1 | 0.0058096 | 140 | GTEx | DepMap | Descartes | 3.46 | 50.36 |
ROBO1 | 0.0051403 | 178 | GTEx | DepMap | Descartes | 2.91 | 23.45 |
ENAH | 0.0038004 | 320 | GTEx | DepMap | Descartes | 15.52 | 68.78 |
CNN3 | 0.0037060 | 344 | GTEx | DepMap | Descartes | 11.76 | 353.70 |
SERPINE2 | 0.0036909 | 348 | GTEx | DepMap | Descartes | 3.14 | 31.77 |
KDM5B | 0.0035450 | 375 | GTEx | DepMap | Descartes | 5.85 | 36.41 |
DLX1 | 0.0032944 | 431 | GTEx | DepMap | Descartes | 0.24 | 6.14 |
CDH11 | 0.0032371 | 448 | GTEx | DepMap | Descartes | 1.41 | 12.19 |
FGFR1 | 0.0031684 | 465 | GTEx | DepMap | Descartes | 2.28 | 21.84 |
FAT1 | 0.0031662 | 466 | GTEx | DepMap | Descartes | 1.62 | 6.59 |
ATP1B1 | 0.0030778 | 486 | GTEx | DepMap | Descartes | 7.84 | 182.74 |
PDIA6 | 0.0024643 | 679 | GTEx | DepMap | Descartes | 15.05 | 340.50 |
PTBP1 | 0.0022659 | 760 | GTEx | DepMap | Descartes | 5.04 | 62.58 |
KANK2 | 0.0022273 | 774 | GTEx | DepMap | Descartes | 1.14 | 13.43 |
HLX | 0.0021503 | 810 | GTEx | DepMap | Descartes | 0.82 | 8.99 |
SDC2 | 0.0021129 | 824 | GTEx | DepMap | Descartes | 2.32 | 42.71 |
ELAVL1 | 0.0019621 | 906 | GTEx | DepMap | Descartes | 3.91 | 38.24 |
FAM43A | 0.0019442 | 919 | GTEx | DepMap | Descartes | 0.90 | 17.38 |
TSC22D2 | 0.0019366 | 921 | GTEx | DepMap | Descartes | 1.53 | 8.14 |
PLXDC2 | 0.0018842 | 959 | GTEx | DepMap | Descartes | 0.41 | 2.01 |
OLFML2B | 0.0018050 | 1017 | GTEx | DepMap | Descartes | 0.10 | 1.84 |
PXDN | 0.0017969 | 1023 | GTEx | DepMap | Descartes | 2.46 | 21.55 |
ETS1 | 0.0017179 | 1081 | GTEx | DepMap | Descartes | 0.69 | 7.83 |
HIST1H2AC | 0.0016864 | 1105 | GTEx | DepMap | Descartes | 1.67 | NA |
PRDM6 | 0.0016337 | 1150 | GTEx | DepMap | Descartes | 0.04 | 0.26 |
Descartes adrenocortical markers
Top 50 marker genes of adrenocortical cells in the Decartes fetal adrenal single cell map (https://atlas.brotmanbaty.org/bbi/human-gene-expression-during-development/cell/adrenocortical/in/adrenal)
Wilcoxon ranksum test P-value for gene set overrepresentation: 2.94e-01
Mean rank of genes in gene set: 5947.75
Median rank of genes in gene set: 7212.5
Rank on gene expression program of top 30 genes in gene set:
Genes | Weight | Rank | GTEx | DepMap | Descartes | Mean.Counts | Mean.TPM |
---|---|---|---|---|---|---|---|
SLC1A2 | 0.0051953 | 175 | GTEx | DepMap | Descartes | 0.90 | 4.39 |
FDPS | 0.0042639 | 258 | GTEx | DepMap | Descartes | 14.90 | 432.26 |
GSTA4 | 0.0033307 | 418 | GTEx | DepMap | Descartes | 2.71 | 94.88 |
SH3PXD2B | 0.0030834 | 484 | GTEx | DepMap | Descartes | 0.90 | 6.79 |
SLC16A9 | 0.0024578 | 680 | GTEx | DepMap | Descartes | 0.70 | 9.98 |
SH3BP5 | 0.0024181 | 694 | GTEx | DepMap | Descartes | 1.96 | 35.25 |
PDE10A | 0.0014754 | 1301 | GTEx | DepMap | Descartes | 0.72 | 5.08 |
SGCZ | 0.0013708 | 1404 | GTEx | DepMap | Descartes | 0.15 | 1.29 |
HMGCR | 0.0012521 | 1537 | GTEx | DepMap | Descartes | 2.96 | 39.00 |
HMGCS1 | 0.0008048 | 2235 | GTEx | DepMap | Descartes | 2.76 | 29.95 |
JAKMIP2 | 0.0006896 | 2477 | GTEx | DepMap | Descartes | 1.76 | 11.27 |
LDLR | 0.0005961 | 2700 | GTEx | DepMap | Descartes | 1.32 | 14.13 |
ERN1 | 0.0005530 | 2844 | GTEx | DepMap | Descartes | 0.27 | 2.12 |
SCARB1 | 0.0004256 | 3262 | GTEx | DepMap | Descartes | 0.79 | 8.17 |
FRMD5 | -0.0000598 | 5727 | GTEx | DepMap | Descartes | 0.15 | 1.60 |
NPC1 | -0.0000713 | 5844 | GTEx | DepMap | Descartes | 0.15 | 1.81 |
STAR | -0.0001792 | 6985 | GTEx | DepMap | Descartes | 0.01 | 0.26 |
DHCR24 | -0.0001842 | 7031 | GTEx | DepMap | Descartes | 1.57 | 16.99 |
CYB5B | -0.0002224 | 7394 | GTEx | DepMap | Descartes | 2.28 | 31.09 |
FREM2 | -0.0002411 | 7552 | GTEx | DepMap | Descartes | 0.00 | 0.00 |
INHA | -0.0002435 | 7578 | GTEx | DepMap | Descartes | 0.00 | 0.16 |
IGF1R | -0.0002640 | 7762 | GTEx | DepMap | Descartes | 1.21 | 5.92 |
DHCR7 | -0.0002867 | 7948 | GTEx | DepMap | Descartes | 0.61 | 13.63 |
DNER | -0.0002962 | 8024 | GTEx | DepMap | Descartes | 0.01 | 0.15 |
MSMO1 | -0.0003091 | 8125 | GTEx | DepMap | Descartes | 1.58 | 43.10 |
FDX1 | -0.0003163 | 8177 | GTEx | DepMap | Descartes | 1.15 | 20.85 |
TM7SF2 | -0.0003733 | 8590 | GTEx | DepMap | Descartes | 0.88 | 24.25 |
POR | -0.0005428 | 9562 | GTEx | DepMap | Descartes | 0.61 | 14.21 |
SCAP | -0.0005947 | 9814 | GTEx | DepMap | Descartes | 0.29 | 3.88 |
GRAMD1B | -0.0006126 | 9905 | GTEx | DepMap | Descartes | 0.07 | 0.64 |
Descartes chromaffin markers
Top 50 marker genes of chromaffin cells in the Decartes fetal adrenal single cell map (https://atlas.brotmanbaty.org/bbi/human-gene-expression-during-development/cell/chromaffin/in/adrenal)
Wilcoxon ranksum test P-value for gene set overrepresentation: 5.06e-01
Mean rank of genes in gene set: 6282.78
Median rank of genes in gene set: 4931
Rank on gene expression program of top 30 genes in gene set:
Genes | Weight | Rank | GTEx | DepMap | Descartes | Mean.Counts | Mean.TPM |
---|---|---|---|---|---|---|---|
RYR2 | 0.0098518 | 49 | GTEx | DepMap | Descartes | 2.65 | 9.40 |
BASP1 | 0.0057014 | 148 | GTEx | DepMap | Descartes | 17.31 | 565.69 |
FAT3 | 0.0051250 | 181 | GTEx | DepMap | Descartes | 0.93 | 2.84 |
MLLT11 | 0.0027519 | 582 | GTEx | DepMap | Descartes | 15.06 | 349.65 |
CNKSR2 | 0.0023899 | 712 | GTEx | DepMap | Descartes | 0.92 | 6.42 |
TUBB2B | 0.0023042 | 743 | GTEx | DepMap | Descartes | 13.59 | 410.30 |
ELAVL2 | 0.0019992 | 886 | GTEx | DepMap | Descartes | 2.51 | 37.12 |
RGMB | 0.0018216 | 1005 | GTEx | DepMap | Descartes | 1.13 | 15.12 |
ANKFN1 | 0.0016915 | 1101 | GTEx | DepMap | Descartes | 0.07 | 0.95 |
SLC44A5 | 0.0015568 | 1215 | GTEx | DepMap | Descartes | 0.54 | 7.07 |
GAP43 | 0.0015192 | 1256 | GTEx | DepMap | Descartes | 4.41 | 132.15 |
TMEFF2 | 0.0015134 | 1267 | GTEx | DepMap | Descartes | 0.30 | 5.42 |
PTCHD1 | 0.0012964 | 1483 | GTEx | DepMap | Descartes | 0.11 | 0.46 |
EPHA6 | 0.0012305 | 1564 | GTEx | DepMap | Descartes | 0.13 | 1.96 |
CNTFR | 0.0011624 | 1656 | GTEx | DepMap | Descartes | 1.54 | 45.50 |
MAP1B | 0.0005112 | 2991 | GTEx | DepMap | Descartes | 25.04 | 123.99 |
ISL1 | 0.0004453 | 3184 | GTEx | DepMap | Descartes | 3.96 | 97.43 |
ALK | 0.0003747 | 3433 | GTEx | DepMap | Descartes | 0.38 | 3.57 |
HS3ST5 | 0.0001829 | 4196 | GTEx | DepMap | Descartes | 0.26 | 3.85 |
KCNB2 | 0.0000554 | 4869 | GTEx | DepMap | Descartes | 0.34 | 5.62 |
REEP1 | 0.0000447 | 4931 | GTEx | DepMap | Descartes | 0.11 | 1.65 |
TUBB2A | -0.0000949 | 6098 | GTEx | DepMap | Descartes | 2.86 | 98.73 |
CCND1 | -0.0001614 | 6798 | GTEx | DepMap | Descartes | 17.85 | 248.26 |
TMEM132C | -0.0002979 | 8035 | GTEx | DepMap | Descartes | 0.00 | 0.00 |
EYA4 | -0.0007034 | 10273 | GTEx | DepMap | Descartes | 0.19 | 2.06 |
GREM1 | -0.0007107 | 10305 | GTEx | DepMap | Descartes | 0.01 | 0.03 |
RBFOX1 | -0.0008619 | 10793 | GTEx | DepMap | Descartes | 0.05 | 0.53 |
IL7 | -0.0010367 | 11221 | GTEx | DepMap | Descartes | 0.02 | 0.52 |
NTRK1 | -0.0010783 | 11305 | GTEx | DepMap | Descartes | 0.04 | 0.91 |
MARCH11 | -0.0010822 | 11315 | GTEx | DepMap | Descartes | 0.87 | NA |
Descartes Vascular_endothelial markers
Top 50 marker genes of Vascular_endothelial cells in the Decartes fetal adrenal single cell map (https://atlas.brotmanbaty.org/bbi/human-gene-expression-during-development/cell/vascular_endothelial/in/adrenal)
Wilcoxon ranksum test P-value for gene set overrepresentation: 8.32e-01
Mean rank of genes in gene set: 6839.08
Median rank of genes in gene set: 6689
Rank on gene expression program of top 30 genes in gene set:
Genes | Weight | Rank | GTEx | DepMap | Descartes | Mean.Counts | Mean.TPM |
---|---|---|---|---|---|---|---|
EFNB2 | 0.0041191 | 274 | GTEx | DepMap | Descartes | 1.81 | 21.52 |
RAMP2 | 0.0022051 | 783 | GTEx | DepMap | Descartes | 1.84 | 127.32 |
CALCRL | 0.0011148 | 1727 | GTEx | DepMap | Descartes | 0.11 | 1.07 |
FLT4 | 0.0009832 | 1920 | GTEx | DepMap | Descartes | 0.08 | 0.79 |
CDH5 | 0.0008577 | 2132 | GTEx | DepMap | Descartes | 0.00 | 0.03 |
TIE1 | 0.0006597 | 2542 | GTEx | DepMap | Descartes | 0.00 | 0.07 |
NOTCH4 | 0.0005077 | 3002 | GTEx | DepMap | Descartes | 0.19 | 1.66 |
NPR1 | 0.0000387 | 4957 | GTEx | DepMap | Descartes | 0.13 | 1.64 |
SHANK3 | -0.0000207 | 5381 | GTEx | DepMap | Descartes | 0.06 | 0.40 |
BTNL9 | -0.0000245 | 5411 | GTEx | DepMap | Descartes | 0.00 | 0.09 |
CYP26B1 | -0.0000616 | 5743 | GTEx | DepMap | Descartes | 0.00 | 0.02 |
F8 | -0.0000676 | 5802 | GTEx | DepMap | Descartes | 0.02 | 0.12 |
CRHBP | -0.0000747 | 5882 | GTEx | DepMap | Descartes | 0.00 | 0.00 |
GALNT15 | -0.0000799 | 5941 | GTEx | DepMap | Descartes | 0.00 | NA |
SHE | -0.0000855 | 5996 | GTEx | DepMap | Descartes | 0.00 | 0.00 |
MMRN2 | -0.0000982 | 6137 | GTEx | DepMap | Descartes | 0.00 | 0.00 |
KANK3 | -0.0000984 | 6141 | GTEx | DepMap | Descartes | 0.00 | 0.06 |
CEACAM1 | -0.0001236 | 6404 | GTEx | DepMap | Descartes | 0.00 | 0.04 |
RASIP1 | -0.0001437 | 6621 | GTEx | DepMap | Descartes | 0.01 | 0.15 |
PLVAP | -0.0001577 | 6757 | GTEx | DepMap | Descartes | 0.00 | 0.00 |
ROBO4 | -0.0001739 | 6931 | GTEx | DepMap | Descartes | 0.00 | 0.00 |
PODXL | -0.0001810 | 6999 | GTEx | DepMap | Descartes | 0.17 | 1.60 |
NR5A2 | -0.0002053 | 7234 | GTEx | DepMap | Descartes | 0.00 | 0.00 |
KDR | -0.0002306 | 7465 | GTEx | DepMap | Descartes | 0.00 | 0.01 |
TEK | -0.0002334 | 7490 | GTEx | DepMap | Descartes | 0.00 | 0.00 |
ESM1 | -0.0002676 | 7796 | GTEx | DepMap | Descartes | 0.00 | 0.00 |
SLCO2A1 | -0.0003828 | 8650 | GTEx | DepMap | Descartes | 0.00 | 0.00 |
CLDN5 | -0.0004416 | 9013 | GTEx | DepMap | Descartes | 0.00 | 0.00 |
PTPRB | -0.0004627 | 9120 | GTEx | DepMap | Descartes | 0.02 | 0.09 |
TMEM88 | -0.0006127 | 9906 | GTEx | DepMap | Descartes | 0.02 | 1.68 |
Descartes stromal markers
Top 50 marker genes of stromal cells in the Decartes fetal adrenal single cell map (https://atlas.brotmanbaty.org/bbi/human-gene-expression-during-development/cell/stromal/in/adrenal)
Wilcoxon ranksum test P-value for gene set overrepresentation: 9.97e-01
Mean rank of genes in gene set: 7749.05
Median rank of genes in gene set: 8762.5
Rank on gene expression program of top 30 genes in gene set:
Genes | Weight | Rank | GTEx | DepMap | Descartes | Mean.Counts | Mean.TPM |
---|---|---|---|---|---|---|---|
PDGFRA | 0.0063318 | 117 | GTEx | DepMap | Descartes | 3.03 | 28.97 |
PRRX1 | 0.0058096 | 140 | GTEx | DepMap | Descartes | 3.46 | 50.36 |
PRICKLE1 | 0.0046001 | 218 | GTEx | DepMap | Descartes | 2.56 | 25.68 |
LOX | 0.0041280 | 272 | GTEx | DepMap | Descartes | 1.11 | 12.84 |
CDH11 | 0.0032371 | 448 | GTEx | DepMap | Descartes | 1.41 | 12.19 |
SFRP2 | 0.0011097 | 1735 | GTEx | DepMap | Descartes | 0.00 | 0.03 |
ADAMTS2 | 0.0007997 | 2243 | GTEx | DepMap | Descartes | 0.23 | 2.05 |
GAS2 | 0.0007096 | 2433 | GTEx | DepMap | Descartes | 0.16 | 4.46 |
GLI2 | 0.0005256 | 2943 | GTEx | DepMap | Descartes | 0.32 | 2.74 |
SCARA5 | 0.0004851 | 3066 | GTEx | DepMap | Descartes | 0.00 | 0.09 |
ELN | 0.0002760 | 3814 | GTEx | DepMap | Descartes | 0.12 | 1.67 |
ADAMTSL3 | 0.0000896 | 4693 | GTEx | DepMap | Descartes | 0.00 | 0.02 |
FREM1 | -0.0000251 | 5415 | GTEx | DepMap | Descartes | 0.05 | 0.32 |
OGN | -0.0000681 | 5808 | GTEx | DepMap | Descartes | 0.00 | 0.08 |
ABCA6 | -0.0001512 | 6692 | GTEx | DepMap | Descartes | 0.00 | 0.00 |
CD248 | -0.0001970 | 7156 | GTEx | DepMap | Descartes | 0.26 | 5.91 |
LAMC3 | -0.0002147 | 7320 | GTEx | DepMap | Descartes | 0.00 | 0.01 |
RSPO3 | -0.0002623 | 7751 | GTEx | DepMap | Descartes | 0.00 | NA |
COL27A1 | -0.0003104 | 8139 | GTEx | DepMap | Descartes | 0.02 | 0.15 |
PAMR1 | -0.0003140 | 8158 | GTEx | DepMap | Descartes | 0.00 | 0.00 |
IGFBP3 | -0.0003221 | 8215 | GTEx | DepMap | Descartes | 0.53 | 14.33 |
CLDN11 | -0.0003472 | 8402 | GTEx | DepMap | Descartes | 0.00 | 0.06 |
POSTN | -0.0004644 | 9123 | GTEx | DepMap | Descartes | 0.00 | 0.00 |
ACTA2 | -0.0004648 | 9126 | GTEx | DepMap | Descartes | 0.11 | 4.77 |
PCDH18 | -0.0005707 | 9704 | GTEx | DepMap | Descartes | 0.14 | 1.39 |
ISLR | -0.0005725 | 9713 | GTEx | DepMap | Descartes | 0.01 | 0.18 |
HHIP | -0.0006226 | 9949 | GTEx | DepMap | Descartes | 0.20 | 1.16 |
ABCC9 | -0.0006463 | 10034 | GTEx | DepMap | Descartes | 0.00 | 0.00 |
BICC1 | -0.0006791 | 10173 | GTEx | DepMap | Descartes | 0.24 | 2.45 |
EDNRA | -0.0008485 | 10753 | GTEx | DepMap | Descartes | 0.05 | 0.80 |
Descartes sympathoblasts markers
Top 50 marker genes of sympathoblasts cells in the Decartes fetal adrenal single cell map (https://atlas.brotmanbaty.org/bbi/human-gene-expression-during-development/cell/sympathoblasts/in/adrenal)
Wilcoxon ranksum test P-value for gene set overrepresentation: 6.46e-01
Mean rank of genes in gene set: 6494.53
Median rank of genes in gene set: 7280.5
Rank on gene expression program of top 30 genes in gene set:
Genes | Weight | Rank | GTEx | DepMap | Descartes | Mean.Counts | Mean.TPM |
---|---|---|---|---|---|---|---|
ROBO1 | 0.0051403 | 178 | GTEx | DepMap | Descartes | 2.91 | 23.45 |
TENM1 | 0.0047014 | 210 | GTEx | DepMap | Descartes | 0.26 | NA |
GRID2 | 0.0040514 | 280 | GTEx | DepMap | Descartes | 0.60 | 6.17 |
SPOCK3 | 0.0039372 | 292 | GTEx | DepMap | Descartes | 0.90 | 17.65 |
CDH18 | 0.0020505 | 850 | GTEx | DepMap | Descartes | 0.24 | 2.95 |
GALNTL6 | 0.0018701 | 972 | GTEx | DepMap | Descartes | 0.34 | 5.11 |
TIAM1 | 0.0015558 | 1219 | GTEx | DepMap | Descartes | 1.38 | 11.53 |
CCSER1 | 0.0014364 | 1335 | GTEx | DepMap | Descartes | 0.52 | NA |
SORCS3 | 0.0007239 | 2395 | GTEx | DepMap | Descartes | 0.01 | 0.12 |
SLC24A2 | 0.0006361 | 2596 | GTEx | DepMap | Descartes | 0.03 | 0.15 |
CDH12 | 0.0004171 | 3279 | GTEx | DepMap | Descartes | 0.01 | 0.12 |
NTNG1 | 0.0003790 | 3415 | GTEx | DepMap | Descartes | 0.31 | 4.06 |
GRM7 | 0.0002079 | 4097 | GTEx | DepMap | Descartes | 0.09 | 1.28 |
FAM155A | 0.0001644 | 4289 | GTEx | DepMap | Descartes | 1.13 | 7.03 |
ARC | 0.0001277 | 4475 | GTEx | DepMap | Descartes | 0.20 | 4.16 |
ST18 | -0.0000079 | 5281 | GTEx | DepMap | Descartes | 0.07 | 0.60 |
SLC35F3 | -0.0000659 | 5784 | GTEx | DepMap | Descartes | 0.11 | 2.03 |
CNTN3 | -0.0001927 | 7111 | GTEx | DepMap | Descartes | 0.01 | 0.13 |
LAMA3 | -0.0002017 | 7205 | GTEx | DepMap | Descartes | 0.00 | 0.01 |
PENK | -0.0002180 | 7356 | GTEx | DepMap | Descartes | 0.00 | 0.00 |
KSR2 | -0.0002494 | 7626 | GTEx | DepMap | Descartes | 0.00 | 0.00 |
UNC80 | -0.0002702 | 7823 | GTEx | DepMap | Descartes | 0.25 | 1.03 |
PACRG | -0.0002774 | 7873 | GTEx | DepMap | Descartes | 0.00 | 0.17 |
TBX20 | -0.0003330 | 8289 | GTEx | DepMap | Descartes | 0.05 | 2.05 |
GCH1 | -0.0003354 | 8311 | GTEx | DepMap | Descartes | 0.32 | 6.28 |
KCTD16 | -0.0003563 | 8465 | GTEx | DepMap | Descartes | 0.08 | 0.36 |
AGBL4 | -0.0005423 | 9558 | GTEx | DepMap | Descartes | 0.01 | 0.12 |
DGKK | -0.0005586 | 9651 | GTEx | DepMap | Descartes | 0.00 | 0.01 |
PCSK2 | -0.0007946 | 10592 | GTEx | DepMap | Descartes | 0.00 | 0.01 |
MGAT4C | -0.0009461 | 11036 | GTEx | DepMap | Descartes | 0.04 | 0.08 |
Descartes erythroblasts markers
Top 50 marker genes of erythroblasts cells in the Decartes fetal adrenal single cell map (https://atlas.brotmanbaty.org/bbi/human-gene-expression-during-development/cell/erythroblasts/in/adrenal)
Wilcoxon ranksum test P-value for gene set overrepresentation: 1.39e-01
Mean rank of genes in gene set: 5547.24
Median rank of genes in gene set: 5261
Rank on gene expression program of top 30 genes in gene set:
Genes | Weight | Rank | GTEx | DepMap | Descartes | Mean.Counts | Mean.TPM |
---|---|---|---|---|---|---|---|
MICAL2 | 0.0061870 | 123 | GTEx | DepMap | Descartes | 1.54 | 14.75 |
EPB41 | 0.0051374 | 179 | GTEx | DepMap | Descartes | 6.48 | 59.50 |
SPTB | 0.0020944 | 836 | GTEx | DepMap | Descartes | 0.31 | 1.72 |
SPECC1 | 0.0017553 | 1055 | GTEx | DepMap | Descartes | 0.72 | 5.14 |
TSPAN5 | 0.0010878 | 1765 | GTEx | DepMap | Descartes | 2.11 | 30.11 |
ANK1 | 0.0010127 | 1867 | GTEx | DepMap | Descartes | 0.28 | 1.86 |
ABCB10 | 0.0009699 | 1935 | GTEx | DepMap | Descartes | 0.49 | 7.50 |
SOX6 | 0.0004492 | 3174 | GTEx | DepMap | Descartes | 0.14 | 0.98 |
CAT | 0.0003464 | 3538 | GTEx | DepMap | Descartes | 0.79 | 20.91 |
FECH | 0.0002708 | 3839 | GTEx | DepMap | Descartes | 0.31 | 2.41 |
GCLC | 0.0002293 | 4016 | GTEx | DepMap | Descartes | 0.67 | 10.44 |
CPOX | 0.0001449 | 4393 | GTEx | DepMap | Descartes | 0.29 | 6.35 |
SNCA | 0.0000913 | 4686 | GTEx | DepMap | Descartes | 0.69 | 12.12 |
SLC25A37 | 0.0000284 | 5024 | GTEx | DepMap | Descartes | 2.15 | 27.65 |
XPO7 | -0.0000043 | 5261 | GTEx | DepMap | Descartes | 0.85 | 10.25 |
SLC4A1 | -0.0000727 | 5858 | GTEx | DepMap | Descartes | 0.00 | 0.00 |
RHD | -0.0000735 | 5865 | GTEx | DepMap | Descartes | 0.00 | 0.04 |
GYPC | -0.0000769 | 5908 | GTEx | DepMap | Descartes | 0.00 | 0.00 |
ALAS2 | -0.0000797 | 5940 | GTEx | DepMap | Descartes | 0.00 | 0.00 |
RGS6 | -0.0001879 | 7071 | GTEx | DepMap | Descartes | 0.00 | 0.00 |
SLC25A21 | -0.0002328 | 7485 | GTEx | DepMap | Descartes | 0.00 | 0.03 |
DENND4A | -0.0003816 | 8638 | GTEx | DepMap | Descartes | 0.36 | 2.40 |
TMCC2 | -0.0004151 | 8850 | GTEx | DepMap | Descartes | 0.03 | 0.33 |
SELENBP1 | -0.0005622 | 9663 | GTEx | DepMap | Descartes | 0.02 | 0.46 |
MARCH3 | -0.0006226 | 9948 | GTEx | DepMap | Descartes | 0.18 | NA |
TRAK2 | -0.0007260 | 10351 | GTEx | DepMap | Descartes | 0.45 | 4.18 |
RAPGEF2 | -0.0007780 | 10543 | GTEx | DepMap | Descartes | 0.44 | 3.04 |
TFR2 | -0.0008174 | 10662 | GTEx | DepMap | Descartes | 0.00 | 0.05 |
BLVRB | -0.0023712 | 12397 | GTEx | DepMap | Descartes | 0.02 | 0.70 |
NA | NA | NA | NA | NA | NA | NA | NA |
Descartes myeloid markers
Top 50 marker genes of myeloid cells in the Decartes fetal adrenal single cell map (https://atlas.brotmanbaty.org/bbi/human-gene-expression-during-development/cell/myeloid/in/adrenal)
Wilcoxon ranksum test P-value for gene set overrepresentation: 9.95e-01
Mean rank of genes in gene set: 7768.32
Median rank of genes in gene set: 7794.5
Rank on gene expression program of top 30 genes in gene set:
Genes | Weight | Rank | GTEx | DepMap | Descartes | Mean.Counts | Mean.TPM |
---|---|---|---|---|---|---|---|
RBPJ | 0.0008989 | 2050 | GTEx | DepMap | Descartes | 4.17 | 41.05 |
CTSC | 0.0006954 | 2461 | GTEx | DepMap | Descartes | 3.90 | 38.22 |
CSF1R | 0.0005392 | 2889 | GTEx | DepMap | Descartes | 0.00 | 0.04 |
SFMBT2 | 0.0004294 | 3247 | GTEx | DepMap | Descartes | 0.33 | 2.47 |
SLC9A9 | 0.0003027 | 3708 | GTEx | DepMap | Descartes | 0.04 | 0.70 |
FGL2 | 0.0003011 | 3713 | GTEx | DepMap | Descartes | 0.01 | 0.07 |
ATP8B4 | 0.0001519 | 4351 | GTEx | DepMap | Descartes | 0.00 | 0.01 |
CD74 | 0.0000787 | 4739 | GTEx | DepMap | Descartes | 0.00 | 0.09 |
CD163L1 | 0.0000218 | 5075 | GTEx | DepMap | Descartes | 1.33 | 17.09 |
FGD2 | -0.0000122 | 5306 | GTEx | DepMap | Descartes | 0.00 | 0.00 |
CD163 | -0.0000298 | 5456 | GTEx | DepMap | Descartes | 0.00 | 0.00 |
SLCO2B1 | -0.0001011 | 6170 | GTEx | DepMap | Descartes | 0.00 | 0.00 |
MS4A4A | -0.0001022 | 6181 | GTEx | DepMap | Descartes | 0.00 | 0.00 |
HCK | -0.0001091 | 6239 | GTEx | DepMap | Descartes | 0.00 | 0.00 |
ADAP2 | -0.0001168 | 6322 | GTEx | DepMap | Descartes | 0.00 | 0.04 |
CYBB | -0.0001313 | 6495 | GTEx | DepMap | Descartes | 0.00 | 0.00 |
LGMN | -0.0001596 | 6777 | GTEx | DepMap | Descartes | 0.50 | 13.87 |
SPP1 | -0.0001752 | 6945 | GTEx | DepMap | Descartes | 0.03 | 0.73 |
CD14 | -0.0002613 | 7744 | GTEx | DepMap | Descartes | 0.00 | 0.02 |
MSR1 | -0.0002736 | 7845 | GTEx | DepMap | Descartes | 0.00 | 0.00 |
MARCH1 | -0.0003082 | 8112 | GTEx | DepMap | Descartes | 0.06 | NA |
RGL1 | -0.0003302 | 8272 | GTEx | DepMap | Descartes | 0.43 | 5.03 |
WWP1 | -0.0003888 | 8684 | GTEx | DepMap | Descartes | 0.33 | 3.90 |
IFNGR1 | -0.0004503 | 9052 | GTEx | DepMap | Descartes | 0.51 | 12.35 |
CTSS | -0.0004616 | 9118 | GTEx | DepMap | Descartes | 0.00 | 0.05 |
ABCA1 | -0.0005294 | 9482 | GTEx | DepMap | Descartes | 0.03 | 0.19 |
MERTK | -0.0006056 | 9869 | GTEx | DepMap | Descartes | 0.01 | 0.18 |
ITPR2 | -0.0006417 | 10017 | GTEx | DepMap | Descartes | 1.05 | 5.00 |
HRH1 | -0.0009193 | 10970 | GTEx | DepMap | Descartes | 0.00 | 0.03 |
TGFBI | -0.0009215 | 10973 | GTEx | DepMap | Descartes | 0.00 | 0.00 |
Descartes Schwann markers
Top 50 marker genes of Schwann cells in the Decartes fetal adrenal single cell map (https://atlas.brotmanbaty.org/bbi/human-gene-expression-during-development/cell/schwann/in/adrenal)
Wilcoxon ranksum test P-value for gene set overrepresentation: 6.08e-01
Mean rank of genes in gene set: 6424.86
Median rank of genes in gene set: 6352.5
Rank on gene expression program of top 30 genes in gene set:
Genes | Weight | Rank | GTEx | DepMap | Descartes | Mean.Counts | Mean.TPM |
---|---|---|---|---|---|---|---|
ERBB4 | 0.0109032 | 42 | GTEx | DepMap | Descartes | 1.59 | 7.96 |
GRIK3 | 0.0085795 | 64 | GTEx | DepMap | Descartes | 1.29 | 7.82 |
NRXN1 | 0.0060342 | 131 | GTEx | DepMap | Descartes | 3.57 | 22.75 |
PTPRZ1 | 0.0049536 | 193 | GTEx | DepMap | Descartes | 0.77 | 5.77 |
TRPM3 | 0.0038163 | 316 | GTEx | DepMap | Descartes | 0.48 | 2.38 |
VCAN | 0.0019575 | 911 | GTEx | DepMap | Descartes | 4.43 | 21.77 |
MDGA2 | 0.0018060 | 1013 | GTEx | DepMap | Descartes | 0.07 | 0.79 |
MARCKS | 0.0017707 | 1045 | GTEx | DepMap | Descartes | 20.80 | 285.86 |
KCTD12 | 0.0010987 | 1750 | GTEx | DepMap | Descartes | 1.37 | 12.99 |
PAG1 | 0.0010732 | 1786 | GTEx | DepMap | Descartes | 0.46 | 2.46 |
LRRTM4 | 0.0008719 | 2105 | GTEx | DepMap | Descartes | 0.05 | 0.89 |
PMP22 | 0.0008229 | 2209 | GTEx | DepMap | Descartes | 1.79 | 58.20 |
FIGN | 0.0007643 | 2310 | GTEx | DepMap | Descartes | 1.16 | 6.89 |
EGFLAM | 0.0006749 | 2510 | GTEx | DepMap | Descartes | 0.12 | 1.66 |
NRXN3 | 0.0001467 | 4381 | GTEx | DepMap | Descartes | 0.02 | 0.17 |
COL25A1 | 0.0000258 | 5045 | GTEx | DepMap | Descartes | 0.03 | 0.25 |
XKR4 | -0.0000541 | 5665 | GTEx | DepMap | Descartes | 0.00 | 0.00 |
PLP1 | -0.0000576 | 5703 | GTEx | DepMap | Descartes | 0.00 | 0.10 |
GFRA3 | -0.0000589 | 5716 | GTEx | DepMap | Descartes | 0.04 | 1.11 |
ERBB3 | -0.0000708 | 5838 | GTEx | DepMap | Descartes | 0.01 | 0.10 |
SCN7A | -0.0000866 | 6010 | GTEx | DepMap | Descartes | 0.03 | 0.23 |
IL1RAPL2 | -0.0000907 | 6056 | GTEx | DepMap | Descartes | 0.00 | 0.00 |
DST | -0.0001466 | 6649 | GTEx | DepMap | Descartes | 6.28 | 16.80 |
SORCS1 | -0.0003090 | 8123 | GTEx | DepMap | Descartes | 0.65 | 5.18 |
EDNRB | -0.0003126 | 8148 | GTEx | DepMap | Descartes | 0.01 | 0.15 |
SOX5 | -0.0003324 | 8285 | GTEx | DepMap | Descartes | 0.23 | 1.80 |
COL18A1 | -0.0003439 | 8378 | GTEx | DepMap | Descartes | 0.52 | 4.66 |
MPZ | -0.0003528 | 8441 | GTEx | DepMap | Descartes | 0.00 | 0.00 |
GAS7 | -0.0003980 | 8747 | GTEx | DepMap | Descartes | 0.00 | 0.02 |
ADAMTS5 | -0.0004896 | 9277 | GTEx | DepMap | Descartes | 0.44 | 2.77 |
Descartes Megakaryocytes markers
Top 50 marker genes of Megakaryocytes cells in the Decartes fetal adrenal single cell map (https://atlas.brotmanbaty.org/bbi/human-gene-expression-during-development/cell/megakaryocytes/in/adrenal)
Wilcoxon ranksum test P-value for gene set overrepresentation: 9.95e-01
Mean rank of genes in gene set: 7670.29
Median rank of genes in gene set: 9280
Rank on gene expression program of top 30 genes in gene set:
Genes | Weight | Rank | GTEx | DepMap | Descartes | Mean.Counts | Mean.TPM |
---|---|---|---|---|---|---|---|
RAP1B | 0.0211611 | 12 | GTEx | DepMap | Descartes | 28.06 | 124.32 |
FLI1 | 0.0054486 | 158 | GTEx | DepMap | Descartes | 0.13 | 1.51 |
DOK6 | 0.0039263 | 294 | GTEx | DepMap | Descartes | 1.40 | 9.27 |
SPN | 0.0025167 | 662 | GTEx | DepMap | Descartes | 0.13 | 1.07 |
ARHGAP6 | 0.0021875 | 791 | GTEx | DepMap | Descartes | 0.43 | 4.10 |
HIPK2 | 0.0014283 | 1344 | GTEx | DepMap | Descartes | 2.39 | 9.03 |
MMRN1 | 0.0013851 | 1391 | GTEx | DepMap | Descartes | 0.00 | 0.02 |
MED12L | 0.0009862 | 1914 | GTEx | DepMap | Descartes | 0.37 | 2.01 |
STON2 | 0.0009707 | 1934 | GTEx | DepMap | Descartes | 0.48 | 6.26 |
PLEK | 0.0007553 | 2325 | GTEx | DepMap | Descartes | 0.00 | 0.09 |
CD84 | 0.0005279 | 2932 | GTEx | DepMap | Descartes | 0.00 | 0.02 |
TPM4 | 0.0003171 | 3655 | GTEx | DepMap | Descartes | 8.72 | 106.94 |
LTBP1 | -0.0000128 | 5314 | GTEx | DepMap | Descartes | 0.75 | 6.62 |
MCTP1 | -0.0000257 | 5421 | GTEx | DepMap | Descartes | 0.08 | 0.91 |
GP1BA | -0.0000699 | 5829 | GTEx | DepMap | Descartes | 0.01 | 0.19 |
PRKAR2B | -0.0000955 | 6110 | GTEx | DepMap | Descartes | 1.90 | 29.68 |
LIMS1 | -0.0001227 | 6392 | GTEx | DepMap | Descartes | 2.74 | 35.47 |
TUBB1 | -0.0001287 | 6462 | GTEx | DepMap | Descartes | 0.00 | 0.02 |
ITGA2B | -0.0001749 | 6939 | GTEx | DepMap | Descartes | 0.01 | 0.20 |
P2RX1 | -0.0002095 | 7275 | GTEx | DepMap | Descartes | 0.00 | 0.00 |
PSTPIP2 | -0.0002280 | 7445 | GTEx | DepMap | Descartes | 0.08 | 1.63 |
TRPC6 | -0.0002989 | 8048 | GTEx | DepMap | Descartes | 0.00 | 0.00 |
ITGB3 | -0.0004901 | 9280 | GTEx | DepMap | Descartes | 0.00 | 0.00 |
SLC24A3 | -0.0005725 | 9712 | GTEx | DepMap | Descartes | 0.00 | 0.00 |
INPP4B | -0.0005884 | 9794 | GTEx | DepMap | Descartes | 0.04 | 0.31 |
UBASH3B | -0.0005972 | 9825 | GTEx | DepMap | Descartes | 0.02 | 0.17 |
ACTN1 | -0.0008565 | 10777 | GTEx | DepMap | Descartes | 2.09 | 25.75 |
RAB27B | -0.0008826 | 10862 | GTEx | DepMap | Descartes | 0.07 | 0.63 |
PDE3A | -0.0008985 | 10911 | GTEx | DepMap | Descartes | 0.02 | 0.17 |
FERMT3 | -0.0009000 | 10915 | GTEx | DepMap | Descartes | 0.01 | 0.32 |
Descartes Lyphoid markers
Top 50 marker genes of Lyphoid cells in the Decartes fetal adrenal single cell map (https://atlas.brotmanbaty.org/bbi/human-gene-expression-during-development/cell/lymphoid/in/adrenal)
Wilcoxon ranksum test P-value for gene set overrepresentation: 6.83e-01
Mean rank of genes in gene set: 6541.4
Median rank of genes in gene set: 7583.5
Rank on gene expression program of top 30 genes in gene set:
Genes | Weight | Rank | GTEx | DepMap | Descartes | Mean.Counts | Mean.TPM |
---|---|---|---|---|---|---|---|
LEF1 | 0.0061758 | 124 | GTEx | DepMap | Descartes | 0.75 | 12.62 |
CELF2 | 0.0060576 | 130 | GTEx | DepMap | Descartes | 1.53 | 10.88 |
MSN | 0.0035272 | 378 | GTEx | DepMap | Descartes | 3.14 | 47.37 |
EVL | 0.0019659 | 903 | GTEx | DepMap | Descartes | 4.07 | 64.60 |
ETS1 | 0.0017179 | 1081 | GTEx | DepMap | Descartes | 0.69 | 7.83 |
PDE3B | 0.0014417 | 1330 | GTEx | DepMap | Descartes | 0.85 | 8.67 |
FYN | 0.0014302 | 1341 | GTEx | DepMap | Descartes | 2.27 | 37.03 |
BACH2 | 0.0012949 | 1486 | GTEx | DepMap | Descartes | 0.31 | 1.98 |
ITPKB | 0.0012750 | 1502 | GTEx | DepMap | Descartes | 0.43 | 4.28 |
CCND3 | 0.0012469 | 1546 | GTEx | DepMap | Descartes | 0.94 | 23.07 |
PRKCH | 0.0011269 | 1710 | GTEx | DepMap | Descartes | 0.16 | 2.73 |
PITPNC1 | 0.0009460 | 1978 | GTEx | DepMap | Descartes | 1.06 | 9.85 |
TMSB10 | 0.0008262 | 2200 | GTEx | DepMap | Descartes | 98.93 | 12587.58 |
FOXP1 | 0.0006384 | 2591 | GTEx | DepMap | Descartes | 2.07 | 13.41 |
ARHGAP15 | 0.0004512 | 3171 | GTEx | DepMap | Descartes | 0.00 | 0.04 |
SCML4 | 0.0000150 | 5123 | GTEx | DepMap | Descartes | 0.01 | 0.07 |
CCL5 | -0.0000390 | 5521 | GTEx | DepMap | Descartes | 0.01 | 0.24 |
ANKRD44 | -0.0001591 | 6771 | GTEx | DepMap | Descartes | 0.34 | 2.74 |
STK39 | -0.0002158 | 7329 | GTEx | DepMap | Descartes | 0.81 | 14.11 |
DOCK10 | -0.0002238 | 7402 | GTEx | DepMap | Descartes | 0.22 | 1.74 |
SKAP1 | -0.0002438 | 7580 | GTEx | DepMap | Descartes | 0.00 | 0.00 |
IKZF1 | -0.0002446 | 7587 | GTEx | DepMap | Descartes | 0.00 | 0.00 |
MCTP2 | -0.0002492 | 7625 | GTEx | DepMap | Descartes | 0.00 | 0.01 |
SAMD3 | -0.0002519 | 7650 | GTEx | DepMap | Descartes | 0.00 | 0.00 |
RCSD1 | -0.0002629 | 7755 | GTEx | DepMap | Descartes | 0.00 | 0.00 |
RAP1GAP2 | -0.0004201 | 8875 | GTEx | DepMap | Descartes | 0.27 | 2.32 |
ARHGDIB | -0.0004367 | 8986 | GTEx | DepMap | Descartes | 0.19 | 9.78 |
SORL1 | -0.0005339 | 9509 | GTEx | DepMap | Descartes | 0.13 | 0.70 |
TOX | -0.0006122 | 9902 | GTEx | DepMap | Descartes | 0.32 | 4.50 |
MBNL1 | -0.0006432 | 10026 | GTEx | DepMap | Descartes | 1.19 | 11.00 |
Below shows the ranks on this GEP for immune marker gene lists curated by CellTypist (https://www.celltypist.org/encyclopedia).
High ranks indicate this gene is a driver of this GEP.
These curated gene list are ranked by P-value (on this GEP) of their constituent genes.
The Mean Count column shows the mean read count in cells scoring highly (H > 50) on this gene expression program.
Genes | Weight | Rank | GTEx | DepMap | Decartes | Mean.Counts | Mean.TPM |
---|---|---|---|---|---|---|---|
GATA3 | 0.0029758 | 507 | GTEx | DepMap | Descartes | 10.38 | 196.19 |
ETS1 | 0.0017179 | 1081 | GTEx | DepMap | Descartes | 0.69 | 7.83 |
Erythroid: Mid erythroid (curated markers)
middle erythroid cells in fetal liver:
Wilcoxon ranksum test P-value for gene set overrepresentation: 3.79e-02
Mean rank of genes in gene set: 1728
Rank on gene expression program of genes in gene set:
Genes | Weight | Rank | GTEx | DepMap | Decartes | Mean.Counts | Mean.TPM |
---|---|---|---|---|---|---|---|
PRDX2 | 0.0020381 | 853 | GTEx | DepMap | Descartes | 28.87 | 981.32 |
KCNH2 | 0.0006342 | 2603 | GTEx | DepMap | Descartes | 1.30 | 17.51 |
HSC/MPP: Megakaryocyte-erythroid-mast cell progenitor (model markers)
shared progenitors in the fetal liver which originate from common myeloid progenitors and differentiate into megakaryocytes:
Wilcoxon ranksum test P-value for gene set overrepresentation: 4.87e-02
Mean rank of genes in gene set: 271
Rank on gene expression program of genes in gene set:
Genes | Weight | Rank | GTEx | DepMap | Decartes | Mean.Counts | Mean.TPM |
---|---|---|---|---|---|---|---|
CKB | 0.0041389 | 271 | GTEx | DepMap | Descartes | 27.41 | 1115.12 |