Program description and justification of annotation: 7.
Submit a comment on this gene expression program’s interpretation: CLICK
QQ-plot of gene loadings, averaged over both independent splits of the data
This plot highlights the relative contribution of each gene to the GEP
Top genes driving this program.
Note: Decartes website is buggy, try refreshing. Also, Decartes fetal adrenal data have been collected at specific time points (89-122 days), all possible cell types of interest may not be represented, do not overinterpret.
The Mean Count column shows the mean read count in cells scoring highly (H > 50) on this gene expression program.
Gene | Loading | Gene.Name | GTEx | DepMap | Descartes | Mean.Counts | Mean.Tpm | |
---|---|---|---|---|---|---|---|---|
1 | FN1 | 0.0196386 | fibronectin 1 | GTEx | DepMap | Descartes | 94.91 | 395.55 |
2 | SRGN | 0.0195011 | serglycin | GTEx | DepMap | Descartes | 7.51 | 221.23 |
3 | HAPLN1 | 0.0191921 | hyaluronan and proteoglycan link protein 1 | GTEx | DepMap | Descartes | 7.28 | 53.72 |
4 | GLIPR1 | 0.0179640 | GLI pathogenesis related 1 | GTEx | DepMap | Descartes | 14.27 | 87.68 |
5 | COL1A2 | 0.0178913 | collagen type I alpha 2 chain | GTEx | DepMap | Descartes | 13.54 | 86.62 |
6 | TIMP3 | 0.0178601 | TIMP metallopeptidase inhibitor 3 | GTEx | DepMap | Descartes | 20.50 | 165.45 |
7 | HMGA2 | 0.0178402 | high mobility group AT-hook 2 | GTEx | DepMap | Descartes | 18.35 | 86.03 |
8 | LMO7 | 0.0173657 | LIM domain 7 | GTEx | DepMap | Descartes | 22.42 | 96.72 |
9 | EDIL3 | 0.0170920 | EGF like repeats and discoidin domains 3 | GTEx | DepMap | Descartes | 11.69 | 92.45 |
10 | SFRP1 | 0.0170489 | secreted frizzled related protein 1 | GTEx | DepMap | Descartes | 97.32 | 819.55 |
11 | CREB3L1 | 0.0163107 | cAMP responsive element binding protein 3 like 1 | GTEx | DepMap | Descartes | 4.46 | 62.44 |
12 | LGALS1 | 0.0161679 | galectin 1 | GTEx | DepMap | Descartes | 295.62 | 17299.58 |
13 | VIM | 0.0160013 | vimentin | GTEx | DepMap | Descartes | 422.64 | 5928.23 |
14 | MOK | 0.0159525 | MOK protein kinase | GTEx | DepMap | Descartes | 21.13 | 187.01 |
15 | KCNMA1 | 0.0157730 | potassium calcium-activated channel subfamily M alpha 1 | GTEx | DepMap | Descartes | 32.14 | 101.75 |
16 | FST | 0.0155695 | follistatin | GTEx | DepMap | Descartes | 14.55 | 196.09 |
17 | PALLD | 0.0154186 | palladin, cytoskeletal associated protein | GTEx | DepMap | Descartes | 20.13 | 129.01 |
18 | COL6A3 | 0.0151883 | collagen type VI alpha 3 chain | GTEx | DepMap | Descartes | 6.78 | 25.18 |
19 | KLHL4 | 0.0151697 | kelch like family member 4 | GTEx | DepMap | Descartes | 1.84 | 12.17 |
20 | HHIP | 0.0147393 | hedgehog interacting protein | GTEx | DepMap | Descartes | 7.59 | 27.72 |
21 | AXL | 0.0146730 | AXL receptor tyrosine kinase | GTEx | DepMap | Descartes | 9.09 | 71.23 |
22 | COL5A2 | 0.0146442 | collagen type V alpha 2 chain | GTEx | DepMap | Descartes | 4.81 | 27.70 |
23 | TAGLN | 0.0143908 | transgelin | GTEx | DepMap | Descartes | 16.00 | 149.82 |
24 | TMSB10 | 0.0142910 | thymosin beta 10 | GTEx | DepMap | Descartes | 475.32 | 38036.48 |
25 | EFEMP1 | 0.0142425 | EGF containing fibulin extracellular matrix protein 1 | GTEx | DepMap | Descartes | 5.02 | 60.41 |
26 | MET | 0.0141728 | MET proto-oncogene, receptor tyrosine kinase | GTEx | DepMap | Descartes | 5.18 | 27.73 |
27 | LARP6 | 0.0139591 | La ribonucleoprotein 6, translational regulator | GTEx | DepMap | Descartes | 22.36 | 183.07 |
28 | TGFBR2 | 0.0139238 | transforming growth factor beta receptor 2 | GTEx | DepMap | Descartes | 5.04 | 33.49 |
29 | COL1A1 | 0.0139032 | collagen type I alpha 1 chain | GTEx | DepMap | Descartes | 58.87 | 383.33 |
30 | CST3 | 0.0138044 | cystatin C | GTEx | DepMap | Descartes | 58.24 | 668.83 |
31 | FGF1 | 0.0137507 | fibroblast growth factor 1 | GTEx | DepMap | Descartes | 3.41 | 29.69 |
32 | NR2F2 | 0.0137083 | nuclear receptor subfamily 2 group F member 2 | GTEx | DepMap | Descartes | 17.27 | 124.17 |
33 | NNMT | 0.0135304 | nicotinamide N-methyltransferase | GTEx | DepMap | Descartes | 5.96 | 117.58 |
34 | PDLIM2 | 0.0135221 | PDZ and LIM domain 2 | GTEx | DepMap | Descartes | 17.88 | 99.33 |
35 | SERPINE2 | 0.0133125 | serpin family E member 2 | GTEx | DepMap | Descartes | 16.15 | 96.37 |
36 | LOXL2 | 0.0130942 | lysyl oxidase like 2 | GTEx | DepMap | Descartes | 6.86 | 68.20 |
37 | OSR1 | 0.0130874 | odd-skipped related transcription factor 1 | GTEx | DepMap | Descartes | 3.35 | 31.13 |
38 | ANXA2 | 0.0129726 | annexin A2 | GTEx | DepMap | Descartes | 124.87 | 1295.06 |
39 | XDH | 0.0129690 | xanthine dehydrogenase | GTEx | DepMap | Descartes | 0.88 | 5.52 |
40 | THBS1 | 0.0129130 | thrombospondin 1 | GTEx | DepMap | Descartes | 14.35 | 68.72 |
41 | EMP1 | 0.0125666 | epithelial membrane protein 1 | GTEx | DepMap | Descartes | 2.81 | 17.66 |
42 | VEPH1 | 0.0125299 | ventricular zone expressed PH domain containing 1 | GTEx | DepMap | Descartes | 1.73 | 15.01 |
43 | UACA | 0.0123926 | uveal autoantigen with coiled-coil domains and ankyrin repeats | GTEx | DepMap | Descartes | 16.32 | 87.27 |
44 | MAP3K7CL | 0.0122338 | MAP3K7 C-terminal like | GTEx | DepMap | Descartes | 1.61 | NA |
45 | LDHA | 0.0121019 | lactate dehydrogenase A | GTEx | DepMap | Descartes | 114.24 | 1818.20 |
46 | CPA4 | 0.0120876 | carboxypeptidase A4 | GTEx | DepMap | Descartes | 8.48 | 112.13 |
47 | AR | 0.0120796 | androgen receptor | GTEx | DepMap | Descartes | 2.19 | 7.70 |
48 | LIMA1 | 0.0120312 | LIM domain and actin binding 1 | GTEx | DepMap | Descartes | 29.92 | 276.39 |
49 | MPP4 | 0.0119926 | MAGUK p55 scaffold protein 4 | GTEx | DepMap | Descartes | 1.83 | 27.69 |
50 | TMSB4X | 0.0119622 | thymosin beta 4 X-linked | GTEx | DepMap | Descartes | 286.95 | 6315.78 |
UMAP plots showing activity of gene expression program identified in community:7. NB Cell Line #7 (Mixed Mesenchymal)
CNV Data procured from inferCNV.
Outer tracks are putative CNV regions (gains = red, losses = blue) for each patient
Inner track is expression data representing:
The top cells expressing this GEP (purple)
Random cells (n =50) from the reference set used in inferCNV (orange)
Gene set Enrichments for this program, caculated from top 50 genes
mSigDB Cell Types Gene Set:
P-value | OR | Lower 95% CI | FDR | FWER | Genes Found | Gene Set Size | |
---|---|---|---|---|---|---|---|
MENON_FETAL_KIDNEY_3_STROMAL_CELLS | 2.07e-16 | 57.07 | 26.00 | 1.39e-13 | 1.39e-13 | 12FN1, COL1A2, SFRP1, LGALS1, VIM, PALLD, COL6A3, COL5A2, COL1A1, NR2F2, UACA, TMSB4X |
81 |
CUI_DEVELOPING_HEART_COMPACT_VENTRICULAR_CARDIOMYOCYTE | 3.06e-12 | 48.82 | 19.93 | 6.84e-10 | 2.05e-09 | 9FN1, SRGN, HAPLN1, COL1A2, LGALS1, VIM, COL6A3, COL5A2, COL1A1 |
65 |
DURANTE_ADULT_OLFACTORY_NEUROEPITHELIUM_FIBROBLASTS_STROMAL_CELLS | 9.58e-10 | 32.13 | 12.59 | 8.04e-08 | 6.43e-07 | 8GLIPR1, COL1A2, SFRP1, LGALS1, VIM, TAGLN, COL1A1, NR2F2 |
82 |
AIZARANI_LIVER_C21_STELLATE_CELLS_1 | 8.07e-12 | 21.69 | 10.14 | 1.35e-09 | 5.42e-09 | 12COL1A2, TIMP3, SFRP1, LGALS1, VIM, PALLD, COL6A3, EFEMP1, COL1A1, NR2F2, THBS1, EMP1 |
194 |
MENON_FETAL_KIDNEY_9_ENDOTHELIAL_CELLS | 5.49e-09 | 25.29 | 9.99 | 3.07e-07 | 3.68e-06 | 8FN1, TIMP3, LGALS1, TMSB10, TGFBR2, ANXA2, UACA, TMSB4X |
102 |
DESCARTES_FETAL_EYE_STROMAL_CELLS | 5.71e-08 | 24.48 | 9.03 | 2.55e-06 | 3.83e-05 | 7FN1, COL1A2, CREB3L1, COL6A3, COL5A2, COL1A1, THBS1 |
90 |
RUBENSTEIN_SKELETAL_MUSCLE_FAP_CELLS | 1.49e-09 | 18.48 | 8.11 | 9.39e-08 | 9.97e-07 | 10FN1, COL1A2, VIM, COL6A3, EFEMP1, COL1A1, CST3, ANXA2, EMP1, LIMA1 |
179 |
AIZARANI_LIVER_C33_STELLATE_CELLS_2 | 2.89e-08 | 20.16 | 8.00 | 1.49e-06 | 1.94e-05 | 8COL1A2, TIMP3, LGALS1, VIM, PALLD, COL1A1, NR2F2, UACA |
126 |
TRAVAGLINI_LUNG_ADVENTITIAL_FIBROBLAST_CELL | 6.57e-11 | 15.52 | 7.49 | 8.82e-09 | 4.41e-08 | 13COL1A2, SFRP1, COL6A3, EFEMP1, TGFBR2, COL1A1, CST3, NNMT, OSR1, ANXA2, EMP1, LDHA, LIMA1 |
296 |
MURARO_PANCREAS_MESENCHYMAL_STROMAL_CELL | 1.04e-14 | 13.75 | 7.41 | 3.48e-12 | 6.96e-12 | 21FN1, COL1A2, TIMP3, SFRP1, CREB3L1, LGALS1, VIM, COL6A3, AXL, COL5A2, TMSB10, COL1A1, NR2F2, NNMT, LOXL2, ANXA2, THBS1, EMP1, UACA, LDHA, TMSB4X |
680 |
RUBENSTEIN_SKELETAL_MUSCLE_FBN1_FAP_CELLS | 7.63e-10 | 14.25 | 6.70 | 7.32e-08 | 5.12e-07 | 12FN1, COL1A2, TIMP3, VIM, COL6A3, AXL, EFEMP1, COL1A1, CST3, ANXA2, LDHA, LIMA1 |
289 |
FAN_EMBRYONIC_CTX_BRAIN_ENDOTHELIAL_2 | 1.29e-09 | 13.56 | 6.39 | 9.39e-08 | 8.68e-07 | 12FN1, COL1A2, TIMP3, LGALS1, VIM, COL5A2, TAGLN, NR2F2, PDLIM2, ANXA2, UACA, LIMA1 |
303 |
CUI_DEVELOPING_HEART_VASCULAR_ENDOTHELIAL_CELL | 5.10e-08 | 14.91 | 6.28 | 2.45e-06 | 3.43e-05 | 9SFRP1, COL5A2, EFEMP1, MET, COL1A1, CST3, NNMT, SERPINE2, LIMA1 |
193 |
HU_FETAL_RETINA_FIBROBLAST | 1.54e-09 | 11.81 | 5.71 | 9.39e-08 | 1.03e-06 | 13FN1, COL1A2, HMGA2, LGALS1, FST, COL6A3, COL5A2, COL1A1, NR2F2, LOXL2, ANXA2, UACA, LIMA1 |
385 |
MENON_FETAL_KIDNEY_10_IMMUNE_CELLS | 1.82e-05 | 17.79 | 5.37 | 3.61e-04 | 1.22e-02 | 5SRGN, LGALS1, TMSB10, CST3, TMSB4X |
83 |
DURANTE_ADULT_OLFACTORY_NEUROEPITHELIUM_OLFACTORY_ENSHEATHING_GLIA | 5.64e-06 | 15.63 | 5.33 | 1.65e-04 | 3.79e-03 | 6TIMP3, EDIL3, LGALS1, VIM, CST3, SERPINE2 |
115 |
CUI_DEVELOPING_HEART_C3_FIBROBLAST_LIKE_CELL | 6.23e-06 | 15.35 | 5.24 | 1.74e-04 | 4.18e-03 | 6COL1A2, LGALS1, COL6A3, COL5A2, COL1A1, SERPINE2 |
117 |
LAKE_ADULT_KIDNEY_C24_ENDOTHELIAL_CELLS_AEA_AND_DVR | 1.99e-06 | 14.03 | 5.24 | 6.67e-05 | 1.33e-03 | 7SRGN, TIMP3, VIM, TMSB10, EMP1, UACA, TMSB4X |
152 |
LAKE_ADULT_KIDNEY_C28_INTERSTITIUM | 2.16e-05 | 17.14 | 5.17 | 4.15e-04 | 1.45e-02 | 5TIMP3, PALLD, THBS1, UACA, TMSB4X |
86 |
HAY_BONE_MARROW_STROMAL | 1.21e-10 | 9.42 | 4.95 | 1.36e-08 | 8.13e-08 | 18FN1, COL1A2, TIMP3, EDIL3, SFRP1, FST, PALLD, COL6A3, COL5A2, TAGLN, EFEMP1, LARP6, COL1A1, FGF1, NR2F2, NNMT, EMP1, LIMA1 |
765 |
Dowload full table
mSigDB Hallmark Gene Sets:
P-value | OR | Lower 95% CI | FDR | FWER | Genes Found | Gene Set Size | |
---|---|---|---|---|---|---|---|
HALLMARK_EPITHELIAL_MESENCHYMAL_TRANSITION | 2.27e-17 | 31.95 | 16.17 | 1.13e-15 | 1.13e-15 | 16FN1, GLIPR1, COL1A2, TIMP3, EDIL3, SFRP1, LGALS1, VIM, COL6A3, COL5A2, TAGLN, COL1A1, NNMT, SERPINE2, LOXL2, THBS1 |
200 |
HALLMARK_UV_RESPONSE_DN | 8.11e-08 | 17.50 | 6.96 | 2.03e-06 | 4.05e-06 | 8COL1A2, KCNMA1, COL5A2, EFEMP1, MET, TGFBR2, COL1A1, ANXA2 |
144 |
HALLMARK_MYOGENESIS | 7.71e-03 | 5.55 | 1.44 | 1.28e-01 | 3.85e-01 | 4FST, COL6A3, TAGLN, COL1A1 |
200 |
HALLMARK_COAGULATION | 1.70e-02 | 5.91 | 1.16 | 2.13e-01 | 8.50e-01 | 3FN1, TIMP3, THBS1 |
138 |
HALLMARK_FATTY_ACID_METABOLISM | 1.28e-01 | 3.34 | 0.39 | 8.80e-01 | 1.00e+00 | 2LGALS1, LDHA |
158 |
HALLMARK_APOPTOSIS | 1.32e-01 | 3.28 | 0.38 | 8.80e-01 | 1.00e+00 | 2TIMP3, EMP1 |
161 |
HALLMARK_HYPOXIA | 1.85e-01 | 2.63 | 0.31 | 8.80e-01 | 1.00e+00 | 2ANXA2, LDHA |
200 |
HALLMARK_INFLAMMATORY_RESPONSE | 1.85e-01 | 2.63 | 0.31 | 8.80e-01 | 1.00e+00 | 2AXL, MET |
200 |
HALLMARK_GLYCOLYSIS | 1.85e-01 | 2.63 | 0.31 | 8.80e-01 | 1.00e+00 | 2MET, LDHA |
200 |
HALLMARK_ANGIOGENESIS | 1.34e-01 | 7.29 | 0.18 | 8.80e-01 | 1.00e+00 | 1COL5A2 |
36 |
HALLMARK_TGF_BETA_SIGNALING | 1.94e-01 | 4.81 | 0.12 | 8.80e-01 | 1.00e+00 | 1THBS1 |
54 |
HALLMARK_BILE_ACID_METABOLISM | 3.59e-01 | 2.30 | 0.06 | 1.00e+00 | 1.00e+00 | 1AR |
112 |
HALLMARK_MITOTIC_SPINDLE | 5.45e-01 | 1.29 | 0.03 | 1.00e+00 | 1.00e+00 | 1PALLD |
199 |
HALLMARK_IL2_STAT5_SIGNALING | 5.45e-01 | 1.29 | 0.03 | 1.00e+00 | 1.00e+00 | 1EMP1 |
199 |
HALLMARK_ESTROGEN_RESPONSE_EARLY | 5.47e-01 | 1.28 | 0.03 | 1.00e+00 | 1.00e+00 | 1AR |
200 |
HALLMARK_APICAL_JUNCTION | 5.47e-01 | 1.28 | 0.03 | 1.00e+00 | 1.00e+00 | 1LIMA1 |
200 |
HALLMARK_COMPLEMENT | 5.47e-01 | 1.28 | 0.03 | 1.00e+00 | 1.00e+00 | 1FN1 |
200 |
HALLMARK_MTORC1_SIGNALING | 5.47e-01 | 1.28 | 0.03 | 1.00e+00 | 1.00e+00 | 1LDHA |
200 |
HALLMARK_MYC_TARGETS_V1 | 5.47e-01 | 1.28 | 0.03 | 1.00e+00 | 1.00e+00 | 1LDHA |
200 |
HALLMARK_XENOBIOTIC_METABOLISM | 5.47e-01 | 1.28 | 0.03 | 1.00e+00 | 1.00e+00 | 1XDH |
200 |
Dowload full table
KEGG Pathways:
P-value | OR | Lower 95% CI | FDR | FWER | Genes Found | Gene Set Size | |
---|---|---|---|---|---|---|---|
KEGG_ECM_RECEPTOR_INTERACTION | 9.07e-07 | 21.83 | 7.39 | 1.69e-04 | 1.69e-04 | 6FN1, COL1A2, COL6A3, COL5A2, COL1A1, THBS1 |
84 |
KEGG_FOCAL_ADHESION | 1.15e-05 | 10.60 | 3.97 | 1.07e-03 | 2.14e-03 | 7FN1, COL1A2, COL6A3, COL5A2, MET, COL1A1, THBS1 |
199 |
KEGG_ADHERENS_JUNCTION | 2.99e-03 | 11.39 | 2.22 | 1.39e-01 | 5.57e-01 | 3LMO7, MET, TGFBR2 |
73 |
KEGG_TGF_BETA_SIGNALING_PATHWAY | 4.74e-03 | 9.61 | 1.88 | 1.76e-01 | 8.81e-01 | 3FST, TGFBR2, THBS1 |
86 |
KEGG_PATHWAYS_IN_CANCER | 1.54e-03 | 5.34 | 1.85 | 9.55e-02 | 2.87e-01 | 6FN1, HHIP, MET, TGFBR2, FGF1, AR |
325 |
KEGG_MELANOMA | 3.21e-02 | 7.55 | 0.87 | 9.96e-01 | 1.00e+00 | 2MET, FGF1 |
71 |
KEGG_REGULATION_OF_ACTIN_CYTOSKELETON | 5.07e-02 | 3.80 | 0.75 | 1.00e+00 | 1.00e+00 | 3FN1, FGF1, TMSB4X |
213 |
KEGG_PROSTATE_CANCER | 4.83e-02 | 5.98 | 0.69 | 1.00e+00 | 1.00e+00 | 2CREB3L1, AR |
89 |
KEGG_NICOTINATE_AND_NICOTINAMIDE_METABOLISM | 9.13e-02 | 11.08 | 0.26 | 1.00e+00 | 1.00e+00 | 1NNMT |
24 |
KEGG_CYTOKINE_CYTOKINE_RECEPTOR_INTERACTION | 2.77e-01 | 1.98 | 0.23 | 1.00e+00 | 1.00e+00 | 2MET, TGFBR2 |
265 |
KEGG_MAPK_SIGNALING_PATHWAY | 2.80e-01 | 1.97 | 0.23 | 1.00e+00 | 1.00e+00 | 2TGFBR2, FGF1 |
267 |
KEGG_PROPANOATE_METABOLISM | 1.23e-01 | 7.97 | 0.19 | 1.00e+00 | 1.00e+00 | 1LDHA |
33 |
KEGG_CYSTEINE_AND_METHIONINE_METABOLISM | 1.27e-01 | 7.73 | 0.19 | 1.00e+00 | 1.00e+00 | 1LDHA |
34 |
KEGG_PYRUVATE_METABOLISM | 1.47e-01 | 6.54 | 0.16 | 1.00e+00 | 1.00e+00 | 1LDHA |
40 |
KEGG_BLADDER_CANCER | 1.54e-01 | 6.22 | 0.15 | 1.00e+00 | 1.00e+00 | 1THBS1 |
42 |
KEGG_VASOPRESSIN_REGULATED_WATER_REABSORPTION | 1.61e-01 | 5.93 | 0.14 | 1.00e+00 | 1.00e+00 | 1CREB3L1 |
44 |
KEGG_DRUG_METABOLISM_OTHER_ENZYMES | 1.84e-01 | 5.10 | 0.12 | 1.00e+00 | 1.00e+00 | 1XDH |
51 |
KEGG_BASAL_CELL_CARCINOMA | 1.97e-01 | 4.72 | 0.12 | 1.00e+00 | 1.00e+00 | 1HHIP |
55 |
KEGG_HEDGEHOG_SIGNALING_PATHWAY | 2.00e-01 | 4.64 | 0.11 | 1.00e+00 | 1.00e+00 | 1HHIP |
56 |
KEGG_GLYCOLYSIS_GLUCONEOGENESIS | 2.19e-01 | 4.18 | 0.10 | 1.00e+00 | 1.00e+00 | 1LDHA |
62 |
Dowload full table
CHR Positional Gene Sets:
P-value | OR | Lower 95% CI | FDR | FWER | Genes Found | Gene Set Size | |
---|---|---|---|---|---|---|---|
chr15q23 | 2.73e-02 | 8.26 | 0.95 | 1.00e+00 | 1.00e+00 | 2LARP6, UACA |
65 |
chr8p21 | 9.06e-02 | 4.13 | 0.48 | 1.00e+00 | 1.00e+00 | 2PDLIM2, LOXL2 |
128 |
chr5q14 | 9.30e-02 | 4.07 | 0.47 | 1.00e+00 | 1.00e+00 | 2HAPLN1, EDIL3 |
130 |
chr10q22 | 1.88e-01 | 2.60 | 0.30 | 1.00e+00 | 1.00e+00 | 2SRGN, KCNMA1 |
202 |
chr11q23 | 1.92e-01 | 2.57 | 0.30 | 1.00e+00 | 1.00e+00 | 2TAGLN, NNMT |
205 |
chrXq12 | 9.85e-02 | 10.19 | 0.24 | 1.00e+00 | 1.00e+00 | 1AR |
26 |
chr15q14 | 2.00e-01 | 4.64 | 0.11 | 1.00e+00 | 1.00e+00 | 1THBS1 |
56 |
chr13q22 | 2.16e-01 | 4.25 | 0.10 | 1.00e+00 | 1.00e+00 | 1LMO7 |
61 |
chr10p13 | 2.25e-01 | 4.05 | 0.10 | 1.00e+00 | 1.00e+00 | 1VIM |
64 |
chr2p24 | 2.55e-01 | 3.49 | 0.09 | 1.00e+00 | 1.00e+00 | 1OSR1 |
74 |
chr2q36 | 2.78e-01 | 3.15 | 0.08 | 1.00e+00 | 1.00e+00 | 1SERPINE2 |
82 |
chr5q11 | 2.87e-01 | 3.04 | 0.07 | 1.00e+00 | 1.00e+00 | 1FST |
85 |
chr7q32 | 3.01e-01 | 2.87 | 0.07 | 1.00e+00 | 1.00e+00 | 1CPA4 |
90 |
chr8p11 | 3.15e-01 | 2.71 | 0.07 | 1.00e+00 | 1.00e+00 | 1SFRP1 |
95 |
chr3p24 | 3.25e-01 | 2.60 | 0.06 | 1.00e+00 | 1.00e+00 | 1TGFBR2 |
99 |
chr12q14 | 3.41e-01 | 2.45 | 0.06 | 1.00e+00 | 1.00e+00 | 1HMGA2 |
105 |
chr2q32 | 3.49e-01 | 2.38 | 0.06 | 1.00e+00 | 1.00e+00 | 1COL5A2 |
108 |
chr4q32 | 3.62e-01 | 2.28 | 0.06 | 1.00e+00 | 1.00e+00 | 1PALLD |
113 |
chr2p16 | 3.64e-01 | 2.26 | 0.06 | 1.00e+00 | 1.00e+00 | 1EFEMP1 |
114 |
chr21q21 | 3.77e-01 | 2.16 | 0.05 | 1.00e+00 | 1.00e+00 | 1MAP3K7CL |
119 |
Dowload full table
Transcription Factor Targets:
P-value | OR | Lower 95% CI | FDR | FWER | Genes Found | Gene Set Size | |
---|---|---|---|---|---|---|---|
SRF_Q6 | 4.63e-05 | 8.44 | 3.17 | 5.24e-02 | 5.24e-02 | 7COL1A2, FST, TAGLN, COL1A1, NR2F2, THBS1, LDHA |
248 |
PSMB5_TARGET_GENES | 1.71e-04 | 6.78 | 2.55 | 9.69e-02 | 1.94e-01 | 7LGALS1, TMSB10, COL1A1, THBS1, EMP1, LDHA, TMSB4X |
307 |
GGCNKCCATNK_UNKNOWN | 1.30e-03 | 9.29 | 2.39 | 3.70e-01 | 1.00e+00 | 4COL1A2, CREB3L1, PDLIM2, OSR1 |
121 |
SRF_Q5_01 | 1.80e-03 | 6.31 | 1.94 | 3.70e-01 | 1.00e+00 | 5TIMP3, TAGLN, COL1A1, NR2F2, THBS1 |
225 |
MYOGENIN_Q6 | 3.28e-03 | 5.47 | 1.68 | 4.20e-01 | 1.00e+00 | 5HMGA2, AXL, COL1A1, OSR1, UACA |
259 |
TGANTCA_AP1_C | 2.29e-03 | 3.13 | 1.44 | 3.70e-01 | 1.00e+00 | 11LGALS1, FST, COL5A2, TGFBR2, COL1A1, FGF1, PDLIM2, XDH, THBS1, EMP1, CPA4 |
1139 |
SRF_C | 9.84e-03 | 5.15 | 1.33 | 6.47e-01 | 1.00e+00 | 4COL1A2, TAGLN, NR2F2, THBS1 |
215 |
SUPT16H_TARGET_GENES | 5.64e-03 | 2.52 | 1.25 | 5.32e-01 | 1.00e+00 | 14FN1, COL1A2, HMGA2, EDIL3, LGALS1, COL6A3, TAGLN, COL1A1, NNMT, LOXL2, ANXA2, THBS1, UACA, TMSB4X |
1944 |
SRF_Q4 | 1.23e-02 | 4.81 | 1.25 | 6.47e-01 | 1.00e+00 | 4FST, TAGLN, NR2F2, THBS1 |
230 |
ATF1_Q6 | 1.36e-02 | 4.67 | 1.21 | 6.47e-01 | 1.00e+00 | 4HHIP, COL1A1, OSR1, LDHA |
237 |
NKX3A_01 | 1.38e-02 | 4.65 | 1.20 | 6.47e-01 | 1.00e+00 | 4KCNMA1, EFEMP1, LOXL2, CPA4 |
238 |
ZNF596_TARGET_GENES | 1.12e-02 | 3.14 | 1.19 | 6.47e-01 | 1.00e+00 | 7TIMP3, HMGA2, EDIL3, LGALS1, VIM, NR2F2, ANXA2 |
656 |
AAAYRNCTG_UNKNOWN | 1.46e-02 | 3.75 | 1.16 | 6.47e-01 | 1.00e+00 | 5COL1A2, LMO7, FST, PDLIM2, TMSB4X |
375 |
FOXO1_01 | 1.58e-02 | 4.45 | 1.16 | 6.47e-01 | 1.00e+00 | 4FST, EFEMP1, OSR1, EMP1 |
248 |
HES2_TARGET_GENES | 1.50e-02 | 2.50 | 1.15 | 6.47e-01 | 1.00e+00 | 11SRGN, LMO7, VIM, FST, KLHL4, AXL, TGFBR2, NNMT, ANXA2, XDH, TMSB4X |
1420 |
WTTGKCTG_UNKNOWN | 1.38e-02 | 3.32 | 1.15 | 6.47e-01 | 1.00e+00 | 6HMGA2, VIM, FST, COL1A1, NR2F2, AR |
519 |
NFAT_Q6 | 1.60e-02 | 4.44 | 1.15 | 6.47e-01 | 1.00e+00 | 4HAPLN1, LGALS1, NR2F2, EMP1 |
249 |
GGGYGTGNY_UNKNOWN | 1.40e-02 | 3.00 | 1.13 | 6.47e-01 | 1.00e+00 | 7COL1A2, EDIL3, LGALS1, VIM, COL6A3, OSR1, ANXA2 |
686 |
TFIIA_Q6 | 1.75e-02 | 4.31 | 1.12 | 6.67e-01 | 1.00e+00 | 4SRGN, SFRP1, AXL, COL1A1 |
256 |
NFY_Q6 | 1.91e-02 | 4.20 | 1.09 | 6.67e-01 | 1.00e+00 | 4HMGA2, SFRP1, KLHL4, COL1A1 |
263 |
Dowload full table
GO Biological Processes:
P-value | OR | Lower 95% CI | FDR | FWER | Genes Found | Gene Set Size | |
---|---|---|---|---|---|---|---|
GOBP_POSITIVE_REGULATION_OF_EXTRINSIC_APOPTOTIC_SIGNALING_PATHWAY_VIA_DEATH_DOMAIN_RECEPTORS | 1.65e-05 | 79.36 | 13.63 | 8.82e-03 | 1.23e-01 | 3TIMP3, SFRP1, THBS1 |
13 |
GOBP_REGULATION_OF_ENDOTHELIAL_CELL_CHEMOTAXIS | 2.22e-06 | 54.15 | 12.96 | 2.07e-03 | 1.66e-02 | 4MET, FGF1, THBS1, TMSB4X |
24 |
GOBP_NEGATIVE_REGULATION_OF_PLASMINOGEN_ACTIVATION | 2.31e-04 | 129.66 | 11.45 | 4.02e-02 | 1.00e+00 | 2SERPINE2, THBS1 |
6 |
GOBP_ENDOTHELIAL_CELL_CHEMOTAXIS | 7.31e-06 | 38.73 | 9.49 | 4.56e-03 | 5.47e-02 | 4MET, FGF1, THBS1, TMSB4X |
32 |
GOBP_BONE_TRABECULA_FORMATION | 5.49e-04 | 74.10 | 7.33 | 6.48e-02 | 1.00e+00 | 2SFRP1, COL1A1 |
9 |
GOBP_SEQUESTERING_OF_ACTIN_MONOMERS | 6.85e-04 | 64.86 | 6.55 | 7.18e-02 | 1.00e+00 | 2TMSB10, TMSB4X |
10 |
GOBP_REGULATION_OF_COLLAGEN_METABOLIC_PROCESS | 3.46e-05 | 25.26 | 6.32 | 1.37e-02 | 2.58e-01 | 4CREB3L1, VIM, LARP6, CST3 |
47 |
GOBP_POSITIVE_REGULATION_OF_COLLAGEN_METABOLIC_PROCESS | 1.81e-04 | 31.85 | 5.95 | 3.38e-02 | 1.00e+00 | 3CREB3L1, VIM, LARP6 |
28 |
GOBP_SKIN_MORPHOGENESIS | 8.35e-04 | 57.69 | 5.91 | 8.22e-02 | 1.00e+00 | 2COL1A2, COL1A1 |
11 |
GOBP_COLLAGEN_BIOSYNTHETIC_PROCESS | 4.78e-05 | 23.08 | 5.81 | 1.67e-02 | 3.58e-01 | 4CREB3L1, VIM, LARP6, COL1A1 |
51 |
GOBP_COLLAGEN_METABOLIC_PROCESS | 4.15e-06 | 16.54 | 5.63 | 3.30e-03 | 3.10e-02 | 6COL1A2, CREB3L1, VIM, LARP6, COL1A1, CST3 |
109 |
GOBP_COLLAGEN_FIBRIL_ORGANIZATION | 5.99e-05 | 21.71 | 5.47 | 1.87e-02 | 4.48e-01 | 4COL1A2, COL5A2, COL1A1, LOXL2 |
54 |
GOBP_BONE_TRABECULA_MORPHOGENESIS | 9.99e-04 | 51.89 | 5.39 | 8.58e-02 | 1.00e+00 | 2SFRP1, COL1A1 |
12 |
GOBP_CELLULAR_RESPONSE_TO_X_RAY | 9.99e-04 | 51.89 | 5.39 | 8.58e-02 | 1.00e+00 | 2HMGA2, SFRP1 |
12 |
GOBP_EPITHELIAL_CELL_MORPHOGENESIS | 2.46e-04 | 28.45 | 5.35 | 4.08e-02 | 1.00e+00 | 3PALLD, MET, AR |
31 |
GOBP_REGULATION_OF_PLASMINOGEN_ACTIVATION | 1.18e-03 | 47.19 | 4.96 | 9.58e-02 | 1.00e+00 | 2SERPINE2, THBS1 |
13 |
GOBP_REGULATION_OF_FIBROBLAST_GROWTH_FACTOR_RECEPTOR_SIGNALING_PATHWAY | 3.53e-04 | 24.91 | 4.72 | 5.18e-02 | 1.00e+00 | 3CREB3L1, HHIP, THBS1 |
35 |
GOBP_POST_EMBRYONIC_ANIMAL_ORGAN_DEVELOPMENT | 1.37e-03 | 43.30 | 4.59 | 1.06e-01 | 1.00e+00 | 2EFEMP1, LDHA |
14 |
GOBP_SKELETAL_SYSTEM_DEVELOPMENT | 2.25e-08 | 9.31 | 4.51 | 1.68e-04 | 1.68e-04 | 13HAPLN1, COL1A2, HMGA2, SFRP1, FST, HHIP, COL5A2, EFEMP1, TGFBR2, COL1A1, LOXL2, OSR1, ANXA2 |
485 |
GOBP_CHONDROCYTE_DIFFERENTIATION | 4.90e-05 | 14.31 | 4.34 | 1.67e-02 | 3.67e-01 | 5HMGA2, EFEMP1, TGFBR2, LOXL2, OSR1 |
102 |
Dowload full table
Immunological Gene Sets:
P-value | OR | Lower 95% CI | FDR | FWER | Genes Found | Gene Set Size | |
---|---|---|---|---|---|---|---|
GSE2405_HEAT_KILLED_LYSATE_VS_LIVE_A_PHAGOCYTOPHILUM_STIM_NEUTROPHIL_24H_UP | 9.73e-07 | 12.40 | 4.96 | 4.74e-03 | 4.74e-03 | 8FN1, SRGN, SFRP1, PALLD, AXL, TAGLN, CST3, ANXA2 |
200 |
GSE29618_BCELL_VS_MDC_DN | 1.19e-05 | 10.54 | 3.95 | 1.93e-02 | 5.79e-02 | 7GLIPR1, LGALS1, VIM, AXL, TMSB10, CST3, ANXA2 |
200 |
GSE43955_1H_VS_20H_ACT_CD4_TCELL_WITH_TGFB_IL6_DN | 1.19e-05 | 10.54 | 3.95 | 1.93e-02 | 5.79e-02 | 7COL1A2, TIMP3, COL5A2, TAGLN, MET, NNMT, SERPINE2 |
200 |
GSE1460_CD4_THYMOCYTE_VS_THYMIC_STROMAL_CELL_DN | 1.20e-04 | 8.83 | 3.04 | 1.00e-01 | 5.86e-01 | 6GLIPR1, SFRP1, CREB3L1, FST, COL1A1, PDLIM2 |
199 |
GSE43955_1H_VS_10H_ACT_CD4_TCELL_WITH_TGFB_IL6_DN | 1.24e-04 | 8.78 | 3.02 | 1.00e-01 | 6.03e-01 | 6FN1, COL1A2, TIMP3, COL5A2, NNMT, SERPINE2 |
200 |
GSE43955_10H_VS_60H_ACT_CD4_TCELL_WITH_TGFB_IL6_DN | 1.24e-04 | 8.78 | 3.02 | 1.00e-01 | 6.03e-01 | 6COL1A2, TIMP3, TAGLN, COL1A1, ANXA2, EMP1 |
200 |
GSE12366_NAIVE_VS_MEMORY_BCELL_DN | 9.23e-04 | 7.39 | 2.26 | 2.63e-01 | 1.00e+00 | 5SRGN, LGALS1, VIM, KCNMA1, ANXA2 |
193 |
GSE7596_AKT_TRANSD_VS_CTRL_CD4_TCONV_WITH_TGFB_DN | 1.64e-03 | 8.69 | 2.24 | 3.81e-01 | 1.00e+00 | 4HMGA2, PALLD, TMSB10, SERPINE2 |
129 |
GSE11057_NAIVE_VS_EFF_MEMORY_CD4_TCELL_DN | 1.01e-03 | 7.23 | 2.22 | 2.63e-01 | 1.00e+00 | 5SRGN, GLIPR1, LGALS1, ANXA2, LDHA |
197 |
GSE11057_NAIVE_VS_MEMORY_CD4_TCELL_DN | 1.03e-03 | 7.19 | 2.20 | 2.63e-01 | 1.00e+00 | 5SRGN, GLIPR1, LGALS1, ANXA2, LDHA |
198 |
GSE5589_WT_VS_IL6_KO_LPS_STIM_MACROPHAGE_45MIN_UP | 1.06e-03 | 7.16 | 2.19 | 2.63e-01 | 1.00e+00 | 5PALLD, EFEMP1, TGFBR2, ANXA2, LDHA |
199 |
GSE21546_UNSTIM_VS_ANTI_CD3_STIM_DP_THYMOCYTES_UP | 1.06e-03 | 7.16 | 2.19 | 2.63e-01 | 1.00e+00 | 5FN1, TAGLN, ANXA2, THBS1, CPA4 |
199 |
GSE25123_CTRL_VS_IL4_STIM_PPARG_KO_MACROPHAGE_DN | 1.06e-03 | 7.16 | 2.19 | 2.63e-01 | 1.00e+00 | 5GLIPR1, HMGA2, VIM, XDH, AR |
199 |
KAECH_NAIVE_VS_DAY15_EFF_CD8_TCELL_DN | 1.08e-03 | 7.12 | 2.18 | 2.63e-01 | 1.00e+00 | 5SRGN, LGALS1, ANXA2, XDH, EMP1 |
200 |
GSE1460_INTRATHYMIC_T_PROGENITOR_VS_THYMIC_STROMAL_CELL_DN | 1.08e-03 | 7.12 | 2.18 | 2.63e-01 | 1.00e+00 | 5SFRP1, CREB3L1, VIM, PDLIM2, THBS1 |
200 |
GSE411_UNSTIM_VS_100MIN_IL6_STIM_MACROPHAGE_UP | 1.08e-03 | 7.12 | 2.18 | 2.63e-01 | 1.00e+00 | 5SRGN, GLIPR1, LMO7, LGALS1, ANXA2 |
200 |
GSE2405_0H_VS_3H_A_PHAGOCYTOPHILUM_STIM_NEUTROPHIL_UP | 1.08e-03 | 7.12 | 2.18 | 2.63e-01 | 1.00e+00 | 5COL1A2, COL6A3, LARP6, CST3, SERPINE2 |
200 |
GSE4748_CTRL_VS_LPS_STIM_DC_3H_UP | 1.08e-03 | 7.12 | 2.18 | 2.63e-01 | 1.00e+00 | 5TIMP3, HMGA2, CREB3L1, COL5A2, EMP1 |
200 |
GSE22935_WT_VS_MYD88_KO_MACROPHAGE_UP | 1.08e-03 | 7.12 | 2.18 | 2.63e-01 | 1.00e+00 | 5GLIPR1, CREB3L1, ANXA2, XDH, LIMA1 |
200 |
GSE22443_NAIVE_VS_ACT_AND_IL2_TREATED_CD8_TCELL_UP | 1.08e-03 | 7.12 | 2.18 | 2.63e-01 | 1.00e+00 | 5SRGN, TIMP3, COL5A2, EMP1, LIMA1 |
200 |
Top Ranked Transcription Factors for this Gene Expression Program:
Gene Symbol | TF Rank | DNA Binding Domain | Motif Status | IUPAC PWM | GTEx | DepMap | Decartes |
---|---|---|---|---|---|---|---|
HMGA2 | 7 | Yes | Known motif | Monomer or homomultimer | In vivo/Misc source | None | None |
CREB3L1 | 11 | Yes | Known motif | Monomer or homomultimer | High-throughput in vitro | None | None |
MET | 26 | No | Unlikely to be sequence specific TF | Not a DNA binding protein | No motif | None | Its a cell surface receptor and kinase - included only because Vasquerizas 2009 included it with an x. |
LARP6 | 27 | No | ssDNA/RNA binding | Not a DNA binding protein | No motif | None | Classic RNA binding protein |
NR2F2 | 32 | Yes | Known motif | Monomer or homomultimer | 100 perc ID - in vitro | None | None |
OSR1 | 37 | Yes | Known motif | Monomer or homomultimer | High-throughput in vitro | None | None |
AR | 47 | Yes | Known motif | Monomer or homomultimer | High-throughput in vitro | None | None |
WWTR1 | 71 | No | Unlikely to be sequence specific TF | Not a DNA binding protein | No motif | None | Transcriptional co-activator that binds to TEADs (PMID: 19324877) and TBX5 (PMID: 16332960) |
FLNA | 89 | No | Unlikely to be sequence specific TF | Not a DNA binding protein | No motif | None | Go annotation is based on (PMID: 15684392), which shows that it binds FOXC1 and PBX1 but doesnt show evidence for binding to DNA |
NPAS2 | 94 | Yes | Known motif | Monomer or homomultimer | High-throughput in vitro | None | None |
SP100 | 101 | Yes | Likely to be sequence specific TF | Monomer or homomultimer | No motif | None | Gel-shift experiments using human SP100 have shown binding to specific TTCG half sites (PMID: 11427895). |
POLR2L | 102 | No | Unlikely to be sequence specific TF | Not a DNA binding protein | No motif | None | Does not contact DNA in the structure (PDB: 5FLM) |
BHLHE41 | 117 | Yes | Known motif | Monomer or homomultimer | High-throughput in vitro | None | None |
MYC | 123 | Yes | Known motif | Obligate heteromer | In vivo/Misc source | None | Functions as a heterodimer with MAX. |
FZD2 | 152 | No | Unlikely to be sequence specific TF | Not a DNA binding protein | No motif | None | Transmembrane receptor protein that operates far upstream in the signalling cascade |
SOX9 | 156 | Yes | Known motif | Monomer or homomultimer | High-throughput in vitro | None | Also binds ssDNA loops. |
FOSL1 | 158 | Yes | Known motif | Monomer or homomultimer | High-throughput in vitro | None | None |
RUNX1 | 159 | Yes | Known motif | Monomer or homomultimer | In vivo/Misc source | Only known motifs are from Transfac or HocoMoco - origin is uncertain | None |
NR3C1 | 162 | Yes | Known motif | Monomer or homomultimer | High-throughput in vitro | None | None |
DRAP1 | 165 | Yes | Likely to be sequence specific TF | Obligate heteromer | No motif | None | Based on structure (PDB: 1JFI), it forms the obligate heterodimer DR1-DRAP1 that furthermore contacts TBP. Only makes contact with the minor groove in a histone-like interaction, which is probably non-specific (PMID: 11461703) |
QQ Plot showing correlations with other Gene Expression Programs in this dataset, calculated by Spearman correlation:
Interactive QQ-plot of gene loadings:
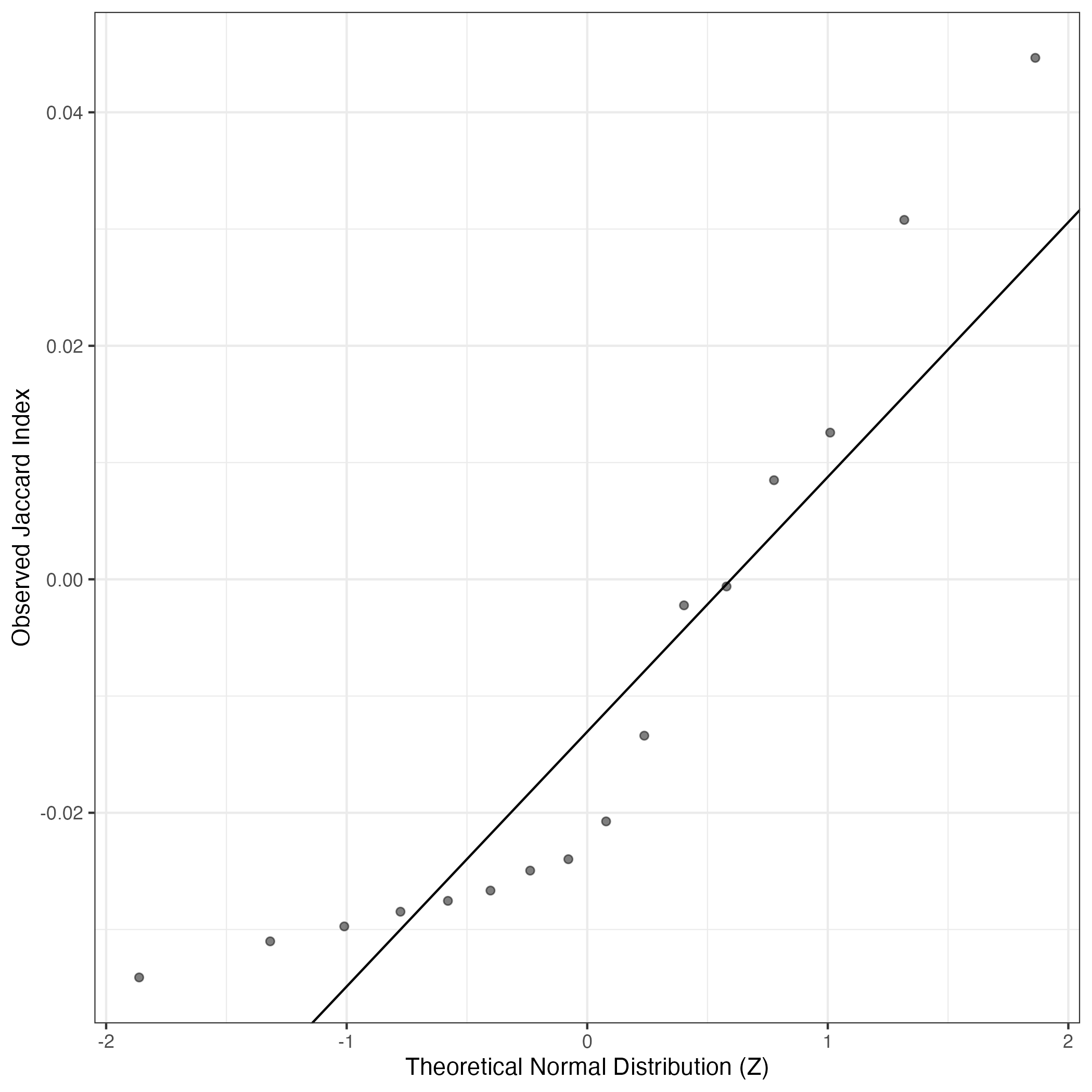
A similar QQ-plot as above, but only for instances where the H value is e.g. > 25, i.e. we are confident that the expression program is active above noise. Agreemenet between these binary vectors is tested using the Jaccard Index, with the P-values calculated by an exact test:
Interactive QQ-plot:
Singler cell type annotations for the top 50 cells on this program.
Cell ID | Singler label | Singler Delta | Activity Score | Top Singler Raw Scores |
---|---|---|---|---|
GIMEN_AGACTCACACTCGATA-1 | MSC | 0.30 | 508.86 | Raw ScoresMSC: 0.66, Tissue_stem_cells:lipoma-derived_MSC: 0.63, Smooth_muscle_cells:umbilical_vein: 0.62, iPS_cells:skin_fibroblast: 0.62, Smooth_muscle_cells:vascular: 0.61, Tissue_stem_cells:adipose-derived_MSC_AM3: 0.61, Fibroblasts:foreskin: 0.61, iPS_cells:foreskin_fibrobasts: 0.61, Tissue_stem_cells:dental_pulp: 0.6, iPS_cells:CRL2097_foreskin: 0.6 |
GIMEN_TTACCATGTCGTTGGC-1 | MSC | 0.29 | 479.89 | Raw ScoresMSC: 0.65, Tissue_stem_cells:lipoma-derived_MSC: 0.61, iPS_cells:skin_fibroblast: 0.6, Smooth_muscle_cells:umbilical_vein: 0.6, Fibroblasts:foreskin: 0.6, Tissue_stem_cells:adipose-derived_MSC_AM3: 0.6, Smooth_muscle_cells:vascular: 0.6, iPS_cells:foreskin_fibrobasts: 0.59, iPS_cells:CRL2097_foreskin: 0.59, Tissue_stem_cells:dental_pulp: 0.59 |
GIMEN_CTCTCGATCGCCTTTG-1 | MSC | 0.29 | 478.05 | Raw ScoresMSC: 0.63, Tissue_stem_cells:lipoma-derived_MSC: 0.6, iPS_cells:skin_fibroblast: 0.6, Smooth_muscle_cells:umbilical_vein: 0.6, Smooth_muscle_cells:vascular: 0.59, Fibroblasts:foreskin: 0.59, iPS_cells:foreskin_fibrobasts: 0.59, Tissue_stem_cells:adipose-derived_MSC_AM3: 0.58, iPS_cells:CRL2097_foreskin: 0.58, Tissue_stem_cells:dental_pulp: 0.58 |
GIMEN_AAAGAACGTAGGACCA-1 | MSC | 0.28 | 460.00 | Raw ScoresMSC: 0.64, Tissue_stem_cells:lipoma-derived_MSC: 0.61, iPS_cells:skin_fibroblast: 0.6, Smooth_muscle_cells:umbilical_vein: 0.6, Smooth_muscle_cells:vascular: 0.6, Fibroblasts:foreskin: 0.6, Tissue_stem_cells:adipose-derived_MSC_AM3: 0.59, iPS_cells:foreskin_fibrobasts: 0.59, iPS_cells:CRL2097_foreskin: 0.59, Tissue_stem_cells:dental_pulp: 0.58 |
GIMEN_AGACACTCAAGGAGTC-1 | MSC | 0.29 | 453.39 | Raw ScoresMSC: 0.64, Tissue_stem_cells:lipoma-derived_MSC: 0.61, Smooth_muscle_cells:umbilical_vein: 0.6, iPS_cells:skin_fibroblast: 0.6, Smooth_muscle_cells:vascular: 0.6, Fibroblasts:foreskin: 0.6, iPS_cells:foreskin_fibrobasts: 0.59, Tissue_stem_cells:adipose-derived_MSC_AM3: 0.59, iPS_cells:CRL2097_foreskin: 0.58, Tissue_stem_cells:dental_pulp: 0.58 |
GIMEN_GAGGCCTCACTTGAGT-1 | MSC | 0.30 | 450.17 | Raw ScoresMSC: 0.6, iPS_cells:CRL2097_foreskin: 0.58, iPS_cells:foreskin_fibrobasts: 0.58, Smooth_muscle_cells:vascular: 0.58, iPS_cells:skin_fibroblast: 0.58, Fibroblasts:foreskin: 0.57, Smooth_muscle_cells:vascular:IL-17: 0.57, Fibroblasts:breast: 0.56, iPS_cells:PDB_fibroblasts: 0.56, Smooth_muscle_cells:umbilical_vein: 0.56 |
GIMEN_ACTGCAACAAGTATAG-1 | MSC | 0.29 | 448.92 | Raw ScoresMSC: 0.65, Tissue_stem_cells:lipoma-derived_MSC: 0.61, Smooth_muscle_cells:umbilical_vein: 0.6, Smooth_muscle_cells:vascular: 0.6, iPS_cells:skin_fibroblast: 0.6, Fibroblasts:foreskin: 0.6, Tissue_stem_cells:adipose-derived_MSC_AM3: 0.6, iPS_cells:foreskin_fibrobasts: 0.59, iPS_cells:CRL2097_foreskin: 0.59, Tissue_stem_cells:dental_pulp: 0.58 |
GIMEN_GATGAGGTCTAGAACC-1 | MSC | 0.31 | 439.52 | Raw ScoresMSC: 0.62, Smooth_muscle_cells:vascular: 0.59, Tissue_stem_cells:lipoma-derived_MSC: 0.59, iPS_cells:skin_fibroblast: 0.58, iPS_cells:CRL2097_foreskin: 0.58, Smooth_muscle_cells:umbilical_vein: 0.58, iPS_cells:foreskin_fibrobasts: 0.58, Fibroblasts:foreskin: 0.58, iPS_cells:PDB_fibroblasts: 0.57, Smooth_muscle_cells:vascular:IL-17: 0.56 |
GIMEN_GGGAGTATCGCTGTCT-1 | MSC | 0.30 | 427.56 | Raw ScoresMSC: 0.66, Tissue_stem_cells:lipoma-derived_MSC: 0.62, iPS_cells:skin_fibroblast: 0.61, Smooth_muscle_cells:umbilical_vein: 0.61, Fibroblasts:foreskin: 0.61, Smooth_muscle_cells:vascular: 0.61, Tissue_stem_cells:adipose-derived_MSC_AM3: 0.61, iPS_cells:foreskin_fibrobasts: 0.6, iPS_cells:CRL2097_foreskin: 0.6, Tissue_stem_cells:dental_pulp: 0.6 |
GIMEN_TGACCCTCAATGGCCC-1 | MSC | 0.30 | 418.75 | Raw ScoresMSC: 0.59, Smooth_muscle_cells:vascular: 0.58, iPS_cells:skin_fibroblast: 0.57, iPS_cells:CRL2097_foreskin: 0.57, iPS_cells:foreskin_fibrobasts: 0.57, Smooth_muscle_cells:vascular:IL-17: 0.57, Smooth_muscle_cells:umbilical_vein: 0.56, Fibroblasts:foreskin: 0.56, Fibroblasts:breast: 0.56, iPS_cells:PDB_fibroblasts: 0.56 |
GIMEN_TTAGGCACATGTGCTA-1 | MSC | 0.28 | 414.64 | Raw ScoresMSC: 0.63, Tissue_stem_cells:lipoma-derived_MSC: 0.6, iPS_cells:skin_fibroblast: 0.59, Smooth_muscle_cells:vascular: 0.59, Smooth_muscle_cells:umbilical_vein: 0.59, Fibroblasts:foreskin: 0.58, iPS_cells:foreskin_fibrobasts: 0.58, Tissue_stem_cells:adipose-derived_MSC_AM3: 0.58, Tissue_stem_cells:dental_pulp: 0.58, iPS_cells:CRL2097_foreskin: 0.57 |
GIMEN_CTCCACACAGACACCC-1 | MSC | 0.29 | 409.03 | Raw ScoresMSC: 0.63, Tissue_stem_cells:lipoma-derived_MSC: 0.59, iPS_cells:skin_fibroblast: 0.59, Smooth_muscle_cells:umbilical_vein: 0.59, Smooth_muscle_cells:vascular: 0.58, iPS_cells:foreskin_fibrobasts: 0.58, iPS_cells:CRL2097_foreskin: 0.58, Fibroblasts:foreskin: 0.58, Tissue_stem_cells:dental_pulp: 0.57, Tissue_stem_cells:adipose-derived_MSC_AM3: 0.57 |
GIMEN_TTGTTGTTCGAAGCCC-1 | MSC | 0.28 | 406.71 | Raw ScoresMSC: 0.64, Tissue_stem_cells:lipoma-derived_MSC: 0.61, Smooth_muscle_cells:umbilical_vein: 0.6, Tissue_stem_cells:adipose-derived_MSC_AM3: 0.6, iPS_cells:skin_fibroblast: 0.59, Fibroblasts:foreskin: 0.59, Tissue_stem_cells:dental_pulp: 0.59, iPS_cells:foreskin_fibrobasts: 0.58, Smooth_muscle_cells:vascular: 0.58, iPS_cells:CRL2097_foreskin: 0.58 |
GIMEN_CATTGAGGTTGGTGTT-1 | Smooth_muscle_cells | 0.27 | 406.04 | Raw ScoresMSC: 0.59, Smooth_muscle_cells:vascular: 0.57, iPS_cells:CRL2097_foreskin: 0.57, iPS_cells:skin_fibroblast: 0.56, iPS_cells:foreskin_fibrobasts: 0.56, Fibroblasts:foreskin: 0.56, Smooth_muscle_cells:vascular:IL-17: 0.56, Fibroblasts:breast: 0.55, iPS_cells:PDB_fibroblasts: 0.55, Tissue_stem_cells:BM_MSC: 0.55 |
GIMEN_TTTATGCGTATTTCTC-1 | MSC | 0.28 | 399.31 | Raw ScoresMSC: 0.59, Smooth_muscle_cells:vascular: 0.58, iPS_cells:skin_fibroblast: 0.57, iPS_cells:foreskin_fibrobasts: 0.56, Fibroblasts:foreskin: 0.56, iPS_cells:CRL2097_foreskin: 0.56, Tissue_stem_cells:lipoma-derived_MSC: 0.56, Smooth_muscle_cells:umbilical_vein: 0.56, iPS_cells:PDB_fibroblasts: 0.56, Tissue_stem_cells:dental_pulp: 0.55 |
GIMEN_CACGTGGGTGCAGTGA-1 | MSC | 0.28 | 395.25 | Raw ScoresMSC: 0.63, Tissue_stem_cells:lipoma-derived_MSC: 0.61, Smooth_muscle_cells:vascular: 0.6, Fibroblasts:foreskin: 0.6, iPS_cells:skin_fibroblast: 0.6, Tissue_stem_cells:adipose-derived_MSC_AM3: 0.6, Smooth_muscle_cells:umbilical_vein: 0.59, Tissue_stem_cells:dental_pulp: 0.59, iPS_cells:foreskin_fibrobasts: 0.59, iPS_cells:PDB_fibroblasts: 0.59 |
GIMEN_TGAGCGCAGCAATTAG-1 | MSC | 0.29 | 388.51 | Raw ScoresMSC: 0.62, Smooth_muscle_cells:vascular: 0.59, Tissue_stem_cells:lipoma-derived_MSC: 0.58, iPS_cells:skin_fibroblast: 0.58, iPS_cells:foreskin_fibrobasts: 0.57, Smooth_muscle_cells:umbilical_vein: 0.57, Fibroblasts:foreskin: 0.57, iPS_cells:CRL2097_foreskin: 0.57, Tissue_stem_cells:adipose-derived_MSC_AM3: 0.57, Tissue_stem_cells:dental_pulp: 0.57 |
GIMEN_GACACGCTCCTCCACA-1 | MSC | 0.30 | 387.74 | Raw ScoresMSC: 0.66, Tissue_stem_cells:lipoma-derived_MSC: 0.62, iPS_cells:skin_fibroblast: 0.61, Tissue_stem_cells:adipose-derived_MSC_AM3: 0.6, Fibroblasts:foreskin: 0.6, Smooth_muscle_cells:umbilical_vein: 0.6, Smooth_muscle_cells:vascular: 0.6, iPS_cells:foreskin_fibrobasts: 0.6, iPS_cells:CRL2097_foreskin: 0.59, Tissue_stem_cells:dental_pulp: 0.59 |
GIMEN_CCGGTAGTCCTTCGAC-1 | MSC | 0.30 | 385.83 | Raw ScoresMSC: 0.59, Smooth_muscle_cells:vascular: 0.57, iPS_cells:CRL2097_foreskin: 0.57, iPS_cells:skin_fibroblast: 0.56, Fibroblasts:foreskin: 0.56, iPS_cells:foreskin_fibrobasts: 0.56, Smooth_muscle_cells:vascular:IL-17: 0.56, iPS_cells:PDB_fibroblasts: 0.55, Smooth_muscle_cells:umbilical_vein: 0.55, Tissue_stem_cells:lipoma-derived_MSC: 0.55 |
GIMEN_TCACATTCACTAAACC-1 | MSC | 0.29 | 384.27 | Raw ScoresMSC: 0.63, iPS_cells:skin_fibroblast: 0.6, Tissue_stem_cells:lipoma-derived_MSC: 0.6, Smooth_muscle_cells:vascular: 0.6, Smooth_muscle_cells:umbilical_vein: 0.59, Fibroblasts:foreskin: 0.59, iPS_cells:foreskin_fibrobasts: 0.59, iPS_cells:CRL2097_foreskin: 0.59, Tissue_stem_cells:dental_pulp: 0.58, iPS_cells:PDB_fibroblasts: 0.58 |
GIMEN_CTGAATGCAGCTGGTC-1 | MSC | 0.28 | 379.49 | Raw ScoresMSC: 0.65, Tissue_stem_cells:lipoma-derived_MSC: 0.61, Smooth_muscle_cells:umbilical_vein: 0.6, Tissue_stem_cells:adipose-derived_MSC_AM3: 0.6, iPS_cells:skin_fibroblast: 0.6, Fibroblasts:foreskin: 0.6, Smooth_muscle_cells:vascular: 0.59, iPS_cells:foreskin_fibrobasts: 0.59, Tissue_stem_cells:dental_pulp: 0.59, iPS_cells:CRL2097_foreskin: 0.58 |
GIMEN_TCTTAGTAGGCGCTCT-1 | Smooth_muscle_cells | 0.28 | 378.43 | Raw ScoresMSC: 0.59, Smooth_muscle_cells:vascular: 0.58, iPS_cells:CRL2097_foreskin: 0.57, Smooth_muscle_cells:vascular:IL-17: 0.57, iPS_cells:foreskin_fibrobasts: 0.57, Fibroblasts:foreskin: 0.56, iPS_cells:skin_fibroblast: 0.56, Fibroblasts:breast: 0.55, Tissue_stem_cells:BM_MSC: 0.55, Smooth_muscle_cells:umbilical_vein: 0.55 |
GIMEN_TTGCTGCAGGGATCTG-1 | MSC | 0.28 | 374.90 | Raw ScoresMSC: 0.64, Tissue_stem_cells:lipoma-derived_MSC: 0.61, iPS_cells:skin_fibroblast: 0.6, Fibroblasts:foreskin: 0.6, Smooth_muscle_cells:umbilical_vein: 0.6, Tissue_stem_cells:adipose-derived_MSC_AM3: 0.59, Smooth_muscle_cells:vascular: 0.59, iPS_cells:foreskin_fibrobasts: 0.59, Tissue_stem_cells:dental_pulp: 0.58, iPS_cells:CRL2097_foreskin: 0.58 |
GIMEN_ATGGATCCACATACTG-1 | MSC | 0.29 | 372.88 | Raw ScoresMSC: 0.64, Tissue_stem_cells:lipoma-derived_MSC: 0.6, Smooth_muscle_cells:umbilical_vein: 0.6, iPS_cells:skin_fibroblast: 0.59, Tissue_stem_cells:adipose-derived_MSC_AM3: 0.59, Smooth_muscle_cells:vascular: 0.58, Fibroblasts:foreskin: 0.58, Tissue_stem_cells:dental_pulp: 0.58, iPS_cells:foreskin_fibrobasts: 0.58, iPS_cells:CRL2097_foreskin: 0.57 |
GIMEN_GTGGCGTTCGAACGGA-1 | MSC | 0.27 | 370.05 | Raw ScoresMSC: 0.64, Tissue_stem_cells:lipoma-derived_MSC: 0.6, Smooth_muscle_cells:umbilical_vein: 0.6, iPS_cells:skin_fibroblast: 0.59, Fibroblasts:foreskin: 0.59, Tissue_stem_cells:adipose-derived_MSC_AM3: 0.59, Smooth_muscle_cells:vascular: 0.59, Tissue_stem_cells:dental_pulp: 0.58, iPS_cells:foreskin_fibrobasts: 0.58, iPS_cells:CRL2097_foreskin: 0.58 |
GIMEN_CGGAGAAGTGCCGGTT-1 | MSC | 0.27 | 366.15 | Raw ScoresMSC: 0.62, Tissue_stem_cells:lipoma-derived_MSC: 0.59, Smooth_muscle_cells:umbilical_vein: 0.59, Tissue_stem_cells:adipose-derived_MSC_AM3: 0.58, iPS_cells:skin_fibroblast: 0.58, Fibroblasts:foreskin: 0.58, iPS_cells:foreskin_fibrobasts: 0.57, Tissue_stem_cells:dental_pulp: 0.57, Smooth_muscle_cells:vascular: 0.56, iPS_cells:CRL2097_foreskin: 0.56 |
GIMEN_TACCCGTCACTAGGTT-1 | MSC | 0.28 | 365.18 | Raw ScoresMSC: 0.63, Tissue_stem_cells:lipoma-derived_MSC: 0.6, iPS_cells:skin_fibroblast: 0.59, Smooth_muscle_cells:umbilical_vein: 0.59, Smooth_muscle_cells:vascular: 0.59, Fibroblasts:foreskin: 0.58, Tissue_stem_cells:adipose-derived_MSC_AM3: 0.58, iPS_cells:foreskin_fibrobasts: 0.58, Tissue_stem_cells:dental_pulp: 0.58, iPS_cells:CRL2097_foreskin: 0.58 |
GIMEN_CGTCAAATCGCCGATG-1 | MSC | 0.28 | 356.51 | Raw ScoresMSC: 0.64, Smooth_muscle_cells:vascular: 0.61, Fibroblasts:foreskin: 0.61, iPS_cells:skin_fibroblast: 0.61, Tissue_stem_cells:lipoma-derived_MSC: 0.61, Smooth_muscle_cells:umbilical_vein: 0.6, iPS_cells:foreskin_fibrobasts: 0.6, iPS_cells:CRL2097_foreskin: 0.59, Tissue_stem_cells:dental_pulp: 0.59, iPS_cells:PDB_fibroblasts: 0.59 |
GIMEN_GCTACCTGTAGAATGT-1 | MSC | 0.26 | 348.46 | Raw ScoresMSC: 0.62, Tissue_stem_cells:lipoma-derived_MSC: 0.59, Smooth_muscle_cells:umbilical_vein: 0.58, iPS_cells:skin_fibroblast: 0.58, Tissue_stem_cells:adipose-derived_MSC_AM3: 0.57, Smooth_muscle_cells:vascular: 0.57, Fibroblasts:foreskin: 0.57, Tissue_stem_cells:dental_pulp: 0.57, iPS_cells:foreskin_fibrobasts: 0.57, iPS_cells:CRL2097_foreskin: 0.56 |
GIMEN_GAGTTTGTCGGTCATA-1 | MSC | 0.28 | 346.87 | Raw ScoresMSC: 0.63, Tissue_stem_cells:lipoma-derived_MSC: 0.6, Smooth_muscle_cells:vascular: 0.6, iPS_cells:skin_fibroblast: 0.6, Fibroblasts:foreskin: 0.6, Tissue_stem_cells:adipose-derived_MSC_AM3: 0.59, iPS_cells:foreskin_fibrobasts: 0.59, Smooth_muscle_cells:umbilical_vein: 0.59, iPS_cells:CRL2097_foreskin: 0.58, Tissue_stem_cells:dental_pulp: 0.58 |
GIMEN_GCTGAATCACGTACTA-1 | MSC | 0.28 | 344.77 | Raw ScoresMSC: 0.62, Tissue_stem_cells:lipoma-derived_MSC: 0.59, iPS_cells:skin_fibroblast: 0.59, Smooth_muscle_cells:vascular: 0.58, Smooth_muscle_cells:umbilical_vein: 0.58, Fibroblasts:foreskin: 0.58, iPS_cells:foreskin_fibrobasts: 0.58, iPS_cells:CRL2097_foreskin: 0.58, Tissue_stem_cells:adipose-derived_MSC_AM3: 0.58, iPS_cells:PDB_fibroblasts: 0.57 |
GIMEN_ATTCATCTCTAGGCCG-1 | MSC | 0.28 | 343.08 | Raw ScoresMSC: 0.62, Tissue_stem_cells:lipoma-derived_MSC: 0.59, iPS_cells:skin_fibroblast: 0.58, Smooth_muscle_cells:umbilical_vein: 0.58, Tissue_stem_cells:adipose-derived_MSC_AM3: 0.58, Fibroblasts:foreskin: 0.57, iPS_cells:foreskin_fibrobasts: 0.57, Smooth_muscle_cells:vascular: 0.57, Tissue_stem_cells:dental_pulp: 0.57, iPS_cells:PDB_fibroblasts: 0.56 |
GIMEN_CCGATGGAGCACTTTG-1 | MSC | 0.29 | 332.20 | Raw ScoresMSC: 0.64, Tissue_stem_cells:lipoma-derived_MSC: 0.6, iPS_cells:skin_fibroblast: 0.59, Fibroblasts:foreskin: 0.59, Smooth_muscle_cells:vascular: 0.59, Smooth_muscle_cells:umbilical_vein: 0.59, iPS_cells:foreskin_fibrobasts: 0.59, iPS_cells:CRL2097_foreskin: 0.58, Tissue_stem_cells:adipose-derived_MSC_AM3: 0.58, Tissue_stem_cells:dental_pulp: 0.58 |
GIMEN_TAGTGCACAGACCTGC-1 | MSC | 0.28 | 327.46 | Raw ScoresMSC: 0.62, Tissue_stem_cells:lipoma-derived_MSC: 0.59, iPS_cells:skin_fibroblast: 0.58, Fibroblasts:foreskin: 0.58, Smooth_muscle_cells:vascular: 0.58, Tissue_stem_cells:adipose-derived_MSC_AM3: 0.57, Smooth_muscle_cells:umbilical_vein: 0.57, iPS_cells:foreskin_fibrobasts: 0.57, iPS_cells:CRL2097_foreskin: 0.57, Tissue_stem_cells:dental_pulp: 0.57 |
GIMEN_GGTAGAGGTCCTGGTG-1 | MSC | 0.27 | 326.82 | Raw ScoresMSC: 0.62, Tissue_stem_cells:lipoma-derived_MSC: 0.6, Tissue_stem_cells:adipose-derived_MSC_AM3: 0.59, Smooth_muscle_cells:umbilical_vein: 0.59, iPS_cells:skin_fibroblast: 0.58, Fibroblasts:foreskin: 0.58, Smooth_muscle_cells:vascular: 0.58, iPS_cells:foreskin_fibrobasts: 0.57, Tissue_stem_cells:dental_pulp: 0.57, iPS_cells:CRL2097_foreskin: 0.56 |
GIMEN_TACACCCGTCACTACA-1 | MSC | 0.27 | 325.81 | Raw ScoresMSC: 0.62, Tissue_stem_cells:lipoma-derived_MSC: 0.59, iPS_cells:skin_fibroblast: 0.58, Tissue_stem_cells:adipose-derived_MSC_AM3: 0.58, Smooth_muscle_cells:umbilical_vein: 0.58, Fibroblasts:foreskin: 0.57, Smooth_muscle_cells:vascular: 0.57, iPS_cells:foreskin_fibrobasts: 0.56, iPS_cells:CRL2097_foreskin: 0.56, iPS_cells:PDB_fibroblasts: 0.56 |
GIMEN_GAGACTTGTCATCCCT-1 | MSC | 0.26 | 325.54 | Raw ScoresMSC: 0.63, Tissue_stem_cells:lipoma-derived_MSC: 0.59, Fibroblasts:foreskin: 0.58, Smooth_muscle_cells:umbilical_vein: 0.58, iPS_cells:skin_fibroblast: 0.58, Smooth_muscle_cells:vascular: 0.58, Tissue_stem_cells:adipose-derived_MSC_AM3: 0.58, iPS_cells:foreskin_fibrobasts: 0.57, iPS_cells:CRL2097_foreskin: 0.57, Tissue_stem_cells:dental_pulp: 0.57 |
GIMEN_TCATCCGCATCACCAA-1 | MSC | 0.27 | 323.97 | Raw ScoresMSC: 0.63, Tissue_stem_cells:lipoma-derived_MSC: 0.59, Fibroblasts:foreskin: 0.58, Smooth_muscle_cells:umbilical_vein: 0.58, Smooth_muscle_cells:vascular: 0.58, iPS_cells:skin_fibroblast: 0.58, Tissue_stem_cells:adipose-derived_MSC_AM3: 0.57, iPS_cells:foreskin_fibrobasts: 0.57, iPS_cells:CRL2097_foreskin: 0.57, Tissue_stem_cells:dental_pulp: 0.56 |
GIMEN_AGGCCACTCCACCTCA-1 | MSC | 0.28 | 323.03 | Raw ScoresMSC: 0.63, Tissue_stem_cells:lipoma-derived_MSC: 0.6, Smooth_muscle_cells:umbilical_vein: 0.59, iPS_cells:skin_fibroblast: 0.58, Tissue_stem_cells:adipose-derived_MSC_AM3: 0.58, Smooth_muscle_cells:vascular: 0.58, iPS_cells:foreskin_fibrobasts: 0.57, Fibroblasts:foreskin: 0.57, iPS_cells:CRL2097_foreskin: 0.57, Tissue_stem_cells:dental_pulp: 0.57 |
GIMEN_GAACACTCAGAATTCC-1 | MSC | 0.28 | 321.18 | Raw ScoresMSC: 0.62, Tissue_stem_cells:lipoma-derived_MSC: 0.58, iPS_cells:skin_fibroblast: 0.57, Smooth_muscle_cells:umbilical_vein: 0.57, Fibroblasts:foreskin: 0.57, iPS_cells:foreskin_fibrobasts: 0.57, Smooth_muscle_cells:vascular: 0.56, Tissue_stem_cells:adipose-derived_MSC_AM3: 0.56, iPS_cells:CRL2097_foreskin: 0.56, Tissue_stem_cells:dental_pulp: 0.56 |
GIMEN_TCCCACAGTCGTATTG-1 | Smooth_muscle_cells | 0.25 | 318.60 | Raw ScoresMSC: 0.57, Smooth_muscle_cells:vascular: 0.55, iPS_cells:CRL2097_foreskin: 0.55, iPS_cells:foreskin_fibrobasts: 0.55, iPS_cells:skin_fibroblast: 0.55, Smooth_muscle_cells:vascular:IL-17: 0.54, Fibroblasts:foreskin: 0.54, Smooth_muscle_cells:umbilical_vein: 0.54, iPS_cells:PDB_fibroblasts: 0.53, Fibroblasts:breast: 0.53 |
GIMEN_ACCCAAAAGCGTCAAG-1 | MSC | 0.28 | 315.73 | Raw ScoresMSC: 0.63, Tissue_stem_cells:lipoma-derived_MSC: 0.6, Smooth_muscle_cells:umbilical_vein: 0.59, Tissue_stem_cells:adipose-derived_MSC_AM3: 0.58, iPS_cells:skin_fibroblast: 0.58, Fibroblasts:foreskin: 0.58, Smooth_muscle_cells:vascular: 0.58, iPS_cells:foreskin_fibrobasts: 0.58, Tissue_stem_cells:dental_pulp: 0.57, iPS_cells:CRL2097_foreskin: 0.57 |
GIMEN_CAATTTCCATCGGAAG-1 | MSC | 0.27 | 315.28 | Raw ScoresMSC: 0.61, Smooth_muscle_cells:vascular: 0.58, iPS_cells:skin_fibroblast: 0.58, Tissue_stem_cells:lipoma-derived_MSC: 0.57, Smooth_muscle_cells:umbilical_vein: 0.57, Fibroblasts:foreskin: 0.57, Tissue_stem_cells:adipose-derived_MSC_AM3: 0.56, iPS_cells:foreskin_fibrobasts: 0.56, Tissue_stem_cells:dental_pulp: 0.56, iPS_cells:CRL2097_foreskin: 0.56 |
GIMEN_CGTCAAACAAGGCTTT-1 | MSC | 0.28 | 308.93 | Raw ScoresMSC: 0.63, Tissue_stem_cells:lipoma-derived_MSC: 0.59, iPS_cells:skin_fibroblast: 0.58, Fibroblasts:foreskin: 0.58, Smooth_muscle_cells:umbilical_vein: 0.58, Tissue_stem_cells:dental_pulp: 0.57, Smooth_muscle_cells:vascular: 0.57, iPS_cells:foreskin_fibrobasts: 0.57, Tissue_stem_cells:adipose-derived_MSC_AM3: 0.57, iPS_cells:CRL2097_foreskin: 0.57 |
GIMEN_TGTCAGACAAGTTTGC-1 | MSC | 0.28 | 308.77 | Raw ScoresMSC: 0.63, Tissue_stem_cells:lipoma-derived_MSC: 0.6, Smooth_muscle_cells:umbilical_vein: 0.59, Tissue_stem_cells:adipose-derived_MSC_AM3: 0.58, Fibroblasts:foreskin: 0.58, iPS_cells:skin_fibroblast: 0.58, Smooth_muscle_cells:vascular: 0.58, iPS_cells:foreskin_fibrobasts: 0.57, Tissue_stem_cells:dental_pulp: 0.57, iPS_cells:CRL2097_foreskin: 0.57 |
GIMEN_TGGTACATCACTCTTA-1 | MSC | 0.28 | 308.53 | Raw ScoresMSC: 0.63, Tissue_stem_cells:lipoma-derived_MSC: 0.6, iPS_cells:skin_fibroblast: 0.59, Smooth_muscle_cells:umbilical_vein: 0.59, Smooth_muscle_cells:vascular: 0.59, Fibroblasts:foreskin: 0.59, iPS_cells:foreskin_fibrobasts: 0.59, Tissue_stem_cells:adipose-derived_MSC_AM3: 0.59, iPS_cells:CRL2097_foreskin: 0.58, Tissue_stem_cells:dental_pulp: 0.58 |
GIMEN_TGTGATGAGCCTCTCT-1 | MSC | 0.28 | 306.79 | Raw ScoresMSC: 0.63, Tissue_stem_cells:lipoma-derived_MSC: 0.6, Smooth_muscle_cells:vascular: 0.59, Smooth_muscle_cells:umbilical_vein: 0.59, iPS_cells:skin_fibroblast: 0.59, Fibroblasts:foreskin: 0.58, Tissue_stem_cells:adipose-derived_MSC_AM3: 0.58, iPS_cells:foreskin_fibrobasts: 0.58, Tissue_stem_cells:dental_pulp: 0.58, iPS_cells:CRL2097_foreskin: 0.57 |
GIMEN_ACGCACGAGACTAAGT-1 | MSC | 0.27 | 305.80 | Raw ScoresMSC: 0.62, Tissue_stem_cells:lipoma-derived_MSC: 0.59, iPS_cells:skin_fibroblast: 0.58, Smooth_muscle_cells:umbilical_vein: 0.57, Fibroblasts:foreskin: 0.57, Smooth_muscle_cells:vascular: 0.57, Tissue_stem_cells:adipose-derived_MSC_AM3: 0.57, iPS_cells:foreskin_fibrobasts: 0.57, Tissue_stem_cells:dental_pulp: 0.57, iPS_cells:CRL2097_foreskin: 0.57 |
GIMEN_TTCTTGAGTAACTAAG-1 | MSC | 0.28 | 304.82 | Raw ScoresMSC: 0.62, Smooth_muscle_cells:vascular: 0.58, Tissue_stem_cells:lipoma-derived_MSC: 0.58, iPS_cells:skin_fibroblast: 0.57, Fibroblasts:foreskin: 0.57, Smooth_muscle_cells:umbilical_vein: 0.57, iPS_cells:foreskin_fibrobasts: 0.57, iPS_cells:CRL2097_foreskin: 0.57, Tissue_stem_cells:dental_pulp: 0.56, Tissue_stem_cells:adipose-derived_MSC_AM3: 0.56 |
GIMEN_GATTTCTTCATAGACC-1 | MSC | 0.27 | 303.43 | Raw ScoresMSC: 0.62, Tissue_stem_cells:lipoma-derived_MSC: 0.58, Smooth_muscle_cells:umbilical_vein: 0.57, iPS_cells:skin_fibroblast: 0.57, Fibroblasts:foreskin: 0.57, Smooth_muscle_cells:vascular: 0.57, Tissue_stem_cells:adipose-derived_MSC_AM3: 0.56, iPS_cells:foreskin_fibrobasts: 0.56, iPS_cells:CRL2097_foreskin: 0.56, Tissue_stem_cells:dental_pulp: 0.55 |
Below shows the significant enrichments of this GEP for literature curated gene lists
This data was procured from existing single cell RNA-seq maps of neuroblastoma or related relevant data.
High ranks indicate this gene is a driver of this GEP.
These curated gene list are ranked by the P-value (on this GEP) of their constituent genes.
The Mean Count column shows the mean read count in cells scoring highly (H > 50) on this gene expression program.
Genes | Weight | Rank | GTEx | DepMap | Decartes | Mean.Counts | Mean.TPM |
---|---|---|---|---|---|---|---|
FN1 | 0.0196386 | 1 | GTEx | DepMap | Descartes | 94.91 | 395.55 |
VIM | 0.0160013 | 13 | GTEx | DepMap | Descartes | 422.64 | 5928.23 |
AXL | 0.0146730 | 21 | GTEx | DepMap | Descartes | 9.09 | 71.23 |
COL5A1 | 0.0044367 | 312 | GTEx | DepMap | Descartes | 3.00 | 13.66 |
Adrenal Premordium (Hanemaaijer)
Marker genes obtained from Supplementary Table SD of Hanemaaijer et al (PMID 33500353). The authors generated single-cell RNA-seq data (sort-seq, 2,229 cells total) from mouse adrenal glads at E13.5, E14.5, E17.5, E18.5, P1 and P5. These were marker genes that matched with a similar dataset generated by Furlan et al (PMID 28684471). This particular set of markers are for the Adrenal Premordium subcluster, which is part of the Cortex cluster.:
Wilcoxon ranksum test P-value for gene set overrepresentation: 9.05e-04
Mean rank of genes in gene set: 624.75
Rank on gene expression program of genes in gene set:
Genes | Weight | Rank | GTEx | DepMap | Decartes | Mean.Counts | Mean.TPM |
---|---|---|---|---|---|---|---|
TPI1 | 0.0064041 | 175 | GTEx | DepMap | Descartes | 76.98 | 1610.69 |
TK1 | 0.0047010 | 294 | GTEx | DepMap | Descartes | 11.82 | 261.15 |
MIF | 0.0022917 | 708 | GTEx | DepMap | Descartes | 158.17 | 6192.65 |
NPM1 | 0.0013028 | 1322 | GTEx | DepMap | Descartes | 129.15 | 2715.04 |
SCPs neuroblastoma unique (Olsen)
Similar to above, but for genes unique to neuroblastoma SCP-like cells. Note FN1 is often used as a mesenchymal marker gene.:
Wilcoxon ranksum test P-value for gene set overrepresentation: 1.34e-03
Mean rank of genes in gene set: 1836.83
Rank on gene expression program of genes in gene set:
Genes | Weight | Rank | GTEx | DepMap | Decartes | Mean.Counts | Mean.TPM |
---|---|---|---|---|---|---|---|
FN1 | 0.0196386 | 1 | GTEx | DepMap | Descartes | 94.91 | 395.55 |
TIMP3 | 0.0178601 | 6 | GTEx | DepMap | Descartes | 20.50 | 165.45 |
ANXA1 | 0.0118784 | 52 | GTEx | DepMap | Descartes | 36.18 | 604.20 |
ITGB8 | 0.0014712 | 1179 | GTEx | DepMap | Descartes | 0.92 | 3.77 |
IFITM3 | 0.0006793 | 2205 | GTEx | DepMap | Descartes | 2.14 | 109.85 |
GFRA3 | -0.0002238 | 7578 | GTEx | DepMap | Descartes | 0.00 | 0.00 |
Below shows ranks on this GEP for literature curated gene lists for large gene sets
These include those reported as mesenchymal/adrenergic by Van Groningen et al.
High ranks indicate this gene is a driver of this GEP (note these results are not ordered).
The Mean Count column shows the mean read count in cells scoring highly (H > 50) on this gene expression program.
VanGroningen Adrenergic Genes
Adrenergic marker genes from Supplementary Table 2 of Van Groningen et al. Nature Genetics 2017. These genes were identified by differential expression analysis of mesenchymal-like and adrenergic-like neuroblastoma cell lines.
Wilcoxon ranksum test P-value for gene set overrepresentation: 1.00e+00
Mean rank of genes in gene set: 10089.3
Median rank of genes in gene set: 11585
Rank on gene expression program of top 30 genes in gene set:
Genes | Weight | Rank | GTEx | DepMap | Descartes | Mean.Counts | Mean.TPM |
---|---|---|---|---|---|---|---|
CDC42EP3 | 0.0039614 | 354 | GTEx | DepMap | Descartes | 17.54 | 126.34 |
MSH6 | 0.0031150 | 494 | GTEx | DepMap | Descartes | 10.04 | 50.71 |
HMGA1 | 0.0027166 | 594 | GTEx | DepMap | Descartes | 21.47 | 370.79 |
TUBB4B | 0.0022250 | 733 | GTEx | DepMap | Descartes | 32.55 | 591.40 |
PDK1 | 0.0020699 | 814 | GTEx | DepMap | Descartes | 2.41 | 6.60 |
CDKN3 | 0.0015528 | 1108 | GTEx | DepMap | Descartes | 9.06 | 315.71 |
CDKN2C | 0.0015070 | 1152 | GTEx | DepMap | Descartes | 5.20 | 65.43 |
DTD1 | 0.0014343 | 1217 | GTEx | DepMap | Descartes | 8.86 | 79.97 |
RRM2 | 0.0014124 | 1239 | GTEx | DepMap | Descartes | 7.55 | 73.14 |
KLC1 | 0.0013452 | 1278 | GTEx | DepMap | Descartes | 4.47 | 10.97 |
GMNN | 0.0012759 | 1347 | GTEx | DepMap | Descartes | 8.50 | 248.80 |
MCM6 | 0.0012565 | 1366 | GTEx | DepMap | Descartes | 4.04 | 40.26 |
GRB10 | 0.0012177 | 1414 | GTEx | DepMap | Descartes | 0.52 | 3.56 |
MAP1B | 0.0009345 | 1776 | GTEx | DepMap | Descartes | 40.61 | 127.94 |
OLA1 | 0.0008589 | 1906 | GTEx | DepMap | Descartes | 9.02 | 77.97 |
PBX3 | 0.0008584 | 1909 | GTEx | DepMap | Descartes | 2.90 | 37.95 |
LSM3 | 0.0008575 | 1911 | GTEx | DepMap | Descartes | 12.12 | 131.78 |
CDCA5 | 0.0007519 | 2090 | GTEx | DepMap | Descartes | 3.16 | 45.19 |
MYO5A | 0.0007190 | 2131 | GTEx | DepMap | Descartes | 1.27 | 3.87 |
HK2 | 0.0006900 | 2191 | GTEx | DepMap | Descartes | 1.15 | 7.70 |
RPS6KA2 | 0.0005228 | 2583 | GTEx | DepMap | Descartes | 1.20 | 7.20 |
MAP2 | 0.0005121 | 2609 | GTEx | DepMap | Descartes | 4.52 | 16.47 |
NFIL3 | 0.0005094 | 2618 | GTEx | DepMap | Descartes | 0.76 | 13.63 |
DPYSL3 | 0.0005041 | 2628 | GTEx | DepMap | Descartes | 3.54 | 23.91 |
EXOC5 | 0.0004808 | 2683 | GTEx | DepMap | Descartes | 2.96 | 10.56 |
ENO2 | 0.0004756 | 2694 | GTEx | DepMap | Descartes | 2.58 | 33.59 |
RBBP8 | 0.0003624 | 3035 | GTEx | DepMap | Descartes | 2.46 | 27.47 |
EML4 | 0.0003150 | 3195 | GTEx | DepMap | Descartes | 6.25 | 42.12 |
KIF15 | 0.0003105 | 3212 | GTEx | DepMap | Descartes | 2.11 | 15.54 |
POPDC3 | 0.0002914 | 3292 | GTEx | DepMap | Descartes | 1.88 | 36.09 |
VanGroningen Mesenchymal Genes
Mesenchymal marker genes from Supplementary Table 2 of Van Groningen et al. Nature Genetics 2017. These genes were identified by differential expression analysis of mesenchymal-like and adrenergic-like neuroblastoma cell lines.
Wilcoxon ranksum test P-value for gene set overrepresentation: 2.06e-41
Mean rank of genes in gene set: 3983.32
Median rank of genes in gene set: 1980
Rank on gene expression program of top 30 genes in gene set:
Genes | Weight | Rank | GTEx | DepMap | Descartes | Mean.Counts | Mean.TPM |
---|---|---|---|---|---|---|---|
FN1 | 0.0196386 | 1 | GTEx | DepMap | Descartes | 94.91 | 395.55 |
LGALS1 | 0.0161679 | 12 | GTEx | DepMap | Descartes | 295.62 | 17299.58 |
VIM | 0.0160013 | 13 | GTEx | DepMap | Descartes | 422.64 | 5928.23 |
PALLD | 0.0154186 | 17 | GTEx | DepMap | Descartes | 20.13 | 129.01 |
COL6A3 | 0.0151883 | 18 | GTEx | DepMap | Descartes | 6.78 | 25.18 |
COL5A2 | 0.0146442 | 22 | GTEx | DepMap | Descartes | 4.81 | 27.70 |
TGFBR2 | 0.0139238 | 28 | GTEx | DepMap | Descartes | 5.04 | 33.49 |
COL1A1 | 0.0139032 | 29 | GTEx | DepMap | Descartes | 58.87 | 383.33 |
SERPINE2 | 0.0133125 | 35 | GTEx | DepMap | Descartes | 16.15 | 96.37 |
LOXL2 | 0.0130942 | 36 | GTEx | DepMap | Descartes | 6.86 | 68.20 |
ANXA2 | 0.0129726 | 38 | GTEx | DepMap | Descartes | 124.87 | 1295.06 |
THBS1 | 0.0129130 | 40 | GTEx | DepMap | Descartes | 14.35 | 68.72 |
EMP1 | 0.0125666 | 41 | GTEx | DepMap | Descartes | 2.81 | 17.66 |
F2RL2 | 0.0118955 | 51 | GTEx | DepMap | Descartes | 1.35 | 14.26 |
ANXA1 | 0.0118784 | 52 | GTEx | DepMap | Descartes | 36.18 | 604.20 |
EPS8 | 0.0115571 | 54 | GTEx | DepMap | Descartes | 6.26 | 46.34 |
PDGFC | 0.0113637 | 55 | GTEx | DepMap | Descartes | 3.28 | 27.20 |
CCDC80 | 0.0109225 | 57 | GTEx | DepMap | Descartes | 14.32 | 42.33 |
ANXA5 | 0.0107343 | 59 | GTEx | DepMap | Descartes | 31.59 | 715.09 |
GPX8 | 0.0105475 | 63 | GTEx | DepMap | Descartes | 4.29 | 43.29 |
EVA1A | 0.0103166 | 69 | GTEx | DepMap | Descartes | 3.14 | NA |
CALD1 | 0.0101652 | 70 | GTEx | DepMap | Descartes | 51.34 | 370.83 |
WWTR1 | 0.0099603 | 71 | GTEx | DepMap | Descartes | 4.34 | 32.78 |
CXCL12 | 0.0096220 | 78 | GTEx | DepMap | Descartes | 7.08 | 83.32 |
MICAL2 | 0.0095132 | 79 | GTEx | DepMap | Descartes | 4.37 | 25.55 |
LTBP1 | 0.0094516 | 80 | GTEx | DepMap | Descartes | 8.77 | 51.71 |
GALNT10 | 0.0094375 | 81 | GTEx | DepMap | Descartes | 3.61 | 22.86 |
ITGB1 | 0.0091915 | 85 | GTEx | DepMap | Descartes | 46.56 | 458.43 |
EHD2 | 0.0090587 | 86 | GTEx | DepMap | Descartes | 3.80 | 40.45 |
FLNA | 0.0090077 | 89 | GTEx | DepMap | Descartes | 18.57 | 80.17 |
Descartes adrenocortical markers
Top 50 marker genes of adrenocortical cells in the Decartes fetal adrenal single cell map (https://atlas.brotmanbaty.org/bbi/human-gene-expression-during-development/cell/adrenocortical/in/adrenal)
Wilcoxon ranksum test P-value for gene set overrepresentation: 7.58e-01
Mean rank of genes in gene set: 6697.19
Median rank of genes in gene set: 7509
Rank on gene expression program of top 30 genes in gene set:
Genes | Weight | Rank | GTEx | DepMap | Descartes | Mean.Counts | Mean.TPM |
---|---|---|---|---|---|---|---|
FRMD5 | 0.0030270 | 517 | GTEx | DepMap | Descartes | 1.34 | 9.90 |
CLU | 0.0020064 | 850 | GTEx | DepMap | Descartes | 6.87 | 96.76 |
FDXR | 0.0019502 | 876 | GTEx | DepMap | Descartes | 2.38 | 35.41 |
LDLR | 0.0019209 | 892 | GTEx | DepMap | Descartes | 3.26 | 22.70 |
BAIAP2L1 | 0.0016580 | 1025 | GTEx | DepMap | Descartes | 0.25 | 2.45 |
PAPSS2 | 0.0016501 | 1030 | GTEx | DepMap | Descartes | 0.98 | 9.23 |
MSMO1 | 0.0015661 | 1096 | GTEx | DepMap | Descartes | 4.39 | 74.37 |
DHCR24 | 0.0013382 | 1286 | GTEx | DepMap | Descartes | 3.94 | 27.61 |
SH3PXD2B | 0.0011443 | 1499 | GTEx | DepMap | Descartes | 0.99 | 4.76 |
FDPS | 0.0010603 | 1596 | GTEx | DepMap | Descartes | 16.17 | 295.69 |
GSTA4 | 0.0003125 | 3205 | GTEx | DepMap | Descartes | 2.25 | 49.41 |
CYB5B | 0.0000906 | 4217 | GTEx | DepMap | Descartes | 3.48 | 30.34 |
ERN1 | -0.0000652 | 5601 | GTEx | DepMap | Descartes | 0.25 | 1.22 |
SCAP | -0.0001566 | 6774 | GTEx | DepMap | Descartes | 0.60 | 5.31 |
STAR | -0.0001742 | 7006 | GTEx | DepMap | Descartes | 0.01 | 0.11 |
SH3BP5 | -0.0001769 | 7042 | GTEx | DepMap | Descartes | 1.43 | 16.54 |
SGCZ | -0.0001927 | 7211 | GTEx | DepMap | Descartes | 0.00 | 0.00 |
DNER | -0.0002169 | 7492 | GTEx | DepMap | Descartes | 0.01 | 0.09 |
FREM2 | -0.0002199 | 7526 | GTEx | DepMap | Descartes | 0.00 | 0.00 |
POR | -0.0002205 | 7535 | GTEx | DepMap | Descartes | 1.05 | 15.69 |
NPC1 | -0.0002607 | 7929 | GTEx | DepMap | Descartes | 0.19 | 1.57 |
INHA | -0.0002732 | 8059 | GTEx | DepMap | Descartes | 0.00 | 0.11 |
GRAMD1B | -0.0004016 | 9207 | GTEx | DepMap | Descartes | 0.08 | 0.39 |
DHCR7 | -0.0004570 | 9621 | GTEx | DepMap | Descartes | 0.69 | 9.70 |
JAKMIP2 | -0.0004864 | 9802 | GTEx | DepMap | Descartes | 1.29 | 5.28 |
APOC1 | -0.0005998 | 10384 | GTEx | DepMap | Descartes | 0.10 | 5.36 |
IGF1R | -0.0006464 | 10601 | GTEx | DepMap | Descartes | 1.26 | 3.91 |
SLC1A2 | -0.0006769 | 10741 | GTEx | DepMap | Descartes | 0.00 | 0.01 |
FDX1 | -0.0006869 | 10782 | GTEx | DepMap | Descartes | 1.22 | 13.99 |
SCARB1 | -0.0007213 | 10919 | GTEx | DepMap | Descartes | 0.48 | 3.16 |
Descartes chromaffin markers
Top 50 marker genes of chromaffin cells in the Decartes fetal adrenal single cell map (https://atlas.brotmanbaty.org/bbi/human-gene-expression-during-development/cell/chromaffin/in/adrenal)
Wilcoxon ranksum test P-value for gene set overrepresentation: 1.00e+00
Mean rank of genes in gene set: 9687.02
Median rank of genes in gene set: 11100
Rank on gene expression program of top 30 genes in gene set:
Genes | Weight | Rank | GTEx | DepMap | Descartes | Mean.Counts | Mean.TPM |
---|---|---|---|---|---|---|---|
MAB21L2 | 0.0024423 | 662 | GTEx | DepMap | Descartes | 7.02 | 104.78 |
RGMB | 0.0020399 | 829 | GTEx | DepMap | Descartes | 2.26 | 17.93 |
MAP1B | 0.0009345 | 1776 | GTEx | DepMap | Descartes | 40.61 | 127.94 |
TUBB2A | 0.0001543 | 3871 | GTEx | DepMap | Descartes | 3.70 | 84.60 |
ANKFN1 | 0.0001285 | 4010 | GTEx | DepMap | Descartes | 0.03 | 0.22 |
CCND1 | -0.0000092 | 4914 | GTEx | DepMap | Descartes | 25.01 | 208.68 |
TMEFF2 | -0.0001298 | 6455 | GTEx | DepMap | Descartes | 0.13 | 1.32 |
TUBA1A | -0.0001460 | 6647 | GTEx | DepMap | Descartes | 53.39 | 1064.32 |
TMEM132C | -0.0001726 | 6983 | GTEx | DepMap | Descartes | 0.00 | 0.00 |
IL7 | -0.0003063 | 8385 | GTEx | DepMap | Descartes | 0.18 | 3.33 |
EPHA6 | -0.0003406 | 8681 | GTEx | DepMap | Descartes | 0.01 | 0.09 |
GREM1 | -0.0003485 | 8757 | GTEx | DepMap | Descartes | 0.23 | 0.48 |
RYR2 | -0.0004441 | 9523 | GTEx | DepMap | Descartes | 0.21 | 0.47 |
REEP1 | -0.0004594 | 9642 | GTEx | DepMap | Descartes | 0.00 | 0.01 |
PTCHD1 | -0.0005136 | 9977 | GTEx | DepMap | Descartes | 0.00 | 0.00 |
KCNB2 | -0.0005215 | 10027 | GTEx | DepMap | Descartes | 0.00 | 0.00 |
HS3ST5 | -0.0006051 | 10411 | GTEx | DepMap | Descartes | 0.00 | 0.02 |
SLC44A5 | -0.0007447 | 11014 | GTEx | DepMap | Descartes | 0.01 | 0.08 |
NTRK1 | -0.0007589 | 11056 | GTEx | DepMap | Descartes | 0.00 | 0.03 |
RBFOX1 | -0.0007668 | 11080 | GTEx | DepMap | Descartes | 0.00 | 0.00 |
ALK | -0.0007720 | 11100 | GTEx | DepMap | Descartes | 0.00 | 0.00 |
RPH3A | -0.0007747 | 11112 | GTEx | DepMap | Descartes | 0.00 | 0.01 |
EYA1 | -0.0007825 | 11139 | GTEx | DepMap | Descartes | 0.27 | 2.36 |
ELAVL2 | -0.0008888 | 11448 | GTEx | DepMap | Descartes | 0.80 | 7.58 |
CNKSR2 | -0.0008961 | 11465 | GTEx | DepMap | Descartes | 0.22 | 0.94 |
EYA4 | -0.0009727 | 11638 | GTEx | DepMap | Descartes | 0.00 | 0.00 |
PLXNA4 | -0.0011013 | 11881 | GTEx | DepMap | Descartes | 0.00 | 0.01 |
FAT3 | -0.0011289 | 11911 | GTEx | DepMap | Descartes | 0.00 | 0.00 |
MARCH11 | -0.0013219 | 12116 | GTEx | DepMap | Descartes | 0.00 | NA |
SLC6A2 | -0.0013687 | 12155 | GTEx | DepMap | Descartes | 0.00 | 0.00 |
Descartes Vascular_endothelial markers
Top 50 marker genes of Vascular_endothelial cells in the Decartes fetal adrenal single cell map (https://atlas.brotmanbaty.org/bbi/human-gene-expression-during-development/cell/vascular_endothelial/in/adrenal)
Wilcoxon ranksum test P-value for gene set overrepresentation: 8.49e-01
Mean rank of genes in gene set: 6881.76
Median rank of genes in gene set: 6415
Rank on gene expression program of top 30 genes in gene set:
Genes | Weight | Rank | GTEx | DepMap | Descartes | Mean.Counts | Mean.TPM |
---|---|---|---|---|---|---|---|
ARHGAP29 | 0.0089528 | 92 | GTEx | DepMap | Descartes | 13.39 | 54.33 |
EHD3 | 0.0026761 | 605 | GTEx | DepMap | Descartes | 1.21 | 9.35 |
GALNT15 | 0.0014607 | 1190 | GTEx | DepMap | Descartes | 0.04 | NA |
RASIP1 | 0.0001506 | 3893 | GTEx | DepMap | Descartes | 0.05 | 0.56 |
TIE1 | 0.0001087 | 4115 | GTEx | DepMap | Descartes | 0.00 | 0.00 |
ROBO4 | 0.0000971 | 4181 | GTEx | DepMap | Descartes | 0.02 | 0.18 |
CRHBP | 0.0000351 | 4561 | GTEx | DepMap | Descartes | 0.00 | 0.00 |
TEK | 0.0000199 | 4673 | GTEx | DepMap | Descartes | 0.00 | 0.01 |
CYP26B1 | -0.0000012 | 4841 | GTEx | DepMap | Descartes | 0.00 | 0.05 |
CALCRL | -0.0000136 | 4953 | GTEx | DepMap | Descartes | 0.04 | 0.26 |
ID1 | -0.0000169 | 4983 | GTEx | DepMap | Descartes | 12.83 | 383.68 |
SHE | -0.0000546 | 5438 | GTEx | DepMap | Descartes | 0.00 | 0.00 |
BTNL9 | -0.0000557 | 5455 | GTEx | DepMap | Descartes | 0.00 | 0.00 |
MMRN2 | -0.0000630 | 5573 | GTEx | DepMap | Descartes | 0.00 | 0.00 |
F8 | -0.0000967 | 6002 | GTEx | DepMap | Descartes | 0.03 | 0.14 |
NOTCH4 | -0.0001011 | 6061 | GTEx | DepMap | Descartes | 0.13 | 0.68 |
CEACAM1 | -0.0001161 | 6277 | GTEx | DepMap | Descartes | 0.00 | 0.02 |
NR5A2 | -0.0001185 | 6304 | GTEx | DepMap | Descartes | 0.00 | 0.00 |
PLVAP | -0.0001205 | 6336 | GTEx | DepMap | Descartes | 0.00 | 0.00 |
KANK3 | -0.0001335 | 6494 | GTEx | DepMap | Descartes | 0.00 | 0.00 |
CDH5 | -0.0001799 | 7069 | GTEx | DepMap | Descartes | 0.00 | 0.00 |
FLT4 | -0.0002020 | 7316 | GTEx | DepMap | Descartes | 0.00 | 0.00 |
ESM1 | -0.0002231 | 7571 | GTEx | DepMap | Descartes | 0.01 | 0.13 |
KDR | -0.0002627 | 7956 | GTEx | DepMap | Descartes | 0.00 | 0.01 |
CLDN5 | -0.0003099 | 8414 | GTEx | DepMap | Descartes | 0.00 | 0.00 |
SLCO2A1 | -0.0003326 | 8616 | GTEx | DepMap | Descartes | 0.00 | 0.01 |
PTPRB | -0.0003540 | 8806 | GTEx | DepMap | Descartes | 0.01 | 0.02 |
EFNB2 | -0.0003575 | 8837 | GTEx | DepMap | Descartes | 0.72 | 5.12 |
HYAL2 | -0.0004335 | 9438 | GTEx | DepMap | Descartes | 1.88 | 17.45 |
IRX3 | -0.0004393 | 9481 | GTEx | DepMap | Descartes | 0.05 | 0.70 |
Descartes stromal markers
Top 50 marker genes of stromal cells in the Decartes fetal adrenal single cell map (https://atlas.brotmanbaty.org/bbi/human-gene-expression-during-development/cell/stromal/in/adrenal)
Wilcoxon ranksum test P-value for gene set overrepresentation: 8.20e-02
Mean rank of genes in gene set: 5516.07
Median rank of genes in gene set: 5265
Rank on gene expression program of top 30 genes in gene set:
Genes | Weight | Rank | GTEx | DepMap | Descartes | Mean.Counts | Mean.TPM |
---|---|---|---|---|---|---|---|
COL1A2 | 0.0178913 | 5 | GTEx | DepMap | Descartes | 13.54 | 86.62 |
COL6A3 | 0.0151883 | 18 | GTEx | DepMap | Descartes | 6.78 | 25.18 |
HHIP | 0.0147393 | 20 | GTEx | DepMap | Descartes | 7.59 | 27.72 |
COL1A1 | 0.0139032 | 29 | GTEx | DepMap | Descartes | 58.87 | 383.33 |
CCDC80 | 0.0109225 | 57 | GTEx | DepMap | Descartes | 14.32 | 42.33 |
IGFBP3 | 0.0069776 | 144 | GTEx | DepMap | Descartes | 9.08 | 121.94 |
LOX | 0.0064969 | 170 | GTEx | DepMap | Descartes | 2.95 | 20.65 |
COL12A1 | 0.0047418 | 290 | GTEx | DepMap | Descartes | 1.30 | 4.48 |
LRRC17 | 0.0042720 | 325 | GTEx | DepMap | Descartes | 9.64 | 179.15 |
RSPO3 | 0.0037862 | 382 | GTEx | DepMap | Descartes | 0.12 | NA |
PRICKLE1 | 0.0035186 | 429 | GTEx | DepMap | Descartes | 4.12 | 26.45 |
CDH11 | 0.0018010 | 951 | GTEx | DepMap | Descartes | 2.07 | 11.56 |
PAMR1 | 0.0014409 | 1208 | GTEx | DepMap | Descartes | 0.02 | 0.27 |
ACTA2 | 0.0012328 | 1393 | GTEx | DepMap | Descartes | 0.87 | 22.86 |
PDGFRA | 0.0011130 | 1539 | GTEx | DepMap | Descartes | 1.96 | 12.26 |
BICC1 | 0.0010663 | 1590 | GTEx | DepMap | Descartes | 1.23 | 8.04 |
DKK2 | 0.0010604 | 1595 | GTEx | DepMap | Descartes | 1.60 | 16.47 |
PCDH18 | 0.0010436 | 1616 | GTEx | DepMap | Descartes | 0.75 | 5.07 |
GLI2 | 0.0002104 | 3612 | GTEx | DepMap | Descartes | 0.46 | 2.47 |
COL27A1 | 0.0000544 | 4433 | GTEx | DepMap | Descartes | 0.09 | 0.45 |
GAS2 | -0.0000364 | 5194 | GTEx | DepMap | Descartes | 0.13 | 2.30 |
SFRP2 | -0.0000371 | 5200 | GTEx | DepMap | Descartes | 0.00 | 0.00 |
ADAMTSL3 | -0.0000478 | 5330 | GTEx | DepMap | Descartes | 0.00 | 0.00 |
OGN | -0.0000693 | 5647 | GTEx | DepMap | Descartes | 0.00 | 0.05 |
SCARA5 | -0.0000722 | 5675 | GTEx | DepMap | Descartes | 0.00 | 0.00 |
ABCA6 | -0.0000737 | 5702 | GTEx | DepMap | Descartes | 0.00 | 0.00 |
LAMC3 | -0.0001799 | 7070 | GTEx | DepMap | Descartes | 0.00 | 0.01 |
CLDN11 | -0.0002341 | 7670 | GTEx | DepMap | Descartes | 0.00 | 0.05 |
ABCC9 | -0.0003498 | 8775 | GTEx | DepMap | Descartes | 0.00 | 0.01 |
FREM1 | -0.0004101 | 9276 | GTEx | DepMap | Descartes | 0.00 | 0.01 |
Descartes sympathoblasts markers
Top 50 marker genes of sympathoblasts cells in the Decartes fetal adrenal single cell map (https://atlas.brotmanbaty.org/bbi/human-gene-expression-during-development/cell/sympathoblasts/in/adrenal)
Wilcoxon ranksum test P-value for gene set overrepresentation: 1.00e+00
Mean rank of genes in gene set: 9185.55
Median rank of genes in gene set: 9498
Rank on gene expression program of top 30 genes in gene set:
Genes | Weight | Rank | GTEx | DepMap | Descartes | Mean.Counts | Mean.TPM |
---|---|---|---|---|---|---|---|
KCTD16 | 0.0006632 | 2240 | GTEx | DepMap | Descartes | 0.48 | 1.21 |
GRID2 | 0.0001955 | 3677 | GTEx | DepMap | Descartes | 0.29 | 1.91 |
CDH18 | -0.0000514 | 5383 | GTEx | DepMap | Descartes | 0.07 | 0.52 |
SLC24A2 | -0.0000823 | 5801 | GTEx | DepMap | Descartes | 0.00 | 0.01 |
SORCS3 | -0.0001255 | 6404 | GTEx | DepMap | Descartes | 0.00 | 0.00 |
KSR2 | -0.0001521 | 6725 | GTEx | DepMap | Descartes | 0.00 | 0.00 |
CDH12 | -0.0001626 | 6852 | GTEx | DepMap | Descartes | 0.00 | 0.00 |
PENK | -0.0001753 | 7019 | GTEx | DepMap | Descartes | 0.00 | 0.00 |
PACRG | -0.0001988 | 7285 | GTEx | DepMap | Descartes | 0.00 | 0.00 |
LAMA3 | -0.0002007 | 7298 | GTEx | DepMap | Descartes | 0.00 | 0.01 |
CNTN3 | -0.0002464 | 7794 | GTEx | DepMap | Descartes | 0.00 | 0.00 |
DGKK | -0.0003419 | 8699 | GTEx | DepMap | Descartes | 0.00 | 0.00 |
ST18 | -0.0003420 | 8700 | GTEx | DepMap | Descartes | 0.00 | 0.00 |
ARC | -0.0003680 | 8930 | GTEx | DepMap | Descartes | 0.07 | 0.87 |
GRM7 | -0.0003807 | 9032 | GTEx | DepMap | Descartes | 0.01 | 0.12 |
TENM1 | -0.0003816 | 9037 | GTEx | DepMap | Descartes | 0.00 | NA |
CCSER1 | -0.0004166 | 9326 | GTEx | DepMap | Descartes | 0.03 | NA |
AGBL4 | -0.0004167 | 9327 | GTEx | DepMap | Descartes | 0.00 | 0.01 |
TBX20 | -0.0004207 | 9367 | GTEx | DepMap | Descartes | 0.02 | 0.39 |
ROBO1 | -0.0004579 | 9629 | GTEx | DepMap | Descartes | 1.00 | 5.21 |
SLC35F3 | -0.0004783 | 9743 | GTEx | DepMap | Descartes | 0.01 | 0.07 |
GALNTL6 | -0.0005035 | 9920 | GTEx | DepMap | Descartes | 0.00 | 0.04 |
TIAM1 | -0.0005434 | 10141 | GTEx | DepMap | Descartes | 0.73 | 3.82 |
UNC80 | -0.0006055 | 10413 | GTEx | DepMap | Descartes | 0.04 | 0.12 |
MGAT4C | -0.0006306 | 10525 | GTEx | DepMap | Descartes | 0.01 | 0.02 |
SPOCK3 | -0.0006407 | 10580 | GTEx | DepMap | Descartes | 0.05 | 0.60 |
SLC18A1 | -0.0007079 | 10868 | GTEx | DepMap | Descartes | 0.00 | 0.00 |
PCSK2 | -0.0007144 | 10891 | GTEx | DepMap | Descartes | 0.00 | 0.00 |
GCH1 | -0.0007251 | 10939 | GTEx | DepMap | Descartes | 0.00 | 0.03 |
FAM155A | -0.0007287 | 10952 | GTEx | DepMap | Descartes | 0.71 | 2.82 |
Descartes erythroblasts markers
Top 50 marker genes of erythroblasts cells in the Decartes fetal adrenal single cell map (https://atlas.brotmanbaty.org/bbi/human-gene-expression-during-development/cell/erythroblasts/in/adrenal)
Wilcoxon ranksum test P-value for gene set overrepresentation: 5.06e-01
Mean rank of genes in gene set: 6285.21
Median rank of genes in gene set: 6268
Rank on gene expression program of top 30 genes in gene set:
Genes | Weight | Rank | GTEx | DepMap | Descartes | Mean.Counts | Mean.TPM |
---|---|---|---|---|---|---|---|
MICAL2 | 0.0095132 | 79 | GTEx | DepMap | Descartes | 4.37 | 25.55 |
MARCH3 | 0.0073311 | 128 | GTEx | DepMap | Descartes | 3.42 | NA |
SPECC1 | 0.0052286 | 244 | GTEx | DepMap | Descartes | 3.15 | 14.81 |
BLVRB | 0.0036585 | 406 | GTEx | DepMap | Descartes | 4.22 | 111.11 |
TSPAN5 | 0.0032892 | 463 | GTEx | DepMap | Descartes | 5.67 | 51.98 |
SOX6 | 0.0017300 | 977 | GTEx | DepMap | Descartes | 0.53 | 2.26 |
TRAK2 | 0.0008305 | 1953 | GTEx | DepMap | Descartes | 1.75 | 10.03 |
CPOX | 0.0002404 | 3473 | GTEx | DepMap | Descartes | 0.51 | 6.89 |
GYPC | -0.0000555 | 5449 | GTEx | DepMap | Descartes | 0.00 | 0.00 |
ALAS2 | -0.0000593 | 5503 | GTEx | DepMap | Descartes | 0.00 | 0.00 |
RHD | -0.0000617 | 5554 | GTEx | DepMap | Descartes | 0.00 | 0.00 |
TMCC2 | -0.0000720 | 5673 | GTEx | DepMap | Descartes | 0.09 | 0.81 |
RGS6 | -0.0000860 | 5862 | GTEx | DepMap | Descartes | 0.00 | 0.00 |
ABCB10 | -0.0000939 | 5963 | GTEx | DepMap | Descartes | 0.33 | 3.10 |
SLC4A1 | -0.0001152 | 6268 | GTEx | DepMap | Descartes | 0.00 | 0.00 |
RAPGEF2 | -0.0002272 | 7618 | GTEx | DepMap | Descartes | 0.86 | 3.93 |
DENND4A | -0.0002697 | 8027 | GTEx | DepMap | Descartes | 0.46 | 2.02 |
FECH | -0.0002966 | 8287 | GTEx | DepMap | Descartes | 0.26 | 1.31 |
SPTB | -0.0003042 | 8366 | GTEx | DepMap | Descartes | 0.00 | 0.01 |
SLC25A21 | -0.0003048 | 8371 | GTEx | DepMap | Descartes | 0.00 | 0.00 |
CAT | -0.0003257 | 8565 | GTEx | DepMap | Descartes | 0.81 | 13.39 |
XPO7 | -0.0004112 | 9291 | GTEx | DepMap | Descartes | 0.93 | 7.32 |
SELENBP1 | -0.0004410 | 9493 | GTEx | DepMap | Descartes | 0.03 | 0.47 |
ANK1 | -0.0005026 | 9913 | GTEx | DepMap | Descartes | 0.01 | 0.03 |
TFR2 | -0.0005539 | 10186 | GTEx | DepMap | Descartes | 0.00 | 0.01 |
SLC25A37 | -0.0006388 | 10566 | GTEx | DepMap | Descartes | 2.27 | 18.57 |
SNCA | -0.0009311 | 11550 | GTEx | DepMap | Descartes | 0.25 | 2.72 |
GCLC | -0.0009381 | 11558 | GTEx | DepMap | Descartes | 0.28 | 2.79 |
EPB41 | -0.0022740 | 12485 | GTEx | DepMap | Descartes | 0.89 | 5.18 |
NA | NA | NA | NA | NA | NA | NA | NA |
Descartes myeloid markers
Top 50 marker genes of myeloid cells in the Decartes fetal adrenal single cell map (https://atlas.brotmanbaty.org/bbi/human-gene-expression-during-development/cell/myeloid/in/adrenal)
Wilcoxon ranksum test P-value for gene set overrepresentation: 4.54e-01
Mean rank of genes in gene set: 6207.24
Median rank of genes in gene set: 5845.5
Rank on gene expression program of top 30 genes in gene set:
Genes | Weight | Rank | GTEx | DepMap | Descartes | Mean.Counts | Mean.TPM |
---|---|---|---|---|---|---|---|
AXL | 0.0146730 | 21 | GTEx | DepMap | Descartes | 9.09 | 71.23 |
CST3 | 0.0138044 | 30 | GTEx | DepMap | Descartes | 58.24 | 668.83 |
CTSC | 0.0032722 | 468 | GTEx | DepMap | Descartes | 10.73 | 63.03 |
CSF1R | 0.0014676 | 1183 | GTEx | DepMap | Descartes | 0.01 | 0.14 |
CTSB | 0.0013026 | 1323 | GTEx | DepMap | Descartes | 3.99 | 39.91 |
CD163 | 0.0011837 | 1451 | GTEx | DepMap | Descartes | 0.00 | 0.01 |
MERTK | 0.0010225 | 1639 | GTEx | DepMap | Descartes | 0.24 | 2.45 |
RBPJ | 0.0009994 | 1674 | GTEx | DepMap | Descartes | 6.55 | 40.25 |
ABCA1 | 0.0007146 | 2138 | GTEx | DepMap | Descartes | 0.37 | 1.40 |
TGFBI | 0.0004415 | 2791 | GTEx | DepMap | Descartes | 2.24 | 19.06 |
WWP1 | 0.0002386 | 3479 | GTEx | DepMap | Descartes | 0.73 | 5.49 |
MSR1 | 0.0001662 | 3809 | GTEx | DepMap | Descartes | 0.07 | 0.72 |
ADAP2 | 0.0000965 | 4187 | GTEx | DepMap | Descartes | 0.01 | 0.08 |
LGMN | 0.0000659 | 4363 | GTEx | DepMap | Descartes | 0.87 | 14.87 |
FGL2 | -0.0000257 | 5072 | GTEx | DepMap | Descartes | 0.00 | 0.03 |
CYBB | -0.0000517 | 5389 | GTEx | DepMap | Descartes | 0.00 | 0.00 |
FGD2 | -0.0000523 | 5399 | GTEx | DepMap | Descartes | 0.00 | 0.00 |
HCK | -0.0000688 | 5638 | GTEx | DepMap | Descartes | 0.00 | 0.00 |
SLCO2B1 | -0.0000738 | 5704 | GTEx | DepMap | Descartes | 0.00 | 0.00 |
ATP8B4 | -0.0000961 | 5987 | GTEx | DepMap | Descartes | 0.00 | 0.00 |
HRH1 | -0.0001910 | 7186 | GTEx | DepMap | Descartes | 0.11 | 0.86 |
MS4A4A | -0.0001985 | 7278 | GTEx | DepMap | Descartes | 0.00 | 0.00 |
SLC9A9 | -0.0001985 | 7280 | GTEx | DepMap | Descartes | 0.01 | 0.11 |
CD14 | -0.0002094 | 7410 | GTEx | DepMap | Descartes | 0.00 | 0.05 |
SFMBT2 | -0.0002138 | 7458 | GTEx | DepMap | Descartes | 0.18 | 0.84 |
CD74 | -0.0002388 | 7714 | GTEx | DepMap | Descartes | 0.00 | 0.02 |
MARCH1 | -0.0002489 | 7810 | GTEx | DepMap | Descartes | 0.02 | NA |
SPP1 | -0.0004020 | 9213 | GTEx | DepMap | Descartes | 0.02 | 0.26 |
SLC1A3 | -0.0004476 | 9552 | GTEx | DepMap | Descartes | 0.13 | 1.27 |
CTSS | -0.0004675 | 9690 | GTEx | DepMap | Descartes | 0.01 | 0.07 |
Descartes Schwann markers
Top 50 marker genes of Schwann cells in the Decartes fetal adrenal single cell map (https://atlas.brotmanbaty.org/bbi/human-gene-expression-during-development/cell/schwann/in/adrenal)
Wilcoxon ranksum test P-value for gene set overrepresentation: 4.23e-01
Mean rank of genes in gene set: 6169.05
Median rank of genes in gene set: 7296.5
Rank on gene expression program of top 30 genes in gene set:
Genes | Weight | Rank | GTEx | DepMap | Descartes | Mean.Counts | Mean.TPM |
---|---|---|---|---|---|---|---|
HMGA2 | 0.0178402 | 7 | GTEx | DepMap | Descartes | 18.35 | 86.03 |
SFRP1 | 0.0170489 | 10 | GTEx | DepMap | Descartes | 97.32 | 819.55 |
VIM | 0.0160013 | 13 | GTEx | DepMap | Descartes | 422.64 | 5928.23 |
COL5A2 | 0.0146442 | 22 | GTEx | DepMap | Descartes | 4.81 | 27.70 |
STARD13 | 0.0042807 | 324 | GTEx | DepMap | Descartes | 1.09 | 6.60 |
DST | 0.0032857 | 465 | GTEx | DepMap | Descartes | 19.64 | 32.79 |
MARCKS | 0.0023641 | 688 | GTEx | DepMap | Descartes | 35.85 | 320.63 |
LAMC1 | 0.0023287 | 696 | GTEx | DepMap | Descartes | 3.97 | 18.91 |
TRPM3 | 0.0020350 | 834 | GTEx | DepMap | Descartes | 0.56 | 1.75 |
OLFML2A | 0.0016376 | 1040 | GTEx | DepMap | Descartes | 0.17 | 1.02 |
PAG1 | 0.0015081 | 1151 | GTEx | DepMap | Descartes | 1.01 | 3.45 |
PLCE1 | 0.0014449 | 1206 | GTEx | DepMap | Descartes | 1.93 | 6.15 |
LAMB1 | 0.0014326 | 1218 | GTEx | DepMap | Descartes | 5.42 | 35.97 |
PTN | 0.0006941 | 2183 | GTEx | DepMap | Descartes | 10.77 | 258.30 |
IL1RAPL1 | 0.0002209 | 3564 | GTEx | DepMap | Descartes | 0.20 | 2.03 |
PLP1 | 0.0001550 | 3867 | GTEx | DepMap | Descartes | 0.03 | 0.30 |
VCAN | 0.0001089 | 4110 | GTEx | DepMap | Descartes | 5.18 | 16.39 |
IL1RAPL2 | 0.0000299 | 4601 | GTEx | DepMap | Descartes | 0.00 | 0.01 |
ERBB3 | 0.0000140 | 4722 | GTEx | DepMap | Descartes | 0.02 | 0.14 |
XKR4 | -0.0000491 | 5350 | GTEx | DepMap | Descartes | 0.01 | 0.01 |
MPZ | -0.0001561 | 6764 | GTEx | DepMap | Descartes | 0.01 | 0.15 |
LRRTM4 | -0.0001987 | 7283 | GTEx | DepMap | Descartes | 0.00 | 0.00 |
NRXN3 | -0.0002016 | 7310 | GTEx | DepMap | Descartes | 0.00 | 0.01 |
GAS7 | -0.0002223 | 7555 | GTEx | DepMap | Descartes | 0.01 | 0.04 |
GFRA3 | -0.0002238 | 7578 | GTEx | DepMap | Descartes | 0.00 | 0.00 |
KCTD12 | -0.0002445 | 7776 | GTEx | DepMap | Descartes | 1.09 | 6.85 |
COL25A1 | -0.0002540 | 7864 | GTEx | DepMap | Descartes | 0.00 | 0.00 |
SCN7A | -0.0002690 | 8020 | GTEx | DepMap | Descartes | 0.01 | 0.08 |
EGFLAM | -0.0003740 | 8982 | GTEx | DepMap | Descartes | 0.00 | 0.01 |
PPP2R2B | -0.0004552 | 9606 | GTEx | DepMap | Descartes | 1.38 | 4.81 |
Descartes Megakaryocytes markers
Top 50 marker genes of Megakaryocytes cells in the Decartes fetal adrenal single cell map (https://atlas.brotmanbaty.org/bbi/human-gene-expression-during-development/cell/megakaryocytes/in/adrenal)
Wilcoxon ranksum test P-value for gene set overrepresentation: 3.96e-06
Mean rank of genes in gene set: 3866.84
Median rank of genes in gene set: 1292
Rank on gene expression program of top 30 genes in gene set:
Genes | Weight | Rank | GTEx | DepMap | Descartes | Mean.Counts | Mean.TPM |
---|---|---|---|---|---|---|---|
THBS1 | 0.0129130 | 40 | GTEx | DepMap | Descartes | 14.35 | 68.72 |
TMSB4X | 0.0119622 | 50 | GTEx | DepMap | Descartes | 286.95 | 6315.78 |
TPM4 | 0.0111386 | 56 | GTEx | DepMap | Descartes | 46.16 | 353.30 |
ACTB | 0.0103473 | 66 | GTEx | DepMap | Descartes | 189.48 | 3104.52 |
LTBP1 | 0.0094516 | 80 | GTEx | DepMap | Descartes | 8.77 | 51.71 |
FLNA | 0.0090077 | 89 | GTEx | DepMap | Descartes | 18.57 | 80.17 |
GSN | 0.0085405 | 97 | GTEx | DepMap | Descartes | 4.70 | 27.40 |
SLC24A3 | 0.0082134 | 105 | GTEx | DepMap | Descartes | 0.57 | 5.41 |
ACTN1 | 0.0078616 | 111 | GTEx | DepMap | Descartes | 14.45 | 112.41 |
TLN1 | 0.0072622 | 129 | GTEx | DepMap | Descartes | 17.40 | 74.71 |
MYH9 | 0.0059288 | 196 | GTEx | DepMap | Descartes | 10.86 | 53.57 |
UBASH3B | 0.0054607 | 231 | GTEx | DepMap | Descartes | 0.92 | 4.81 |
INPP4B | 0.0053160 | 239 | GTEx | DepMap | Descartes | 1.15 | 4.74 |
SLC2A3 | 0.0050406 | 259 | GTEx | DepMap | Descartes | 1.30 | 11.72 |
VCL | 0.0037284 | 397 | GTEx | DepMap | Descartes | 6.75 | 30.80 |
PSTPIP2 | 0.0032151 | 481 | GTEx | DepMap | Descartes | 0.79 | 9.97 |
MCTP1 | 0.0028876 | 558 | GTEx | DepMap | Descartes | 1.01 | 6.82 |
FLI1 | 0.0024711 | 655 | GTEx | DepMap | Descartes | 0.13 | 0.98 |
ANGPT1 | 0.0019243 | 891 | GTEx | DepMap | Descartes | 0.90 | 7.26 |
ZYX | 0.0017496 | 968 | GTEx | DepMap | Descartes | 5.29 | 86.24 |
LIMS1 | 0.0015791 | 1083 | GTEx | DepMap | Descartes | 6.58 | 54.65 |
TGFB1 | 0.0015381 | 1121 | GTEx | DepMap | Descartes | 2.77 | 37.35 |
RAP1B | 0.0013322 | 1292 | GTEx | DepMap | Descartes | 10.62 | 29.55 |
ITGB3 | 0.0011030 | 1553 | GTEx | DepMap | Descartes | 0.05 | 0.32 |
RAB27B | 0.0010220 | 1640 | GTEx | DepMap | Descartes | 1.08 | 5.98 |
HIPK2 | 0.0010205 | 1642 | GTEx | DepMap | Descartes | 3.68 | 9.06 |
MYLK | 0.0005745 | 2448 | GTEx | DepMap | Descartes | 1.75 | 6.38 |
CD84 | 0.0000158 | 4704 | GTEx | DepMap | Descartes | 0.00 | 0.00 |
GP1BA | -0.0000176 | 4991 | GTEx | DepMap | Descartes | 0.01 | 0.19 |
MMRN1 | -0.0000805 | 5781 | GTEx | DepMap | Descartes | 0.00 | 0.00 |
Descartes Lyphoid markers
Top 50 marker genes of Lyphoid cells in the Decartes fetal adrenal single cell map (https://atlas.brotmanbaty.org/bbi/human-gene-expression-during-development/cell/lymphoid/in/adrenal)
Wilcoxon ranksum test P-value for gene set overrepresentation: 8.65e-01
Mean rank of genes in gene set: 6889.33
Median rank of genes in gene set: 7338.5
Rank on gene expression program of top 30 genes in gene set:
Genes | Weight | Rank | GTEx | DepMap | Descartes | Mean.Counts | Mean.TPM |
---|---|---|---|---|---|---|---|
TMSB10 | 0.0142910 | 24 | GTEx | DepMap | Descartes | 475.32 | 38036.48 |
CD44 | 0.0084790 | 100 | GTEx | DepMap | Descartes | 7.60 | 52.88 |
SP100 | 0.0084777 | 101 | GTEx | DepMap | Descartes | 3.62 | 24.86 |
MSN | 0.0040307 | 347 | GTEx | DepMap | Descartes | 6.50 | 60.68 |
ARID5B | 0.0039309 | 361 | GTEx | DepMap | Descartes | 4.47 | 22.11 |
MBNL1 | 0.0033817 | 445 | GTEx | DepMap | Descartes | 6.21 | 35.42 |
FOXP1 | 0.0024283 | 667 | GTEx | DepMap | Descartes | 5.15 | 21.27 |
ETS1 | 0.0018472 | 925 | GTEx | DepMap | Descartes | 1.38 | 10.04 |
DOCK10 | 0.0016419 | 1036 | GTEx | DepMap | Descartes | 1.13 | 5.91 |
PLEKHA2 | 0.0015543 | 1107 | GTEx | DepMap | Descartes | 0.78 | 5.21 |
CCND3 | 0.0004407 | 2794 | GTEx | DepMap | Descartes | 1.05 | 16.20 |
WIPF1 | 0.0003167 | 3191 | GTEx | DepMap | Descartes | 1.14 | 9.39 |
STK39 | 0.0002411 | 3471 | GTEx | DepMap | Descartes | 1.50 | 16.66 |
PRKCH | -0.0000144 | 4960 | GTEx | DepMap | Descartes | 0.07 | 0.73 |
CCL5 | -0.0000359 | 5186 | GTEx | DepMap | Descartes | 0.00 | 0.15 |
ARHGAP15 | -0.0000867 | 5869 | GTEx | DepMap | Descartes | 0.00 | 0.00 |
SKAP1 | -0.0001053 | 6114 | GTEx | DepMap | Descartes | 0.00 | 0.00 |
MCTP2 | -0.0001535 | 6742 | GTEx | DepMap | Descartes | 0.00 | 0.02 |
SCML4 | -0.0001615 | 6832 | GTEx | DepMap | Descartes | 0.00 | 0.00 |
RAP1GAP2 | -0.0001917 | 7197 | GTEx | DepMap | Descartes | 0.40 | 2.10 |
IKZF1 | -0.0001926 | 7209 | GTEx | DepMap | Descartes | 0.00 | 0.00 |
RCSD1 | -0.0002146 | 7468 | GTEx | DepMap | Descartes | 0.00 | 0.00 |
ANKRD44 | -0.0002162 | 7486 | GTEx | DepMap | Descartes | 0.43 | 2.23 |
SAMD3 | -0.0002206 | 7539 | GTEx | DepMap | Descartes | 0.00 | 0.05 |
LCP1 | -0.0004018 | 9210 | GTEx | DepMap | Descartes | 0.00 | 0.00 |
PITPNC1 | -0.0005562 | 10193 | GTEx | DepMap | Descartes | 0.62 | 3.71 |
ITPKB | -0.0005734 | 10264 | GTEx | DepMap | Descartes | 0.01 | 0.04 |
BACH2 | -0.0006290 | 10518 | GTEx | DepMap | Descartes | 0.00 | 0.00 |
ARHGDIB | -0.0006405 | 10577 | GTEx | DepMap | Descartes | 0.43 | 10.94 |
TOX | -0.0006609 | 10669 | GTEx | DepMap | Descartes | 0.32 | 2.96 |
Below shows the ranks on this GEP for immune marker gene lists curated by CellTypist (https://www.celltypist.org/encyclopedia).
High ranks indicate this gene is a driver of this GEP.
These curated gene list are ranked by P-value (on this GEP) of their constituent genes.
The Mean Count column shows the mean read count in cells scoring highly (H > 50) on this gene expression program.
Genes | Weight | Rank | GTEx | DepMap | Decartes | Mean.Counts | Mean.TPM |
---|---|---|---|---|---|---|---|
SRGN | 0.0195011 | 2 | GTEx | DepMap | Descartes | 7.51 | 221.23 |
ACTB | 0.0103473 | 66 | GTEx | DepMap | Descartes | 189.48 | 3104.52 |
FTH1 | 0.0050955 | 257 | GTEx | DepMap | Descartes | 223.63 | 6822.47 |
S100A6 | 0.0034747 | 436 | GTEx | DepMap | Descartes | 77.35 | 4208.56 |
TYROBP | -0.0000315 | 5129 | GTEx | DepMap | Descartes | 0.00 | 0.00 |
T cells: T(agonist) (curated markers)
unconventional T cell subpopulation in the thymus which expresses MIR155HG and shares some signatures with differentiating regulatory T cells:
Wilcoxon ranksum test P-value for gene set overrepresentation: 1.04e-02
Mean rank of genes in gene set: 1437.67
Rank on gene expression program of genes in gene set:
Genes | Weight | Rank | GTEx | DepMap | Decartes | Mean.Counts | Mean.TPM |
---|---|---|---|---|---|---|---|
MIR155HG | 0.0078038 | 113 | GTEx | DepMap | Descartes | 0.48 | 11.42 |
SMS | 0.0074117 | 125 | GTEx | DepMap | Descartes | 27.65 | 605.28 |
BIRC3 | 0.0001161 | 4075 | GTEx | DepMap | Descartes | 0.04 | 0.20 |
T cells: Regulatory T cells (model markers)
T cell subpopulation which modulates immune responses and regulates other cells through direct cell-cell contact and cytokine release:
Wilcoxon ranksum test P-value for gene set overrepresentation: 2.54e-02
Mean rank of genes in gene set: 2737.5
Rank on gene expression program of genes in gene set:
Genes | Weight | Rank | GTEx | DepMap | Decartes | Mean.Counts | Mean.TPM |
---|---|---|---|---|---|---|---|
SRGN | 0.0195011 | 2 | GTEx | DepMap | Descartes | 7.51 | 221.23 |
RTKN2 | 0.0014568 | 1192 | GTEx | DepMap | Descartes | 2.65 | 13.73 |
RGS1 | 0.0000150 | 4715 | GTEx | DepMap | Descartes | 0.00 | 0.01 |
TIGIT | -0.0000225 | 5041 | GTEx | DepMap | Descartes | 0.00 | 0.00 |