QQ-plot of gene loadings, averaged over both independent splits of the data
This plot highlights the relative contribution of each gene to the GEP
Top genes driving this program.
Note: Decartes website is buggy, try refreshing. Also, Decartes fetal adrenal data have been collected at specific time points (89-122 days), all possible cell types of interest may not be represented, do not overinterpret.
The Mean Count column shows the mean read count in cells scoring highly (H > 50) on this gene expression program.
Gene | Loading | Gene.Name | GTEx | DepMap | Descartes | Mean.Counts | Mean.Tpm | |
---|---|---|---|---|---|---|---|---|
1 | SKA2 | 0.0179179 | spindle and kinetochore associated complex subunit 2 | GTEx | DepMap | Descartes | 9.81 | 835.91 |
2 | EGR1 | 0.0168549 | early growth response 1 | GTEx | DepMap | Descartes | 10.23 | 851.97 |
3 | NAP1L1 | 0.0150300 | nucleosome assembly protein 1 like 1 | GTEx | DepMap | Descartes | 11.97 | 230.61 |
4 | DDX6 | 0.0127858 | DEAD-box helicase 6 | GTEx | DepMap | Descartes | 2.92 | 122.66 |
5 | B3GNT4 | 0.0125661 | UDP-GlcNAc:betaGal beta-1,3-N-acetylglucosaminyltransferase 4 | GTEx | DepMap | Descartes | 1.35 | 121.50 |
6 | TMTC2 | 0.0114677 | transmembrane O-mannosyltransferase targeting cadherins 2 | GTEx | DepMap | Descartes | 1.07 | 44.75 |
7 | PRR11 | 0.0114547 | proline rich 11 | GTEx | DepMap | Descartes | 1.33 | 45.16 |
8 | KCTD16 | 0.0114314 | potassium channel tetramerization domain containing 16 | GTEx | DepMap | Descartes | 1.86 | 34.23 |
9 | NTRK2 | 0.0108877 | neurotrophic receptor tyrosine kinase 2 | GTEx | DepMap | Descartes | 0.88 | 26.56 |
10 | SNCA | 0.0104343 | synuclein alpha | GTEx | DepMap | Descartes | 1.82 | 152.59 |
11 | TTC3 | 0.0102326 | tetratricopeptide repeat domain 3 | GTEx | DepMap | Descartes | 7.49 | NA |
12 | PDLIM3 | 0.0098497 | PDZ and LIM domain 3 | GTEx | DepMap | Descartes | 1.42 | 70.46 |
13 | CDH8 | 0.0097547 | cadherin 8 | GTEx | DepMap | Descartes | 1.26 | 36.42 |
14 | SOX11 | 0.0096875 | SRY-box transcription factor 11 | GTEx | DepMap | Descartes | 5.51 | 158.50 |
15 | COX7C | 0.0092684 | cytochrome c oxidase subunit 7C | GTEx | DepMap | Descartes | 15.53 | 2499.58 |
16 | LSAMP | 0.0092258 | limbic system associated membrane protein | GTEx | DepMap | Descartes | 1.09 | 29.74 |
17 | BCL9L | 0.0091942 | BCL9 like | GTEx | DepMap | Descartes | 0.58 | 13.95 |
18 | VCAN | 0.0091387 | versican | GTEx | DepMap | Descartes | 2.04 | 42.03 |
19 | RPSA | 0.0090098 | ribosomal protein SA | GTEx | DepMap | Descartes | 32.27 | 3897.33 |
20 | CRLF1 | 0.0089801 | cytokine receptor like factor 1 | GTEx | DepMap | Descartes | 0.30 | 42.70 |
21 | EGR3 | 0.0088850 | early growth response 3 | GTEx | DepMap | Descartes | 0.86 | 48.25 |
22 | MARCH11 | 0.0085153 | NA | GTEx | DepMap | Descartes | 4.32 | NA |
23 | NUDT4 | 0.0084280 | nudix hydrolase 4 | GTEx | DepMap | Descartes | 1.24 | 33.57 |
24 | NRN1 | 0.0082708 | neuritin 1 | GTEx | DepMap | Descartes | 0.44 | 61.33 |
25 | NOVA1 | 0.0082538 | NOVA alternative splicing regulator 1 | GTEx | DepMap | Descartes | 1.43 | 52.32 |
26 | FGF13 | 0.0081425 | fibroblast growth factor 13 | GTEx | DepMap | Descartes | 1.33 | 17.44 |
27 | TRIM37 | 0.0080634 | tripartite motif containing 37 | GTEx | DepMap | Descartes | 0.95 | 50.31 |
28 | SEMA3D | 0.0080341 | semaphorin 3D | GTEx | DepMap | Descartes | 0.47 | 19.45 |
29 | CCND1 | 0.0078398 | cyclin D1 | GTEx | DepMap | Descartes | 11.95 | 722.54 |
30 | SNRPF | 0.0073964 | small nuclear ribonucleoprotein polypeptide F | GTEx | DepMap | Descartes | 4.47 | 813.93 |
31 | ARC | 0.0073798 | activity regulated cytoskeleton associated protein | GTEx | DepMap | Descartes | 2.67 | 239.45 |
32 | PPP2R2B | 0.0073021 | protein phosphatase 2 regulatory subunit Bbeta | GTEx | DepMap | Descartes | 1.24 | 29.86 |
33 | SNRPE | 0.0072221 | small nuclear ribonucleoprotein polypeptide E | GTEx | DepMap | Descartes | 5.44 | 870.31 |
34 | DDR2 | 0.0072165 | discoidin domain receptor tyrosine kinase 2 | GTEx | DepMap | Descartes | 0.59 | 14.47 |
35 | COX6A1 | 0.0070962 | cytochrome c oxidase subunit 6A1 | GTEx | DepMap | Descartes | 9.14 | 3020.21 |
36 | ZFHX3 | 0.0070646 | zinc finger homeobox 3 | GTEx | DepMap | Descartes | 4.68 | 68.39 |
37 | YWHAH | 0.0069269 | tyrosine 3-monooxygenase/tryptophan 5-monooxygenase activation protein eta | GTEx | DepMap | Descartes | 4.74 | 643.34 |
38 | SLC7A2 | 0.0068315 | solute carrier family 7 member 2 | GTEx | DepMap | Descartes | 0.28 | 9.05 |
39 | FAM216A | 0.0068258 | family with sequence similarity 216 member A | GTEx | DepMap | Descartes | 1.10 | NA |
40 | HMGN1 | 0.0067957 | high mobility group nucleosome binding domain 1 | GTEx | DepMap | Descartes | 7.33 | NA |
41 | ELMO1 | 0.0067429 | engulfment and cell motility 1 | GTEx | DepMap | Descartes | 0.85 | 55.29 |
42 | RANBP1 | 0.0064877 | RAN binding protein 1 | GTEx | DepMap | Descartes | 5.14 | 561.52 |
43 | COX7A2 | 0.0064779 | cytochrome c oxidase subunit 7A2 | GTEx | DepMap | Descartes | 10.15 | 2788.34 |
44 | LRRC3B | 0.0064267 | leucine rich repeat containing 3B | GTEx | DepMap | Descartes | 0.25 | 9.49 |
45 | ADCY8 | 0.0063697 | adenylate cyclase 8 | GTEx | DepMap | Descartes | 0.12 | 6.91 |
46 | UQCRQ | 0.0063665 | ubiquinol-cytochrome c reductase complex III subunit VII | GTEx | DepMap | Descartes | 5.05 | 799.47 |
47 | EGR2 | 0.0063521 | early growth response 2 | GTEx | DepMap | Descartes | 0.67 | 60.60 |
48 | BCO2 | 0.0062984 | beta-carotene oxygenase 2 | GTEx | DepMap | Descartes | 0.33 | 31.67 |
49 | COX8A | 0.0062947 | cytochrome c oxidase subunit 8A | GTEx | DepMap | Descartes | 7.31 | 3605.80 |
50 | CCNI | 0.0062944 | cyclin I | GTEx | DepMap | Descartes | 17.11 | 1582.02 |
UMAP plots showing activity of gene expression program identified in GEP 10. Neuroblastoma #2:
CNV Data procured from inferCNV.
Outer tracks are putative CNV regions (gains = red, losses = blue) for each patient
Inner track is expression data representing:
The top cells expressing this GEP (purple)
Random cells (n =50) from the reference set used in inferCNV (orange)
Gene set Enrichments for this program, caculated from top 50 genes
mSigDB Cell Types Gene Set:
P-value | OR | Lower 95% CI | FDR | FWER | Genes Found | Gene Set Size | |
---|---|---|---|---|---|---|---|
RUBENSTEIN_SKELETAL_MUSCLE_SMOOTH_MUSCLE_CELLS | 8.36e-09 | 10.17 | 4.92 | 5.61e-06 | 5.61e-06 | 13EGR1, NTRK2, PDLIM3, COX7C, NUDT4, CCND1, COX6A1, ZFHX3, RANBP1, COX7A2, UQCRQ, COX8A, CCNI |
445 |
BUSSLINGER_DUODENAL_DIFFERENTIATING_STEM_CELLS | 2.26e-06 | 9.27 | 3.93 | 5.18e-04 | 1.52e-03 | 9EGR1, COX7C, SNRPF, SNRPE, COX6A1, HMGN1, COX7A2, UQCRQ, COX8A |
305 |
FAN_OVARY_CL14_MATURE_SMOOTH_MUSCLE_CELL | 2.32e-06 | 9.24 | 3.91 | 5.18e-04 | 1.56e-03 | 9EGR1, NTRK2, NUDT4, COX6A1, YWHAH, COX7A2, UQCRQ, COX8A, CCNI |
306 |
BUSSLINGER_DUODENAL_EARLY_IMMATURE_ENTEROCYTES | 7.97e-05 | 12.85 | 3.91 | 8.91e-03 | 5.35e-02 | 5COX7C, COX6A1, COX7A2, UQCRQ, COX8A |
113 |
CUI_DEVELOPING_HEART_C5_VALVAR_CELL | 1.53e-05 | 10.12 | 3.80 | 2.05e-03 | 1.02e-02 | 7EGR1, NTRK2, PDLIM3, LSAMP, VCAN, EGR3, EGR2 |
208 |
FAN_OVARY_CL10_PUTATIVE_EARLY_ATRESIA_GRANULOSA_CELL | 9.68e-06 | 8.95 | 3.59 | 1.62e-03 | 6.49e-03 | 8COX7C, SNRPF, SNRPE, HMGN1, RANBP1, COX7A2, UQCRQ, COX8A |
274 |
TRAVAGLINI_LUNG_BRONCHIAL_VESSEL_1_CELL | 2.27e-04 | 7.82 | 2.69 | 1.69e-02 | 1.52e-01 | 6EGR1, RPSA, EGR3, SNRPE, HMGN1, EGR2 |
224 |
RUBENSTEIN_SKELETAL_MUSCLE_SATELLITE_CELLS | 1.81e-04 | 6.72 | 2.53 | 1.52e-02 | 1.22e-01 | 7EGR1, TTC3, PDLIM3, RPSA, SNRPF, SNRPE, HMGN1 |
310 |
ZHONG_PFC_C2_THY1_POS_OPC | 5.10e-03 | 20.80 | 2.32 | 1.37e-01 | 1.00e+00 | 2FAM216A, ELMO1 |
27 |
MENON_FETAL_KIDNEY_8_CONNECTING_TUBULE_CELLS | 5.69e-04 | 6.53 | 2.25 | 3.42e-02 | 3.82e-01 | 6COX7C, NUDT4, COX6A1, COX7A2, UQCRQ, COX8A |
267 |
BUSSLINGER_DUODENAL_TRANSIT_AMPLIFYING_CELLS | 9.44e-04 | 7.35 | 2.25 | 4.52e-02 | 6.33e-01 | 5COX7C, COX6A1, COX7A2, UQCRQ, COX8A |
194 |
HU_FETAL_RETINA_RGC | 2.62e-04 | 5.47 | 2.21 | 1.75e-02 | 1.75e-01 | 8KCTD16, SNCA, SOX11, NRN1, FGF13, PPP2R2B, COX6A1, YWHAH |
443 |
FAN_OVARY_CL8_MATURE_CUMULUS_GRANULOSA_CELL_2 | 1.28e-04 | 4.92 | 2.18 | 1.23e-02 | 8.59e-02 | 10COX7C, VCAN, SNRPF, SNRPE, COX6A1, HMGN1, RANBP1, COX7A2, UQCRQ, COX8A |
646 |
MENON_FETAL_KIDNEY_7_LOOPOF_HENLE_CELLS_DISTAL | 6.75e-04 | 6.31 | 2.18 | 3.48e-02 | 4.53e-01 | 6COX7C, NUDT4, COX6A1, COX7A2, UQCRQ, COX8A |
276 |
BUSSLINGER_ESOPHAGEAL_QUIESCENT_BASAL_CELLS | 3.48e-03 | 10.78 | 2.10 | 1.11e-01 | 1.00e+00 | 3NAP1L1, NTRK2, SLC7A2 |
77 |
LAKE_ADULT_KIDNEY_C12_THICK_ASCENDING_LIMB | 6.11e-04 | 5.44 | 2.05 | 3.42e-02 | 4.10e-01 | 7KCTD16, NTRK2, COX7C, RPSA, NUDT4, COX7A2, UQCRQ |
381 |
CUI_DEVELOPING_HEART_5TH_WEEK_VENTRICULAR_CARDIOMYOCYTE | 4.01e-03 | 10.22 | 1.99 | 1.22e-01 | 1.00e+00 | 3PDLIM3, PPP2R2B, EGR2 |
81 |
BUSSLINGER_DUODENAL_STEM_CELLS | 1.24e-03 | 5.59 | 1.93 | 5.53e-02 | 8.30e-01 | 6EGR1, TTC3, COX7C, CCND1, SNRPE, HMGN1 |
311 |
ZHONG_PFC_MAJOR_TYPES_OPC | 5.54e-03 | 9.06 | 1.77 | 1.38e-01 | 1.00e+00 | 3LSAMP, NOVA1, ARC |
91 |
BUSSLINGER_GASTRIC_PARIETAL_CELLS | 3.02e-03 | 5.58 | 1.71 | 1.01e-01 | 1.00e+00 | 5COX7C, COX6A1, COX7A2, UQCRQ, COX8A |
254 |
Dowload full table
mSigDB Hallmark Gene Sets:
P-value | OR | Lower 95% CI | FDR | FWER | Genes Found | Gene Set Size | |
---|---|---|---|---|---|---|---|
HALLMARK_OXIDATIVE_PHOSPHORYLATION | 1.08e-03 | 7.12 | 2.18 | 5.40e-02 | 5.40e-02 | 5COX7C, COX6A1, COX7A2, UQCRQ, COX8A |
200 |
HALLMARK_TNFA_SIGNALING_VIA_NFKB | 7.71e-03 | 5.55 | 1.44 | 1.28e-01 | 3.85e-01 | 4EGR1, EGR3, CCND1, EGR2 |
200 |
HALLMARK_ESTROGEN_RESPONSE_EARLY | 7.71e-03 | 5.55 | 1.44 | 1.28e-01 | 3.85e-01 | 4PDLIM3, EGR3, CCND1, SLC7A2 |
200 |
HALLMARK_ADIPOGENESIS | 4.35e-02 | 4.05 | 0.80 | 3.63e-01 | 1.00e+00 | 3COX6A1, UQCRQ, COX8A |
200 |
HALLMARK_ESTROGEN_RESPONSE_LATE | 4.35e-02 | 4.05 | 0.80 | 3.63e-01 | 1.00e+00 | 3PDLIM3, EGR3, CCND1 |
200 |
HALLMARK_APICAL_JUNCTION | 4.35e-02 | 4.05 | 0.80 | 3.63e-01 | 1.00e+00 | 3CDH8, VCAN, YWHAH |
200 |
HALLMARK_APOPTOSIS | 1.32e-01 | 3.28 | 0.38 | 7.11e-01 | 1.00e+00 | 2EGR3, CCND1 |
161 |
HALLMARK_E2F_TARGETS | 1.85e-01 | 2.63 | 0.31 | 7.11e-01 | 1.00e+00 | 2NAP1L1, RANBP1 |
200 |
HALLMARK_MYC_TARGETS_V1 | 1.85e-01 | 2.63 | 0.31 | 7.11e-01 | 1.00e+00 | 2NAP1L1, RANBP1 |
200 |
HALLMARK_EPITHELIAL_MESENCHYMAL_TRANSITION | 1.85e-01 | 2.63 | 0.31 | 7.11e-01 | 1.00e+00 | 2VCAN, CRLF1 |
200 |
HALLMARK_HEME_METABOLISM | 1.85e-01 | 2.63 | 0.31 | 7.11e-01 | 1.00e+00 | 2SNCA, NUDT4 |
200 |
HALLMARK_NOTCH_SIGNALING | 1.20e-01 | 8.23 | 0.20 | 7.11e-01 | 1.00e+00 | 1CCND1 |
32 |
HALLMARK_ANGIOGENESIS | 1.34e-01 | 7.29 | 0.18 | 7.11e-01 | 1.00e+00 | 1VCAN |
36 |
HALLMARK_ANDROGEN_RESPONSE | 3.28e-01 | 2.58 | 0.06 | 1.00e+00 | 1.00e+00 | 1CCND1 |
100 |
HALLMARK_PEROXISOME | 3.39e-01 | 2.48 | 0.06 | 1.00e+00 | 1.00e+00 | 1YWHAH |
104 |
HALLMARK_FATTY_ACID_METABOLISM | 4.66e-01 | 1.62 | 0.04 | 1.00e+00 | 1.00e+00 | 1YWHAH |
158 |
HALLMARK_UV_RESPONSE_UP | 4.66e-01 | 1.62 | 0.04 | 1.00e+00 | 1.00e+00 | 1PDLIM3 |
158 |
HALLMARK_G2M_CHECKPOINT | 5.47e-01 | 1.28 | 0.03 | 1.00e+00 | 1.00e+00 | 1CCND1 |
200 |
HALLMARK_INFLAMMATORY_RESPONSE | 5.47e-01 | 1.28 | 0.03 | 1.00e+00 | 1.00e+00 | 1SLC7A2 |
200 |
HALLMARK_GLYCOLYSIS | 5.47e-01 | 1.28 | 0.03 | 1.00e+00 | 1.00e+00 | 1VCAN |
200 |
Dowload full table
KEGG Pathways:
P-value | OR | Lower 95% CI | FDR | FWER | Genes Found | Gene Set Size | |
---|---|---|---|---|---|---|---|
KEGG_CARDIAC_MUSCLE_CONTRACTION | 1.43e-05 | 18.75 | 5.65 | 1.33e-03 | 2.67e-03 | 5COX7C, COX6A1, COX7A2, UQCRQ, COX8A |
79 |
KEGG_PARKINSONS_DISEASE | 1.14e-05 | 13.75 | 4.70 | 1.33e-03 | 2.11e-03 | 6SNCA, COX7C, COX6A1, COX7A2, UQCRQ, COX8A |
130 |
KEGG_ALZHEIMERS_DISEASE | 4.47e-05 | 10.65 | 3.66 | 2.77e-03 | 8.31e-03 | 6SNCA, COX7C, COX6A1, COX7A2, UQCRQ, COX8A |
166 |
KEGG_OXIDATIVE_PHOSPHORYLATION | 1.65e-04 | 10.93 | 3.33 | 7.66e-03 | 3.07e-02 | 5COX7C, COX6A1, COX7A2, UQCRQ, COX8A |
132 |
KEGG_HUNTINGTONS_DISEASE | 7.11e-04 | 7.85 | 2.40 | 2.65e-02 | 1.32e-01 | 5COX7C, COX6A1, COX7A2, UQCRQ, COX8A |
182 |
KEGG_MELANOMA | 3.21e-02 | 7.55 | 0.87 | 9.96e-01 | 1.00e+00 | 2FGF13, CCND1 |
71 |
KEGG_OOCYTE_MEIOSIS | 7.33e-02 | 4.69 | 0.55 | 1.00e+00 | 1.00e+00 | 2YWHAH, ADCY8 |
113 |
KEGG_CELL_CYCLE | 8.71e-02 | 4.23 | 0.49 | 1.00e+00 | 1.00e+00 | 2CCND1, YWHAH |
125 |
KEGG_NEUROTROPHIN_SIGNALING_PATHWAY | 8.82e-02 | 4.20 | 0.49 | 1.00e+00 | 1.00e+00 | 2NTRK2, YWHAH |
126 |
KEGG_SPLICEOSOME | 8.94e-02 | 4.17 | 0.49 | 1.00e+00 | 1.00e+00 | 2SNRPF, SNRPE |
127 |
KEGG_CHEMOKINE_SIGNALING_PATHWAY | 1.70e-01 | 2.79 | 0.33 | 1.00e+00 | 1.00e+00 | 2ELMO1, ADCY8 |
189 |
KEGG_GLYCOSPHINGOLIPID_BIOSYNTHESIS_LACTO_AND_NEOLACTO_SERIES | 9.85e-02 | 10.19 | 0.24 | 1.00e+00 | 1.00e+00 | 1B3GNT4 |
26 |
KEGG_MAPK_SIGNALING_PATHWAY | 2.80e-01 | 1.97 | 0.23 | 1.00e+00 | 1.00e+00 | 2NTRK2, FGF13 |
267 |
KEGG_THYROID_CANCER | 1.09e-01 | 9.11 | 0.22 | 1.00e+00 | 1.00e+00 | 1CCND1 |
29 |
KEGG_PATHWAYS_IN_CANCER | 3.61e-01 | 1.61 | 0.19 | 1.00e+00 | 1.00e+00 | 2FGF13, CCND1 |
325 |
KEGG_PRION_DISEASES | 1.30e-01 | 7.50 | 0.18 | 1.00e+00 | 1.00e+00 | 1EGR1 |
35 |
KEGG_BLADDER_CANCER | 1.54e-01 | 6.22 | 0.15 | 1.00e+00 | 1.00e+00 | 1CCND1 |
42 |
KEGG_TASTE_TRANSDUCTION | 1.87e-01 | 5.00 | 0.12 | 1.00e+00 | 1.00e+00 | 1ADCY8 |
52 |
KEGG_ENDOMETRIAL_CANCER | 1.87e-01 | 5.00 | 0.12 | 1.00e+00 | 1.00e+00 | 1CCND1 |
52 |
KEGG_NON_SMALL_CELL_LUNG_CANCER | 1.94e-01 | 4.81 | 0.12 | 1.00e+00 | 1.00e+00 | 1CCND1 |
54 |
Dowload full table
CHR Positional Gene Sets:
P-value | OR | Lower 95% CI | FDR | FWER | Genes Found | Gene Set Size | |
---|---|---|---|---|---|---|---|
chr17q22 | 4.74e-03 | 9.61 | 1.88 | 1.00e+00 | 1.00e+00 | 3SKA2, PRR11, TRIM37 |
86 |
chr11q23 | 4.62e-02 | 3.95 | 0.78 | 1.00e+00 | 1.00e+00 | 3DDX6, BCL9L, BCO2 |
205 |
chr5q31 | 1.01e-01 | 2.81 | 0.56 | 1.00e+00 | 1.00e+00 | 3EGR1, KCTD16, UQCRQ |
287 |
chr12q21 | 9.06e-02 | 4.13 | 0.48 | 1.00e+00 | 1.00e+00 | 2NAP1L1, TMTC2 |
128 |
chr5q14 | 9.30e-02 | 4.07 | 0.47 | 1.00e+00 | 1.00e+00 | 2COX7C, VCAN |
130 |
chr12q24 | 1.91e-01 | 2.06 | 0.41 | 1.00e+00 | 1.00e+00 | 3B3GNT4, COX6A1, FAM216A |
390 |
chr8q24 | 3.56e-01 | 1.63 | 0.19 | 1.00e+00 | 1.00e+00 | 2ARC, ADCY8 |
321 |
chr21q22 | 3.99e-01 | 1.48 | 0.17 | 1.00e+00 | 1.00e+00 | 2TTC3, HMGN1 |
353 |
chr11q13 | 6.78e-01 | 1.24 | 0.15 | 1.00e+00 | 1.00e+00 | 2CCND1, COX8A |
421 |
chr8p22 | 1.64e-01 | 5.80 | 0.14 | 1.00e+00 | 1.00e+00 | 1SLC7A2 |
45 |
chr12q22 | 1.84e-01 | 5.10 | 0.12 | 1.00e+00 | 1.00e+00 | 1NUDT4 |
51 |
chr4q22 | 2.43e-01 | 3.70 | 0.09 | 1.00e+00 | 1.00e+00 | 1SNCA |
70 |
chr16q21 | 2.55e-01 | 3.49 | 0.09 | 1.00e+00 | 1.00e+00 | 1CDH8 |
74 |
chr6p25 | 2.78e-01 | 3.15 | 0.08 | 1.00e+00 | 1.00e+00 | 1NRN1 |
82 |
chrXq27 | 2.98e-01 | 2.90 | 0.07 | 1.00e+00 | 1.00e+00 | 1FGF13 |
89 |
chr6q14 | 3.09e-01 | 2.77 | 0.07 | 1.00e+00 | 1.00e+00 | 1COX7A2 |
93 |
chr3p24 | 3.25e-01 | 2.60 | 0.06 | 1.00e+00 | 1.00e+00 | 1LRRC3B |
99 |
chr14q12 | 3.31e-01 | 2.55 | 0.06 | 1.00e+00 | 1.00e+00 | 1NOVA1 |
101 |
chr4q35 | 3.41e-01 | 2.45 | 0.06 | 1.00e+00 | 1.00e+00 | 1PDLIM3 |
105 |
chr10q21 | 3.69e-01 | 2.22 | 0.05 | 1.00e+00 | 1.00e+00 | 1EGR2 |
116 |
Dowload full table
Transcription Factor Targets:
P-value | OR | Lower 95% CI | FDR | FWER | Genes Found | Gene Set Size | |
---|---|---|---|---|---|---|---|
MEIS1AHOXA9_01 | 1.10e-04 | 11.97 | 3.64 | 2.90e-02 | 1.24e-01 | 5SKA2, PRR11, NOVA1, ZFHX3, ADCY8 |
121 |
ATF6_01 | 1.33e-04 | 11.47 | 3.49 | 2.90e-02 | 1.50e-01 | 5EGR1, NTRK2, EGR3, ZFHX3, EGR2 |
126 |
PIT1_Q6 | 3.67e-05 | 8.77 | 3.29 | 2.90e-02 | 4.16e-02 | 7SKA2, TMTC2, PRR11, FGF13, CCND1, PPP2R2B, ZFHX3 |
239 |
SRF_01 | 1.07e-03 | 16.60 | 3.20 | 1.35e-01 | 1.00e+00 | 3EGR1, EGR3, EGR2 |
51 |
YGACNNYACAR_UNKNOWN | 6.17e-04 | 11.44 | 2.93 | 9.99e-02 | 6.99e-01 | 4TMTC2, VCAN, EGR3, FGF13 |
99 |
MYOD_01 | 7.66e-05 | 7.77 | 2.92 | 2.90e-02 | 8.67e-02 | 7SKA2, EGR1, PRR11, NTRK2, CRLF1, TRIM37, ELMO1 |
269 |
GGCKCATGS_UNKNOWN | 2.45e-03 | 12.27 | 2.38 | 1.59e-01 | 1.00e+00 | 3CCND1, RANBP1, CCNI |
68 |
YYCATTCAWW_UNKNOWN | 9.02e-04 | 7.43 | 2.27 | 1.28e-01 | 1.00e+00 | 5VCAN, CCND1, DDR2, RANBP1, COX8A |
192 |
CTGCAGY_UNKNOWN | 1.16e-04 | 4.59 | 2.11 | 2.90e-02 | 1.31e-01 | 11EGR1, DDX6, TMTC2, NTRK2, BCL9L, EGR3, NOVA1, FGF13, PPP2R2B, ELMO1, LRRC3B |
779 |
HFH8_01 | 1.28e-03 | 6.84 | 2.10 | 1.45e-01 | 1.00e+00 | 5PDLIM3, NOVA1, CCND1, PPP2R2B, EGR2 |
208 |
EGR3_01 | 4.29e-03 | 9.97 | 1.94 | 1.68e-01 | 1.00e+00 | 3EGR1, EGR3, RANBP1 |
83 |
CGTSACG_PAX3_B | 2.76e-03 | 7.50 | 1.93 | 1.59e-01 | 1.00e+00 | 4EGR1, EGR3, HMGN1, EGR2 |
149 |
IK3_01 | 1.94e-03 | 6.20 | 1.90 | 1.59e-01 | 1.00e+00 | 5SKA2, EGR1, PRR11, EGR3, PPP2R2B |
229 |
YTAAYNGCT_UNKNOWN | 3.10e-03 | 7.25 | 1.87 | 1.59e-01 | 1.00e+00 | 4NUDT4, PPP2R2B, ZFHX3, EGR2 |
154 |
ATF1_Q6 | 2.25e-03 | 5.99 | 1.84 | 1.59e-01 | 1.00e+00 | 5NTRK2, SOX11, NOVA1, CCND1, CCNI |
237 |
GATA1_01 | 2.69e-03 | 5.74 | 1.76 | 1.59e-01 | 1.00e+00 | 5SNCA, LSAMP, CRLF1, PPP2R2B, ZFHX3 |
247 |
AACTTT_UNKNOWN | 1.53e-04 | 3.37 | 1.76 | 2.90e-02 | 1.74e-01 | 17TMTC2, SNCA, PDLIM3, LSAMP, BCL9L, VCAN, EGR3, NUDT4, NOVA1, FGF13, PPP2R2B, DDR2, ZFHX3, ELMO1, LRRC3B, ADCY8, EGR2 |
1928 |
LXR_DR4_Q3 | 5.88e-03 | 8.86 | 1.73 | 2.08e-01 | 1.00e+00 | 3SKA2, PRR11, ZFHX3 |
93 |
STAT1_03 | 3.02e-03 | 5.58 | 1.71 | 1.59e-01 | 1.00e+00 | 5SKA2, PRR11, CCND1, COX8A, CCNI |
254 |
CDP_01 | 6.24e-03 | 8.67 | 1.70 | 2.14e-01 | 1.00e+00 | 3EGR1, FGF13, CCND1 |
95 |
Dowload full table
GO Biological Processes:
P-value | OR | Lower 95% CI | FDR | FWER | Genes Found | Gene Set Size | |
---|---|---|---|---|---|---|---|
GOBP_MITOCHONDRIAL_ELECTRON_TRANSPORT_CYTOCHROME_C_TO_OXYGEN | 7.49e-05 | 44.24 | 8.07 | 1.40e-01 | 5.60e-01 | 3COX7C, COX6A1, COX8A |
21 |
GOBP_REGULATION_OF_LONG_TERM_SYNAPTIC_DEPRESSION | 1.18e-03 | 47.19 | 4.96 | 5.89e-01 | 1.00e+00 | 2ARC, ADCY8 |
13 |
GOBP_SKELETAL_MUSCLE_CELL_DIFFERENTIATION | 1.17e-04 | 18.10 | 4.59 | 1.45e-01 | 8.72e-01 | 4EGR1, SOX11, BCL9L, EGR2 |
64 |
GOBP_LOCOMOTOR_RHYTHM | 1.37e-03 | 43.30 | 4.59 | 5.89e-01 | 1.00e+00 | 2EGR1, ZFHX3 |
14 |
GOBP_ATP_SYNTHESIS_COUPLED_ELECTRON_TRANSPORT | 4.46e-05 | 14.61 | 4.43 | 1.40e-01 | 3.34e-01 | 5SNCA, COX7C, COX6A1, UQCRQ, COX8A |
100 |
GOBP_OXIDATIVE_PHOSPHORYLATION | 2.36e-05 | 12.00 | 4.11 | 1.40e-01 | 1.77e-01 | 6SNCA, COX7C, COX6A1, COX7A2, UQCRQ, COX8A |
148 |
GOBP_RESPIRATORY_ELECTRON_TRANSPORT_CHAIN | 9.38e-05 | 12.39 | 3.77 | 1.40e-01 | 7.02e-01 | 5SNCA, COX7C, COX6A1, UQCRQ, COX8A |
117 |
GOBP_RHYTHMIC_BEHAVIOR | 7.92e-04 | 18.54 | 3.56 | 5.89e-01 | 1.00e+00 | 3EGR1, ZFHX3, EGR2 |
46 |
GOBP_RESPONSE_TO_MAGNESIUM_ION | 2.28e-03 | 32.49 | 3.53 | 8.32e-01 | 1.00e+00 | 2SNCA, CCND1 |
18 |
GOBP_ELECTRON_TRANSPORT_CHAIN | 6.56e-05 | 9.91 | 3.41 | 1.40e-01 | 4.91e-01 | 6SNCA, COX7C, COX6A1, COX7A2, UQCRQ, COX8A |
178 |
GOBP_HISTONE_MRNA_METABOLIC_PROCESS | 4.05e-03 | 23.65 | 2.62 | 9.99e-01 | 1.00e+00 | 2SNRPF, SNRPE |
24 |
GOBP_REGULATION_OF_OXIDATIVE_PHOSPHORYLATION | 4.39e-03 | 22.60 | 2.52 | 9.99e-01 | 1.00e+00 | 2SNCA, COX7A2 |
25 |
GOBP_REGULATION_OF_SYNAPTIC_PLASTICITY | 6.12e-04 | 8.12 | 2.49 | 5.73e-01 | 1.00e+00 | 5NTRK2, ARC, YWHAH, ADCY8, EGR2 |
176 |
GOBP_CELLULAR_RESPIRATION | 8.02e-04 | 7.63 | 2.34 | 5.89e-01 | 1.00e+00 | 5SNCA, COX7C, COX6A1, UQCRQ, COX8A |
187 |
GOBP_REGULATION_OF_NEUROGENESIS | 3.61e-04 | 5.97 | 2.25 | 3.86e-01 | 1.00e+00 | 7NAP1L1, NTRK2, SOX11, FGF13, SEMA3D, YWHAH, EGR2 |
348 |
GOBP_RESPONSE_TO_IRON_ION | 5.48e-03 | 20.00 | 2.24 | 1.00e+00 | 1.00e+00 | 2SNCA, CCND1 |
28 |
GOBP_PERIPHERAL_NERVOUS_SYSTEM_DEVELOPMENT | 3.11e-03 | 11.23 | 2.19 | 9.94e-01 | 1.00e+00 | 3NTRK2, EGR3, EGR2 |
74 |
GOBP_NEGATIVE_REGULATION_OF_NERVOUS_SYSTEM_DEVELOPMENT | 2.09e-03 | 8.11 | 2.09 | 8.25e-01 | 1.00e+00 | 4SOX11, FGF13, SEMA3D, YWHAH |
138 |
GOBP_LONG_TERM_SYNAPTIC_DEPRESSION | 6.27e-03 | 18.58 | 2.09 | 1.00e+00 | 1.00e+00 | 2ARC, ADCY8 |
30 |
GOBP_REGULATION_OF_MICROTUBULE_POLYMERIZATION_OR_DEPOLYMERIZATION | 4.01e-03 | 10.22 | 1.99 | 9.99e-01 | 1.00e+00 | 3SKA2, SNCA, FGF13 |
81 |
Dowload full table
Immunological Gene Sets:
P-value | OR | Lower 95% CI | FDR | FWER | Genes Found | Gene Set Size | |
---|---|---|---|---|---|---|---|
GSE21927_SPLEEN_C57BL6_VS_EL4_TUMOR_BALBC_MONOCYTES_DN | 1.24e-04 | 8.78 | 3.02 | 3.01e-01 | 6.03e-01 | 6RPSA, SNRPF, SNRPE, UQCRQ, EGR2, COX8A |
200 |
GSE24726_WT_VS_E2_2_KO_PDC_UP | 1.24e-04 | 8.78 | 3.02 | 3.01e-01 | 6.03e-01 | 6SKA2, NAP1L1, PRR11, TTC3, CCND1, YWHAH |
200 |
GSE27241_WT_VS_RORGT_KO_TH17_POLARIZED_CD4_TCELL_UP | 4.33e-04 | 8.79 | 2.69 | 7.04e-01 | 1.00e+00 | 5EGR1, PRR11, RPSA, FGF13, ARC |
163 |
GSE29618_MONOCYTE_VS_MDC_DAY7_FLU_VACCINE_DN | 1.08e-03 | 7.12 | 2.18 | 8.77e-01 | 1.00e+00 | 5RPSA, SNRPF, SNRPE, HMGN1, ELMO1 |
200 |
GSE21063_CTRL_VS_ANTI_IGM_STIM_BCELL_16H_UP | 1.08e-03 | 7.12 | 2.18 | 8.77e-01 | 1.00e+00 | 5SKA2, NAP1L1, PRR11, SNRPF, ARC |
200 |
GSE28408_LY6G_POS_VS_NEG_DC_DN | 1.08e-03 | 7.12 | 2.18 | 8.77e-01 | 1.00e+00 | 5EGR1, RPSA, SNRPE, YWHAH, RANBP1 |
200 |
GSE36476_YOUNG_VS_OLD_DONOR_MEMORY_CD4_TCELL_40H_TSST_ACT_DN | 7.32e-03 | 5.63 | 1.46 | 1.00e+00 | 1.00e+00 | 4EGR1, EGR3, COX6A1, COX8A |
197 |
GSE17974_0H_VS_2H_IN_VITRO_ACT_CD4_TCELL_DN | 7.45e-03 | 5.60 | 1.45 | 1.00e+00 | 1.00e+00 | 4EGR1, EGR3, RANBP1, EGR2 |
198 |
GSE7548_NAIVE_VS_DAY28_PCC_IMMUNIZATION_CD4_TCELL_DN | 7.45e-03 | 5.60 | 1.45 | 1.00e+00 | 1.00e+00 | 4COX7C, FGF13, CCND1, COX6A1 |
198 |
GSE26559_TCF1_KO_VS_WT_LIN_NEG_CELL_UP | 7.45e-03 | 5.60 | 1.45 | 1.00e+00 | 1.00e+00 | 4EGR3, DDR2, RANBP1, EGR2 |
198 |
GSE11961_MEMORY_BCELL_DAY40_VS_GERMINAL_CENTER_BCELL_DAY40_UP | 7.45e-03 | 5.60 | 1.45 | 1.00e+00 | 1.00e+00 | 4TTC3, CDH8, NOVA1, FAM216A |
198 |
GSE45365_NK_CELL_VS_BCELL_UP | 7.45e-03 | 5.60 | 1.45 | 1.00e+00 | 1.00e+00 | 4EGR1, TMTC2, EGR3, ARC |
198 |
GSE12845_IGD_NEG_BLOOD_VS_DARKZONE_GC_TONSIL_BCELL_DN | 7.58e-03 | 5.57 | 1.44 | 1.00e+00 | 1.00e+00 | 4EGR3, HMGN1, RANBP1, COX8A |
199 |
GSE22886_NEUTROPHIL_VS_MONOCYTE_DN | 7.58e-03 | 5.57 | 1.44 | 1.00e+00 | 1.00e+00 | 4NAP1L1, TTC3, VCAN, SNRPF |
199 |
GSE22886_NAIVE_TCELL_VS_NEUTROPHIL_UP | 7.58e-03 | 5.57 | 1.44 | 1.00e+00 | 1.00e+00 | 4NAP1L1, TTC3, SNRPF, HMGN1 |
199 |
GSE22140_HEALTHY_VS_ARTHRITIC_MOUSE_CD4_TCELL_UP | 7.58e-03 | 5.57 | 1.44 | 1.00e+00 | 1.00e+00 | 4EGR3, YWHAH, HMGN1, COX7A2 |
199 |
GSE33374_CD8_ALPHAALPHA_VS_ALPHABETA_CD161_HIGH_TCELL_UP | 7.58e-03 | 5.57 | 1.44 | 1.00e+00 | 1.00e+00 | 4SNCA, VCAN, DDR2, UQCRQ |
199 |
GSE33424_CD161_HIGH_VS_NEG_CD8_TCELL_DN | 7.58e-03 | 5.57 | 1.44 | 1.00e+00 | 1.00e+00 | 4FGF13, RANBP1, UQCRQ, EGR2 |
199 |
GSE40666_UNTREATED_VS_IFNA_STIM_EFFECTOR_CD8_TCELL_90MIN_DN | 7.58e-03 | 5.57 | 1.44 | 1.00e+00 | 1.00e+00 | 4SKA2, EGR1, EGR2, COX8A |
199 |
GSE34179_THPOK_KO_VS_WT_VA14I_NKTCELL_DN | 7.58e-03 | 5.57 | 1.44 | 1.00e+00 | 1.00e+00 | 4EGR1, EGR3, SNRPF, EGR2 |
199 |
Top Ranked Transcription Factors for this Gene Expression Program:
Gene Symbol | TF Rank | DNA Binding Domain | Motif Status | IUPAC PWM | GTEx | DepMap | Decartes |
---|---|---|---|---|---|---|---|
EGR1 | 2 | Yes | Known motif | Monomer or homomultimer | High-throughput in vitro | None | None |
SOX11 | 14 | Yes | Known motif | Monomer or homomultimer | 100 perc ID - in vitro | None | None |
EGR3 | 21 | Yes | Known motif | Monomer or homomultimer | High-throughput in vitro | None | None |
TRIM37 | 27 | No | Unlikely to be sequence specific TF | Not a DNA binding protein | No motif | None | Included only because GO says it is a regulator of NFkappaB. No evidence for DNA binding, and no canonical DBD. |
DDR2 | 34 | No | Unlikely to be sequence specific TF | Not a DNA binding protein | No motif | None | None |
ZFHX3 | 36 | Yes | Known motif | Monomer or homomultimer | High-throughput in vitro | None | None |
HMGN1 | 40 | No | Unlikely to be sequence specific TF | Low specificity DNA-binding protein | No motif | None | In the alignment, it clusters with other HMG proteins that have not yielded motifs. |
EGR2 | 47 | Yes | Known motif | Monomer or homomultimer | High-throughput in vitro | None | Binds HOX4A promoter (PMID:21836637) |
HDAC2 | 55 | No | Unlikely to be sequence specific TF | Not a DNA binding protein | No motif | Only known motifs are from Transfac or HocoMoco - origin is uncertain | Histone deacetylase; likely to be a transcriptional cofactor |
PEG3 | 56 | Yes | Likely to be sequence specific TF | Monomer or homomultimer | No motif | None | SCAN C2H2 ZF Protein. |
FOS | 60 | Yes | Known motif | Monomer or homomultimer | High-throughput in vitro | None | None |
HMGA1 | 67 | Yes | Known motif | Monomer or homomultimer | In vivo/Misc source | Only known motifs are from Transfac or HocoMoco - origin is uncertain | None |
PPP3CA | 68 | No | Unlikely to be sequence specific TF | Not a DNA binding protein | No motif | None | None |
ZC3H11A | 71 | No | ssDNA/RNA binding | Not a DNA binding protein | No motif | None | None |
CNOT7 | 74 | No | Unlikely to be sequence specific TF | Not a DNA binding protein | No motif | None | (PMID:9820826) does not support DNA-binding |
SOX5 | 78 | Yes | Known motif | Monomer or homomultimer | High-throughput in vitro | None | None |
SMARCE1 | 84 | No | Unlikely to be sequence specific TF | Low specificity DNA-binding protein | No motif | None | In the alignment, it clusters with other HMG proteins that have not yielded motifs. Contributes to SWI/SNF DNA-binding (PMID: 9435219). |
ID4 | 85 | No | Unlikely to be sequence specific TF | Not a DNA binding protein | No motif | None | ID bHLH proteins lack the basic region and should not be able to bind DNA. The HT-SELEX motif for ID4 is likely by a co-precipitated protein or it is a contamination |
PCGF2 | 88 | Yes | Likely to be sequence specific TF | Monomer or homomultimer | No motif | None | (PMID: 8521824) shows via SELEX and EMSA that the recombinant PCGF2 protein binds GACT repeats |
HSBP1 | 91 | No | Unlikely to be sequence specific TF | Not a DNA binding protein | No motif | None | Protein that has been shown to bind to HSF1 leading to inhibition of its trimerization and DNA-binding( PMID: 9649501). |
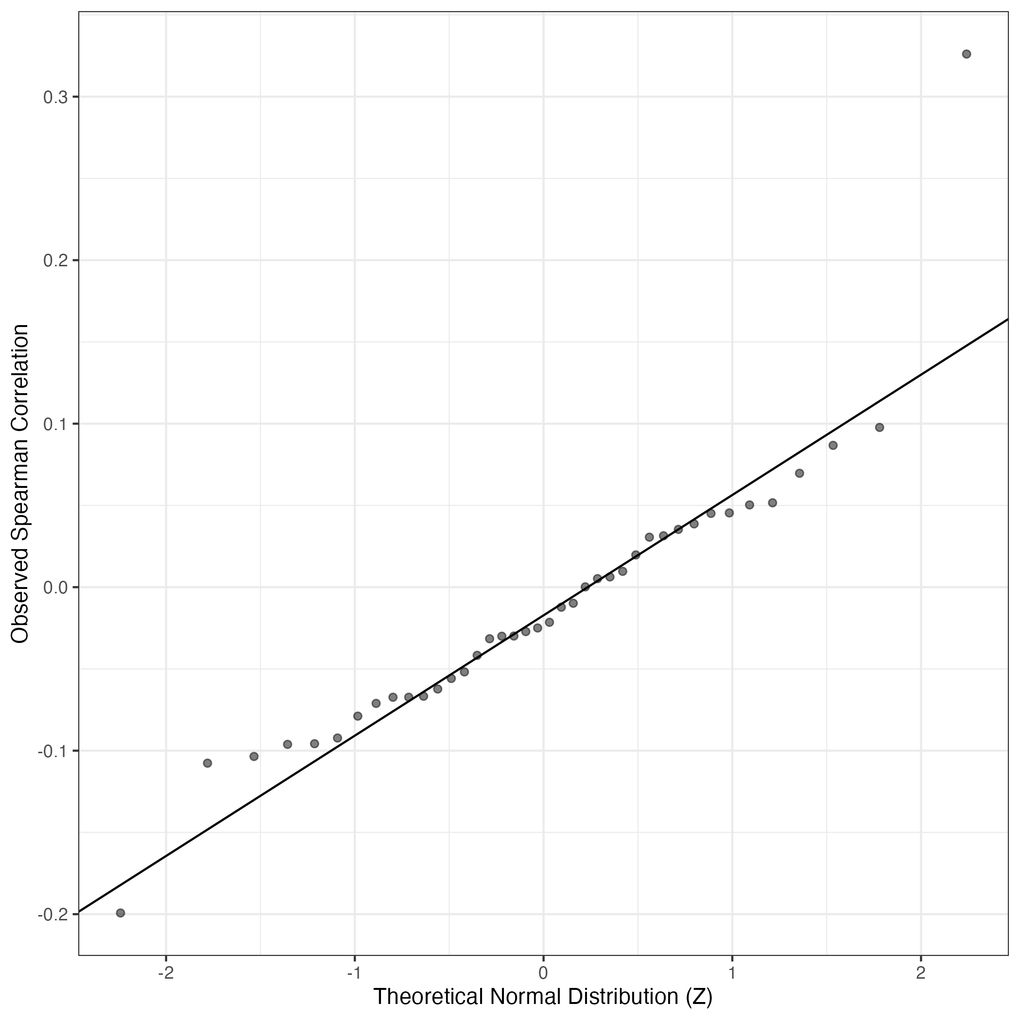
QQ Plot showing correlations with other GEPs in this dataset, calculated by Spearman correlation:
Interactive QQ-plot of gene loadings:
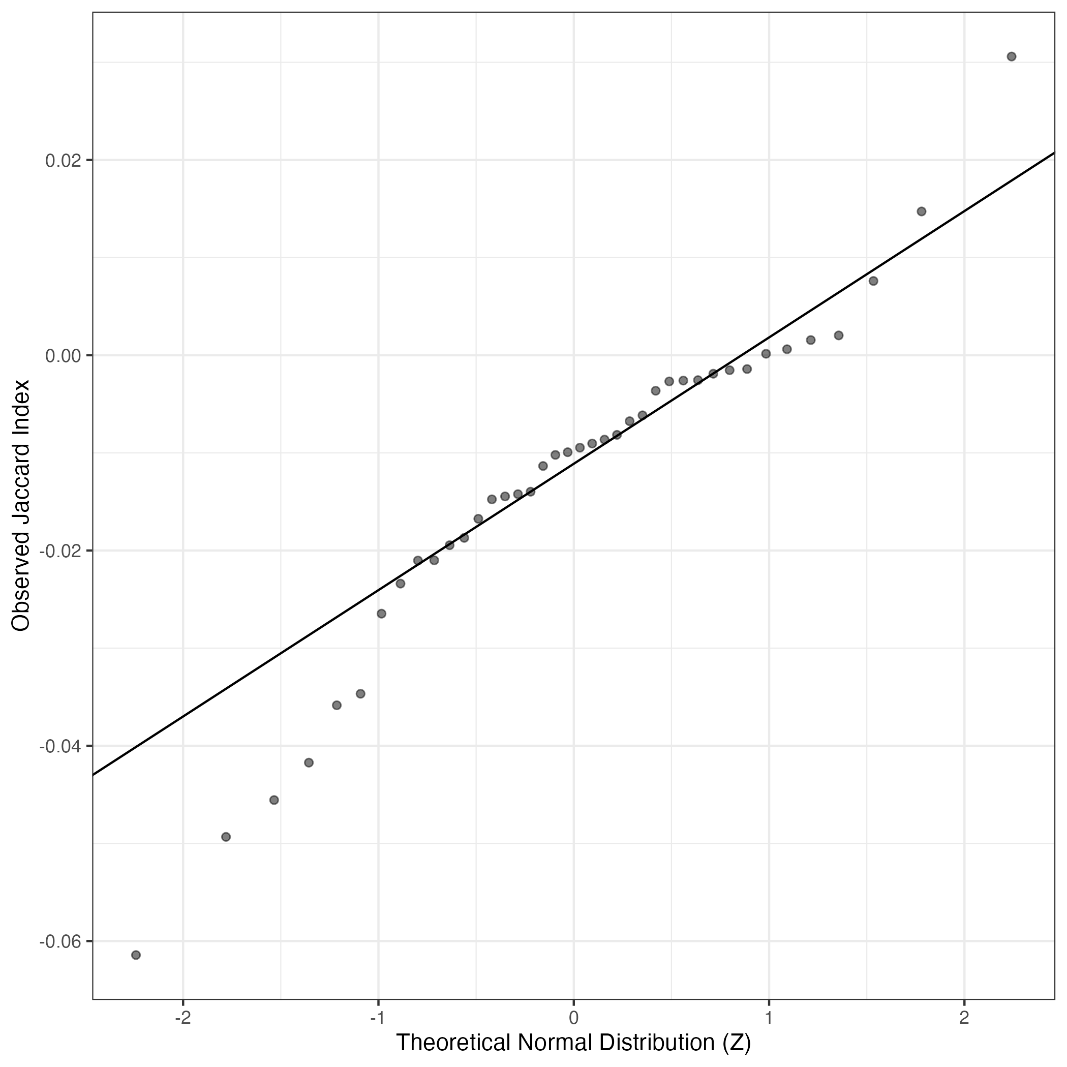
A similar QQ-plot as above, but only for instances where the H value is e.g. > 25, i.e. we are confident that the expression program is active above noise. Agreemenet between these binary vectors is tested using the Jaccard Index, with the P-values calculated by an exact test:
Interactive QQ-plot:
Singler cell type annotations for the top 50 cells on this program.
Cell ID | Singler label | Singler Delta | Activity Score | Top Singler Raw Scores |
---|---|---|---|---|
T69_CAGCATAGTCCGTCAG.1 | Neurons:adrenal_medulla_cell_line | 0.17 | 543.18 | Raw ScoresNeurons:adrenal_medulla_cell_line: 0.36, Neuroepithelial_cell:ESC-derived: 0.33, iPS_cells:PDB_1lox-17Puro-5: 0.31, iPS_cells:PDB_1lox-17Puro-10: 0.31, iPS_cells:PDB_1lox-21Puro-20: 0.31, iPS_cells:PDB_1lox-21Puro-26: 0.3, iPS_cells:PDB_2lox-22: 0.3, iPS_cells:CRL2097_foreskin-derived:undiff.: 0.3, Embryonic_stem_cells: 0.3, iPS_cells:PDB_2lox-17: 0.3 |
T69_CTCACACTCCAGAGGA.1 | Neurons:adrenal_medulla_cell_line | 0.17 | 520.52 | Raw ScoresNeurons:adrenal_medulla_cell_line: 0.35, Neuroepithelial_cell:ESC-derived: 0.32, Astrocyte:Embryonic_stem_cell-derived: 0.29, Neurons:ES_cell-derived_neural_precursor: 0.29, iPS_cells:PDB_1lox-17Puro-5: 0.29, iPS_cells:PDB_1lox-21Puro-20: 0.29, iPS_cells:PDB_1lox-17Puro-10: 0.29, iPS_cells:PDB_1lox-21Puro-26: 0.29, iPS_cells:CRL2097_foreskin-derived:undiff.: 0.29, iPS_cells:PDB_2lox-22: 0.28 |
T69_AGAATAGCAAGCTGTT.1 | Neurons:adrenal_medulla_cell_line | 0.14 | 503.32 | Raw ScoresNeurons:adrenal_medulla_cell_line: 0.38, Neuroepithelial_cell:ESC-derived: 0.36, Astrocyte:Embryonic_stem_cell-derived: 0.34, iPS_cells:PDB_2lox-22: 0.33, iPS_cells:CRL2097_foreskin-derived:undiff.: 0.33, iPS_cells:PDB_2lox-17: 0.33, iPS_cells:PDB_1lox-21Puro-20: 0.33, iPS_cells:PDB_2lox-5: 0.33, iPS_cells:PDB_2lox-21: 0.33, iPS_cells:adipose_stem_cell-derived:minicircle-derived: 0.33 |
T69_TCATTTGAGACTGTAA.1 | Neurons:adrenal_medulla_cell_line | 0.16 | 445.15 | Raw ScoresNeurons:adrenal_medulla_cell_line: 0.37, Neuroepithelial_cell:ESC-derived: 0.34, iPS_cells:PDB_1lox-21Puro-20: 0.32, iPS_cells:PDB_1lox-17Puro-5: 0.31, iPS_cells:PDB_1lox-21Puro-26: 0.31, Astrocyte:Embryonic_stem_cell-derived: 0.31, Embryonic_stem_cells: 0.31, iPS_cells:PDB_1lox-17Puro-10: 0.31, iPS_cells:PDB_2lox-22: 0.31, iPS_cells:CRL2097_foreskin-derived:undiff.: 0.31 |
T69_AGCTTGATCACAATGC.1 | Neurons:adrenal_medulla_cell_line | 0.15 | 443.98 | Raw ScoresNeurons:adrenal_medulla_cell_line: 0.34, Neuroepithelial_cell:ESC-derived: 0.32, iPS_cells:PDB_2lox-22: 0.3, iPS_cells:PDB_1lox-17Puro-5: 0.3, iPS_cells:PDB_1lox-21Puro-20: 0.3, iPS_cells:PDB_1lox-17Puro-10: 0.3, iPS_cells:PDB_2lox-21: 0.3, iPS_cells:PDB_2lox-17: 0.29, iPS_cells:PDB_2lox-5: 0.29, iPS_cells:adipose_stem_cell-derived:lentiviral: 0.29 |
T69_AACTCTTGTTACGTCA.1 | Neurons:adrenal_medulla_cell_line | 0.20 | 377.52 | Raw ScoresNeurons:adrenal_medulla_cell_line: 0.39, Neuroepithelial_cell:ESC-derived: 0.36, iPS_cells:PDB_1lox-21Puro-20: 0.34, iPS_cells:PDB_1lox-17Puro-10: 0.34, iPS_cells:PDB_1lox-21Puro-26: 0.34, iPS_cells:PDB_1lox-17Puro-5: 0.34, iPS_cells:PDB_2lox-22: 0.33, iPS_cells:PDB_2lox-21: 0.33, Embryonic_stem_cells: 0.33, iPS_cells:PDB_2lox-17: 0.33 |
T69_CGAACATCAAGGACTG.1 | Neurons:adrenal_medulla_cell_line | 0.16 | 356.73 | Raw ScoresNeurons:adrenal_medulla_cell_line: 0.34, Neuroepithelial_cell:ESC-derived: 0.32, Astrocyte:Embryonic_stem_cell-derived: 0.29, iPS_cells:PDB_1lox-17Puro-5: 0.29, Neurons:ES_cell-derived_neural_precursor: 0.29, iPS_cells:PDB_1lox-17Puro-10: 0.29, iPS_cells:PDB_1lox-21Puro-26: 0.29, iPS_cells:CRL2097_foreskin-derived:undiff.: 0.29, iPS_cells:PDB_1lox-21Puro-20: 0.29, iPS_cells:PDB_2lox-22: 0.28 |
T69_CTAGCCTGTGTTTGGT.1 | Neurons:adrenal_medulla_cell_line | 0.15 | 342.27 | Raw ScoresNeurons:adrenal_medulla_cell_line: 0.36, Neuroepithelial_cell:ESC-derived: 0.36, Astrocyte:Embryonic_stem_cell-derived: 0.33, iPS_cells:PDB_1lox-17Puro-5: 0.33, iPS_cells:PDB_2lox-22: 0.32, Neurons:ES_cell-derived_neural_precursor: 0.32, iPS_cells:PDB_1lox-17Puro-10: 0.32, iPS_cells:CRL2097_foreskin-derived:undiff.: 0.32, iPS_cells:PDB_1lox-21Puro-26: 0.32, iPS_cells:PDB_1lox-21Puro-20: 0.32 |
T69_TGTGGTAGTTTAGGAA.1 | Neurons:adrenal_medulla_cell_line | 0.17 | 339.28 | Raw ScoresNeurons:adrenal_medulla_cell_line: 0.34, Neuroepithelial_cell:ESC-derived: 0.31, iPS_cells:PDB_1lox-17Puro-5: 0.29, iPS_cells:PDB_1lox-21Puro-20: 0.29, iPS_cells:PDB_1lox-17Puro-10: 0.28, iPS_cells:PDB_1lox-21Puro-26: 0.28, Astrocyte:Embryonic_stem_cell-derived: 0.28, iPS_cells:PDB_2lox-22: 0.28, iPS_cells:CRL2097_foreskin-derived:undiff.: 0.28, Embryonic_stem_cells: 0.28 |
T69_AAGACCTTCCAAGCCG.1 | Neurons:adrenal_medulla_cell_line | 0.16 | 339.22 | Raw ScoresNeurons:adrenal_medulla_cell_line: 0.38, Neuroepithelial_cell:ESC-derived: 0.36, iPS_cells:PDB_1lox-17Puro-10: 0.34, iPS_cells:PDB_1lox-21Puro-20: 0.34, iPS_cells:PDB_2lox-22: 0.34, iPS_cells:PDB_1lox-21Puro-26: 0.33, Embryonic_stem_cells: 0.33, iPS_cells:PDB_1lox-17Puro-5: 0.33, Astrocyte:Embryonic_stem_cell-derived: 0.33, Neurons:ES_cell-derived_neural_precursor: 0.33 |
T69_TCATTACAGTTTGCGT.1 | Neurons:adrenal_medulla_cell_line | 0.17 | 337.13 | Raw ScoresNeurons:adrenal_medulla_cell_line: 0.37, Neuroepithelial_cell:ESC-derived: 0.34, iPS_cells:PDB_2lox-22: 0.32, iPS_cells:PDB_1lox-21Puro-20: 0.32, Neurons:ES_cell-derived_neural_precursor: 0.31, iPS_cells:PDB_1lox-17Puro-10: 0.31, iPS_cells:PDB_1lox-21Puro-26: 0.31, iPS_cells:PDB_1lox-17Puro-5: 0.31, Embryonic_stem_cells: 0.31, iPS_cells:CRL2097_foreskin-derived:undiff.: 0.31 |
T69_ATCATGGTCTTATCTG.1 | Neurons:adrenal_medulla_cell_line | 0.18 | 336.99 | Raw ScoresNeurons:adrenal_medulla_cell_line: 0.37, Neuroepithelial_cell:ESC-derived: 0.35, iPS_cells:PDB_1lox-21Puro-20: 0.33, iPS_cells:PDB_1lox-21Puro-26: 0.33, iPS_cells:PDB_1lox-17Puro-5: 0.33, iPS_cells:PDB_2lox-22: 0.33, iPS_cells:PDB_1lox-17Puro-10: 0.32, iPS_cells:PDB_2lox-21: 0.32, Embryonic_stem_cells: 0.32, iPS_cells:CRL2097_foreskin-derived:undiff.: 0.32 |
T69_GATCTAGAGAAGATTC.1 | Neurons:adrenal_medulla_cell_line | 0.20 | 335.17 | Raw ScoresNeurons:adrenal_medulla_cell_line: 0.41, Neuroepithelial_cell:ESC-derived: 0.37, iPS_cells:PDB_1lox-17Puro-10: 0.36, iPS_cells:PDB_1lox-21Puro-20: 0.36, iPS_cells:PDB_1lox-17Puro-5: 0.35, iPS_cells:PDB_1lox-21Puro-26: 0.35, iPS_cells:PDB_2lox-22: 0.35, Embryonic_stem_cells: 0.34, iPS_cells:CRL2097_foreskin-derived:undiff.: 0.34, iPS_cells:PDB_2lox-21: 0.34 |
T69_GATGAAAGTTACGTCA.1 | Neurons:adrenal_medulla_cell_line | 0.16 | 334.20 | Raw ScoresNeurons:adrenal_medulla_cell_line: 0.33, Neuroepithelial_cell:ESC-derived: 0.32, iPS_cells:PDB_2lox-22: 0.3, iPS_cells:PDB_1lox-21Puro-20: 0.3, iPS_cells:PDB_2lox-21: 0.3, iPS_cells:PDB_2lox-17: 0.3, iPS_cells:PDB_1lox-17Puro-10: 0.3, iPS_cells:PDB_1lox-21Puro-26: 0.3, iPS_cells:PDB_1lox-17Puro-5: 0.3, iPS_cells:CRL2097_foreskin-derived:undiff.: 0.3 |
T69_CTCGTCACACGAGAGT.1 | Neurons:adrenal_medulla_cell_line | 0.15 | 333.08 | Raw ScoresNeurons:adrenal_medulla_cell_line: 0.33, Neuroepithelial_cell:ESC-derived: 0.31, Neurons:ES_cell-derived_neural_precursor: 0.29, iPS_cells:PDB_1lox-17Puro-5: 0.29, iPS_cells:PDB_1lox-17Puro-10: 0.29, iPS_cells:PDB_1lox-21Puro-26: 0.29, Embryonic_stem_cells: 0.29, Astrocyte:Embryonic_stem_cell-derived: 0.29, iPS_cells:CRL2097_foreskin-derived:undiff.: 0.29, iPS_cells:PDB_1lox-21Puro-20: 0.29 |
T69_AGATTGCGTCAATACC.1 | Neurons:adrenal_medulla_cell_line | 0.14 | 330.52 | Raw ScoresNeurons:adrenal_medulla_cell_line: 0.34, Neuroepithelial_cell:ESC-derived: 0.31, iPS_cells:PDB_2lox-22: 0.29, iPS_cells:PDB_1lox-21Puro-20: 0.28, iPS_cells:PDB_1lox-17Puro-5: 0.28, iPS_cells:CRL2097_foreskin-derived:undiff.: 0.28, Astrocyte:Embryonic_stem_cell-derived: 0.28, Embryonic_stem_cells: 0.28, iPS_cells:PDB_2lox-21: 0.28, iPS_cells:PDB_1lox-21Puro-26: 0.28 |
T69_CACCTTGTCAGTCCCT.1 | Neurons:adrenal_medulla_cell_line | 0.14 | 330.06 | Raw ScoresNeurons:adrenal_medulla_cell_line: 0.35, Neuroepithelial_cell:ESC-derived: 0.33, iPS_cells:PDB_1lox-17Puro-5: 0.32, iPS_cells:PDB_2lox-22: 0.32, iPS_cells:PDB_1lox-17Puro-10: 0.32, iPS_cells:PDB_1lox-21Puro-20: 0.32, iPS_cells:CRL2097_foreskin-derived:undiff.: 0.32, iPS_cells:PDB_2lox-17: 0.32, Embryonic_stem_cells: 0.32, iPS_cells:PDB_2lox-21: 0.32 |
T69_GGTATTGGTGCCTGTG.1 | Neurons:adrenal_medulla_cell_line | 0.15 | 328.65 | Raw ScoresNeurons:adrenal_medulla_cell_line: 0.3, Neuroepithelial_cell:ESC-derived: 0.27, iPS_cells:CRL2097_foreskin-derived:undiff.: 0.24, Neurons:ES_cell-derived_neural_precursor: 0.24, iPS_cells:PDB_1lox-17Puro-5: 0.24, Astrocyte:Embryonic_stem_cell-derived: 0.24, iPS_cells:PDB_2lox-21: 0.24, iPS_cells:PDB_2lox-22: 0.24, iPS_cells:PDB_2lox-5: 0.24, Embryonic_stem_cells: 0.24 |
T69_TAGACCATCTGTTGAG.1 | Neurons:adrenal_medulla_cell_line | 0.15 | 328.06 | Raw ScoresNeurons:adrenal_medulla_cell_line: 0.36, Neuroepithelial_cell:ESC-derived: 0.33, iPS_cells:PDB_2lox-22: 0.33, iPS_cells:PDB_2lox-21: 0.32, iPS_cells:PDB_2lox-17: 0.32, iPS_cells:PDB_1lox-21Puro-20: 0.32, iPS_cells:PDB_1lox-17Puro-10: 0.32, iPS_cells:PDB_2lox-5: 0.32, iPS_cells:CRL2097_foreskin-derived:undiff.: 0.32, iPS_cells:PDB_1lox-21Puro-26: 0.32 |
T69_AAAGATGAGCGTTTAC.1 | Neurons:adrenal_medulla_cell_line | 0.17 | 320.42 | Raw ScoresNeurons:adrenal_medulla_cell_line: 0.36, Neuroepithelial_cell:ESC-derived: 0.33, iPS_cells:PDB_1lox-17Puro-10: 0.31, iPS_cells:PDB_1lox-17Puro-5: 0.31, iPS_cells:PDB_1lox-21Puro-20: 0.31, iPS_cells:PDB_1lox-21Puro-26: 0.31, iPS_cells:CRL2097_foreskin-derived:undiff.: 0.3, Embryonic_stem_cells: 0.3, iPS_cells:PDB_2lox-22: 0.3, iPS_cells:PDB_2lox-21: 0.3 |
T69_GTCTCGTAGATGTGTA.1 | Neurons:adrenal_medulla_cell_line | 0.11 | 319.50 | Raw ScoresNeurons:adrenal_medulla_cell_line: 0.32, Neuroepithelial_cell:ESC-derived: 0.29, iPS_cells:CRL2097_foreskin-derived:undiff.: 0.27, Astrocyte:Embryonic_stem_cell-derived: 0.27, iPS_cells:PDB_1lox-17Puro-5: 0.27, Pro-B_cell_CD34+: 0.26, iPS_cells:PDB_1lox-17Puro-10: 0.26, iPS_cells:PDB_2lox-22: 0.26, iPS_cells:PDB_1lox-21Puro-20: 0.26, iPS_cells:PDB_1lox-21Puro-26: 0.26 |
T69_CTAGTGAGTCGTCTTC.1 | Neurons:adrenal_medulla_cell_line | 0.19 | 317.58 | Raw ScoresNeurons:adrenal_medulla_cell_line: 0.38, Neuroepithelial_cell:ESC-derived: 0.35, iPS_cells:PDB_1lox-21Puro-20: 0.34, iPS_cells:PDB_1lox-21Puro-26: 0.34, iPS_cells:PDB_1lox-17Puro-10: 0.34, iPS_cells:PDB_1lox-17Puro-5: 0.34, Embryonic_stem_cells: 0.34, iPS_cells:PDB_2lox-22: 0.34, iPS_cells:PDB_2lox-21: 0.34, iPS_cells:PDB_2lox-17: 0.33 |
T69_GTACTTTAGACATAAC.1 | Neurons:adrenal_medulla_cell_line | 0.14 | 315.63 | Raw ScoresNeurons:adrenal_medulla_cell_line: 0.31, Neuroepithelial_cell:ESC-derived: 0.3, iPS_cells:PDB_1lox-21Puro-20: 0.27, iPS_cells:PDB_1lox-17Puro-5: 0.27, Astrocyte:Embryonic_stem_cell-derived: 0.27, iPS_cells:CRL2097_foreskin-derived:undiff.: 0.27, iPS_cells:PDB_2lox-22: 0.27, iPS_cells:PDB_1lox-21Puro-26: 0.27, iPS_cells:PDB_1lox-17Puro-10: 0.27, iPS_cells:PDB_2lox-21: 0.27 |
T69_AAACGGGCACATTAGC.1 | Neurons:adrenal_medulla_cell_line | 0.15 | 312.08 | Raw ScoresNeurons:adrenal_medulla_cell_line: 0.33, Neuroepithelial_cell:ESC-derived: 0.31, iPS_cells:PDB_1lox-21Puro-20: 0.29, iPS_cells:PDB_1lox-17Puro-5: 0.28, iPS_cells:PDB_1lox-17Puro-10: 0.28, iPS_cells:PDB_2lox-22: 0.28, iPS_cells:PDB_1lox-21Puro-26: 0.28, iPS_cells:PDB_2lox-5: 0.28, Astrocyte:Embryonic_stem_cell-derived: 0.28, iPS_cells:PDB_2lox-21: 0.28 |
T69_GACGCGTGTCTGGAGA.1 | Neurons:adrenal_medulla_cell_line | 0.16 | 309.80 | Raw ScoresNeurons:adrenal_medulla_cell_line: 0.36, Neuroepithelial_cell:ESC-derived: 0.33, Astrocyte:Embryonic_stem_cell-derived: 0.31, Embryonic_stem_cells: 0.3, iPS_cells:PDB_2lox-22: 0.3, iPS_cells:PDB_1lox-21Puro-20: 0.3, iPS_cells:PDB_1lox-17Puro-5: 0.3, iPS_cells:PDB_1lox-17Puro-10: 0.3, iPS_cells:PDB_2lox-21: 0.3, iPS_cells:PDB_1lox-21Puro-26: 0.3 |
T69_TGGGCGTAGCGAAGGG.1 | Neurons:adrenal_medulla_cell_line | 0.14 | 308.96 | Raw ScoresNeurons:adrenal_medulla_cell_line: 0.33, Neuroepithelial_cell:ESC-derived: 0.3, iPS_cells:PDB_1lox-17Puro-5: 0.29, Astrocyte:Embryonic_stem_cell-derived: 0.29, iPS_cells:PDB_1lox-21Puro-20: 0.29, iPS_cells:PDB_1lox-17Puro-10: 0.29, iPS_cells:PDB_2lox-22: 0.29, iPS_cells:PDB_2lox-21: 0.28, iPS_cells:adipose_stem_cell-derived:minicircle-derived: 0.28, iPS_cells:CRL2097_foreskin-derived:undiff.: 0.28 |
T69_TTCTACACATGTAAGA.1 | Neurons:adrenal_medulla_cell_line | 0.12 | 308.56 | Raw ScoresNeurons:adrenal_medulla_cell_line: 0.31, Neuroepithelial_cell:ESC-derived: 0.28, Astrocyte:Embryonic_stem_cell-derived: 0.26, Embryonic_stem_cells: 0.25, iPS_cells:CRL2097_foreskin-derived:undiff.: 0.25, Neurons:ES_cell-derived_neural_precursor: 0.25, iPS_cells:PDB_1lox-17Puro-5: 0.24, iPS_cells:PDB_1lox-17Puro-10: 0.24, iPS_cells:PDB_1lox-21Puro-20: 0.24, iPS_cells:PDB_1lox-21Puro-26: 0.24 |
T69_GAACATCCAGGGTACA.1 | Neurons:adrenal_medulla_cell_line | 0.14 | 307.74 | Raw ScoresNeurons:adrenal_medulla_cell_line: 0.34, Neuroepithelial_cell:ESC-derived: 0.31, Astrocyte:Embryonic_stem_cell-derived: 0.29, iPS_cells:CRL2097_foreskin-derived:undiff.: 0.29, iPS_cells:PDB_1lox-17Puro-5: 0.29, iPS_cells:PDB_2lox-22: 0.28, iPS_cells:PDB_1lox-21Puro-20: 0.28, iPS_cells:PDB_2lox-21: 0.28, Embryonic_stem_cells: 0.28, iPS_cells:PDB_2lox-5: 0.28 |
T69_CTCGGAGGTAGCTAAA.1 | Neurons:adrenal_medulla_cell_line | 0.16 | 305.82 | Raw ScoresNeurons:adrenal_medulla_cell_line: 0.35, Neuroepithelial_cell:ESC-derived: 0.32, Astrocyte:Embryonic_stem_cell-derived: 0.3, iPS_cells:CRL2097_foreskin-derived:undiff.: 0.29, iPS_cells:PDB_1lox-17Puro-5: 0.29, iPS_cells:PDB_1lox-21Puro-20: 0.29, iPS_cells:PDB_1lox-21Puro-26: 0.29, iPS_cells:PDB_2lox-21: 0.29, Neurons:ES_cell-derived_neural_precursor: 0.29, iPS_cells:PDB_1lox-17Puro-10: 0.29 |
T69_CGTCAGGGTCAGAGGT.1 | Neurons:adrenal_medulla_cell_line | 0.19 | 305.44 | Raw ScoresNeurons:adrenal_medulla_cell_line: 0.38, Neuroepithelial_cell:ESC-derived: 0.35, iPS_cells:PDB_1lox-21Puro-20: 0.33, iPS_cells:PDB_1lox-21Puro-26: 0.33, iPS_cells:PDB_1lox-17Puro-5: 0.33, iPS_cells:PDB_1lox-17Puro-10: 0.33, Embryonic_stem_cells: 0.33, iPS_cells:PDB_2lox-22: 0.32, iPS_cells:CRL2097_foreskin-derived:undiff.: 0.32, iPS_cells:PDB_2lox-21: 0.32 |
T69_CCTACACCACAGAGGT.1 | Neurons:adrenal_medulla_cell_line | 0.17 | 303.76 | Raw ScoresNeurons:adrenal_medulla_cell_line: 0.37, Neuroepithelial_cell:ESC-derived: 0.35, iPS_cells:PDB_1lox-21Puro-20: 0.32, iPS_cells:PDB_1lox-17Puro-5: 0.32, iPS_cells:PDB_1lox-17Puro-10: 0.32, iPS_cells:PDB_1lox-21Puro-26: 0.32, Neurons:ES_cell-derived_neural_precursor: 0.31, Astrocyte:Embryonic_stem_cell-derived: 0.31, Embryonic_stem_cells: 0.31, iPS_cells:CRL2097_foreskin-derived:undiff.: 0.31 |
T69_GATCAGTCATTGGTAC.1 | Neurons:adrenal_medulla_cell_line | 0.14 | 302.32 | Raw ScoresNeurons:adrenal_medulla_cell_line: 0.32, Neuroepithelial_cell:ESC-derived: 0.3, iPS_cells:PDB_1lox-21Puro-20: 0.29, iPS_cells:PDB_1lox-17Puro-5: 0.29, iPS_cells:PDB_2lox-22: 0.29, iPS_cells:PDB_1lox-17Puro-10: 0.29, iPS_cells:PDB_1lox-21Puro-26: 0.29, iPS_cells:PDB_2lox-17: 0.29, iPS_cells:PDB_2lox-21: 0.29, iPS_cells:PDB_2lox-5: 0.29 |
T69_GTACTCCGTTTCCACC.1 | Neurons:adrenal_medulla_cell_line | 0.18 | 297.54 | Raw ScoresNeurons:adrenal_medulla_cell_line: 0.34, Neuroepithelial_cell:ESC-derived: 0.33, iPS_cells:PDB_1lox-17Puro-10: 0.31, iPS_cells:PDB_1lox-21Puro-26: 0.31, iPS_cells:PDB_1lox-21Puro-20: 0.31, iPS_cells:PDB_1lox-17Puro-5: 0.3, iPS_cells:PDB_2lox-22: 0.3, Neurons:ES_cell-derived_neural_precursor: 0.3, Embryonic_stem_cells: 0.3, iPS_cells:PDB_2lox-17: 0.3 |
T69_TGAGGGAAGTGCCAGA.1 | Neurons:adrenal_medulla_cell_line | 0.17 | 295.42 | Raw ScoresNeurons:adrenal_medulla_cell_line: 0.36, Neuroepithelial_cell:ESC-derived: 0.33, iPS_cells:PDB_2lox-22: 0.3, Astrocyte:Embryonic_stem_cell-derived: 0.3, iPS_cells:CRL2097_foreskin-derived:undiff.: 0.3, Neurons:ES_cell-derived_neural_precursor: 0.3, iPS_cells:PDB_1lox-21Puro-20: 0.3, iPS_cells:adipose_stem_cell-derived:minicircle-derived: 0.3, iPS_cells:PDB_2lox-21: 0.3, iPS_cells:PDB_1lox-17Puro-5: 0.3 |
T69_ACTGAACCATCCCACT.1 | Neurons:adrenal_medulla_cell_line | 0.16 | 289.87 | Raw ScoresNeurons:adrenal_medulla_cell_line: 0.35, Neuroepithelial_cell:ESC-derived: 0.34, iPS_cells:PDB_1lox-21Puro-20: 0.33, iPS_cells:PDB_1lox-17Puro-10: 0.33, iPS_cells:PDB_2lox-22: 0.33, iPS_cells:PDB_1lox-21Puro-26: 0.32, iPS_cells:PDB_1lox-17Puro-5: 0.32, iPS_cells:PDB_2lox-21: 0.32, iPS_cells:PDB_2lox-17: 0.32, Embryonic_stem_cells: 0.32 |
T69_CGATGTAGTGTCAATC.1 | Neurons:adrenal_medulla_cell_line | 0.18 | 287.10 | Raw ScoresNeurons:adrenal_medulla_cell_line: 0.34, Neuroepithelial_cell:ESC-derived: 0.32, iPS_cells:CRL2097_foreskin-derived:undiff.: 0.29, iPS_cells:PDB_2lox-22: 0.29, iPS_cells:PDB_1lox-17Puro-5: 0.29, iPS_cells:PDB_1lox-21Puro-20: 0.29, iPS_cells:PDB_1lox-17Puro-10: 0.29, iPS_cells:PDB_1lox-21Puro-26: 0.29, iPS_cells:PDB_2lox-21: 0.29, iPS_cells:PDB_2lox-17: 0.29 |
T69_TCTGAGACACCGCTAG.1 | Neurons:adrenal_medulla_cell_line | 0.16 | 286.96 | Raw ScoresNeurons:adrenal_medulla_cell_line: 0.36, Neuroepithelial_cell:ESC-derived: 0.33, Astrocyte:Embryonic_stem_cell-derived: 0.31, iPS_cells:PDB_1lox-21Puro-20: 0.3, iPS_cells:PDB_1lox-17Puro-5: 0.3, iPS_cells:PDB_2lox-22: 0.3, iPS_cells:PDB_1lox-21Puro-26: 0.3, iPS_cells:PDB_1lox-17Puro-10: 0.3, iPS_cells:PDB_2lox-21: 0.3, Embryonic_stem_cells: 0.3 |
T69_CCACTACCATCTCGCT.1 | Neurons:adrenal_medulla_cell_line | 0.17 | 286.86 | Raw ScoresNeurons:adrenal_medulla_cell_line: 0.36, Neuroepithelial_cell:ESC-derived: 0.33, iPS_cells:PDB_1lox-17Puro-5: 0.32, iPS_cells:PDB_2lox-22: 0.32, iPS_cells:PDB_2lox-21: 0.32, iPS_cells:PDB_1lox-21Puro-20: 0.32, iPS_cells:PDB_1lox-17Puro-10: 0.32, iPS_cells:PDB_2lox-17: 0.32, iPS_cells:PDB_1lox-21Puro-26: 0.31, iPS_cells:CRL2097_foreskin-derived:undiff.: 0.31 |
T69_TCTTCGGCACATTCGA.1 | Neurons:adrenal_medulla_cell_line | 0.13 | 285.41 | Raw ScoresNeurons:adrenal_medulla_cell_line: 0.35, Neuroepithelial_cell:ESC-derived: 0.33, iPS_cells:PDB_1lox-17Puro-5: 0.31, iPS_cells:PDB_2lox-22: 0.31, iPS_cells:PDB_1lox-21Puro-26: 0.3, iPS_cells:PDB_1lox-21Puro-20: 0.3, iPS_cells:PDB_1lox-17Puro-10: 0.3, iPS_cells:PDB_2lox-5: 0.3, iPS_cells:PDB_2lox-21: 0.3, iPS_cells:CRL2097_foreskin-derived:undiff.: 0.3 |
T69_AAGGAGCGTTACAGAA.1 | Neurons:adrenal_medulla_cell_line | 0.15 | 283.77 | Raw ScoresNeurons:adrenal_medulla_cell_line: 0.33, Neuroepithelial_cell:ESC-derived: 0.29, Astrocyte:Embryonic_stem_cell-derived: 0.28, iPS_cells:PDB_2lox-22: 0.26, iPS_cells:CRL2097_foreskin-derived:undiff.: 0.26, iPS_cells:PDB_1lox-17Puro-5: 0.26, iPS_cells:PDB_1lox-21Puro-26: 0.26, iPS_cells:PDB_1lox-21Puro-20: 0.26, iPS_cells:PDB_2lox-21: 0.26, iPS_cells:PDB_2lox-17: 0.26 |
T69_CAAGGCCGTTACGGAG.1 | Neurons:adrenal_medulla_cell_line | 0.19 | 282.30 | Raw ScoresNeurons:adrenal_medulla_cell_line: 0.37, Neuroepithelial_cell:ESC-derived: 0.35, iPS_cells:PDB_1lox-21Puro-20: 0.33, iPS_cells:PDB_1lox-17Puro-10: 0.33, iPS_cells:PDB_1lox-17Puro-5: 0.33, iPS_cells:PDB_1lox-21Puro-26: 0.33, iPS_cells:PDB_2lox-22: 0.32, iPS_cells:PDB_2lox-21: 0.32, Embryonic_stem_cells: 0.32, iPS_cells:CRL2097_foreskin-derived:undiff.: 0.32 |
T69_ACACCGGCATTACCTT.1 | Neurons:adrenal_medulla_cell_line | 0.17 | 282.14 | Raw ScoresNeurons:adrenal_medulla_cell_line: 0.35, Neuroepithelial_cell:ESC-derived: 0.32, iPS_cells:PDB_1lox-17Puro-5: 0.31, iPS_cells:PDB_1lox-21Puro-20: 0.31, iPS_cells:PDB_1lox-17Puro-10: 0.3, iPS_cells:PDB_2lox-21: 0.3, iPS_cells:PDB_1lox-21Puro-26: 0.3, iPS_cells:PDB_2lox-22: 0.3, iPS_cells:PDB_2lox-17: 0.3, Astrocyte:Embryonic_stem_cell-derived: 0.3 |
T69_GGCAATTTCGTTACGA.1 | Smooth_muscle_cells:vascular:IL-17 | 0.17 | 280.01 | Raw ScoresSmooth_muscle_cells:vascular:IL-17: 0.34, Smooth_muscle_cells:vascular: 0.33, Fibroblasts:breast: 0.33, Tissue_stem_cells:BM_MSC: 0.33, Tissue_stem_cells:BM_MSC:BMP2: 0.32, iPS_cells:adipose_stem_cells: 0.32, Tissue_stem_cells:BM_MSC:TGFb3: 0.32, Chondrocytes:MSC-derived: 0.32, Fibroblasts:foreskin: 0.31, Tissue_stem_cells:BM_MSC:osteogenic: 0.31 |
T69_ATAAGAGGTCCAGTAT.1 | Neurons:adrenal_medulla_cell_line | 0.16 | 276.36 | Raw ScoresNeurons:adrenal_medulla_cell_line: 0.37, Neuroepithelial_cell:ESC-derived: 0.35, iPS_cells:PDB_2lox-22: 0.34, iPS_cells:PDB_1lox-21Puro-20: 0.34, iPS_cells:PDB_1lox-17Puro-5: 0.34, iPS_cells:PDB_2lox-17: 0.34, iPS_cells:PDB_2lox-21: 0.34, iPS_cells:CRL2097_foreskin-derived:undiff.: 0.34, iPS_cells:PDB_1lox-21Puro-26: 0.34, Embryonic_stem_cells: 0.34 |
T69_AAGCCGCAGGCTCATT.1 | Neurons:adrenal_medulla_cell_line | 0.17 | 275.31 | Raw ScoresNeurons:adrenal_medulla_cell_line: 0.35, Neuroepithelial_cell:ESC-derived: 0.32, iPS_cells:PDB_1lox-21Puro-20: 0.3, iPS_cells:PDB_2lox-22: 0.3, iPS_cells:PDB_1lox-17Puro-5: 0.3, iPS_cells:PDB_1lox-21Puro-26: 0.3, iPS_cells:PDB_2lox-21: 0.3, iPS_cells:PDB_1lox-17Puro-10: 0.3, iPS_cells:PDB_2lox-17: 0.3, Astrocyte:Embryonic_stem_cell-derived: 0.29 |
T69_CGCTATCCACTCAGGC.1 | Neurons:adrenal_medulla_cell_line | 0.19 | 274.30 | Raw ScoresNeurons:adrenal_medulla_cell_line: 0.38, Neuroepithelial_cell:ESC-derived: 0.36, iPS_cells:PDB_1lox-21Puro-20: 0.34, iPS_cells:PDB_1lox-17Puro-5: 0.34, iPS_cells:PDB_1lox-17Puro-10: 0.34, iPS_cells:PDB_1lox-21Puro-26: 0.34, iPS_cells:PDB_2lox-22: 0.33, Neurons:ES_cell-derived_neural_precursor: 0.33, iPS_cells:PDB_2lox-21: 0.33, iPS_cells:PDB_2lox-17: 0.33 |
T69_GGACAAGGTTAAGGGC.1 | Neurons:adrenal_medulla_cell_line | 0.19 | 272.86 | Raw ScoresNeurons:adrenal_medulla_cell_line: 0.38, Neuroepithelial_cell:ESC-derived: 0.36, iPS_cells:PDB_1lox-21Puro-20: 0.34, iPS_cells:PDB_1lox-17Puro-5: 0.34, iPS_cells:PDB_1lox-17Puro-10: 0.34, iPS_cells:PDB_1lox-21Puro-26: 0.33, iPS_cells:PDB_2lox-22: 0.33, iPS_cells:PDB_2lox-21: 0.33, iPS_cells:CRL2097_foreskin-derived:undiff.: 0.33, iPS_cells:PDB_2lox-17: 0.33 |
T69_GGTATTGCATTTCACT.1 | Neurons:adrenal_medulla_cell_line | 0.16 | 270.33 | Raw ScoresNeurons:adrenal_medulla_cell_line: 0.35, Neuroepithelial_cell:ESC-derived: 0.33, iPS_cells:PDB_1lox-21Puro-20: 0.3, iPS_cells:PDB_2lox-22: 0.3, iPS_cells:PDB_2lox-17: 0.3, iPS_cells:PDB_1lox-17Puro-5: 0.3, iPS_cells:PDB_2lox-21: 0.3, iPS_cells:PDB_1lox-21Puro-26: 0.3, iPS_cells:PDB_1lox-17Puro-10: 0.3, iPS_cells:CRL2097_foreskin-derived:undiff.: 0.3 |
T69_GTTCTCGGTCTCCCTA.1 | Neurons:adrenal_medulla_cell_line | 0.12 | 269.01 | Raw ScoresNeurons:adrenal_medulla_cell_line: 0.29, Neuroepithelial_cell:ESC-derived: 0.28, iPS_cells:PDB_1lox-17Puro-10: 0.25, iPS_cells:PDB_1lox-17Puro-5: 0.25, Astrocyte:Embryonic_stem_cell-derived: 0.25, iPS_cells:PDB_1lox-21Puro-20: 0.25, iPS_cells:PDB_2lox-17: 0.25, iPS_cells:PDB_2lox-22: 0.25, iPS_cells:PDB_1lox-21Puro-26: 0.25, iPS_cells:PDB_2lox-21: 0.25 |
T69_TACGGGCGTTCCCTTG.1 | Neurons:adrenal_medulla_cell_line | 0.14 | 267.01 | Raw ScoresNeurons:adrenal_medulla_cell_line: 0.3, Neuroepithelial_cell:ESC-derived: 0.29, Astrocyte:Embryonic_stem_cell-derived: 0.26, Neurons:ES_cell-derived_neural_precursor: 0.26, iPS_cells:PDB_1lox-17Puro-5: 0.26, iPS_cells:PDB_1lox-21Puro-20: 0.26, iPS_cells:PDB_1lox-17Puro-10: 0.25, iPS_cells:PDB_1lox-21Puro-26: 0.25, iPS_cells:CRL2097_foreskin-derived:undiff.: 0.25, Embryonic_stem_cells: 0.25 |
Below shows the significant enrichments of this GEP for literature curated gene lists
This data was procured from existing single cell RNA-seq maps of neuroblastoma or related relevant data.
High ranks indicate this gene is a driver of this GEP.
These curated gene list are ranked by the P-value (on this GEP) of their constituent genes.
The Mean Count column shows the mean read count in cells scoring highly (H > 50) on this gene expression program.
Genes | Weight | Rank | GTEx | DepMap | Decartes | Mean.Counts | Mean.TPM |
---|---|---|---|---|---|---|---|
ZFHX3 | 0.0070646 | 36 | GTEx | DepMap | Descartes | 4.68 | 68.39 |
ATRX | 0.0022590 | 564 | GTEx | DepMap | Descartes | 1.57 | 35.76 |
Meta_8 undefined undifferentiated neuronal (Dong)
Markers obtained in computationally inferred meta program (by NMF applied to their neuroblastoma sc-RNA-seq data) from Fig. 5(a) of Dong et al. (PMID 32946775).:
Wilcoxon ranksum test P-value for gene set overrepresentation: 1.28e-02
Mean rank of genes in gene set: 557.5
Rank on gene expression program of genes in gene set:
Genes | Weight | Rank | GTEx | DepMap | Decartes | Mean.Counts | Mean.TPM |
---|---|---|---|---|---|---|---|
SOX11 | 0.0096875 | 14 | GTEx | DepMap | Descartes | 5.51 | 158.50 |
CTNNB1 | 0.0014874 | 1101 | GTEx | DepMap | Descartes | 0.59 | 31.31 |
Adrenergic immature (Olsen)
Stated on pages 6 and 7 of the main text of Olsen et al. https://www.biorxiv.org/content/10.1101/2020.05.04.077057v1 - it is argued that upon reanalysis of the adrenergic neuroblastoma cells, there is further heterogeneity, grouped into proliferating, mature and immature cell populations. These is a marker listed for the immature adrenergic cells. SOX11 is referenced as important in early phases of pro-adrenergic differentiation (cites PMID 20147379) whereas SOX4 appears later. SOX11 is also associated with poor outcome in neuroblatoma bulk RNA-seq data (Olsen analysis).:
Wilcoxon ranksum test P-value for gene set overrepresentation: 4.20e-02
Mean rank of genes in gene set: 14
Rank on gene expression program of genes in gene set:
Genes | Weight | Rank | GTEx | DepMap | Decartes | Mean.Counts | Mean.TPM |
---|---|---|---|---|---|---|---|
SOX11 | 0.0096875 | 14 | GTEx | DepMap | Descartes | 5.51 | 158.5 |
Below shows ranks on this GEP for literature curated gene lists for large gene sets
These include those reported as mesenchymal/adrenergic by Van Groningen et al.
High ranks indicate this gene is a driver of this GEP (note these results are not ordered).
The Mean Count column shows the mean read count in cells scoring highly (H > 50) on this gene expression program.
VanGroningen Adrenergic Genes
Adrenergic marker genes from Supplementary Table 2 of Van Groningen et al. Nature Genetics 2017. These genes were identified by differential expression analysis of mesenchymal-like and adrenergic-like neuroblastoma cell lines.
Wilcoxon ranksum test P-value for gene set overrepresentation: 2.29e-03
Mean rank of genes in gene set: 5694.09
Median rank of genes in gene set: 4132
Rank on gene expression program of top 30 genes in gene set:
Genes | Weight | Rank | GTEx | DepMap | Descartes | Mean.Counts | Mean.TPM |
---|---|---|---|---|---|---|---|
SOX11 | 0.0096875 | 14 | GTEx | DepMap | Descartes | 5.51 | 158.50 |
MARCH11 | 0.0085153 | 22 | GTEx | DepMap | Descartes | 4.32 | NA |
CCND1 | 0.0078398 | 29 | GTEx | DepMap | Descartes | 11.95 | 722.54 |
RANBP1 | 0.0064877 | 42 | GTEx | DepMap | Descartes | 5.14 | 561.52 |
CCNI | 0.0062944 | 50 | GTEx | DepMap | Descartes | 17.11 | 1582.02 |
KIF21A | 0.0062738 | 54 | GTEx | DepMap | Descartes | 4.31 | 169.27 |
PEG3 | 0.0060875 | 56 | GTEx | DepMap | Descartes | 0.83 | NA |
DCX | 0.0058179 | 63 | GTEx | DepMap | Descartes | 2.62 | 72.25 |
HMGA1 | 0.0056666 | 67 | GTEx | DepMap | Descartes | 3.03 | 343.52 |
TMEM97 | 0.0055877 | 70 | GTEx | DepMap | Descartes | 1.64 | 161.20 |
SHC3 | 0.0048314 | 108 | GTEx | DepMap | Descartes | 0.11 | 2.60 |
GLRX | 0.0045795 | 118 | GTEx | DepMap | Descartes | 1.44 | 111.54 |
HNRNPA0 | 0.0045664 | 121 | GTEx | DepMap | Descartes | 3.73 | 107.20 |
CENPV | 0.0044842 | 130 | GTEx | DepMap | Descartes | 3.86 | 531.96 |
TDG | 0.0041076 | 172 | GTEx | DepMap | Descartes | 1.27 | 99.00 |
LSM3 | 0.0038020 | 198 | GTEx | DepMap | Descartes | 2.42 | 175.16 |
PHF21B | 0.0037449 | 203 | GTEx | DepMap | Descartes | 0.27 | 17.08 |
IRS2 | 0.0036537 | 213 | GTEx | DepMap | Descartes | 1.16 | 36.02 |
TBPL1 | 0.0034891 | 233 | GTEx | DepMap | Descartes | 0.94 | 57.93 |
DIABLO | 0.0034797 | 235 | GTEx | DepMap | Descartes | 0.21 | 16.54 |
GATA3 | 0.0034479 | 236 | GTEx | DepMap | Descartes | 4.18 | 351.53 |
CXADR | 0.0032691 | 261 | GTEx | DepMap | Descartes | 0.95 | 43.35 |
ISL1 | 0.0032359 | 266 | GTEx | DepMap | Descartes | 2.60 | 278.19 |
NCAN | 0.0030835 | 298 | GTEx | DepMap | Descartes | 0.28 | 11.10 |
SBK1 | 0.0029618 | 333 | GTEx | DepMap | Descartes | 0.80 | 39.03 |
ELAVL2 | 0.0029534 | 336 | GTEx | DepMap | Descartes | 1.15 | 73.49 |
FZD3 | 0.0029394 | 339 | GTEx | DepMap | Descartes | 0.68 | 12.16 |
MAP1B | 0.0028968 | 351 | GTEx | DepMap | Descartes | 7.84 | 170.05 |
NARS2 | 0.0028529 | 364 | GTEx | DepMap | Descartes | 0.31 | 31.65 |
DPYSL2 | 0.0028418 | 367 | GTEx | DepMap | Descartes | 1.85 | 94.65 |
VanGroningen Mesenchymal Genes
Mesenchymal marker genes from Supplementary Table 2 of Van Groningen et al. Nature Genetics 2017. These genes were identified by differential expression analysis of mesenchymal-like and adrenergic-like neuroblastoma cell lines.
Wilcoxon ranksum test P-value for gene set overrepresentation: 1.00e+00
Mean rank of genes in gene set: 8075.62
Median rank of genes in gene set: 9124
Rank on gene expression program of top 30 genes in gene set:
Genes | Weight | Rank | GTEx | DepMap | Descartes | Mean.Counts | Mean.TPM |
---|---|---|---|---|---|---|---|
EGR1 | 0.0168549 | 2 | GTEx | DepMap | Descartes | 10.23 | 851.97 |
EGR3 | 0.0088850 | 21 | GTEx | DepMap | Descartes | 0.86 | 48.25 |
DDR2 | 0.0072165 | 34 | GTEx | DepMap | Descartes | 0.59 | 14.47 |
FLRT2 | 0.0056905 | 66 | GTEx | DepMap | Descartes | 0.33 | 2.52 |
ATP2B1 | 0.0053737 | 82 | GTEx | DepMap | Descartes | 1.33 | 48.00 |
COL4A2 | 0.0047835 | 111 | GTEx | DepMap | Descartes | 1.29 | 50.52 |
CKAP4 | 0.0041681 | 161 | GTEx | DepMap | Descartes | 0.89 | 70.33 |
MYADM | 0.0036652 | 210 | GTEx | DepMap | Descartes | 0.92 | 74.99 |
PTPRG | 0.0029830 | 326 | GTEx | DepMap | Descartes | 0.20 | 5.28 |
WNT5A | 0.0028913 | 354 | GTEx | DepMap | Descartes | 0.05 | 1.99 |
CD44 | 0.0026802 | 410 | GTEx | DepMap | Descartes | 2.01 | 95.33 |
SGK1 | 0.0023036 | 540 | GTEx | DepMap | Descartes | 0.66 | 32.06 |
ENAH | 0.0021273 | 639 | GTEx | DepMap | Descartes | 1.09 | 20.09 |
PTPRK | 0.0020860 | 656 | GTEx | DepMap | Descartes | 0.11 | NA |
BNC2 | 0.0020477 | 672 | GTEx | DepMap | Descartes | 0.06 | 1.20 |
HOMER1 | 0.0019513 | 719 | GTEx | DepMap | Descartes | 0.16 | 7.01 |
FZD1 | 0.0019187 | 742 | GTEx | DepMap | Descartes | 0.06 | 2.29 |
CETN2 | 0.0019130 | 750 | GTEx | DepMap | Descartes | 0.27 | 47.69 |
RBMS1 | 0.0018369 | 801 | GTEx | DepMap | Descartes | 0.94 | 55.23 |
SEC14L1 | 0.0017715 | 846 | GTEx | DepMap | Descartes | 0.49 | 21.56 |
ELAVL1 | 0.0017621 | 855 | GTEx | DepMap | Descartes | 0.56 | 22.42 |
HIST1H2AC | 0.0017394 | 878 | GTEx | DepMap | Descartes | 0.49 | NA |
ARHGEF40 | 0.0017004 | 905 | GTEx | DepMap | Descartes | 0.13 | 5.92 |
SLC38A2 | 0.0016464 | 965 | GTEx | DepMap | Descartes | 0.98 | 50.52 |
COL12A1 | 0.0016140 | 991 | GTEx | DepMap | Descartes | 0.07 | 1.55 |
UGDH | 0.0015360 | 1052 | GTEx | DepMap | Descartes | 0.23 | 19.17 |
KDELR2 | 0.0015125 | 1074 | GTEx | DepMap | Descartes | 0.91 | 81.91 |
FGFR1 | 0.0014803 | 1111 | GTEx | DepMap | Descartes | 0.18 | 7.40 |
NES | 0.0014587 | 1146 | GTEx | DepMap | Descartes | 0.50 | 22.32 |
ROR1 | 0.0012914 | 1366 | GTEx | DepMap | Descartes | 0.03 | 1.49 |
Descartes adrenocortical markers
Top 50 marker genes of adrenocortical cells in the Decartes fetal adrenal single cell map (https://atlas.brotmanbaty.org/bbi/human-gene-expression-during-development/cell/adrenocortical/in/adrenal)
Wilcoxon ranksum test P-value for gene set overrepresentation: 5.25e-02
Mean rank of genes in gene set: 5297.86
Median rank of genes in gene set: 4447
Rank on gene expression program of top 30 genes in gene set:
Genes | Weight | Rank | GTEx | DepMap | Descartes | Mean.Counts | Mean.TPM |
---|---|---|---|---|---|---|---|
PEG3 | 0.0060875 | 56 | GTEx | DepMap | Descartes | 0.83 | NA |
SLC1A2 | 0.0036951 | 206 | GTEx | DepMap | Descartes | 0.42 | 8.58 |
SGCZ | 0.0034962 | 230 | GTEx | DepMap | Descartes | 0.08 | 3.13 |
HMGCS1 | 0.0025386 | 454 | GTEx | DepMap | Descartes | 0.46 | 20.09 |
HMGCR | 0.0022441 | 569 | GTEx | DepMap | Descartes | 0.35 | 18.11 |
SLC16A9 | 0.0016676 | 937 | GTEx | DepMap | Descartes | 0.13 | 7.44 |
JAKMIP2 | 0.0014160 | 1203 | GTEx | DepMap | Descartes | 0.37 | 10.08 |
LDLR | 0.0013765 | 1263 | GTEx | DepMap | Descartes | 0.13 | 5.23 |
GSTA4 | 0.0011741 | 1560 | GTEx | DepMap | Descartes | 0.87 | 132.73 |
BAIAP2L1 | 0.0011494 | 1596 | GTEx | DepMap | Descartes | 0.02 | 1.50 |
DHCR24 | 0.0011098 | 1671 | GTEx | DepMap | Descartes | 0.12 | 5.00 |
IGF1R | 0.0008770 | 2144 | GTEx | DepMap | Descartes | 0.25 | 5.04 |
MSMO1 | 0.0007996 | 2311 | GTEx | DepMap | Descartes | 0.29 | 31.97 |
TM7SF2 | 0.0007662 | 2390 | GTEx | DepMap | Descartes | 0.34 | 40.52 |
SCAP | 0.0006139 | 2833 | GTEx | DepMap | Descartes | 0.17 | 9.72 |
FDX1 | 0.0005519 | 3017 | GTEx | DepMap | Descartes | 0.45 | 37.00 |
CYB5B | 0.0004184 | 3480 | GTEx | DepMap | Descartes | 0.31 | 17.79 |
GRAMD1B | 0.0003880 | 3598 | GTEx | DepMap | Descartes | 0.05 | 1.36 |
DHCR7 | 0.0000365 | 5296 | GTEx | DepMap | Descartes | 0.09 | 7.63 |
STAR | -0.0000131 | 5636 | GTEx | DepMap | Descartes | 0.02 | 1.16 |
FDXR | -0.0001140 | 6584 | GTEx | DepMap | Descartes | 0.10 | 9.65 |
INHA | -0.0001360 | 6817 | GTEx | DepMap | Descartes | 0.01 | 1.23 |
SH3PXD2B | -0.0001412 | 6866 | GTEx | DepMap | Descartes | 0.03 | 0.91 |
FREM2 | -0.0001549 | 7000 | GTEx | DepMap | Descartes | 0.00 | 0.00 |
PDE10A | -0.0002951 | 8231 | GTEx | DepMap | Descartes | 0.05 | 1.36 |
SCARB1 | -0.0003613 | 8728 | GTEx | DepMap | Descartes | 0.05 | 2.47 |
FRMD5 | -0.0003679 | 8772 | GTEx | DepMap | Descartes | 0.03 | 1.12 |
POR | -0.0005237 | 9758 | GTEx | DepMap | Descartes | 0.11 | 10.79 |
NPC1 | -0.0005508 | 9902 | GTEx | DepMap | Descartes | 0.02 | 0.97 |
SH3BP5 | -0.0005636 | 9970 | GTEx | DepMap | Descartes | 0.19 | 14.99 |
Descartes chromaffin markers
Top 50 marker genes of chromaffin cells in the Decartes fetal adrenal single cell map (https://atlas.brotmanbaty.org/bbi/human-gene-expression-during-development/cell/chromaffin/in/adrenal)
Wilcoxon ranksum test P-value for gene set overrepresentation: 9.58e-01
Mean rank of genes in gene set: 7249.1
Median rank of genes in gene set: 9203
Rank on gene expression program of top 30 genes in gene set:
Genes | Weight | Rank | GTEx | DepMap | Descartes | Mean.Counts | Mean.TPM |
---|---|---|---|---|---|---|---|
MARCH11 | 0.0085153 | 22 | GTEx | DepMap | Descartes | 4.32 | NA |
CCND1 | 0.0078398 | 29 | GTEx | DepMap | Descartes | 11.95 | 722.54 |
MLLT11 | 0.0043857 | 136 | GTEx | DepMap | Descartes | 8.52 | 879.77 |
MAB21L2 | 0.0038304 | 197 | GTEx | DepMap | Descartes | 0.97 | 98.39 |
ISL1 | 0.0032359 | 266 | GTEx | DepMap | Descartes | 2.60 | 278.19 |
ELAVL2 | 0.0029534 | 336 | GTEx | DepMap | Descartes | 1.15 | 73.49 |
MAP1B | 0.0028968 | 351 | GTEx | DepMap | Descartes | 7.84 | 170.05 |
RBFOX1 | 0.0019763 | 702 | GTEx | DepMap | Descartes | 0.51 | 25.93 |
FAT3 | 0.0019641 | 708 | GTEx | DepMap | Descartes | 0.21 | 2.57 |
CNKSR2 | 0.0013782 | 1259 | GTEx | DepMap | Descartes | 0.16 | 5.01 |
SYNPO2 | 0.0013144 | 1342 | GTEx | DepMap | Descartes | 0.30 | 4.96 |
RPH3A | 0.0006187 | 2821 | GTEx | DepMap | Descartes | 0.07 | 3.77 |
PTCHD1 | 0.0005533 | 3007 | GTEx | DepMap | Descartes | 0.12 | 2.19 |
KCNB2 | 0.0005429 | 3051 | GTEx | DepMap | Descartes | 0.10 | 7.06 |
IL7 | 0.0002454 | 4209 | GTEx | DepMap | Descartes | 0.46 | 59.98 |
SLC44A5 | 0.0002267 | 4292 | GTEx | DepMap | Descartes | 0.04 | 1.95 |
BASP1 | 0.0001695 | 4593 | GTEx | DepMap | Descartes | 5.66 | 760.34 |
RGMB | -0.0001187 | 6647 | GTEx | DepMap | Descartes | 0.29 | 15.92 |
REEP1 | -0.0003168 | 8417 | GTEx | DepMap | Descartes | 0.23 | 14.23 |
RYR2 | -0.0003339 | 8537 | GTEx | DepMap | Descartes | 0.04 | 0.49 |
NPY | -0.0004315 | 9203 | GTEx | DepMap | Descartes | 6.10 | 2223.14 |
ANKFN1 | -0.0004933 | 9567 | GTEx | DepMap | Descartes | 0.02 | 1.11 |
EPHA6 | -0.0005210 | 9746 | GTEx | DepMap | Descartes | 0.01 | 0.39 |
GREM1 | -0.0009353 | 11321 | GTEx | DepMap | Descartes | 0.01 | 0.09 |
HS3ST5 | -0.0010198 | 11479 | GTEx | DepMap | Descartes | 0.01 | 0.57 |
ALK | -0.0010802 | 11583 | GTEx | DepMap | Descartes | 0.01 | 0.47 |
STMN2 | -0.0010866 | 11596 | GTEx | DepMap | Descartes | 16.71 | 2229.92 |
CNTFR | -0.0011457 | 11693 | GTEx | DepMap | Descartes | 0.45 | 55.23 |
EYA1 | -0.0013420 | 11969 | GTEx | DepMap | Descartes | 0.01 | 0.58 |
TMEM132C | -0.0014797 | 12079 | GTEx | DepMap | Descartes | 0.03 | 1.26 |
Descartes Vascular_endothelial markers
Top 50 marker genes of Vascular_endothelial cells in the Decartes fetal adrenal single cell map (https://atlas.brotmanbaty.org/bbi/human-gene-expression-during-development/cell/vascular_endothelial/in/adrenal)
Wilcoxon ranksum test P-value for gene set overrepresentation: 8.85e-01
Mean rank of genes in gene set: 6978.5
Median rank of genes in gene set: 7482.5
Rank on gene expression program of top 30 genes in gene set:
Genes | Weight | Rank | GTEx | DepMap | Descartes | Mean.Counts | Mean.TPM |
---|---|---|---|---|---|---|---|
RAMP2 | 0.0019283 | 735 | GTEx | DepMap | Descartes | 1.08 | 317.89 |
HYAL2 | 0.0014190 | 1199 | GTEx | DepMap | Descartes | 0.46 | 28.25 |
ARHGAP29 | 0.0012362 | 1466 | GTEx | DepMap | Descartes | 0.26 | 7.54 |
MYRIP | 0.0008351 | 2225 | GTEx | DepMap | Descartes | 0.03 | 1.57 |
SHANK3 | 0.0006544 | 2710 | GTEx | DepMap | Descartes | 0.03 | 0.96 |
EFNB2 | 0.0003771 | 3645 | GTEx | DepMap | Descartes | 0.20 | 9.64 |
CDH13 | 0.0001479 | 4704 | GTEx | DepMap | Descartes | 0.04 | 1.22 |
F8 | -0.0000144 | 5647 | GTEx | DepMap | Descartes | 0.01 | 0.25 |
BTNL9 | -0.0000153 | 5654 | GTEx | DepMap | Descartes | 0.00 | 0.25 |
SLCO2A1 | -0.0000735 | 6161 | GTEx | DepMap | Descartes | 0.00 | 0.22 |
PODXL | -0.0001184 | 6644 | GTEx | DepMap | Descartes | 0.04 | 1.41 |
TEK | -0.0001288 | 6746 | GTEx | DepMap | Descartes | 0.00 | 0.01 |
FLT4 | -0.0001524 | 6972 | GTEx | DepMap | Descartes | 0.00 | 0.04 |
NR5A2 | -0.0001712 | 7149 | GTEx | DepMap | Descartes | 0.00 | 0.00 |
NPR1 | -0.0001835 | 7268 | GTEx | DepMap | Descartes | 0.00 | 0.07 |
ESM1 | -0.0001919 | 7336 | GTEx | DepMap | Descartes | 0.00 | 0.00 |
PTPRB | -0.0001960 | 7368 | GTEx | DepMap | Descartes | 0.00 | 0.12 |
TMEM88 | -0.0002046 | 7451 | GTEx | DepMap | Descartes | 0.04 | 10.87 |
ID1 | -0.0002070 | 7479 | GTEx | DepMap | Descartes | 0.14 | 23.57 |
GALNT15 | -0.0002076 | 7486 | GTEx | DepMap | Descartes | 0.00 | NA |
EHD3 | -0.0002346 | 7732 | GTEx | DepMap | Descartes | 0.01 | 0.68 |
KANK3 | -0.0002519 | 7869 | GTEx | DepMap | Descartes | 0.00 | 0.44 |
TIE1 | -0.0002667 | 7984 | GTEx | DepMap | Descartes | 0.00 | 0.17 |
SHE | -0.0002681 | 7999 | GTEx | DepMap | Descartes | 0.00 | 0.04 |
CDH5 | -0.0002706 | 8012 | GTEx | DepMap | Descartes | 0.00 | 0.02 |
ROBO4 | -0.0002910 | 8186 | GTEx | DepMap | Descartes | 0.00 | 0.15 |
MMRN2 | -0.0002978 | 8247 | GTEx | DepMap | Descartes | 0.00 | 0.07 |
PLVAP | -0.0003036 | 8296 | GTEx | DepMap | Descartes | 0.00 | 0.18 |
KDR | -0.0003329 | 8525 | GTEx | DepMap | Descartes | 0.00 | 0.04 |
CALCRL | -0.0003577 | 8700 | GTEx | DepMap | Descartes | 0.00 | 0.03 |
Descartes stromal markers
Top 50 marker genes of stromal cells in the Decartes fetal adrenal single cell map (https://atlas.brotmanbaty.org/bbi/human-gene-expression-during-development/cell/stromal/in/adrenal)
Wilcoxon ranksum test P-value for gene set overrepresentation: 9.99e-01
Mean rank of genes in gene set: 7901.7
Median rank of genes in gene set: 8090
Rank on gene expression program of top 30 genes in gene set:
Genes | Weight | Rank | GTEx | DepMap | Descartes | Mean.Counts | Mean.TPM |
---|---|---|---|---|---|---|---|
PCOLCE | 0.0018558 | 786 | GTEx | DepMap | Descartes | 1.13 | 184.31 |
COL12A1 | 0.0016140 | 991 | GTEx | DepMap | Descartes | 0.07 | 1.55 |
CLDN11 | 0.0005523 | 3015 | GTEx | DepMap | Descartes | 0.03 | 2.41 |
CD248 | 0.0000830 | 5037 | GTEx | DepMap | Descartes | 0.04 | 3.33 |
PCDH18 | 0.0000550 | 5187 | GTEx | DepMap | Descartes | 0.01 | 0.53 |
DKK2 | 0.0000519 | 5207 | GTEx | DepMap | Descartes | 0.00 | 0.32 |
ADAMTSL3 | 0.0000187 | 5402 | GTEx | DepMap | Descartes | 0.00 | 0.04 |
EDNRA | -0.0000081 | 5595 | GTEx | DepMap | Descartes | 0.00 | 0.21 |
ITGA11 | -0.0000204 | 5690 | GTEx | DepMap | Descartes | 0.00 | 0.09 |
SFRP2 | -0.0000726 | 6156 | GTEx | DepMap | Descartes | 0.00 | 0.23 |
PDGFRA | -0.0001081 | 6515 | GTEx | DepMap | Descartes | 0.14 | 5.09 |
RSPO3 | -0.0001672 | 7120 | GTEx | DepMap | Descartes | 0.00 | NA |
IGFBP3 | -0.0001710 | 7148 | GTEx | DepMap | Descartes | 0.04 | 2.04 |
LAMC3 | -0.0001825 | 7261 | GTEx | DepMap | Descartes | 0.00 | 0.00 |
SCARA5 | -0.0002003 | 7403 | GTEx | DepMap | Descartes | 0.00 | 0.00 |
ABCC9 | -0.0002085 | 7496 | GTEx | DepMap | Descartes | 0.00 | 0.00 |
C7 | -0.0002170 | 7566 | GTEx | DepMap | Descartes | 0.01 | 0.33 |
BICC1 | -0.0002236 | 7627 | GTEx | DepMap | Descartes | 0.01 | 0.54 |
COL27A1 | -0.0002371 | 7753 | GTEx | DepMap | Descartes | 0.00 | 0.03 |
GAS2 | -0.0002593 | 7930 | GTEx | DepMap | Descartes | 0.00 | 0.16 |
MGP | -0.0002735 | 8037 | GTEx | DepMap | Descartes | 0.27 | 24.43 |
GLI2 | -0.0002749 | 8052 | GTEx | DepMap | Descartes | 0.00 | 0.04 |
CDH11 | -0.0002844 | 8128 | GTEx | DepMap | Descartes | 0.04 | 1.50 |
POSTN | -0.0003084 | 8340 | GTEx | DepMap | Descartes | 0.01 | 0.32 |
ACTA2 | -0.0003434 | 8594 | GTEx | DepMap | Descartes | 0.06 | 7.53 |
LRRC17 | -0.0003710 | 8787 | GTEx | DepMap | Descartes | 0.00 | 0.37 |
PAMR1 | -0.0003781 | 8832 | GTEx | DepMap | Descartes | 0.00 | 0.22 |
PRRX1 | -0.0004032 | 9020 | GTEx | DepMap | Descartes | 0.00 | 0.04 |
FREM1 | -0.0004069 | 9043 | GTEx | DepMap | Descartes | 0.00 | 0.01 |
ABCA6 | -0.0004161 | 9104 | GTEx | DepMap | Descartes | 0.00 | 0.07 |
Descartes sympathoblasts markers
Top 50 marker genes of sympathoblasts cells in the Decartes fetal adrenal single cell map (https://atlas.brotmanbaty.org/bbi/human-gene-expression-during-development/cell/sympathoblasts/in/adrenal)
Wilcoxon ranksum test P-value for gene set overrepresentation: 9.52e-01
Mean rank of genes in gene set: 7253.45
Median rank of genes in gene set: 7365.5
Rank on gene expression program of top 30 genes in gene set:
Genes | Weight | Rank | GTEx | DepMap | Descartes | Mean.Counts | Mean.TPM |
---|---|---|---|---|---|---|---|
KCTD16 | 0.0114314 | 8 | GTEx | DepMap | Descartes | 1.86 | 34.23 |
ARC | 0.0073798 | 31 | GTEx | DepMap | Descartes | 2.67 | 239.45 |
TIAM1 | 0.0016902 | 913 | GTEx | DepMap | Descartes | 0.24 | 8.15 |
PCSK1N | 0.0010542 | 1780 | GTEx | DepMap | Descartes | 5.93 | 1465.34 |
GRM7 | 0.0008185 | 2268 | GTEx | DepMap | Descartes | 0.02 | 1.36 |
FGF14 | 0.0006078 | 2844 | GTEx | DepMap | Descartes | 0.19 | 3.85 |
HTATSF1 | 0.0003166 | 3907 | GTEx | DepMap | Descartes | 0.50 | 40.38 |
TENM1 | 0.0002300 | 4281 | GTEx | DepMap | Descartes | 0.04 | NA |
CNTN3 | 0.0001014 | 4943 | GTEx | DepMap | Descartes | 0.01 | 0.24 |
ROBO1 | 0.0000788 | 5062 | GTEx | DepMap | Descartes | 0.14 | 4.76 |
LAMA3 | 0.0000582 | 5169 | GTEx | DepMap | Descartes | 0.01 | 0.18 |
DGKK | -0.0000152 | 5652 | GTEx | DepMap | Descartes | 0.03 | 1.08 |
SLC35F3 | -0.0000491 | 5906 | GTEx | DepMap | Descartes | 0.00 | 0.16 |
SPOCK3 | -0.0000527 | 5941 | GTEx | DepMap | Descartes | 0.04 | 3.28 |
PENK | -0.0000823 | 6252 | GTEx | DepMap | Descartes | 0.00 | 0.00 |
KSR2 | -0.0001407 | 6862 | GTEx | DepMap | Descartes | 0.06 | 0.85 |
C1QL1 | -0.0001545 | 6995 | GTEx | DepMap | Descartes | 0.79 | 121.81 |
CHGA | -0.0001702 | 7144 | GTEx | DepMap | Descartes | 1.13 | 138.83 |
CCSER1 | -0.0001715 | 7152 | GTEx | DepMap | Descartes | 0.02 | NA |
MGAT4C | -0.0002183 | 7579 | GTEx | DepMap | Descartes | 0.09 | 0.87 |
ST18 | -0.0002481 | 7837 | GTEx | DepMap | Descartes | 0.00 | 0.07 |
SORCS3 | -0.0003445 | 8604 | GTEx | DepMap | Descartes | 0.01 | 0.32 |
EML6 | -0.0004294 | 9188 | GTEx | DepMap | Descartes | 0.01 | 0.21 |
CDH18 | -0.0004343 | 9221 | GTEx | DepMap | Descartes | 0.01 | 0.51 |
TBX20 | -0.0004652 | 9393 | GTEx | DepMap | Descartes | 0.00 | 0.05 |
GALNTL6 | -0.0004687 | 9411 | GTEx | DepMap | Descartes | 0.02 | 1.32 |
SLC24A2 | -0.0004920 | 9557 | GTEx | DepMap | Descartes | 0.00 | 0.02 |
PACRG | -0.0005706 | 10017 | GTEx | DepMap | Descartes | 0.04 | 6.25 |
AGBL4 | -0.0005889 | 10105 | GTEx | DepMap | Descartes | 0.01 | 0.67 |
GCH1 | -0.0006377 | 10325 | GTEx | DepMap | Descartes | 0.19 | 16.49 |
Descartes erythroblasts markers
Top 50 marker genes of erythroblasts cells in the Decartes fetal adrenal single cell map (https://atlas.brotmanbaty.org/bbi/human-gene-expression-during-development/cell/erythroblasts/in/adrenal)
Wilcoxon ranksum test P-value for gene set overrepresentation: 8.19e-01
Mean rank of genes in gene set: 6887.45
Median rank of genes in gene set: 6367
Rank on gene expression program of top 30 genes in gene set:
Genes | Weight | Rank | GTEx | DepMap | Descartes | Mean.Counts | Mean.TPM |
---|---|---|---|---|---|---|---|
SNCA | 0.0104343 | 10 | GTEx | DepMap | Descartes | 1.82 | 152.59 |
SPECC1 | 0.0024279 | 488 | GTEx | DepMap | Descartes | 0.17 | 5.14 |
ABCB10 | 0.0013144 | 1341 | GTEx | DepMap | Descartes | 0.09 | 6.00 |
XPO7 | 0.0006138 | 2834 | GTEx | DepMap | Descartes | 0.15 | 7.30 |
RAPGEF2 | 0.0005787 | 2924 | GTEx | DepMap | Descartes | 0.21 | 6.23 |
TMCC2 | 0.0002721 | 4084 | GTEx | DepMap | Descartes | 0.04 | 2.68 |
CPOX | 0.0002587 | 4154 | GTEx | DepMap | Descartes | 0.04 | 4.12 |
TFR2 | 0.0000925 | 4985 | GTEx | DepMap | Descartes | 0.06 | 4.76 |
ANK1 | 0.0000920 | 4986 | GTEx | DepMap | Descartes | 0.05 | 1.26 |
ALAS2 | 0.0000622 | 5142 | GTEx | DepMap | Descartes | 0.03 | 2.65 |
MARCH3 | -0.0000115 | 5622 | GTEx | DepMap | Descartes | 0.04 | NA |
SLC25A37 | -0.0000315 | 5764 | GTEx | DepMap | Descartes | 0.25 | 12.61 |
GCLC | -0.0000738 | 6164 | GTEx | DepMap | Descartes | 0.05 | 3.36 |
SLC25A21 | -0.0000745 | 6172 | GTEx | DepMap | Descartes | 0.00 | 0.00 |
RHD | -0.0000947 | 6367 | GTEx | DepMap | Descartes | 0.00 | 0.00 |
SLC4A1 | -0.0001342 | 6802 | GTEx | DepMap | Descartes | 0.00 | 0.17 |
RGS6 | -0.0002335 | 7719 | GTEx | DepMap | Descartes | 0.00 | 0.00 |
FECH | -0.0003126 | 8377 | GTEx | DepMap | Descartes | 0.06 | 1.86 |
SELENBP1 | -0.0003795 | 8849 | GTEx | DepMap | Descartes | 0.00 | 0.29 |
TSPAN5 | -0.0004957 | 9582 | GTEx | DepMap | Descartes | 0.33 | 18.84 |
CAT | -0.0004972 | 9598 | GTEx | DepMap | Descartes | 0.11 | 11.55 |
MICAL2 | -0.0005163 | 9723 | GTEx | DepMap | Descartes | 0.00 | 0.14 |
SPTB | -0.0005565 | 9936 | GTEx | DepMap | Descartes | 0.03 | 0.62 |
EPB41 | -0.0006366 | 10319 | GTEx | DepMap | Descartes | 0.19 | 7.05 |
TRAK2 | -0.0007090 | 10618 | GTEx | DepMap | Descartes | 0.05 | 1.61 |
DENND4A | -0.0008334 | 11045 | GTEx | DepMap | Descartes | 0.09 | 2.58 |
BLVRB | -0.0010529 | 11540 | GTEx | DepMap | Descartes | 0.06 | 10.18 |
SOX6 | -0.0015775 | 12155 | GTEx | DepMap | Descartes | 0.00 | 0.06 |
GYPC | -0.0023368 | 12436 | GTEx | DepMap | Descartes | 0.09 | 8.18 |
NA | NA | NA | NA | NA | NA | NA | NA |
Descartes myeloid markers
Top 50 marker genes of myeloid cells in the Decartes fetal adrenal single cell map (https://atlas.brotmanbaty.org/bbi/human-gene-expression-during-development/cell/myeloid/in/adrenal)
Wilcoxon ranksum test P-value for gene set overrepresentation: 1.00e+00
Mean rank of genes in gene set: 10324.42
Median rank of genes in gene set: 10863.5
Rank on gene expression program of top 30 genes in gene set:
Genes | Weight | Rank | GTEx | DepMap | Descartes | Mean.Counts | Mean.TPM |
---|---|---|---|---|---|---|---|
RBPJ | 0.0007935 | 2325 | GTEx | DepMap | Descartes | 0.80 | 33.45 |
MARCH1 | 0.0000884 | 5010 | GTEx | DepMap | Descartes | 0.06 | NA |
WWP1 | -0.0002287 | 7675 | GTEx | DepMap | Descartes | 0.06 | 3.10 |
RGL1 | -0.0002704 | 8009 | GTEx | DepMap | Descartes | 0.03 | 1.23 |
CPVL | -0.0004130 | 9082 | GTEx | DepMap | Descartes | 0.01 | 1.07 |
ATP8B4 | -0.0004671 | 9402 | GTEx | DepMap | Descartes | 0.00 | 0.13 |
SLC9A9 | -0.0004878 | 9535 | GTEx | DepMap | Descartes | 0.01 | 0.44 |
HRH1 | -0.0004980 | 9605 | GTEx | DepMap | Descartes | 0.00 | 0.23 |
FGD2 | -0.0005324 | 9796 | GTEx | DepMap | Descartes | 0.00 | 0.23 |
SFMBT2 | -0.0005375 | 9827 | GTEx | DepMap | Descartes | 0.02 | 0.48 |
MERTK | -0.0005712 | 10018 | GTEx | DepMap | Descartes | 0.00 | 0.07 |
ABCA1 | -0.0006309 | 10291 | GTEx | DepMap | Descartes | 0.04 | 0.87 |
SPP1 | -0.0006310 | 10292 | GTEx | DepMap | Descartes | 0.12 | 14.59 |
CD163 | -0.0006544 | 10396 | GTEx | DepMap | Descartes | 0.01 | 0.23 |
MSR1 | -0.0006684 | 10478 | GTEx | DepMap | Descartes | 0.01 | 0.89 |
ADAP2 | -0.0007039 | 10599 | GTEx | DepMap | Descartes | 0.02 | 1.74 |
SLC1A3 | -0.0007172 | 10644 | GTEx | DepMap | Descartes | 0.00 | 0.06 |
IFNGR1 | -0.0007212 | 10662 | GTEx | DepMap | Descartes | 0.13 | 13.01 |
CYBB | -0.0007669 | 10844 | GTEx | DepMap | Descartes | 0.01 | 0.65 |
PTPRE | -0.0007777 | 10883 | GTEx | DepMap | Descartes | 0.05 | 2.07 |
CD14 | -0.0007781 | 10885 | GTEx | DepMap | Descartes | 0.04 | 4.86 |
CSF1R | -0.0008475 | 11081 | GTEx | DepMap | Descartes | 0.01 | 0.48 |
FGL2 | -0.0008493 | 11085 | GTEx | DepMap | Descartes | 0.02 | 0.93 |
SLCO2B1 | -0.0008506 | 11092 | GTEx | DepMap | Descartes | 0.01 | 0.22 |
MS4A4A | -0.0008511 | 11095 | GTEx | DepMap | Descartes | 0.03 | 3.46 |
CTSB | -0.0008847 | 11174 | GTEx | DepMap | Descartes | 0.44 | 26.31 |
HCK | -0.0009157 | 11272 | GTEx | DepMap | Descartes | 0.01 | 1.19 |
LGMN | -0.0009267 | 11305 | GTEx | DepMap | Descartes | 0.10 | 11.06 |
ITPR2 | -0.0009437 | 11340 | GTEx | DepMap | Descartes | 0.02 | 0.28 |
CTSD | -0.0009935 | 11439 | GTEx | DepMap | Descartes | 0.30 | 32.21 |
Descartes Schwann markers
Top 50 marker genes of Schwann cells in the Decartes fetal adrenal single cell map (https://atlas.brotmanbaty.org/bbi/human-gene-expression-during-development/cell/schwann/in/adrenal)
Wilcoxon ranksum test P-value for gene set overrepresentation: 9.64e-01
Mean rank of genes in gene set: 7254.18
Median rank of genes in gene set: 8211.5
Rank on gene expression program of top 30 genes in gene set:
Genes | Weight | Rank | GTEx | DepMap | Descartes | Mean.Counts | Mean.TPM |
---|---|---|---|---|---|---|---|
VCAN | 0.0091387 | 18 | GTEx | DepMap | Descartes | 2.04 | 42.03 |
PPP2R2B | 0.0073021 | 32 | GTEx | DepMap | Descartes | 1.24 | 29.86 |
SOX5 | 0.0054972 | 78 | GTEx | DepMap | Descartes | 0.60 | 21.53 |
SLC35F1 | 0.0025494 | 447 | GTEx | DepMap | Descartes | 0.12 | 5.70 |
PAG1 | 0.0020179 | 682 | GTEx | DepMap | Descartes | 0.40 | 8.90 |
MDGA2 | 0.0016246 | 984 | GTEx | DepMap | Descartes | 0.01 | 0.65 |
STARD13 | 0.0015410 | 1044 | GTEx | DepMap | Descartes | 0.07 | 2.74 |
XKR4 | 0.0013205 | 1328 | GTEx | DepMap | Descartes | 0.06 | 0.79 |
COL25A1 | 0.0010203 | 1848 | GTEx | DepMap | Descartes | 0.04 | 1.25 |
MARCKS | 0.0005533 | 3008 | GTEx | DepMap | Descartes | 5.00 | 285.70 |
HMGA2 | 0.0004413 | 3402 | GTEx | DepMap | Descartes | 0.00 | 0.09 |
KCTD12 | 0.0002468 | 4203 | GTEx | DepMap | Descartes | 0.12 | 4.46 |
SORCS1 | 0.0002260 | 4295 | GTEx | DepMap | Descartes | 0.08 | 2.95 |
ADAMTS5 | 0.0000472 | 5241 | GTEx | DepMap | Descartes | 0.01 | 0.27 |
NRXN1 | 0.0000284 | 5341 | GTEx | DepMap | Descartes | 0.54 | 14.27 |
IL1RAPL2 | -0.0000380 | 5815 | GTEx | DepMap | Descartes | 0.00 | 0.00 |
PTPRZ1 | -0.0001172 | 6623 | GTEx | DepMap | Descartes | 0.00 | 0.14 |
PLCE1 | -0.0001836 | 7269 | GTEx | DepMap | Descartes | 0.04 | 0.92 |
IL1RAPL1 | -0.0001920 | 7337 | GTEx | DepMap | Descartes | 0.00 | 0.42 |
NRXN3 | -0.0002332 | 7714 | GTEx | DepMap | Descartes | 0.01 | 0.21 |
LAMC1 | -0.0002339 | 7723 | GTEx | DepMap | Descartes | 0.04 | 1.21 |
FIGN | -0.0002937 | 8211 | GTEx | DepMap | Descartes | 0.09 | 2.13 |
MPZ | -0.0002937 | 8212 | GTEx | DepMap | Descartes | 0.01 | 1.69 |
PLP1 | -0.0003906 | 8931 | GTEx | DepMap | Descartes | 0.00 | 0.01 |
OLFML2A | -0.0003973 | 8976 | GTEx | DepMap | Descartes | 0.00 | 0.00 |
TRPM3 | -0.0004296 | 9190 | GTEx | DepMap | Descartes | 0.00 | 0.04 |
EDNRB | -0.0004607 | 9368 | GTEx | DepMap | Descartes | 0.00 | 0.01 |
ERBB3 | -0.0004712 | 9430 | GTEx | DepMap | Descartes | 0.00 | 0.06 |
COL5A2 | -0.0004931 | 9564 | GTEx | DepMap | Descartes | 0.02 | 0.54 |
GRIK3 | -0.0006214 | 10261 | GTEx | DepMap | Descartes | 0.00 | 0.05 |
Descartes Megakaryocytes markers
Top 50 marker genes of Megakaryocytes cells in the Decartes fetal adrenal single cell map (https://atlas.brotmanbaty.org/bbi/human-gene-expression-during-development/cell/megakaryocytes/in/adrenal)
Wilcoxon ranksum test P-value for gene set overrepresentation: 1.00e+00
Mean rank of genes in gene set: 8420.49
Median rank of genes in gene set: 8637
Rank on gene expression program of top 30 genes in gene set:
Genes | Weight | Rank | GTEx | DepMap | Descartes | Mean.Counts | Mean.TPM |
---|---|---|---|---|---|---|---|
SLC24A3 | 0.0025748 | 441 | GTEx | DepMap | Descartes | 0.04 | 2.73 |
RAB27B | 0.0024470 | 480 | GTEx | DepMap | Descartes | 0.13 | 4.73 |
TPM4 | 0.0015182 | 1068 | GTEx | DepMap | Descartes | 1.24 | 62.38 |
MED12L | 0.0006681 | 2675 | GTEx | DepMap | Descartes | 0.04 | 0.86 |
PDE3A | 0.0005292 | 3101 | GTEx | DepMap | Descartes | 0.06 | 1.96 |
HIPK2 | 0.0004835 | 3252 | GTEx | DepMap | Descartes | 0.31 | 4.81 |
MCTP1 | 0.0002644 | 4121 | GTEx | DepMap | Descartes | 0.03 | 1.15 |
ARHGAP6 | 0.0000424 | 5266 | GTEx | DepMap | Descartes | 0.00 | 0.13 |
DOK6 | 0.0000259 | 5359 | GTEx | DepMap | Descartes | 0.09 | 2.60 |
ITGA2B | -0.0001166 | 6617 | GTEx | DepMap | Descartes | 0.01 | 0.74 |
P2RX1 | -0.0001239 | 6703 | GTEx | DepMap | Descartes | 0.00 | 0.06 |
ZYX | -0.0001300 | 6758 | GTEx | DepMap | Descartes | 0.22 | 24.70 |
ITGB3 | -0.0001446 | 6906 | GTEx | DepMap | Descartes | 0.00 | 0.00 |
TRPC6 | -0.0001629 | 7071 | GTEx | DepMap | Descartes | 0.00 | 0.00 |
PRKAR2B | -0.0001662 | 7109 | GTEx | DepMap | Descartes | 0.32 | 20.72 |
GP1BA | -0.0002208 | 7597 | GTEx | DepMap | Descartes | 0.00 | 0.01 |
MMRN1 | -0.0002236 | 7628 | GTEx | DepMap | Descartes | 0.00 | 0.00 |
STON2 | -0.0002314 | 7699 | GTEx | DepMap | Descartes | 0.04 | 2.31 |
ACTN1 | -0.0002517 | 7867 | GTEx | DepMap | Descartes | 0.30 | 15.81 |
PSTPIP2 | -0.0002738 | 8042 | GTEx | DepMap | Descartes | 0.01 | 1.14 |
TUBB1 | -0.0003178 | 8422 | GTEx | DepMap | Descartes | 0.00 | 0.00 |
ANGPT1 | -0.0003290 | 8495 | GTEx | DepMap | Descartes | 0.00 | 0.26 |
LTBP1 | -0.0003487 | 8637 | GTEx | DepMap | Descartes | 0.00 | 0.08 |
MYLK | -0.0004210 | 9140 | GTEx | DepMap | Descartes | 0.01 | 0.22 |
UBASH3B | -0.0004371 | 9234 | GTEx | DepMap | Descartes | 0.01 | 0.34 |
THBS1 | -0.0006203 | 10252 | GTEx | DepMap | Descartes | 0.02 | 0.32 |
VCL | -0.0007212 | 10658 | GTEx | DepMap | Descartes | 0.05 | 1.62 |
GSN | -0.0007510 | 10793 | GTEx | DepMap | Descartes | 0.03 | 1.01 |
STOM | -0.0007552 | 10810 | GTEx | DepMap | Descartes | 0.07 | 5.12 |
FLNA | -0.0007756 | 10876 | GTEx | DepMap | Descartes | 0.12 | 3.52 |
Descartes Lyphoid markers
Top 50 marker genes of Lyphoid cells in the Decartes fetal adrenal single cell map (https://atlas.brotmanbaty.org/bbi/human-gene-expression-during-development/cell/lymphoid/in/adrenal)
Wilcoxon ranksum test P-value for gene set overrepresentation: 1.00e+00
Mean rank of genes in gene set: 9816.45
Median rank of genes in gene set: 11487.5
Rank on gene expression program of top 30 genes in gene set:
Genes | Weight | Rank | GTEx | DepMap | Descartes | Mean.Counts | Mean.TPM |
---|---|---|---|---|---|---|---|
CD44 | 0.0026802 | 410 | GTEx | DepMap | Descartes | 2.01 | 95.33 |
MCTP2 | 0.0019142 | 749 | GTEx | DepMap | Descartes | 0.14 | 5.01 |
GNG2 | 0.0008452 | 2205 | GTEx | DepMap | Descartes | 0.72 | 49.22 |
BCL2 | 0.0006087 | 2843 | GTEx | DepMap | Descartes | 0.37 | 12.65 |
TOX | 0.0005562 | 3000 | GTEx | DepMap | Descartes | 0.28 | 17.01 |
BACH2 | 0.0005491 | 3029 | GTEx | DepMap | Descartes | 0.15 | 4.19 |
NCALD | 0.0001652 | 4616 | GTEx | DepMap | Descartes | 0.10 | 6.96 |
SCML4 | 0.0000307 | 5327 | GTEx | DepMap | Descartes | 0.11 | 6.12 |
PDE3B | -0.0001051 | 6479 | GTEx | DepMap | Descartes | 0.15 | 5.89 |
EVL | -0.0003795 | 8848 | GTEx | DepMap | Descartes | 1.33 | 84.90 |
MBNL1 | -0.0006700 | 10485 | GTEx | DepMap | Descartes | 0.19 | 6.92 |
RCSD1 | -0.0007491 | 10783 | GTEx | DepMap | Descartes | 0.01 | 0.21 |
SKAP1 | -0.0007527 | 10797 | GTEx | DepMap | Descartes | 0.02 | 2.98 |
PITPNC1 | -0.0007984 | 10947 | GTEx | DepMap | Descartes | 0.11 | 4.06 |
STK39 | -0.0008510 | 11094 | GTEx | DepMap | Descartes | 0.15 | 11.08 |
CCL5 | -0.0008599 | 11113 | GTEx | DepMap | Descartes | 0.03 | 5.47 |
SAMD3 | -0.0008641 | 11126 | GTEx | DepMap | Descartes | 0.00 | 0.15 |
ITPKB | -0.0008740 | 11151 | GTEx | DepMap | Descartes | 0.00 | 0.08 |
PLEKHA2 | -0.0008971 | 11212 | GTEx | DepMap | Descartes | 0.02 | 0.70 |
SORL1 | -0.0009117 | 11258 | GTEx | DepMap | Descartes | 0.12 | 2.58 |
FYN | -0.0009861 | 11422 | GTEx | DepMap | Descartes | 0.70 | 46.60 |
ETS1 | -0.0010597 | 11553 | GTEx | DepMap | Descartes | 0.04 | 1.87 |
ARHGAP15 | -0.0011790 | 11747 | GTEx | DepMap | Descartes | 0.01 | 0.41 |
PRKCH | -0.0011864 | 11753 | GTEx | DepMap | Descartes | 0.01 | 0.33 |
SP100 | -0.0012178 | 11789 | GTEx | DepMap | Descartes | 0.01 | 0.45 |
DOCK10 | -0.0012253 | 11805 | GTEx | DepMap | Descartes | 0.01 | 0.22 |
ARID5B | -0.0012356 | 11819 | GTEx | DepMap | Descartes | 0.07 | 1.99 |
IKZF1 | -0.0012803 | 11897 | GTEx | DepMap | Descartes | 0.00 | 0.15 |
ANKRD44 | -0.0012987 | 11923 | GTEx | DepMap | Descartes | 0.04 | 1.52 |
LEF1 | -0.0013171 | 11944 | GTEx | DepMap | Descartes | 0.00 | 0.18 |
Below shows the ranks on this GEP for immune marker gene lists curated by CellTypist (https://www.celltypist.org/encyclopedia).
High ranks indicate this gene is a driver of this GEP.
These curated gene list are ranked by P-value (on this GEP) of their constituent genes.
The Mean Count column shows the mean read count in cells scoring highly (H > 50) on this gene expression program.
Genes | Weight | Rank | GTEx | DepMap | Decartes | Mean.Counts | Mean.TPM |
---|---|---|---|---|---|---|---|
VCAN | 0.0091387 | 18 | GTEx | DepMap | Descartes | 2.04 | 42.03 |
HSC/MPP: Neutrophil-myeloid progenitor (model markers)
progenitors of neutrophils and myeloid cells which are transitioned from hematopoietic stem cells and multipotent progenitors:
Wilcoxon ranksum test P-value for gene set overrepresentation: 7.51e-02
Mean rank of genes in gene set: 1063
Rank on gene expression program of genes in gene set:
Genes | Weight | Rank | GTEx | DepMap | Decartes | Mean.Counts | Mean.TPM |
---|---|---|---|---|---|---|---|
CUX2 | 0.0015254 | 1063 | GTEx | DepMap | Descartes | 0.14 | 5.4 |
Macrophages: Kupffer cells (model markers)
resident macrophages in liver under non-inflammatory conditions which line the hepatic sinusoids and are involved in erythrocyte clearance:
Wilcoxon ranksum test P-value for gene set overrepresentation: 2.02e-01
Mean rank of genes in gene set: 4765
Rank on gene expression program of genes in gene set:
Genes | Weight | Rank | GTEx | DepMap | Decartes | Mean.Counts | Mean.TPM |
---|---|---|---|---|---|---|---|
EGR2 | 0.0063521 | 47 | GTEx | DepMap | Descartes | 0.67 | 60.60 |
ARRDC3 | 0.0004184 | 3481 | GTEx | DepMap | Descartes | 0.52 | 31.19 |
PENK | -0.0000823 | 6252 | GTEx | DepMap | Descartes | 0.00 | 0.00 |
CD5L | -0.0004453 | 9280 | GTEx | DepMap | Descartes | 0.00 | 0.43 |