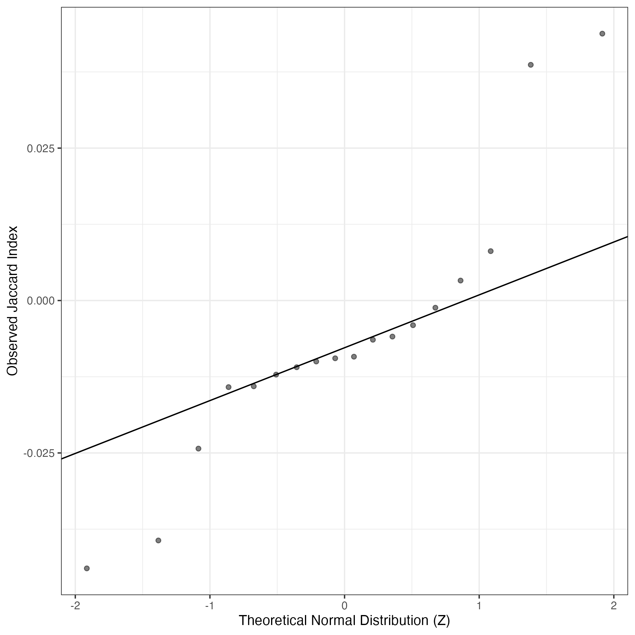
QQ-plot of gene loadings, averaged over both independent splits of the data
This plot highlights the relative contribution of each gene to the GEP
Top genes driving this program. Note: Decartes website is buggy, try refreshing. Also, Decartes fetal adrenal data have been collected at specific time points (89-122 days), all possible cell types of interest may not be represented, do not overinterpret. The Mean Count column shows the mean read count in cells scoring highly (H > 50) on this gene expression program (currently only calculated for the cells in the first 50/50 split of the data).
Note: Decartes website is buggy, try refreshing. Also, Decartes fetal adrenal data have been collected at specific time points (89-122 days), all possible cell types of interest may not be represented, do not overinterpret.
The Mean Count column shows the mean read count in cells scoring highly (H > 50) on this gene expression program.
Gene | Loading | Gene.Name | GTEx | DepMap | Descartes | Mean.Counts | Mean.Tpm | |
---|---|---|---|---|---|---|---|---|
1 | GPM6B | 0.0142262 | glycoprotein M6B | GTEx | DepMap | Descartes | 10.80 | 1157.80 |
2 | PLP1 | 0.0140515 | proteolipid protein 1 | GTEx | DepMap | Descartes | 9.45 | 1259.80 |
3 | S100B | 0.0134989 | S100 calcium binding protein B | GTEx | DepMap | Descartes | 15.67 | 5383.66 |
4 | ITGB8 | 0.0134823 | integrin subunit beta 8 | GTEx | DepMap | Descartes | 18.02 | 867.43 |
5 | SEMA3B | 0.0128964 | semaphorin 3B | GTEx | DepMap | Descartes | 5.12 | 597.51 |
6 | NRXN1 | 0.0121534 | neurexin 1 | GTEx | DepMap | Descartes | 5.01 | 216.37 |
7 | LGI4 | 0.0119079 | leucine rich repeat LGI family member 4 | GTEx | DepMap | Descartes | 3.89 | 588.18 |
8 | CHL1 | 0.0110456 | cell adhesion molecule L1 like | GTEx | DepMap | Descartes | 4.51 | 275.68 |
9 | ERBB3 | 0.0107676 | erb-b2 receptor tyrosine kinase 3 | GTEx | DepMap | Descartes | 3.03 | 217.12 |
10 | SLC35F1 | 0.0103464 | solute carrier family 35 member F1 | GTEx | DepMap | Descartes | 1.88 | 143.76 |
11 | CADM4 | 0.0102695 | cell adhesion molecule 4 | GTEx | DepMap | Descartes | 1.50 | 278.50 |
12 | PTPRZ1 | 0.0102107 | protein tyrosine phosphatase receptor type Z1 | GTEx | DepMap | Descartes | 2.30 | 89.42 |
13 | RELN | 0.0099593 | reelin | GTEx | DepMap | Descartes | 3.52 | 139.16 |
14 | PRIMA1 | 0.0097736 | proline rich membrane anchor 1 | GTEx | DepMap | Descartes | 1.81 | 214.71 |
15 | L1CAM | 0.0096779 | L1 cell adhesion molecule | GTEx | DepMap | Descartes | 6.11 | 454.37 |
16 | NTM | 0.0096658 | neurotrimin | GTEx | DepMap | Descartes | 1.98 | 221.42 |
17 | DAG1 | 0.0096125 | dystroglycan 1 | GTEx | DepMap | Descartes | 3.04 | 181.45 |
18 | ITIH5 | 0.0092320 | inter-alpha-trypsin inhibitor heavy chain 5 | GTEx | DepMap | Descartes | 2.34 | 132.98 |
19 | GFRA3 | 0.0091542 | GDNF family receptor alpha 3 | GTEx | DepMap | Descartes | 2.75 | 523.39 |
20 | NRXN3 | 0.0089619 | neurexin 3 | GTEx | DepMap | Descartes | 1.96 | 89.83 |
21 | TSPAN11 | 0.0088799 | tetraspanin 11 | GTEx | DepMap | Descartes | 3.02 | 189.11 |
22 | PMEPA1 | 0.0086575 | prostate transmembrane protein, androgen induced 1 | GTEx | DepMap | Descartes | 12.05 | 809.98 |
23 | SHC4 | 0.0085556 | SHC adaptor protein 4 | GTEx | DepMap | Descartes | 1.42 | 120.15 |
24 | SOX2 | 0.0084023 | SRY-box transcription factor 2 | GTEx | DepMap | Descartes | 2.79 | 537.09 |
25 | PMP22 | 0.0083050 | peripheral myelin protein 22 | GTEx | DepMap | Descartes | 5.40 | 1258.73 |
26 | SDC3 | 0.0081992 | syndecan 3 | GTEx | DepMap | Descartes | 3.04 | 172.09 |
27 | CLIC4 | 0.0081626 | chloride intracellular channel 4 | GTEx | DepMap | Descartes | 5.75 | 534.45 |
28 | SORCS1 | 0.0081112 | sortilin related VPS10 domain containing receptor 1 | GTEx | DepMap | Descartes | 1.78 | 102.61 |
29 | SEMA3C | 0.0079518 | semaphorin 3C | GTEx | DepMap | Descartes | 3.85 | 268.64 |
30 | XKR4 | 0.0079038 | XK related 4 | GTEx | DepMap | Descartes | 1.73 | 37.21 |
31 | FSTL3 | 0.0079036 | follistatin like 3 | GTEx | DepMap | Descartes | 4.19 | 556.19 |
32 | ADAM23 | 0.0077654 | ADAM metallopeptidase domain 23 | GTEx | DepMap | Descartes | 1.05 | 71.78 |
33 | GATM | 0.0076620 | glycine amidinotransferase | GTEx | DepMap | Descartes | 1.02 | 115.17 |
34 | TFAP2A | 0.0076594 | transcription factor AP-2 alpha | GTEx | DepMap | Descartes | 1.70 | 139.29 |
35 | STARD13 | 0.0075372 | StAR related lipid transfer domain containing 13 | GTEx | DepMap | Descartes | 2.68 | 191.53 |
36 | SCN7A | 0.0073860 | sodium voltage-gated channel alpha subunit 7 | GTEx | DepMap | Descartes | 3.25 | 211.19 |
37 | AP1S2 | 0.0073779 | adaptor related protein complex 1 subunit sigma 2 | GTEx | DepMap | Descartes | 3.16 | 345.11 |
38 | PLAT | 0.0073450 | plasminogen activator, tissue type | GTEx | DepMap | Descartes | 4.63 | 463.03 |
39 | GPR155 | 0.0073072 | G protein-coupled receptor 155 | GTEx | DepMap | Descartes | 2.98 | 181.56 |
40 | GAS7 | 0.0072934 | growth arrest specific 7 | GTEx | DepMap | Descartes | 4.01 | 182.93 |
41 | ALDH1A1 | 0.0072818 | aldehyde dehydrogenase 1 family member A1 | GTEx | DepMap | Descartes | 4.70 | 877.80 |
42 | BPGM | 0.0072642 | bisphosphoglycerate mutase | GTEx | DepMap | Descartes | 2.92 | 485.39 |
43 | CTNNAL1 | 0.0072642 | catenin alpha like 1 | GTEx | DepMap | Descartes | 3.42 | 564.83 |
44 | MIA | 0.0072633 | MIA SH3 domain containing | GTEx | DepMap | Descartes | 1.24 | 840.30 |
45 | SLITRK2 | 0.0071263 | SLIT and NTRK like family member 2 | GTEx | DepMap | Descartes | 0.48 | 22.46 |
46 | DST | 0.0070727 | dystonin | GTEx | DepMap | Descartes | 8.48 | 141.75 |
47 | AHR | 0.0069935 | aryl hydrocarbon receptor | GTEx | DepMap | Descartes | 7.38 | 439.55 |
48 | ITGA6 | 0.0068815 | integrin subunit alpha 6 | GTEx | DepMap | Descartes | 3.47 | 219.22 |
49 | FIGN | 0.0068367 | fidgetin, microtubule severing factor | GTEx | DepMap | Descartes | 1.27 | 55.27 |
50 | ANXA2 | 0.0067267 | annexin A2 | GTEx | DepMap | Descartes | 14.63 | 1333.75 |
UMAP plots showing activity of gene expression program identified in community:3. Schwannian Stromal Cell
CNV Data procured from inferCNV.
Outer tracks are putative CNV regions (gains = red, losses = blue) for each patient
Inner track is expression data representing:
The top cells expressing this GEP (purple)
Random cells (n =50) from the reference set used in inferCNV (orange)
Gene set Enrichments for this program, caculated from top 50 genes
mSigDB Cell Types Gene Set:
P-value | OR | Lower 95% CI | FDR | FWER | Genes Found | Gene Set Size | |
---|---|---|---|---|---|---|---|
DURANTE_ADULT_OLFACTORY_NEUROEPITHELIUM_OLFACTORY_ENSHEATHING_GLIA | 8.17e-27 | 79.65 | 41.01 | 2.74e-24 | 5.48e-24 | 19GPM6B, PLP1, S100B, ITGB8, SEMA3B, NRXN1, LGI4, CHL1, ERBB3, SLC35F1, ITIH5, GFRA3, PMP22, CLIC4, SCN7A, AP1S2, GAS7, ALDH1A1, MIA |
115 |
DESCARTES_FETAL_STOMACH_ENS_GLIA | 2.40e-17 | 94.85 | 40.66 | 3.22e-15 | 1.61e-14 | 11PLP1, S100B, NRXN1, LGI4, CHL1, SLC35F1, PTPRZ1, PRIMA1, TSPAN11, ADAM23, TFAP2A |
48 |
DESCARTES_FETAL_ADRENAL_SCHWANN_CELLS | 1.12e-27 | 76.32 | 39.75 | 7.51e-25 | 7.51e-25 | 20GPM6B, PLP1, S100B, NRXN1, LGI4, CHL1, ERBB3, SLC35F1, PTPRZ1, PRIMA1, TSPAN11, PMEPA1, SHC4, SOX2, XKR4, ADAM23, SCN7A, ALDH1A1, MIA, SLITRK2 |
129 |
DESCARTES_MAIN_FETAL_SCHWANN_CELLS | 5.01e-17 | 87.62 | 37.84 | 5.60e-15 | 3.36e-14 | 11PLP1, S100B, CADM4, GFRA3, TSPAN11, PMP22, ADAM23, STARD13, SCN7A, PLAT, MIA |
51 |
DESCARTES_FETAL_HEART_SCHWANN_CELLS | 2.37e-19 | 80.98 | 37.41 | 3.98e-17 | 1.59e-16 | 13PLP1, S100B, LGI4, ERBB3, PRIMA1, ITIH5, GFRA3, TSPAN11, SHC4, XKR4, TFAP2A, ALDH1A1, MIA |
67 |
DESCARTES_FETAL_MUSCLE_SCHWANN_CELLS | 8.70e-25 | 70.81 | 36.21 | 1.95e-22 | 5.84e-22 | 18PLP1, S100B, ITGB8, SEMA3B, CHL1, CADM4, PTPRZ1, PRIMA1, L1CAM, GFRA3, SOX2, PMP22, SORCS1, XKR4, ADAM23, TFAP2A, SLITRK2, DST |
117 |
DESCARTES_FETAL_PANCREAS_ENS_GLIA | 6.59e-17 | 63.52 | 28.81 | 6.32e-15 | 4.42e-14 | 12PLP1, S100B, LGI4, ERBB3, PTPRZ1, PRIMA1, TSPAN11, SHC4, SOX2, ADAM23, TFAP2A, MIA |
74 |
DESCARTES_FETAL_INTESTINE_ENS_GLIA | 1.05e-12 | 55.84 | 22.64 | 8.77e-11 | 7.01e-10 | 9PLP1, S100B, LGI4, SLC35F1, PTPRZ1, PRIMA1, SHC4, SOX2, TFAP2A |
58 |
HU_FETAL_RETINA_MULLER | 1.35e-08 | 47.22 | 15.48 | 6.99e-07 | 9.08e-06 | 6GPM6B, PLP1, LGI4, PTPRZ1, PMEPA1, SOX2 |
42 |
ZHONG_PFC_MAJOR_TYPES_OPC | 2.21e-09 | 28.66 | 11.27 | 1.35e-07 | 1.48e-06 | 8GPM6B, S100B, ITGB8, SLC35F1, PTPRZ1, GATM, PLAT, SLITRK2 |
91 |
FAN_EMBRYONIC_CTX_BIG_GROUPS_GLIAL | 2.03e-09 | 22.12 | 9.25 | 1.35e-07 | 1.37e-06 | 9GPM6B, S100B, ITGB8, PTPRZ1, NTM, DAG1, SOX2, GATM, SLITRK2 |
133 |
MANNO_MIDBRAIN_NEUROTYPES_HOPC | 6.26e-11 | 13.81 | 6.82 | 4.66e-09 | 4.20e-08 | 14GPM6B, ITGB8, NRXN1, ERBB3, SLC35F1, CADM4, PTPRZ1, NTM, SOX2, PMP22, SDC3, GATM, PLAT, SLITRK2 |
366 |
ZHONG_PFC_C2_THY1_POS_OPC | 1.62e-04 | 33.18 | 6.19 | 4.72e-03 | 1.09e-01 | 3S100B, PLAT, GPR155 |
27 |
MANNO_MIDBRAIN_NEUROTYPES_HRGL2C | 2.91e-09 | 12.57 | 5.92 | 1.63e-07 | 1.95e-06 | 12GPM6B, ITGB8, NRXN1, ERBB3, PTPRZ1, RELN, SOX2, PMP22, SDC3, GATM, PLAT, SLITRK2 |
326 |
ZHONG_PFC_C9_ORG_OTHER | 1.82e-05 | 17.79 | 5.37 | 6.11e-04 | 1.22e-02 | 5GPM6B, ITGB8, PTPRZ1, NTM, GATM |
83 |
DESCARTES_MAIN_FETAL_ENS_GLIA | 2.03e-03 | 34.68 | 3.75 | 3.46e-02 | 1.00e+00 | 2AP1S2, GAS7 |
17 |
ZHONG_PFC_MAJOR_TYPES_ASTROCYTES | 3.75e-06 | 8.68 | 3.68 | 1.57e-04 | 2.52e-03 | 9GPM6B, S100B, PTPRZ1, DAG1, SOX2, PMP22, SDC3, GATM, SLITRK2 |
325 |
AIZARANI_LIVER_C33_STELLATE_CELLS_2 | 1.33e-04 | 11.47 | 3.49 | 4.05e-03 | 8.91e-02 | 5NRXN1, LGI4, PLAT, DST, FIGN |
126 |
DURANTE_ADULT_OLFACTORY_NEUROEPITHELIUM_OLFACTORY_HORIZONTAL_BASAL_CELLS | 2.54e-03 | 30.58 | 3.34 | 4.06e-02 | 1.00e+00 | 2SOX2, DST |
19 |
MANNO_MIDBRAIN_NEUROTYPES_HRGL3 | 1.16e-06 | 7.03 | 3.32 | 5.54e-05 | 7.75e-04 | 12GPM6B, ITGB8, DAG1, ITIH5, SOX2, PMP22, SORCS1, GATM, GPR155, DST, ITGA6, ANXA2 |
574 |
Dowload full table
mSigDB Hallmark Gene Sets:
P-value | OR | Lower 95% CI | FDR | FWER | Genes Found | Gene Set Size | |
---|---|---|---|---|---|---|---|
HALLMARK_EPITHELIAL_MESENCHYMAL_TRANSITION | 1.08e-03 | 7.12 | 2.18 | 5.40e-02 | 5.40e-02 | 5NTM, PMEPA1, PMP22, FSTL3, DST |
200 |
HALLMARK_KRAS_SIGNALING_UP | 7.71e-03 | 5.55 | 1.44 | 1.93e-01 | 3.85e-01 | 4SEMA3B, RELN, PLAT, BPGM |
200 |
HALLMARK_IL2_STAT5_SIGNALING | 4.30e-02 | 4.07 | 0.80 | 7.16e-01 | 1.00e+00 | 3ITIH5, AHR, ITGA6 |
199 |
HALLMARK_PEROXISOME | 6.35e-02 | 5.11 | 0.59 | 7.94e-01 | 1.00e+00 | 2SEMA3C, ALDH1A1 |
104 |
HALLMARK_UV_RESPONSE_DN | 1.10e-01 | 3.67 | 0.43 | 8.80e-01 | 1.00e+00 | 2PMP22, ANXA2 |
144 |
HALLMARK_APOPTOSIS | 1.32e-01 | 3.28 | 0.38 | 8.80e-01 | 1.00e+00 | 2ERBB3, PLAT |
161 |
HALLMARK_HYPOXIA | 1.85e-01 | 2.63 | 0.31 | 8.80e-01 | 1.00e+00 | 2SDC3, ANXA2 |
200 |
HALLMARK_APICAL_JUNCTION | 1.85e-01 | 2.63 | 0.31 | 8.80e-01 | 1.00e+00 | 2SDC3, ADAM23 |
200 |
HALLMARK_INFLAMMATORY_RESPONSE | 1.85e-01 | 2.63 | 0.31 | 8.80e-01 | 1.00e+00 | 2ITGB8, AHR |
200 |
HALLMARK_HEDGEHOG_SIGNALING | 1.34e-01 | 7.29 | 0.18 | 8.80e-01 | 1.00e+00 | 1L1CAM |
36 |
HALLMARK_TGF_BETA_SIGNALING | 1.94e-01 | 4.81 | 0.12 | 8.80e-01 | 1.00e+00 | 1PMEPA1 |
54 |
HALLMARK_CHOLESTEROL_HOMEOSTASIS | 2.55e-01 | 3.49 | 0.09 | 1.00e+00 | 1.00e+00 | 1SEMA3B |
74 |
HALLMARK_PROTEIN_SECRETION | 3.17e-01 | 2.68 | 0.07 | 1.00e+00 | 1.00e+00 | 1DST |
96 |
HALLMARK_ANDROGEN_RESPONSE | 3.28e-01 | 2.58 | 0.06 | 1.00e+00 | 1.00e+00 | 1PMEPA1 |
100 |
HALLMARK_BILE_ACID_METABOLISM | 3.59e-01 | 2.30 | 0.06 | 1.00e+00 | 1.00e+00 | 1ALDH1A1 |
112 |
HALLMARK_COAGULATION | 4.22e-01 | 1.86 | 0.05 | 1.00e+00 | 1.00e+00 | 1PLAT |
138 |
HALLMARK_FATTY_ACID_METABOLISM | 4.66e-01 | 1.62 | 0.04 | 1.00e+00 | 1.00e+00 | 1ALDH1A1 |
158 |
HALLMARK_MITOTIC_SPINDLE | 5.45e-01 | 1.29 | 0.03 | 1.00e+00 | 1.00e+00 | 1DST |
199 |
HALLMARK_TNFA_SIGNALING_VIA_NFKB | 5.47e-01 | 1.28 | 0.03 | 1.00e+00 | 1.00e+00 | 1PMEPA1 |
200 |
HALLMARK_ADIPOGENESIS | 5.47e-01 | 1.28 | 0.03 | 1.00e+00 | 1.00e+00 | 1ITIH5 |
200 |
Dowload full table
KEGG Pathways:
P-value | OR | Lower 95% CI | FDR | FWER | Genes Found | Gene Set Size | |
---|---|---|---|---|---|---|---|
KEGG_ECM_RECEPTOR_INTERACTION | 1.93e-05 | 17.57 | 5.30 | 1.80e-03 | 3.59e-03 | 5ITGB8, RELN, DAG1, SDC3, ITGA6 |
84 |
KEGG_CELL_ADHESION_MOLECULES_CAMS | 1.29e-05 | 13.41 | 4.59 | 1.80e-03 | 2.40e-03 | 6ITGB8, NRXN1, L1CAM, NRXN3, SDC3, ITGA6 |
133 |
KEGG_ARRHYTHMOGENIC_RIGHT_VENTRICULAR_CARDIOMYOPATHY_ARVC | 3.11e-03 | 11.23 | 2.19 | 1.93e-01 | 5.79e-01 | 3ITGB8, DAG1, ITGA6 |
74 |
KEGG_HYPERTROPHIC_CARDIOMYOPATHY_HCM | 4.29e-03 | 9.97 | 1.94 | 2.00e-01 | 7.98e-01 | 3ITGB8, DAG1, ITGA6 |
83 |
KEGG_DILATED_CARDIOMYOPATHY | 5.37e-03 | 9.17 | 1.79 | 2.00e-01 | 1.00e+00 | 3ITGB8, DAG1, ITGA6 |
90 |
KEGG_FOCAL_ADHESION | 7.58e-03 | 5.57 | 1.44 | 2.35e-01 | 1.00e+00 | 4ITGB8, RELN, SHC4, ITGA6 |
199 |
KEGG_AXON_GUIDANCE | 1.42e-02 | 6.33 | 1.24 | 3.79e-01 | 1.00e+00 | 3SEMA3B, L1CAM, SEMA3C |
129 |
KEGG_ERBB_SIGNALING_PATHWAY | 4.64e-02 | 6.13 | 0.71 | 1.00e+00 | 1.00e+00 | 2ERBB3, SHC4 |
87 |
KEGG_REGULATION_OF_ACTIN_CYTOSKELETON | 2.03e-01 | 2.47 | 0.29 | 1.00e+00 | 1.00e+00 | 2ITGB8, ITGA6 |
213 |
KEGG_GLYCINE_SERINE_AND_THREONINE_METABOLISM | 1.16e-01 | 8.50 | 0.20 | 1.00e+00 | 1.00e+00 | 1GATM |
31 |
KEGG_ARGININE_AND_PROLINE_METABOLISM | 1.94e-01 | 4.81 | 0.12 | 1.00e+00 | 1.00e+00 | 1GATM |
54 |
KEGG_GLYCOLYSIS_GLUCONEOGENESIS | 2.19e-01 | 4.18 | 0.10 | 1.00e+00 | 1.00e+00 | 1BPGM |
62 |
KEGG_RETINOL_METABOLISM | 2.25e-01 | 4.05 | 0.10 | 1.00e+00 | 1.00e+00 | 1ALDH1A1 |
64 |
KEGG_GLIOMA | 2.28e-01 | 3.99 | 0.10 | 1.00e+00 | 1.00e+00 | 1SHC4 |
65 |
KEGG_EPITHELIAL_CELL_SIGNALING_IN_HELICOBACTER_PYLORI_INFECTION | 2.37e-01 | 3.81 | 0.09 | 1.00e+00 | 1.00e+00 | 1PTPRZ1 |
68 |
KEGG_COMPLEMENT_AND_COAGULATION_CASCADES | 2.40e-01 | 3.75 | 0.09 | 1.00e+00 | 1.00e+00 | 1PLAT |
69 |
KEGG_VIRAL_MYOCARDITIS | 2.43e-01 | 3.70 | 0.09 | 1.00e+00 | 1.00e+00 | 1DAG1 |
70 |
KEGG_CHRONIC_MYELOID_LEUKEMIA | 2.52e-01 | 3.54 | 0.09 | 1.00e+00 | 1.00e+00 | 1SHC4 |
73 |
KEGG_SMALL_CELL_LUNG_CANCER | 2.84e-01 | 3.07 | 0.08 | 1.00e+00 | 1.00e+00 | 1ITGA6 |
84 |
KEGG_HEMATOPOIETIC_CELL_LINEAGE | 2.93e-01 | 2.97 | 0.07 | 1.00e+00 | 1.00e+00 | 1ITGA6 |
87 |
Dowload full table
CHR Positional Gene Sets:
P-value | OR | Lower 95% CI | FDR | FWER | Genes Found | Gene Set Size | |
---|---|---|---|---|---|---|---|
chr7p21 | 4.26e-02 | 6.43 | 0.74 | 1.00e+00 | 1.00e+00 | 2ITGB8, AHR |
83 |
chr2q24 | 8.71e-02 | 4.23 | 0.49 | 1.00e+00 | 1.00e+00 | 2SCN7A, FIGN |
125 |
chr15q21 | 1.40e-01 | 3.16 | 0.37 | 1.00e+00 | 1.00e+00 | 2SHC4, GATM |
167 |
chr2q31 | 1.40e-01 | 3.16 | 0.37 | 1.00e+00 | 1.00e+00 | 2GPR155, ITGA6 |
167 |
chrXp22 | 2.31e-01 | 2.25 | 0.26 | 1.00e+00 | 1.00e+00 | 2GPM6B, AP1S2 |
233 |
chr11q25 | 1.16e-01 | 8.50 | 0.20 | 1.00e+00 | 1.00e+00 | 1NTM |
31 |
chr3p21 | 3.32e-01 | 1.72 | 0.20 | 1.00e+00 | 1.00e+00 | 2SEMA3B, DAG1 |
304 |
chr3p26 | 1.61e-01 | 5.93 | 0.14 | 1.00e+00 | 1.00e+00 | 1CHL1 |
44 |
chr19q13 | 7.98e-01 | 0.69 | 0.14 | 1.00e+00 | 1.00e+00 | 3LGI4, CADM4, MIA |
1165 |
chr10p14 | 1.71e-01 | 5.54 | 0.13 | 1.00e+00 | 1.00e+00 | 1ITIH5 |
47 |
chr7q33 | 1.87e-01 | 5.00 | 0.12 | 1.00e+00 | 1.00e+00 | 1BPGM |
52 |
chr6p24 | 2.03e-01 | 4.55 | 0.11 | 1.00e+00 | 1.00e+00 | 1TFAP2A |
57 |
chr17p12 | 2.22e-01 | 4.11 | 0.10 | 1.00e+00 | 1.00e+00 | 1PMP22 |
63 |
chr12p11 | 2.64e-01 | 3.36 | 0.08 | 1.00e+00 | 1.00e+00 | 1TSPAN11 |
77 |
chr13q13 | 2.67e-01 | 3.31 | 0.08 | 1.00e+00 | 1.00e+00 | 1STARD13 |
78 |
chr8q12 | 2.95e-01 | 2.93 | 0.07 | 1.00e+00 | 1.00e+00 | 1XKR4 |
88 |
chrXq27 | 2.98e-01 | 2.90 | 0.07 | 1.00e+00 | 1.00e+00 | 1SLITRK2 |
89 |
chr8p11 | 3.15e-01 | 2.71 | 0.07 | 1.00e+00 | 1.00e+00 | 1PLAT |
95 |
chr2p16 | 3.64e-01 | 2.26 | 0.06 | 1.00e+00 | 1.00e+00 | 1NRXN1 |
114 |
chr6q22 | 3.77e-01 | 2.16 | 0.05 | 1.00e+00 | 1.00e+00 | 1SLC35F1 |
119 |
Dowload full table
Transcription Factor Targets:
P-value | OR | Lower 95% CI | FDR | FWER | Genes Found | Gene Set Size | |
---|---|---|---|---|---|---|---|
GATA_Q6 | 1.27e-04 | 8.74 | 3.01 | 1.44e-01 | 1.44e-01 | 6GFRA3, NRXN3, GATM, GPR155, BPGM, SLITRK2 |
201 |
AREB6_03 | 5.27e-04 | 6.63 | 2.29 | 2.51e-01 | 5.97e-01 | 6ERBB3, STARD13, AP1S2, DST, AHR, ITGA6 |
263 |
TGATTTRY_GFI1_01 | 9.64e-04 | 5.88 | 2.03 | 2.51e-01 | 1.00e+00 | 6ITGB8, NRXN1, GFRA3, NRXN3, SEMA3C, ANXA2 |
296 |
GATAAGR_GATA_C | 1.01e-03 | 5.82 | 2.01 | 2.51e-01 | 1.00e+00 | 6GFRA3, NRXN3, GATM, GPR155, BPGM, FIGN |
299 |
FOXJ2_02 | 2.51e-03 | 5.84 | 1.79 | 3.55e-01 | 1.00e+00 | 5GPM6B, NRXN1, SOX2, ADAM23, SLITRK2 |
243 |
ZIC1_01 | 3.67e-03 | 5.32 | 1.64 | 3.57e-01 | 1.00e+00 | 5SEMA3B, ERBB3, PMP22, FSTL3, AP1S2 |
266 |
GATA6_01 | 3.79e-03 | 5.28 | 1.62 | 3.57e-01 | 1.00e+00 | 5GFRA3, GATM, GPR155, BPGM, SLITRK2 |
268 |
YNGTTNNNATT_UNKNOWN | 3.14e-03 | 4.61 | 1.59 | 3.57e-01 | 1.00e+00 | 6CHL1, NRXN3, SOX2, STARD13, AP1S2, FIGN |
376 |
FOXD3_01 | 7.97e-03 | 5.49 | 1.42 | 4.86e-01 | 1.00e+00 | 4PRIMA1, NRXN3, STARD13, SLITRK2 |
202 |
CAGCTG_AP4_Q5 | 2.11e-03 | 2.90 | 1.41 | 3.41e-01 | 1.00e+00 | 13GPM6B, PLP1, ITGB8, LGI4, ERBB3, L1CAM, SOX2, PMP22, STARD13, AP1S2, GAS7, ALDH1A1, ITGA6 |
1530 |
MEIS1AHOXA9_01 | 1.20e-02 | 6.76 | 1.33 | 4.86e-01 | 1.00e+00 | 3GATM, TFAP2A, FIGN |
121 |
MYOGNF1_01 | 1.55e-02 | 11.31 | 1.29 | 4.86e-01 | 1.00e+00 | 2ITGB8, TFAP2A |
48 |
E4BP4_01 | 1.11e-02 | 4.96 | 1.29 | 4.86e-01 | 1.00e+00 | 4PMEPA1, STARD13, AP1S2, ALDH1A1 |
223 |
LHX3_01 | 1.27e-02 | 4.77 | 1.24 | 4.86e-01 | 1.00e+00 | 4SEMA3C, TFAP2A, ALDH1A1, FIGN |
232 |
PR_02 | 1.61e-02 | 6.04 | 1.19 | 4.86e-01 | 1.00e+00 | 3DST, ITGA6, FIGN |
135 |
PTF1BETA_Q6 | 1.54e-02 | 4.49 | 1.17 | 4.86e-01 | 1.00e+00 | 4ERBB3, PMP22, TFAP2A, STARD13 |
246 |
SP1_Q2_01 | 1.62e-02 | 4.42 | 1.15 | 4.86e-01 | 1.00e+00 | 4ERBB3, SOX2, STARD13, GAS7 |
250 |
ZIC3_01 | 1.73e-02 | 4.33 | 1.12 | 4.86e-01 | 1.00e+00 | 4SEMA3B, NRXN1, ERBB3, FSTL3 |
255 |
TFIIA_Q6 | 1.75e-02 | 4.31 | 1.12 | 4.86e-01 | 1.00e+00 | 4PLP1, NRXN1, PMEPA1, SOX2 |
256 |
AACTTT_UNKNOWN | 1.87e-02 | 2.30 | 1.12 | 4.86e-01 | 1.00e+00 | 13PLP1, NRXN1, RELN, PRIMA1, PMEPA1, SOX2, CLIC4, ADAM23, TFAP2A, STARD13, AP1S2, ALDH1A1, SLITRK2 |
1928 |
Dowload full table
GO Biological Processes:
P-value | OR | Lower 95% CI | FDR | FWER | Genes Found | Gene Set Size | |
---|---|---|---|---|---|---|---|
GOBP_POSITIVE_REGULATION_OF_SYNAPSE_MATURATION | 5.49e-04 | 74.10 | 7.33 | 1.96e-01 | 1.00e+00 | 2NRXN1, RELN |
9 |
GOBP_PERIPHERAL_NERVOUS_SYSTEM_DEVELOPMENT | 1.04e-05 | 20.11 | 6.05 | 6.95e-03 | 7.79e-02 | 5LGI4, ERBB3, DAG1, GFRA3, PMP22 |
74 |
GOBP_HEMIDESMOSOME_ASSEMBLY | 9.99e-04 | 51.89 | 5.39 | 2.77e-01 | 1.00e+00 | 2DST, ITGA6 |
12 |
GOBP_REGULATION_OF_SYNAPSE_MATURATION | 1.37e-03 | 43.30 | 4.59 | 3.66e-01 | 1.00e+00 | 2NRXN1, RELN |
14 |
GOBP_SCHWANN_CELL_DIFFERENTIATION | 3.84e-04 | 24.16 | 4.58 | 1.51e-01 | 1.00e+00 | 3LGI4, ERBB3, DAG1 |
36 |
GOBP_NEURON_PROJECTION_GUIDANCE | 1.07e-06 | 10.20 | 4.31 | 1.33e-03 | 7.98e-03 | 9SEMA3B, NRXN1, CHL1, RELN, L1CAM, DAG1, GFRA3, NRXN3, SEMA3C |
278 |
GOBP_REGULATION_OF_MYELINATION | 6.07e-04 | 20.43 | 3.90 | 2.01e-01 | 1.00e+00 | 3LGI4, PTPRZ1, DAG1 |
42 |
GOBP_AXON_DEVELOPMENT | 3.26e-07 | 7.98 | 3.77 | 6.10e-04 | 2.44e-03 | 12PLP1, S100B, SEMA3B, NRXN1, CHL1, RELN, L1CAM, DAG1, GFRA3, NRXN3, SEMA3C, SLITRK2 |
507 |
GOBP_GLIAL_CELL_DIFFERENTIATION | 1.62e-05 | 10.02 | 3.76 | 9.34e-03 | 1.21e-01 | 7PLP1, LGI4, ERBB3, PTPRZ1, RELN, DAG1, SOX2 |
210 |
GOBP_NEURON_CELL_CELL_ADHESION | 2.03e-03 | 34.68 | 3.75 | 5.24e-01 | 1.00e+00 | 2NRXN1, NRXN3 |
17 |
GOBP_ENSHEATHMENT_OF_NEURONS | 1.33e-04 | 11.47 | 3.49 | 5.52e-02 | 9.93e-01 | 5PLP1, LGI4, PTPRZ1, DAG1, PMP22 |
126 |
GOBP_BRANCHING_INVOLVED_IN_SALIVARY_GLAND_MORPHOGENESIS | 2.81e-03 | 28.89 | 3.17 | 6.38e-01 | 1.00e+00 | 2DAG1, SEMA3C |
20 |
GOBP_VOCALIZATION_BEHAVIOR | 2.81e-03 | 28.89 | 3.17 | 6.38e-01 | 1.00e+00 | 2NRXN1, NRXN3 |
20 |
GOBP_NEURON_DEVELOPMENT | 1.92e-07 | 5.90 | 3.07 | 6.10e-04 | 1.44e-03 | 17GPM6B, PLP1, S100B, SEMA3B, NRXN1, LGI4, CHL1, RELN, L1CAM, NTM, DAG1, GFRA3, NRXN3, SEMA3C, GAS7, SLITRK2, ITGA6 |
1109 |
GOBP_POSITIVE_REGULATION_OF_OLIGODENDROCYTE_DIFFERENTIATION | 3.40e-03 | 26.01 | 2.87 | 7.28e-01 | 1.00e+00 | 2PTPRZ1, DAG1 |
22 |
GOBP_CELL_MORPHOGENESIS_INVOLVED_IN_NEURON_DIFFERENTIATION | 8.69e-06 | 6.21 | 2.85 | 6.50e-03 | 6.50e-02 | 11S100B, SEMA3B, NRXN1, CHL1, RELN, L1CAM, DAG1, GFRA3, NRXN3, SEMA3C, SLITRK2 |
579 |
GOBP_CELLULAR_COMPONENT_MORPHOGENESIS | 3.33e-06 | 5.84 | 2.83 | 3.13e-03 | 2.49e-02 | 13S100B, SEMA3B, NRXN1, CHL1, RELN, L1CAM, DAG1, GFRA3, NRXN3, PMP22, SEMA3C, GAS7, SLITRK2 |
766 |
GOBP_REGULATION_OF_NERVOUS_SYSTEM_DEVELOPMENT | 2.87e-05 | 6.65 | 2.82 | 1.54e-02 | 2.15e-01 | 9SEMA3B, NRXN1, LGI4, PTPRZ1, RELN, L1CAM, DAG1, SEMA3C, SLITRK2 |
422 |
GOBP_NEUROGENESIS | 1.93e-07 | 5.24 | 2.81 | 6.10e-04 | 1.44e-03 | 20GPM6B, PLP1, S100B, SEMA3B, NRXN1, LGI4, CHL1, ERBB3, PTPRZ1, RELN, L1CAM, NTM, DAG1, GFRA3, NRXN3, SOX2, SEMA3C, GAS7, SLITRK2, ITGA6 |
1613 |
GOBP_CELL_PART_MORPHOGENESIS | 6.09e-06 | 5.92 | 2.80 | 5.06e-03 | 4.56e-02 | 12S100B, SEMA3B, NRXN1, CHL1, RELN, L1CAM, DAG1, GFRA3, NRXN3, SEMA3C, GAS7, SLITRK2 |
679 |
Dowload full table
Immunological Gene Sets:
P-value | OR | Lower 95% CI | FDR | FWER | Genes Found | Gene Set Size | |
---|---|---|---|---|---|---|---|
GSE25123_WT_VS_PPARG_KO_MACROPHAGE_IL4_STIM_DN | 1.24e-04 | 8.78 | 3.02 | 6.03e-01 | 6.03e-01 | 6GPM6B, ITGB8, ERBB3, ITIH5, AHR, ANXA2 |
200 |
GSE21063_CTRL_VS_ANTI_IGM_STIM_BCELL_8H_UP | 3.25e-04 | 9.38 | 2.87 | 7.51e-01 | 1.00e+00 | 5CHL1, ITIH5, CLIC4, SORCS1, AP1S2 |
153 |
GSE15659_TREG_VS_TCONV_UP | 9.23e-04 | 7.39 | 2.26 | 7.51e-01 | 1.00e+00 | 5PTPRZ1, NTM, SDC3, CLIC4, SCN7A |
193 |
GSE43863_DAY6_EFF_VS_DAY150_MEM_TFH_CD4_TCELL_UP | 1.06e-03 | 7.16 | 2.19 | 7.51e-01 | 1.00e+00 | 5PMEPA1, PMP22, SDC3, ALDH1A1, AHR |
199 |
GSE9650_NAIVE_VS_EXHAUSTED_CD8_TCELL_DN | 1.08e-03 | 7.12 | 2.18 | 7.51e-01 | 1.00e+00 | 5GPM6B, CHL1, RELN, CLIC4, SCN7A |
200 |
GSE23502_BM_VS_COLON_TUMOR_MYELOID_DERIVED_SUPPRESSOR_CELL_UP | 1.08e-03 | 7.12 | 2.18 | 7.51e-01 | 1.00e+00 | 5SEMA3B, PMEPA1, GAS7, AHR, ITGA6 |
200 |
GSE36826_NORMAL_VS_STAPH_AUREUS_INF_SKIN_DN | 1.08e-03 | 7.12 | 2.18 | 7.51e-01 | 1.00e+00 | 5DAG1, SDC3, GATM, STARD13, GAS7 |
200 |
GSE27896_HDAC6_KO_VS_WT_TREG_DN | 3.96e-03 | 6.75 | 1.74 | 1.00e+00 | 1.00e+00 | 4CHL1, ITIH5, CLIC4, ANXA2 |
165 |
GSE27241_WT_CTRL_VS_DIGOXIN_TREATED_RORGT_KO_CD4_TCELL_IN_TH17_POLARIZING_CONDITIONS_UP | 4.58e-03 | 6.47 | 1.67 | 1.00e+00 | 1.00e+00 | 4CHL1, SHC4, AP1S2, GPR155 |
172 |
GSE13522_WT_VS_IFNAR_KO_SKIN_DN | 5.06e-03 | 6.28 | 1.62 | 1.00e+00 | 1.00e+00 | 4ERBB3, GATM, DST, AHR |
177 |
GSE11864_CSF1_VS_CSF1_PAM3CYS_IN_MAC_DN | 6.83e-03 | 5.75 | 1.49 | 1.00e+00 | 1.00e+00 | 4SEMA3C, TFAP2A, PLAT, FIGN |
193 |
GSE29949_CD8_NEG_DC_SPLEEN_VS_DC_BRAIN_UP | 6.83e-03 | 5.75 | 1.49 | 1.00e+00 | 1.00e+00 | 4PLP1, S100B, L1CAM, SCN7A |
193 |
GSE37301_COMMON_LYMPHOID_PROGENITOR_VS_GRAN_MONO_PROGENITOR_DN | 7.20e-03 | 5.66 | 1.47 | 1.00e+00 | 1.00e+00 | 4L1CAM, ITIH5, GFRA3, ITGA6 |
196 |
GSE9509_LPS_VS_LPS_AND_IL10_STIM_IL10_KO_MACROPHAGE_20MIN_DN | 7.32e-03 | 5.63 | 1.46 | 1.00e+00 | 1.00e+00 | 4S100B, AP1S2, CTNNAL1, ANXA2 |
197 |
GSE13738_TCR_VS_BYSTANDER_ACTIVATED_CD4_TCELL_DN | 7.45e-03 | 5.60 | 1.45 | 1.00e+00 | 1.00e+00 | 4DAG1, AP1S2, AHR, ITGA6 |
198 |
GSE22886_TCELL_VS_BCELL_NAIVE_DN | 7.45e-03 | 5.60 | 1.45 | 1.00e+00 | 1.00e+00 | 4CHL1, SEMA3C, GATM, CTNNAL1 |
198 |
GSE27786_BCELL_VS_CD8_TCELL_DN | 7.45e-03 | 5.60 | 1.45 | 1.00e+00 | 1.00e+00 | 4SEMA3B, GFRA3, SHC4, ANXA2 |
198 |
GSE29618_BCELL_VS_PDC_DAY7_FLU_VACCINE_DN | 7.45e-03 | 5.60 | 1.45 | 1.00e+00 | 1.00e+00 | 4GPM6B, PMP22, SEMA3C, DST |
198 |
GSE2405_0H_VS_3H_A_PHAGOCYTOPHILUM_STIM_NEUTROPHIL_DN | 7.45e-03 | 5.60 | 1.45 | 1.00e+00 | 1.00e+00 | 4DAG1, GFRA3, CLIC4, FSTL3 |
198 |
GSE19198_6H_VS_24H_IL21_TREATED_TCELL_DN | 7.45e-03 | 5.60 | 1.45 | 1.00e+00 | 1.00e+00 | 4PMP22, SDC3, GATM, STARD13 |
198 |
Top Ranked Transcription Factors for this Gene Expression Program:
Gene Symbol | TF Rank | DNA Binding Domain | Motif Status | IUPAC PWM | GTEx | DepMap | Decartes |
---|---|---|---|---|---|---|---|
RELN | 13 | No | Unlikely to be sequence specific TF | Not a DNA binding protein | No motif | None | Protein is a large secreted extracellular matrix protein |
SOX2 | 24 | Yes | Known motif | Monomer or homomultimer | High-throughput in vitro | None | None |
TFAP2A | 34 | Yes | Known motif | Monomer or homomultimer | High-throughput in vitro | None | None |
GPR155 | 39 | No | Unlikely to be sequence specific TF | Not a DNA binding protein | No motif | None | None |
GAS7 | 40 | No | Unlikely to be sequence specific TF | Not a DNA binding protein | No motif | None | (PMID: 9736752) only shows that it has a proline-rich domain similar to the one in Oct2. No evidence of DNA binding. |
AHR | 47 | Yes | Known motif | Monomer or homomultimer | In vivo/Misc source | Only known motifs are from Transfac or HocoMoco - origin is uncertain | None |
DLX2 | 109 | Yes | Known motif | Monomer or homomultimer | High-throughput in vitro | None | None |
CLU | 137 | No | Unlikely to be sequence specific TF | Not a DNA binding protein | No motif | None | Included only because GO says positive regulation of NF-kappaB transcription factor activity, but there is no DBD and no evidence of DNA binding. |
CREB5 | 142 | Yes | Known motif | Monomer or homomultimer | High-throughput in vitro | None | None |
MBNL2 | 145 | Yes | Likely to be sequence specific TF | Monomer or homomultimer | High-throughput in vitro | None | Has methylated and unmethylated HT-SELEX motifs, despite this family largely binding RNA exclusively (PMID: 28473536 ) |
PLEKHA4 | 154 | No | Unlikely to be sequence specific TF | Not a DNA binding protein | No motif | Has a putative AT-hook | No DBDs; no indication of DNA binding - included only because Vasquerizas 2009 included it with an x. |
IL1RAP | 171 | No | Unlikely to be sequence specific TF | Not a DNA binding protein | No motif | None | None |
SERTAD2 | 185 | No | Unlikely to be sequence specific TF | Not a DNA binding protein | No motif | None | Transcriptional cofactor that associates with E2F/TFDP heterodimers (PMID: 19152710). Does not contain any DBDs |
TEAD1 | 191 | Yes | Known motif | Monomer or homomultimer | High-throughput in vitro | None | None |
GULP1 | 196 | No | Unlikely to be sequence specific TF | Not a DNA binding protein | No motif | None | Based on the alignments, the protein is only weakly related to the other bZIP proteins and lacks the basic region required for DNA binding |
RXRG | 199 | Yes | Known motif | Monomer or homomultimer | High-throughput in vitro | None | Usually binds in vivo as a heterodimer, but can bind as a homodimer in vitro |
SOX4 | 214 | Yes | Known motif | Monomer or homomultimer | High-throughput in vitro | None | Also binds ssDNA loops. |
RCAN1 | 225 | No | Unlikely to be sequence specific TF | Not a DNA binding protein | No motif | None | SH3 domain protein that interacts with calcineurin. GO annotation and abstract in (PMID: 8595418) appear erroneous - mentions a binding domain in the abstract, but no evidence is provided in the paper. |
TFAP2C | 235 | Yes | Known motif | Monomer or homomultimer | High-throughput in vitro | None | None |
PTTG1 | 244 | No | Unlikely to be sequence specific TF | Not a DNA binding protein | No motif | None | GO annotation has no evidence for DNA-binding activity (PMID:9811450), only transcriptional activation in reporter experiments |
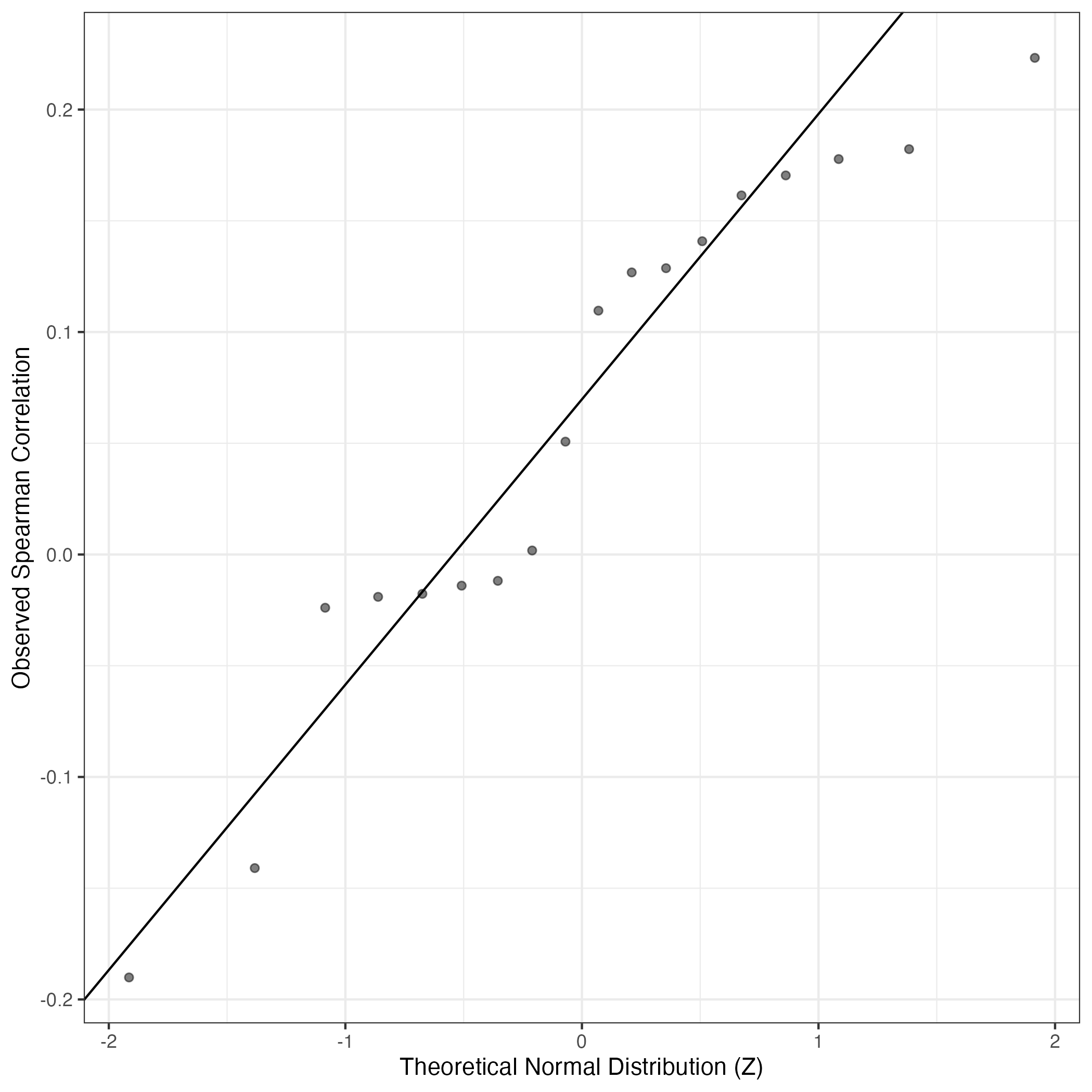
QQ Plot showing correlations with other GEPs in this dataset, calculated by Spearman correlation:
Interactive QQ-plot of gene loadings:
A similar QQ-plot as above, but only for instances where the H value is e.g. > 25, i.e. we are confident that the expression program is active above noise. Agreemenet between these binary vectors is tested using the Jaccard Index, with the P-values calculated by an exact test:
Interactive QQ-plot:
Singler cell type annotations for the top 50 cells on this program.
Cell ID | Singler label | Singler Delta | Activity Score | Top Singler Raw Scores |
---|---|---|---|---|
WK067-N21 | Neurons:Schwann_cell | 0.23 | 717.84 | Raw ScoresNeurons:Schwann_cell: 0.54, Fibroblasts:breast: 0.52, Smooth_muscle_cells:bronchial: 0.52, iPS_cells:CRL2097_foreskin: 0.52, Tissue_stem_cells:BM_MSC:BMP2: 0.52, iPS_cells:adipose_stem_cells: 0.52, Osteoblasts: 0.52, Tissue_stem_cells:BM_MSC:TGFb3: 0.51, Smooth_muscle_cells:bronchial:vit_D: 0.51, Osteoblasts:BMP2: 0.51 |
WK068-B4 | Neurons:Schwann_cell | 0.20 | 678.74 | Raw ScoresNeurons:Schwann_cell: 0.47, Fibroblasts:breast: 0.4, Smooth_muscle_cells:vascular:IL-17: 0.39, Osteoblasts:BMP2: 0.39, Tissue_stem_cells:BM_MSC:TGFb3: 0.39, Smooth_muscle_cells:vascular: 0.39, Tissue_stem_cells:BM_MSC:BMP2: 0.39, iPS_cells:adipose_stem_cells: 0.39, Osteoblasts: 0.39, iPS_cells:CRL2097_foreskin: 0.39 |
WK059-N21 | Neurons:Schwann_cell | 0.23 | 658.74 | Raw ScoresNeurons:Schwann_cell: 0.5, Fibroblasts:breast: 0.41, iPS_cells:CRL2097_foreskin: 0.4, Smooth_muscle_cells:bronchial: 0.4, Tissue_stem_cells:BM_MSC:TGFb3: 0.4, Smooth_muscle_cells:vascular:IL-17: 0.4, Tissue_stem_cells:BM_MSC:BMP2: 0.4, iPS_cells:adipose_stem_cells: 0.4, Smooth_muscle_cells:vascular: 0.4, Osteoblasts:BMP2: 0.4 |
WK098-D15 | Neurons:Schwann_cell | 0.23 | 639.47 | Raw ScoresNeurons:Schwann_cell: 0.51, Fibroblasts:breast: 0.44, iPS_cells:CRL2097_foreskin: 0.43, Smooth_muscle_cells:bronchial: 0.43, iPS_cells:adipose_stem_cells: 0.43, Osteoblasts:BMP2: 0.43, Smooth_muscle_cells:vascular:IL-17: 0.43, Smooth_muscle_cells:vascular: 0.43, Smooth_muscle_cells:bronchial:vit_D: 0.43, Osteoblasts: 0.42 |
WK059-P4 | Neurons:Schwann_cell | 0.24 | 563.10 | Raw ScoresNeurons:Schwann_cell: 0.49, Fibroblasts:breast: 0.41, iPS_cells:CRL2097_foreskin: 0.41, Smooth_muscle_cells:bronchial: 0.4, iPS_cells:foreskin_fibrobasts: 0.4, Osteoblasts:BMP2: 0.4, iPS_cells:adipose_stem_cells: 0.4, Fibroblasts:foreskin: 0.4, Osteoblasts: 0.4, Smooth_muscle_cells:vascular:IL-17: 0.39 |
WK096-P4 | Neurons:Schwann_cell | 0.20 | 558.65 | Raw ScoresNeurons:Schwann_cell: 0.47, Fibroblasts:breast: 0.39, Tissue_stem_cells:BM_MSC:BMP2: 0.38, iPS_cells:CRL2097_foreskin: 0.38, Tissue_stem_cells:BM_MSC:TGFb3: 0.38, Osteoblasts:BMP2: 0.38, iPS_cells:adipose_stem_cells: 0.38, Osteoblasts: 0.38, Tissue_stem_cells:iliac_MSC: 0.38, Smooth_muscle_cells:vascular: 0.38 |
WMK001-L18 | Neurons:Schwann_cell | 0.24 | 496.15 | Raw ScoresNeurons:Schwann_cell: 0.52, iPS_cells:CRL2097_foreskin: 0.41, Smooth_muscle_cells:bronchial: 0.41, Tissue_stem_cells:BM_MSC:BMP2: 0.41, Smooth_muscle_cells:bronchial:vit_D: 0.41, Fibroblasts:breast: 0.41, Tissue_stem_cells:BM_MSC:TGFb3: 0.4, MSC: 0.4, Osteoblasts: 0.4, iPS_cells:foreskin_fibrobasts: 0.4 |
WK067-E4 | Neurons:Schwann_cell | 0.21 | 495.11 | Raw ScoresNeurons:Schwann_cell: 0.49, Smooth_muscle_cells:vascular:IL-17: 0.4, Fibroblasts:breast: 0.4, Tissue_stem_cells:BM_MSC:TGFb3: 0.4, Tissue_stem_cells:BM_MSC:BMP2: 0.4, Smooth_muscle_cells:vascular: 0.4, iPS_cells:CRL2097_foreskin: 0.39, iPS_cells:adipose_stem_cells: 0.39, MSC: 0.39, Smooth_muscle_cells:bronchial: 0.39 |
WK016-J2 | Neurons:Schwann_cell | 0.23 | 473.85 | Raw ScoresNeurons:Schwann_cell: 0.54, iPS_cells:CRL2097_foreskin: 0.46, iPS_cells:adipose_stem_cells: 0.46, MSC: 0.46, Tissue_stem_cells:BM_MSC:BMP2: 0.46, Smooth_muscle_cells:vascular:IL-17: 0.46, Osteoblasts:BMP2: 0.46, Smooth_muscle_cells:vascular: 0.46, Fibroblasts:breast: 0.46, Osteoblasts: 0.46 |
WK059-J2 | Neurons:Schwann_cell | 0.21 | 460.12 | Raw ScoresNeurons:Schwann_cell: 0.46, iPS_cells:CRL2097_foreskin: 0.38, Fibroblasts:breast: 0.38, Tissue_stem_cells:BM_MSC:TGFb3: 0.38, Tissue_stem_cells:BM_MSC:BMP2: 0.38, Smooth_muscle_cells:bronchial: 0.38, Osteoblasts: 0.38, Osteoblasts:BMP2: 0.38, Smooth_muscle_cells:vascular:IL-17: 0.37, Smooth_muscle_cells:bronchial:vit_D: 0.37 |
WK059-F20 | Neurons:Schwann_cell | 0.21 | 443.44 | Raw ScoresNeurons:Schwann_cell: 0.45, iPS_cells:CRL2097_foreskin: 0.38, Smooth_muscle_cells:bronchial: 0.38, Tissue_stem_cells:BM_MSC:BMP2: 0.38, Tissue_stem_cells:BM_MSC:TGFb3: 0.38, Fibroblasts:breast: 0.37, Smooth_muscle_cells:bronchial:vit_D: 0.37, Osteoblasts: 0.37, Osteoblasts:BMP2: 0.37, iPS_cells:adipose_stem_cells: 0.37 |
WMK005-I6 | Neurons:Schwann_cell | 0.16 | 433.59 | Raw ScoresNeurons:Schwann_cell: 0.45, Tissue_stem_cells:BM_MSC:TGFb3: 0.42, Tissue_stem_cells:BM_MSC:BMP2: 0.42, iPS_cells:adipose_stem_cells: 0.41, Fibroblasts:breast: 0.41, Osteoblasts: 0.41, Chondrocytes:MSC-derived: 0.41, Smooth_muscle_cells:vascular:IL-17: 0.41, Smooth_muscle_cells:vascular: 0.4, iPS_cells:CRL2097_foreskin: 0.4 |
WK068-C21 | Neurons:Schwann_cell | 0.20 | 426.63 | Raw ScoresNeurons:Schwann_cell: 0.45, Fibroblasts:breast: 0.36, Smooth_muscle_cells:vascular:IL-17: 0.36, Tissue_stem_cells:BM_MSC:TGFb3: 0.36, Tissue_stem_cells:BM_MSC:BMP2: 0.36, Osteoblasts:BMP2: 0.35, iPS_cells:CRL2097_foreskin: 0.35, Smooth_muscle_cells:vascular: 0.35, Chondrocytes:MSC-derived: 0.35, iPS_cells:adipose_stem_cells: 0.35 |
WK016-J7 | Neurons:Schwann_cell | 0.24 | 426.39 | Raw ScoresNeurons:Schwann_cell: 0.56, MSC: 0.48, iPS_cells:CRL2097_foreskin: 0.47, Tissue_stem_cells:BM_MSC: 0.46, Smooth_muscle_cells:vascular:IL-17: 0.46, Fibroblasts:foreskin: 0.46, iPS_cells:foreskin_fibrobasts: 0.46, Fibroblasts:breast: 0.46, iPS_cells:adipose_stem_cells: 0.46, Osteoblasts:BMP2: 0.46 |
WK020-J11 | Neurons:Schwann_cell | 0.21 | 411.41 | Raw ScoresNeurons:Schwann_cell: 0.5, Tissue_stem_cells:BM_MSC:BMP2: 0.43, Smooth_muscle_cells:bronchial: 0.43, iPS_cells:CRL2097_foreskin: 0.43, Smooth_muscle_cells:bronchial:vit_D: 0.43, Fibroblasts:foreskin: 0.42, Fibroblasts:breast: 0.42, Tissue_stem_cells:BM_MSC: 0.42, Osteoblasts: 0.42, Osteoblasts:BMP2: 0.42 |
KK054-H21 | Neurons:Schwann_cell | 0.23 | 404.23 | Raw ScoresNeurons:Schwann_cell: 0.49, Fibroblasts:breast: 0.42, iPS_cells:CRL2097_foreskin: 0.41, Smooth_muscle_cells:vascular:IL-17: 0.4, Smooth_muscle_cells:vascular: 0.4, Tissue_stem_cells:BM_MSC:TGFb3: 0.4, Tissue_stem_cells:BM_MSC:BMP2: 0.4, iPS_cells:adipose_stem_cells: 0.4, Osteoblasts:BMP2: 0.4, Smooth_muscle_cells:bronchial: 0.4 |
KK053-I2 | Neurons:Schwann_cell | 0.20 | 382.55 | Raw ScoresNeurons:Schwann_cell: 0.45, Fibroblasts:breast: 0.39, iPS_cells:CRL2097_foreskin: 0.38, Tissue_stem_cells:BM_MSC:TGFb3: 0.38, Tissue_stem_cells:BM_MSC:BMP2: 0.38, iPS_cells:adipose_stem_cells: 0.38, Smooth_muscle_cells:bronchial: 0.37, Osteoblasts: 0.37, Osteoblasts:BMP2: 0.37, Chondrocytes:MSC-derived: 0.37 |
KK053-I8 | Neurons:Schwann_cell | 0.23 | 381.19 | Raw ScoresNeurons:Schwann_cell: 0.48, Fibroblasts:breast: 0.41, Smooth_muscle_cells:bronchial: 0.41, iPS_cells:CRL2097_foreskin: 0.41, Smooth_muscle_cells:bronchial:vit_D: 0.41, Tissue_stem_cells:BM_MSC:TGFb3: 0.4, iPS_cells:adipose_stem_cells: 0.4, Osteoblasts: 0.4, Chondrocytes:MSC-derived: 0.4, Smooth_muscle_cells:vascular: 0.4 |
KK053-H7 | Neurons:Schwann_cell | 0.19 | 381.15 | Raw ScoresNeurons:Schwann_cell: 0.43, iPS_cells:CRL2097_foreskin: 0.38, Fibroblasts:breast: 0.38, Smooth_muscle_cells:bronchial: 0.36, Smooth_muscle_cells:vascular:IL-17: 0.36, Osteoblasts:BMP2: 0.36, Osteoblasts: 0.36, Smooth_muscle_cells:vascular: 0.36, Tissue_stem_cells:BM_MSC:BMP2: 0.36, iPS_cells:adipose_stem_cells: 0.36 |
WK059-O9 | Neurons:Schwann_cell | 0.20 | 379.62 | Raw ScoresNeurons:Schwann_cell: 0.45, Fibroblasts:breast: 0.39, iPS_cells:CRL2097_foreskin: 0.39, Smooth_muscle_cells:vascular:IL-17: 0.38, Smooth_muscle_cells:vascular: 0.38, iPS_cells:adipose_stem_cells: 0.38, iPS_cells:foreskin_fibrobasts: 0.37, Tissue_stem_cells:BM_MSC:BMP2: 0.37, Osteoblasts:BMP2: 0.37, Tissue_stem_cells:BM_MSC:TGFb3: 0.37 |
WK098-J23 | Neurons:Schwann_cell | 0.22 | 370.18 | Raw ScoresNeurons:Schwann_cell: 0.46, Smooth_muscle_cells:bronchial: 0.39, Fibroblasts:breast: 0.39, iPS_cells:CRL2097_foreskin: 0.38, Smooth_muscle_cells:bronchial:vit_D: 0.38, Tissue_stem_cells:BM_MSC:TGFb3: 0.38, iPS_cells:adipose_stem_cells: 0.38, Chondrocytes:MSC-derived: 0.38, Osteoblasts: 0.37, Tissue_stem_cells:BM_MSC:BMP2: 0.37 |
WK101-O15 | Neurons:Schwann_cell | 0.19 | 369.65 | Raw ScoresNeurons:Schwann_cell: 0.45, Tissue_stem_cells:BM_MSC:TGFb3: 0.37, Fibroblasts:breast: 0.37, Smooth_muscle_cells:vascular:IL-17: 0.37, Tissue_stem_cells:BM_MSC:BMP2: 0.37, iPS_cells:CRL2097_foreskin: 0.37, iPS_cells:adipose_stem_cells: 0.36, Smooth_muscle_cells:vascular: 0.36, Smooth_muscle_cells:bronchial: 0.36, Fibroblasts:foreskin: 0.36 |
KK053-L5 | Neurons:Schwann_cell | 0.22 | 368.38 | Raw ScoresNeurons:Schwann_cell: 0.51, MSC: 0.42, Tissue_stem_cells:BM_MSC:TGFb3: 0.42, iPS_cells:CRL2097_foreskin: 0.42, Tissue_stem_cells:BM_MSC:BMP2: 0.42, Smooth_muscle_cells:vascular:IL-17: 0.42, Fibroblasts:breast: 0.42, Smooth_muscle_cells:vascular: 0.41, Tissue_stem_cells:BM_MSC: 0.41, Fibroblasts:foreskin: 0.41 |
KK051-K9 | Neurons:Schwann_cell | 0.18 | 365.12 | Raw ScoresNeurons:Schwann_cell: 0.45, Fibroblasts:breast: 0.37, Tissue_stem_cells:BM_MSC:TGFb3: 0.37, iPS_cells:CRL2097_foreskin: 0.36, Tissue_stem_cells:BM_MSC:BMP2: 0.36, Smooth_muscle_cells:bronchial: 0.36, iPS_cells:adipose_stem_cells: 0.36, Osteoblasts: 0.36, Osteoblasts:BMP2: 0.36, Smooth_muscle_cells:vascular:IL-17: 0.36 |
KK054-K5 | Neurons:Schwann_cell | 0.22 | 357.04 | Raw ScoresNeurons:Schwann_cell: 0.47, Fibroblasts:breast: 0.41, iPS_cells:CRL2097_foreskin: 0.41, Smooth_muscle_cells:vascular:IL-17: 0.4, Smooth_muscle_cells:vascular: 0.4, MSC: 0.39, iPS_cells:adipose_stem_cells: 0.39, Smooth_muscle_cells:bronchial: 0.39, Tissue_stem_cells:BM_MSC:TGFb3: 0.39, Osteoblasts:BMP2: 0.39 |
KK053-E20 | Neurons:Schwann_cell | 0.19 | 351.17 | Raw ScoresNeurons:Schwann_cell: 0.41, Smooth_muscle_cells:bronchial: 0.36, Fibroblasts:breast: 0.35, Smooth_muscle_cells:bronchial:vit_D: 0.35, Smooth_muscle_cells:vascular: 0.35, Smooth_muscle_cells:vascular:IL-17: 0.35, iPS_cells:CRL2097_foreskin: 0.34, Tissue_stem_cells:BM_MSC:TGFb3: 0.34, Osteoblasts:BMP2: 0.34, MSC: 0.34 |
WK055-O22 | Neurons:Schwann_cell | 0.20 | 347.11 | Raw ScoresNeurons:Schwann_cell: 0.43, Fibroblasts:breast: 0.37, Smooth_muscle_cells:bronchial: 0.36, iPS_cells:CRL2097_foreskin: 0.36, Osteoblasts: 0.35, Smooth_muscle_cells:vascular: 0.35, Smooth_muscle_cells:vascular:IL-17: 0.35, Smooth_muscle_cells:bronchial:vit_D: 0.35, Tissue_stem_cells:BM_MSC:TGFb3: 0.35, Chondrocytes:MSC-derived: 0.35 |
WK098-N12 | Neurons:Schwann_cell | 0.21 | 338.86 | Raw ScoresNeurons:Schwann_cell: 0.47, Fibroblasts:breast: 0.39, Smooth_muscle_cells:bronchial: 0.39, iPS_cells:CRL2097_foreskin: 0.39, Tissue_stem_cells:BM_MSC:TGFb3: 0.38, Osteoblasts: 0.38, Tissue_stem_cells:BM_MSC:BMP2: 0.38, Smooth_muscle_cells:bronchial:vit_D: 0.38, Smooth_muscle_cells:vascular: 0.38, Smooth_muscle_cells:vascular:IL-17: 0.38 |
WMK006-L3 | Neurons:Schwann_cell | 0.19 | 336.50 | Raw ScoresNeurons:Schwann_cell: 0.43, iPS_cells:CRL2097_foreskin: 0.37, Fibroblasts:breast: 0.36, Smooth_muscle_cells:bronchial: 0.36, Chondrocytes:MSC-derived: 0.36, iPS_cells:adipose_stem_cells: 0.36, Tissue_stem_cells:BM_MSC:BMP2: 0.36, Smooth_muscle_cells:bronchial:vit_D: 0.36, Osteoblasts: 0.36, Tissue_stem_cells:BM_MSC:TGFb3: 0.36 |
WK059-L13 | Neurons:Schwann_cell | 0.20 | 327.96 | Raw ScoresNeurons:Schwann_cell: 0.43, iPS_cells:CRL2097_foreskin: 0.35, Fibroblasts:breast: 0.35, Smooth_muscle_cells:bronchial: 0.35, Smooth_muscle_cells:bronchial:vit_D: 0.34, iPS_cells:adipose_stem_cells: 0.34, Tissue_stem_cells:BM_MSC:BMP2: 0.34, Tissue_stem_cells:BM_MSC:TGFb3: 0.34, Chondrocytes:MSC-derived: 0.34, Smooth_muscle_cells:vascular: 0.33 |
WK067-P5 | Neurons:Schwann_cell | 0.20 | 327.13 | Raw ScoresNeurons:Schwann_cell: 0.46, Fibroblasts:breast: 0.39, iPS_cells:CRL2097_foreskin: 0.39, Tissue_stem_cells:BM_MSC:TGFb3: 0.39, Smooth_muscle_cells:vascular:IL-17: 0.38, Tissue_stem_cells:BM_MSC:BMP2: 0.38, Osteoblasts: 0.38, Tissue_stem_cells:iliac_MSC: 0.38, Smooth_muscle_cells:bronchial: 0.38, Osteoblasts:BMP2: 0.38 |
WK098-L11 | Neurons:Schwann_cell | 0.21 | 323.66 | Raw ScoresNeurons:Schwann_cell: 0.44, Fibroblasts:breast: 0.39, Osteoblasts: 0.38, iPS_cells:CRL2097_foreskin: 0.37, Smooth_muscle_cells:bronchial: 0.37, Osteoblasts:BMP2: 0.37, iPS_cells:adipose_stem_cells: 0.37, Chondrocytes:MSC-derived: 0.37, Tissue_stem_cells:BM_MSC:TGFb3: 0.37, Tissue_stem_cells:BM_MSC:BMP2: 0.37 |
KK053-K4 | Neurons:Schwann_cell | 0.19 | 308.71 | Raw ScoresNeurons:Schwann_cell: 0.42, Fibroblasts:breast: 0.38, Tissue_stem_cells:BM_MSC:TGFb3: 0.37, Tissue_stem_cells:BM_MSC:BMP2: 0.36, iPS_cells:CRL2097_foreskin: 0.36, Smooth_muscle_cells:bronchial: 0.36, iPS_cells:adipose_stem_cells: 0.36, Osteoblasts: 0.36, Smooth_muscle_cells:vascular:IL-17: 0.36, Smooth_muscle_cells:vascular: 0.36 |
KK052-O12 | Neurons:Schwann_cell | 0.17 | 307.78 | Raw ScoresNeurons:Schwann_cell: 0.42, Astrocyte:Embryonic_stem_cell-derived: 0.38, Fibroblasts:breast: 0.37, Tissue_stem_cells:BM_MSC:TGFb3: 0.37, Tissue_stem_cells:iliac_MSC: 0.36, Tissue_stem_cells:BM_MSC:BMP2: 0.36, iPS_cells:CRL2097_foreskin: 0.36, Smooth_muscle_cells:vascular:IL-17: 0.36, Smooth_muscle_cells:vascular: 0.36, Smooth_muscle_cells:bronchial: 0.36 |
WK018-M18 | Neurons:Schwann_cell | 0.20 | 305.21 | Raw ScoresNeurons:Schwann_cell: 0.47, Tissue_stem_cells:BM_MSC:TGFb3: 0.4, iPS_cells:CRL2097_foreskin: 0.4, Tissue_stem_cells:BM_MSC:BMP2: 0.4, Chondrocytes:MSC-derived: 0.4, Fibroblasts:breast: 0.4, Osteoblasts:BMP2: 0.4, Tissue_stem_cells:BM_MSC: 0.4, MSC: 0.4, Smooth_muscle_cells:bronchial: 0.4 |
TM96-I19 | Neurons:Schwann_cell | 0.20 | 303.55 | Raw ScoresNeurons:Schwann_cell: 0.49, Chondrocytes:MSC-derived: 0.45, iPS_cells:adipose_stem_cells: 0.45, Osteoblasts: 0.45, Fibroblasts:breast: 0.44, Tissue_stem_cells:BM_MSC:TGFb3: 0.44, iPS_cells:CRL2097_foreskin: 0.44, Osteoblasts:BMP2: 0.44, Smooth_muscle_cells:vascular:IL-17: 0.44, Tissue_stem_cells:BM_MSC:BMP2: 0.44 |
WK098-G2 | Neurons:Schwann_cell | 0.18 | 302.38 | Raw ScoresNeurons:Schwann_cell: 0.41, Smooth_muscle_cells:bronchial: 0.34, Fibroblasts:breast: 0.34, Tissue_stem_cells:iliac_MSC: 0.34, Tissue_stem_cells:BM_MSC:TGFb3: 0.34, iPS_cells:CRL2097_foreskin: 0.34, Smooth_muscle_cells:bronchial:vit_D: 0.34, Tissue_stem_cells:BM_MSC:BMP2: 0.34, Chondrocytes:MSC-derived: 0.34, Osteoblasts: 0.33 |
WK059-N17 | Neurons:Schwann_cell | 0.19 | 301.63 | Raw ScoresNeurons:Schwann_cell: 0.4, iPS_cells:CRL2097_foreskin: 0.33, Fibroblasts:breast: 0.33, Tissue_stem_cells:BM_MSC:BMP2: 0.32, Osteoblasts: 0.32, Tissue_stem_cells:iliac_MSC: 0.32, Smooth_muscle_cells:bronchial: 0.32, Tissue_stem_cells:BM_MSC:TGFb3: 0.32, Osteoblasts:BMP2: 0.32, Fibroblasts:foreskin: 0.32 |
WK098-D11 | Neurons:Schwann_cell | 0.20 | 298.82 | Raw ScoresNeurons:Schwann_cell: 0.42, Fibroblasts:breast: 0.35, Smooth_muscle_cells:bronchial: 0.34, iPS_cells:CRL2097_foreskin: 0.34, Smooth_muscle_cells:bronchial:vit_D: 0.33, Osteoblasts: 0.33, Osteoblasts:BMP2: 0.33, Smooth_muscle_cells:vascular:IL-17: 0.33, iPS_cells:adipose_stem_cells: 0.33, Tissue_stem_cells:BM_MSC:BMP2: 0.33 |
WK099-O19 | Neurons:Schwann_cell | 0.25 | 294.81 | Raw ScoresNeurons:Schwann_cell: 0.55, MSC: 0.46, Fibroblasts:foreskin: 0.46, Tissue_stem_cells:adipose-derived_MSC_AM3: 0.46, iPS_cells:CRL2097_foreskin: 0.45, Tissue_stem_cells:lipoma-derived_MSC: 0.45, iPS_cells:foreskin_fibrobasts: 0.45, Astrocyte:Embryonic_stem_cell-derived: 0.45, iPS_cells:skin_fibroblast: 0.45, Fibroblasts:breast: 0.45 |
KK053-N9 | Neurons:Schwann_cell | 0.20 | 293.37 | Raw ScoresNeurons:Schwann_cell: 0.44, Fibroblasts:breast: 0.36, Tissue_stem_cells:BM_MSC:TGFb3: 0.35, Tissue_stem_cells:BM_MSC:BMP2: 0.35, iPS_cells:CRL2097_foreskin: 0.34, iPS_cells:adipose_stem_cells: 0.34, Smooth_muscle_cells:vascular:IL-17: 0.34, Osteoblasts:BMP2: 0.34, Smooth_muscle_cells:vascular: 0.34, Osteoblasts: 0.34 |
WK098-B8 | Neurons:Schwann_cell | 0.20 | 291.36 | Raw ScoresNeurons:Schwann_cell: 0.43, Smooth_muscle_cells:bronchial: 0.36, Fibroblasts:breast: 0.36, Smooth_muscle_cells:bronchial:vit_D: 0.36, Tissue_stem_cells:iliac_MSC: 0.36, iPS_cells:CRL2097_foreskin: 0.36, iPS_cells:adipose_stem_cells: 0.35, Tissue_stem_cells:BM_MSC:TGFb3: 0.35, Tissue_stem_cells:BM_MSC:BMP2: 0.35, Osteoblasts: 0.35 |
WK098-N19 | Neurons:Schwann_cell | 0.19 | 288.25 | Raw ScoresNeurons:Schwann_cell: 0.42, Tissue_stem_cells:BM_MSC:TGFb3: 0.36, Tissue_stem_cells:BM_MSC:BMP2: 0.36, Fibroblasts:breast: 0.36, Smooth_muscle_cells:bronchial: 0.35, Chondrocytes:MSC-derived: 0.35, Smooth_muscle_cells:vascular:IL-17: 0.35, Osteoblasts: 0.35, iPS_cells:CRL2097_foreskin: 0.35, Smooth_muscle_cells:bronchial:vit_D: 0.35 |
KK053-L7 | Neurons:Schwann_cell | 0.17 | 281.27 | Raw ScoresNeurons:Schwann_cell: 0.4, Fibroblasts:breast: 0.35, Smooth_muscle_cells:bronchial: 0.35, iPS_cells:CRL2097_foreskin: 0.35, Tissue_stem_cells:BM_MSC:TGFb3: 0.35, Smooth_muscle_cells:bronchial:vit_D: 0.34, Tissue_stem_cells:BM_MSC:BMP2: 0.34, Smooth_muscle_cells:vascular: 0.34, Smooth_muscle_cells:vascular:IL-17: 0.34, Chondrocytes:MSC-derived: 0.34 |
WK059-D5 | Neurons:Schwann_cell | 0.19 | 274.52 | Raw ScoresNeurons:Schwann_cell: 0.41, Fibroblasts:breast: 0.35, iPS_cells:CRL2097_foreskin: 0.34, Smooth_muscle_cells:bronchial: 0.34, Smooth_muscle_cells:bronchial:vit_D: 0.34, Tissue_stem_cells:BM_MSC:TGFb3: 0.34, Smooth_muscle_cells:vascular:IL-17: 0.34, Osteoblasts:BMP2: 0.33, Tissue_stem_cells:BM_MSC:BMP2: 0.33, iPS_cells:adipose_stem_cells: 0.33 |
WK098-H6 | Neurons:Schwann_cell | 0.20 | 273.57 | Raw ScoresNeurons:Schwann_cell: 0.43, Fibroblasts:breast: 0.38, iPS_cells:CRL2097_foreskin: 0.37, Smooth_muscle_cells:bronchial: 0.37, Tissue_stem_cells:BM_MSC:TGFb3: 0.37, iPS_cells:adipose_stem_cells: 0.37, Smooth_muscle_cells:bronchial:vit_D: 0.37, Chondrocytes:MSC-derived: 0.37, Osteoblasts: 0.36, Tissue_stem_cells:BM_MSC:BMP2: 0.36 |
WK098-I11 | Neurons:Schwann_cell | 0.20 | 267.85 | Raw ScoresNeurons:Schwann_cell: 0.42, iPS_cells:CRL2097_foreskin: 0.36, Smooth_muscle_cells:bronchial: 0.36, Fibroblasts:breast: 0.36, Smooth_muscle_cells:bronchial:vit_D: 0.36, Tissue_stem_cells:BM_MSC:TGFb3: 0.35, Tissue_stem_cells:BM_MSC:BMP2: 0.35, Chondrocytes:MSC-derived: 0.35, Osteoblasts: 0.35, Smooth_muscle_cells:vascular:IL-17: 0.35 |
KK052-M7 | Neurons:Schwann_cell | 0.21 | 265.50 | Raw ScoresNeurons:Schwann_cell: 0.49, MSC: 0.42, iPS_cells:CRL2097_foreskin: 0.41, Fibroblasts:breast: 0.41, Smooth_muscle_cells:vascular:IL-17: 0.41, Smooth_muscle_cells:vascular: 0.4, iPS_cells:skin_fibroblast: 0.4, Fibroblasts:foreskin: 0.4, Smooth_muscle_cells:bronchial: 0.4, Tissue_stem_cells:BM_MSC:BMP2: 0.4 |
WK099-F17 | Neurons:Schwann_cell | 0.16 | 263.62 | Raw ScoresNeurons:Schwann_cell: 0.34, Tissue_stem_cells:iliac_MSC: 0.26, Smooth_muscle_cells:bronchial: 0.26, Smooth_muscle_cells:bronchial:vit_D: 0.25, iPS_cells:CRL2097_foreskin: 0.25, iPS_cells:CRL2097_foreskin-derived:d20_hepatic_diff: 0.25, Astrocyte:Embryonic_stem_cell-derived: 0.25, Smooth_muscle_cells:vascular:IL-17: 0.25, Chondrocytes:MSC-derived: 0.25, Smooth_muscle_cells:vascular: 0.25 |
WK059-D4 | Neurons:Schwann_cell | 0.20 | 259.57 | Raw ScoresNeurons:Schwann_cell: 0.41, Fibroblasts:breast: 0.35, iPS_cells:CRL2097_foreskin: 0.34, Smooth_muscle_cells:vascular:IL-17: 0.34, Smooth_muscle_cells:bronchial: 0.33, Smooth_muscle_cells:vascular: 0.33, iPS_cells:adipose_stem_cells: 0.33, Smooth_muscle_cells:bronchial:vit_D: 0.33, Osteoblasts: 0.33, Osteoblasts:BMP2: 0.33 |
Below shows the significant enrichments of this GEP for literature curated gene lists
This data was procured from existing single cell RNA-seq maps of neuroblastoma or related relevant data.
High ranks indicate this gene is a driver of this GEP.
These curated gene list are ranked by the P-value (on this GEP) of their constituent genes.
The Mean Count column shows the mean read count in cells scoring highly (H > 50) on this gene expression program.
Genes | Weight | Rank | GTEx | DepMap | Decartes | Mean.Counts | Mean.TPM |
---|---|---|---|---|---|---|---|
GPM6B | 0.0142262 | 1 | GTEx | DepMap | Descartes | 10.80 | 1157.80 |
PLP1 | 0.0140515 | 2 | GTEx | DepMap | Descartes | 9.45 | 1259.80 |
S100B | 0.0134989 | 3 | GTEx | DepMap | Descartes | 15.67 | 5383.66 |
SEMA3B | 0.0128964 | 5 | GTEx | DepMap | Descartes | 5.12 | 597.51 |
NRXN1 | 0.0121534 | 6 | GTEx | DepMap | Descartes | 5.01 | 216.37 |
LGI4 | 0.0119079 | 7 | GTEx | DepMap | Descartes | 3.89 | 588.18 |
ERBB3 | 0.0107676 | 9 | GTEx | DepMap | Descartes | 3.03 | 217.12 |
DST | 0.0070727 | 46 | GTEx | DepMap | Descartes | 8.48 | 141.75 |
MPZ | 0.0065724 | 54 | GTEx | DepMap | Descartes | 4.13 | 1107.01 |
CNN3 | 0.0063552 | 60 | GTEx | DepMap | Descartes | 4.73 | 885.67 |
FXYD1 | 0.0041723 | 162 | GTEx | DepMap | Descartes | 1.77 | 887.09 |
Schwann cell Precursor (Hanemaaijer)
Marker genes obtained from Supplementary Table SD of Hanemaaijer et al (PMID 33500353). The authors generated single-cell RNA-seq data (sort-seq, 2,229 cells total) from mouse adrenal glads at E13.5, E14.5, E17.5, E18.5, P1 and P5. These were marker genes that matched with a similar dataset generated by Furlan et al (PMID 28684471). This particular set of markers are for the SCP subcluster, which is part of the Adrenal Medulla cluster:
Wilcoxon ranksum test P-value for gene set overrepresentation: 2.16e-07
Mean rank of genes in gene set: 757
Rank on gene expression program of genes in gene set:
Genes | Weight | Rank | GTEx | DepMap | Decartes | Mean.Counts | Mean.TPM |
---|---|---|---|---|---|---|---|
PLP1 | 0.0140515 | 2 | GTEx | DepMap | Descartes | 9.45 | 1259.80 |
CHL1 | 0.0110456 | 8 | GTEx | DepMap | Descartes | 4.51 | 275.68 |
ERBB3 | 0.0107676 | 9 | GTEx | DepMap | Descartes | 3.03 | 217.12 |
PTPRZ1 | 0.0102107 | 12 | GTEx | DepMap | Descartes | 2.30 | 89.42 |
TTYH1 | 0.0063422 | 61 | GTEx | DepMap | Descartes | 0.74 | 83.40 |
NGFR | 0.0055589 | 85 | GTEx | DepMap | Descartes | 5.59 | 521.53 |
CNP | 0.0053893 | 94 | GTEx | DepMap | Descartes | 2.54 | 164.32 |
SERPINE2 | 0.0034185 | 238 | GTEx | DepMap | Descartes | 2.41 | 139.27 |
LMO4 | 0.0020229 | 506 | GTEx | DepMap | Descartes | 3.12 | 239.28 |
CST3 | 0.0002383 | 3381 | GTEx | DepMap | Descartes | 5.70 | 619.56 |
DAGLA | 0.0001629 | 3931 | GTEx | DepMap | Descartes | 0.06 | 4.58 |
SCPs neuroblastoma unique (Olsen)
Similar to above, but for genes unique to neuroblastoma SCP-like cells. Note FN1 is often used as a mesenchymal marker gene.:
Wilcoxon ranksum test P-value for gene set overrepresentation: 3.61e-05
Mean rank of genes in gene set: 406
Rank on gene expression program of genes in gene set:
Genes | Weight | Rank | GTEx | DepMap | Decartes | Mean.Counts | Mean.TPM |
---|---|---|---|---|---|---|---|
ITGB8 | 0.0134823 | 4 | GTEx | DepMap | Descartes | 18.02 | 867.43 |
GFRA3 | 0.0091542 | 19 | GTEx | DepMap | Descartes | 2.75 | 523.39 |
TIMP3 | 0.0050665 | 117 | GTEx | DepMap | Descartes | 15.41 | 1161.44 |
ANXA1 | 0.0027094 | 340 | GTEx | DepMap | Descartes | 11.66 | 2100.17 |
IFITM3 | 0.0020207 | 508 | GTEx | DepMap | Descartes | 17.72 | 9366.46 |
FN1 | 0.0007718 | 1448 | GTEx | DepMap | Descartes | 9.18 | 307.45 |
Below shows ranks on this GEP for literature curated gene lists for large gene sets
These include those reported as mesenchymal/adrenergic by Van Groningen et al.
High ranks indicate this gene is a driver of this GEP (note these results are not ordered).
The Mean Count column shows the mean read count in cells scoring highly (H > 50) on this gene expression program.
VanGroningen Adrenergic Genes
Adrenergic marker genes from Supplementary Table 2 of Van Groningen et al. Nature Genetics 2017. These genes were identified by differential expression analysis of mesenchymal-like and adrenergic-like neuroblastoma cell lines.
Wilcoxon ranksum test P-value for gene set overrepresentation: 1.00e+00
Mean rank of genes in gene set: 8000.18
Median rank of genes in gene set: 9715
Rank on gene expression program of top 30 genes in gene set:
Genes | Weight | Rank | GTEx | DepMap | Descartes | Mean.Counts | Mean.TPM |
---|---|---|---|---|---|---|---|
L1CAM | 0.0096779 | 15 | GTEx | DepMap | Descartes | 6.11 | 454.37 |
AP1S2 | 0.0073779 | 37 | GTEx | DepMap | Descartes | 3.16 | 345.11 |
TMOD2 | 0.0060455 | 71 | GTEx | DepMap | Descartes | 1.33 | 62.44 |
CADM1 | 0.0058869 | 76 | GTEx | DepMap | Descartes | 3.50 | 142.02 |
NCAM1 | 0.0046310 | 141 | GTEx | DepMap | Descartes | 2.82 | 183.18 |
IRS2 | 0.0035422 | 223 | GTEx | DepMap | Descartes | 3.82 | 167.83 |
PPP1R9A | 0.0031374 | 270 | GTEx | DepMap | Descartes | 0.41 | 16.91 |
HEY1 | 0.0030009 | 293 | GTEx | DepMap | Descartes | 0.85 | 89.19 |
THSD7A | 0.0029421 | 299 | GTEx | DepMap | Descartes | 0.89 | 36.19 |
MYO5A | 0.0025273 | 364 | GTEx | DepMap | Descartes | 1.06 | 30.05 |
POPDC3 | 0.0022318 | 440 | GTEx | DepMap | Descartes | 0.12 | 14.26 |
NFIL3 | 0.0021762 | 460 | GTEx | DepMap | Descartes | 1.96 | 355.17 |
NPTX2 | 0.0020836 | 489 | GTEx | DepMap | Descartes | 0.40 | 43.77 |
FHOD3 | 0.0018739 | 560 | GTEx | DepMap | Descartes | 0.42 | 31.02 |
AHSA1 | 0.0017909 | 594 | GTEx | DepMap | Descartes | 1.75 | 461.56 |
FKBP4 | 0.0016643 | 635 | GTEx | DepMap | Descartes | 3.12 | 313.87 |
MAP1B | 0.0016217 | 656 | GTEx | DepMap | Descartes | 8.61 | 233.37 |
GGH | 0.0014955 | 713 | GTEx | DepMap | Descartes | 0.36 | 87.69 |
CDKN2C | 0.0014695 | 726 | GTEx | DepMap | Descartes | 0.47 | 47.63 |
NRCAM | 0.0013709 | 780 | GTEx | DepMap | Descartes | 0.42 | 21.78 |
ARL6IP1 | 0.0012398 | 887 | GTEx | DepMap | Descartes | 2.51 | 424.78 |
ATP6V0E2 | 0.0012194 | 904 | GTEx | DepMap | Descartes | 0.31 | 26.09 |
TMEM178B | 0.0011844 | 932 | GTEx | DepMap | Descartes | 0.35 | NA |
ST3GAL6 | 0.0011780 | 940 | GTEx | DepMap | Descartes | 0.55 | 58.45 |
TUBB2B | 0.0011210 | 985 | GTEx | DepMap | Descartes | 1.48 | 268.52 |
CELF2 | 0.0010879 | 1013 | GTEx | DepMap | Descartes | 1.59 | 77.17 |
IGSF3 | 0.0010774 | 1026 | GTEx | DepMap | Descartes | 0.18 | 6.98 |
GAP43 | 0.0010617 | 1040 | GTEx | DepMap | Descartes | 2.15 | 372.65 |
KIDINS220 | 0.0010348 | 1064 | GTEx | DepMap | Descartes | 1.42 | 59.98 |
GRB10 | 0.0009880 | 1120 | GTEx | DepMap | Descartes | 0.67 | 38.03 |
VanGroningen Mesenchymal Genes
Mesenchymal marker genes from Supplementary Table 2 of Van Groningen et al. Nature Genetics 2017. These genes were identified by differential expression analysis of mesenchymal-like and adrenergic-like neuroblastoma cell lines.
Wilcoxon ranksum test P-value for gene set overrepresentation: 4.69e-05
Mean rank of genes in gene set: 5608.37
Median rank of genes in gene set: 4382
Rank on gene expression program of top 30 genes in gene set:
Genes | Weight | Rank | GTEx | DepMap | Descartes | Mean.Counts | Mean.TPM |
---|---|---|---|---|---|---|---|
CLIC4 | 0.0081626 | 27 | GTEx | DepMap | Descartes | 5.75 | 534.45 |
SEMA3C | 0.0079518 | 29 | GTEx | DepMap | Descartes | 3.85 | 268.64 |
ANXA2 | 0.0067267 | 50 | GTEx | DepMap | Descartes | 14.63 | 1333.75 |
LATS2 | 0.0066652 | 52 | GTEx | DepMap | Descartes | 2.98 | 207.89 |
CTNNA1 | 0.0065583 | 55 | GTEx | DepMap | Descartes | 4.35 | 378.45 |
CNN3 | 0.0063552 | 60 | GTEx | DepMap | Descartes | 4.73 | 885.67 |
PON2 | 0.0061157 | 68 | GTEx | DepMap | Descartes | 1.10 | 236.87 |
OLFML2A | 0.0060099 | 72 | GTEx | DepMap | Descartes | 3.11 | 155.04 |
VIM | 0.0058976 | 74 | GTEx | DepMap | Descartes | 56.29 | 7674.29 |
NES | 0.0055234 | 86 | GTEx | DepMap | Descartes | 3.86 | 201.12 |
LGALS1 | 0.0052619 | 103 | GTEx | DepMap | Descartes | 9.39 | 5056.02 |
DLX2 | 0.0052117 | 109 | GTEx | DepMap | Descartes | 0.91 | 147.32 |
KCTD12 | 0.0044027 | 151 | GTEx | DepMap | Descartes | 3.99 | 281.14 |
DMD | 0.0043321 | 155 | GTEx | DepMap | Descartes | 1.12 | 36.29 |
GNG12 | 0.0042945 | 156 | GTEx | DepMap | Descartes | 2.09 | 173.66 |
ITGAV | 0.0039315 | 184 | GTEx | DepMap | Descartes | 2.69 | 153.47 |
LAMB1 | 0.0038813 | 190 | GTEx | DepMap | Descartes | 3.62 | 253.93 |
DKK3 | 0.0037979 | 197 | GTEx | DepMap | Descartes | 2.93 | 114.89 |
RHOC | 0.0037939 | 198 | GTEx | DepMap | Descartes | 2.01 | 295.52 |
DLC1 | 0.0036736 | 206 | GTEx | DepMap | Descartes | 3.78 | 178.71 |
ARHGEF40 | 0.0036484 | 208 | GTEx | DepMap | Descartes | 1.38 | 77.15 |
SPARC | 0.0036155 | 210 | GTEx | DepMap | Descartes | 44.19 | 3786.36 |
LAMC1 | 0.0035658 | 217 | GTEx | DepMap | Descartes | 4.03 | 185.93 |
WLS | 0.0034480 | 233 | GTEx | DepMap | Descartes | 1.23 | 149.09 |
SERPINE2 | 0.0034185 | 238 | GTEx | DepMap | Descartes | 2.41 | 139.27 |
COL4A1 | 0.0034066 | 240 | GTEx | DepMap | Descartes | 8.07 | 361.34 |
ITGB1 | 0.0032860 | 252 | GTEx | DepMap | Descartes | 3.40 | 267.41 |
CALU | 0.0032251 | 260 | GTEx | DepMap | Descartes | 3.71 | 222.30 |
COL4A2 | 0.0031804 | 264 | GTEx | DepMap | Descartes | 10.33 | 449.71 |
F2RL2 | 0.0031573 | 265 | GTEx | DepMap | Descartes | 0.24 | 25.79 |
Descartes adrenocortical markers
Top 50 marker genes of adrenocortical cells in the Decartes fetal adrenal single cell map (https://atlas.brotmanbaty.org/bbi/human-gene-expression-during-development/cell/adrenocortical/in/adrenal)
Wilcoxon ranksum test P-value for gene set overrepresentation: 3.48e-01
Mean rank of genes in gene set: 6039.58
Median rank of genes in gene set: 6281
Rank on gene expression program of top 30 genes in gene set:
Genes | Weight | Rank | GTEx | DepMap | Descartes | Mean.Counts | Mean.TPM |
---|---|---|---|---|---|---|---|
FRMD5 | 0.0051931 | 111 | GTEx | DepMap | Descartes | 0.46 | 33.35 |
CLU | 0.0046525 | 137 | GTEx | DepMap | Descartes | 7.44 | 1053.82 |
FREM2 | 0.0039629 | 178 | GTEx | DepMap | Descartes | 0.20 | 4.40 |
SH3PXD2B | 0.0019975 | 513 | GTEx | DepMap | Descartes | 0.43 | 23.66 |
FDXR | 0.0014763 | 722 | GTEx | DepMap | Descartes | 0.07 | 7.99 |
LDLR | 0.0013356 | 804 | GTEx | DepMap | Descartes | 1.63 | 113.18 |
JAKMIP2 | 0.0013072 | 828 | GTEx | DepMap | Descartes | 0.27 | 14.46 |
HMGCS1 | 0.0006461 | 1706 | GTEx | DepMap | Descartes | 0.96 | 66.94 |
IGF1R | 0.0006040 | 1823 | GTEx | DepMap | Descartes | 0.54 | 19.21 |
SH3BP5 | 0.0003813 | 2613 | GTEx | DepMap | Descartes | 0.88 | 91.01 |
FDPS | 0.0003735 | 2646 | GTEx | DepMap | Descartes | 0.39 | 76.88 |
DHCR24 | 0.0003584 | 2712 | GTEx | DepMap | Descartes | 0.13 | 12.05 |
NPC1 | 0.0002357 | 3401 | GTEx | DepMap | Descartes | 0.36 | 26.92 |
GSTA4 | 0.0001780 | 3792 | GTEx | DepMap | Descartes | 0.24 | 47.03 |
MSMO1 | 0.0001350 | 4150 | GTEx | DepMap | Descartes | 0.32 | 71.46 |
FDX1 | 0.0000748 | 4679 | GTEx | DepMap | Descartes | 0.29 | 28.44 |
SCAP | 0.0000729 | 4704 | GTEx | DepMap | Descartes | 0.20 | 14.32 |
HMGCR | -0.0000337 | 5957 | GTEx | DepMap | Descartes | 0.40 | 30.21 |
TM7SF2 | -0.0000743 | 6605 | GTEx | DepMap | Descartes | 0.03 | 7.36 |
INHA | -0.0000814 | 6721 | GTEx | DepMap | Descartes | 0.00 | 1.87 |
STAR | -0.0001234 | 7408 | GTEx | DepMap | Descartes | 0.01 | 0.73 |
SGCZ | -0.0001288 | 7508 | GTEx | DepMap | Descartes | 0.00 | 0.00 |
BAIAP2L1 | -0.0001550 | 7923 | GTEx | DepMap | Descartes | 0.00 | 0.35 |
SLC16A9 | -0.0001757 | 8236 | GTEx | DepMap | Descartes | 0.04 | 2.05 |
CYB5B | -0.0002151 | 8797 | GTEx | DepMap | Descartes | 0.33 | 24.14 |
POR | -0.0003780 | 10458 | GTEx | DepMap | Descartes | 0.29 | 39.28 |
DHCR7 | -0.0003974 | 10611 | GTEx | DepMap | Descartes | 0.11 | 9.55 |
PEG3 | -0.0004441 | 10899 | GTEx | DepMap | Descartes | 1.07 | NA |
GRAMD1B | -0.0004460 | 10907 | GTEx | DepMap | Descartes | 0.07 | 3.38 |
APOC1 | -0.0004852 | 11124 | GTEx | DepMap | Descartes | 0.10 | 40.17 |
Descartes chromaffin markers
Top 50 marker genes of chromaffin cells in the Decartes fetal adrenal single cell map (https://atlas.brotmanbaty.org/bbi/human-gene-expression-during-development/cell/chromaffin/in/adrenal)
Wilcoxon ranksum test P-value for gene set overrepresentation: 1.00e+00
Mean rank of genes in gene set: 8403.46
Median rank of genes in gene set: 10195
Rank on gene expression program of top 30 genes in gene set:
Genes | Weight | Rank | GTEx | DepMap | Descartes | Mean.Counts | Mean.TPM |
---|---|---|---|---|---|---|---|
RGMB | 0.0020648 | 493 | GTEx | DepMap | Descartes | 0.87 | 68.20 |
MAP1B | 0.0016217 | 656 | GTEx | DepMap | Descartes | 8.61 | 233.37 |
TUBB2B | 0.0011210 | 985 | GTEx | DepMap | Descartes | 1.48 | 268.52 |
GAP43 | 0.0010617 | 1040 | GTEx | DepMap | Descartes | 2.15 | 372.65 |
PLXNA4 | 0.0006124 | 1803 | GTEx | DepMap | Descartes | 0.10 | 2.04 |
MAB21L1 | 0.0005123 | 2105 | GTEx | DepMap | Descartes | 0.31 | 30.56 |
MAB21L2 | 0.0004386 | 2364 | GTEx | DepMap | Descartes | 0.39 | 48.97 |
CCND1 | 0.0002196 | 3509 | GTEx | DepMap | Descartes | 2.92 | 191.42 |
TUBA1A | 0.0002145 | 3539 | GTEx | DepMap | Descartes | 7.96 | 1383.66 |
CNKSR2 | 0.0001481 | 4036 | GTEx | DepMap | Descartes | 0.13 | 6.05 |
ALK | -0.0000211 | 5791 | GTEx | DepMap | Descartes | 0.05 | 4.01 |
TUBB2A | -0.0000492 | 6189 | GTEx | DepMap | Descartes | 1.46 | 312.44 |
EPHA6 | -0.0001520 | 7877 | GTEx | DepMap | Descartes | 0.00 | 0.00 |
GAL | -0.0002238 | 8923 | GTEx | DepMap | Descartes | 0.11 | 31.82 |
ANKFN1 | -0.0002375 | 9117 | GTEx | DepMap | Descartes | 0.00 | 0.00 |
TMEFF2 | -0.0002448 | 9196 | GTEx | DepMap | Descartes | 0.00 | 0.00 |
SYNPO2 | -0.0002651 | 9463 | GTEx | DepMap | Descartes | 0.47 | 11.66 |
KCNB2 | -0.0002796 | 9624 | GTEx | DepMap | Descartes | 0.00 | 0.00 |
EYA4 | -0.0003314 | 10116 | GTEx | DepMap | Descartes | 0.00 | 0.66 |
SLC44A5 | -0.0003375 | 10161 | GTEx | DepMap | Descartes | 0.01 | 0.33 |
NTRK1 | -0.0003409 | 10195 | GTEx | DepMap | Descartes | 0.00 | 0.00 |
IL7 | -0.0003460 | 10235 | GTEx | DepMap | Descartes | 0.02 | 4.28 |
EYA1 | -0.0003832 | 10493 | GTEx | DepMap | Descartes | 0.03 | 0.83 |
HS3ST5 | -0.0003975 | 10612 | GTEx | DepMap | Descartes | 0.00 | 0.00 |
RPH3A | -0.0004109 | 10701 | GTEx | DepMap | Descartes | 0.01 | 0.49 |
ISL1 | -0.0004497 | 10924 | GTEx | DepMap | Descartes | 0.27 | 30.23 |
PTCHD1 | -0.0004521 | 10940 | GTEx | DepMap | Descartes | 0.00 | 0.01 |
FAT3 | -0.0004839 | 11117 | GTEx | DepMap | Descartes | 0.03 | 0.31 |
CNTFR | -0.0004980 | 11195 | GTEx | DepMap | Descartes | 0.02 | 2.03 |
ELAVL2 | -0.0005335 | 11336 | GTEx | DepMap | Descartes | 0.09 | 4.97 |
Descartes Vascular_endothelial markers
Top 50 marker genes of Vascular_endothelial cells in the Decartes fetal adrenal single cell map (https://atlas.brotmanbaty.org/bbi/human-gene-expression-during-development/cell/vascular_endothelial/in/adrenal)
Wilcoxon ranksum test P-value for gene set overrepresentation: 1.00e+00
Mean rank of genes in gene set: 8785.34
Median rank of genes in gene set: 9934
Rank on gene expression program of top 30 genes in gene set:
Genes | Weight | Rank | GTEx | DepMap | Descartes | Mean.Counts | Mean.TPM |
---|---|---|---|---|---|---|---|
EFNB2 | 0.0006335 | 1738 | GTEx | DepMap | Descartes | 0.74 | 54.39 |
EHD3 | 0.0002747 | 3168 | GTEx | DepMap | Descartes | 0.08 | 5.37 |
HYAL2 | 0.0001806 | 3770 | GTEx | DepMap | Descartes | 0.15 | 12.55 |
F8 | 0.0001214 | 4260 | GTEx | DepMap | Descartes | 0.12 | 3.95 |
ID1 | 0.0001061 | 4382 | GTEx | DepMap | Descartes | 0.81 | 355.73 |
GALNT15 | 0.0000877 | 4555 | GTEx | DepMap | Descartes | 0.06 | NA |
KANK3 | 0.0000421 | 5052 | GTEx | DepMap | Descartes | 0.12 | 10.52 |
CRHBP | -0.0000945 | 6903 | GTEx | DepMap | Descartes | 0.01 | 1.01 |
NOTCH4 | -0.0001189 | 7342 | GTEx | DepMap | Descartes | 0.17 | 7.19 |
IRX3 | -0.0001310 | 7531 | GTEx | DepMap | Descartes | 0.05 | 9.62 |
CEACAM1 | -0.0001432 | 7743 | GTEx | DepMap | Descartes | 0.07 | 5.96 |
PTPRB | -0.0001521 | 7878 | GTEx | DepMap | Descartes | 0.23 | 5.91 |
NR5A2 | -0.0001893 | 8424 | GTEx | DepMap | Descartes | 0.00 | 0.00 |
RASIP1 | -0.0001924 | 8464 | GTEx | DepMap | Descartes | 0.06 | 4.97 |
TIE1 | -0.0002163 | 8816 | GTEx | DepMap | Descartes | 0.20 | 16.18 |
SHE | -0.0002639 | 9455 | GTEx | DepMap | Descartes | 0.06 | 1.61 |
TEK | -0.0002780 | 9611 | GTEx | DepMap | Descartes | 0.04 | 2.83 |
FLT4 | -0.0002949 | 9776 | GTEx | DepMap | Descartes | 0.05 | 1.59 |
NPR1 | -0.0003089 | 9909 | GTEx | DepMap | Descartes | 0.01 | 0.10 |
CHRM3 | -0.0003143 | 9959 | GTEx | DepMap | Descartes | 0.00 | 0.43 |
ESM1 | -0.0003178 | 9988 | GTEx | DepMap | Descartes | 0.20 | 8.46 |
BTNL9 | -0.0003248 | 10057 | GTEx | DepMap | Descartes | 0.04 | 0.52 |
CDH13 | -0.0003281 | 10083 | GTEx | DepMap | Descartes | 0.21 | 4.83 |
TMEM88 | -0.0003437 | 10214 | GTEx | DepMap | Descartes | 0.19 | 51.53 |
SHANK3 | -0.0003506 | 10268 | GTEx | DepMap | Descartes | 0.19 | 4.05 |
CLDN5 | -0.0003917 | 10563 | GTEx | DepMap | Descartes | 0.08 | 4.47 |
SLCO2A1 | -0.0004008 | 10635 | GTEx | DepMap | Descartes | 0.06 | 0.81 |
MYRIP | -0.0004208 | 10772 | GTEx | DepMap | Descartes | 0.00 | 0.03 |
KDR | -0.0004376 | 10868 | GTEx | DepMap | Descartes | 0.07 | 1.95 |
MMRN2 | -0.0004439 | 10897 | GTEx | DepMap | Descartes | 0.10 | 3.72 |
Descartes stromal markers
Top 50 marker genes of stromal cells in the Decartes fetal adrenal single cell map (https://atlas.brotmanbaty.org/bbi/human-gene-expression-during-development/cell/stromal/in/adrenal)
Wilcoxon ranksum test P-value for gene set overrepresentation: 1.00e+00
Mean rank of genes in gene set: 10499.39
Median rank of genes in gene set: 11927.5
Rank on gene expression program of top 30 genes in gene set:
Genes | Weight | Rank | GTEx | DepMap | Descartes | Mean.Counts | Mean.TPM |
---|---|---|---|---|---|---|---|
CLDN11 | 0.0022723 | 425 | GTEx | DepMap | Descartes | 0.49 | 56.82 |
COL27A1 | 0.0016443 | 650 | GTEx | DepMap | Descartes | 0.85 | 40.19 |
COL12A1 | 0.0015153 | 704 | GTEx | DepMap | Descartes | 2.42 | 61.07 |
RSPO3 | 0.0007587 | 1479 | GTEx | DepMap | Descartes | 0.17 | NA |
GAS2 | 0.0003165 | 2925 | GTEx | DepMap | Descartes | 0.01 | 2.31 |
ABCA6 | -0.0000670 | 6477 | GTEx | DepMap | Descartes | 0.20 | 9.24 |
LAMC3 | -0.0002296 | 9008 | GTEx | DepMap | Descartes | 0.03 | 0.80 |
HHIP | -0.0002934 | 9759 | GTEx | DepMap | Descartes | 0.02 | 0.61 |
DKK2 | -0.0003231 | 10036 | GTEx | DepMap | Descartes | 0.00 | 0.06 |
FREM1 | -0.0003941 | 10589 | GTEx | DepMap | Descartes | 0.02 | 0.38 |
GLI2 | -0.0004776 | 11078 | GTEx | DepMap | Descartes | 0.01 | 0.56 |
LRRC17 | -0.0004926 | 11162 | GTEx | DepMap | Descartes | 0.03 | 5.52 |
PRICKLE1 | -0.0005087 | 11251 | GTEx | DepMap | Descartes | 0.12 | 5.47 |
PAMR1 | -0.0005394 | 11360 | GTEx | DepMap | Descartes | 0.07 | 6.12 |
ITGA11 | -0.0005494 | 11401 | GTEx | DepMap | Descartes | 0.08 | 1.43 |
ADAMTSL3 | -0.0005972 | 11557 | GTEx | DepMap | Descartes | 0.05 | 1.36 |
PCDH18 | -0.0005997 | 11567 | GTEx | DepMap | Descartes | 0.06 | 4.04 |
ABCC9 | -0.0006324 | 11665 | GTEx | DepMap | Descartes | 0.04 | 0.76 |
COL1A2 | -0.0006401 | 11684 | GTEx | DepMap | Descartes | 13.10 | 629.18 |
ADAMTS2 | -0.0006872 | 11835 | GTEx | DepMap | Descartes | 0.33 | 12.18 |
ISLR | -0.0007082 | 11902 | GTEx | DepMap | Descartes | 0.76 | 117.82 |
SFRP2 | -0.0007195 | 11924 | GTEx | DepMap | Descartes | 0.13 | 13.85 |
IGFBP3 | -0.0007242 | 11931 | GTEx | DepMap | Descartes | 0.20 | 9.89 |
ELN | -0.0007470 | 11965 | GTEx | DepMap | Descartes | 0.12 | 11.26 |
CD248 | -0.0008115 | 12093 | GTEx | DepMap | Descartes | 0.07 | 3.42 |
BICC1 | -0.0008132 | 12095 | GTEx | DepMap | Descartes | 0.12 | 5.90 |
EDNRA | -0.0008454 | 12136 | GTEx | DepMap | Descartes | 0.07 | 2.73 |
SCARA5 | -0.0008703 | 12160 | GTEx | DepMap | Descartes | 0.03 | 2.53 |
LOX | -0.0008880 | 12187 | GTEx | DepMap | Descartes | 0.15 | 8.36 |
COL1A1 | -0.0010295 | 12323 | GTEx | DepMap | Descartes | 20.76 | 799.04 |
Descartes sympathoblasts markers
Top 50 marker genes of sympathoblasts cells in the Decartes fetal adrenal single cell map (https://atlas.brotmanbaty.org/bbi/human-gene-expression-during-development/cell/sympathoblasts/in/adrenal)
Wilcoxon ranksum test P-value for gene set overrepresentation: 9.99e-01
Mean rank of genes in gene set: 8185.21
Median rank of genes in gene set: 8642.5
Rank on gene expression program of top 30 genes in gene set:
Genes | Weight | Rank | GTEx | DepMap | Descartes | Mean.Counts | Mean.TPM |
---|---|---|---|---|---|---|---|
PCSK2 | 0.0019046 | 551 | GTEx | DepMap | Descartes | 0.57 | 45.88 |
SORCS3 | 0.0013160 | 819 | GTEx | DepMap | Descartes | 0.05 | 4.35 |
C1QL1 | 0.0012717 | 861 | GTEx | DepMap | Descartes | 0.60 | 122.11 |
NTNG1 | 0.0006650 | 1663 | GTEx | DepMap | Descartes | 0.11 | 9.71 |
ARC | 0.0003795 | 2623 | GTEx | DepMap | Descartes | 1.41 | 187.67 |
LAMA3 | 0.0000120 | 5384 | GTEx | DepMap | Descartes | 0.07 | 4.33 |
MGAT4C | -0.0000053 | 5605 | GTEx | DepMap | Descartes | 0.06 | 0.94 |
TBX20 | -0.0000209 | 5788 | GTEx | DepMap | Descartes | 0.00 | 1.17 |
GALNTL6 | -0.0000247 | 5834 | GTEx | DepMap | Descartes | 0.01 | 0.37 |
KSR2 | -0.0000721 | 6552 | GTEx | DepMap | Descartes | 0.01 | 0.23 |
SLC35F3 | -0.0000729 | 6577 | GTEx | DepMap | Descartes | 0.00 | 0.24 |
PACRG | -0.0000922 | 6868 | GTEx | DepMap | Descartes | 0.01 | 2.83 |
GRID2 | -0.0000966 | 6963 | GTEx | DepMap | Descartes | 0.01 | 0.48 |
SLC24A2 | -0.0001097 | 7177 | GTEx | DepMap | Descartes | 0.01 | 0.28 |
CDH18 | -0.0001109 | 7196 | GTEx | DepMap | Descartes | 0.00 | 0.00 |
AGBL4 | -0.0001452 | 7772 | GTEx | DepMap | Descartes | 0.02 | 0.71 |
SPOCK3 | -0.0001614 | 8005 | GTEx | DepMap | Descartes | 0.00 | 0.00 |
EML6 | -0.0001933 | 8478 | GTEx | DepMap | Descartes | 0.03 | 1.40 |
ST18 | -0.0001983 | 8560 | GTEx | DepMap | Descartes | 0.01 | 0.17 |
CDH12 | -0.0002106 | 8725 | GTEx | DepMap | Descartes | 0.00 | 0.00 |
PENK | -0.0002261 | 8952 | GTEx | DepMap | Descartes | 0.05 | 8.12 |
GRM7 | -0.0002420 | 9172 | GTEx | DepMap | Descartes | 0.00 | 0.00 |
CCSER1 | -0.0002990 | 9813 | GTEx | DepMap | Descartes | 0.00 | NA |
PCSK1N | -0.0003441 | 10220 | GTEx | DepMap | Descartes | 0.36 | 86.29 |
KCTD16 | -0.0004132 | 10715 | GTEx | DepMap | Descartes | 0.01 | 0.16 |
FGF14 | -0.0004172 | 10742 | GTEx | DepMap | Descartes | 0.00 | 0.13 |
CNTN3 | -0.0004179 | 10750 | GTEx | DepMap | Descartes | 0.02 | 0.46 |
TENM1 | -0.0004837 | 11115 | GTEx | DepMap | Descartes | 0.03 | NA |
ROBO1 | -0.0004857 | 11128 | GTEx | DepMap | Descartes | 0.09 | 3.51 |
HTATSF1 | -0.0005053 | 11230 | GTEx | DepMap | Descartes | 0.29 | 27.36 |
Descartes erythroblasts markers
Top 50 marker genes of erythroblasts cells in the Decartes fetal adrenal single cell map (https://atlas.brotmanbaty.org/bbi/human-gene-expression-during-development/cell/erythroblasts/in/adrenal)
Wilcoxon ranksum test P-value for gene set overrepresentation: 7.99e-01
Mean rank of genes in gene set: 6837.14
Median rank of genes in gene set: 7274
Rank on gene expression program of top 30 genes in gene set:
Genes | Weight | Rank | GTEx | DepMap | Descartes | Mean.Counts | Mean.TPM |
---|---|---|---|---|---|---|---|
SNCA | 0.0064996 | 56 | GTEx | DepMap | Descartes | 1.00 | 133.69 |
SOX6 | 0.0024844 | 374 | GTEx | DepMap | Descartes | 0.50 | 22.51 |
CAT | 0.0009532 | 1153 | GTEx | DepMap | Descartes | 0.48 | 85.34 |
MARCH3 | 0.0008686 | 1277 | GTEx | DepMap | Descartes | 0.45 | NA |
TSPAN5 | 0.0007289 | 1534 | GTEx | DepMap | Descartes | 0.63 | 58.09 |
RAPGEF2 | 0.0005036 | 2136 | GTEx | DepMap | Descartes | 1.01 | 39.21 |
XPO7 | 0.0004076 | 2493 | GTEx | DepMap | Descartes | 0.34 | 19.36 |
SLC25A21 | 0.0001597 | 3955 | GTEx | DepMap | Descartes | 0.01 | 0.59 |
BLVRB | 0.0001382 | 4119 | GTEx | DepMap | Descartes | 0.20 | 43.14 |
SPECC1 | 0.0000740 | 4689 | GTEx | DepMap | Descartes | 0.15 | 4.80 |
ABCB10 | 0.0000720 | 4715 | GTEx | DepMap | Descartes | 0.10 | 16.92 |
TRAK2 | 0.0000363 | 5128 | GTEx | DepMap | Descartes | 0.23 | 11.33 |
TMCC2 | -0.0000052 | 5603 | GTEx | DepMap | Descartes | 0.05 | 4.71 |
RHD | -0.0001113 | 7205 | GTEx | DepMap | Descartes | 0.00 | 0.00 |
SLC4A1 | -0.0001149 | 7274 | GTEx | DepMap | Descartes | 0.00 | 0.00 |
ALAS2 | -0.0001254 | 7441 | GTEx | DepMap | Descartes | 0.00 | 0.00 |
TFR2 | -0.0001900 | 8431 | GTEx | DepMap | Descartes | 0.01 | 0.73 |
CPOX | -0.0002899 | 9724 | GTEx | DepMap | Descartes | 0.07 | 7.87 |
FECH | -0.0003197 | 10006 | GTEx | DepMap | Descartes | 0.04 | 1.97 |
SPTB | -0.0003223 | 10026 | GTEx | DepMap | Descartes | 0.00 | 0.00 |
GCLC | -0.0003383 | 10175 | GTEx | DepMap | Descartes | 0.17 | 16.24 |
SLC25A37 | -0.0003411 | 10197 | GTEx | DepMap | Descartes | 0.44 | 32.30 |
ANK1 | -0.0003957 | 10596 | GTEx | DepMap | Descartes | 0.02 | 0.30 |
RGS6 | -0.0004436 | 10892 | GTEx | DepMap | Descartes | 0.00 | 0.00 |
DENND4A | -0.0005094 | 11254 | GTEx | DepMap | Descartes | 0.56 | 21.70 |
SELENBP1 | -0.0005548 | 11421 | GTEx | DepMap | Descartes | 0.04 | 5.83 |
MICAL2 | -0.0006664 | 11772 | GTEx | DepMap | Descartes | 0.37 | 15.79 |
EPB41 | -0.0009654 | 12269 | GTEx | DepMap | Descartes | 0.07 | 2.91 |
GYPC | -0.0010778 | 12362 | GTEx | DepMap | Descartes | 0.15 | 18.39 |
NA | NA | NA | NA | NA | NA | NA | NA |
Descartes myeloid markers
Top 50 marker genes of myeloid cells in the Decartes fetal adrenal single cell map (https://atlas.brotmanbaty.org/bbi/human-gene-expression-during-development/cell/myeloid/in/adrenal)
Wilcoxon ranksum test P-value for gene set overrepresentation: 9.92e-01
Mean rank of genes in gene set: 7687.29
Median rank of genes in gene set: 10586.5
Rank on gene expression program of top 30 genes in gene set:
Genes | Weight | Rank | GTEx | DepMap | Descartes | Mean.Counts | Mean.TPM |
---|---|---|---|---|---|---|---|
AXL | 0.0020511 | 496 | GTEx | DepMap | Descartes | 1.71 | 123.32 |
SPP1 | 0.0017143 | 617 | GTEx | DepMap | Descartes | 2.04 | 373.97 |
WWP1 | 0.0012674 | 867 | GTEx | DepMap | Descartes | 0.45 | 42.13 |
ABCA1 | 0.0012517 | 877 | GTEx | DepMap | Descartes | 1.55 | 59.61 |
CTSC | 0.0011814 | 935 | GTEx | DepMap | Descartes | 1.62 | 107.03 |
TGFBI | 0.0010501 | 1050 | GTEx | DepMap | Descartes | 4.38 | 220.78 |
FGL2 | 0.0009698 | 1138 | GTEx | DepMap | Descartes | 0.94 | 106.72 |
CTSD | 0.0009024 | 1224 | GTEx | DepMap | Descartes | 3.10 | 512.63 |
CD74 | 0.0008731 | 1270 | GTEx | DepMap | Descartes | 30.95 | 4051.75 |
RGL1 | 0.0007172 | 1556 | GTEx | DepMap | Descartes | 0.37 | 34.68 |
PTPRE | 0.0005200 | 2078 | GTEx | DepMap | Descartes | 0.85 | 54.33 |
CST3 | 0.0002383 | 3381 | GTEx | DepMap | Descartes | 5.70 | 619.56 |
MERTK | 0.0000785 | 4643 | GTEx | DepMap | Descartes | 0.06 | 4.67 |
MARCH1 | -0.0000116 | 5677 | GTEx | DepMap | Descartes | 0.10 | NA |
FMN1 | -0.0001546 | 7916 | GTEx | DepMap | Descartes | 0.11 | 1.38 |
CD163L1 | -0.0003010 | 9839 | GTEx | DepMap | Descartes | 0.00 | 0.16 |
RBPJ | -0.0003322 | 10123 | GTEx | DepMap | Descartes | 1.07 | 67.15 |
FGD2 | -0.0003394 | 10185 | GTEx | DepMap | Descartes | 0.01 | 0.51 |
ATP8B4 | -0.0003852 | 10507 | GTEx | DepMap | Descartes | 0.00 | 0.00 |
LGMN | -0.0004055 | 10666 | GTEx | DepMap | Descartes | 0.54 | 91.91 |
ADAP2 | -0.0004161 | 10735 | GTEx | DepMap | Descartes | 0.00 | 0.06 |
CD14 | -0.0004312 | 10833 | GTEx | DepMap | Descartes | 0.14 | 24.05 |
SFMBT2 | -0.0004779 | 11081 | GTEx | DepMap | Descartes | 0.08 | 4.12 |
MS4A4A | -0.0004855 | 11126 | GTEx | DepMap | Descartes | 0.00 | 0.00 |
SLC1A3 | -0.0004912 | 11155 | GTEx | DepMap | Descartes | 0.01 | 0.57 |
SLC9A9 | -0.0004959 | 11182 | GTEx | DepMap | Descartes | 0.03 | 1.63 |
MSR1 | -0.0004978 | 11193 | GTEx | DepMap | Descartes | 0.03 | 2.65 |
IFNGR1 | -0.0005378 | 11352 | GTEx | DepMap | Descartes | 0.29 | 39.94 |
CD163 | -0.0005526 | 11412 | GTEx | DepMap | Descartes | 0.02 | 0.71 |
CSF1R | -0.0005635 | 11456 | GTEx | DepMap | Descartes | 0.04 | 2.38 |
Descartes Schwann markers
Top 50 marker genes of Schwann cells in the Decartes fetal adrenal single cell map (https://atlas.brotmanbaty.org/bbi/human-gene-expression-during-development/cell/schwann/in/adrenal)
Wilcoxon ranksum test P-value for gene set overrepresentation: 6.48e-21
Mean rank of genes in gene set: 1200.09
Median rank of genes in gene set: 128
Rank on gene expression program of top 30 genes in gene set:
Genes | Weight | Rank | GTEx | DepMap | Descartes | Mean.Counts | Mean.TPM |
---|---|---|---|---|---|---|---|
PLP1 | 0.0140515 | 2 | GTEx | DepMap | Descartes | 9.45 | 1259.80 |
NRXN1 | 0.0121534 | 6 | GTEx | DepMap | Descartes | 5.01 | 216.37 |
ERBB3 | 0.0107676 | 9 | GTEx | DepMap | Descartes | 3.03 | 217.12 |
SLC35F1 | 0.0103464 | 10 | GTEx | DepMap | Descartes | 1.88 | 143.76 |
PTPRZ1 | 0.0102107 | 12 | GTEx | DepMap | Descartes | 2.30 | 89.42 |
GFRA3 | 0.0091542 | 19 | GTEx | DepMap | Descartes | 2.75 | 523.39 |
NRXN3 | 0.0089619 | 20 | GTEx | DepMap | Descartes | 1.96 | 89.83 |
PMP22 | 0.0083050 | 25 | GTEx | DepMap | Descartes | 5.40 | 1258.73 |
SORCS1 | 0.0081112 | 28 | GTEx | DepMap | Descartes | 1.78 | 102.61 |
XKR4 | 0.0079038 | 30 | GTEx | DepMap | Descartes | 1.73 | 37.21 |
STARD13 | 0.0075372 | 35 | GTEx | DepMap | Descartes | 2.68 | 191.53 |
SCN7A | 0.0073860 | 36 | GTEx | DepMap | Descartes | 3.25 | 211.19 |
GAS7 | 0.0072934 | 40 | GTEx | DepMap | Descartes | 4.01 | 182.93 |
DST | 0.0070727 | 46 | GTEx | DepMap | Descartes | 8.48 | 141.75 |
FIGN | 0.0068367 | 49 | GTEx | DepMap | Descartes | 1.27 | 55.27 |
MPZ | 0.0065724 | 54 | GTEx | DepMap | Descartes | 4.13 | 1107.01 |
GRIK3 | 0.0063649 | 58 | GTEx | DepMap | Descartes | 0.76 | 34.50 |
OLFML2A | 0.0060099 | 72 | GTEx | DepMap | Descartes | 3.11 | 155.04 |
VIM | 0.0058976 | 74 | GTEx | DepMap | Descartes | 56.29 | 7674.29 |
EDNRB | 0.0055960 | 83 | GTEx | DepMap | Descartes | 2.22 | 165.58 |
MARCKS | 0.0051056 | 116 | GTEx | DepMap | Descartes | 10.85 | 919.36 |
COL18A1 | 0.0050033 | 121 | GTEx | DepMap | Descartes | 6.48 | 277.53 |
LAMA4 | 0.0046723 | 135 | GTEx | DepMap | Descartes | 2.96 | 146.84 |
KCTD12 | 0.0044027 | 151 | GTEx | DepMap | Descartes | 3.99 | 281.14 |
LAMB1 | 0.0038813 | 190 | GTEx | DepMap | Descartes | 3.62 | 253.93 |
SFRP1 | 0.0035977 | 212 | GTEx | DepMap | Descartes | 2.47 | 163.06 |
LAMC1 | 0.0035658 | 217 | GTEx | DepMap | Descartes | 4.03 | 185.93 |
IL1RAPL1 | 0.0034459 | 234 | GTEx | DepMap | Descartes | 0.22 | 21.42 |
PTN | 0.0028144 | 325 | GTEx | DepMap | Descartes | 1.81 | 390.42 |
EGFLAM | 0.0022251 | 443 | GTEx | DepMap | Descartes | 0.67 | 47.32 |
Descartes Megakaryocytes markers
Top 50 marker genes of Megakaryocytes cells in the Decartes fetal adrenal single cell map (https://atlas.brotmanbaty.org/bbi/human-gene-expression-during-development/cell/megakaryocytes/in/adrenal)
Wilcoxon ranksum test P-value for gene set overrepresentation: 1.00e+00
Mean rank of genes in gene set: 8523
Median rank of genes in gene set: 9908
Rank on gene expression program of top 30 genes in gene set:
Genes | Weight | Rank | GTEx | DepMap | Descartes | Mean.Counts | Mean.TPM |
---|---|---|---|---|---|---|---|
CD9 | 0.0051467 | 113 | GTEx | DepMap | Descartes | 2.85 | 701.67 |
VCL | 0.0022060 | 452 | GTEx | DepMap | Descartes | 2.17 | 94.50 |
TLN1 | 0.0015993 | 665 | GTEx | DepMap | Descartes | 2.85 | 121.04 |
DOK6 | 0.0015550 | 689 | GTEx | DepMap | Descartes | 0.21 | 12.17 |
UBASH3B | 0.0007633 | 1464 | GTEx | DepMap | Descartes | 0.44 | 20.20 |
ACTB | 0.0006632 | 1669 | GTEx | DepMap | Descartes | 19.69 | 2831.21 |
HIPK2 | 0.0002335 | 3412 | GTEx | DepMap | Descartes | 1.00 | 20.17 |
TPM4 | 0.0002176 | 3521 | GTEx | DepMap | Descartes | 2.95 | 171.42 |
LIMS1 | 0.0000909 | 4526 | GTEx | DepMap | Descartes | 1.51 | 105.89 |
FLNA | 0.0000839 | 4591 | GTEx | DepMap | Descartes | 3.44 | 123.40 |
RAP1B | 0.0000736 | 4696 | GTEx | DepMap | Descartes | 0.91 | 22.12 |
TRPC6 | 0.0000041 | 5489 | GTEx | DepMap | Descartes | 0.02 | 0.75 |
ITGB3 | -0.0000760 | 6632 | GTEx | DepMap | Descartes | 0.02 | 0.60 |
ITGA2B | -0.0001170 | 7312 | GTEx | DepMap | Descartes | 0.03 | 1.88 |
STON2 | -0.0001321 | 7552 | GTEx | DepMap | Descartes | 0.04 | 1.25 |
TUBB1 | -0.0001479 | 7812 | GTEx | DepMap | Descartes | 0.00 | 0.00 |
RAB27B | -0.0001941 | 8493 | GTEx | DepMap | Descartes | 0.01 | 0.53 |
MMRN1 | -0.0002457 | 9210 | GTEx | DepMap | Descartes | 0.03 | 2.61 |
GP1BA | -0.0002739 | 9559 | GTEx | DepMap | Descartes | 0.00 | 0.12 |
P2RX1 | -0.0002846 | 9673 | GTEx | DepMap | Descartes | 0.00 | 0.00 |
PSTPIP2 | -0.0003076 | 9894 | GTEx | DepMap | Descartes | 0.03 | 2.93 |
SLC24A3 | -0.0003084 | 9902 | GTEx | DepMap | Descartes | 0.01 | 1.27 |
MED12L | -0.0003088 | 9908 | GTEx | DepMap | Descartes | 0.03 | 0.61 |
GSN | -0.0003225 | 10028 | GTEx | DepMap | Descartes | 4.44 | 232.59 |
ARHGAP6 | -0.0003449 | 10227 | GTEx | DepMap | Descartes | 0.02 | 0.80 |
ANGPT1 | -0.0003800 | 10472 | GTEx | DepMap | Descartes | 0.04 | 2.65 |
ACTN1 | -0.0004199 | 10762 | GTEx | DepMap | Descartes | 2.05 | 123.20 |
LTBP1 | -0.0004244 | 10795 | GTEx | DepMap | Descartes | 0.35 | 18.89 |
PRKAR2B | -0.0004898 | 11145 | GTEx | DepMap | Descartes | 0.12 | 7.28 |
FERMT3 | -0.0005074 | 11243 | GTEx | DepMap | Descartes | 0.14 | 24.38 |
Descartes Lyphoid markers
Top 50 marker genes of Lyphoid cells in the Decartes fetal adrenal single cell map (https://atlas.brotmanbaty.org/bbi/human-gene-expression-during-development/cell/lymphoid/in/adrenal)
Wilcoxon ranksum test P-value for gene set overrepresentation: 1.00e+00
Mean rank of genes in gene set: 8691.81
Median rank of genes in gene set: 11575
Rank on gene expression program of top 30 genes in gene set:
Genes | Weight | Rank | GTEx | DepMap | Descartes | Mean.Counts | Mean.TPM |
---|---|---|---|---|---|---|---|
ARHGAP15 | 0.0024583 | 380 | GTEx | DepMap | Descartes | 0.93 | 139.09 |
GNG2 | 0.0013093 | 825 | GTEx | DepMap | Descartes | 1.42 | 144.72 |
BCL2 | 0.0011940 | 921 | GTEx | DepMap | Descartes | 1.06 | 55.13 |
CELF2 | 0.0010879 | 1013 | GTEx | DepMap | Descartes | 1.59 | 77.17 |
CCND3 | 0.0009140 | 1205 | GTEx | DepMap | Descartes | 0.42 | 66.05 |
ARID5B | 0.0006897 | 1613 | GTEx | DepMap | Descartes | 3.70 | 195.42 |
TOX | 0.0006288 | 1754 | GTEx | DepMap | Descartes | 0.23 | 26.15 |
CD44 | 0.0006183 | 1786 | GTEx | DepMap | Descartes | 6.14 | 427.94 |
ETS1 | 0.0004653 | 2264 | GTEx | DepMap | Descartes | 3.14 | 207.12 |
BACH2 | 0.0004416 | 2355 | GTEx | DepMap | Descartes | 0.56 | 20.23 |
TMSB10 | 0.0003781 | 2628 | GTEx | DepMap | Descartes | 11.17 | 7851.37 |
RAP1GAP2 | 0.0000905 | 4530 | GTEx | DepMap | Descartes | 0.23 | 12.24 |
MSN | 0.0000318 | 5175 | GTEx | DepMap | Descartes | 1.84 | 148.48 |
B2M | -0.0000434 | 6097 | GTEx | DepMap | Descartes | 36.22 | 5325.29 |
MCTP2 | -0.0003043 | 9861 | GTEx | DepMap | Descartes | 0.01 | 0.44 |
SP100 | -0.0003931 | 10578 | GTEx | DepMap | Descartes | 0.84 | 49.16 |
NCALD | -0.0004235 | 10788 | GTEx | DepMap | Descartes | 0.14 | 11.24 |
WIPF1 | -0.0004372 | 10866 | GTEx | DepMap | Descartes | 1.34 | 102.74 |
LEF1 | -0.0004619 | 10998 | GTEx | DepMap | Descartes | 0.22 | 19.67 |
ANKRD44 | -0.0005282 | 11324 | GTEx | DepMap | Descartes | 0.20 | 8.88 |
SAMD3 | -0.0005959 | 11551 | GTEx | DepMap | Descartes | 0.00 | 0.00 |
SKAP1 | -0.0006101 | 11599 | GTEx | DepMap | Descartes | 0.00 | 0.19 |
SCML4 | -0.0006207 | 11631 | GTEx | DepMap | Descartes | 0.00 | 0.00 |
STK39 | -0.0006880 | 11840 | GTEx | DepMap | Descartes | 0.12 | 9.59 |
RCSD1 | -0.0007033 | 11883 | GTEx | DepMap | Descartes | 0.02 | 0.81 |
FOXP1 | -0.0007313 | 11943 | GTEx | DepMap | Descartes | 1.65 | 57.70 |
ITPKB | -0.0007673 | 12017 | GTEx | DepMap | Descartes | 0.35 | 17.74 |
ABLIM1 | -0.0008168 | 12098 | GTEx | DepMap | Descartes | 0.42 | 20.91 |
PITPNC1 | -0.0008633 | 12151 | GTEx | DepMap | Descartes | 0.26 | 12.78 |
MBNL1 | -0.0008779 | 12171 | GTEx | DepMap | Descartes | 1.15 | 73.74 |
Below shows the ranks on this GEP for immune marker gene lists curated by CellTypist (https://www.celltypist.org/encyclopedia).
High ranks indicate this gene is a driver of this GEP.
These curated gene list are ranked by P-value (on this GEP) of their constituent genes.
The Mean Count column shows the mean read count in cells scoring highly (H > 50) on this gene expression program.
Genes | Weight | Rank | GTEx | DepMap | Decartes | Mean.Counts | Mean.TPM |
---|---|---|---|---|---|---|---|
AXL | 0.0020511 | 496 | GTEx | DepMap | Descartes | 1.71 | 123.32 |
KLF4 | 0.0018886 | 556 | GTEx | DepMap | Descartes | 3.92 | 573.20 |
B cells: Memory B cells (model markers)
long-lived mature B lymphocytes which are formed within germinal centers following primary infection and selected for higher-affinity immunoglobulin:
Wilcoxon ranksum test P-value for gene set overrepresentation: 2.09e-02
Mean rank of genes in gene set: 1061
Rank on gene expression program of genes in gene set:
Genes | Weight | Rank | GTEx | DepMap | Decartes | Mean.Counts | Mean.TPM |
---|---|---|---|---|---|---|---|
HES1 | 0.0012829 | 852 | GTEx | DepMap | Descartes | 3.47 | 979.13 |
CD74 | 0.0008731 | 1270 | GTEx | DepMap | Descartes | 30.95 | 4051.75 |
Early MK: Early MK (curated markers)
early megakaryocytes which are committed to megakaryocyte lineage cells:
Wilcoxon ranksum test P-value for gene set overrepresentation: 4.39e-02
Mean rank of genes in gene set: 91
Rank on gene expression program of genes in gene set:
Genes | Weight | Rank | GTEx | DepMap | Decartes | Mean.Counts | Mean.TPM |
---|---|---|---|---|---|---|---|
CMTM5 | 0.0054011 | 91 | GTEx | DepMap | Descartes | 0.36 | 79.49 |