Program: 2. Neuroblastoma #1.

Program: 2. Neuroblastoma #1.




Submit a comment on this gene expression program’s interpretation: CLICK

QQ-plot of gene loadings, averaged over both independent splits of the data
This plot highlights the relative contribution of each gene to the GEP

Interactive QQ Plot

Top genes driving this program.
Note: Decartes website is buggy, try refreshing. Also, Decartes fetal adrenal data have been collected at specific time points (89-122 days), all possible cell types of interest may not be represented, do not overinterpret.
The Mean Count column shows the mean read count in cells scoring highly (H > 50) on this gene expression program.

Gene Loading Gene.Name GTEx DepMap Descartes Mean.Counts Mean.Tpm
1 CYP26B1 0.0107351 cytochrome P450 family 26 subfamily B member 1 GTEx DepMap Descartes 2.49 66.33
2 TRIM29 0.0081182 tripartite motif containing 29 GTEx DepMap Descartes 0.61 25.48
3 CADM1 0.0081174 cell adhesion molecule 1 GTEx DepMap Descartes 14.10 212.18
4 POU3F1 0.0079906 POU class 3 homeobox 1 GTEx DepMap Descartes 2.31 98.42
5 UQCRH 0.0073054 ubiquinol-cytochrome c reductase hinge protein GTEx DepMap Descartes 26.30 4490.41
6 ZFHX4 0.0071272 zinc finger homeobox 4 GTEx DepMap Descartes 2.98 26.17
7 EBF1 0.0067596 EBF transcription factor 1 GTEx DepMap Descartes 7.32 170.57
8 STMN2 0.0067193 stathmin 2 GTEx DepMap Descartes 95.77 6173.16
9 SERBP1 0.0066904 SERPINE1 mRNA binding protein 1 GTEx DepMap Descartes 12.86 231.04
10 NRP2 0.0062843 neuropilin 2 GTEx DepMap Descartes 9.04 179.14
11 PHOX2A 0.0062090 paired like homeobox 2A GTEx DepMap Descartes 25.20 1879.38
12 PCDH9 0.0054768 protocadherin 9 GTEx DepMap Descartes 4.25 20.14
13 BTF3 0.0054758 basic transcription factor 3 GTEx DepMap Descartes 36.24 3541.38
14 CDH22 0.0054641 cadherin 22 GTEx DepMap Descartes 0.56 18.20
15 ELAVL4 0.0051906 ELAV like RNA binding protein 4 GTEx DepMap Descartes 18.16 555.32
16 KCNK3 0.0050571 potassium two pore domain channel subfamily K member 3 GTEx DepMap Descartes 2.12 43.19
17 PLCXD3 0.0049718 phosphatidylinositol specific phospholipase C X domain containing 3 GTEx DepMap Descartes 1.08 16.98
18 ITGA8 0.0047937 integrin subunit alpha 8 GTEx DepMap Descartes 0.81 15.86
19 CNTNAP2 0.0047420 contactin associated protein 2 GTEx DepMap Descartes 8.88 117.79
20 EIF3I 0.0046180 eukaryotic translation initiation factor 3 subunit I GTEx DepMap Descartes 5.75 484.56
21 NOC2L 0.0045977 NOC2 like nucleolar associated transcriptional repressor GTEx DepMap Descartes 3.26 98.56
22 SPOCK1 0.0045517 SPARC (osteonectin), cwcv and kazal like domains proteoglycan 1 GTEx DepMap Descartes 5.04 129.73
23 DDT 0.0045347 D-dopachrome tautomerase GTEx DepMap Descartes 9.08 1019.99
24 COCH 0.0044902 cochlin GTEx DepMap Descartes 1.66 72.61
25 BEND5 0.0044597 BEN domain containing 5 GTEx DepMap Descartes 3.11 233.47
26 UBXN1 0.0043634 UBX domain protein 1 GTEx DepMap Descartes 9.91 592.19
27 XIST 0.0043274 X inactive specific transcript GTEx DepMap Descartes 6.05 40.27
28 CHGA 0.0042274 chromogranin A GTEx DepMap Descartes 8.91 570.12
29 NEFM 0.0041583 neurofilament medium chain GTEx DepMap Descartes 5.48 202.02
30 SLC30A8 0.0041123 solute carrier family 30 member 8 GTEx DepMap Descartes 0.09 2.12
31 EPHA5 0.0041067 EPH receptor A5 GTEx DepMap Descartes 0.79 11.88
32 BASP1 0.0040627 brain abundant membrane attached signal protein 1 GTEx DepMap Descartes 28.89 1998.16
33 INSM2 0.0040589 INSM transcriptional repressor 2 GTEx DepMap Descartes 2.45 109.76
34 ENO3 0.0040307 enolase 3 GTEx DepMap Descartes 0.83 63.43
35 OSBPL3 0.0038969 oxysterol binding protein like 3 GTEx DepMap Descartes 0.89 17.15
36 FZD8 0.0038855 frizzled class receptor 8 GTEx DepMap Descartes 0.35 11.12
37 EIF3H 0.0038487 eukaryotic translation initiation factor 3 subunit H GTEx DepMap Descartes 9.12 276.37
38 EIF3G 0.0038412 eukaryotic translation initiation factor 3 subunit G GTEx DepMap Descartes 7.70 597.92
39 PCDH7 0.0038349 protocadherin 7 GTEx DepMap Descartes 2.34 42.42
40 GRIK3 0.0038039 glutamate ionotropic receptor kainate type subunit 3 GTEx DepMap Descartes 0.30 3.79
41 HCRT 0.0037715 hypocretin neuropeptide precursor GTEx DepMap Descartes 0.72 145.06
42 PERP 0.0037338 p53 apoptosis effector related to PMP22 GTEx DepMap Descartes 1.10 32.46
43 EIF3L 0.0037151 eukaryotic translation initiation factor 3 subunit L GTEx DepMap Descartes 12.62 463.86
44 SEZ6L 0.0036713 seizure related 6 homolog like GTEx DepMap Descartes 2.06 39.85
45 TRABD2B 0.0036684 TraB domain containing 2B GTEx DepMap Descartes 0.19 NA
46 EXOSC4 0.0035988 exosome component 4 GTEx DepMap Descartes 1.81 212.25
47 NCAM1 0.0035782 neural cell adhesion molecule 1 GTEx DepMap Descartes 10.08 210.90
48 PPM1G 0.0035540 protein phosphatase, Mg2+/Mn2+ dependent 1G GTEx DepMap Descartes 7.09 225.44
49 YBX1 0.0035382 Y-box binding protein 1 GTEx DepMap Descartes 34.67 1379.81
50 EEF1B2 0.0035312 eukaryotic translation elongation factor 1 beta 2 GTEx DepMap Descartes 42.12 4660.91


Dowload full table


UMAP plots showing activity of gene expression program identified in GEP 2. Neuroblastoma #1:

Interactive UMAP Plot
Interactive Boxplot


CNV Data procured from inferCNV.
Outer tracks are putative CNV regions (gains = red, losses = blue) for each patient
Inner track is expression data representing:
    The top cells expressing this GEP (purple)
    Random cells (n =50) from the reference set used in inferCNV (orange)

Interactive BioCircos Plot


Gene set Enrichments for this program, caculated from top 50 genes


mSigDB Cell Types Gene Set:

P-value OR Lower 95% CI FDR FWER Genes Found Gene Set Size
DURANTE_ADULT_OLFACTORY_NEUROEPITHELIUM_IMMATURE_NEURONS 6.17e-08 18.17 7.22 8.29e-06 4.14e-05
8CADM1, EBF1, STMN2, PCDH9, ELAVL4, SPOCK1, BASP1, NCAM1
139
DESCARTES_FETAL_STOMACH_ENS_NEURONS 1.04e-05 20.11 6.05 5.82e-04 6.99e-03
5STMN2, ELAVL4, CNTNAP2, SPOCK1, SEZ6L
74
MANNO_MIDBRAIN_NEUROTYPES_HRN 4.70e-08 10.88 4.98 7.89e-06 3.16e-05
11POU3F1, ZFHX4, STMN2, PCDH9, CDH22, ELAVL4, BEND5, XIST, CHGA, BASP1, NCAM1
335
MANNO_MIDBRAIN_NEUROTYPES_HOMTN 1.99e-08 10.47 4.94 4.46e-06 1.34e-05
12CADM1, STMN2, NRP2, PHOX2A, PCDH9, ELAVL4, PLCXD3, CNTNAP2, CHGA, NEFM, BASP1, PCDH7
389
TRAVAGLINI_LUNG_PROXIMAL_BASAL_CELL 6.12e-09 8.73 4.41 2.05e-06 4.10e-06
15TRIM29, UQCRH, SERBP1, BTF3, EIF3I, BEND5, UBXN1, XIST, EIF3H, EIF3G, PCDH7, PERP, EIF3L, YBX1, EEF1B2
629
MANNO_MIDBRAIN_NEUROTYPES_HNBML1 4.17e-07 9.83 4.34 3.99e-05 2.80e-04
10POU3F1, EBF1, STMN2, PCDH9, ELAVL4, PLCXD3, XIST, BASP1, SEZ6L, NCAM1
328
DESCARTES_FETAL_INTESTINE_ENS_NEURONS 3.64e-05 11.06 3.80 1.75e-03 2.45e-02
6STMN2, PHOX2A, ELAVL4, CNTNAP2, SPOCK1, NEFM
160
MANNO_MIDBRAIN_NEUROTYPES_HDA 3.19e-07 8.00 3.78 3.57e-05 2.14e-04
12CADM1, EBF1, STMN2, ELAVL4, PLCXD3, XIST, CHGA, EPHA5, BASP1, GRIK3, SEZ6L, NCAM1
506
MANNO_MIDBRAIN_NEUROTYPES_HGABA 4.15e-09 7.06 3.76 2.05e-06 2.78e-06
19CADM1, ZFHX4, EBF1, STMN2, NRP2, PCDH9, CDH22, ELAVL4, PLCXD3, ITGA8, CNTNAP2, SPOCK1, XIST, CHGA, BASP1, PCDH7, GRIK3, SEZ6L, NCAM1
1105
MANNO_MIDBRAIN_NEUROTYPES_HNBM 1.64e-05 8.30 3.33 8.44e-04 1.10e-02
8CADM1, POU3F1, ZFHX4, EBF1, STMN2, ELAVL4, XIST, NCAM1
295
MANNO_MIDBRAIN_NEUROTYPES_HDA1 1.37e-06 6.90 3.27 1.03e-04 9.23e-04
12CADM1, ZFHX4, STMN2, CDH22, ELAVL4, SPOCK1, CHGA, EPHA5, BASP1, GRIK3, SEZ6L, NCAM1
584
MENON_FETAL_KIDNEY_0_CAP_MESENCHYME_CELLS 4.31e-04 12.63 3.23 1.52e-02 2.89e-01
4ITGA8, XIST, NCAM1, PPM1G
90
HU_FETAL_RETINA_RGC 5.80e-06 7.22 3.20 3.89e-04 3.89e-03
10CADM1, EBF1, STMN2, ELAVL4, BEND5, NEFM, EPHA5, BASP1, SEZ6L, NCAM1
443
MANNO_MIDBRAIN_NEUROTYPES_HSERT 6.63e-06 7.10 3.15 4.04e-04 4.45e-03
10CADM1, STMN2, PCDH9, KCNK3, PLCXD3, SPOCK1, CHGA, BASP1, PCDH7, NCAM1
450
MANNO_MIDBRAIN_NEUROTYPES_HNBGABA 1.35e-06 6.37 3.09 1.03e-04 9.07e-04
13CADM1, ZFHX4, STMN2, PCDH9, ELAVL4, CNTNAP2, SPOCK1, XIST, CHGA, EPHA5, BASP1, PCDH7, NCAM1
703
DESCARTES_MAIN_FETAL_CHROMAFFIN_CELLS 4.05e-03 23.65 2.62 8.76e-02 1.00e+00
2PHOX2A, INSM2
24
MANNO_MIDBRAIN_NEUROTYPES_HNBML5 5.97e-05 6.02 2.56 2.67e-03 4.01e-02
9ZFHX4, STMN2, PCDH9, ELAVL4, CNTNAP2, CHGA, BASP1, PCDH7, NCAM1
465
TRAVAGLINI_LUNG_PERICYTE_CELL 1.04e-03 9.88 2.54 3.18e-02 7.00e-01
4CADM1, EBF1, KCNK3, PERP
114
BUSSLINGER_DUODENAL_STEM_CELLS 1.85e-04 6.69 2.52 7.03e-03 1.24e-01
7SERBP1, BTF3, XIST, EIF3H, EIF3L, YBX1, EEF1B2
311
GAO_LARGE_INTESTINE_ADULT_CA_ENTEROENDOCRINE_CELLS 1.89e-04 6.67 2.51 7.03e-03 1.27e-01
7STMN2, PCDH9, CDH22, ELAVL4, KCNK3, PLCXD3, SPOCK1
312

Dowload full table

mSigDB Hallmark Gene Sets:

P-value OR Lower 95% CI FDR FWER Genes Found Gene Set Size
HALLMARK_EPITHELIAL_MESENCHYMAL_TRANSITION 7.71e-03 5.55 1.44 3.85e-01 3.85e-01
4CADM1, SPOCK1, BASP1, FZD8
200
HALLMARK_ESTROGEN_RESPONSE_LATE 4.35e-02 4.05 0.80 7.25e-01 1.00e+00
3CYP26B1, TRIM29, PERP
200
HALLMARK_MYC_TARGETS_V1 4.35e-02 4.05 0.80 7.25e-01 1.00e+00
3SERBP1, PPM1G, EEF1B2
200
HALLMARK_FATTY_ACID_METABOLISM 1.28e-01 3.34 0.39 1.00e+00 1.00e+00
2XIST, ENO3
158
HALLMARK_IL2_STAT5_SIGNALING 1.83e-01 2.64 0.31 1.00e+00 1.00e+00
2COCH, ENO3
199
HALLMARK_MYOGENESIS 1.85e-01 2.63 0.31 1.00e+00 1.00e+00
2ENO3, NCAM1
200
HALLMARK_HEDGEHOG_SIGNALING 1.34e-01 7.29 0.18 1.00e+00 1.00e+00
1NRP2
36
HALLMARK_PANCREAS_BETA_CELLS 1.47e-01 6.54 0.16 1.00e+00 1.00e+00
1CHGA
40
HALLMARK_WNT_BETA_CATENIN_SIGNALING 1.54e-01 6.22 0.15 1.00e+00 1.00e+00
1FZD8
42
HALLMARK_PEROXISOME 3.39e-01 2.48 0.06 1.00e+00 1.00e+00
1CADM1
104
HALLMARK_UNFOLDED_PROTEIN_RESPONSE 3.62e-01 2.28 0.06 1.00e+00 1.00e+00
1EXOSC4
113
HALLMARK_HYPOXIA 5.47e-01 1.28 0.03 1.00e+00 1.00e+00
1ENO3
200
HALLMARK_ADIPOGENESIS 5.47e-01 1.28 0.03 1.00e+00 1.00e+00
1DDT
200
HALLMARK_ESTROGEN_RESPONSE_EARLY 5.47e-01 1.28 0.03 1.00e+00 1.00e+00
1CYP26B1
200
HALLMARK_INFLAMMATORY_RESPONSE 5.47e-01 1.28 0.03 1.00e+00 1.00e+00
1PCDH7
200
HALLMARK_XENOBIOTIC_METABOLISM 5.47e-01 1.28 0.03 1.00e+00 1.00e+00
1DDT
200
HALLMARK_OXIDATIVE_PHOSPHORYLATION 5.47e-01 1.28 0.03 1.00e+00 1.00e+00
1UQCRH
200
HALLMARK_P53_PATHWAY 5.47e-01 1.28 0.03 1.00e+00 1.00e+00
1PERP
200
HALLMARK_KRAS_SIGNALING_DN 5.47e-01 1.28 0.03 1.00e+00 1.00e+00
1EPHA5
200
HALLMARK_TNFA_SIGNALING_VIA_NFKB 1.00e+00 0.00 0.00 1.00e+00 1.00e+00
0
200

Dowload full table

KEGG Pathways:

P-value OR Lower 95% CI FDR FWER Genes Found Gene Set Size
KEGG_CELL_ADHESION_MOLECULES_CAMS 1.83e-03 8.43 2.17 3.41e-01 3.41e-01
4CADM1, ITGA8, CNTNAP2, NCAM1
133
KEGG_RNA_DEGRADATION 2.28e-02 9.13 1.05 1.00e+00 1.00e+00
2ENO3, EXOSC4
59
KEGG_PRION_DISEASES 1.30e-01 7.50 0.18 1.00e+00 1.00e+00
1NCAM1
35
KEGG_AMYOTROPHIC_LATERAL_SCLEROSIS_ALS 1.90e-01 4.91 0.12 1.00e+00 1.00e+00
1NEFM
53
KEGG_BASAL_CELL_CARCINOMA 1.97e-01 4.72 0.12 1.00e+00 1.00e+00
1FZD8
55
KEGG_GLYCOLYSIS_GLUCONEOGENESIS 2.19e-01 4.18 0.10 1.00e+00 1.00e+00
1ENO3
62
KEGG_RETINOL_METABOLISM 2.25e-01 4.05 0.10 1.00e+00 1.00e+00
1CYP26B1
64
KEGG_P53_SIGNALING_PATHWAY 2.37e-01 3.81 0.09 1.00e+00 1.00e+00
1PERP
68
KEGG_ARRHYTHMOGENIC_RIGHT_VENTRICULAR_CARDIOMYOPATHY_ARVC 2.55e-01 3.49 0.09 1.00e+00 1.00e+00
1ITGA8
74
KEGG_CARDIAC_MUSCLE_CONTRACTION 2.70e-01 3.27 0.08 1.00e+00 1.00e+00
1UQCRH
79
KEGG_HYPERTROPHIC_CARDIOMYOPATHY_HCM 2.81e-01 3.11 0.08 1.00e+00 1.00e+00
1ITGA8
83
KEGG_ECM_RECEPTOR_INTERACTION 2.84e-01 3.07 0.08 1.00e+00 1.00e+00
1ITGA8
84
KEGG_DILATED_CARDIOMYOPATHY 3.01e-01 2.87 0.07 1.00e+00 1.00e+00
1ITGA8
90
KEGG_MELANOGENESIS 3.31e-01 2.55 0.06 1.00e+00 1.00e+00
1FZD8
101
KEGG_AXON_GUIDANCE 4.01e-01 1.99 0.05 1.00e+00 1.00e+00
1EPHA5
129
KEGG_PARKINSONS_DISEASE 4.03e-01 1.98 0.05 1.00e+00 1.00e+00
1UQCRH
130
KEGG_OXIDATIVE_PHOSPHORYLATION 4.08e-01 1.95 0.05 1.00e+00 1.00e+00
1UQCRH
132
KEGG_WNT_SIGNALING_PATHWAY 4.51e-01 1.70 0.04 1.00e+00 1.00e+00
1FZD8
151
KEGG_ALZHEIMERS_DISEASE 4.82e-01 1.55 0.04 1.00e+00 1.00e+00
1UQCRH
166
KEGG_HUNTINGTONS_DISEASE 5.14e-01 1.41 0.03 1.00e+00 1.00e+00
1UQCRH
182

Dowload full table

CHR Positional Gene Sets:

P-value OR Lower 95% CI FDR FWER Genes Found Gene Set Size
chr1p33 9.06e-05 19.39 4.91 2.52e-02 2.52e-02
4UQCRH, ELAVL4, BEND5, TRABD2B
60
chr11q23 4.62e-02 3.95 0.78 1.00e+00 1.00e+00
3TRIM29, CADM1, NCAM1
205
chr1p34 9.17e-02 2.93 0.58 1.00e+00 1.00e+00
3POU3F1, GRIK3, YBX1
275
chr8q24 1.28e-01 2.51 0.50 1.00e+00 1.00e+00
3SLC30A8, EIF3H, EXOSC4
321
chr2p23 1.11e-01 3.64 0.42 1.00e+00 1.00e+00
2KCNK3, PPM1G
145
chr8q21 1.55e-01 2.96 0.35 1.00e+00 1.00e+00
2ZFHX4, STMN2
178
chr2q33 1.78e-01 2.70 0.32 1.00e+00 1.00e+00
2NRP2, EEF1B2
195
chr14q13 2.09e-01 4.40 0.11 1.00e+00 1.00e+00
1INSM2
59
chr10p13 2.25e-01 4.05 0.10 1.00e+00 1.00e+00
1ITGA8
64
chr7q35 2.28e-01 3.99 0.10 1.00e+00 1.00e+00
1CNTNAP2
65
chr7p15 3.17e-01 2.68 0.07 1.00e+00 1.00e+00
1OSBPL3
96
chr14q12 3.31e-01 2.55 0.06 1.00e+00 1.00e+00
1COCH
101
chr6q23 3.44e-01 2.43 0.06 1.00e+00 1.00e+00
1PERP
106
chr5q33 3.52e-01 2.36 0.06 1.00e+00 1.00e+00
1EBF1
109
chr4p15 3.84e-01 2.11 0.05 1.00e+00 1.00e+00
1PCDH7
122
chr5p13 3.99e-01 2.01 0.05 1.00e+00 1.00e+00
1PLCXD3
128
chr8p21 3.99e-01 2.01 0.05 1.00e+00 1.00e+00
1NEFM
128
chr1p35 4.03e-01 1.98 0.05 1.00e+00 1.00e+00
1EIF3I
130
chr2p13 4.20e-01 1.88 0.05 1.00e+00 1.00e+00
1CYP26B1
137
chr5q13 4.31e-01 1.81 0.04 1.00e+00 1.00e+00
1BTF3
142

Dowload full table

Transcription Factor Targets:

P-value OR Lower 95% CI FDR FWER Genes Found Gene Set Size
YY1_Q6 4.13e-04 6.96 2.40 2.86e-01 4.68e-01
6UQCRH, SERBP1, BTF3, ELAVL4, FZD8, YBX1
251
GATA_Q6 1.10e-03 7.08 2.17 2.86e-01 1.00e+00
5NRP2, PHOX2A, PCDH9, ELAVL4, KCNK3
201
SRY_01 1.91e-03 6.23 1.91 2.86e-01 1.00e+00
5CADM1, ELAVL4, BEND5, NCAM1, YBX1
228
CHX10_01 1.91e-03 6.23 1.91 2.86e-01 1.00e+00
5ZFHX4, PCDH9, BASP1, HCRT, SEZ6L
228
SOX9_B1 2.29e-03 5.96 1.83 2.86e-01 1.00e+00
5CADM1, EBF1, ELAVL4, BASP1, NCAM1
238
GCCATNTTG_YY1_Q6 1.33e-03 4.73 1.79 2.86e-01 1.00e+00
7UQCRH, SERBP1, BTF3, ELAVL4, FZD8, YBX1, EEF1B2
437
GATA1_03 2.64e-03 5.76 1.77 2.86e-01 1.00e+00
5NRP2, PCDH9, ELAVL4, PCDH7, YBX1
246
FOXM1_01 2.73e-03 5.72 1.76 2.86e-01 1.00e+00
5UQCRH, EBF1, PCDH9, ELAVL4, NCAM1
248
E2A_Q2 2.97e-03 5.60 1.72 2.86e-01 1.00e+00
5CADM1, SERBP1, ELAVL4, ENO3, GRIK3
253
NRSF_01 6.61e-03 8.48 1.66 3.56e-01 1.00e+00
3STMN2, CHGA, NEFM
97
PAX2_02 3.61e-03 5.34 1.64 2.86e-01 1.00e+00
5STMN2, SERBP1, ELAVL4, PCDH7, GRIK3
265
GATA_C 3.79e-03 5.28 1.62 2.86e-01 1.00e+00
5PHOX2A, ELAVL4, KCNK3, GRIK3, YBX1
268
E2F_Q2 5.37e-03 6.17 1.60 3.25e-01 1.00e+00
4POU3F1, UQCRH, SERBP1, GRIK3
180
AACTTT_UNKNOWN 5.19e-04 3.08 1.58 2.86e-01 5.88e-01
16CYP26B1, CADM1, POU3F1, ZFHX4, EBF1, NRP2, PCDH9, ELAVL4, CNTNAP2, NEFM, EPHA5, BASP1, ENO3, PCDH7, GRIK3, SEZ6L
1928
NMYC_01 4.54e-03 5.05 1.55 3.21e-01 1.00e+00
5POU3F1, UBXN1, NEFM, SEZ6L, YBX1
280
MYC_Q2 6.12e-03 5.94 1.54 3.47e-01 1.00e+00
4POU3F1, SERBP1, UBXN1, YBX1
187
USF_C 4.81e-03 4.98 1.53 3.21e-01 1.00e+00
5SERBP1, UBXN1, ENO3, SEZ6L, YBX1
284
ZNF596_TARGET_GENES 3.00e-03 3.68 1.48 2.86e-01 1.00e+00
8ZFHX4, EBF1, PCDH9, CDH22, BASP1, PCDH7, TRABD2B, NCAM1
656
FOX_Q2 9.54e-03 5.20 1.35 3.77e-01 1.00e+00
4CYP26B1, CADM1, GRIK3, NCAM1
213
FOXE1_TARGET_GENES 5.45e-03 3.31 1.34 3.25e-01 1.00e+00
8CADM1, UQCRH, NRP2, PCDH9, CNTNAP2, XIST, EXOSC4, YBX1
728

Dowload full table

GO Biological Processes:

P-value OR Lower 95% CI FDR FWER Genes Found Gene Set Size
GOBP_FORMATION_OF_CYTOPLASMIC_TRANSLATION_INITIATION_COMPLEX 3.90e-07 90.00 20.43 2.92e-03 2.92e-03
4EIF3I, EIF3H, EIF3G, EIF3L
16
GOBP_VIRAL_TRANSLATIONAL_TERMINATION_REINITIATION 1.54e-04 172.68 14.09 3.85e-01 1.00e+00
2EIF3G, EIF3L
5
GOBP_CYTOPLASMIC_TRANSLATIONAL_INITIATION 9.37e-06 36.12 8.90 3.50e-02 7.01e-02
4EIF3I, EIF3H, EIF3G, EIF3L
34
GOBP_VIRAL_TRANSLATION 1.80e-03 37.11 3.99 1.00e+00 1.00e+00
2EIF3G, EIF3L
16
GOBP_PARASYMPATHETIC_NERVOUS_SYSTEM_DEVELOPMENT 1.80e-03 37.11 3.99 1.00e+00 1.00e+00
2NRP2, PHOX2A
16
GOBP_BLASTODERM_SEGMENTATION 2.54e-03 30.58 3.34 1.00e+00 1.00e+00
2NRP2, BASP1
19
GOBP_SYMPATHETIC_NERVOUS_SYSTEM_DEVELOPMENT 3.10e-03 27.37 3.01 1.00e+00 1.00e+00
2NRP2, PHOX2A
21
GOBP_CYTOPLASMIC_TRANSLATION 6.90e-04 11.09 2.84 9.22e-01 1.00e+00
4EIF3I, EIF3H, EIF3G, EIF3L
102
GOBP_CRANIAL_NERVE_MORPHOGENESIS 4.74e-03 21.66 2.42 1.00e+00 1.00e+00
2NRP2, PHOX2A
26
GOBP_HEAD_DEVELOPMENT 4.02e-04 4.23 1.88 7.52e-01 1.00e+00
10POU3F1, NRP2, PHOX2A, PCDH9, CDH22, KCNK3, ITGA8, CNTNAP2, EPHA5, BASP1
750
GOBP_NEGATIVE_REGULATION_OF_PROTEASOMAL_UBIQUITIN_DEPENDENT_PROTEIN_CATABOLIC_PROCESS 8.94e-03 15.30 1.73 1.00e+00 1.00e+00
2UBXN1, EIF3H
36
GOBP_HOMOPHILIC_CELL_ADHESION_VIA_PLASMA_MEMBRANE_ADHESION_MOLECULES 4.13e-03 6.67 1.72 1.00e+00 1.00e+00
4CADM1, PCDH9, CDH22, PCDH7
167
GOBP_CENTRAL_NERVOUS_SYSTEM_DEVELOPMENT 7.40e-04 3.64 1.68 9.22e-01 1.00e+00
11POU3F1, NRP2, PHOX2A, PCDH9, CDH22, KCNK3, ITGA8, CNTNAP2, SPOCK1, EPHA5, BASP1
980
GOBP_LIMBIC_SYSTEM_DEVELOPMENT 6.79e-03 8.40 1.64 1.00e+00 1.00e+00
3NRP2, CNTNAP2, EPHA5
98
GOBP_SEMAPHORIN_PLEXIN_SIGNALING_PATHWAY 1.10e-02 13.70 1.56 1.00e+00 1.00e+00
2NRP2, NCAM1
40
GOBP_TRANSLATIONAL_INITIATION 6.83e-03 5.75 1.49 1.00e+00 1.00e+00
4EIF3I, EIF3H, EIF3G, EIF3L
193
GOBP_CRANIAL_NERVE_DEVELOPMENT 1.37e-02 12.10 1.38 1.00e+00 1.00e+00
2NRP2, PHOX2A
45
GOBP_REGULATION_OF_MRNA_CATABOLIC_PROCESS 9.10e-03 5.28 1.37 1.00e+00 1.00e+00
4SERBP1, ELAVL4, EXOSC4, YBX1
210
GOBP_AUTONOMIC_NERVOUS_SYSTEM_DEVELOPMENT 1.43e-02 11.83 1.35 1.00e+00 1.00e+00
2NRP2, PHOX2A
46
GOBP_RIBONUCLEOPROTEIN_COMPLEX_BIOGENESIS 8.96e-03 3.67 1.27 1.00e+00 1.00e+00
6EIF3I, NOC2L, EIF3H, EIF3G, EIF3L, EXOSC4
471

Dowload full table

Immunological Gene Sets:

P-value OR Lower 95% CI FDR FWER Genes Found Gene Set Size
GSE6269_HEALTHY_VS_FLU_INF_PBMC_UP 5.20e-06 12.04 4.50 2.53e-02 2.53e-02
7POU3F1, BTF3, NEFM, ENO3, EIF3H, EIF3L, EEF1B2
176
GSE37301_COMMON_LYMPHOID_PROGENITOR_VS_GRAN_MONO_PROGENITOR_DN 9.88e-04 7.27 2.23 7.51e-01 1.00e+00
5DDT, BEND5, EIF3H, SEZ6L, EEF1B2
196
GSE17721_CTRL_VS_LPS_1H_BMDC_DN 1.06e-03 7.16 2.19 7.51e-01 1.00e+00
5PHOX2A, NOC2L, ENO3, HCRT, EEF1B2
199
GSE9509_LPS_VS_LPS_AND_IL10_STIM_IL10_KO_MACROPHAGE_10MIN_UP 1.06e-03 7.16 2.19 7.51e-01 1.00e+00
5EBF1, STMN2, SPOCK1, BASP1, NCAM1
199
GSE2405_0H_VS_9H_A_PHAGOCYTOPHILUM_STIM_NEUTROPHIL_DN 1.08e-03 7.12 2.18 7.51e-01 1.00e+00
5SERBP1, EIF3I, EIF3H, YBX1, EEF1B2
200
GSE21927_SPLEEN_C57BL6_VS_4T1_TUMOR_BALBC_MONOCYTES_UP 1.08e-03 7.12 2.18 7.51e-01 1.00e+00
5UQCRH, BTF3, EIF3H, EIF3L, EEF1B2
200
GSE21927_SPLEEN_C57BL6_VS_EL4_TUMOR_BALBC_MONOCYTES_DN 1.08e-03 7.12 2.18 7.51e-01 1.00e+00
5UQCRH, SERBP1, NOC2L, PPM1G, YBX1
200
GSE17974_IL4_AND_ANTI_IL12_VS_UNTREATED_6H_ACT_CD4_TCELL_UP 6.47e-03 5.84 1.51 1.00e+00 1.00e+00
4ZFHX4, NRP2, PLCXD3, INSM2
190
GSE10325_CD4_TCELL_VS_BCELL_DN 6.95e-03 5.72 1.48 1.00e+00 1.00e+00
4PCDH9, COCH, BEND5, BASP1
194
GSE27291_6H_VS_7D_STIM_GAMMADELTA_TCELL_UP 6.95e-03 5.72 1.48 1.00e+00 1.00e+00
4UQCRH, EIF3I, NOC2L, DDT
194
GSE10325_LUPUS_CD4_TCELL_VS_LUPUS_BCELL_DN 7.07e-03 5.69 1.47 1.00e+00 1.00e+00
4PCDH9, COCH, BEND5, BASP1
195
GSE24814_STAT5_KO_VS_WT_PRE_BCELL_UP 7.32e-03 5.63 1.46 1.00e+00 1.00e+00
4CNTNAP2, SPOCK1, CHGA, BASP1
197
GSE13411_NAIVE_VS_MEMORY_BCELL_DN 7.45e-03 5.60 1.45 1.00e+00 1.00e+00
4OSBPL3, EIF3G, EXOSC4, PPM1G
198
GSE15330_HSC_VS_LYMPHOID_PRIMED_MULTIPOTENT_PROGENITOR_IKAROS_KO_UP 7.45e-03 5.60 1.45 1.00e+00 1.00e+00
4ZFHX4, EIF3I, NEFM, YBX1
198
GSE11961_MEMORY_BCELL_DAY40_VS_GERMINAL_CENTER_BCELL_DAY40_UP 7.45e-03 5.60 1.45 1.00e+00 1.00e+00
4PLCXD3, CNTNAP2, EPHA5, OSBPL3
198
GSE15930_STIM_VS_STIM_AND_IL12_24H_CD8_T_CELL_DN 7.58e-03 5.57 1.44 1.00e+00 1.00e+00
4ELAVL4, KCNK3, PCDH7, HCRT
199
GSE27786_CD8_TCELL_VS_NKCELL_UP 7.58e-03 5.57 1.44 1.00e+00 1.00e+00
4SERBP1, PHOX2A, EIF3I, EIF3G
199
GSE7548_DAY7_VS_DAY28_PCC_IMMUNIZATION_CD4_TCELL_DN 7.58e-03 5.57 1.44 1.00e+00 1.00e+00
4CNTNAP2, EIF3I, GRIK3, YBX1
199
GSE13522_CTRL_VS_T_CRUZI_BRAZIL_STRAIN_INF_SKIN_DN 7.58e-03 5.57 1.44 1.00e+00 1.00e+00
4SPOCK1, SLC30A8, EPHA5, TRABD2B
199
GSE23114_WT_VS_SLE2C1_MOUSE_SPLEEN_B1A_BCELL_DN 7.58e-03 5.57 1.44 1.00e+00 1.00e+00
4STMN2, CDH22, PCDH7, GRIK3
199

Dowload full table

Top Ranked Transcription Factors for this Gene Expression Program:

Gene Symbol TF Rank DNA Binding Domain Motif Status IUPAC PWM GTEx DepMap Decartes
TRIM29 2 No Unlikely to be sequence specific TF Not a DNA binding protein No motif None Previous evidence for TF activity (PMID: 8188213) is based on sequence analysis and does not provide DNA-binding evidence. Based on EntrezGene information, its likely a transcriptional co-factor
POU3F1 4 Yes Known motif Monomer or homomultimer High-throughput in vitro None None
ZFHX4 6 Yes Inferred motif Monomer or homomultimer In vivo/Misc source None Curious protein with numerous C2H2 and homeodomain-like domains.
EBF1 7 Yes Known motif Monomer or homomultimer High-throughput in vitro None None
PHOX2A 11 Yes Known motif Monomer or homomultimer High-throughput in vitro None None
EPHA5 31 No Unlikely to be sequence specific TF Not a DNA binding protein No motif None None
INSM2 33 Yes Likely to be sequence specific TF Monomer or homomultimer No motif None None
YBX1 49 Yes Known motif Monomer or homomultimer High-throughput in vitro None Might also bind RNA
BCL11A 83 Yes Known motif Monomer or homomultimer In vivo/Misc source None None
POU4F2 85 Yes Known motif Monomer or homomultimer High-throughput in vitro None None
KDM1A 98 No Unlikely to be sequence specific TF Low specificity DNA-binding protein No motif None Affects transcription by histone modification
NR2F6 125 Yes Known motif Monomer or homomultimer High-throughput in vitro None None
PARK7 139 No Unlikely to be sequence specific TF Not a DNA binding protein No motif None Operates upstream in the signaling cascade
ZC3H13 140 No ssDNA/RNA binding Not a DNA binding protein No motif None None
NTRK1 148 No Unlikely to be sequence specific TF Not a DNA binding protein No motif None Membrane bound receptor protein
ONECUT2 152 Yes Known motif Monomer or homomultimer High-throughput in vitro None None
RAPGEF5 156 No Unlikely to be sequence specific TF Not a DNA binding protein No motif None None
TCF7L2 162 Yes Known motif Monomer or homomultimer 100 perc ID - in vitro None None
EIF3K 163 No Unlikely to be sequence specific TF Not a DNA binding protein No motif None None
TSHZ3 169 Yes Likely to be sequence specific TF Monomer or homomultimer No motif None The C2H2 domains are too spread out to be credible; but there is also a homodomain. Seems more likely than not that it binds DNA.



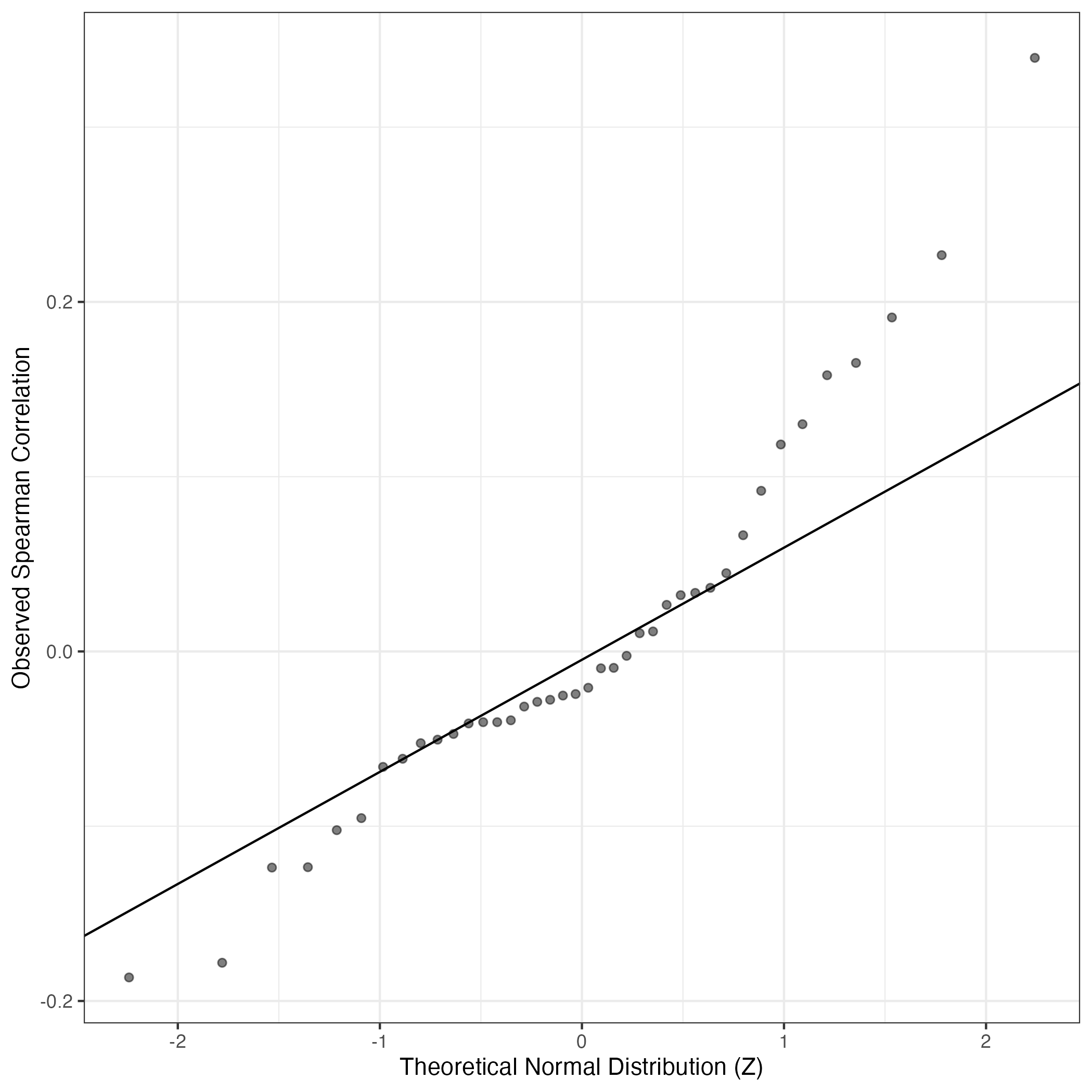
QQ Plot showing correlations with other GEPs in this dataset, calculated by Spearman correlation:

Interactive QQ-plot of gene loadings:

Interactive QQ Plot


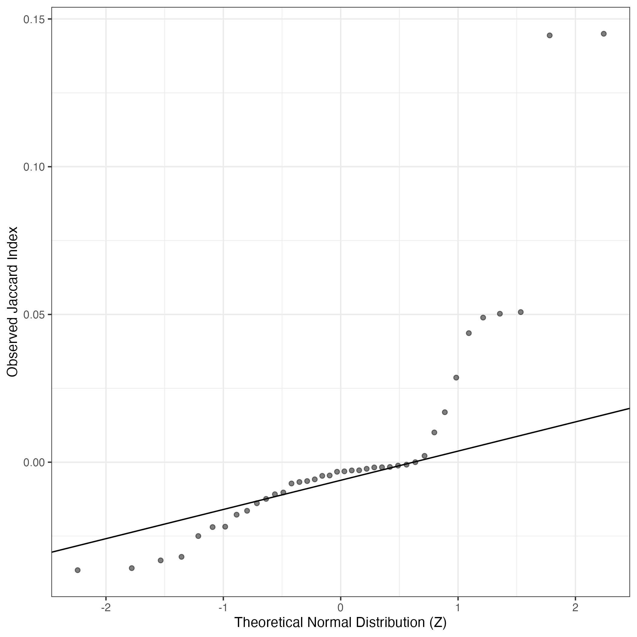
A similar QQ-plot as above, but only for instances where the H value is e.g. > 25, i.e. we are confident that the expression program is active above noise. Agreemenet between these binary vectors is tested using the Jaccard Index, with the P-values calculated by an exact test:

Interactive QQ-plot:

Interactive QQ Plot


Singler cell type annotations for the top 50 cells on this program.



Cell ID Singler label Singler Delta Activity Score Top Singler Raw Scores
T214_ATGGGAGGTTTCCATT-1 Neurons:adrenal_medulla_cell_line 0.16 1009.33
Raw ScoresNeurons:adrenal_medulla_cell_line: 0.35, Neuroepithelial_cell:ESC-derived: 0.3, Astrocyte:Embryonic_stem_cell-derived: 0.29, iPS_cells:PDB_2lox-22: 0.28, iPS_cells:PDB_2lox-17: 0.28, iPS_cells:PDB_2lox-21: 0.28, iPS_cells:PDB_2lox-5: 0.28, iPS_cells:PDB_1lox-21Puro-20: 0.28, iPS_cells:PDB_1lox-17Puro-10: 0.27, iPS_cells:PDB_1lox-21Puro-26: 0.27
T214_TGGTAGTGTGGCTGAA-1 Neurons:adrenal_medulla_cell_line 0.16 803.41
Raw ScoresNeurons:adrenal_medulla_cell_line: 0.35, Neuroepithelial_cell:ESC-derived: 0.29, iPS_cells:PDB_2lox-22: 0.27, iPS_cells:PDB_2lox-17: 0.27, iPS_cells:PDB_2lox-21: 0.27, iPS_cells:PDB_1lox-21Puro-20: 0.27, iPS_cells:PDB_1lox-21Puro-26: 0.26, iPS_cells:PDB_1lox-17Puro-10: 0.26, iPS_cells:PDB_2lox-5: 0.26, iPS_cells:PDB_1lox-17Puro-5: 0.26
T214_TTGAACGAGCTGTGCC-1 Neurons:adrenal_medulla_cell_line 0.20 792.44
Raw ScoresNeurons:adrenal_medulla_cell_line: 0.41, Neuroepithelial_cell:ESC-derived: 0.36, iPS_cells:PDB_2lox-22: 0.34, iPS_cells:PDB_1lox-21Puro-20: 0.33, iPS_cells:PDB_2lox-17: 0.33, iPS_cells:PDB_2lox-21: 0.33, iPS_cells:CRL2097_foreskin-derived:undiff.: 0.33, iPS_cells:PDB_2lox-5: 0.33, iPS_cells:PDB_1lox-21Puro-26: 0.33, iPS_cells:PDB_1lox-17Puro-10: 0.33
T214_CTACGGGTCTATGCCC-1 Neurons:adrenal_medulla_cell_line 0.17 708.98
Raw ScoresNeurons:adrenal_medulla_cell_line: 0.37, Neuroepithelial_cell:ESC-derived: 0.33, iPS_cells:PDB_2lox-22: 0.32, iPS_cells:PDB_2lox-17: 0.32, iPS_cells:PDB_2lox-21: 0.32, iPS_cells:PDB_1lox-21Puro-20: 0.31, iPS_cells:PDB_2lox-5: 0.31, iPS_cells:PDB_1lox-21Puro-26: 0.31, iPS_cells:CRL2097_foreskin-derived:undiff.: 0.31, iPS_cells:PDB_1lox-17Puro-10: 0.31
T214_TAGATCGCAATAGGGC-1 Neurons:adrenal_medulla_cell_line 0.15 699.16
Raw ScoresNeurons:adrenal_medulla_cell_line: 0.38, Neuroepithelial_cell:ESC-derived: 0.33, iPS_cells:PDB_1lox-21Puro-20: 0.31, iPS_cells:PDB_2lox-17: 0.31, iPS_cells:PDB_2lox-22: 0.31, iPS_cells:PDB_2lox-21: 0.31, Astrocyte:Embryonic_stem_cell-derived: 0.31, iPS_cells:PDB_1lox-21Puro-26: 0.31, iPS_cells:PDB_2lox-5: 0.3, iPS_cells:PDB_1lox-17Puro-10: 0.3
T214_ACTTTGTTCCTTCTAA-1 Neurons:adrenal_medulla_cell_line 0.23 697.41
Raw ScoresNeurons:adrenal_medulla_cell_line: 0.41, Neuroepithelial_cell:ESC-derived: 0.36, iPS_cells:PDB_1lox-21Puro-20: 0.34, iPS_cells:PDB_1lox-17Puro-10: 0.34, iPS_cells:PDB_1lox-21Puro-26: 0.34, iPS_cells:PDB_1lox-17Puro-5: 0.33, iPS_cells:PDB_2lox-22: 0.33, iPS_cells:PDB_2lox-21: 0.33, Neurons:ES_cell-derived_neural_precursor: 0.33, iPS_cells:PDB_2lox-17: 0.32
T214_TTCGCTGTCCGAAATC-1 Neurons:adrenal_medulla_cell_line 0.18 668.05
Raw ScoresNeurons:adrenal_medulla_cell_line: 0.38, Neuroepithelial_cell:ESC-derived: 0.32, iPS_cells:PDB_2lox-22: 0.3, iPS_cells:PDB_2lox-21: 0.3, iPS_cells:PDB_1lox-21Puro-20: 0.3, iPS_cells:PDB_2lox-17: 0.3, iPS_cells:CRL2097_foreskin-derived:undiff.: 0.29, iPS_cells:PDB_1lox-21Puro-26: 0.29, iPS_cells:PDB_1lox-17Puro-10: 0.29, Astrocyte:Embryonic_stem_cell-derived: 0.29
T214_AGAAGCGTCCGGCAAC-1 Neurons:adrenal_medulla_cell_line 0.18 657.19
Raw ScoresNeurons:adrenal_medulla_cell_line: 0.38, Neuroepithelial_cell:ESC-derived: 0.33, iPS_cells:PDB_2lox-22: 0.3, iPS_cells:PDB_1lox-21Puro-20: 0.3, iPS_cells:PDB_2lox-21: 0.3, iPS_cells:PDB_2lox-17: 0.3, iPS_cells:PDB_2lox-5: 0.3, iPS_cells:PDB_1lox-21Puro-26: 0.3, Astrocyte:Embryonic_stem_cell-derived: 0.3, iPS_cells:PDB_1lox-17Puro-10: 0.29
T214_TTAGGGTCAAGCGCTC-1 Neurons:adrenal_medulla_cell_line 0.16 653.49
Raw ScoresNeurons:adrenal_medulla_cell_line: 0.35, Neuroepithelial_cell:ESC-derived: 0.3, Astrocyte:Embryonic_stem_cell-derived: 0.29, iPS_cells:PDB_2lox-22: 0.27, iPS_cells:PDB_2lox-17: 0.27, iPS_cells:PDB_1lox-21Puro-20: 0.27, iPS_cells:PDB_2lox-21: 0.27, iPS_cells:PDB_2lox-5: 0.27, iPS_cells:CRL2097_foreskin-derived:undiff.: 0.27, iPS_cells:PDB_1lox-17Puro-10: 0.27
T214_CGAGTTAGTATGAAGT-1 Neurons:adrenal_medulla_cell_line 0.22 651.65
Raw ScoresNeurons:adrenal_medulla_cell_line: 0.41, Neuroepithelial_cell:ESC-derived: 0.37, iPS_cells:PDB_1lox-21Puro-20: 0.34, iPS_cells:PDB_1lox-21Puro-26: 0.34, Neurons:ES_cell-derived_neural_precursor: 0.34, iPS_cells:PDB_1lox-17Puro-10: 0.34, iPS_cells:PDB_2lox-22: 0.34, iPS_cells:PDB_1lox-17Puro-5: 0.34, iPS_cells:PDB_2lox-17: 0.33, iPS_cells:PDB_2lox-21: 0.33
T214_TTCATTGAGTTGAATG-1 Neurons:adrenal_medulla_cell_line 0.16 649.96
Raw ScoresNeurons:adrenal_medulla_cell_line: 0.32, Neuroepithelial_cell:ESC-derived: 0.28, Astrocyte:Embryonic_stem_cell-derived: 0.27, iPS_cells:PDB_1lox-21Puro-20: 0.25, iPS_cells:PDB_2lox-21: 0.25, iPS_cells:PDB_2lox-22: 0.25, iPS_cells:PDB_2lox-17: 0.25, iPS_cells:PDB_1lox-21Puro-26: 0.25, iPS_cells:PDB_1lox-17Puro-10: 0.25, iPS_cells:PDB_1lox-17Puro-5: 0.25
T214_CTGTGGGCACATTCGA-1 Neurons:adrenal_medulla_cell_line 0.15 643.91
Raw ScoresNeurons:adrenal_medulla_cell_line: 0.31, Neuroepithelial_cell:ESC-derived: 0.26, Astrocyte:Embryonic_stem_cell-derived: 0.25, iPS_cells:PDB_2lox-17: 0.24, iPS_cells:PDB_2lox-22: 0.24, iPS_cells:PDB_2lox-5: 0.24, iPS_cells:PDB_1lox-21Puro-20: 0.24, iPS_cells:PDB_2lox-21: 0.24, Embryonic_stem_cells: 0.24, iPS_cells:PDB_1lox-21Puro-26: 0.23
T214_CTCCCAAGTTCGTAAC-1 Neurons:adrenal_medulla_cell_line 0.21 643.50
Raw ScoresNeurons:adrenal_medulla_cell_line: 0.41, Neuroepithelial_cell:ESC-derived: 0.37, iPS_cells:PDB_1lox-21Puro-20: 0.34, iPS_cells:PDB_2lox-22: 0.34, iPS_cells:PDB_2lox-17: 0.33, iPS_cells:PDB_2lox-21: 0.33, iPS_cells:PDB_1lox-21Puro-26: 0.33, iPS_cells:PDB_1lox-17Puro-10: 0.33, iPS_cells:PDB_2lox-5: 0.33, Neurons:ES_cell-derived_neural_precursor: 0.33
T214_TCAGCCTAGACATAGT-1 Neurons:adrenal_medulla_cell_line 0.22 638.00
Raw ScoresNeurons:adrenal_medulla_cell_line: 0.39, Neuroepithelial_cell:ESC-derived: 0.34, Astrocyte:Embryonic_stem_cell-derived: 0.32, Neurons:ES_cell-derived_neural_precursor: 0.31, iPS_cells:PDB_1lox-21Puro-20: 0.3, iPS_cells:PDB_1lox-21Puro-26: 0.3, iPS_cells:PDB_1lox-17Puro-10: 0.3, iPS_cells:PDB_2lox-22: 0.3, iPS_cells:PDB_2lox-21: 0.29, iPS_cells:PDB_1lox-17Puro-5: 0.29
T214_GCCAGTGGTGGGTCAA-1 Neurons:adrenal_medulla_cell_line 0.23 632.05
Raw ScoresNeurons:adrenal_medulla_cell_line: 0.42, Neuroepithelial_cell:ESC-derived: 0.37, iPS_cells:PDB_1lox-21Puro-20: 0.34, Astrocyte:Embryonic_stem_cell-derived: 0.34, iPS_cells:PDB_1lox-17Puro-10: 0.34, iPS_cells:PDB_1lox-21Puro-26: 0.34, Neurons:ES_cell-derived_neural_precursor: 0.33, iPS_cells:PDB_1lox-17Puro-5: 0.33, iPS_cells:PDB_2lox-22: 0.33, Embryonic_stem_cells: 0.33
T214_CCTTCAGCAAGCACCC-1 Neurons:adrenal_medulla_cell_line 0.20 630.20
Raw ScoresNeurons:adrenal_medulla_cell_line: 0.38, Neuroepithelial_cell:ESC-derived: 0.32, Astrocyte:Embryonic_stem_cell-derived: 0.3, iPS_cells:PDB_1lox-21Puro-20: 0.3, iPS_cells:PDB_2lox-22: 0.3, iPS_cells:PDB_1lox-21Puro-26: 0.29, iPS_cells:PDB_2lox-21: 0.29, iPS_cells:PDB_2lox-17: 0.29, iPS_cells:PDB_1lox-17Puro-5: 0.29, iPS_cells:PDB_1lox-17Puro-10: 0.29
T214_AACAACCAGCTTTCTT-1 Neurons:adrenal_medulla_cell_line 0.17 624.23
Raw ScoresNeurons:adrenal_medulla_cell_line: 0.35, Neuroepithelial_cell:ESC-derived: 0.3, Astrocyte:Embryonic_stem_cell-derived: 0.28, iPS_cells:PDB_1lox-21Puro-20: 0.28, iPS_cells:PDB_1lox-21Puro-26: 0.28, iPS_cells:PDB_2lox-17: 0.28, iPS_cells:PDB_2lox-22: 0.27, iPS_cells:PDB_2lox-21: 0.27, iPS_cells:PDB_1lox-17Puro-5: 0.27, iPS_cells:PDB_1lox-17Puro-10: 0.27
T214_AAGTACCGTTACGTAC-1 Neurons:adrenal_medulla_cell_line 0.19 604.83
Raw ScoresNeurons:adrenal_medulla_cell_line: 0.35, Neuroepithelial_cell:ESC-derived: 0.3, Astrocyte:Embryonic_stem_cell-derived: 0.28, Neurons:ES_cell-derived_neural_precursor: 0.27, iPS_cells:PDB_1lox-21Puro-20: 0.27, iPS_cells:PDB_1lox-21Puro-26: 0.27, Embryonic_stem_cells: 0.27, iPS_cells:PDB_1lox-17Puro-10: 0.27, iPS_cells:PDB_2lox-22: 0.27, iPS_cells:PDB_2lox-21: 0.27
T214_CACTGAAGTCGAGATG-1 Neurons:adrenal_medulla_cell_line 0.17 602.41
Raw ScoresNeurons:adrenal_medulla_cell_line: 0.38, Neuroepithelial_cell:ESC-derived: 0.32, iPS_cells:PDB_1lox-21Puro-20: 0.3, iPS_cells:PDB_2lox-22: 0.3, Astrocyte:Embryonic_stem_cell-derived: 0.3, iPS_cells:PDB_2lox-21: 0.3, iPS_cells:PDB_1lox-21Puro-26: 0.3, iPS_cells:PDB_2lox-17: 0.3, iPS_cells:PDB_1lox-17Puro-10: 0.3, iPS_cells:CRL2097_foreskin-derived:undiff.: 0.3
T214_TGGTACATCTCGCTCA-1 Neurons:adrenal_medulla_cell_line 0.18 592.05
Raw ScoresNeurons:adrenal_medulla_cell_line: 0.36, Neuroepithelial_cell:ESC-derived: 0.31, Astrocyte:Embryonic_stem_cell-derived: 0.29, iPS_cells:PDB_2lox-21: 0.28, iPS_cells:PDB_2lox-17: 0.28, iPS_cells:PDB_1lox-21Puro-20: 0.28, iPS_cells:PDB_2lox-22: 0.28, iPS_cells:PDB_2lox-5: 0.28, iPS_cells:PDB_1lox-21Puro-26: 0.28, Neurons:ES_cell-derived_neural_precursor: 0.28
T214_ACAAGCTAGCAAGGAA-1 Neurons:adrenal_medulla_cell_line 0.18 591.37
Raw ScoresNeurons:adrenal_medulla_cell_line: 0.38, Neuroepithelial_cell:ESC-derived: 0.32, Astrocyte:Embryonic_stem_cell-derived: 0.3, iPS_cells:PDB_2lox-22: 0.29, iPS_cells:PDB_1lox-21Puro-20: 0.29, iPS_cells:PDB_2lox-21: 0.29, iPS_cells:PDB_1lox-17Puro-10: 0.29, iPS_cells:PDB_2lox-17: 0.29, iPS_cells:PDB_2lox-5: 0.29, Neurons:ES_cell-derived_neural_precursor: 0.29
T214_CCCGAAGCACCAACAT-1 Neurons:adrenal_medulla_cell_line 0.24 584.87
Raw ScoresNeurons:adrenal_medulla_cell_line: 0.4, Neuroepithelial_cell:ESC-derived: 0.36, Neurons:ES_cell-derived_neural_precursor: 0.33, iPS_cells:PDB_1lox-21Puro-20: 0.33, iPS_cells:PDB_1lox-17Puro-10: 0.32, iPS_cells:PDB_1lox-21Puro-26: 0.32, Astrocyte:Embryonic_stem_cell-derived: 0.32, iPS_cells:PDB_1lox-17Puro-5: 0.32, iPS_cells:PDB_2lox-22: 0.31, iPS_cells:PDB_2lox-21: 0.31
T214_AAAGGATTCCACTGAA-1 Neurons:adrenal_medulla_cell_line 0.24 582.06
Raw ScoresNeurons:adrenal_medulla_cell_line: 0.41, Neuroepithelial_cell:ESC-derived: 0.36, iPS_cells:PDB_1lox-21Puro-20: 0.33, iPS_cells:PDB_1lox-21Puro-26: 0.33, iPS_cells:PDB_1lox-17Puro-10: 0.33, iPS_cells:PDB_1lox-17Puro-5: 0.33, Astrocyte:Embryonic_stem_cell-derived: 0.33, Neurons:ES_cell-derived_neural_precursor: 0.32, Embryonic_stem_cells: 0.32, iPS_cells:PDB_2lox-22: 0.32
T214_GGGAGTATCAGACCGC-1 Neurons:adrenal_medulla_cell_line 0.17 575.70
Raw ScoresNeurons:adrenal_medulla_cell_line: 0.37, Neuroepithelial_cell:ESC-derived: 0.32, iPS_cells:PDB_2lox-22: 0.3, iPS_cells:PDB_2lox-21: 0.3, iPS_cells:PDB_1lox-21Puro-20: 0.3, iPS_cells:PDB_2lox-17: 0.3, iPS_cells:PDB_1lox-21Puro-26: 0.3, iPS_cells:PDB_2lox-5: 0.3, iPS_cells:PDB_1lox-17Puro-10: 0.3, iPS_cells:PDB_1lox-17Puro-5: 0.3
T214_ACCTACCGTCCGGTGT-1 Neurons:adrenal_medulla_cell_line 0.16 567.38
Raw ScoresNeurons:adrenal_medulla_cell_line: 0.37, Neuroepithelial_cell:ESC-derived: 0.33, iPS_cells:PDB_1lox-21Puro-20: 0.31, Astrocyte:Embryonic_stem_cell-derived: 0.31, iPS_cells:PDB_1lox-21Puro-26: 0.3, iPS_cells:PDB_1lox-17Puro-10: 0.3, iPS_cells:PDB_2lox-22: 0.3, iPS_cells:PDB_2lox-21: 0.3, iPS_cells:PDB_1lox-17Puro-5: 0.3, iPS_cells:PDB_2lox-17: 0.3
T214_GGGTGAAAGGAGCAAA-1 Neurons:adrenal_medulla_cell_line 0.18 563.67
Raw ScoresNeurons:adrenal_medulla_cell_line: 0.36, Neuroepithelial_cell:ESC-derived: 0.3, Astrocyte:Embryonic_stem_cell-derived: 0.29, iPS_cells:PDB_1lox-21Puro-20: 0.27, iPS_cells:PDB_2lox-17: 0.27, iPS_cells:PDB_2lox-22: 0.27, iPS_cells:PDB_2lox-21: 0.27, iPS_cells:PDB_1lox-17Puro-10: 0.27, iPS_cells:PDB_2lox-5: 0.27, iPS_cells:PDB_1lox-17Puro-5: 0.27
T214_TTACGTTAGTATGAAC-1 Neurons:adrenal_medulla_cell_line 0.20 561.58
Raw ScoresNeurons:adrenal_medulla_cell_line: 0.37, Neuroepithelial_cell:ESC-derived: 0.31, Astrocyte:Embryonic_stem_cell-derived: 0.3, Neurons:ES_cell-derived_neural_precursor: 0.29, iPS_cells:PDB_1lox-21Puro-20: 0.28, iPS_cells:PDB_1lox-21Puro-26: 0.28, iPS_cells:PDB_1lox-17Puro-10: 0.27, iPS_cells:PDB_2lox-22: 0.27, iPS_cells:PDB_2lox-21: 0.27, iPS_cells:PDB_2lox-17: 0.27
T214_TAAGCACAGTCATACC-1 Neurons:adrenal_medulla_cell_line 0.19 552.37
Raw ScoresNeurons:adrenal_medulla_cell_line: 0.36, Neuroepithelial_cell:ESC-derived: 0.29, Astrocyte:Embryonic_stem_cell-derived: 0.28, iPS_cells:PDB_1lox-21Puro-20: 0.27, Neurons:ES_cell-derived_neural_precursor: 0.26, iPS_cells:PDB_1lox-21Puro-26: 0.26, iPS_cells:PDB_2lox-22: 0.26, iPS_cells:PDB_2lox-21: 0.26, iPS_cells:PDB_2lox-17: 0.26, iPS_cells:PDB_1lox-17Puro-10: 0.26
T214_AACCACACATCCCACT-1 Neurons:adrenal_medulla_cell_line 0.18 549.87
Raw ScoresNeurons:adrenal_medulla_cell_line: 0.38, Neuroepithelial_cell:ESC-derived: 0.33, Astrocyte:Embryonic_stem_cell-derived: 0.31, iPS_cells:PDB_2lox-22: 0.3, iPS_cells:PDB_1lox-21Puro-20: 0.3, iPS_cells:PDB_2lox-21: 0.3, iPS_cells:PDB_2lox-17: 0.3, iPS_cells:PDB_1lox-21Puro-26: 0.3, iPS_cells:PDB_1lox-17Puro-10: 0.3, iPS_cells:PDB_1lox-17Puro-5: 0.3
T214_AGCTACACAGATCACT-1 Neurons:adrenal_medulla_cell_line 0.20 549.50
Raw ScoresNeurons:adrenal_medulla_cell_line: 0.39, Neuroepithelial_cell:ESC-derived: 0.33, Astrocyte:Embryonic_stem_cell-derived: 0.31, iPS_cells:PDB_2lox-22: 0.3, iPS_cells:PDB_1lox-21Puro-20: 0.3, iPS_cells:PDB_2lox-21: 0.3, iPS_cells:PDB_2lox-17: 0.3, iPS_cells:PDB_1lox-21Puro-26: 0.3, iPS_cells:PDB_1lox-17Puro-10: 0.3, iPS_cells:PDB_2lox-5: 0.29
T214_ACCACAACATAGTCAC-1 Neurons:adrenal_medulla_cell_line 0.16 535.39
Raw ScoresNeurons:adrenal_medulla_cell_line: 0.34, Neuroepithelial_cell:ESC-derived: 0.29, Astrocyte:Embryonic_stem_cell-derived: 0.28, iPS_cells:PDB_1lox-21Puro-20: 0.26, iPS_cells:PDB_1lox-21Puro-26: 0.26, iPS_cells:PDB_1lox-17Puro-5: 0.26, iPS_cells:PDB_2lox-17: 0.26, iPS_cells:PDB_1lox-17Puro-10: 0.26, Neurons:ES_cell-derived_neural_precursor: 0.26, iPS_cells:PDB_2lox-21: 0.26
T214_GTAAGTCCACCCTTAC-1 Neurons:adrenal_medulla_cell_line 0.21 532.60
Raw ScoresNeurons:adrenal_medulla_cell_line: 0.4, Neuroepithelial_cell:ESC-derived: 0.35, iPS_cells:PDB_1lox-21Puro-20: 0.32, Astrocyte:Embryonic_stem_cell-derived: 0.32, iPS_cells:PDB_1lox-21Puro-26: 0.32, iPS_cells:PDB_1lox-17Puro-10: 0.32, iPS_cells:PDB_1lox-17Puro-5: 0.31, iPS_cells:PDB_2lox-22: 0.31, iPS_cells:PDB_2lox-21: 0.31, iPS_cells:PDB_2lox-17: 0.31
T214_TCAAGCATCGTCGGGT-1 Neurons:adrenal_medulla_cell_line 0.20 519.77
Raw ScoresNeurons:adrenal_medulla_cell_line: 0.36, Neuroepithelial_cell:ESC-derived: 0.29, Astrocyte:Embryonic_stem_cell-derived: 0.27, iPS_cells:PDB_1lox-21Puro-20: 0.27, iPS_cells:PDB_1lox-21Puro-26: 0.26, iPS_cells:PDB_2lox-22: 0.26, Neurons:ES_cell-derived_neural_precursor: 0.26, iPS_cells:PDB_2lox-17: 0.26, iPS_cells:PDB_2lox-21: 0.26, iPS_cells:PDB_1lox-17Puro-5: 0.26
T214_GATAGAACAGTGGCTC-1 Neurons:adrenal_medulla_cell_line 0.19 516.03
Raw ScoresNeurons:adrenal_medulla_cell_line: 0.38, Neuroepithelial_cell:ESC-derived: 0.32, Astrocyte:Embryonic_stem_cell-derived: 0.3, iPS_cells:PDB_1lox-21Puro-20: 0.29, Neurons:ES_cell-derived_neural_precursor: 0.29, iPS_cells:PDB_2lox-22: 0.29, iPS_cells:PDB_2lox-21: 0.29, iPS_cells:PDB_1lox-21Puro-26: 0.29, iPS_cells:PDB_1lox-17Puro-10: 0.29, iPS_cells:PDB_2lox-17: 0.29
T214_GAGTGAGAGCAGGCTA-1 Neurons:adrenal_medulla_cell_line 0.16 509.67
Raw ScoresNeurons:adrenal_medulla_cell_line: 0.36, Neuroepithelial_cell:ESC-derived: 0.31, Astrocyte:Embryonic_stem_cell-derived: 0.29, iPS_cells:PDB_2lox-22: 0.29, iPS_cells:PDB_2lox-21: 0.29, iPS_cells:PDB_1lox-21Puro-20: 0.29, iPS_cells:PDB_2lox-17: 0.28, iPS_cells:PDB_1lox-17Puro-10: 0.28, iPS_cells:CRL2097_foreskin-derived:undiff.: 0.28, iPS_cells:PDB_1lox-21Puro-26: 0.28
T214_GTTGCTCCAGGCAATG-1 Neurons:adrenal_medulla_cell_line 0.12 508.43
Raw ScoresNeurons:adrenal_medulla_cell_line: 0.34, Neuroepithelial_cell:ESC-derived: 0.29, iPS_cells:adipose_stem_cell-derived:lentiviral: 0.28, Embryonic_stem_cells: 0.28, iPS_cells:iPS:minicircle-derived: 0.28, iPS_cells:PDB_2lox-22: 0.27, iPS_cells:CRL2097_foreskin-derived:undiff.: 0.27, iPS_cells:PDB_2lox-17: 0.27, iPS_cells:adipose_stem_cell-derived:minicircle-derived: 0.27, iPS_cells:PDB_1lox-21Puro-20: 0.27
T214_CGAATTGTCCAGCTCT-1 Neurons:adrenal_medulla_cell_line 0.24 505.67
Raw ScoresNeurons:adrenal_medulla_cell_line: 0.41, Neuroepithelial_cell:ESC-derived: 0.36, Neurons:ES_cell-derived_neural_precursor: 0.33, iPS_cells:PDB_1lox-21Puro-20: 0.33, iPS_cells:PDB_1lox-17Puro-10: 0.33, iPS_cells:PDB_1lox-21Puro-26: 0.33, iPS_cells:PDB_1lox-17Puro-5: 0.32, Astrocyte:Embryonic_stem_cell-derived: 0.32, iPS_cells:PDB_2lox-22: 0.32, iPS_cells:PDB_2lox-21: 0.32
T214_TCGGGTGGTGTTCCTC-1 Neurons:adrenal_medulla_cell_line 0.18 502.16
Raw ScoresNeurons:adrenal_medulla_cell_line: 0.37, Neuroepithelial_cell:ESC-derived: 0.31, Astrocyte:Embryonic_stem_cell-derived: 0.29, iPS_cells:PDB_1lox-21Puro-20: 0.29, iPS_cells:PDB_2lox-22: 0.29, iPS_cells:PDB_2lox-5: 0.29, iPS_cells:PDB_2lox-21: 0.29, iPS_cells:PDB_2lox-17: 0.29, iPS_cells:PDB_1lox-17Puro-10: 0.28, iPS_cells:PDB_1lox-21Puro-26: 0.28
T214_AACCAACCATCGGAGA-1 Neurons:adrenal_medulla_cell_line 0.14 499.87
Raw ScoresNeurons:adrenal_medulla_cell_line: 0.32, Neuroepithelial_cell:ESC-derived: 0.26, Astrocyte:Embryonic_stem_cell-derived: 0.25, Tissue_stem_cells:CD326-CD56+: 0.24, iPS_cells:PDB_2lox-21: 0.24, iPS_cells:PDB_2lox-17: 0.24, iPS_cells:PDB_1lox-21Puro-20: 0.24, iPS_cells:PDB_2lox-22: 0.24, iPS_cells:iPS:minicircle-derived: 0.23, Embryonic_stem_cells: 0.23
T214_TATACCTTCCGGTAAT-1 Neurons:adrenal_medulla_cell_line 0.18 497.19
Raw ScoresNeurons:adrenal_medulla_cell_line: 0.4, Neuroepithelial_cell:ESC-derived: 0.34, iPS_cells:PDB_1lox-21Puro-20: 0.32, iPS_cells:PDB_2lox-17: 0.32, iPS_cells:PDB_2lox-22: 0.32, iPS_cells:PDB_2lox-21: 0.32, iPS_cells:CRL2097_foreskin-derived:undiff.: 0.32, iPS_cells:PDB_1lox-21Puro-26: 0.32, iPS_cells:PDB_1lox-17Puro-10: 0.32, Embryonic_stem_cells: 0.32
T214_TCACAAGAGGTGCCAA-1 Neurons:adrenal_medulla_cell_line 0.21 495.90
Raw ScoresNeurons:adrenal_medulla_cell_line: 0.4, Neuroepithelial_cell:ESC-derived: 0.36, iPS_cells:PDB_1lox-21Puro-20: 0.34, iPS_cells:PDB_1lox-21Puro-26: 0.34, iPS_cells:PDB_1lox-17Puro-10: 0.34, iPS_cells:PDB_2lox-22: 0.34, iPS_cells:PDB_1lox-17Puro-5: 0.33, iPS_cells:PDB_2lox-17: 0.33, iPS_cells:PDB_2lox-21: 0.33, Embryonic_stem_cells: 0.33
T214_AGGCATTGTCTAATCG-1 Neurons:adrenal_medulla_cell_line 0.19 494.74
Raw ScoresNeurons:adrenal_medulla_cell_line: 0.37, Neuroepithelial_cell:ESC-derived: 0.31, Astrocyte:Embryonic_stem_cell-derived: 0.28, iPS_cells:PDB_1lox-21Puro-20: 0.28, iPS_cells:PDB_1lox-17Puro-10: 0.28, iPS_cells:PDB_1lox-21Puro-26: 0.28, Neurons:ES_cell-derived_neural_precursor: 0.28, iPS_cells:PDB_2lox-22: 0.28, iPS_cells:PDB_2lox-21: 0.28, iPS_cells:PDB_1lox-17Puro-5: 0.28
T214_CTCAGTCCAACCGCCA-1 Neurons:adrenal_medulla_cell_line 0.24 480.74
Raw ScoresNeurons:adrenal_medulla_cell_line: 0.42, Neuroepithelial_cell:ESC-derived: 0.38, iPS_cells:PDB_1lox-21Puro-20: 0.35, iPS_cells:PDB_1lox-21Puro-26: 0.34, iPS_cells:PDB_1lox-17Puro-10: 0.34, iPS_cells:PDB_1lox-17Puro-5: 0.34, Astrocyte:Embryonic_stem_cell-derived: 0.34, iPS_cells:PDB_2lox-22: 0.34, Embryonic_stem_cells: 0.34, Neurons:ES_cell-derived_neural_precursor: 0.34
T214_TTGCTGCAGCCATTGT-1 Neurons:adrenal_medulla_cell_line 0.24 478.77
Raw ScoresNeurons:adrenal_medulla_cell_line: 0.4, Neuroepithelial_cell:ESC-derived: 0.36, iPS_cells:PDB_1lox-21Puro-20: 0.33, iPS_cells:PDB_1lox-21Puro-26: 0.33, iPS_cells:PDB_1lox-17Puro-10: 0.33, Neurons:ES_cell-derived_neural_precursor: 0.33, Astrocyte:Embryonic_stem_cell-derived: 0.32, iPS_cells:PDB_1lox-17Puro-5: 0.32, iPS_cells:PDB_2lox-22: 0.32, iPS_cells:PDB_2lox-21: 0.32
T214_GGGTCACGTGAGGCAT-1 Neurons:adrenal_medulla_cell_line 0.20 471.92
Raw ScoresNeurons:adrenal_medulla_cell_line: 0.37, Neuroepithelial_cell:ESC-derived: 0.32, Astrocyte:Embryonic_stem_cell-derived: 0.29, iPS_cells:PDB_1lox-21Puro-20: 0.29, iPS_cells:PDB_2lox-22: 0.29, iPS_cells:PDB_1lox-21Puro-26: 0.28, iPS_cells:PDB_2lox-21: 0.28, iPS_cells:PDB_1lox-17Puro-10: 0.28, iPS_cells:PDB_1lox-17Puro-5: 0.28, Neurons:ES_cell-derived_neural_precursor: 0.28
T214_GTGATGTGTACACGTT-1 Neurons:adrenal_medulla_cell_line 0.18 469.20
Raw ScoresNeurons:adrenal_medulla_cell_line: 0.37, Neuroepithelial_cell:ESC-derived: 0.31, Astrocyte:Embryonic_stem_cell-derived: 0.29, iPS_cells:PDB_1lox-21Puro-20: 0.28, iPS_cells:PDB_2lox-22: 0.28, iPS_cells:PDB_2lox-21: 0.28, iPS_cells:PDB_1lox-17Puro-10: 0.28, iPS_cells:PDB_2lox-17: 0.28, iPS_cells:PDB_1lox-21Puro-26: 0.28, iPS_cells:PDB_1lox-17Puro-5: 0.28
T214_TGCACGGAGTACCGGA-1 Neurons:adrenal_medulla_cell_line 0.20 468.16
Raw ScoresNeurons:adrenal_medulla_cell_line: 0.4, Neuroepithelial_cell:ESC-derived: 0.37, iPS_cells:PDB_1lox-21Puro-20: 0.35, iPS_cells:PDB_2lox-22: 0.35, iPS_cells:PDB_1lox-21Puro-26: 0.35, iPS_cells:PDB_2lox-17: 0.34, iPS_cells:PDB_2lox-21: 0.34, iPS_cells:PDB_1lox-17Puro-10: 0.34, iPS_cells:PDB_1lox-17Puro-5: 0.34, iPS_cells:CRL2097_foreskin-derived:undiff.: 0.34
T214_TCGAACACAATCCTAG-1 Neurons:adrenal_medulla_cell_line 0.19 467.16
Raw ScoresNeurons:adrenal_medulla_cell_line: 0.38, Neuroepithelial_cell:ESC-derived: 0.32, Astrocyte:Embryonic_stem_cell-derived: 0.3, iPS_cells:PDB_1lox-21Puro-20: 0.3, iPS_cells:PDB_2lox-22: 0.3, iPS_cells:PDB_2lox-21: 0.3, iPS_cells:PDB_1lox-17Puro-10: 0.3, iPS_cells:PDB_1lox-21Puro-26: 0.3, iPS_cells:PDB_2lox-17: 0.3, iPS_cells:PDB_2lox-5: 0.29
T214_TCCATGCGTGTTAGCT-1 Neurons:adrenal_medulla_cell_line 0.18 466.99
Raw ScoresNeurons:adrenal_medulla_cell_line: 0.34, Neuroepithelial_cell:ESC-derived: 0.29, Astrocyte:Embryonic_stem_cell-derived: 0.27, iPS_cells:PDB_1lox-17Puro-10: 0.26, iPS_cells:PDB_1lox-21Puro-20: 0.26, iPS_cells:PDB_1lox-17Puro-5: 0.26, iPS_cells:PDB_1lox-21Puro-26: 0.25, iPS_cells:PDB_2lox-5: 0.25, Neurons:ES_cell-derived_neural_precursor: 0.25, iPS_cells:PDB_2lox-22: 0.25
T214_GAAGGGTTCTGCACCT-1 Neurons:adrenal_medulla_cell_line 0.18 465.62
Raw ScoresNeurons:adrenal_medulla_cell_line: 0.38, Neuroepithelial_cell:ESC-derived: 0.33, Astrocyte:Embryonic_stem_cell-derived: 0.31, iPS_cells:PDB_2lox-22: 0.31, iPS_cells:PDB_1lox-21Puro-20: 0.31, iPS_cells:PDB_2lox-17: 0.3, iPS_cells:PDB_2lox-21: 0.3, iPS_cells:PDB_1lox-17Puro-5: 0.3, iPS_cells:PDB_2lox-5: 0.3, iPS_cells:PDB_1lox-21Puro-26: 0.3



Below shows the significant enrichments of this GEP for literature curated gene lists
  This data was procured from existing single cell RNA-seq maps of neuroblastoma or related relevant data.
  High ranks indicate this gene is a driver of this GEP.
  These curated gene list are ranked by the P-value (on this GEP) of their constituent genes.
  The Mean Count column shows the mean read count in cells scoring highly (H > 50) on this gene expression program.


Neuroblast (Hanemaaijer)
Marker genes obtained from Supplementary Table SD of Hanemaaijer et al (PMID 33500353). The authors generated single-cell RNA-seq data (sort-seq, 2,229 cells total) from mouse adrenal glads at E13.5, E14.5, E17.5, E18.5, P1 and P5. These were marker genes that matched with a similar dataset generated by Furlan et al (PMID 28684471). This particular set of markers are for the Neuroblast subcluster, which is part of the Adrenal Medulla cluster.:
Wilcoxon ranksum test P-value for gene set overrepresentation: 8.88e-08
Mean rank of genes in gene set: 574.27
Rank on gene expression program of genes in gene set:
Genes Weight Rank GTEx DepMap Decartes Mean.Counts Mean.TPM
STMN2 0.0067193 8 GTEx DepMap Descartes 95.77 6173.16
ELAVL4 0.0051906 15 GTEx DepMap Descartes 18.16 555.32
NEFM 0.0041583 29 GTEx DepMap Descartes 5.48 202.02
BASP1 0.0040627 32 GTEx DepMap Descartes 28.89 1998.16
NEFL 0.0023036 181 GTEx DepMap Descartes 3.12 102.26
INA 0.0019281 266 GTEx DepMap Descartes 3.63 138.08
RTN1 0.0018612 300 GTEx DepMap Descartes 15.45 584.10
ISL1 0.0012910 630 GTEx DepMap Descartes 5.99 321.77
CCND1 0.0008892 1093 GTEx DepMap Descartes 18.37 578.36
STMN1 0.0006683 1564 GTEx DepMap Descartes 38.32 1537.21
ELAVL3 0.0004791 2199 GTEx DepMap Descartes 4.21 107.26


Medulla (Hanemaaijer)
Marker genes obtained from Supplementary Table SD of Hanemaaijer et al (PMID 33500353). The authors generated single-cell RNA-seq data (sort-seq, 2,229 cells total) from mouse adrenal glads at E13.5, E14.5, E17.5, E18.5, P1 and P5. These were marker genes that matched with a similar dataset generated by Furlan et al (PMID 28684471). This particular set of markers are for genes defining the broad group labelled adrenal medulla, which included 7 subclusters (SCP, Bridge, Committed Progenitor, N Chromaffin, E Chromaffin, Neuroblast) - see UMAP on their Fig1B for cluster assignments.:
Wilcoxon ranksum test P-value for gene set overrepresentation: 6.75e-05
Mean rank of genes in gene set: 2819.94
Rank on gene expression program of genes in gene set:

Genes Weight Rank GTEx DepMap Decartes Mean.Counts Mean.TPM
PHOX2A 0.0062090 11 GTEx DepMap Descartes 25.20 1879.38
CHGA 0.0042274 28 GTEx DepMap Descartes 8.91 570.12
SLC18A1 0.0031394 73 GTEx DepMap Descartes 0.94 39.17
MAP1B 0.0023546 168 GTEx DepMap Descartes 24.04 255.35
DBH 0.0020023 243 GTEx DepMap Descartes 9.96 465.69
EML5 0.0018034 321 GTEx DepMap Descartes 1.77 24.17
GATA3 0.0013305 594 GTEx DepMap Descartes 8.53 353.23
DISP2 0.0012716 645 GTEx DepMap Descartes 0.62 6.05
DDC 0.0007313 1406 GTEx DepMap Descartes 2.20 143.46
TH 0.0006542 1600 GTEx DepMap Descartes 4.19 289.45
CYB561 0.0004482 2329 GTEx DepMap Descartes 1.73 72.97
UCHL1 0.0001487 4108 GTEx DepMap Descartes 12.36 940.05
NNAT 0.0000783 4673 GTEx DepMap Descartes 5.55 547.98
HAND2 -0.0000129 5669 GTEx DepMap Descartes 6.32 287.69
CHGB -0.0005066 11271 GTEx DepMap Descartes 6.96 350.18
PCSK1N -0.0007654 11980 GTEx DepMap Descartes 6.70 762.03


Adrenergic Fig 1D (Olsen)
Similar to above, but for selected adrenergic marker genes:
Wilcoxon ranksum test P-value for gene set overrepresentation: 7.69e-05
Mean rank of genes in gene set: 2142.45
Rank on gene expression program of genes in gene set:

Genes Weight Rank GTEx DepMap Decartes Mean.Counts Mean.TPM
STMN2 0.0067193 8 GTEx DepMap Descartes 95.77 6173.16
ELAVL4 0.0051906 15 GTEx DepMap Descartes 18.16 555.32
MAP1B 0.0023546 168 GTEx DepMap Descartes 24.04 255.35
DBH 0.0020023 243 GTEx DepMap Descartes 9.96 465.69
RTN1 0.0018612 300 GTEx DepMap Descartes 15.45 584.10
NRG1 0.0014266 523 GTEx DepMap Descartes 0.54 5.66
ISL1 0.0012910 630 GTEx DepMap Descartes 5.99 321.77
TH 0.0006542 1600 GTEx DepMap Descartes 4.19 289.45
MLLT11 0.0002265 3489 GTEx DepMap Descartes 10.33 501.79
UCHL1 0.0001487 4108 GTEx DepMap Descartes 12.36 940.05
RGS5 -0.0017351 12483 GTEx DepMap Descartes 4.34 112.01





Below shows ranks on this GEP for literature curated gene lists for large gene sets
  These include those reported as mesenchymal/adrenergic by Van Groningen et al.
  High ranks indicate this gene is a driver of this GEP (note these results are not ordered).
  The Mean Count column shows the mean read count in cells scoring highly (H > 50) on this gene expression program.


VanGroningen Adrenergic Genes
Adrenergic marker genes from Supplementary Table 2 of Van Groningen et al. Nature Genetics 2017. These genes were identified by differential expression analysis of mesenchymal-like and adrenergic-like neuroblastoma cell lines.
Wilcoxon ranksum test P-value for gene set overrepresentation: 1.31e-01
Mean rank of genes in gene set: 6044.98
Median rank of genes in gene set: 4913
Rank on gene expression program of top 30 genes in gene set:

Genes Weight Rank GTEx DepMap Descartes Mean.Counts Mean.TPM
CADM1 0.0081174 3 GTEx DepMap Descartes 14.10 212.18
STMN2 0.0067193 8 GTEx DepMap Descartes 95.77 6173.16
PHOX2A 0.0062090 11 GTEx DepMap Descartes 25.20 1879.38
ELAVL4 0.0051906 15 GTEx DepMap Descartes 18.16 555.32
CHGA 0.0042274 28 GTEx DepMap Descartes 8.91 570.12
NEFM 0.0041583 29 GTEx DepMap Descartes 5.48 202.02
INSM2 0.0040589 33 GTEx DepMap Descartes 2.45 109.76
NCAM1 0.0035782 47 GTEx DepMap Descartes 10.08 210.90
TUBB2B 0.0030149 84 GTEx DepMap Descartes 48.16 3040.99
KDM1A 0.0028759 98 GTEx DepMap Descartes 2.69 111.12
ELAVL2 0.0027273 115 GTEx DepMap Descartes 3.27 101.84
TUBB2A 0.0026341 127 GTEx DepMap Descartes 12.27 915.90
GAP43 0.0025738 141 GTEx DepMap Descartes 11.34 728.28
GDAP1 0.0025103 146 GTEx DepMap Descartes 2.03 69.50
MAP1B 0.0023546 168 GTEx DepMap Descartes 24.04 255.35
DPYSL3 0.0023146 179 GTEx DepMap Descartes 4.22 96.01
NEFL 0.0023036 181 GTEx DepMap Descartes 3.12 102.26
RIMS3 0.0022930 184 GTEx DepMap Descartes 1.31 22.57
CKB 0.0022915 186 GTEx DepMap Descartes 16.42 1369.44
OLA1 0.0021865 194 GTEx DepMap Descartes 5.03 142.04
MAP6 0.0021086 211 GTEx DepMap Descartes 2.26 65.92
PKIA 0.0021008 216 GTEx DepMap Descartes 2.93 90.82
DBH 0.0020023 243 GTEx DepMap Descartes 9.96 465.69
INA 0.0019281 266 GTEx DepMap Descartes 3.63 138.08
RTN1 0.0018612 300 GTEx DepMap Descartes 15.45 584.10
TUB 0.0018251 312 GTEx DepMap Descartes 1.34 28.37
CELF2 0.0017911 331 GTEx DepMap Descartes 2.13 32.49
CRMP1 0.0017415 345 GTEx DepMap Descartes 6.47 253.02
OLFM1 0.0017403 348 GTEx DepMap Descartes 1.67 73.01
DACH1 0.0017365 351 GTEx DepMap Descartes 0.60 14.67


VanGroningen Mesenchymal Genes
Mesenchymal marker genes from Supplementary Table 2 of Van Groningen et al. Nature Genetics 2017. These genes were identified by differential expression analysis of mesenchymal-like and adrenergic-like neuroblastoma cell lines.
Wilcoxon ranksum test P-value for gene set overrepresentation: 1.00e+00
Mean rank of genes in gene set: 8289.67
Median rank of genes in gene set: 9365
Rank on gene expression program of top 30 genes in gene set:

Genes Weight Rank GTEx DepMap Descartes Mean.Counts Mean.TPM
RGS10 0.0032898 63 GTEx DepMap Descartes 4.44 596.50
NRP1 0.0030435 81 GTEx DepMap Descartes 2.23 49.66
FAT1 0.0026922 118 GTEx DepMap Descartes 0.57 4.75
SERPINE2 0.0024414 161 GTEx DepMap Descartes 4.61 103.35
TCF7L2 0.0024232 162 GTEx DepMap Descartes 0.78 23.84
DDOST 0.0022928 185 GTEx DepMap Descartes 2.23 130.58
PXDN 0.0018453 305 GTEx DepMap Descartes 1.10 20.66
PPIB 0.0017591 338 GTEx DepMap Descartes 8.76 902.04
ANXA2 0.0017112 363 GTEx DepMap Descartes 8.98 324.47
DLC1 0.0014707 487 GTEx DepMap Descartes 3.96 70.65
TMEFF2 0.0014390 510 GTEx DepMap Descartes 1.62 60.15
SDC2 0.0014356 513 GTEx DepMap Descartes 0.85 32.62
SSBP4 0.0012764 639 GTEx DepMap Descartes 2.18 157.81
SHC1 0.0012718 644 GTEx DepMap Descartes 1.60 59.35
RBMS1 0.0012509 663 GTEx DepMap Descartes 2.70 77.46
EXTL2 0.0012061 709 GTEx DepMap Descartes 0.82 31.39
ADAM19 0.0011667 740 GTEx DepMap Descartes 0.36 7.29
ROR1 0.0011160 793 GTEx DepMap Descartes 0.09 1.87
KDM5B 0.0011111 799 GTEx DepMap Descartes 1.40 18.95
COPA 0.0010651 859 GTEx DepMap Descartes 1.45 33.23
GNG12 0.0010204 913 GTEx DepMap Descartes 0.28 7.47
GNAI1 0.0009745 979 GTEx DepMap Descartes 1.18 14.39
PLAGL1 0.0009383 1025 GTEx DepMap Descartes 0.64 12.77
PLOD2 0.0009068 1063 GTEx DepMap Descartes 0.22 7.18
TPM2 0.0008113 1231 GTEx DepMap Descartes 1.63 118.78
FLRT2 0.0008016 1248 GTEx DepMap Descartes 0.38 1.42
GPC6 0.0007644 1326 GTEx DepMap Descartes 0.27 4.66
CTNNA1 0.0006883 1502 GTEx DepMap Descartes 1.13 37.58
ACTN1 0.0006655 1575 GTEx DepMap Descartes 1.44 39.12
SLC39A14 0.0006593 1592 GTEx DepMap Descartes 0.31 8.47


Descartes adrenocortical markers
Top 50 marker genes of adrenocortical cells in the Decartes fetal adrenal single cell map (https://atlas.brotmanbaty.org/bbi/human-gene-expression-during-development/cell/adrenocortical/in/adrenal)
Wilcoxon ranksum test P-value for gene set overrepresentation: 8.31e-01
Mean rank of genes in gene set: 6852.33
Median rank of genes in gene set: 7024
Rank on gene expression program of top 30 genes in gene set:

Genes Weight Rank GTEx DepMap Descartes Mean.Counts Mean.TPM
TM7SF2 0.0024886 149 GTEx DepMap Descartes 1.57 92.89
FRMD5 0.0016359 401 GTEx DepMap Descartes 0.35 8.48
IGF1R 0.0014787 482 GTEx DepMap Descartes 1.15 12.09
DNER 0.0012173 692 GTEx DepMap Descartes 1.14 45.97
SH3PXD2B 0.0006444 1627 GTEx DepMap Descartes 0.21 3.32
DHCR24 0.0004715 2233 GTEx DepMap Descartes 0.33 6.83
NPC1 0.0001763 3878 GTEx DepMap Descartes 0.16 4.55
PDE10A 0.0001279 4241 GTEx DepMap Descartes 0.24 3.64
GSTA4 0.0001243 4268 GTEx DepMap Descartes 1.58 110.54
JAKMIP2 0.0001079 4412 GTEx DepMap Descartes 0.81 11.54
GRAMD1B 0.0000756 4700 GTEx DepMap Descartes 0.10 1.51
SCAP 0.0000375 5076 GTEx DepMap Descartes 0.42 12.48
PEG3 0.0000070 5408 GTEx DepMap Descartes 0.59 NA
STAR -0.0000258 5851 GTEx DepMap Descartes 0.03 0.78
DHCR7 -0.0000479 6217 GTEx DepMap Descartes 0.22 9.59
INHA -0.0000514 6266 GTEx DepMap Descartes 0.02 2.14
FREM2 -0.0000560 6347 GTEx DepMap Descartes 0.00 0.00
SLC16A9 -0.0000768 6713 GTEx DepMap Descartes 0.17 5.07
HMGCR -0.0001100 7335 GTEx DepMap Descartes 0.61 16.97
MSMO1 -0.0001649 8224 GTEx DepMap Descartes 0.45 24.66
SCARB1 -0.0002076 8838 GTEx DepMap Descartes 0.12 2.34
SGCZ -0.0002077 8839 GTEx DepMap Descartes 0.01 0.07
SLC1A2 -0.0002398 9243 GTEx DepMap Descartes 0.43 4.40
FDX1 -0.0002543 9388 GTEx DepMap Descartes 0.76 29.48
BAIAP2L1 -0.0002557 9409 GTEx DepMap Descartes 0.00 0.06
SH3BP5 -0.0002834 9683 GTEx DepMap Descartes 0.76 31.18
POR -0.0002931 9786 GTEx DepMap Descartes 0.31 15.44
PAPSS2 -0.0003315 10152 GTEx DepMap Descartes 0.03 1.12
LDLR -0.0003490 10297 GTEx DepMap Descartes 0.08 1.53
FDXR -0.0003537 10341 GTEx DepMap Descartes 0.19 9.49


Descartes chromaffin markers
Top 50 marker genes of chromaffin cells in the Decartes fetal adrenal single cell map (https://atlas.brotmanbaty.org/bbi/human-gene-expression-during-development/cell/chromaffin/in/adrenal)
Wilcoxon ranksum test P-value for gene set overrepresentation: 1.74e-03
Mean rank of genes in gene set: 4624.59
Median rank of genes in gene set: 2405
Rank on gene expression program of top 30 genes in gene set:

Genes Weight Rank GTEx DepMap Descartes Mean.Counts Mean.TPM
STMN2 0.0067193 8 GTEx DepMap Descartes 95.77 6173.16
BASP1 0.0040627 32 GTEx DepMap Descartes 28.89 1998.16
TUBB2B 0.0030149 84 GTEx DepMap Descartes 48.16 3040.99
ELAVL2 0.0027273 115 GTEx DepMap Descartes 3.27 101.84
TUBB2A 0.0026341 127 GTEx DepMap Descartes 12.27 915.90
GAP43 0.0025738 141 GTEx DepMap Descartes 11.34 728.28
NTRK1 0.0024941 148 GTEx DepMap Descartes 3.30 137.62
MAP1B 0.0023546 168 GTEx DepMap Descartes 24.04 255.35
MAB21L2 0.0019957 247 GTEx DepMap Descartes 2.43 114.94
IL7 0.0018872 290 GTEx DepMap Descartes 2.30 147.00
MAB21L1 0.0014870 474 GTEx DepMap Descartes 3.24 133.42
KCNB2 0.0014446 506 GTEx DepMap Descartes 0.59 20.57
TMEFF2 0.0014390 510 GTEx DepMap Descartes 1.62 60.15
TUBA1A 0.0014266 522 GTEx DepMap Descartes 76.40 4874.25
RGMB 0.0014211 524 GTEx DepMap Descartes 1.66 47.47
ISL1 0.0012910 630 GTEx DepMap Descartes 5.99 321.77
CNKSR2 0.0011203 785 GTEx DepMap Descartes 0.61 9.99
CCND1 0.0008892 1093 GTEx DepMap Descartes 18.37 578.36
SYNPO2 0.0005119 2052 GTEx DepMap Descartes 0.75 5.86
SLC6A2 0.0004728 2227 GTEx DepMap Descartes 0.74 26.29
HS3ST5 0.0004310 2405 GTEx DepMap Descartes 0.25 8.79
MLLT11 0.0002265 3489 GTEx DepMap Descartes 10.33 501.79
CNTFR 0.0002074 3636 GTEx DepMap Descartes 1.60 100.40
MARCH11 0.0002055 3646 GTEx DepMap Descartes 2.90 NA
RYR2 0.0001873 3780 GTEx DepMap Descartes 0.22 1.63
ANKFN1 0.0001109 4385 GTEx DepMap Descartes 0.12 3.79
PLXNA4 0.0000081 5394 GTEx DepMap Descartes 0.58 5.52
REEP1 -0.0000942 7026 GTEx DepMap Descartes 0.73 22.86
ALK -0.0002553 9403 GTEx DepMap Descartes 0.25 5.64
FAT3 -0.0003038 9889 GTEx DepMap Descartes 0.23 1.63


Descartes Vascular_endothelial markers
Top 50 marker genes of Vascular_endothelial cells in the Decartes fetal adrenal single cell map (https://atlas.brotmanbaty.org/bbi/human-gene-expression-during-development/cell/vascular_endothelial/in/adrenal)
Wilcoxon ranksum test P-value for gene set overrepresentation: 7.54e-01
Mean rank of genes in gene set: 6677.55
Median rank of genes in gene set: 7621
Rank on gene expression program of top 30 genes in gene set:

Genes Weight Rank GTEx DepMap Descartes Mean.Counts Mean.TPM
CYP26B1 0.0107351 1 GTEx DepMap Descartes 2.49 66.33
EFNB2 0.0010277 905 GTEx DepMap Descartes 0.89 22.89
CLDN5 0.0006139 1720 GTEx DepMap Descartes 0.40 21.59
EHD3 0.0005302 1990 GTEx DepMap Descartes 0.09 2.29
TMEM88 0.0004645 2263 GTEx DepMap Descartes 0.18 25.10
NR5A2 0.0002574 3304 GTEx DepMap Descartes 0.01 0.21
PODXL 0.0002021 3675 GTEx DepMap Descartes 0.17 3.36
HYAL2 0.0001432 4132 GTEx DepMap Descartes 0.83 25.62
RAMP2 0.0000932 4547 GTEx DepMap Descartes 1.78 246.36
SHANK3 0.0000777 4680 GTEx DepMap Descartes 0.06 0.92
GALNT15 0.0000714 4745 GTEx DepMap Descartes 0.01 NA
RASIP1 0.0000646 4804 GTEx DepMap Descartes 0.03 1.09
CDH13 0.0000472 4986 GTEx DepMap Descartes 0.07 0.98
PTPRB -0.0000605 6427 GTEx DepMap Descartes 0.02 0.23
NOTCH4 -0.0000656 6504 GTEx DepMap Descartes 0.26 4.65
F8 -0.0000867 6898 GTEx DepMap Descartes 0.01 0.14
MMRN2 -0.0000909 6977 GTEx DepMap Descartes 0.01 0.23
SLCO2A1 -0.0001061 7261 GTEx DepMap Descartes 0.00 0.01
MYRIP -0.0001267 7613 GTEx DepMap Descartes 0.06 1.29
KDR -0.0001276 7629 GTEx DepMap Descartes 0.02 0.27
ESM1 -0.0001373 7766 GTEx DepMap Descartes 0.00 0.05
SHE -0.0001449 7893 GTEx DepMap Descartes 0.00 0.01
NPR1 -0.0001454 7905 GTEx DepMap Descartes 0.00 0.00
PLVAP -0.0001497 7970 GTEx DepMap Descartes 0.03 1.35
CDH5 -0.0001523 8019 GTEx DepMap Descartes 0.01 0.18
ROBO4 -0.0001576 8109 GTEx DepMap Descartes 0.02 0.40
KANK3 -0.0001585 8121 GTEx DepMap Descartes 0.01 0.34
TIE1 -0.0001596 8139 GTEx DepMap Descartes 0.01 0.14
CRHBP -0.0001685 8280 GTEx DepMap Descartes 0.00 0.07
FLT4 -0.0001687 8282 GTEx DepMap Descartes 0.01 0.10


Descartes stromal markers
Top 50 marker genes of stromal cells in the Decartes fetal adrenal single cell map (https://atlas.brotmanbaty.org/bbi/human-gene-expression-during-development/cell/stromal/in/adrenal)
Wilcoxon ranksum test P-value for gene set overrepresentation: 9.95e-01
Mean rank of genes in gene set: 7662.98
Median rank of genes in gene set: 8323.5
Rank on gene expression program of top 30 genes in gene set:

Genes Weight Rank GTEx DepMap Descartes Mean.Counts Mean.TPM
ELN 0.0034037 56 GTEx DepMap Descartes 0.76 23.91
GLI2 0.0018343 307 GTEx DepMap Descartes 0.05 0.95
ADAMTS2 0.0016644 385 GTEx DepMap Descartes 0.30 5.97
BICC1 0.0003150 2971 GTEx DepMap Descartes 0.09 1.99
CDH11 0.0002655 3253 GTEx DepMap Descartes 0.21 3.77
GAS2 0.0000235 5206 GTEx DepMap Descartes 0.01 0.87
PRICKLE1 0.0000099 5367 GTEx DepMap Descartes 0.38 7.78
ABCC9 -0.0000467 6194 GTEx DepMap Descartes 0.01 0.12
ADAMTSL3 -0.0000607 6438 GTEx DepMap Descartes 0.00 0.02
SFRP2 -0.0000727 6653 GTEx DepMap Descartes 0.00 0.03
POSTN -0.0000812 6788 GTEx DepMap Descartes 0.03 1.03
SCARA5 -0.0000837 6838 GTEx DepMap Descartes 0.00 0.00
ITGA11 -0.0000895 6944 GTEx DepMap Descartes 0.01 0.10
RSPO3 -0.0000900 6956 GTEx DepMap Descartes 0.00 NA
IGFBP3 -0.0000981 7100 GTEx DepMap Descartes 0.03 1.45
CLDN11 -0.0001072 7280 GTEx DepMap Descartes 0.04 1.38
DKK2 -0.0001536 8042 GTEx DepMap Descartes 0.00 0.08
FREM1 -0.0001646 8219 GTEx DepMap Descartes 0.00 0.04
ACTA2 -0.0001648 8222 GTEx DepMap Descartes 0.30 16.43
LAMC3 -0.0001663 8242 GTEx DepMap Descartes 0.00 0.00
PAMR1 -0.0001695 8288 GTEx DepMap Descartes 0.00 0.08
ABCA6 -0.0001701 8300 GTEx DepMap Descartes 0.00 0.04
OGN -0.0001739 8347 GTEx DepMap Descartes 0.00 0.05
EDNRA -0.0001751 8364 GTEx DepMap Descartes 0.01 0.24
MGP -0.0001757 8374 GTEx DepMap Descartes 0.11 4.61
C7 -0.0001759 8378 GTEx DepMap Descartes 0.01 0.08
COL27A1 -0.0001771 8397 GTEx DepMap Descartes 0.00 0.02
PRRX1 -0.0001848 8518 GTEx DepMap Descartes 0.02 0.43
LUM -0.0001984 8713 GTEx DepMap Descartes 0.00 0.11
DCN -0.0002090 8854 GTEx DepMap Descartes 0.00 0.00


Descartes sympathoblasts markers
Top 50 marker genes of sympathoblasts cells in the Decartes fetal adrenal single cell map (https://atlas.brotmanbaty.org/bbi/human-gene-expression-during-development/cell/sympathoblasts/in/adrenal)
Wilcoxon ranksum test P-value for gene set overrepresentation: 8.75e-01
Mean rank of genes in gene set: 6951.05
Median rank of genes in gene set: 7625
Rank on gene expression program of top 30 genes in gene set:

Genes Weight Rank GTEx DepMap Descartes Mean.Counts Mean.TPM
CHGA 0.0042274 28 GTEx DepMap Descartes 8.91 570.12
SLC18A1 0.0031394 73 GTEx DepMap Descartes 0.94 39.17
CDH12 0.0023415 172 GTEx DepMap Descartes 0.27 8.20
KCTD16 0.0012056 710 GTEx DepMap Descartes 1.27 11.59
FAM155A 0.0010394 889 GTEx DepMap Descartes 0.88 11.37
CDH18 0.0009841 967 GTEx DepMap Descartes 0.16 4.38
SPOCK3 0.0007940 1262 GTEx DepMap Descartes 0.26 10.66
MGAT4C 0.0007289 1414 GTEx DepMap Descartes 0.49 2.31
ROBO1 0.0006395 1640 GTEx DepMap Descartes 0.59 9.52
AGBL4 0.0002902 3106 GTEx DepMap Descartes 0.15 5.19
PACRG 0.0002676 3240 GTEx DepMap Descartes 0.18 13.88
C1QL1 0.0001837 3813 GTEx DepMap Descartes 2.57 216.42
CNTN3 0.0001285 4236 GTEx DepMap Descartes 0.02 0.40
TBX20 0.0000777 4679 GTEx DepMap Descartes 0.06 4.54
SLC35F3 -0.0000052 5558 GTEx DepMap Descartes 0.01 0.33
PENK -0.0000563 6350 GTEx DepMap Descartes 0.00 0.18
CCSER1 -0.0000848 6860 GTEx DepMap Descartes 0.10 NA
GRM7 -0.0000976 7090 GTEx DepMap Descartes 0.00 0.09
UNC80 -0.0001022 7179 GTEx DepMap Descartes 0.53 4.93
ST18 -0.0001557 8071 GTEx DepMap Descartes 0.00 0.02
SORCS3 -0.0001720 8321 GTEx DepMap Descartes 0.01 0.07
GRID2 -0.0001911 8608 GTEx DepMap Descartes 0.31 6.83
EML6 -0.0002015 8755 GTEx DepMap Descartes 0.10 1.24
SLC24A2 -0.0002213 9019 GTEx DepMap Descartes 0.01 0.16
FGF14 -0.0004160 10778 GTEx DepMap Descartes 0.15 1.36
TIAM1 -0.0004576 11012 GTEx DepMap Descartes 0.26 4.26
LAMA3 -0.0004699 11073 GTEx DepMap Descartes 0.03 0.28
CHGB -0.0005066 11271 GTEx DepMap Descartes 6.96 350.18
GALNTL6 -0.0005442 11427 GTEx DepMap Descartes 0.04 1.38
NTNG1 -0.0005495 11453 GTEx DepMap Descartes 0.15 3.14


Descartes erythroblasts markers
Top 50 marker genes of erythroblasts cells in the Decartes fetal adrenal single cell map (https://atlas.brotmanbaty.org/bbi/human-gene-expression-during-development/cell/erythroblasts/in/adrenal)
Wilcoxon ranksum test P-value for gene set overrepresentation: 4.60e-01
Mean rank of genes in gene set: 6207.66
Median rank of genes in gene set: 5822
Rank on gene expression program of top 30 genes in gene set:

Genes Weight Rank GTEx DepMap Descartes Mean.Counts Mean.TPM
SLC25A37 0.0018898 287 GTEx DepMap Descartes 1.44 40.01
ANK1 0.0012055 711 GTEx DepMap Descartes 0.34 5.09
TFR2 0.0008346 1184 GTEx DepMap Descartes 0.30 10.98
EPB41 0.0007822 1284 GTEx DepMap Descartes 1.34 26.17
TSPAN5 0.0005937 1781 GTEx DepMap Descartes 1.54 47.15
XPO7 0.0002846 3138 GTEx DepMap Descartes 0.41 10.44
ABCB10 0.0002722 3216 GTEx DepMap Descartes 0.15 4.63
TMCC2 0.0002150 3581 GTEx DepMap Descartes 0.17 5.50
DENND4A 0.0001280 4240 GTEx DepMap Descartes 0.52 7.83
RAPGEF2 0.0001137 4360 GTEx DepMap Descartes 0.50 7.93
FECH 0.0000833 4626 GTEx DepMap Descartes 0.25 4.14
GCLC -0.0000073 5586 GTEx DepMap Descartes 0.18 5.97
SNCA -0.0000113 5643 GTEx DepMap Descartes 0.61 23.13
CPOX -0.0000169 5726 GTEx DepMap Descartes 0.09 4.03
RHD -0.0000239 5822 GTEx DepMap Descartes 0.00 0.05
SLC25A21 -0.0000285 5900 GTEx DepMap Descartes 0.00 0.00
RGS6 -0.0000676 6538 GTEx DepMap Descartes 0.00 0.00
ALAS2 -0.0000711 6614 GTEx DepMap Descartes 0.00 0.06
MICAL2 -0.0000812 6789 GTEx DepMap Descartes 0.04 0.86
SELENBP1 -0.0001420 7860 GTEx DepMap Descartes 0.00 0.09
SLC4A1 -0.0001749 8358 GTEx DepMap Descartes 0.00 0.00
MARCH3 -0.0002374 9217 GTEx DepMap Descartes 0.05 NA
TRAK2 -0.0002682 9534 GTEx DepMap Descartes 0.19 3.71
SOX6 -0.0003669 10443 GTEx DepMap Descartes 0.18 2.72
BLVRB -0.0004511 10981 GTEx DepMap Descartes 0.10 6.95
CAT -0.0004839 11154 GTEx DepMap Descartes 0.24 12.73
SPTB -0.0005308 11383 GTEx DepMap Descartes 0.08 1.12
SPECC1 -0.0006922 11854 GTEx DepMap Descartes 0.01 0.16
GYPC -0.0009751 12212 GTEx DepMap Descartes 0.14 7.38
NA NA NA NA NA NA NA NA


Descartes myeloid markers
Top 50 marker genes of myeloid cells in the Decartes fetal adrenal single cell map (https://atlas.brotmanbaty.org/bbi/human-gene-expression-during-development/cell/myeloid/in/adrenal)
Wilcoxon ranksum test P-value for gene set overrepresentation: 1.00e+00
Mean rank of genes in gene set: 9775.16
Median rank of genes in gene set: 10374
Rank on gene expression program of top 30 genes in gene set:

Genes Weight Rank GTEx DepMap Descartes Mean.Counts Mean.TPM
FMN1 0.0009634 984 GTEx DepMap Descartes 0.45 4.34
SLC1A3 0.0002741 3205 GTEx DepMap Descartes 0.08 2.43
WWP1 -0.0000377 6050 GTEx DepMap Descartes 0.19 4.93
ATP8B4 -0.0001154 7420 GTEx DepMap Descartes 0.02 0.37
FGD2 -0.0002032 8777 GTEx DepMap Descartes 0.01 0.11
ADAP2 -0.0002263 9087 GTEx DepMap Descartes 0.07 2.91
MERTK -0.0002629 9465 GTEx DepMap Descartes 0.01 0.17
CPVL -0.0002691 9544 GTEx DepMap Descartes 0.09 2.65
RBPJ -0.0002717 9570 GTEx DepMap Descartes 1.60 33.70
SLC9A9 -0.0002755 9606 GTEx DepMap Descartes 0.01 0.27
CD163 -0.0003195 10036 GTEx DepMap Descartes 0.01 0.23
MARCH1 -0.0003203 10046 GTEx DepMap Descartes 0.03 NA
SPP1 -0.0003227 10076 GTEx DepMap Descartes 0.13 7.64
ABCA1 -0.0003309 10147 GTEx DepMap Descartes 0.06 0.74
HRH1 -0.0003401 10210 GTEx DepMap Descartes 0.01 0.38
HCK -0.0003423 10228 GTEx DepMap Descartes 0.01 0.64
FGL2 -0.0003441 10252 GTEx DepMap Descartes 0.06 1.18
MS4A4A -0.0003502 10309 GTEx DepMap Descartes 0.06 3.19
SLCO2B1 -0.0003577 10371 GTEx DepMap Descartes 0.01 0.21
RGL1 -0.0003587 10377 GTEx DepMap Descartes 0.02 0.42
MSR1 -0.0003622 10407 GTEx DepMap Descartes 0.02 0.41
CSF1R -0.0003639 10413 GTEx DepMap Descartes 0.02 0.47
CTSB -0.0003661 10434 GTEx DepMap Descartes 1.21 37.25
LGMN -0.0003663 10436 GTEx DepMap Descartes 0.33 17.83
SFMBT2 -0.0003713 10481 GTEx DepMap Descartes 0.02 0.32
AXL -0.0003795 10524 GTEx DepMap Descartes 0.02 0.32
CD14 -0.0003951 10642 GTEx DepMap Descartes 0.22 11.64
CTSC -0.0003973 10651 GTEx DepMap Descartes 0.46 7.83
IFNGR1 -0.0004093 10735 GTEx DepMap Descartes 0.43 22.56
CD163L1 -0.0004107 10748 GTEx DepMap Descartes 0.57 16.45


Descartes Schwann markers
Top 50 marker genes of Schwann cells in the Decartes fetal adrenal single cell map (https://atlas.brotmanbaty.org/bbi/human-gene-expression-during-development/cell/schwann/in/adrenal)
Wilcoxon ranksum test P-value for gene set overrepresentation: 1.00e+00
Mean rank of genes in gene set: 8262.84
Median rank of genes in gene set: 8978.5
Rank on gene expression program of top 30 genes in gene set:

Genes Weight Rank GTEx DepMap Descartes Mean.Counts Mean.TPM
GRIK3 0.0038039 40 GTEx DepMap Descartes 0.30 3.79
PPP2R2B 0.0019150 270 GTEx DepMap Descartes 1.43 16.03
MARCKS 0.0017958 327 GTEx DepMap Descartes 18.55 525.17
DST 0.0006623 1583 GTEx DepMap Descartes 5.33 29.79
SLC35F1 0.0002232 3514 GTEx DepMap Descartes 0.11 2.18
MDGA2 0.0001231 4284 GTEx DepMap Descartes 0.01 0.22
LAMB1 0.0000806 4655 GTEx DepMap Descartes 0.62 13.78
NRXN3 0.0000271 5176 GTEx DepMap Descartes 0.03 0.39
NRXN1 0.0000029 5459 GTEx DepMap Descartes 1.78 23.27
IL1RAPL1 -0.0000297 5925 GTEx DepMap Descartes 0.01 0.33
IL1RAPL2 -0.0000310 5941 GTEx DepMap Descartes 0.00 0.00
GFRA3 -0.0001014 7164 GTEx DepMap Descartes 0.93 63.81
PLCE1 -0.0001028 7190 GTEx DepMap Descartes 0.10 1.03
HMGA2 -0.0001108 7347 GTEx DepMap Descartes 0.00 0.00
MPZ -0.0001222 7556 GTEx DepMap Descartes 0.02 1.42
ADAMTS5 -0.0001265 7611 GTEx DepMap Descartes 0.01 0.05
XKR4 -0.0001416 7850 GTEx DepMap Descartes 0.03 0.17
PLP1 -0.0001451 7898 GTEx DepMap Descartes 0.01 0.26
SORCS1 -0.0001658 8238 GTEx DepMap Descartes 0.15 2.54
PTPRZ1 -0.0001922 8624 GTEx DepMap Descartes 0.01 0.06
ERBB4 -0.0002062 8815 GTEx DepMap Descartes 0.00 0.00
ERBB3 -0.0002074 8835 GTEx DepMap Descartes 0.03 0.63
EDNRB -0.0002299 9122 GTEx DepMap Descartes 0.01 0.14
TRPM3 -0.0002366 9206 GTEx DepMap Descartes 0.01 0.07
LRRTM4 -0.0002727 9582 GTEx DepMap Descartes 0.03 1.28
OLFML2A -0.0002946 9801 GTEx DepMap Descartes 0.03 0.43
LAMC1 -0.0003100 9947 GTEx DepMap Descartes 0.06 0.96
KCTD12 -0.0003138 9982 GTEx DepMap Descartes 0.16 2.98
STARD13 -0.0003166 10004 GTEx DepMap Descartes 0.02 0.26
COL25A1 -0.0003473 10278 GTEx DepMap Descartes 0.01 0.12


Descartes Megakaryocytes markers
Top 50 marker genes of Megakaryocytes cells in the Decartes fetal adrenal single cell map (https://atlas.brotmanbaty.org/bbi/human-gene-expression-during-development/cell/megakaryocytes/in/adrenal)
Wilcoxon ranksum test P-value for gene set overrepresentation: 1.00e+00
Mean rank of genes in gene set: 8214.62
Median rank of genes in gene set: 9106
Rank on gene expression program of top 30 genes in gene set:

Genes Weight Rank GTEx DepMap Descartes Mean.Counts Mean.TPM
DOK6 0.0012168 694 GTEx DepMap Descartes 0.49 6.45
STON2 0.0012000 718 GTEx DepMap Descartes 0.40 11.69
ACTN1 0.0006655 1575 GTEx DepMap Descartes 1.44 39.12
UBASH3B 0.0004680 2251 GTEx DepMap Descartes 0.12 2.43
VCL 0.0003015 3045 GTEx DepMap Descartes 0.34 5.05
MED12L 0.0002289 3473 GTEx DepMap Descartes 0.10 1.12
INPP4B 0.0000885 4589 GTEx DepMap Descartes 0.16 2.21
ACTB 0.0000668 4785 GTEx DepMap Descartes 47.05 2509.08
PRKAR2B 0.0000212 5232 GTEx DepMap Descartes 1.14 38.45
GP1BA -0.0000170 5727 GTEx DepMap Descartes 0.01 0.29
TRPC6 -0.0000855 6872 GTEx DepMap Descartes 0.00 0.04
RAP1B -0.0000864 6894 GTEx DepMap Descartes 1.48 13.38
ARHGAP6 -0.0000901 6958 GTEx DepMap Descartes 0.00 0.05
P2RX1 -0.0000920 6995 GTEx DepMap Descartes 0.00 0.02
ITGB3 -0.0001131 7385 GTEx DepMap Descartes 0.00 0.00
SLC24A3 -0.0001158 7432 GTEx DepMap Descartes 0.00 0.02
ANGPT1 -0.0001448 7890 GTEx DepMap Descartes 0.03 0.77
MMRN1 -0.0001544 8050 GTEx DepMap Descartes 0.01 0.08
TUBB1 -0.0001554 8062 GTEx DepMap Descartes 0.00 0.11
MYLK -0.0001853 8523 GTEx DepMap Descartes 0.07 0.64
ZYX -0.0001954 8667 GTEx DepMap Descartes 0.42 23.94
GSN -0.0002073 8830 GTEx DepMap Descartes 0.34 5.83
PSTPIP2 -0.0002281 9106 GTEx DepMap Descartes 0.01 0.15
MYH9 -0.0002325 9152 GTEx DepMap Descartes 0.55 8.79
LTBP1 -0.0002459 9306 GTEx DepMap Descartes 0.01 0.09
THBS1 -0.0002875 9727 GTEx DepMap Descartes 0.01 0.19
MCTP1 -0.0002945 9800 GTEx DepMap Descartes 0.02 0.35
PDE3A -0.0002989 9839 GTEx DepMap Descartes 0.14 2.21
FLI1 -0.0003273 10116 GTEx DepMap Descartes 0.01 0.17
PLEK -0.0003352 10175 GTEx DepMap Descartes 0.07 2.09


Descartes Lyphoid markers
Top 50 marker genes of Lyphoid cells in the Decartes fetal adrenal single cell map (https://atlas.brotmanbaty.org/bbi/human-gene-expression-during-development/cell/lymphoid/in/adrenal)
Wilcoxon ranksum test P-value for gene set overrepresentation: 1.00e+00
Mean rank of genes in gene set: 9034.67
Median rank of genes in gene set: 11353.5
Rank on gene expression program of top 30 genes in gene set:

Genes Weight Rank GTEx DepMap Descartes Mean.Counts Mean.TPM
FYN 0.0020216 238 GTEx DepMap Descartes 3.87 132.80
CELF2 0.0017911 331 GTEx DepMap Descartes 2.13 32.49
RAP1GAP2 0.0011597 749 GTEx DepMap Descartes 0.81 15.35
TOX 0.0011027 812 GTEx DepMap Descartes 1.06 32.89
NCALD 0.0005032 2088 GTEx DepMap Descartes 0.26 8.72
CD44 0.0004842 2175 GTEx DepMap Descartes 3.33 78.20
SORL1 0.0003634 2719 GTEx DepMap Descartes 0.65 7.49
STK39 0.0002967 3071 GTEx DepMap Descartes 0.77 29.28
FOXP1 0.0002631 3269 GTEx DepMap Descartes 2.71 37.72
GNG2 0.0002179 3566 GTEx DepMap Descartes 1.41 46.90
LCP1 -0.0000455 6175 GTEx DepMap Descartes 0.61 18.40
MCTP2 -0.0001652 8229 GTEx DepMap Descartes 0.02 0.24
CCL5 -0.0002647 9493 GTEx DepMap Descartes 0.20 18.04
PITPNC1 -0.0003771 10509 GTEx DepMap Descartes 0.33 6.43
EVL -0.0003943 10632 GTEx DepMap Descartes 3.19 104.78
SAMD3 -0.0003977 10654 GTEx DepMap Descartes 0.02 0.68
RCSD1 -0.0004028 10694 GTEx DepMap Descartes 0.03 0.69
ITPKB -0.0004091 10731 GTEx DepMap Descartes 0.01 0.28
PRKCH -0.0004924 11190 GTEx DepMap Descartes 0.03 0.77
SKAP1 -0.0005007 11239 GTEx DepMap Descartes 0.02 1.67
PLEKHA2 -0.0005164 11318 GTEx DepMap Descartes 0.02 0.37
ANKRD44 -0.0005321 11389 GTEx DepMap Descartes 0.22 3.61
ARHGAP15 -0.0005389 11406 GTEx DepMap Descartes 0.04 1.31
BACH2 -0.0005412 11416 GTEx DepMap Descartes 0.20 2.59
ABLIM1 -0.0005950 11588 GTEx DepMap Descartes 0.27 4.13
LEF1 -0.0005983 11601 GTEx DepMap Descartes 0.05 1.35
IKZF1 -0.0006226 11660 GTEx DepMap Descartes 0.08 1.41
SP100 -0.0006303 11687 GTEx DepMap Descartes 0.05 0.90
PDE3B -0.0006552 11762 GTEx DepMap Descartes 0.21 4.50
MBNL1 -0.0006914 11852 GTEx DepMap Descartes 0.39 7.15



Below shows the ranks on this GEP for immune marker gene lists curated by CellTypist (https://www.celltypist.org/encyclopedia).
  High ranks indicate this gene is a driver of this GEP.
  These curated gene list are ranked by P-value (on this GEP) of their constituent genes.
  The Mean Count column shows the mean read count in cells scoring highly (H > 50) on this gene expression program.


DC: DC1 (curated markers)
conventional type 1 dendritic cells which constitute a rare dendritic cell population with superior cross-presentation ability:
Wilcoxon ranksum test P-value for gene set overrepresentation: 1.29e-02
Mean rank of genes in gene set: 567
Rank on gene expression program of genes in gene set:
Genes Weight Rank GTEx DepMap Decartes Mean.Counts Mean.TPM
CADM1 0.0081174 3 GTEx DepMap Descartes 14.10 212.18
BATF3 0.0008673 1131 GTEx DepMap Descartes 0.22 10.40


B cells: Transitional B cells (model markers)
immature B cell precursors in the bone marrow which connect Pre-B cells with mature naive B cells and are subject to the process of B cell selection:
Wilcoxon ranksum test P-value for gene set overrepresentation: 4.61e-02
Mean rank of genes in gene set: 173
Rank on gene expression program of genes in gene set:

Genes Weight Rank GTEx DepMap Decartes Mean.Counts Mean.TPM
GNG3 0.0023341 173 GTEx DepMap Descartes 5.44 757.82


HSC/MPP: Megakaryocyte-erythroid-mast cell progenitor (model markers)
shared progenitors in the fetal liver which originate from common myeloid progenitors and differentiate into megakaryocytes:
Wilcoxon ranksum test P-value for gene set overrepresentation: 4.64e-02
Mean rank of genes in gene set: 186
Rank on gene expression program of genes in gene set:

Genes Weight Rank GTEx DepMap Decartes Mean.Counts Mean.TPM
CKB 0.0022915 186 GTEx DepMap Descartes 16.42 1369.44