Program description and justification of annotation: 17.
Submit a comment on this gene expression program’s interpretation: CLICK
QQ-plot of gene loadings, averaged over both independent splits of the data
This plot highlights the relative contribution of each gene to the GEP
Top genes driving this program.
Note: Decartes website is buggy, try refreshing. Also, Decartes fetal adrenal data have been collected at specific time points (89-122 days), all possible cell types of interest may not be represented, do not overinterpret.
The Mean Count column shows the mean read count in cells scoring highly (H > 50) on this gene expression program.
Gene | Loading | Gene.Name | GTEx | DepMap | Descartes | Mean.Counts | Mean.Tpm | |
---|---|---|---|---|---|---|---|---|
1 | CRABP1 | 0.0218930 | cellular retinoic acid binding protein 1 | GTEx | DepMap | Descartes | 31.18 | 585.16 |
2 | ERH | 0.0180603 | ERH mRNA splicing and mitosis factor | GTEx | DepMap | Descartes | 86.46 | 1335.54 |
3 | HPCA | 0.0179873 | hippocalcin | GTEx | DepMap | Descartes | 6.38 | 95.97 |
4 | LDHA | 0.0176878 | lactate dehydrogenase A | GTEx | DepMap | Descartes | 58.55 | 653.68 |
5 | RPL36AL | 0.0160949 | ribosomal protein L36a like | GTEx | DepMap | Descartes | 56.57 | 6692.44 |
6 | PPP1R14A | 0.0159539 | protein phosphatase 1 regulatory inhibitor subunit 14A | GTEx | DepMap | Descartes | 9.17 | 321.07 |
7 | RPS7 | 0.0152434 | ribosomal protein S7 | GTEx | DepMap | Descartes | 138.74 | 4360.69 |
8 | THUMPD3 | 0.0145414 | THUMP domain containing 3 | GTEx | DepMap | Descartes | 23.19 | 165.45 |
9 | BFSP1 | 0.0143389 | beaded filament structural protein 1 | GTEx | DepMap | Descartes | 4.88 | 20.35 |
10 | RPL29 | 0.0140078 | ribosomal protein L29 | GTEx | DepMap | Descartes | 47.90 | 3485.38 |
11 | ODC1 | 0.0137464 | ornithine decarboxylase 1 | GTEx | DepMap | Descartes | 21.43 | 534.52 |
12 | EIF5A | 0.0136666 | eukaryotic translation initiation factor 5A | GTEx | DepMap | Descartes | 87.50 | 2607.33 |
13 | NPM1 | 0.0134433 | nucleophosmin 1 | GTEx | DepMap | Descartes | 177.61 | 2550.54 |
14 | BZW2 | 0.0134164 | basic leucine zipper and W2 domains 2 | GTEx | DepMap | Descartes | 24.74 | 60.48 |
15 | NOP10 | 0.0131719 | NOP10 ribonucleoprotein | GTEx | DepMap | Descartes | 29.19 | 3448.12 |
16 | SNRPF | 0.0131027 | small nuclear ribonucleoprotein polypeptide F | GTEx | DepMap | Descartes | 41.49 | 987.75 |
17 | RPS2 | 0.0130706 | ribosomal protein S2 | GTEx | DepMap | Descartes | 166.63 | 6753.91 |
18 | FKBP3 | 0.0129382 | FKBP prolyl isomerase 3 | GTEx | DepMap | Descartes | 33.05 | 454.26 |
19 | MYCN | 0.0128132 | MYCN proto-oncogene, bHLH transcription factor | GTEx | DepMap | Descartes | 12.87 | 388.18 |
20 | HSP90AB1 | 0.0126634 | heat shock protein 90 alpha family class B member 1 | GTEx | DepMap | Descartes | 147.60 | 4285.84 |
21 | NFIB | 0.0126111 | nuclear factor I B | GTEx | DepMap | Descartes | 14.22 | 5.73 |
22 | RPRML | 0.0123752 | reprimo like | GTEx | DepMap | Descartes | 1.05 | 157.24 |
23 | RPS11 | 0.0122621 | ribosomal protein S11 | GTEx | DepMap | Descartes | 136.17 | 10448.93 |
24 | RPL34 | 0.0119694 | ribosomal protein L34 | GTEx | DepMap | Descartes | 110.84 | 4928.96 |
25 | RPL3 | 0.0119419 | ribosomal protein L3 | GTEx | DepMap | Descartes | 118.91 | 1339.44 |
26 | CABP1 | 0.0118757 | calcium binding protein 1 | GTEx | DepMap | Descartes | 5.21 | 32.88 |
27 | SRM | 0.0118284 | spermidine synthase | GTEx | DepMap | Descartes | 18.83 | 835.50 |
28 | RPL36 | 0.0117475 | ribosomal protein L36 | GTEx | DepMap | Descartes | 112.93 | 22080.43 |
29 | RPL18 | 0.0115493 | ribosomal protein L18 | GTEx | DepMap | Descartes | 129.78 | 3838.52 |
30 | GLRX5 | 0.0115377 | glutaredoxin 5 | GTEx | DepMap | Descartes | 20.41 | 321.77 |
31 | NCL | 0.0114358 | nucleolin | GTEx | DepMap | Descartes | 62.51 | 687.10 |
32 | EIF3I | 0.0112819 | eukaryotic translation initiation factor 3 subunit I | GTEx | DepMap | Descartes | 21.40 | 385.04 |
33 | YBX3 | 0.0112454 | Y-box binding protein 3 | GTEx | DepMap | Descartes | 22.20 | 149.83 |
34 | NKX6-1 | 0.0111573 | NK6 homeobox 1 | GTEx | DepMap | Descartes | 1.80 | 44.65 |
35 | EMX1 | 0.0111151 | empty spiracles homeobox 1 | GTEx | DepMap | Descartes | 0.50 | 4.39 |
36 | RPL22 | 0.0110556 | ribosomal protein L22 | GTEx | DepMap | Descartes | 63.47 | 1213.52 |
37 | NEUROD2 | 0.0109688 | neuronal differentiation 2 | GTEx | DepMap | Descartes | 0.69 | 25.18 |
38 | RPS10 | 0.0109659 | ribosomal protein S10 | GTEx | DepMap | Descartes | 127.61 | 3242.26 |
39 | TDRD1 | 0.0109541 | tudor domain containing 1 | GTEx | DepMap | Descartes | 1.40 | 5.28 |
40 | RPL14 | 0.0109497 | ribosomal protein L14 | GTEx | DepMap | Descartes | 70.36 | 3448.39 |
41 | LYAR | 0.0108972 | Ly1 antibody reactive | GTEx | DepMap | Descartes | 9.11 | 102.98 |
42 | RPUSD3 | 0.0108834 | RNA pseudouridine synthase D3 | GTEx | DepMap | Descartes | 4.08 | 138.79 |
43 | DCTPP1 | 0.0108624 | dCTP pyrophosphatase 1 | GTEx | DepMap | Descartes | 20.64 | 866.79 |
44 | RPS14 | 0.0108249 | ribosomal protein S14 | GTEx | DepMap | Descartes | 93.79 | 473.22 |
45 | RPL10A | 0.0108033 | ribosomal protein L10a | GTEx | DepMap | Descartes | 93.29 | 5748.59 |
46 | RAN | 0.0107172 | RAN, member RAS oncogene family | GTEx | DepMap | Descartes | 60.81 | 2228.54 |
47 | AK2 | 0.0106711 | adenylate kinase 2 | GTEx | DepMap | Descartes | 14.58 | 116.70 |
48 | BOLA2 | 0.0106600 | bolA family member 2 | GTEx | DepMap | Descartes | 19.32 | 712.40 |
49 | MIF | 0.0106186 | macrophage migration inhibitory factor | GTEx | DepMap | Descartes | 84.20 | 15080.42 |
50 | EIF2S1 | 0.0106118 | eukaryotic translation initiation factor 2 subunit alpha | GTEx | DepMap | Descartes | 11.12 | 69.94 |
UMAP plots showing activity of gene expression program identified in community:17. Neuroblastoma: MYCN
CNV Data procured from inferCNV.
Outer tracks are putative CNV regions (gains = red, losses = blue) for each patient
Inner track is expression data representing:
The top cells expressing this GEP (purple)
Random cells (n =50) from the reference set used in inferCNV (orange)
Gene set Enrichments for this program, caculated from top 50 genes
mSigDB Cell Types Gene Set:
P-value | OR | Lower 95% CI | FDR | FWER | Genes Found | Gene Set Size | |
---|---|---|---|---|---|---|---|
BUSSLINGER_GASTRIC_PPP1R1B_POSITIVE_CELLS | 1.13e-18 | 67.89 | 32.17 | 1.90e-16 | 7.58e-16 | 13RPL29, NPM1, RPS2, HSP90AB1, RPL34, RPL3, RPL36, RPL18, RPL22, RPS10, RPL14, RPS14, RPL10A |
121 |
BUSSLINGER_DUODENAL_TRANSIT_AMPLIFYING_CELLS | 5.05e-21 | 55.15 | 27.91 | 1.69e-18 | 3.39e-18 | 16RPS7, RPL29, NPM1, RPS2, HSP90AB1, RPS11, RPL34, RPL3, RPL36, RPL18, NCL, RPL22, RPL14, RPS14, RPL10A, RAN |
194 |
BUSSLINGER_GASTRIC_LYZ_POSITIVE_CELLS | 1.65e-15 | 58.84 | 26.43 | 9.23e-14 | 1.11e-12 | 11RPS7, RPL29, RPS2, RPL34, RPL3, RPL36, RPL18, RPS10, RPL14, RPS14, RPL10A |
111 |
RUBENSTEIN_SKELETAL_MUSCLE_T_CELLS | 4.93e-18 | 48.62 | 23.77 | 5.51e-16 | 3.31e-15 | 14RPL36AL, RPS7, RPL29, NPM1, RPS2, RPL34, RPL3, RPL36, RPL18, RPL22, RPS10, RPL14, RPS14, RPL10A |
181 |
TRAVAGLINI_LUNG_CD4_NAIVE_T_CELL | 1.15e-14 | 48.68 | 21.94 | 5.95e-13 | 7.73e-12 | 11RPS7, RPL29, NPM1, RPS2, RPL34, RPL3, RPL36, RPL18, RPL14, RPS14, RPL10A |
132 |
RUBENSTEIN_SKELETAL_MUSCLE_B_CELLS | 1.74e-16 | 44.70 | 21.42 | 1.30e-14 | 1.17e-13 | 13RPS7, RPL29, NPM1, NOP10, RPS2, RPL34, RPL3, RPL36, RPL18, RPL22, RPS10, RPL14, RPS14 |
177 |
TRAVAGLINI_LUNG_BRONCHIAL_VESSEL_1_CELL | 2.35e-18 | 42.78 | 21.40 | 3.16e-16 | 1.58e-15 | 15LDHA, RPS7, RPL29, NPM1, BZW2, RPS2, HSP90AB1, RPL34, RPL3, RPL36, RPL18, RPL22, RPL14, RPS14, RPL10A |
224 |
BUSSLINGER_DUODENAL_DIFFERENTIATING_STEM_CELLS | 4.80e-21 | 40.95 | 21.39 | 1.69e-18 | 3.22e-18 | 18RPS7, RPL29, NPM1, SNRPF, RPS2, HSP90AB1, NFIB, RPS11, RPL34, RPL3, RPL36, RPL18, NCL, RPL22, RPL14, RPS14, RPL10A, RAN |
305 |
FAN_OVARY_CL0_XBP1_SELK_HIGH_STROMAL_CELL | 2.80e-14 | 44.60 | 20.15 | 1.34e-12 | 1.88e-11 | 11RPL36AL, NPM1, RPS2, HSP90AB1, RPL34, RPL3, RPL36, RPL18, RPL14, RPS14, RPL10A |
143 |
RUBENSTEIN_SKELETAL_MUSCLE_SATELLITE_CELLS | 2.50e-19 | 36.74 | 18.97 | 5.60e-17 | 1.68e-16 | 17RPS7, RPL29, NPM1, SNRPF, RPS2, HSP90AB1, RPL34, RPL3, RPL36, RPL18, RPL22, RPS10, RPL14, RPS14, RPL10A, RAN, MIF |
310 |
LAKE_ADULT_KIDNEY_C7_PROXIMAL_TUBULE_EPITHELIAL_CELLS_S3 | 6.82e-13 | 41.81 | 18.21 | 2.48e-11 | 4.58e-10 | 10RPS7, NPM1, HSP90AB1, RPS11, RPL34, RPL3, RPL18, NCL, RPL14, RPS14 |
135 |
LAKE_ADULT_KIDNEY_C8_DECENDING_THIN_LIMB | 5.85e-17 | 34.05 | 17.06 | 4.90e-15 | 3.92e-14 | 15LDHA, RPS7, ODC1, NPM1, RPS2, HSP90AB1, RPS11, RPL34, RPL3, RPL18, NCL, RPL14, RPS14, RPL10A, RAN |
278 |
BUSSLINGER_DUODENAL_STEM_CELLS | 9.40e-18 | 33.32 | 16.98 | 9.01e-16 | 6.30e-15 | 16RPS7, NPM1, RPS2, HSP90AB1, NFIB, RPS11, RPL34, RPL3, RPL36, RPL18, NCL, RPL22, RPL14, RPS14, RPL10A, RAN |
311 |
LAKE_ADULT_KIDNEY_C9_THIN_ASCENDING_LIMB | 1.17e-15 | 31.99 | 15.74 | 7.85e-14 | 7.85e-13 | 14LDHA, RPS7, NPM1, RPS2, HSP90AB1, RPS11, RPL34, RPL3, RPL18, NCL, RPL14, RPS14, RPL10A, RAN |
268 |
RUBENSTEIN_SKELETAL_MUSCLE_PCV_ENDOTHELIAL_CELLS | 1.31e-13 | 30.98 | 14.52 | 5.51e-12 | 8.81e-11 | 12RPS7, RPL29, NOP10, SNRPF, RPS2, RPS11, RPL34, RPL3, RPL36, YBX3, RPL22, RPS14 |
225 |
BUSSLINGER_ESOPHAGEAL_EARLY_SUPRABASAL_CELLS | 3.23e-08 | 38.99 | 13.17 | 7.22e-07 | 2.17e-05 | 6NPM1, HSP90AB1, NCL, RPL14, RPL10A, RAN |
79 |
TRAVAGLINI_LUNG_BASAL_CELL | 1.84e-11 | 29.35 | 12.87 | 5.36e-10 | 1.23e-08 | 10LDHA, RPS7, RPL29, NPM1, RPS2, RPS11, RPL3, YBX3, RPL14, RPL10A |
188 |
LAKE_ADULT_KIDNEY_C10_THIN_ASCENDING_LIMB | 4.98e-14 | 23.97 | 11.83 | 2.23e-12 | 3.34e-11 | 14LDHA, RPS7, NPM1, RPS2, HSP90AB1, RPS11, RPL3, RPL18, NCL, YBX3, RPL14, RPS14, RPL10A, RAN |
353 |
TRAVAGLINI_LUNG_CLUB_CELL | 9.31e-09 | 31.77 | 11.79 | 2.40e-07 | 6.24e-06 | 7RPS7, RPL29, RPS11, RPL34, RPL36, RPL18, RPS14 |
114 |
LAKE_ADULT_KIDNEY_C23_ENDOTHELIAL_CELLS_AVR | 1.86e-08 | 28.58 | 10.63 | 4.31e-07 | 1.25e-05 | 7NPM1, RPS2, HSP90AB1, RPL3, RPL18, NCL, RPS14 |
126 |
Dowload full table
mSigDB Hallmark Gene Sets:
P-value | OR | Lower 95% CI | FDR | FWER | Genes Found | Gene Set Size | |
---|---|---|---|---|---|---|---|
HALLMARK_MYC_TARGETS_V1 | 2.01e-17 | 43.66 | 21.39 | 1.00e-15 | 1.00e-15 | 14ERH, LDHA, ODC1, NPM1, RPS2, HSP90AB1, RPL34, SRM, RPL18, RPL22, RPS10, RPL14, RAN, EIF2S1 |
200 |
HALLMARK_MYC_TARGETS_V2 | 3.57e-04 | 24.24 | 4.69 | 5.95e-03 | 1.78e-02 | 3NPM1, SRM, DCTPP1 |
58 |
HALLMARK_E2F_TARGETS | 1.08e-04 | 11.91 | 3.65 | 2.70e-03 | 5.39e-03 | 5LYAR, DCTPP1, RAN, AK2, EIF2S1 |
200 |
HALLMARK_UNFOLDED_PROTEIN_RESPONSE | 2.45e-03 | 12.12 | 2.38 | 3.07e-02 | 1.23e-01 | 3NPM1, RPS14, EIF2S1 |
113 |
HALLMARK_FATTY_ACID_METABOLISM | 6.23e-03 | 8.61 | 1.70 | 6.23e-02 | 3.12e-01 | 3LDHA, ODC1, MIF |
158 |
HALLMARK_HYPOXIA | 8.11e-02 | 4.40 | 0.51 | 3.74e-01 | 1.00e+00 | 2LDHA, MIF |
200 |
HALLMARK_G2M_CHECKPOINT | 8.11e-02 | 4.40 | 0.51 | 3.74e-01 | 1.00e+00 | 2ODC1, NCL |
200 |
HALLMARK_GLYCOLYSIS | 8.11e-02 | 4.40 | 0.51 | 3.74e-01 | 1.00e+00 | 2LDHA, MIF |
200 |
HALLMARK_P53_PATHWAY | 8.11e-02 | 4.40 | 0.51 | 3.74e-01 | 1.00e+00 | 2RPL36, RPL18 |
200 |
HALLMARK_ALLOGRAFT_REJECTION | 8.11e-02 | 4.40 | 0.51 | 3.74e-01 | 1.00e+00 | 2EIF5A, NPM1 |
200 |
HALLMARK_HEDGEHOG_SIGNALING | 8.24e-02 | 12.18 | 0.29 | 3.74e-01 | 1.00e+00 | 1NKX6-1 |
36 |
HALLMARK_PANCREAS_BETA_CELLS | 9.11e-02 | 10.93 | 0.26 | 3.79e-01 | 1.00e+00 | 1NKX6-1 |
40 |
HALLMARK_PEROXISOME | 2.20e-01 | 4.14 | 0.10 | 8.44e-01 | 1.00e+00 | 1CRABP1 |
104 |
HALLMARK_UV_RESPONSE_DN | 2.90e-01 | 2.98 | 0.07 | 9.01e-01 | 1.00e+00 | 1NFIB |
144 |
HALLMARK_DNA_REPAIR | 3.00e-01 | 2.86 | 0.07 | 9.01e-01 | 1.00e+00 | 1BOLA2 |
150 |
HALLMARK_IL2_STAT5_SIGNALING | 3.77e-01 | 2.15 | 0.05 | 9.01e-01 | 1.00e+00 | 1ODC1 |
199 |
HALLMARK_ADIPOGENESIS | 3.78e-01 | 2.14 | 0.05 | 9.01e-01 | 1.00e+00 | 1AK2 |
200 |
HALLMARK_MTORC1_SIGNALING | 3.78e-01 | 2.14 | 0.05 | 9.01e-01 | 1.00e+00 | 1LDHA |
200 |
HALLMARK_OXIDATIVE_PHOSPHORYLATION | 3.78e-01 | 2.14 | 0.05 | 9.01e-01 | 1.00e+00 | 1LDHA |
200 |
HALLMARK_HEME_METABOLISM | 3.78e-01 | 2.14 | 0.05 | 9.01e-01 | 1.00e+00 | 1GLRX5 |
200 |
Dowload full table
KEGG Pathways:
P-value | OR | Lower 95% CI | FDR | FWER | Genes Found | Gene Set Size | |
---|---|---|---|---|---|---|---|
KEGG_RIBOSOME | 1.49e-20 | 97.63 | 45.74 | 2.77e-18 | 2.77e-18 | 13RPL36AL, RPS7, RPL29, RPS2, RPS11, RPL34, RPL3, RPL36, RPL18, RPL22, RPS10, RPL14, RPL10A |
88 |
KEGG_CYSTEINE_AND_METHIONINE_METABOLISM | 2.97e-03 | 27.19 | 3.07 | 2.77e-01 | 5.53e-01 | 2LDHA, SRM |
34 |
KEGG_GLUTATHIONE_METABOLISM | 6.33e-03 | 18.13 | 2.08 | 3.41e-01 | 1.00e+00 | 2ODC1, SRM |
50 |
KEGG_ARGININE_AND_PROLINE_METABOLISM | 7.34e-03 | 16.74 | 1.92 | 3.41e-01 | 1.00e+00 | 2ODC1, SRM |
54 |
KEGG_PHENYLALANINE_METABOLISM | 4.21e-02 | 25.07 | 0.59 | 1.00e+00 | 1.00e+00 | 1MIF |
18 |
KEGG_BETA_ALANINE_METABOLISM | 5.12e-02 | 20.29 | 0.48 | 1.00e+00 | 1.00e+00 | 1SRM |
22 |
KEGG_MATURITY_ONSET_DIABETES_OF_THE_YOUNG | 5.80e-02 | 17.76 | 0.42 | 1.00e+00 | 1.00e+00 | 1NKX6-1 |
25 |
KEGG_PROPANOATE_METABOLISM | 7.58e-02 | 13.33 | 0.32 | 1.00e+00 | 1.00e+00 | 1LDHA |
33 |
KEGG_PYRUVATE_METABOLISM | 9.11e-02 | 10.93 | 0.26 | 1.00e+00 | 1.00e+00 | 1LDHA |
40 |
KEGG_TYROSINE_METABOLISM | 9.54e-02 | 10.40 | 0.25 | 1.00e+00 | 1.00e+00 | 1MIF |
42 |
KEGG_PATHOGENIC_ESCHERICHIA_COLI_INFECTION | 1.25e-01 | 7.75 | 0.19 | 1.00e+00 | 1.00e+00 | 1NCL |
56 |
KEGG_GLYCOLYSIS_GLUCONEOGENESIS | 1.38e-01 | 6.99 | 0.17 | 1.00e+00 | 1.00e+00 | 1LDHA |
62 |
KEGG_NOD_LIKE_RECEPTOR_SIGNALING_PATHWAY | 1.38e-01 | 6.99 | 0.17 | 1.00e+00 | 1.00e+00 | 1HSP90AB1 |
62 |
KEGG_PROGESTERONE_MEDIATED_OOCYTE_MATURATION | 1.83e-01 | 5.08 | 0.12 | 1.00e+00 | 1.00e+00 | 1HSP90AB1 |
85 |
KEGG_ANTIGEN_PROCESSING_AND_PRESENTATION | 1.89e-01 | 4.90 | 0.12 | 1.00e+00 | 1.00e+00 | 1HSP90AB1 |
88 |
KEGG_PROSTATE_CANCER | 1.91e-01 | 4.85 | 0.12 | 1.00e+00 | 1.00e+00 | 1HSP90AB1 |
89 |
KEGG_VASCULAR_SMOOTH_MUSCLE_CONTRACTION | 2.40e-01 | 3.74 | 0.09 | 1.00e+00 | 1.00e+00 | 1PPP1R14A |
115 |
KEGG_SPLICEOSOME | 2.61e-01 | 3.38 | 0.08 | 1.00e+00 | 1.00e+00 | 1SNRPF |
127 |
KEGG_TIGHT_JUNCTION | 2.70e-01 | 3.26 | 0.08 | 1.00e+00 | 1.00e+00 | 1YBX3 |
132 |
KEGG_PURINE_METABOLISM | 3.15e-01 | 2.70 | 0.07 | 1.00e+00 | 1.00e+00 | 1AK2 |
159 |
Dowload full table
CHR Positional Gene Sets:
P-value | OR | Lower 95% CI | FDR | FWER | Genes Found | Gene Set Size | |
---|---|---|---|---|---|---|---|
chr1p35 | 3.64e-03 | 10.50 | 2.06 | 1.00e+00 | 1.00e+00 | 3HPCA, EIF3I, AK2 |
130 |
chr14q21 | 1.98e-02 | 9.78 | 1.13 | 1.00e+00 | 1.00e+00 | 2RPL36AL, FKBP3 |
91 |
chr2p25 | 3.15e-02 | 7.57 | 0.88 | 1.00e+00 | 1.00e+00 | 2RPS7, ODC1 |
117 |
chr3p25 | 4.64e-02 | 6.09 | 0.71 | 1.00e+00 | 1.00e+00 | 2THUMPD3, RPUSD3 |
145 |
chr6p21 | 9.54e-02 | 2.88 | 0.57 | 1.00e+00 | 1.00e+00 | 3HSP90AB1, RPS10, RPL10A |
467 |
chr16p11 | 1.28e-01 | 3.34 | 0.39 | 1.00e+00 | 1.00e+00 | 2DCTPP1, BOLA2 |
263 |
chr12q24 | 2.32e-01 | 2.24 | 0.26 | 1.00e+00 | 1.00e+00 | 2CABP1, RAN |
390 |
chr19q13 | 7.47e-01 | 1.15 | 0.23 | 1.00e+00 | 1.00e+00 | 3PPP1R14A, RPS11, RPL18 |
1165 |
chr15q14 | 1.25e-01 | 7.75 | 0.19 | 1.00e+00 | 1.00e+00 | 1NOP10 |
56 |
chr1p36 | 6.65e-01 | 1.33 | 0.16 | 1.00e+00 | 1.00e+00 | 2SRM, RPL22 |
656 |
chr2p24 | 1.62e-01 | 5.84 | 0.14 | 1.00e+00 | 1.00e+00 | 1MYCN |
74 |
chr7p21 | 1.80e-01 | 5.20 | 0.13 | 1.00e+00 | 1.00e+00 | 1BZW2 |
83 |
chr4q25 | 1.87e-01 | 4.96 | 0.12 | 1.00e+00 | 1.00e+00 | 1RPL34 |
87 |
chr20p12 | 2.20e-01 | 4.14 | 0.10 | 1.00e+00 | 1.00e+00 | 1BFSP1 |
104 |
chr5q33 | 2.29e-01 | 3.95 | 0.10 | 1.00e+00 | 1.00e+00 | 1RPS14 |
109 |
chr14q23 | 2.56e-01 | 3.47 | 0.09 | 1.00e+00 | 1.00e+00 | 1EIF2S1 |
124 |
chr10q25 | 2.59e-01 | 3.41 | 0.08 | 1.00e+00 | 1.00e+00 | 1TDRD1 |
126 |
chr2p13 | 2.78e-01 | 3.14 | 0.08 | 1.00e+00 | 1.00e+00 | 1EMX1 |
137 |
chr17q12 | 2.89e-01 | 3.00 | 0.07 | 1.00e+00 | 1.00e+00 | 1NEUROD2 |
143 |
chr12q23 | 2.92e-01 | 2.96 | 0.07 | 1.00e+00 | 1.00e+00 | 1SNRPF |
145 |
Dowload full table
Transcription Factor Targets:
P-value | OR | Lower 95% CI | FDR | FWER | Genes Found | Gene Set Size | |
---|---|---|---|---|---|---|---|
MYC_Q2 | 5.09e-06 | 15.74 | 5.41 | 1.01e-03 | 5.77e-03 | 6HPCA, LDHA, YBX3, RPL22, TDRD1, AK2 |
187 |
GTF2A2_TARGET_GENES | 2.50e-08 | 11.54 | 5.30 | 2.83e-05 | 2.83e-05 | 11LDHA, RPS7, RPL29, ODC1, NPM1, RPS2, HSP90AB1, RPL3, RPL36, RPL18, AK2 |
522 |
USF_C | 4.34e-06 | 12.28 | 4.62 | 1.01e-03 | 4.92e-03 | 7HPCA, EIF5A, NPM1, HSP90AB1, RPL22, TDRD1, LYAR |
284 |
ZZZ3_TARGET_GENES | 1.94e-04 | 15.53 | 4.00 | 1.48e-02 | 2.20e-01 | 4RPS7, RPS2, RPS14, RPL10A |
121 |
USF2_Q6 | 2.85e-05 | 11.49 | 3.96 | 3.58e-03 | 3.22e-02 | 6HPCA, LDHA, YBX3, RPL22, TDRD1, AK2 |
254 |
CACGTG_MYC_Q2 | 5.92e-08 | 7.80 | 3.87 | 3.35e-05 | 6.70e-05 | 14HPCA, LDHA, ODC1, NPM1, RPS2, HSP90AB1, RPS11, NCL, YBX3, RPL22, TDRD1, LYAR, DCTPP1, AK2 |
1057 |
TAF9B_TARGET_GENES | 5.35e-06 | 8.25 | 3.51 | 1.01e-03 | 6.06e-03 | 9RPL29, ODC1, BZW2, HSP90AB1, RPL34, RPL3, RPL14, RPS14, RPL10A |
565 |
PSMB5_TARGET_GENES | 8.05e-05 | 9.47 | 3.27 | 8.29e-03 | 9.12e-02 | 6LDHA, NPM1, RPS2, HSP90AB1, RPL3, RPL10A |
307 |
PER1_TARGET_GENES | 2.80e-03 | 28.07 | 3.17 | 6.85e-02 | 1.00e+00 | 2RPL34, RPL3 |
33 |
FOXR2_TARGET_GENES | 2.23e-04 | 10.14 | 3.11 | 1.58e-02 | 2.52e-01 | 5ERH, THUMPD3, RPL34, EIF3I, RPS14 |
234 |
SNIP1_TARGET_GENES | 8.49e-06 | 6.87 | 3.05 | 1.37e-03 | 9.62e-03 | 10ERH, RPS7, EIF5A, BZW2, RPS2, RPL36, RPL18, NCL, RPS14, EIF2S1 |
771 |
KAT5_TARGET_GENES | 5.16e-06 | 6.56 | 3.02 | 1.01e-03 | 5.84e-03 | 11ODC1, SNRPF, HSP90AB1, NFIB, RPL34, RPL36, YBX3, RPL22, RPS14, RPL10A, RAN |
910 |
MYCMAX_01 | 3.41e-04 | 9.21 | 2.83 | 2.04e-02 | 3.87e-01 | 5ODC1, NPM1, NCL, LYAR, DCTPP1 |
257 |
RUVBL1_TARGET_GENES | 8.64e-04 | 10.32 | 2.67 | 3.50e-02 | 9.79e-01 | 4THUMPD3, HSP90AB1, RPL18, RPS14 |
180 |
NRF2_01 | 4.48e-04 | 8.66 | 2.66 | 2.42e-02 | 5.08e-01 | 5RPL29, EIF5A, RPL34, RPS10, EIF2S1 |
273 |
MYCMAX_B | 4.48e-04 | 8.66 | 2.66 | 2.42e-02 | 5.08e-01 | 5HPCA, EIF5A, NPM1, BZW2, NCL |
273 |
NMYC_01 | 5.02e-04 | 8.44 | 2.60 | 2.59e-02 | 5.69e-01 | 5HPCA, NPM1, RPL22, NEUROD2, DCTPP1 |
280 |
ZNF250_TARGET_GENES | 1.60e-04 | 6.83 | 2.58 | 1.39e-02 | 1.81e-01 | 7RPS7, RPL29, NPM1, BZW2, NOP10, RPS11, EIF2S1 |
505 |
ZNF830_TARGET_GENES | 5.27e-04 | 8.35 | 2.57 | 2.60e-02 | 5.97e-01 | 5LDHA, RPS7, RPL18, RPS14, EIF2S1 |
283 |
GGAANCGGAANY_UNKNOWN | 2.27e-03 | 12.46 | 2.44 | 6.44e-02 | 1.00e+00 | 3THUMPD3, GLRX5, EIF2S1 |
110 |
Dowload full table
GO Biological Processes:
P-value | OR | Lower 95% CI | FDR | FWER | Genes Found | Gene Set Size | |
---|---|---|---|---|---|---|---|
GOBP_COTRANSLATIONAL_PROTEIN_TARGETING_TO_MEMBRANE | 2.15e-19 | 78.08 | 36.82 | 8.05e-16 | 1.61e-15 | 13RPS7, RPL29, RPS2, RPS11, RPL34, RPL3, RPL36, RPL18, RPL22, RPS10, RPL14, RPS14, RPL10A |
107 |
GOBP_NUCLEAR_TRANSCRIBED_MRNA_CATABOLIC_PROCESS_NONSENSE_MEDIATED_DECAY | 1.01e-18 | 68.53 | 32.47 | 2.11e-15 | 7.56e-15 | 13RPS7, RPL29, RPS2, RPS11, RPL34, RPL3, RPL36, RPL18, RPL22, RPS10, RPL14, RPS14, RPL10A |
120 |
GOBP_ESTABLISHMENT_OF_PROTEIN_LOCALIZATION_TO_ENDOPLASMIC_RETICULUM | 1.13e-18 | 67.89 | 32.17 | 2.11e-15 | 8.45e-15 | 13RPS7, RPL29, RPS2, RPS11, RPL34, RPL3, RPL36, RPL18, RPL22, RPS10, RPL14, RPS14, RPL10A |
121 |
GOBP_TRANSLATIONAL_INITIATION | 4.64e-21 | 55.45 | 28.07 | 3.47e-17 | 3.47e-17 | 16RPS7, RPL29, NPM1, RPS2, RPS11, RPL34, RPL3, RPL36, RPL18, EIF3I, RPL22, RPS10, RPL14, RPS14, RPL10A, EIF2S1 |
193 |
GOBP_PROTEIN_LOCALIZATION_TO_ENDOPLASMIC_RETICULUM | 1.81e-17 | 53.98 | 25.70 | 2.25e-14 | 1.35e-13 | 13RPS7, RPL29, RPS2, RPS11, RPL34, RPL3, RPL36, RPL18, RPL22, RPS10, RPL14, RPS14, RPL10A |
149 |
GOBP_PROTEIN_TARGETING_TO_MEMBRANE | 3.48e-17 | 41.82 | 20.51 | 3.72e-14 | 2.60e-13 | 14HPCA, RPS7, RPL29, RPS2, RPS11, RPL34, RPL3, RPL36, RPL18, RPL22, RPS10, RPL14, RPS14, RPL10A |
208 |
GOBP_2FE_2S_CLUSTER_ASSEMBLY | 8.32e-05 | 214.97 | 19.15 | 1.48e-02 | 6.22e-01 | 2GLRX5, BOLA2 |
6 |
GOBP_VIRAL_GENE_EXPRESSION | 7.48e-16 | 39.67 | 19.03 | 5.60e-13 | 5.60e-12 | 13RPS7, RPL29, RPS2, RPS11, RPL34, RPL3, RPL36, RPL18, RPL22, RPS10, RPL14, RPS14, RPL10A |
198 |
GOBP_NUCLEAR_TRANSCRIBED_MRNA_CATABOLIC_PROCESS | 1.42e-15 | 37.64 | 18.07 | 9.63e-13 | 1.06e-11 | 13RPS7, RPL29, RPS2, RPS11, RPL34, RPL3, RPL36, RPL18, RPL22, RPS10, RPL14, RPS14, RPL10A |
208 |
GOBP_RIBOSOMAL_LARGE_SUBUNIT_EXPORT_FROM_NUCLEUS | 1.16e-04 | 173.11 | 16.13 | 2.02e-02 | 8.70e-01 | 2NPM1, RAN |
7 |
GOBP_RIBOSOMAL_SMALL_SUBUNIT_EXPORT_FROM_NUCLEUS | 1.55e-04 | 144.44 | 13.92 | 2.57e-02 | 1.00e+00 | 2NPM1, RAN |
8 |
GOBP_CYTOPLASMIC_TRANSLATION | 4.28e-09 | 35.75 | 13.24 | 1.07e-06 | 3.20e-05 | 7RPL29, RPL36, RPL18, EIF3I, YBX3, RPL22, RPL10A |
102 |
GOBP_ESTABLISHMENT_OF_PROTEIN_LOCALIZATION_TO_MEMBRANE | 4.61e-14 | 24.11 | 11.90 | 2.16e-11 | 3.45e-10 | 14HPCA, RPS7, RPL29, RPS2, RPS11, RPL34, RPL3, RPL36, RPL18, RPL22, RPS10, RPL14, RPS14, RPL10A |
351 |
GOBP_PEPTIDE_BIOSYNTHETIC_PROCESS | 3.13e-18 | 21.06 | 11.35 | 4.68e-15 | 2.34e-14 | 21RPL36AL, RPS7, RPL29, EIF5A, NPM1, RPS2, RPS11, RPL34, RPL3, RPL36, RPL18, NCL, EIF3I, YBX3, RPL22, RPS10, RPL14, RPUSD3, RPS14, RPL10A, EIF2S1 |
740 |
GOBP_RNA_CATABOLIC_PROCESS | 1.92e-14 | 22.47 | 11.29 | 1.03e-11 | 1.44e-10 | 15RPS7, RPL29, NPM1, RPS2, RPS11, RPL34, RPL3, RPL36, RPL18, YBX3, RPL22, RPS10, RPL14, RPS14, RPL10A |
414 |
GOBP_RRNA_PSEUDOURIDINE_SYNTHESIS | 2.48e-04 | 108.38 | 10.95 | 3.99e-02 | 1.00e+00 | 2NOP10, RPUSD3 |
10 |
GOBP_RIBOSOME_BIOGENESIS | 4.94e-12 | 22.37 | 10.53 | 1.61e-09 | 3.70e-08 | 12RPS7, NPM1, NOP10, RPS2, RPL3, RPS10, RPL14, LYAR, RPUSD3, RPS14, RPL10A, RAN |
307 |
GOBP_ESTABLISHMENT_OF_PROTEIN_LOCALIZATION_TO_ORGANELLE | 6.36e-15 | 19.27 | 10.00 | 3.66e-12 | 4.76e-11 | 17HPCA, RPS7, RPL29, RPS2, HSP90AB1, RPS11, RPL34, RPL3, CABP1, RPL36, RPL18, RPL22, RPS10, RPL14, RPS14, RPL10A, RAN |
576 |
GOBP_RIBONUCLEOPROTEIN_COMPLEX_BIOGENESIS | 1.21e-13 | 19.65 | 9.90 | 5.33e-11 | 9.05e-10 | 15RPS7, NPM1, NOP10, SNRPF, RPS2, HSP90AB1, RPL3, EIF3I, RPS10, RPL14, LYAR, RPUSD3, RPS14, RPL10A, RAN |
471 |
GOBP_AMIDE_BIOSYNTHETIC_PROCESS | 8.53e-17 | 17.69 | 9.55 | 7.98e-14 | 6.38e-13 | 21RPL36AL, RPS7, RPL29, EIF5A, NPM1, RPS2, RPS11, RPL34, RPL3, RPL36, RPL18, NCL, EIF3I, YBX3, RPL22, RPS10, RPL14, RPUSD3, RPS14, RPL10A, EIF2S1 |
877 |
Dowload full table
Immunological Gene Sets:
P-value | OR | Lower 95% CI | FDR | FWER | Genes Found | Gene Set Size | |
---|---|---|---|---|---|---|---|
GSE2405_0H_VS_9H_A_PHAGOCYTOPHILUM_STIM_NEUTROPHIL_DN | 4.28e-19 | 48.44 | 24.12 | 2.08e-15 | 2.08e-15 | 15LDHA, RPS7, NPM1, RPS2, RPS11, RPL34, RPL3, RPL36, RPL18, EIF3I, RPL22, RPS10, RPL14, RPS14, RAN |
200 |
GSE2405_0H_VS_24H_A_PHAGOCYTOPHILUM_STIM_NEUTROPHIL_UP | 2.01e-17 | 43.66 | 21.39 | 4.89e-14 | 9.79e-14 | 14RPS7, NPM1, RPS2, RPS11, RPL34, RPL3, RPL36, RPL18, EIF3I, RPL22, RPS10, RPL14, RPS14, RAN |
200 |
GSE3720_UNSTIM_VS_LPS_STIM_VD2_GAMMADELTA_TCELL_UP | 5.71e-12 | 33.26 | 14.57 | 6.95e-09 | 2.78e-08 | 10RPL29, RPS2, RPL3, RPL36, RPL18, RPL22, RPS10, RPL14, BOLA2, EIF2S1 |
167 |
GSE41978_ID2_KO_VS_ID2_KO_AND_BIM_KO_KLRG1_LOW_EFFECTOR_CD8_TCELL_DN | 1.11e-12 | 31.18 | 14.17 | 1.80e-09 | 5.41e-09 | 11LDHA, RPS7, HSP90AB1, RPS11, RPL34, RPL3, RPL18, RPL22, RPS10, RPS14, MIF |
200 |
GSE41978_KLRG1_HIGH_VS_LOW_EFFECTOR_CD8_TCELL_DN | 3.37e-11 | 27.47 | 12.08 | 3.29e-08 | 1.64e-07 | 10RPS7, RPS2, HSP90AB1, RPL34, RPL3, RPL18, YBX3, RPL22, RPS10, RPS14 |
200 |
GSE3565_DUSP1_VS_WT_SPLENOCYTES_POST_LPS_INJECTION_UP | 4.54e-09 | 25.49 | 10.17 | 3.16e-06 | 2.21e-05 | 8RPL29, NPM1, RPS2, SRM, RPL36, RPL18, RPS10, RPL10A |
164 |
GSE22886_NAIVE_TCELL_VS_DC_UP | 8.66e-10 | 24.13 | 10.17 | 7.03e-07 | 4.22e-06 | 9RPS7, RPL29, RPL34, RPL3, RPL36, RPL22, RPS10, RPL14, RPS14 |
199 |
GSE3720_UNSTIM_VS_PMA_STIM_VD2_GAMMADELTA_TCELL_UP | 7.54e-09 | 23.82 | 9.52 | 4.59e-06 | 3.67e-05 | 8RPL29, EIF5A, RPS2, RPL3, RPL36, RPL18, RPS10, RPL10A |
175 |
GSE22886_NAIVE_BCELL_VS_NEUTROPHIL_UP | 2.04e-08 | 20.82 | 8.34 | 1.03e-05 | 9.95e-05 | 8RPS7, ODC1, NPM1, HSP90AB1, RPS11, RPL34, NCL, RPS14 |
199 |
GSE42088_UNINF_VS_LEISHMANIA_INF_DC_2H_DN | 2.12e-08 | 20.72 | 8.29 | 1.03e-05 | 1.03e-04 | 8RPS7, RPL29, RPS11, RPL36, RPL22, RPS10, RPL14, RPL10A |
200 |
GSE3720_LPS_VS_PMA_STIM_VD1_GAMMADELTA_TCELL_DN | 1.56e-07 | 20.61 | 7.71 | 6.92e-05 | 7.61e-04 | 7RPL29, RPL3, RPL18, RPS10, RPS14, RPL10A, MIF |
172 |
GSE3720_UNSTIM_VS_PMA_STIM_VD1_GAMMADELTA_TCELL_UP | 1.83e-07 | 20.12 | 7.53 | 7.41e-05 | 8.89e-04 | 7ERH, ODC1, RPL3, RPL22, RPS14, RAN, BOLA2 |
176 |
GSE42724_NAIVE_VS_B1_BCELL_DN | 4.17e-07 | 17.72 | 6.64 | 1.50e-04 | 2.03e-03 | 7RPS7, RPL29, RPS2, RPL34, RPL3, RPL22, DCTPP1 |
199 |
GSE29618_MONOCYTE_VS_MDC_DAY7_FLU_VACCINE_DN | 4.31e-07 | 17.62 | 6.61 | 1.50e-04 | 2.10e-03 | 7BZW2, SNRPF, RPS2, RPL36, RPS10, DCTPP1, AK2 |
200 |
GSE6269_FLU_VS_E_COLI_INF_PBMC_DN | 2.40e-06 | 18.02 | 6.19 | 7.79e-04 | 1.17e-02 | 6RPL29, MYCN, RPL3, YBX3, RPL22, RPS14 |
164 |
GSE3565_CTRL_VS_LPS_INJECTED_SPLENOCYTES_DN | 3.48e-06 | 16.86 | 5.79 | 1.06e-03 | 1.70e-02 | 6RPL29, RPS2, RPL36, RPL18, RPS10, MIF |
175 |
GSE13547_CTRL_VS_ANTI_IGM_STIM_BCELL_12H_DN | 3.96e-06 | 16.47 | 5.66 | 1.14e-03 | 1.93e-02 | 6THUMPD3, RPL29, NOP10, RPL36, RPL14, BOLA2 |
179 |
GSE14000_TRANSLATED_RNA_VS_MRNA_DC_DN | 6.27e-06 | 15.16 | 5.21 | 1.51e-03 | 3.06e-02 | 6HPCA, RPS11, RPL36, RPL18, RPS10, RPS14 |
194 |
GSE2124_CTRL_VS_LYMPHOTOXIN_BETA_TREATED_MLN_UP | 6.84e-06 | 14.92 | 5.13 | 1.51e-03 | 3.33e-02 | 6RPS7, BFSP1, RPL18, RPL22, RPS10, RPS14 |
197 |
GSE34515_CD16_NEG_VS_POS_MONOCYTE_DN | 7.25e-06 | 14.77 | 5.08 | 1.51e-03 | 3.53e-02 | 6CRABP1, SNRPF, RPL3, RPL18, RPL22, RAN |
199 |
Top Ranked Transcription Factors for this Gene Expression Program:
Gene Symbol | TF Rank | DNA Binding Domain | Motif Status | IUPAC PWM | GTEx | DepMap | Decartes |
---|---|---|---|---|---|---|---|
NPM1 | 13 | No | Unlikely to be sequence specific TF | Low specificity DNA-binding protein | No motif | None | No evidence for sequence-specific DNA-binding (PMID: 2223875) |
MYCN | 19 | Yes | Known motif | Monomer or homomultimer | High-throughput in vitro | None | None |
NFIB | 21 | Yes | Known motif | Monomer or homomultimer | High-throughput in vitro | None | None |
YBX3 | 33 | Yes | Known motif | Monomer or homomultimer | 100 perc ID - in vitro | None | Identical DBD to YBX1. Might also bind RNA. |
NKX6-1 | 34 | Yes | Known motif | Monomer or homomultimer | 100 perc ID - in vitro | None | None |
EMX1 | 35 | Yes | Known motif | Monomer or homomultimer | High-throughput in vitro | None | None |
NEUROD2 | 37 | Yes | Known motif | Monomer or homomultimer | High-throughput in vitro | None | None |
LYAR | 41 | No | Unlikely to be sequence specific TF | Not a DNA binding protein | No motif | None | LYAR-type C2H2 ZF domains have not been shown to bind DNA. LYAR binds to the 60S subunit of the ribosome. It regulates translation rather than transcription (PMID: 24990247). |
BOLA2 | 48 | No | Unlikely to be sequence specific TF | Not a DNA binding protein | No motif | None | None |
ENO1 | 63 | No | Unlikely to be sequence specific TF | Not a DNA binding protein | No motif | Only known motifs are from Transfac or HocoMoco - origin is uncertain | Enolase - DNA binding not shown to be direct |
PA2G4 | 67 | Yes | Likely to be sequence specific TF | Monomer or homomultimer | No motif | None | Binds CGGCAAAAAGG repeats based on EMSA performed with recombinant E.Coli expressed protein (PMID: 1507318) |
NFIX | 74 | Yes | Known motif | Monomer or homomultimer | High-throughput in vitro | None | None |
TBX1 | 76 | Yes | Known motif | Monomer or homomultimer | High-throughput in vitro | None | None |
APEX1 | 85 | No | Unlikely to be sequence specific TF | Low specificity DNA-binding protein | No motif | None | The structure (PDB:1DEW) is with abasic DNA - the protein is a base excision repair enzyme that cleaves off abasic bases |
NFIA | 86 | Yes | Known motif | Monomer or homomultimer | High-throughput in vitro | None | None |
OGG1 | 90 | No | Unlikely to be sequence specific TF | Low specificity DNA-binding protein | No motif | None | DNA error repairing enzyme. Binds DNA in the crystal structure (PDB: 1EBM), presumably without specificity |
RPL7A | 109 | No | Unlikely to be sequence specific TF | Not a DNA binding protein | No motif | None | None |
POLR2E | 122 | No | Unlikely to be sequence specific TF | Low specificity DNA-binding protein | No motif | None | RNA-polymerase subunit. Binds DNA in the crystal structure (PDB: 5IY6) |
ST18 | 123 | Yes | Inferred motif | Monomer or homomultimer | High-throughput in vitro | None | None |
PARK7 | 127 | No | Unlikely to be sequence specific TF | Not a DNA binding protein | No motif | None | Operates upstream in the signaling cascade |
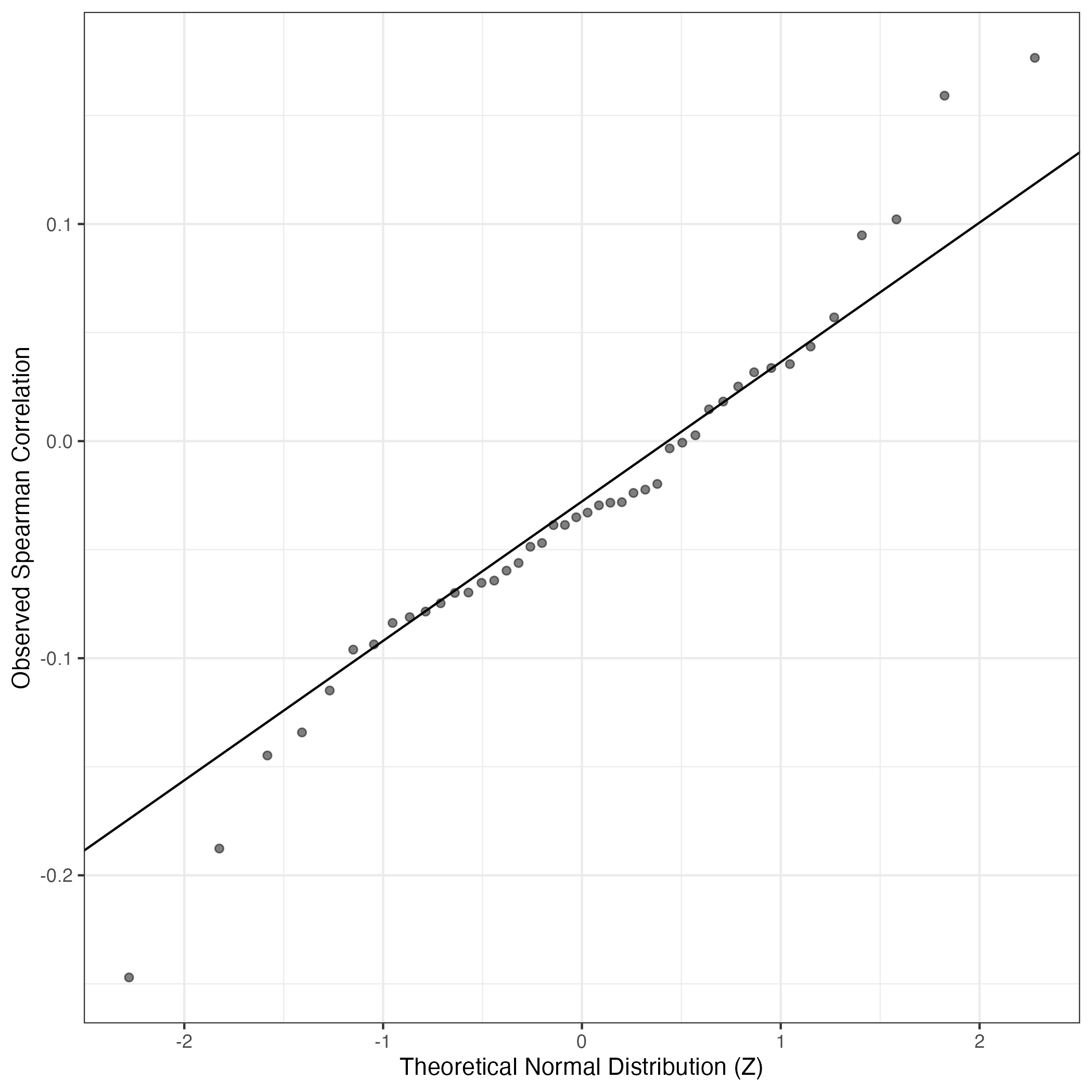
QQ Plot showing correlations with other Gene Expression Programs in this dataset, calculated by Spearman correlation:
Interactive QQ-plot of gene loadings:
A similar QQ-plot as above, but only for instances where the H value is e.g. > 25, i.e. we are confident that the expression program is active above noise. Agreemenet between these binary vectors is tested using the Jaccard Index, with the P-values calculated by an exact test:
Interactive QQ-plot:
Singler cell type annotations for the top 50 cells on this program.
Cell ID | Singler label | Singler Delta | Activity Score | Top Singler Raw Scores |
---|---|---|---|---|
864_GGGCTCAAGAATTCAG-1 | Neurons:adrenal_medulla_cell_line | 0.25 | 395.74 | Raw ScoresNeurons:adrenal_medulla_cell_line: 0.58, Neuroepithelial_cell:ESC-derived: 0.55, iPS_cells:PDB_1lox-21Puro-20: 0.54, iPS_cells:PDB_1lox-21Puro-26: 0.54, iPS_cells:PDB_2lox-22: 0.53, iPS_cells:PDB_1lox-17Puro-10: 0.53, iPS_cells:PDB_2lox-21: 0.53, iPS_cells:PDB_1lox-17Puro-5: 0.53, iPS_cells:PDB_2lox-17: 0.53, Embryonic_stem_cells: 0.52 |
864_TGATGGTTCCATGAGT-1 | Neurons:adrenal_medulla_cell_line | 0.25 | 291.48 | Raw ScoresNeurons:adrenal_medulla_cell_line: 0.56, Neuroepithelial_cell:ESC-derived: 0.53, iPS_cells:PDB_1lox-21Puro-20: 0.52, iPS_cells:PDB_2lox-22: 0.52, iPS_cells:PDB_1lox-21Puro-26: 0.52, iPS_cells:PDB_2lox-21: 0.52, iPS_cells:PDB_1lox-17Puro-10: 0.51, iPS_cells:PDB_2lox-17: 0.51, iPS_cells:PDB_1lox-17Puro-5: 0.51, Embryonic_stem_cells: 0.51 |
864_CAATTTCTCTATTTCG-1 | Neurons:adrenal_medulla_cell_line | 0.25 | 290.75 | Raw ScoresNeurons:adrenal_medulla_cell_line: 0.59, Neuroepithelial_cell:ESC-derived: 0.55, iPS_cells:PDB_1lox-21Puro-20: 0.54, iPS_cells:PDB_2lox-22: 0.54, iPS_cells:PDB_1lox-21Puro-26: 0.53, iPS_cells:PDB_2lox-21: 0.53, iPS_cells:PDB_2lox-17: 0.53, iPS_cells:PDB_1lox-17Puro-10: 0.53, Astrocyte:Embryonic_stem_cell-derived: 0.53, iPS_cells:PDB_1lox-17Puro-5: 0.52 |
864_CTCCTCCAGTATTGCC-1 | Neurons:adrenal_medulla_cell_line | 0.26 | 267.42 | Raw ScoresNeurons:adrenal_medulla_cell_line: 0.59, Neuroepithelial_cell:ESC-derived: 0.55, iPS_cells:PDB_1lox-21Puro-20: 0.54, iPS_cells:PDB_1lox-21Puro-26: 0.54, iPS_cells:PDB_2lox-22: 0.54, iPS_cells:PDB_2lox-21: 0.53, iPS_cells:PDB_2lox-17: 0.53, iPS_cells:PDB_1lox-17Puro-10: 0.53, iPS_cells:PDB_1lox-17Puro-5: 0.53, Embryonic_stem_cells: 0.53 |
864_TTCGATTAGGACAACC-1 | Neurons:adrenal_medulla_cell_line | 0.26 | 260.72 | Raw ScoresNeurons:adrenal_medulla_cell_line: 0.59, Neuroepithelial_cell:ESC-derived: 0.55, iPS_cells:PDB_1lox-21Puro-20: 0.53, iPS_cells:PDB_2lox-22: 0.53, iPS_cells:PDB_1lox-21Puro-26: 0.53, iPS_cells:PDB_1lox-17Puro-10: 0.53, iPS_cells:PDB_2lox-21: 0.53, Astrocyte:Embryonic_stem_cell-derived: 0.53, iPS_cells:PDB_2lox-17: 0.52, iPS_cells:PDB_1lox-17Puro-5: 0.52 |
864_GCCATTCCACTCCGAG-1 | Neurons:adrenal_medulla_cell_line | 0.25 | 244.67 | Raw ScoresNeurons:adrenal_medulla_cell_line: 0.57, Neuroepithelial_cell:ESC-derived: 0.54, iPS_cells:PDB_1lox-21Puro-20: 0.53, iPS_cells:PDB_1lox-21Puro-26: 0.53, iPS_cells:PDB_1lox-17Puro-10: 0.52, iPS_cells:PDB_2lox-22: 0.52, iPS_cells:PDB_1lox-17Puro-5: 0.52, iPS_cells:PDB_2lox-21: 0.52, iPS_cells:PDB_2lox-17: 0.52, Embryonic_stem_cells: 0.51 |
856_CAGCGTGTCAACACCA-1 | Neurons:adrenal_medulla_cell_line | 0.26 | 244.45 | Raw ScoresNeurons:adrenal_medulla_cell_line: 0.59, Neuroepithelial_cell:ESC-derived: 0.55, iPS_cells:PDB_1lox-21Puro-20: 0.54, iPS_cells:PDB_1lox-21Puro-26: 0.53, iPS_cells:PDB_2lox-22: 0.53, iPS_cells:PDB_2lox-21: 0.53, iPS_cells:PDB_2lox-17: 0.53, iPS_cells:PDB_1lox-17Puro-10: 0.53, iPS_cells:PDB_1lox-17Puro-5: 0.53, Embryonic_stem_cells: 0.52 |
864_GTCGAATCACGCTGTG-1 | Neurons:adrenal_medulla_cell_line | 0.26 | 241.19 | Raw ScoresNeurons:adrenal_medulla_cell_line: 0.57, Neuroepithelial_cell:ESC-derived: 0.54, iPS_cells:PDB_1lox-21Puro-20: 0.52, iPS_cells:PDB_1lox-21Puro-26: 0.52, iPS_cells:PDB_1lox-17Puro-10: 0.51, iPS_cells:PDB_2lox-22: 0.51, iPS_cells:PDB_2lox-21: 0.51, iPS_cells:PDB_1lox-17Puro-5: 0.51, iPS_cells:PDB_2lox-17: 0.51, Astrocyte:Embryonic_stem_cell-derived: 0.5 |
856_ACGCACGGTACACGCC-1 | Neurons:adrenal_medulla_cell_line | 0.26 | 237.60 | Raw ScoresNeurons:adrenal_medulla_cell_line: 0.57, Neuroepithelial_cell:ESC-derived: 0.54, iPS_cells:PDB_1lox-21Puro-20: 0.53, iPS_cells:PDB_1lox-21Puro-26: 0.53, iPS_cells:PDB_2lox-22: 0.52, iPS_cells:PDB_1lox-17Puro-10: 0.52, iPS_cells:PDB_2lox-21: 0.52, iPS_cells:PDB_1lox-17Puro-5: 0.52, iPS_cells:PDB_2lox-17: 0.52, Embryonic_stem_cells: 0.52 |
864_TCCTTTCCATCGGATT-1 | Neurons:adrenal_medulla_cell_line | 0.25 | 235.05 | Raw ScoresNeurons:adrenal_medulla_cell_line: 0.57, Neuroepithelial_cell:ESC-derived: 0.54, iPS_cells:PDB_1lox-21Puro-20: 0.53, iPS_cells:PDB_1lox-21Puro-26: 0.52, iPS_cells:PDB_2lox-22: 0.52, iPS_cells:PDB_1lox-17Puro-10: 0.52, iPS_cells:PDB_2lox-21: 0.52, iPS_cells:PDB_2lox-17: 0.52, iPS_cells:PDB_1lox-17Puro-5: 0.52, iPS_cells:adipose_stem_cell-derived:minicircle-derived: 0.51 |
864_TAGGGTTTCGTCACCT-1 | Neurons:adrenal_medulla_cell_line | 0.24 | 234.56 | Raw ScoresNeurons:adrenal_medulla_cell_line: 0.58, Neuroepithelial_cell:ESC-derived: 0.55, iPS_cells:PDB_1lox-21Puro-20: 0.54, iPS_cells:PDB_1lox-21Puro-26: 0.53, iPS_cells:PDB_2lox-22: 0.53, iPS_cells:PDB_1lox-17Puro-10: 0.53, iPS_cells:PDB_2lox-21: 0.53, iPS_cells:PDB_2lox-17: 0.52, iPS_cells:PDB_1lox-17Puro-5: 0.52, Embryonic_stem_cells: 0.52 |
864_TTACCATCAACTGATC-1 | Neurons:adrenal_medulla_cell_line | 0.24 | 233.62 | Raw ScoresNeurons:adrenal_medulla_cell_line: 0.58, Neuroepithelial_cell:ESC-derived: 0.55, iPS_cells:PDB_1lox-21Puro-20: 0.54, iPS_cells:PDB_1lox-21Puro-26: 0.54, iPS_cells:PDB_2lox-22: 0.54, iPS_cells:PDB_1lox-17Puro-10: 0.54, iPS_cells:PDB_1lox-17Puro-5: 0.53, iPS_cells:PDB_2lox-21: 0.53, iPS_cells:PDB_2lox-17: 0.53, Embryonic_stem_cells: 0.53 |
856_GGGTTTAAGAGCTGAC-1 | Neurons:adrenal_medulla_cell_line | 0.24 | 230.23 | Raw ScoresNeurons:adrenal_medulla_cell_line: 0.58, Neuroepithelial_cell:ESC-derived: 0.55, iPS_cells:PDB_1lox-21Puro-20: 0.54, iPS_cells:PDB_1lox-21Puro-26: 0.53, iPS_cells:PDB_2lox-22: 0.53, iPS_cells:PDB_1lox-17Puro-10: 0.53, iPS_cells:PDB_2lox-21: 0.52, iPS_cells:PDB_1lox-17Puro-5: 0.52, iPS_cells:PDB_2lox-17: 0.52, Embryonic_stem_cells: 0.52 |
856_ACTGTCCAGGGTTAGC-1 | Neurons:adrenal_medulla_cell_line | 0.26 | 228.78 | Raw ScoresNeurons:adrenal_medulla_cell_line: 0.58, Neuroepithelial_cell:ESC-derived: 0.54, iPS_cells:PDB_1lox-21Puro-20: 0.53, iPS_cells:PDB_1lox-21Puro-26: 0.53, iPS_cells:PDB_2lox-22: 0.53, iPS_cells:PDB_1lox-17Puro-10: 0.52, iPS_cells:PDB_2lox-21: 0.52, iPS_cells:PDB_2lox-17: 0.52, iPS_cells:PDB_1lox-17Puro-5: 0.52, Embryonic_stem_cells: 0.52 |
864_ATGACCACAGAACTAA-1 | Neurons:adrenal_medulla_cell_line | 0.27 | 224.73 | Raw ScoresNeurons:adrenal_medulla_cell_line: 0.58, Neuroepithelial_cell:ESC-derived: 0.55, iPS_cells:PDB_1lox-21Puro-20: 0.54, iPS_cells:PDB_1lox-21Puro-26: 0.53, iPS_cells:PDB_2lox-22: 0.53, iPS_cells:PDB_2lox-21: 0.53, iPS_cells:PDB_2lox-17: 0.53, iPS_cells:PDB_1lox-17Puro-10: 0.53, iPS_cells:PDB_1lox-17Puro-5: 0.52, Embryonic_stem_cells: 0.52 |
864_AGTAGCTCAGAATGTA-1 | Neurons:adrenal_medulla_cell_line | 0.24 | 222.82 | Raw ScoresNeurons:adrenal_medulla_cell_line: 0.56, Neuroepithelial_cell:ESC-derived: 0.53, iPS_cells:PDB_2lox-22: 0.52, iPS_cells:PDB_1lox-21Puro-20: 0.52, iPS_cells:PDB_2lox-21: 0.52, iPS_cells:PDB_1lox-21Puro-26: 0.51, iPS_cells:PDB_2lox-17: 0.51, iPS_cells:PDB_1lox-17Puro-10: 0.51, iPS_cells:PDB_1lox-17Puro-5: 0.51, iPS_cells:adipose_stem_cell-derived:minicircle-derived: 0.51 |
864_CAGTTCCCATAACCCA-1 | Neurons:adrenal_medulla_cell_line | 0.24 | 221.17 | Raw ScoresNeurons:adrenal_medulla_cell_line: 0.56, Neuroepithelial_cell:ESC-derived: 0.53, iPS_cells:PDB_1lox-21Puro-20: 0.52, iPS_cells:PDB_1lox-21Puro-26: 0.51, iPS_cells:PDB_2lox-22: 0.51, iPS_cells:PDB_1lox-17Puro-10: 0.51, iPS_cells:PDB_2lox-21: 0.51, iPS_cells:PDB_2lox-17: 0.51, iPS_cells:PDB_1lox-17Puro-5: 0.51, Embryonic_stem_cells: 0.5 |
864_ACCCTCAAGTCTGCAT-1 | Neurons:adrenal_medulla_cell_line | 0.24 | 220.69 | Raw ScoresNeurons:adrenal_medulla_cell_line: 0.57, Neuroepithelial_cell:ESC-derived: 0.53, iPS_cells:PDB_1lox-21Puro-20: 0.52, iPS_cells:PDB_1lox-21Puro-26: 0.51, iPS_cells:PDB_2lox-22: 0.51, iPS_cells:PDB_1lox-17Puro-10: 0.51, iPS_cells:PDB_1lox-17Puro-5: 0.51, iPS_cells:PDB_2lox-21: 0.51, iPS_cells:PDB_2lox-17: 0.51, Embryonic_stem_cells: 0.5 |
864_GACCCAGCACGAGAAC-1 | Neurons:adrenal_medulla_cell_line | 0.22 | 216.87 | Raw ScoresNeurons:adrenal_medulla_cell_line: 0.54, Neuroepithelial_cell:ESC-derived: 0.51, iPS_cells:PDB_1lox-21Puro-20: 0.5, iPS_cells:PDB_2lox-22: 0.5, iPS_cells:PDB_1lox-21Puro-26: 0.5, iPS_cells:PDB_2lox-21: 0.5, iPS_cells:PDB_2lox-17: 0.49, iPS_cells:PDB_1lox-17Puro-10: 0.49, iPS_cells:PDB_1lox-17Puro-5: 0.49, iPS_cells:adipose_stem_cell-derived:minicircle-derived: 0.49 |
864_ATTTACCCACCGGTCA-1 | Neurons:adrenal_medulla_cell_line | 0.24 | 214.73 | Raw ScoresNeurons:adrenal_medulla_cell_line: 0.57, Neuroepithelial_cell:ESC-derived: 0.54, iPS_cells:PDB_1lox-21Puro-20: 0.53, iPS_cells:PDB_1lox-21Puro-26: 0.52, iPS_cells:PDB_2lox-22: 0.52, iPS_cells:PDB_1lox-17Puro-10: 0.52, iPS_cells:PDB_1lox-17Puro-5: 0.52, iPS_cells:PDB_2lox-21: 0.52, iPS_cells:PDB_2lox-17: 0.52, Embryonic_stem_cells: 0.51 |
864_CTCCATGGTGTATACC-1 | Neurons:adrenal_medulla_cell_line | 0.25 | 211.63 | Raw ScoresNeurons:adrenal_medulla_cell_line: 0.57, Neuroepithelial_cell:ESC-derived: 0.54, iPS_cells:PDB_1lox-21Puro-20: 0.53, iPS_cells:PDB_1lox-21Puro-26: 0.52, iPS_cells:PDB_2lox-22: 0.52, iPS_cells:PDB_2lox-21: 0.52, iPS_cells:PDB_1lox-17Puro-10: 0.52, iPS_cells:PDB_2lox-17: 0.52, iPS_cells:PDB_1lox-17Puro-5: 0.52, Embryonic_stem_cells: 0.51 |
864_CGCGTGATCCTGTAAG-1 | Neurons:adrenal_medulla_cell_line | 0.24 | 210.78 | Raw ScoresNeurons:adrenal_medulla_cell_line: 0.56, Neuroepithelial_cell:ESC-derived: 0.52, iPS_cells:PDB_1lox-21Puro-20: 0.5, iPS_cells:PDB_2lox-22: 0.5, iPS_cells:PDB_1lox-21Puro-26: 0.5, iPS_cells:PDB_2lox-21: 0.49, iPS_cells:PDB_1lox-17Puro-10: 0.49, iPS_cells:PDB_2lox-17: 0.49, Embryonic_stem_cells: 0.49, iPS_cells:PDB_1lox-17Puro-5: 0.49 |
864_TTAATCCCATCCTTGC-1 | Neurons:adrenal_medulla_cell_line | 0.24 | 205.73 | Raw ScoresNeurons:adrenal_medulla_cell_line: 0.56, Neuroepithelial_cell:ESC-derived: 0.54, iPS_cells:PDB_1lox-21Puro-20: 0.53, iPS_cells:PDB_1lox-21Puro-26: 0.53, iPS_cells:PDB_2lox-22: 0.52, iPS_cells:PDB_1lox-17Puro-10: 0.52, iPS_cells:PDB_1lox-17Puro-5: 0.52, iPS_cells:PDB_2lox-21: 0.52, Embryonic_stem_cells: 0.52, iPS_cells:PDB_2lox-17: 0.52 |
864_ACTGATGGTGAACCGA-1 | Neurons:adrenal_medulla_cell_line | 0.24 | 205.65 | Raw ScoresNeurons:adrenal_medulla_cell_line: 0.56, Neuroepithelial_cell:ESC-derived: 0.53, iPS_cells:PDB_1lox-21Puro-20: 0.53, iPS_cells:PDB_1lox-21Puro-26: 0.53, iPS_cells:PDB_2lox-22: 0.52, iPS_cells:PDB_1lox-17Puro-10: 0.52, iPS_cells:PDB_2lox-21: 0.52, iPS_cells:PDB_2lox-17: 0.52, iPS_cells:PDB_1lox-17Puro-5: 0.52, Embryonic_stem_cells: 0.51 |
856_CAACCAACAACAACAA-1 | Neurons:adrenal_medulla_cell_line | 0.26 | 205.63 | Raw ScoresNeurons:adrenal_medulla_cell_line: 0.58, Neuroepithelial_cell:ESC-derived: 0.54, iPS_cells:PDB_1lox-21Puro-20: 0.52, iPS_cells:PDB_1lox-21Puro-26: 0.52, iPS_cells:PDB_1lox-17Puro-10: 0.52, iPS_cells:PDB_2lox-22: 0.52, iPS_cells:PDB_1lox-17Puro-5: 0.51, iPS_cells:PDB_2lox-17: 0.51, iPS_cells:PDB_2lox-21: 0.51, Embryonic_stem_cells: 0.51 |
864_AGACAGGCATCGCTCT-1 | Neurons:adrenal_medulla_cell_line | 0.25 | 204.84 | Raw ScoresNeurons:adrenal_medulla_cell_line: 0.57, Neuroepithelial_cell:ESC-derived: 0.54, iPS_cells:PDB_1lox-21Puro-20: 0.52, iPS_cells:PDB_1lox-21Puro-26: 0.52, iPS_cells:PDB_2lox-22: 0.52, iPS_cells:PDB_2lox-21: 0.51, iPS_cells:PDB_1lox-17Puro-10: 0.51, iPS_cells:PDB_2lox-17: 0.51, Embryonic_stem_cells: 0.51, iPS_cells:PDB_1lox-17Puro-5: 0.51 |
864_ATCGTAGCAGGTACGA-1 | Neurons:adrenal_medulla_cell_line | 0.25 | 204.82 | Raw ScoresNeurons:adrenal_medulla_cell_line: 0.56, Neuroepithelial_cell:ESC-derived: 0.54, iPS_cells:PDB_1lox-21Puro-20: 0.52, iPS_cells:PDB_1lox-21Puro-26: 0.52, iPS_cells:PDB_2lox-22: 0.52, iPS_cells:PDB_2lox-21: 0.51, iPS_cells:PDB_1lox-17Puro-10: 0.51, iPS_cells:PDB_2lox-17: 0.51, Embryonic_stem_cells: 0.51, iPS_cells:PDB_1lox-17Puro-5: 0.51 |
856_ACCCTTGCAAAGGCGT-1 | Neurons:adrenal_medulla_cell_line | 0.24 | 204.54 | Raw ScoresNeurons:adrenal_medulla_cell_line: 0.57, Neuroepithelial_cell:ESC-derived: 0.54, iPS_cells:PDB_1lox-21Puro-20: 0.51, iPS_cells:PDB_2lox-22: 0.51, iPS_cells:PDB_1lox-21Puro-26: 0.51, iPS_cells:PDB_1lox-17Puro-10: 0.51, iPS_cells:PDB_2lox-21: 0.51, Astrocyte:Embryonic_stem_cell-derived: 0.51, iPS_cells:PDB_2lox-17: 0.51, iPS_cells:PDB_1lox-17Puro-5: 0.51 |
856_GCACATATCACGGACC-1 | Neurons:adrenal_medulla_cell_line | 0.25 | 202.46 | Raw ScoresNeurons:adrenal_medulla_cell_line: 0.59, Neuroepithelial_cell:ESC-derived: 0.54, iPS_cells:PDB_1lox-21Puro-20: 0.53, iPS_cells:PDB_1lox-21Puro-26: 0.53, iPS_cells:PDB_1lox-17Puro-10: 0.52, iPS_cells:PDB_2lox-22: 0.52, iPS_cells:PDB_1lox-17Puro-5: 0.52, iPS_cells:PDB_2lox-21: 0.52, iPS_cells:PDB_2lox-17: 0.52, Embryonic_stem_cells: 0.52 |
864_ACTACGACATGCACTA-1 | Neurons:adrenal_medulla_cell_line | 0.24 | 202.26 | Raw ScoresNeurons:adrenal_medulla_cell_line: 0.54, Neuroepithelial_cell:ESC-derived: 0.51, iPS_cells:PDB_1lox-21Puro-20: 0.5, iPS_cells:PDB_1lox-21Puro-26: 0.5, iPS_cells:PDB_2lox-22: 0.5, iPS_cells:PDB_1lox-17Puro-10: 0.5, iPS_cells:PDB_2lox-21: 0.5, iPS_cells:PDB_1lox-17Puro-5: 0.49, iPS_cells:PDB_2lox-17: 0.49, Embryonic_stem_cells: 0.49 |
864_AAAGAACTCAGCTTCC-1 | Neurons:adrenal_medulla_cell_line | 0.24 | 202.00 | Raw ScoresNeurons:adrenal_medulla_cell_line: 0.56, Neuroepithelial_cell:ESC-derived: 0.53, iPS_cells:PDB_1lox-21Puro-20: 0.52, iPS_cells:PDB_2lox-22: 0.51, iPS_cells:PDB_1lox-21Puro-26: 0.51, iPS_cells:PDB_2lox-21: 0.51, iPS_cells:PDB_2lox-17: 0.51, iPS_cells:PDB_1lox-17Puro-10: 0.51, iPS_cells:PDB_1lox-17Puro-5: 0.5, iPS_cells:PDB_2lox-5: 0.5 |
864_ACTTTCACATACCGTA-1 | Neurons:adrenal_medulla_cell_line | 0.25 | 201.43 | Raw ScoresNeurons:adrenal_medulla_cell_line: 0.56, Neuroepithelial_cell:ESC-derived: 0.53, iPS_cells:PDB_1lox-21Puro-20: 0.53, iPS_cells:PDB_1lox-21Puro-26: 0.53, iPS_cells:PDB_1lox-17Puro-10: 0.52, iPS_cells:PDB_2lox-22: 0.52, iPS_cells:PDB_1lox-17Puro-5: 0.52, iPS_cells:PDB_2lox-21: 0.52, iPS_cells:PDB_2lox-17: 0.52, Embryonic_stem_cells: 0.51 |
864_CGTAAGTCAAGAGTTA-1 | Neurons:adrenal_medulla_cell_line | 0.24 | 200.83 | Raw ScoresNeurons:adrenal_medulla_cell_line: 0.56, Neuroepithelial_cell:ESC-derived: 0.54, iPS_cells:PDB_1lox-21Puro-20: 0.53, iPS_cells:PDB_1lox-21Puro-26: 0.52, iPS_cells:PDB_2lox-22: 0.52, iPS_cells:PDB_1lox-17Puro-10: 0.52, iPS_cells:PDB_2lox-21: 0.51, iPS_cells:PDB_1lox-17Puro-5: 0.51, iPS_cells:PDB_2lox-17: 0.51, Embryonic_stem_cells: 0.51 |
864_CCTACGTTCCATTGCC-1 | Neurons:adrenal_medulla_cell_line | 0.26 | 200.43 | Raw ScoresNeurons:adrenal_medulla_cell_line: 0.57, Neuroepithelial_cell:ESC-derived: 0.54, iPS_cells:PDB_1lox-21Puro-20: 0.53, iPS_cells:PDB_1lox-21Puro-26: 0.52, iPS_cells:PDB_1lox-17Puro-10: 0.52, iPS_cells:PDB_2lox-22: 0.52, iPS_cells:PDB_2lox-21: 0.52, iPS_cells:PDB_1lox-17Puro-5: 0.52, iPS_cells:PDB_2lox-17: 0.51, Embryonic_stem_cells: 0.51 |
864_CTCCCTCTCAACCGAT-1 | Neurons:adrenal_medulla_cell_line | 0.24 | 199.57 | Raw ScoresNeurons:adrenal_medulla_cell_line: 0.55, Neuroepithelial_cell:ESC-derived: 0.53, iPS_cells:PDB_1lox-21Puro-20: 0.52, iPS_cells:PDB_1lox-21Puro-26: 0.52, iPS_cells:PDB_2lox-22: 0.51, iPS_cells:PDB_1lox-17Puro-10: 0.51, iPS_cells:PDB_1lox-17Puro-5: 0.51, iPS_cells:PDB_2lox-21: 0.51, iPS_cells:PDB_2lox-17: 0.51, Embryonic_stem_cells: 0.5 |
864_ATGCCTCGTCCAAATC-1 | Neurons:adrenal_medulla_cell_line | 0.22 | 198.18 | Raw ScoresNeurons:adrenal_medulla_cell_line: 0.55, Neuroepithelial_cell:ESC-derived: 0.52, iPS_cells:PDB_1lox-21Puro-20: 0.5, iPS_cells:PDB_2lox-22: 0.5, iPS_cells:PDB_1lox-21Puro-26: 0.5, iPS_cells:PDB_2lox-21: 0.5, iPS_cells:adipose_stem_cell-derived:minicircle-derived: 0.5, iPS_cells:PDB_2lox-17: 0.5, iPS_cells:PDB_1lox-17Puro-10: 0.5, Embryonic_stem_cells: 0.49 |
864_TGCTGAACAGATCCTA-1 | Neurons:adrenal_medulla_cell_line | 0.22 | 196.49 | Raw ScoresNeurons:adrenal_medulla_cell_line: 0.54, Neuroepithelial_cell:ESC-derived: 0.51, iPS_cells:PDB_1lox-21Puro-20: 0.5, iPS_cells:PDB_2lox-22: 0.5, iPS_cells:PDB_1lox-21Puro-26: 0.5, iPS_cells:PDB_2lox-21: 0.49, iPS_cells:PDB_2lox-17: 0.49, iPS_cells:PDB_1lox-17Puro-10: 0.49, iPS_cells:PDB_1lox-17Puro-5: 0.49, iPS_cells:adipose_stem_cell-derived:minicircle-derived: 0.49 |
864_CAACCTCGTACCACGC-1 | Neurons:adrenal_medulla_cell_line | 0.23 | 195.85 | Raw ScoresNeurons:adrenal_medulla_cell_line: 0.55, Neuroepithelial_cell:ESC-derived: 0.51, iPS_cells:PDB_1lox-21Puro-20: 0.5, iPS_cells:PDB_1lox-21Puro-26: 0.5, iPS_cells:PDB_2lox-22: 0.5, iPS_cells:PDB_1lox-17Puro-10: 0.49, iPS_cells:PDB_2lox-21: 0.49, iPS_cells:PDB_2lox-17: 0.49, iPS_cells:PDB_1lox-17Puro-5: 0.49, Embryonic_stem_cells: 0.48 |
864_GTTATGGCAATACAGA-1 | Neurons:adrenal_medulla_cell_line | 0.24 | 195.22 | Raw ScoresNeurons:adrenal_medulla_cell_line: 0.54, Neuroepithelial_cell:ESC-derived: 0.52, iPS_cells:PDB_1lox-21Puro-20: 0.51, iPS_cells:PDB_1lox-21Puro-26: 0.51, iPS_cells:PDB_2lox-22: 0.51, iPS_cells:PDB_1lox-17Puro-10: 0.5, iPS_cells:PDB_2lox-21: 0.5, iPS_cells:PDB_2lox-17: 0.5, iPS_cells:PDB_1lox-17Puro-5: 0.5, Embryonic_stem_cells: 0.49 |
864_CTTCTAAGTTACGATC-1 | Neurons:adrenal_medulla_cell_line | 0.25 | 195.06 | Raw ScoresNeurons:adrenal_medulla_cell_line: 0.55, Neuroepithelial_cell:ESC-derived: 0.53, iPS_cells:PDB_1lox-21Puro-20: 0.51, iPS_cells:PDB_1lox-21Puro-26: 0.51, iPS_cells:PDB_2lox-22: 0.51, iPS_cells:PDB_1lox-17Puro-10: 0.5, iPS_cells:PDB_1lox-17Puro-5: 0.5, iPS_cells:PDB_2lox-21: 0.5, iPS_cells:PDB_2lox-17: 0.5, Embryonic_stem_cells: 0.5 |
864_TCTAACTGTGTCCGGT-1 | Neurons:adrenal_medulla_cell_line | 0.22 | 193.48 | Raw ScoresNeurons:adrenal_medulla_cell_line: 0.53, Neuroepithelial_cell:ESC-derived: 0.5, iPS_cells:PDB_1lox-21Puro-20: 0.49, iPS_cells:PDB_2lox-22: 0.49, iPS_cells:PDB_1lox-21Puro-26: 0.49, iPS_cells:PDB_2lox-21: 0.49, iPS_cells:PDB_2lox-17: 0.49, iPS_cells:PDB_1lox-17Puro-10: 0.48, Embryonic_stem_cells: 0.48, iPS_cells:PDB_1lox-17Puro-5: 0.48 |
864_GGGTTTAAGATGACAT-1 | Neurons:adrenal_medulla_cell_line | 0.26 | 191.77 | Raw ScoresNeurons:adrenal_medulla_cell_line: 0.57, Neuroepithelial_cell:ESC-derived: 0.55, iPS_cells:PDB_1lox-21Puro-20: 0.52, iPS_cells:PDB_1lox-21Puro-26: 0.52, iPS_cells:PDB_2lox-22: 0.51, iPS_cells:PDB_1lox-17Puro-10: 0.51, iPS_cells:PDB_1lox-17Puro-5: 0.51, iPS_cells:PDB_2lox-21: 0.51, Embryonic_stem_cells: 0.51, iPS_cells:PDB_2lox-17: 0.51 |
864_CGTTCTGAGAAATGGG-1 | Neurons:adrenal_medulla_cell_line | 0.23 | 191.70 | Raw ScoresNeurons:adrenal_medulla_cell_line: 0.54, Neuroepithelial_cell:ESC-derived: 0.51, iPS_cells:PDB_1lox-21Puro-20: 0.5, iPS_cells:PDB_2lox-22: 0.5, iPS_cells:PDB_1lox-21Puro-26: 0.49, iPS_cells:PDB_2lox-21: 0.49, iPS_cells:PDB_2lox-17: 0.49, iPS_cells:PDB_1lox-17Puro-10: 0.49, iPS_cells:PDB_1lox-17Puro-5: 0.49, Embryonic_stem_cells: 0.49 |
864_CTACATTTCCTACGGG-1 | Neurons:adrenal_medulla_cell_line | 0.26 | 191.13 | Raw ScoresNeurons:adrenal_medulla_cell_line: 0.57, Neuroepithelial_cell:ESC-derived: 0.55, iPS_cells:PDB_1lox-21Puro-20: 0.53, iPS_cells:PDB_2lox-22: 0.53, iPS_cells:PDB_1lox-21Puro-26: 0.53, iPS_cells:PDB_1lox-17Puro-10: 0.52, iPS_cells:PDB_1lox-17Puro-5: 0.52, iPS_cells:PDB_2lox-21: 0.52, iPS_cells:PDB_2lox-17: 0.52, Embryonic_stem_cells: 0.52 |
864_CGCAGGTGTGACCGAA-1 | Neurons:adrenal_medulla_cell_line | 0.23 | 191.06 | Raw ScoresNeurons:adrenal_medulla_cell_line: 0.55, Neuroepithelial_cell:ESC-derived: 0.53, iPS_cells:PDB_1lox-21Puro-20: 0.52, iPS_cells:PDB_2lox-22: 0.52, iPS_cells:PDB_1lox-21Puro-26: 0.51, iPS_cells:PDB_2lox-21: 0.51, iPS_cells:PDB_2lox-17: 0.51, iPS_cells:PDB_1lox-17Puro-10: 0.51, iPS_cells:PDB_1lox-17Puro-5: 0.51, iPS_cells:adipose_stem_cell-derived:minicircle-derived: 0.5 |
864_GAGAGGTGTGTCCCTT-1 | Neurons:adrenal_medulla_cell_line | 0.22 | 190.73 | Raw ScoresNeurons:adrenal_medulla_cell_line: 0.52, Neuroepithelial_cell:ESC-derived: 0.5, iPS_cells:PDB_1lox-21Puro-20: 0.5, iPS_cells:PDB_2lox-22: 0.49, iPS_cells:PDB_2lox-21: 0.49, iPS_cells:PDB_1lox-21Puro-26: 0.49, iPS_cells:PDB_2lox-17: 0.49, iPS_cells:PDB_1lox-17Puro-10: 0.49, iPS_cells:PDB_1lox-17Puro-5: 0.49, iPS_cells:adipose_stem_cell-derived:minicircle-derived: 0.48 |
864_GGGCCATAGTGTAGTA-1 | Neurons:adrenal_medulla_cell_line | 0.22 | 189.48 | Raw ScoresNeurons:adrenal_medulla_cell_line: 0.53, Neuroepithelial_cell:ESC-derived: 0.51, iPS_cells:PDB_1lox-21Puro-20: 0.49, iPS_cells:PDB_1lox-21Puro-26: 0.48, iPS_cells:PDB_2lox-22: 0.48, Astrocyte:Embryonic_stem_cell-derived: 0.48, iPS_cells:PDB_2lox-21: 0.48, iPS_cells:PDB_1lox-17Puro-10: 0.48, iPS_cells:PDB_2lox-17: 0.47, Embryonic_stem_cells: 0.47 |
864_AGCGTATCATAAGCGG-1 | Neurons:adrenal_medulla_cell_line | 0.24 | 189.10 | Raw ScoresNeurons:adrenal_medulla_cell_line: 0.56, Neuroepithelial_cell:ESC-derived: 0.52, iPS_cells:PDB_1lox-21Puro-20: 0.51, iPS_cells:PDB_2lox-22: 0.51, iPS_cells:PDB_1lox-21Puro-26: 0.51, iPS_cells:PDB_2lox-21: 0.51, iPS_cells:PDB_2lox-17: 0.51, iPS_cells:PDB_1lox-17Puro-10: 0.5, iPS_cells:PDB_1lox-17Puro-5: 0.5, iPS_cells:PDB_2lox-5: 0.5 |
864_AAGTACCTCTGGCCTT-1 | Neurons:adrenal_medulla_cell_line | 0.24 | 188.33 | Raw ScoresNeurons:adrenal_medulla_cell_line: 0.55, Neuroepithelial_cell:ESC-derived: 0.52, iPS_cells:PDB_2lox-22: 0.51, iPS_cells:PDB_1lox-21Puro-20: 0.51, iPS_cells:PDB_1lox-21Puro-26: 0.51, iPS_cells:PDB_2lox-21: 0.51, iPS_cells:PDB_2lox-17: 0.51, iPS_cells:PDB_1lox-17Puro-10: 0.5, iPS_cells:PDB_1lox-17Puro-5: 0.5, iPS_cells:PDB_2lox-5: 0.5 |
864_TCTTAGTAGAGTTGTA-1 | Neurons:adrenal_medulla_cell_line | 0.23 | 188.14 | Raw ScoresNeurons:adrenal_medulla_cell_line: 0.54, Neuroepithelial_cell:ESC-derived: 0.51, iPS_cells:PDB_1lox-21Puro-20: 0.51, iPS_cells:PDB_1lox-21Puro-26: 0.5, iPS_cells:PDB_2lox-22: 0.5, iPS_cells:PDB_1lox-17Puro-10: 0.5, iPS_cells:PDB_2lox-21: 0.5, iPS_cells:PDB_2lox-17: 0.5, iPS_cells:PDB_1lox-17Puro-5: 0.5, Embryonic_stem_cells: 0.49 |
Below shows the significant enrichments of this GEP for literature curated gene lists
This data was procured from existing single cell RNA-seq maps of neuroblastoma or related relevant data.
High ranks indicate this gene is a driver of this GEP.
These curated gene list are ranked by the P-value (on this GEP) of their constituent genes.
The Mean Count column shows the mean read count in cells scoring highly (H > 50) on this gene expression program.
Genes | Weight | Rank | GTEx | DepMap | Decartes | Mean.Counts | Mean.TPM |
---|---|---|---|---|---|---|---|
EIF3E | 0.0039018 | 612 | GTEx | DepMap | Descartes | 10.54 | 51.08 |
EIF3F | 0.0038137 | 629 | GTEx | DepMap | Descartes | 15.61 | 291.14 |
EIF3L | 0.0021346 | 1239 | GTEx | DepMap | Descartes | 5.27 | 42.27 |
Adrenal Premordium (Hanemaaijer)
Marker genes obtained from Supplementary Table SD of Hanemaaijer et al (PMID 33500353). The authors generated single-cell RNA-seq data (sort-seq, 2,229 cells total) from mouse adrenal glads at E13.5, E14.5, E17.5, E18.5, P1 and P5. These were marker genes that matched with a similar dataset generated by Furlan et al (PMID 28684471). This particular set of markers are for the Adrenal Premordium subcluster, which is part of the Cortex cluster.:
Wilcoxon ranksum test P-value for gene set overrepresentation: 8.84e-03
Mean rank of genes in gene set: 4059.4
Rank on gene expression program of genes in gene set:
Genes | Weight | Rank | GTEx | DepMap | Decartes | Mean.Counts | Mean.TPM |
---|---|---|---|---|---|---|---|
NPM1 | 0.0134433 | 13 | GTEx | DepMap | Descartes | 177.61 | 2550.54 |
RPS2 | 0.0130706 | 17 | GTEx | DepMap | Descartes | 166.63 | 6753.91 |
MIF | 0.0106186 | 49 | GTEx | DepMap | Descartes | 84.20 | 15080.42 |
TPI1 | 0.0051094 | 383 | GTEx | DepMap | Descartes | 15.17 | 645.50 |
TK1 | -0.0025242 | 19835 | GTEx | DepMap | Descartes | 0.76 | 10.59 |
Proteasomal degradation (Kinker)
These marker genes were obtained in a pan cancer cell lines NMF analysis of scRNA-eq data in Kinker et al (PMID 33128048) - 10 metaprograms were recovered that manifest across cancers, this is for proteasomal degradataion:
Wilcoxon ranksum test P-value for gene set overrepresentation: 1.02e-02
Mean rank of genes in gene set: 4203.2
Rank on gene expression program of genes in gene set:
Genes | Weight | Rank | GTEx | DepMap | Decartes | Mean.Counts | Mean.TPM |
---|---|---|---|---|---|---|---|
PSMA3 | 0.0102551 | 64 | GTEx | DepMap | Descartes | 26.19 | 191.60 |
PSMB3 | 0.0063025 | 249 | GTEx | DepMap | Descartes | 18.74 | 294.45 |
PSMA4 | 0.0055230 | 337 | GTEx | DepMap | Descartes | 12.57 | 272.07 |
PSMC2 | 0.0020495 | 1282 | GTEx | DepMap | Descartes | 6.09 | 51.15 |
PSME2 | -0.0020023 | 19084 | GTEx | DepMap | Descartes | 1.19 | 52.19 |
Below shows ranks on this GEP for literature curated gene lists for large gene sets
These include those reported as mesenchymal/adrenergic by Van Groningen et al.
High ranks indicate this gene is a driver of this GEP (note these results are not ordered).
The Mean Count column shows the mean read count in cells scoring highly (H > 50) on this gene expression program.
VanGroningen Adrenergic Genes
Adrenergic marker genes from Supplementary Table 2 of Van Groningen et al. Nature Genetics 2017. These genes were identified by differential expression analysis of mesenchymal-like and adrenergic-like neuroblastoma cell lines.
Wilcoxon ranksum test P-value for gene set overrepresentation: 1.00e+00
Mean rank of genes in gene set: 14014.59
Median rank of genes in gene set: 17178.5
Rank on gene expression program of top 30 genes in gene set:
Genes | Weight | Rank | GTEx | DepMap | Descartes | Mean.Counts | Mean.TPM |
---|---|---|---|---|---|---|---|
LSM4 | 0.0089174 | 104 | GTEx | DepMap | Descartes | 19.55 | 560.17 |
ANP32A | 0.0079647 | 151 | GTEx | DepMap | Descartes | 15.47 | 65.34 |
SEC11C | 0.0079188 | 155 | GTEx | DepMap | Descartes | 9.32 | 85.74 |
PPP2R3C | 0.0069290 | 209 | GTEx | DepMap | Descartes | 4.15 | 27.51 |
AHSA1 | 0.0068151 | 217 | GTEx | DepMap | Descartes | 7.64 | 161.96 |
DTD1 | 0.0067995 | 219 | GTEx | DepMap | Descartes | 4.50 | 4.25 |
DLK1 | 0.0067407 | 223 | GTEx | DepMap | Descartes | 34.12 | 543.91 |
RANBP1 | 0.0067004 | 225 | GTEx | DepMap | Descartes | 29.97 | 519.66 |
INA | 0.0059959 | 274 | GTEx | DepMap | Descartes | 10.21 | 159.79 |
TMEM97 | 0.0059915 | 277 | GTEx | DepMap | Descartes | 4.94 | 86.55 |
CKB | 0.0048427 | 422 | GTEx | DepMap | Descartes | 5.39 | 285.85 |
ESRRG | 0.0048417 | 424 | GTEx | DepMap | Descartes | 0.44 | 0.12 |
CENPV | 0.0045550 | 468 | GTEx | DepMap | Descartes | 10.28 | 113.15 |
MXI1 | 0.0042534 | 533 | GTEx | DepMap | Descartes | 3.20 | 8.27 |
ENDOG | 0.0041276 | 553 | GTEx | DepMap | Descartes | 1.47 | 87.31 |
SOX11 | 0.0041196 | 554 | GTEx | DepMap | Descartes | 18.38 | 366.64 |
HK2 | 0.0040958 | 559 | GTEx | DepMap | Descartes | 1.94 | 6.64 |
RBP1 | 0.0039255 | 602 | GTEx | DepMap | Descartes | 2.02 | 12.72 |
HES6 | 0.0039115 | 607 | GTEx | DepMap | Descartes | 5.05 | 304.49 |
KDM1A | 0.0037586 | 638 | GTEx | DepMap | Descartes | 7.66 | 24.31 |
GLDC | 0.0034402 | 731 | GTEx | DepMap | Descartes | 0.68 | 1.48 |
GGCT | 0.0033272 | 766 | GTEx | DepMap | Descartes | 0.88 | 13.39 |
PHF21B | 0.0030834 | 839 | GTEx | DepMap | Descartes | 0.96 | 2.23 |
NPTX2 | 0.0030509 | 853 | GTEx | DepMap | Descartes | 0.56 | 7.58 |
GDPD1 | 0.0030056 | 874 | GTEx | DepMap | Descartes | 5.18 | 21.62 |
VRK1 | 0.0029170 | 909 | GTEx | DepMap | Descartes | 3.01 | 7.20 |
PDK1 | 0.0028681 | 933 | GTEx | DepMap | Descartes | 1.00 | 5.69 |
HNRNPA0 | 0.0027639 | 978 | GTEx | DepMap | Descartes | 18.82 | 1166.43 |
FBLL1 | 0.0025013 | 1063 | GTEx | DepMap | Descartes | 2.52 | 274.69 |
IGFBPL1 | 0.0023985 | 1112 | GTEx | DepMap | Descartes | 5.29 | 51.12 |
VanGroningen Mesenchymal Genes
Mesenchymal marker genes from Supplementary Table 2 of Van Groningen et al. Nature Genetics 2017. These genes were identified by differential expression analysis of mesenchymal-like and adrenergic-like neuroblastoma cell lines.
Wilcoxon ranksum test P-value for gene set overrepresentation: 1.00e+00
Mean rank of genes in gene set: 14030.59
Median rank of genes in gene set: 15899
Rank on gene expression program of top 30 genes in gene set:
Genes | Weight | Rank | GTEx | DepMap | Descartes | Mean.Counts | Mean.TPM |
---|---|---|---|---|---|---|---|
PRDX6 | 0.0100942 | 69 | GTEx | DepMap | Descartes | 19.43 | 278.09 |
NFIA | 0.0097150 | 86 | GTEx | DepMap | Descartes | 5.15 | 2.56 |
ABRACL | 0.0081790 | 137 | GTEx | DepMap | Descartes | 10.27 | 133.03 |
FZD2 | 0.0063940 | 241 | GTEx | DepMap | Descartes | 0.61 | 25.65 |
PPIC | 0.0056993 | 311 | GTEx | DepMap | Descartes | 1.19 | 16.22 |
L3HYPDH | 0.0054730 | 340 | GTEx | DepMap | Descartes | 1.38 | 18.75 |
SUCLG2 | 0.0043109 | 518 | GTEx | DepMap | Descartes | 1.31 | 0.84 |
DDR2 | 0.0039989 | 577 | GTEx | DepMap | Descartes | 0.98 | 1.19 |
PPIB | 0.0037449 | 644 | GTEx | DepMap | Descartes | 15.25 | 373.32 |
PDLIM1 | 0.0034750 | 725 | GTEx | DepMap | Descartes | 1.00 | 3.08 |
LHX8 | 0.0033647 | 752 | GTEx | DepMap | Descartes | 0.06 | 0.38 |
PROM1 | 0.0033219 | 769 | GTEx | DepMap | Descartes | 0.56 | 0.83 |
PTBP1 | 0.0028140 | 954 | GTEx | DepMap | Descartes | 3.12 | 48.45 |
TNFRSF12A | 0.0026326 | 1016 | GTEx | DepMap | Descartes | 0.47 | 38.00 |
SPRY1 | 0.0025067 | 1059 | GTEx | DepMap | Descartes | 0.47 | 16.41 |
PLOD2 | 0.0023323 | 1137 | GTEx | DepMap | Descartes | 1.16 | 2.99 |
MICAL2 | 0.0023014 | 1146 | GTEx | DepMap | Descartes | 0.39 | 0.34 |
DESI2 | 0.0021971 | 1201 | GTEx | DepMap | Descartes | 2.42 | 5.59 |
FZD1 | 0.0021639 | 1221 | GTEx | DepMap | Descartes | 0.20 | 7.28 |
SSBP4 | 0.0020161 | 1303 | GTEx | DepMap | Descartes | 3.86 | 53.34 |
LAMB1 | 0.0020115 | 1307 | GTEx | DepMap | Descartes | 1.27 | 3.40 |
MYDGF | 0.0020099 | 1308 | GTEx | DepMap | Descartes | 3.60 | 68.86 |
OSTC | 0.0019914 | 1319 | GTEx | DepMap | Descartes | 7.42 | 85.76 |
PDIA6 | 0.0018280 | 1399 | GTEx | DepMap | Descartes | 6.94 | 61.83 |
F2R | 0.0017904 | 1422 | GTEx | DepMap | Descartes | 0.42 | 4.32 |
TSPAN4 | 0.0016203 | 1534 | GTEx | DepMap | Descartes | 1.02 | 8.72 |
DUSP14 | 0.0013977 | 1691 | GTEx | DepMap | Descartes | 0.18 | 1.27 |
P4HA1 | 0.0012816 | 1780 | GTEx | DepMap | Descartes | 1.28 | 4.43 |
IQGAP2 | 0.0012640 | 1799 | GTEx | DepMap | Descartes | 0.32 | 0.19 |
ARL1 | 0.0012402 | 1824 | GTEx | DepMap | Descartes | 4.81 | 59.26 |
Descartes adrenocortical markers
Top 50 marker genes of adrenocortical cells in the Decartes fetal adrenal single cell map (https://atlas.brotmanbaty.org/bbi/human-gene-expression-during-development/cell/adrenocortical/in/adrenal)
Wilcoxon ranksum test P-value for gene set overrepresentation: 5.79e-01
Mean rank of genes in gene set: 10661.33
Median rank of genes in gene set: 11452
Rank on gene expression program of top 30 genes in gene set:
Genes | Weight | Rank | GTEx | DepMap | Descartes | Mean.Counts | Mean.TPM |
---|---|---|---|---|---|---|---|
HSPD1 | 0.0105552 | 54 | GTEx | DepMap | Descartes | 40.42 | 619.90 |
HSPE1 | 0.0098464 | 81 | GTEx | DepMap | Descartes | 37.03 | 1822.41 |
SH3BP5 | 0.0012918 | 1768 | GTEx | DepMap | Descartes | 0.91 | 2.01 |
FDX1 | 0.0012500 | 1815 | GTEx | DepMap | Descartes | 1.93 | 15.26 |
PDE10A | 0.0009807 | 2096 | GTEx | DepMap | Descartes | 0.46 | 0.17 |
SLC1A2 | 0.0009396 | 2145 | GTEx | DepMap | Descartes | 0.21 | 0.27 |
FDPS | 0.0007537 | 2429 | GTEx | DepMap | Descartes | 5.55 | 99.21 |
CYB5B | 0.0003417 | 3234 | GTEx | DepMap | Descartes | 1.53 | 6.44 |
IGF1R | 0.0003082 | 3327 | GTEx | DepMap | Descartes | 0.96 | 0.59 |
DHCR7 | 0.0002664 | 3437 | GTEx | DepMap | Descartes | 0.91 | 5.79 |
FDXR | 0.0001474 | 3828 | GTEx | DepMap | Descartes | 0.46 | 8.10 |
MSMO1 | 0.0000042 | 4581 | GTEx | DepMap | Descartes | 1.51 | 15.99 |
STAR | -0.0000188 | 4790 | GTEx | DepMap | Descartes | 0.02 | 0.28 |
CYP17A1 | -0.0000205 | 4810 | GTEx | DepMap | Descartes | 0.00 | 0.00 |
CYP11A1 | -0.0000297 | 4926 | GTEx | DepMap | Descartes | 0.00 | 0.01 |
SULT2A1 | -0.0000962 | 6376 | GTEx | DepMap | Descartes | 0.00 | 0.00 |
CYP11B1 | -0.0001460 | 7507 | GTEx | DepMap | Descartes | 0.00 | 0.00 |
SCARB1 | -0.0001894 | 8335 | GTEx | DepMap | Descartes | 0.29 | 0.75 |
TM7SF2 | -0.0002777 | 9725 | GTEx | DepMap | Descartes | 0.13 | 3.40 |
FREM2 | -0.0003557 | 10732 | GTEx | DepMap | Descartes | 0.00 | 0.00 |
FRMD5 | -0.0003574 | 10749 | GTEx | DepMap | Descartes | 0.32 | 0.20 |
CLU | -0.0005011 | 12155 | GTEx | DepMap | Descartes | 0.12 | 0.73 |
GSTA4 | -0.0006330 | 13281 | GTEx | DepMap | Descartes | 0.16 | 0.34 |
APOC1 | -0.0006915 | 13724 | GTEx | DepMap | Descartes | 0.08 | 1.28 |
LDLR | -0.0008751 | 14926 | GTEx | DepMap | Descartes | 0.29 | 1.81 |
INHA | -0.0009083 | 15113 | GTEx | DepMap | Descartes | 0.03 | 1.51 |
SH3PXD2B | -0.0009613 | 15435 | GTEx | DepMap | Descartes | 0.22 | 0.45 |
ERN1 | -0.0009655 | 15465 | GTEx | DepMap | Descartes | 0.09 | 0.16 |
SCAP | -0.0009992 | 15653 | GTEx | DepMap | Descartes | 0.64 | 2.05 |
PAPSS2 | -0.0010466 | 15896 | GTEx | DepMap | Descartes | 0.00 | 0.00 |
Descartes chromaffin markers
Top 50 marker genes of chromaffin cells in the Decartes fetal adrenal single cell map (https://atlas.brotmanbaty.org/bbi/human-gene-expression-during-development/cell/chromaffin/in/adrenal)
Wilcoxon ranksum test P-value for gene set overrepresentation: 1.00e+00
Mean rank of genes in gene set: 16988.75
Median rank of genes in gene set: 18411.5
Rank on gene expression program of top 30 genes in gene set:
Genes | Weight | Rank | GTEx | DepMap | Descartes | Mean.Counts | Mean.TPM |
---|---|---|---|---|---|---|---|
ELAVL2 | 0.0012397 | 1825 | GTEx | DepMap | Descartes | 6.43 | 7.00 |
MAB21L1 | 0.0006023 | 2686 | GTEx | DepMap | Descartes | 0.06 | 4.47 |
KCNB2 | 0.0000721 | 4129 | GTEx | DepMap | Descartes | 0.31 | 0.12 |
IL7 | -0.0001895 | 8336 | GTEx | DepMap | Descartes | 0.00 | 0.01 |
GREM1 | -0.0004847 | 12018 | GTEx | DepMap | Descartes | 0.00 | 0.04 |
TMEM132C | -0.0005383 | 12512 | GTEx | DepMap | Descartes | 0.03 | 0.02 |
SYNPO2 | -0.0005566 | 12651 | GTEx | DepMap | Descartes | 0.00 | 0.00 |
GAL | -0.0005906 | 12950 | GTEx | DepMap | Descartes | 0.13 | 4.66 |
RPH3A | -0.0007252 | 13986 | GTEx | DepMap | Descartes | 0.00 | 0.00 |
TUBB2B | -0.0008792 | 14949 | GTEx | DepMap | Descartes | 22.65 | 985.31 |
ANKFN1 | -0.0009355 | 15259 | GTEx | DepMap | Descartes | 0.00 | 0.00 |
EPHA6 | -0.0010418 | 15875 | GTEx | DepMap | Descartes | 0.00 | 0.00 |
RBFOX1 | -0.0012085 | 16680 | GTEx | DepMap | Descartes | 1.12 | 0.12 |
NTRK1 | -0.0013909 | 17434 | GTEx | DepMap | Descartes | 0.04 | 0.35 |
NPY | -0.0014176 | 17533 | GTEx | DepMap | Descartes | 0.02 | 0.53 |
RYR2 | -0.0014469 | 17632 | GTEx | DepMap | Descartes | 0.11 | 0.04 |
ALK | -0.0014613 | 17680 | GTEx | DepMap | Descartes | 0.02 | 0.00 |
RGMB | -0.0014801 | 17759 | GTEx | DepMap | Descartes | 0.29 | 1.74 |
PRPH | -0.0014979 | 17829 | GTEx | DepMap | Descartes | 0.02 | 1.07 |
SLC6A2 | -0.0014980 | 17830 | GTEx | DepMap | Descartes | 0.00 | 0.00 |
HS3ST5 | -0.0016464 | 18288 | GTEx | DepMap | Descartes | 0.01 | 0.00 |
CNKSR2 | -0.0016708 | 18355 | GTEx | DepMap | Descartes | 0.97 | 0.73 |
CNTFR | -0.0017199 | 18468 | GTEx | DepMap | Descartes | 1.57 | 6.46 |
ISL1 | -0.0017576 | 18551 | GTEx | DepMap | Descartes | 12.82 | 185.16 |
FAT3 | -0.0018110 | 18677 | GTEx | DepMap | Descartes | 0.01 | 0.00 |
PTCHD1 | -0.0019532 | 18996 | GTEx | DepMap | Descartes | 0.00 | 0.00 |
HMX1 | -0.0021608 | 19365 | GTEx | DepMap | Descartes | 0.02 | 0.21 |
MAB21L2 | -0.0022294 | 19472 | GTEx | DepMap | Descartes | 3.09 | 168.09 |
EYA4 | -0.0022696 | 19530 | GTEx | DepMap | Descartes | 0.13 | 0.09 |
SLC44A5 | -0.0028994 | 20192 | GTEx | DepMap | Descartes | 0.07 | 0.04 |
Descartes Vascular_endothelial markers
Top 50 marker genes of Vascular_endothelial cells in the Decartes fetal adrenal single cell map (https://atlas.brotmanbaty.org/bbi/human-gene-expression-during-development/cell/vascular_endothelial/in/adrenal)
Wilcoxon ranksum test P-value for gene set overrepresentation: 7.48e-01
Mean rank of genes in gene set: 11090.14
Median rank of genes in gene set: 11887
Rank on gene expression program of top 30 genes in gene set:
Genes | Weight | Rank | GTEx | DepMap | Descartes | Mean.Counts | Mean.TPM |
---|---|---|---|---|---|---|---|
HYAL2 | 0.0021922 | 1203 | GTEx | DepMap | Descartes | 0.93 | 30.19 |
RAMP2 | 0.0021069 | 1249 | GTEx | DepMap | Descartes | 0.69 | 8.39 |
CDH13 | 0.0017398 | 1451 | GTEx | DepMap | Descartes | 0.67 | 0.10 |
PODXL | 0.0009306 | 2158 | GTEx | DepMap | Descartes | 0.48 | 1.86 |
MYRIP | 0.0003945 | 3102 | GTEx | DepMap | Descartes | 0.08 | 0.08 |
CHRM3 | -0.0000003 | 4613 | GTEx | DepMap | Descartes | 0.00 | 0.00 |
NPR1 | -0.0000686 | 5714 | GTEx | DepMap | Descartes | 0.04 | 0.44 |
IRX3 | -0.0001140 | 6799 | GTEx | DepMap | Descartes | 0.08 | 3.26 |
NR5A2 | -0.0001509 | 7604 | GTEx | DepMap | Descartes | 0.00 | 0.00 |
GALNT15 | -0.0002017 | 8533 | GTEx | DepMap | Descartes | 0.00 | 0.02 |
SHANK3 | -0.0002329 | 9043 | GTEx | DepMap | Descartes | 0.13 | 0.34 |
CRHBP | -0.0002396 | 9153 | GTEx | DepMap | Descartes | 0.00 | 0.00 |
DNASE1L3 | -0.0003356 | 10480 | GTEx | DepMap | Descartes | 0.00 | 0.00 |
TMEM88 | -0.0003465 | 10606 | GTEx | DepMap | Descartes | 0.01 | 1.67 |
BTNL9 | -0.0003726 | 10920 | GTEx | DepMap | Descartes | 0.00 | 0.01 |
SHE | -0.0003795 | 10995 | GTEx | DepMap | Descartes | 0.00 | 0.00 |
SLCO2A1 | -0.0003931 | 11130 | GTEx | DepMap | Descartes | 0.01 | 0.01 |
TEK | -0.0003948 | 11158 | GTEx | DepMap | Descartes | 0.00 | 0.00 |
FLT4 | -0.0004037 | 11249 | GTEx | DepMap | Descartes | 0.00 | 0.00 |
CLDN5 | -0.0004260 | 11477 | GTEx | DepMap | Descartes | 0.02 | 1.70 |
APLNR | -0.0004478 | 11675 | GTEx | DepMap | Descartes | 0.00 | 0.02 |
ESM1 | -0.0004720 | 11887 | GTEx | DepMap | Descartes | 0.01 | 0.11 |
ROBO4 | -0.0004911 | 12084 | GTEx | DepMap | Descartes | 0.00 | 0.02 |
SOX18 | -0.0005023 | 12171 | GTEx | DepMap | Descartes | 0.01 | 0.86 |
MMRN2 | -0.0005072 | 12212 | GTEx | DepMap | Descartes | 0.00 | 0.02 |
KDR | -0.0005302 | 12429 | GTEx | DepMap | Descartes | 0.00 | 0.00 |
TIE1 | -0.0005506 | 12599 | GTEx | DepMap | Descartes | 0.00 | 0.01 |
PLVAP | -0.0005509 | 12603 | GTEx | DepMap | Descartes | 0.02 | 0.13 |
PTPRB | -0.0005540 | 12634 | GTEx | DepMap | Descartes | 0.00 | 0.00 |
ECSCR | -0.0005817 | 12874 | GTEx | DepMap | Descartes | 0.02 | 0.19 |
Descartes stromal markers
Top 50 marker genes of stromal cells in the Decartes fetal adrenal single cell map (https://atlas.brotmanbaty.org/bbi/human-gene-expression-during-development/cell/stromal/in/adrenal)
Wilcoxon ranksum test P-value for gene set overrepresentation: 9.35e-01
Mean rank of genes in gene set: 11822.91
Median rank of genes in gene set: 12807.5
Rank on gene expression program of top 30 genes in gene set:
Genes | Weight | Rank | GTEx | DepMap | Descartes | Mean.Counts | Mean.TPM |
---|---|---|---|---|---|---|---|
SFRP2 | 0.0064378 | 235 | GTEx | DepMap | Descartes | 2.26 | 44.52 |
GLI2 | 0.0016486 | 1515 | GTEx | DepMap | Descartes | 0.07 | 0.05 |
GAS2 | 0.0005323 | 2814 | GTEx | DepMap | Descartes | 0.27 | 0.34 |
FREM1 | 0.0000294 | 4383 | GTEx | DepMap | Descartes | 0.00 | 0.00 |
C7 | -0.0001266 | 7087 | GTEx | DepMap | Descartes | 0.00 | 0.00 |
ISLR | -0.0001501 | 7590 | GTEx | DepMap | Descartes | 0.05 | 0.15 |
SULT1E1 | -0.0001557 | 7719 | GTEx | DepMap | Descartes | 0.00 | 0.00 |
SCARA5 | -0.0001604 | 7801 | GTEx | DepMap | Descartes | 0.03 | 0.04 |
ADAMTSL3 | -0.0001757 | 8084 | GTEx | DepMap | Descartes | 0.00 | 0.00 |
PAMR1 | -0.0002560 | 9402 | GTEx | DepMap | Descartes | 0.00 | 0.00 |
ACTA2 | -0.0002714 | 9631 | GTEx | DepMap | Descartes | 0.00 | 0.03 |
PRICKLE1 | -0.0003042 | 10080 | GTEx | DepMap | Descartes | 0.06 | 0.11 |
MGP | -0.0003073 | 10118 | GTEx | DepMap | Descartes | 0.00 | 0.16 |
ITGA11 | -0.0003160 | 10238 | GTEx | DepMap | Descartes | 0.00 | 0.00 |
PCDH18 | -0.0003394 | 10526 | GTEx | DepMap | Descartes | 0.03 | 0.38 |
ABCA6 | -0.0003420 | 10558 | GTEx | DepMap | Descartes | 0.00 | 0.01 |
OGN | -0.0003425 | 10561 | GTEx | DepMap | Descartes | 0.00 | 0.00 |
PDGFRA | -0.0003619 | 10795 | GTEx | DepMap | Descartes | 0.00 | 0.01 |
ABCC9 | -0.0004576 | 11769 | GTEx | DepMap | Descartes | 0.00 | 0.00 |
LOX | -0.0004849 | 12019 | GTEx | DepMap | Descartes | 0.01 | 0.06 |
COL3A1 | -0.0005125 | 12266 | GTEx | DepMap | Descartes | 0.00 | 0.02 |
LUM | -0.0005236 | 12350 | GTEx | DepMap | Descartes | 0.00 | 0.00 |
COL27A1 | -0.0005750 | 12807 | GTEx | DepMap | Descartes | 0.00 | 0.00 |
COL6A3 | -0.0005753 | 12808 | GTEx | DepMap | Descartes | 0.02 | 0.04 |
DCN | -0.0005899 | 12942 | GTEx | DepMap | Descartes | 0.00 | 0.00 |
POSTN | -0.0005905 | 12948 | GTEx | DepMap | Descartes | 0.00 | 0.00 |
IGFBP3 | -0.0006096 | 13086 | GTEx | DepMap | Descartes | 0.19 | 2.94 |
BICC1 | -0.0006143 | 13132 | GTEx | DepMap | Descartes | 0.04 | 0.02 |
PRRX1 | -0.0006242 | 13218 | GTEx | DepMap | Descartes | 0.00 | 0.00 |
COL1A1 | -0.0006288 | 13253 | GTEx | DepMap | Descartes | 0.00 | 0.04 |
Descartes sympathoblasts markers
Top 50 marker genes of sympathoblasts cells in the Decartes fetal adrenal single cell map (https://atlas.brotmanbaty.org/bbi/human-gene-expression-during-development/cell/sympathoblasts/in/adrenal)
Wilcoxon ranksum test P-value for gene set overrepresentation: 1.00e+00
Mean rank of genes in gene set: 14793.26
Median rank of genes in gene set: 16967.5
Rank on gene expression program of top 30 genes in gene set:
Genes | Weight | Rank | GTEx | DepMap | Descartes | Mean.Counts | Mean.TPM |
---|---|---|---|---|---|---|---|
ST18 | 0.0085180 | 123 | GTEx | DepMap | Descartes | 1.48 | 0.70 |
C1QL1 | 0.0070702 | 202 | GTEx | DepMap | Descartes | 4.12 | 95.34 |
HTATSF1 | 0.0029249 | 906 | GTEx | DepMap | Descartes | 2.97 | 35.18 |
INSM1 | 0.0022980 | 1148 | GTEx | DepMap | Descartes | 3.07 | 156.59 |
SLC35F3 | 0.0010612 | 2008 | GTEx | DepMap | Descartes | 0.05 | 0.03 |
KCTD16 | 0.0006513 | 2588 | GTEx | DepMap | Descartes | 0.00 | 0.00 |
SLC24A2 | -0.0000091 | 4690 | GTEx | DepMap | Descartes | 0.05 | 0.04 |
CNTN3 | -0.0004942 | 12105 | GTEx | DepMap | Descartes | 0.02 | 0.01 |
PENK | -0.0005027 | 12174 | GTEx | DepMap | Descartes | 0.00 | 0.00 |
ARC | -0.0006190 | 13174 | GTEx | DepMap | Descartes | 0.01 | 0.30 |
CDH12 | -0.0007045 | 13813 | GTEx | DepMap | Descartes | 0.02 | 0.00 |
LAMA3 | -0.0007519 | 14159 | GTEx | DepMap | Descartes | 0.01 | 0.00 |
CDH18 | -0.0008251 | 14621 | GTEx | DepMap | Descartes | 0.00 | 0.00 |
PACRG | -0.0008290 | 14647 | GTEx | DepMap | Descartes | 0.12 | 0.04 |
SORCS3 | -0.0008345 | 14684 | GTEx | DepMap | Descartes | 0.01 | 0.00 |
ROBO1 | -0.0008537 | 14798 | GTEx | DepMap | Descartes | 0.27 | 0.06 |
AGBL4 | -0.0009271 | 15206 | GTEx | DepMap | Descartes | 0.00 | 0.00 |
TENM1 | -0.0009442 | 15328 | GTEx | DepMap | Descartes | 0.00 | 0.00 |
TBX20 | -0.0010117 | 15722 | GTEx | DepMap | Descartes | 0.05 | 0.15 |
PNMT | -0.0011201 | 16261 | GTEx | DepMap | Descartes | 0.00 | 0.00 |
GRM7 | -0.0012603 | 16907 | GTEx | DepMap | Descartes | 0.00 | 0.00 |
SLC18A1 | -0.0012868 | 17028 | GTEx | DepMap | Descartes | 0.00 | 0.00 |
FAM155A | -0.0013589 | 17321 | GTEx | DepMap | Descartes | 0.60 | 0.17 |
TMEM130 | -0.0014344 | 17587 | GTEx | DepMap | Descartes | 0.02 | 0.15 |
GRID2 | -0.0014752 | 17744 | GTEx | DepMap | Descartes | 0.00 | 0.00 |
KSR2 | -0.0016481 | 18290 | GTEx | DepMap | Descartes | 0.22 | 0.10 |
TIAM1 | -0.0018518 | 18772 | GTEx | DepMap | Descartes | 0.42 | 0.19 |
DGKK | -0.0018727 | 18826 | GTEx | DepMap | Descartes | 0.00 | 0.00 |
CHGB | -0.0018790 | 18838 | GTEx | DepMap | Descartes | 0.52 | 6.05 |
GALNTL6 | -0.0021227 | 19301 | GTEx | DepMap | Descartes | 0.16 | 0.02 |
Descartes erythroblasts markers
Top 50 marker genes of erythroblasts cells in the Decartes fetal adrenal single cell map (https://atlas.brotmanbaty.org/bbi/human-gene-expression-during-development/cell/erythroblasts/in/adrenal)
Wilcoxon ranksum test P-value for gene set overrepresentation: 6.34e-01
Mean rank of genes in gene set: 10826.31
Median rank of genes in gene set: 10688
Rank on gene expression program of top 30 genes in gene set:
Genes | Weight | Rank | GTEx | DepMap | Descartes | Mean.Counts | Mean.TPM |
---|---|---|---|---|---|---|---|
MICAL2 | 0.0023014 | 1146 | GTEx | DepMap | Descartes | 0.39 | 0.34 |
GYPC | 0.0015694 | 1569 | GTEx | DepMap | Descartes | 0.11 | 0.54 |
GCLC | 0.0012462 | 1820 | GTEx | DepMap | Descartes | 0.82 | 3.40 |
TSPAN5 | 0.0009965 | 2069 | GTEx | DepMap | Descartes | 1.25 | 1.22 |
XPO7 | 0.0005839 | 2725 | GTEx | DepMap | Descartes | 1.36 | 1.99 |
EPB41 | 0.0004949 | 2892 | GTEx | DepMap | Descartes | 2.34 | 2.60 |
CAT | 0.0002201 | 3585 | GTEx | DepMap | Descartes | 0.40 | 2.10 |
SLC25A37 | 0.0001148 | 3955 | GTEx | DepMap | Descartes | 0.73 | 2.93 |
RHD | -0.0000396 | 5091 | GTEx | DepMap | Descartes | 0.00 | 0.01 |
CPOX | -0.0001058 | 6589 | GTEx | DepMap | Descartes | 0.79 | 2.71 |
SPTA1 | -0.0001455 | 7496 | GTEx | DepMap | Descartes | 0.00 | 0.00 |
EPB42 | -0.0001497 | 7581 | GTEx | DepMap | Descartes | 0.00 | 0.00 |
HEMGN | -0.0001759 | 8086 | GTEx | DepMap | Descartes | 0.00 | 0.00 |
SLC4A1 | -0.0001922 | 8374 | GTEx | DepMap | Descartes | 0.00 | 0.00 |
RGS6 | -0.0002206 | 8845 | GTEx | DepMap | Descartes | 0.00 | 0.00 |
GYPA | -0.0002325 | 9040 | GTEx | DepMap | Descartes | 0.00 | 0.00 |
SLC25A21 | -0.0002606 | 9472 | GTEx | DepMap | Descartes | 0.00 | 0.00 |
MARCH3 | -0.0003518 | 10688 | GTEx | DepMap | Descartes | 0.00 | 0.00 |
SPECC1 | -0.0004264 | 11481 | GTEx | DepMap | Descartes | 0.11 | 0.07 |
ANK1 | -0.0004642 | 11825 | GTEx | DepMap | Descartes | 0.01 | 0.01 |
TFR2 | -0.0007041 | 13806 | GTEx | DepMap | Descartes | 0.01 | 0.14 |
SPTB | -0.0007072 | 13833 | GTEx | DepMap | Descartes | 0.42 | 0.53 |
FECH | -0.0007352 | 14049 | GTEx | DepMap | Descartes | 0.20 | 0.83 |
TMEM56 | -0.0008580 | 14823 | GTEx | DepMap | Descartes | 0.07 | 0.15 |
DENND4A | -0.0010490 | 15911 | GTEx | DepMap | Descartes | 0.21 | 0.33 |
SELENBP1 | -0.0011664 | 16469 | GTEx | DepMap | Descartes | 0.04 | 0.55 |
BLVRB | -0.0013839 | 17403 | GTEx | DepMap | Descartes | 0.22 | 1.99 |
ALAS2 | -0.0014801 | 17758 | GTEx | DepMap | Descartes | 0.01 | 0.05 |
TRAK2 | -0.0014804 | 17760 | GTEx | DepMap | Descartes | 0.38 | 0.87 |
ABCB10 | -0.0014839 | 17774 | GTEx | DepMap | Descartes | 0.11 | 0.63 |
Descartes myeloid markers
Top 50 marker genes of myeloid cells in the Decartes fetal adrenal single cell map (https://atlas.brotmanbaty.org/bbi/human-gene-expression-during-development/cell/myeloid/in/adrenal)
Wilcoxon ranksum test P-value for gene set overrepresentation: 1.00e+00
Mean rank of genes in gene set: 14888.2
Median rank of genes in gene set: 16414
Rank on gene expression program of top 30 genes in gene set:
Genes | Weight | Rank | GTEx | DepMap | Descartes | Mean.Counts | Mean.TPM |
---|---|---|---|---|---|---|---|
SFMBT2 | 0.0006162 | 2661 | GTEx | DepMap | Descartes | 0.19 | 0.15 |
CD163L1 | -0.0001382 | 7343 | GTEx | DepMap | Descartes | 0.00 | 0.00 |
CD163 | -0.0001433 | 7451 | GTEx | DepMap | Descartes | 0.00 | 0.02 |
VSIG4 | -0.0001526 | 7643 | GTEx | DepMap | Descartes | 0.00 | 0.00 |
HRH1 | -0.0002642 | 9526 | GTEx | DepMap | Descartes | 0.00 | 0.01 |
CPVL | -0.0002698 | 9599 | GTEx | DepMap | Descartes | 0.00 | 0.00 |
RNASE1 | -0.0003182 | 10263 | GTEx | DepMap | Descartes | 0.00 | 0.20 |
RBPJ | -0.0004006 | 11216 | GTEx | DepMap | Descartes | 1.72 | 1.48 |
ATP8B4 | -0.0004883 | 12055 | GTEx | DepMap | Descartes | 0.00 | 0.00 |
FGL2 | -0.0005013 | 12157 | GTEx | DepMap | Descartes | 0.00 | 0.03 |
MS4A4A | -0.0005395 | 12524 | GTEx | DepMap | Descartes | 0.00 | 0.00 |
SPP1 | -0.0005437 | 12565 | GTEx | DepMap | Descartes | 0.16 | 3.05 |
SLCO2B1 | -0.0005927 | 12965 | GTEx | DepMap | Descartes | 0.00 | 0.00 |
ADAP2 | -0.0006698 | 13574 | GTEx | DepMap | Descartes | 0.00 | 0.01 |
CD14 | -0.0006742 | 13606 | GTEx | DepMap | Descartes | 0.02 | 2.33 |
FGD2 | -0.0007460 | 14124 | GTEx | DepMap | Descartes | 0.00 | 0.01 |
HCK | -0.0007783 | 14336 | GTEx | DepMap | Descartes | 0.01 | 0.02 |
MARCH1 | -0.0008181 | 14584 | GTEx | DepMap | Descartes | 0.00 | 0.00 |
MERTK | -0.0008663 | 14869 | GTEx | DepMap | Descartes | 0.00 | 0.00 |
MSR1 | -0.0009680 | 15490 | GTEx | DepMap | Descartes | 0.01 | 0.02 |
RGL1 | -0.0009825 | 15561 | GTEx | DepMap | Descartes | 0.08 | 0.05 |
SLC9A9 | -0.0009996 | 15657 | GTEx | DepMap | Descartes | 0.02 | 0.01 |
CD74 | -0.0011542 | 16414 | GTEx | DepMap | Descartes | 0.06 | 1.20 |
CYBB | -0.0011606 | 16438 | GTEx | DepMap | Descartes | 0.01 | 0.04 |
AXL | -0.0011841 | 16562 | GTEx | DepMap | Descartes | 0.00 | 0.02 |
ITPR2 | -0.0012072 | 16670 | GTEx | DepMap | Descartes | 0.04 | 0.02 |
CSF1R | -0.0012336 | 16781 | GTEx | DepMap | Descartes | 0.01 | 0.03 |
MS4A7 | -0.0012833 | 17007 | GTEx | DepMap | Descartes | 0.03 | 0.28 |
PTPRE | -0.0012887 | 17041 | GTEx | DepMap | Descartes | 0.01 | 0.01 |
C1QC | -0.0013790 | 17390 | GTEx | DepMap | Descartes | 0.11 | 4.47 |
Descartes Schwann markers
Top 50 marker genes of Schwann cells in the Decartes fetal adrenal single cell map (https://atlas.brotmanbaty.org/bbi/human-gene-expression-during-development/cell/schwann/in/adrenal)
Wilcoxon ranksum test P-value for gene set overrepresentation: 1.00e+00
Mean rank of genes in gene set: 13470.32
Median rank of genes in gene set: 14455
Rank on gene expression program of top 30 genes in gene set:
Genes | Weight | Rank | GTEx | DepMap | Descartes | Mean.Counts | Mean.TPM |
---|---|---|---|---|---|---|---|
FIGN | 0.0031358 | 823 | GTEx | DepMap | Descartes | 1.03 | 1.27 |
LAMB1 | 0.0020115 | 1307 | GTEx | DepMap | Descartes | 1.27 | 3.40 |
SFRP1 | 0.0020060 | 1311 | GTEx | DepMap | Descartes | 0.49 | 2.05 |
MARCKS | 0.0008097 | 2326 | GTEx | DepMap | Descartes | 15.79 | 465.64 |
ERBB4 | 0.0007229 | 2475 | GTEx | DepMap | Descartes | 0.06 | 0.01 |
MDGA2 | 0.0001160 | 3952 | GTEx | DepMap | Descartes | 0.24 | 0.05 |
MPZ | -0.0001091 | 6683 | GTEx | DepMap | Descartes | 0.00 | 0.01 |
PLCE1 | -0.0001701 | 7977 | GTEx | DepMap | Descartes | 0.16 | 0.09 |
TRPM3 | -0.0001845 | 8245 | GTEx | DepMap | Descartes | 0.00 | 0.00 |
IL1RAPL1 | -0.0002008 | 8524 | GTEx | DepMap | Descartes | 0.00 | 0.00 |
IL1RAPL2 | -0.0002056 | 8603 | GTEx | DepMap | Descartes | 0.00 | 0.00 |
HMGA2 | -0.0002713 | 9627 | GTEx | DepMap | Descartes | 0.00 | 0.00 |
EGFLAM | -0.0003189 | 10269 | GTEx | DepMap | Descartes | 0.00 | 0.00 |
CDH19 | -0.0004183 | 11392 | GTEx | DepMap | Descartes | 0.00 | 0.00 |
SOX10 | -0.0004210 | 11433 | GTEx | DepMap | Descartes | 0.00 | 0.00 |
SCN7A | -0.0004313 | 11523 | GTEx | DepMap | Descartes | 0.00 | 0.00 |
SOX5 | -0.0004833 | 12005 | GTEx | DepMap | Descartes | 0.07 | 0.01 |
GRIK3 | -0.0004866 | 12033 | GTEx | DepMap | Descartes | 0.01 | 0.01 |
OLFML2A | -0.0005045 | 12190 | GTEx | DepMap | Descartes | 0.00 | 0.00 |
PLP1 | -0.0005976 | 13001 | GTEx | DepMap | Descartes | 0.08 | 0.81 |
ADAMTS5 | -0.0006886 | 13699 | GTEx | DepMap | Descartes | 0.01 | 0.04 |
EDNRB | -0.0006930 | 13730 | GTEx | DepMap | Descartes | 0.01 | 0.03 |
COL5A2 | -0.0007158 | 13897 | GTEx | DepMap | Descartes | 0.00 | 0.00 |
LAMA4 | -0.0007973 | 14455 | GTEx | DepMap | Descartes | 0.01 | 0.01 |
SLC35F1 | -0.0008496 | 14781 | GTEx | DepMap | Descartes | 0.01 | 0.00 |
ERBB3 | -0.0009666 | 15477 | GTEx | DepMap | Descartes | 0.01 | 0.01 |
PTPRZ1 | -0.0010195 | 15770 | GTEx | DepMap | Descartes | 0.01 | 0.00 |
LAMC1 | -0.0010632 | 15978 | GTEx | DepMap | Descartes | 0.33 | 0.49 |
COL25A1 | -0.0010655 | 15988 | GTEx | DepMap | Descartes | 0.03 | 0.01 |
NRXN3 | -0.0012201 | 16722 | GTEx | DepMap | Descartes | 0.01 | 0.00 |
Descartes Megakaryocytes markers
Top 50 marker genes of Megakaryocytes cells in the Decartes fetal adrenal single cell map (https://atlas.brotmanbaty.org/bbi/human-gene-expression-during-development/cell/megakaryocytes/in/adrenal)
Wilcoxon ranksum test P-value for gene set overrepresentation: 1.00e+00
Mean rank of genes in gene set: 14226.06
Median rank of genes in gene set: 15618
Rank on gene expression program of top 30 genes in gene set:
Genes | Weight | Rank | GTEx | DepMap | Descartes | Mean.Counts | Mean.TPM |
---|---|---|---|---|---|---|---|
SLC24A3 | 0.0009477 | 2134 | GTEx | DepMap | Descartes | 0.03 | 0.01 |
PSTPIP2 | 0.0005322 | 2815 | GTEx | DepMap | Descartes | 0.09 | 0.17 |
PRKAR2B | 0.0000910 | 4049 | GTEx | DepMap | Descartes | 2.27 | 3.57 |
UBASH3B | -0.0000435 | 5168 | GTEx | DepMap | Descartes | 0.12 | 0.12 |
TUBB1 | -0.0000601 | 5502 | GTEx | DepMap | Descartes | 0.00 | 0.00 |
GP9 | -0.0000618 | 5540 | GTEx | DepMap | Descartes | 0.00 | 0.00 |
PPBP | -0.0000831 | 6080 | GTEx | DepMap | Descartes | 0.00 | 0.00 |
GP1BA | -0.0001010 | 6485 | GTEx | DepMap | Descartes | 0.00 | 0.00 |
MMRN1 | -0.0001357 | 7294 | GTEx | DepMap | Descartes | 0.00 | 0.00 |
TRPC6 | -0.0002321 | 9036 | GTEx | DepMap | Descartes | 0.00 | 0.00 |
MCTP1 | -0.0002732 | 9660 | GTEx | DepMap | Descartes | 0.01 | 0.00 |
VCL | -0.0003258 | 10359 | GTEx | DepMap | Descartes | 0.39 | 0.65 |
ITGB3 | -0.0003744 | 10940 | GTEx | DepMap | Descartes | 0.00 | 0.00 |
STON2 | -0.0003999 | 11209 | GTEx | DepMap | Descartes | 0.11 | 0.12 |
SPN | -0.0004387 | 11591 | GTEx | DepMap | Descartes | 0.00 | 0.00 |
PF4 | -0.0005021 | 12168 | GTEx | DepMap | Descartes | 0.01 | 1.70 |
ITGA2B | -0.0005722 | 12775 | GTEx | DepMap | Descartes | 0.00 | 0.02 |
ARHGAP6 | -0.0007631 | 14230 | GTEx | DepMap | Descartes | 0.00 | 0.00 |
BIN2 | -0.0008049 | 14514 | GTEx | DepMap | Descartes | 0.00 | 0.01 |
GSN | -0.0008332 | 14672 | GTEx | DepMap | Descartes | 0.03 | 0.09 |
P2RX1 | -0.0008400 | 14725 | GTEx | DepMap | Descartes | 0.00 | 0.00 |
FLI1 | -0.0009189 | 15169 | GTEx | DepMap | Descartes | 0.00 | 0.00 |
INPP4B | -0.0009863 | 15588 | GTEx | DepMap | Descartes | 0.03 | 0.01 |
THBS1 | -0.0009892 | 15600 | GTEx | DepMap | Descartes | 0.01 | 0.04 |
ANGPT1 | -0.0009933 | 15618 | GTEx | DepMap | Descartes | 0.02 | 0.01 |
LTBP1 | -0.0010369 | 15854 | GTEx | DepMap | Descartes | 0.12 | 0.05 |
PLEK | -0.0010568 | 15949 | GTEx | DepMap | Descartes | 0.02 | 0.04 |
LIMS1 | -0.0011113 | 16225 | GTEx | DepMap | Descartes | 1.46 | 2.32 |
FERMT3 | -0.0012159 | 16702 | GTEx | DepMap | Descartes | 0.01 | 0.08 |
CD84 | -0.0012254 | 16744 | GTEx | DepMap | Descartes | 0.01 | 0.03 |
Descartes Lyphoid markers
Top 50 marker genes of Lyphoid cells in the Decartes fetal adrenal single cell map (https://atlas.brotmanbaty.org/bbi/human-gene-expression-during-development/cell/lymphoid/in/adrenal)
Wilcoxon ranksum test P-value for gene set overrepresentation: 1.00e+00
Mean rank of genes in gene set: 15181.25
Median rank of genes in gene set: 16205
Rank on gene expression program of top 30 genes in gene set:
Genes | Weight | Rank | GTEx | DepMap | Descartes | Mean.Counts | Mean.TPM |
---|---|---|---|---|---|---|---|
STK39 | 0.0018313 | 1398 | GTEx | DepMap | Descartes | 1.56 | 0.98 |
PITPNC1 | 0.0001537 | 3809 | GTEx | DepMap | Descartes | 1.16 | 0.76 |
RAP1GAP2 | -0.0001133 | 6779 | GTEx | DepMap | Descartes | 0.24 | 0.18 |
SAMD3 | -0.0001634 | 7855 | GTEx | DepMap | Descartes | 0.00 | 0.00 |
CCL5 | -0.0002502 | 9306 | GTEx | DepMap | Descartes | 0.00 | 0.14 |
GNG2 | -0.0002895 | 9891 | GTEx | DepMap | Descartes | 3.32 | 5.10 |
NKG7 | -0.0003340 | 10462 | GTEx | DepMap | Descartes | 0.00 | 0.00 |
FAM65B | -0.0003534 | 10708 | GTEx | DepMap | Descartes | 0.36 | NA |
ARHGAP15 | -0.0003546 | 10720 | GTEx | DepMap | Descartes | 0.13 | 0.03 |
SKAP1 | -0.0004779 | 11953 | GTEx | DepMap | Descartes | 0.00 | 0.00 |
MCTP2 | -0.0006138 | 13119 | GTEx | DepMap | Descartes | 0.00 | 0.00 |
WIPF1 | -0.0006540 | 13463 | GTEx | DepMap | Descartes | 0.12 | 0.20 |
RCSD1 | -0.0007035 | 13800 | GTEx | DepMap | Descartes | 0.00 | 0.01 |
PLEKHA2 | -0.0007194 | 13933 | GTEx | DepMap | Descartes | 0.01 | 0.02 |
IKZF1 | -0.0007212 | 13950 | GTEx | DepMap | Descartes | 0.00 | 0.00 |
CELF2 | -0.0009494 | 15359 | GTEx | DepMap | Descartes | 1.25 | 0.22 |
PDE3B | -0.0009659 | 15470 | GTEx | DepMap | Descartes | 0.66 | 0.90 |
SP100 | -0.0009783 | 15537 | GTEx | DepMap | Descartes | 0.00 | 0.00 |
PRKCH | -0.0009804 | 15544 | GTEx | DepMap | Descartes | 0.00 | 0.00 |
ITPKB | -0.0010056 | 15687 | GTEx | DepMap | Descartes | 0.01 | 0.02 |
SCML4 | -0.0010318 | 15830 | GTEx | DepMap | Descartes | 0.00 | 0.01 |
BCL2 | -0.0011023 | 16181 | GTEx | DepMap | Descartes | 0.19 | 0.18 |
SORL1 | -0.0011125 | 16229 | GTEx | DepMap | Descartes | 0.13 | 0.13 |
CCND3 | -0.0012431 | 16829 | GTEx | DepMap | Descartes | 0.19 | 0.34 |
LEF1 | -0.0013141 | 17149 | GTEx | DepMap | Descartes | 1.37 | 1.98 |
ARHGDIB | -0.0013556 | 17309 | GTEx | DepMap | Descartes | 0.02 | 0.13 |
PTPRC | -0.0013600 | 17329 | GTEx | DepMap | Descartes | 0.01 | 0.01 |
BACH2 | -0.0014053 | 17483 | GTEx | DepMap | Descartes | 0.16 | 0.07 |
LCP1 | -0.0014267 | 17568 | GTEx | DepMap | Descartes | 0.03 | 0.04 |
EVL | -0.0015136 | 17885 | GTEx | DepMap | Descartes | 3.17 | 3.86 |
Below shows the ranks on this GEP for immune marker gene lists curated by CellTypist (https://www.celltypist.org/encyclopedia).
High ranks indicate this gene is a driver of this GEP.
These curated gene list are ranked by P-value (on this GEP) of their constituent genes.
The Mean Count column shows the mean read count in cells scoring highly (H > 50) on this gene expression program.
Genes | Weight | Rank | GTEx | DepMap | Decartes | Mean.Counts | Mean.TPM |
---|---|---|---|---|---|---|---|
YBX3 | 0.0112454 | 33 | GTEx | DepMap | Descartes | 22.20 | 149.83 |
RPL41 | 0.0086630 | 116 | GTEx | DepMap | Descartes | 191.63 | 25569.87 |
RPS17 | 0.0082591 | 132 | GTEx | DepMap | Descartes | 54.63 | 3417.94 |
CD74 | -0.0011542 | 16414 | GTEx | DepMap | Descartes | 0.06 | 1.20 |
ILC: ILC3 (curated markers)
innate lymphoid cell subpopulation III that is required for host defense against specific extracellular bacteria and fungi:
Wilcoxon ranksum test P-value for gene set overrepresentation: 3.80e-02
Mean rank of genes in gene set: 4278.33
Rank on gene expression program of genes in gene set:
Genes | Weight | Rank | GTEx | DepMap | Decartes | Mean.Counts | Mean.TPM |
---|---|---|---|---|---|---|---|
KIT | 0.0039649 | 587 | GTEx | DepMap | Descartes | 1.52 | 3.24 |
RORC | 0.0013404 | 1730 | GTEx | DepMap | Descartes | 0.19 | 1.19 |
IL4I1 | -0.0003390 | 10518 | GTEx | DepMap | Descartes | 0.00 | 0.03 |
HSC/MPP: Megakaryocyte-erythroid-mast cell progenitor (model markers)
shared progenitors in the fetal liver which originate from common myeloid progenitors and differentiate into megakaryocytes:
Wilcoxon ranksum test P-value for gene set overrepresentation: 4.04e-02
Mean rank of genes in gene set: 3006.5
Rank on gene expression program of genes in gene set:
Genes | Weight | Rank | GTEx | DepMap | Decartes | Mean.Counts | Mean.TPM |
---|---|---|---|---|---|---|---|
CKB | 0.0048427 | 422 | GTEx | DepMap | Descartes | 5.39 | 285.85 |
FCER1A | -0.0000641 | 5591 | GTEx | DepMap | Descartes | 0.00 | 0.00 |