Program description and justification of annotation: 12.
Submit a comment on this gene expression program’s interpretation: CLICK
QQ-plot of gene loadings, averaged over both independent splits of the data
This plot highlights the relative contribution of each gene to the GEP
Top genes driving this program.
Note: Decartes website is buggy, try refreshing. Also, Decartes fetal adrenal data have been collected at specific time points (89-122 days), all possible cell types of interest may not be represented, do not overinterpret.
The Mean Count column shows the mean read count in cells scoring highly (H > 50) on this gene expression program.
Gene | Loading | Gene.Name | GTEx | DepMap | Descartes | Mean.Counts | Mean.Tpm | |
---|---|---|---|---|---|---|---|---|
1 | CHGA | 0.0197936 | chromogranin A | GTEx | DepMap | Descartes | 3.32 | 6803.85 |
2 | ERBB4 | 0.0192517 | erb-b2 receptor tyrosine kinase 4 | GTEx | DepMap | Descartes | 4.42 | 1593.77 |
3 | DLK1 | 0.0169486 | delta like non-canonical Notch ligand 1 | GTEx | DepMap | Descartes | 1.54 | 1490.73 |
4 | PDIA6 | 0.0169478 | protein disulfide isomerase family A member 6 | GTEx | DepMap | Descartes | 1.76 | 2883.91 |
5 | STRA6 | 0.0169388 | signaling receptor and transporter of retinol STRA6 | GTEx | DepMap | Descartes | 0.80 | 1103.42 |
6 | OPRM1 | 0.0166524 | opioid receptor mu 1 | GTEx | DepMap | Descartes | 0.81 | 228.32 |
7 | FAM155A | 0.0150706 | NA | GTEx | DepMap | Descartes | 5.30 | 2348.91 |
8 | RET | 0.0145396 | ret proto-oncogene | GTEx | DepMap | Descartes | 0.58 | 405.80 |
9 | NOL10 | 0.0137002 | nucleolar protein 10 | GTEx | DepMap | Descartes | 1.07 | 1284.86 |
10 | PDE10A | 0.0133388 | phosphodiesterase 10A | GTEx | DepMap | Descartes | 1.14 | 511.79 |
11 | ST18 | 0.0130227 | ST18 C2H2C-type zinc finger transcription factor | GTEx | DepMap | Descartes | 0.51 | 354.01 |
12 | TRIB2 | 0.0123688 | tribbles pseudokinase 2 | GTEx | DepMap | Descartes | 1.61 | 1502.09 |
13 | ADARB2 | 0.0122200 | adenosine deaminase RNA specific B2 (inactive) | GTEx | DepMap | Descartes | 0.67 | 285.33 |
14 | MEG3 | 0.0118689 | maternally expressed 3 | GTEx | DepMap | Descartes | 6.91 | 1982.35 |
15 | NR2F1 | 0.0116732 | nuclear receptor subfamily 2 group F member 1 | GTEx | DepMap | Descartes | 0.50 | 533.72 |
16 | RRM2 | 0.0116163 | ribonucleotide reductase regulatory subunit M2 | GTEx | DepMap | Descartes | 0.60 | 718.97 |
17 | CACNA1D | 0.0111783 | calcium voltage-gated channel subunit alpha1 D | GTEx | DepMap | Descartes | 0.54 | 232.76 |
18 | ROCK2 | 0.0110683 | Rho associated coiled-coil containing protein kinase 2 | GTEx | DepMap | Descartes | 0.96 | 461.45 |
19 | KCNT1 | 0.0109752 | potassium sodium-activated channel subfamily T member 1 | GTEx | DepMap | Descartes | 0.27 | 137.38 |
20 | ODC1 | 0.0108540 | ornithine decarboxylase 1 | GTEx | DepMap | Descartes | 0.88 | 1565.47 |
21 | FKBP10 | 0.0105957 | FKBP prolyl isomerase 10 | GTEx | DepMap | Descartes | 0.45 | 608.22 |
22 | FAM13A | 0.0105571 | family with sequence similarity 13 member A | GTEx | DepMap | Descartes | 0.51 | 362.50 |
23 | TLE2 | 0.0099061 | TLE family member 2, transcriptional corepressor | GTEx | DepMap | Descartes | 0.40 | 564.19 |
24 | PLD5 | 0.0094533 | phospholipase D family member 5 | GTEx | DepMap | Descartes | 0.71 | 308.22 |
25 | HPCAL1 | 0.0092682 | hippocalcin like 1 | GTEx | DepMap | Descartes | 0.66 | 514.35 |
26 | CACNA2D2 | 0.0090320 | calcium voltage-gated channel auxiliary subunit alpha2delta 2 | GTEx | DepMap | Descartes | 0.28 | 198.57 |
27 | CEP112 | 0.0089826 | centrosomal protein 112 | GTEx | DepMap | Descartes | 0.63 | 736.44 |
28 | ZMAT4 | 0.0089087 | zinc finger matrin-type 4 | GTEx | DepMap | Descartes | 0.44 | 718.97 |
29 | TAF1B | 0.0088106 | TATA-box binding protein associated factor, RNA polymerase I subunit B | GTEx | DepMap | Descartes | 0.52 | 944.29 |
30 | AFF3 | 0.0086867 | AF4/FMR2 family member 3 | GTEx | DepMap | Descartes | 0.85 | 345.35 |
31 | LHX9 | 0.0086657 | LIM homeobox 9 | GTEx | DepMap | Descartes | 0.18 | 97.70 |
32 | ATP8A2 | 0.0083242 | ATPase phospholipid transporting 8A2 | GTEx | DepMap | Descartes | 0.32 | 134.48 |
33 | NKAIN3 | 0.0083236 | sodium/potassium transporting ATPase interacting 3 | GTEx | DepMap | Descartes | 0.20 | 414.63 |
34 | CYB561 | 0.0083061 | cytochrome b561 | GTEx | DepMap | Descartes | 0.45 | 571.16 |
35 | E2F6 | 0.0082654 | E2F transcription factor 6 | GTEx | DepMap | Descartes | 0.35 | 430.02 |
36 | FGF14 | 0.0082252 | fibroblast growth factor 14 | GTEx | DepMap | Descartes | 2.68 | 861.47 |
37 | SLC35F3 | 0.0079604 | solute carrier family 35 member F3 | GTEx | DepMap | Descartes | 0.34 | 397.51 |
38 | RAP1GAP2 | 0.0079040 | RAP1 GTPase activating protein 2 | GTEx | DepMap | Descartes | 0.92 | 506.60 |
39 | GRHL1 | 0.0078089 | grainyhead like transcription factor 1 | GTEx | DepMap | Descartes | 0.27 | 203.32 |
40 | COL4A5 | 0.0077919 | collagen type IV alpha 5 chain | GTEx | DepMap | Descartes | 0.15 | 93.67 |
41 | PCSK2 | 0.0075864 | proprotein convertase subtilisin/kexin type 2 | GTEx | DepMap | Descartes | 0.41 | 351.78 |
42 | DSCAML1 | 0.0075858 | DS cell adhesion molecule like 1 | GTEx | DepMap | Descartes | 0.22 | 120.23 |
43 | CPLX2 | 0.0074677 | complexin 2 | GTEx | DepMap | Descartes | 0.38 | 309.83 |
44 | SEZ6 | 0.0073808 | seizure related 6 homolog | GTEx | DepMap | Descartes | 0.21 | 201.73 |
45 | SLC18A1 | 0.0073638 | solute carrier family 18 member A1 | GTEx | DepMap | Descartes | 0.29 | 394.49 |
46 | CHGB | 0.0073304 | chromogranin B | GTEx | DepMap | Descartes | 1.18 | 2045.75 |
47 | IGF2 | 0.0073169 | insulin like growth factor 2 | GTEx | DepMap | Descartes | 0.14 | 104.39 |
48 | LPIN1 | 0.0072349 | lipin 1 | GTEx | DepMap | Descartes | 1.74 | 1195.37 |
49 | NGFR | 0.0070383 | nerve growth factor receptor | GTEx | DepMap | Descartes | 0.17 | 216.73 |
50 | KCNK9 | 0.0070254 | potassium two pore domain channel subfamily K member 9 | GTEx | DepMap | Descartes | 0.14 | 105.85 |
UMAP plots showing activity of gene expression program identified in community:12. Neuroblastoma: Adrenergic #2
CNV Data procured from inferCNV.
Outer tracks are putative CNV regions (gains = red, losses = blue) for each patient
Inner track is expression data representing:
The top cells expressing this GEP (purple)
Random cells (n =50) from the reference set used in inferCNV (orange)
Gene set Enrichments for this program, caculated from top 50 genes
mSigDB Cell Types Gene Set:
P-value | OR | Lower 95% CI | FDR | FWER | Genes Found | Gene Set Size | |
---|---|---|---|---|---|---|---|
DESCARTES_FETAL_ADRENAL_SYMPATHOBLASTS | 3.45e-07 | 18.49 | 6.86 | 2.31e-04 | 2.31e-04 | 7CHGA, OPRM1, RET, ST18, SLC35F3, PCSK2, KCNK9 |
117 |
BUSSLINGER_DUODENAL_EC_CELLS | 2.46e-04 | 28.45 | 5.35 | 2.07e-02 | 1.65e-01 | 3CHGA, PCSK2, CHGB |
31 |
DESCARTES_MAIN_FETAL_SYMPATHOBLASTS | 7.41e-05 | 20.48 | 5.17 | 1.24e-02 | 4.97e-02 | 4CHGA, CYB561, SLC18A1, CHGB |
57 |
MENON_FETAL_KIDNEY_2_NEPHRON_PROGENITOR_CELLS | 6.96e-04 | 19.44 | 3.72 | 4.24e-02 | 4.67e-01 | 3ERBB4, TRIB2, ODC1 |
44 |
ZHONG_PFC_MAJOR_TYPES_INTERNEURON | 2.28e-03 | 32.49 | 3.53 | 8.50e-02 | 1.00e+00 | 2ERBB4, MEG3 |
18 |
BUSSLINGER_GASTRIC_OXYNTIC_ENTEROCHROMAFFIN_LIKE_CELLS | 3.47e-04 | 13.41 | 3.43 | 2.41e-02 | 2.33e-01 | 4CHGA, FGF14, CPLX2, CHGB |
85 |
DESCARTES_FETAL_STOMACH_NEUROENDOCRINE_CELLS | 1.01e-03 | 16.95 | 3.26 | 4.85e-02 | 6.78e-01 | 3CHGA, ST18, SLC18A1 |
50 |
DESCARTES_FETAL_STOMACH_PDE1C_ACSM3_POSITIVE_CELLS | 3.40e-03 | 26.01 | 2.87 | 1.20e-01 | 1.00e+00 | 2ERBB4, ADARB2 |
22 |
MANNO_MIDBRAIN_NEUROTYPES_HDA2 | 1.99e-05 | 6.22 | 2.76 | 6.69e-03 | 1.34e-02 | 10ERBB4, DLK1, FAM155A, RET, ADARB2, MEG3, ATP8A2, RAP1GAP2, PCSK2, SLC18A1 |
513 |
DESCARTES_FETAL_INTESTINE_CHROMAFFIN_CELLS | 9.77e-04 | 10.06 | 2.58 | 4.85e-02 | 6.56e-01 | 4CHGA, ST18, RAP1GAP2, SLC18A1 |
112 |
GAO_LARGE_INTESTINE_ADULT_CA_ENTEROENDOCRINE_CELLS | 1.89e-04 | 6.67 | 2.51 | 2.07e-02 | 1.27e-01 | 7ST18, CACNA1D, AFF3, CPLX2, SEZ6, SLC18A1, CHGB |
312 |
MANNO_MIDBRAIN_NEUROTYPES_HDA1 | 5.75e-05 | 5.45 | 2.42 | 1.24e-02 | 3.86e-02 | 10CHGA, ERBB4, DLK1, FAM155A, ADARB2, MEG3, ATP8A2, PCSK2, SLC18A1, LPIN1 |
584 |
MANNO_MIDBRAIN_NEUROTYPES_HDA | 1.11e-04 | 5.52 | 2.35 | 1.50e-02 | 7.48e-02 | 9CHGA, ERBB4, DLK1, FAM155A, ADARB2, MEG3, TLE2, RAP1GAP2, SLC18A1 |
506 |
TRAVAGLINI_LUNG_NEUROENDOCRINE_CELL | 1.59e-03 | 8.76 | 2.26 | 6.29e-02 | 1.00e+00 | 4MEG3, PCSK2, CPLX2, CHGB |
128 |
BUSSLINGER_GASTRIC_D_CELLS | 5.48e-03 | 20.00 | 2.24 | 1.60e-01 | 1.00e+00 | 2PCSK2, CHGB |
28 |
MANNO_MIDBRAIN_NEUROTYPES_HNBML5 | 3.58e-04 | 5.21 | 2.10 | 2.41e-02 | 2.41e-01 | 8CHGA, FAM155A, ST18, ADARB2, MEG3, FGF14, RAP1GAP2, LPIN1 |
465 |
DESCARTES_FETAL_LUNG_VISCERAL_NEURONS | 1.39e-03 | 6.71 | 2.06 | 6.23e-02 | 9.35e-01 | 5PLD5, NKAIN3, SEZ6, NGFR, KCNK9 |
212 |
MANNO_MIDBRAIN_NEUROTYPES_HNBM | 9.48e-04 | 5.90 | 2.04 | 4.85e-02 | 6.36e-01 | 6ST18, ZMAT4, RAP1GAP2, PCSK2, DSCAML1, SEZ6 |
295 |
MANNO_MIDBRAIN_NEUROTYPES_HNBGABA | 2.46e-04 | 4.51 | 2.00 | 2.07e-02 | 1.65e-01 | 10CHGA, OPRM1, FAM155A, MEG3, ATP8A2, FGF14, RAP1GAP2, PCSK2, SEZ6, LPIN1 |
703 |
MENON_FETAL_KIDNEY_3_STROMAL_CELLS | 4.01e-03 | 10.22 | 1.99 | 1.35e-01 | 1.00e+00 | 3MEG3, NR2F1, IGF2 |
81 |
Dowload full table
mSigDB Hallmark Gene Sets:
P-value | OR | Lower 95% CI | FDR | FWER | Genes Found | Gene Set Size | |
---|---|---|---|---|---|---|---|
HALLMARK_PANCREAS_BETA_CELLS | 1.10e-02 | 13.70 | 1.56 | 5.48e-01 | 5.48e-01 | 2CHGA, PCSK2 |
40 |
HALLMARK_ESTROGEN_RESPONSE_LATE | 1.85e-01 | 2.63 | 0.31 | 1.00e+00 | 1.00e+00 | 2RET, CACNA2D2 |
200 |
HALLMARK_KRAS_SIGNALING_UP | 1.85e-01 | 2.63 | 0.31 | 1.00e+00 | 1.00e+00 | 2TRIB2, IGF2 |
200 |
HALLMARK_UNFOLDED_PROTEIN_RESPONSE | 3.62e-01 | 2.28 | 0.06 | 1.00e+00 | 1.00e+00 | 1PDIA6 |
113 |
HALLMARK_SPERMATOGENESIS | 4.15e-01 | 1.90 | 0.05 | 1.00e+00 | 1.00e+00 | 1LPIN1 |
135 |
HALLMARK_FATTY_ACID_METABOLISM | 4.66e-01 | 1.62 | 0.04 | 1.00e+00 | 1.00e+00 | 1ODC1 |
158 |
HALLMARK_UV_RESPONSE_UP | 4.66e-01 | 1.62 | 0.04 | 1.00e+00 | 1.00e+00 | 1RET |
158 |
HALLMARK_IL2_STAT5_SIGNALING | 5.45e-01 | 1.29 | 0.03 | 1.00e+00 | 1.00e+00 | 1ODC1 |
199 |
HALLMARK_G2M_CHECKPOINT | 5.47e-01 | 1.28 | 0.03 | 1.00e+00 | 1.00e+00 | 1ODC1 |
200 |
HALLMARK_ESTROGEN_RESPONSE_EARLY | 5.47e-01 | 1.28 | 0.03 | 1.00e+00 | 1.00e+00 | 1RET |
200 |
HALLMARK_MYOGENESIS | 5.47e-01 | 1.28 | 0.03 | 1.00e+00 | 1.00e+00 | 1LPIN1 |
200 |
HALLMARK_MTORC1_SIGNALING | 5.47e-01 | 1.28 | 0.03 | 1.00e+00 | 1.00e+00 | 1RRM2 |
200 |
HALLMARK_E2F_TARGETS | 5.47e-01 | 1.28 | 0.03 | 1.00e+00 | 1.00e+00 | 1RRM2 |
200 |
HALLMARK_MYC_TARGETS_V1 | 5.47e-01 | 1.28 | 0.03 | 1.00e+00 | 1.00e+00 | 1ODC1 |
200 |
HALLMARK_GLYCOLYSIS | 5.47e-01 | 1.28 | 0.03 | 1.00e+00 | 1.00e+00 | 1LHX9 |
200 |
HALLMARK_TNFA_SIGNALING_VIA_NFKB | 1.00e+00 | 0.00 | 0.00 | 1.00e+00 | 1.00e+00 | 0 |
200 |
HALLMARK_HYPOXIA | 1.00e+00 | 0.00 | 0.00 | 1.00e+00 | 1.00e+00 | 0 |
200 |
HALLMARK_CHOLESTEROL_HOMEOSTASIS | 1.00e+00 | 0.00 | 0.00 | 1.00e+00 | 1.00e+00 | 0 |
74 |
HALLMARK_MITOTIC_SPINDLE | 1.00e+00 | 0.00 | 0.00 | 1.00e+00 | 1.00e+00 | 0 |
199 |
HALLMARK_WNT_BETA_CATENIN_SIGNALING | 1.00e+00 | 0.00 | 0.00 | 1.00e+00 | 1.00e+00 | 0 |
42 |
Dowload full table
KEGG Pathways:
P-value | OR | Lower 95% CI | FDR | FWER | Genes Found | Gene Set Size | |
---|---|---|---|---|---|---|---|
KEGG_GLUTATHIONE_METABOLISM | 1.67e-02 | 10.84 | 1.24 | 1.00e+00 | 1.00e+00 | 2RRM2, ODC1 |
50 |
KEGG_ARRHYTHMOGENIC_RIGHT_VENTRICULAR_CARDIOMYOPATHY_ARVC | 3.47e-02 | 7.23 | 0.84 | 1.00e+00 | 1.00e+00 | 2CACNA1D, CACNA2D2 |
74 |
KEGG_CARDIAC_MUSCLE_CONTRACTION | 3.90e-02 | 6.76 | 0.78 | 1.00e+00 | 1.00e+00 | 2CACNA1D, CACNA2D2 |
79 |
KEGG_HYPERTROPHIC_CARDIOMYOPATHY_HCM | 4.26e-02 | 6.43 | 0.74 | 1.00e+00 | 1.00e+00 | 2CACNA1D, CACNA2D2 |
83 |
KEGG_DILATED_CARDIOMYOPATHY | 4.93e-02 | 5.92 | 0.69 | 1.00e+00 | 1.00e+00 | 2CACNA1D, CACNA2D2 |
90 |
KEGG_MAPK_SIGNALING_PATHWAY | 8.58e-02 | 3.02 | 0.60 | 1.00e+00 | 1.00e+00 | 3CACNA1D, CACNA2D2, FGF14 |
267 |
KEGG_VASCULAR_SMOOTH_MUSCLE_CONTRACTION | 7.56e-02 | 4.61 | 0.54 | 1.00e+00 | 1.00e+00 | 2CACNA1D, ROCK2 |
115 |
KEGG_PURINE_METABOLISM | 1.29e-01 | 3.32 | 0.39 | 1.00e+00 | 1.00e+00 | 2PDE10A, RRM2 |
159 |
KEGG_CALCIUM_SIGNALING_PATHWAY | 1.55e-01 | 2.96 | 0.35 | 1.00e+00 | 1.00e+00 | 2ERBB4, CACNA1D |
178 |
KEGG_ENDOCYTOSIS | 1.59e-01 | 2.91 | 0.34 | 1.00e+00 | 1.00e+00 | 2ERBB4, RET |
181 |
KEGG_REGULATION_OF_ACTIN_CYTOSKELETON | 2.03e-01 | 2.47 | 0.29 | 1.00e+00 | 1.00e+00 | 2ROCK2, FGF14 |
213 |
KEGG_THYROID_CANCER | 1.09e-01 | 9.11 | 0.22 | 1.00e+00 | 1.00e+00 | 1RET |
29 |
KEGG_PATHWAYS_IN_CANCER | 3.61e-01 | 1.61 | 0.19 | 1.00e+00 | 1.00e+00 | 2RET, FGF14 |
325 |
KEGG_TYPE_II_DIABETES_MELLITUS | 1.71e-01 | 5.54 | 0.13 | 1.00e+00 | 1.00e+00 | 1CACNA1D |
47 |
KEGG_ARGININE_AND_PROLINE_METABOLISM | 1.94e-01 | 4.81 | 0.12 | 1.00e+00 | 1.00e+00 | 1ODC1 |
54 |
KEGG_PATHOGENIC_ESCHERICHIA_COLI_INFECTION | 2.00e-01 | 4.64 | 0.11 | 1.00e+00 | 1.00e+00 | 1ROCK2 |
56 |
KEGG_P53_SIGNALING_PATHWAY | 2.37e-01 | 3.81 | 0.09 | 1.00e+00 | 1.00e+00 | 1RRM2 |
68 |
KEGG_MELANOMA | 2.46e-01 | 3.64 | 0.09 | 1.00e+00 | 1.00e+00 | 1FGF14 |
71 |
KEGG_TGF_BETA_SIGNALING_PATHWAY | 2.90e-01 | 3.00 | 0.07 | 1.00e+00 | 1.00e+00 | 1ROCK2 |
86 |
KEGG_ERBB_SIGNALING_PATHWAY | 2.93e-01 | 2.97 | 0.07 | 1.00e+00 | 1.00e+00 | 1ERBB4 |
87 |
Dowload full table
CHR Positional Gene Sets:
P-value | OR | Lower 95% CI | FDR | FWER | Genes Found | Gene Set Size | |
---|---|---|---|---|---|---|---|
chr2p25 | 2.31e-11 | 29.19 | 12.68 | 6.41e-09 | 6.41e-09 | 10PDIA6, NOL10, RRM2, ROCK2, ODC1, HPCAL1, TAF1B, E2F6, GRHL1, LPIN1 |
117 |
chr13q33 | 2.00e-02 | 9.82 | 1.13 | 1.00e+00 | 1.00e+00 | 2FAM155A, FGF14 |
55 |
chr20p12 | 6.35e-02 | 5.11 | 0.59 | 1.00e+00 | 1.00e+00 | 2PCSK2, CHGB |
104 |
chr14q32 | 4.65e-01 | 1.47 | 0.29 | 1.00e+00 | 1.00e+00 | 3CHGA, DLK1, MEG3 |
546 |
chr3p21 | 3.32e-01 | 1.72 | 0.20 | 1.00e+00 | 1.00e+00 | 2CACNA1D, CACNA2D2 |
304 |
chr2q34 | 1.64e-01 | 5.80 | 0.14 | 1.00e+00 | 1.00e+00 | 1ERBB4 |
45 |
chr17q21 | 6.95e-01 | 1.14 | 0.13 | 1.00e+00 | 1.00e+00 | 2FKBP10, NGFR |
457 |
chr1q43 | 2.13e-01 | 4.32 | 0.11 | 1.00e+00 | 1.00e+00 | 1PLD5 |
60 |
chr5q15 | 2.13e-01 | 4.32 | 0.11 | 1.00e+00 | 1.00e+00 | 1NR2F1 |
60 |
chr4q22 | 2.43e-01 | 3.70 | 0.09 | 1.00e+00 | 1.00e+00 | 1FAM13A |
70 |
chr8q11 | 2.43e-01 | 3.70 | 0.09 | 1.00e+00 | 1.00e+00 | 1ST18 |
70 |
chr1q31 | 2.46e-01 | 3.64 | 0.09 | 1.00e+00 | 1.00e+00 | 1LHX9 |
71 |
chr2p24 | 2.55e-01 | 3.49 | 0.09 | 1.00e+00 | 1.00e+00 | 1TRIB2 |
74 |
chr6q27 | 2.58e-01 | 3.45 | 0.08 | 1.00e+00 | 1.00e+00 | 1PDE10A |
75 |
chr10p15 | 2.90e-01 | 3.00 | 0.07 | 1.00e+00 | 1.00e+00 | 1ADARB2 |
86 |
chr8q12 | 2.95e-01 | 2.93 | 0.07 | 1.00e+00 | 1.00e+00 | 1NKAIN3 |
88 |
chr17q24 | 3.12e-01 | 2.74 | 0.07 | 1.00e+00 | 1.00e+00 | 1CEP112 |
94 |
chr8p11 | 3.15e-01 | 2.71 | 0.07 | 1.00e+00 | 1.00e+00 | 1ZMAT4 |
95 |
chr17q23 | 3.59e-01 | 2.30 | 0.06 | 1.00e+00 | 1.00e+00 | 1CYB561 |
112 |
chr15q24 | 3.69e-01 | 2.22 | 0.05 | 1.00e+00 | 1.00e+00 | 1STRA6 |
116 |
Dowload full table
Transcription Factor Targets:
P-value | OR | Lower 95% CI | FDR | FWER | Genes Found | Gene Set Size | |
---|---|---|---|---|---|---|---|
TAXCREB_02 | 5.10e-03 | 20.80 | 2.32 | 6.76e-01 | 1.00e+00 | 2DLK1, NOL10 |
27 |
CAGNYGKNAAA_UNKNOWN | 3.61e-03 | 10.64 | 2.07 | 5.84e-01 | 1.00e+00 | 3TRIB2, CACNA2D2, AFF3 |
78 |
TAATTA_CHX10_01 | 1.83e-04 | 4.34 | 2.00 | 2.07e-01 | 2.07e-01 | 11ERBB4, OPRM1, ADARB2, NR2F1, HPCAL1, AFF3, GRHL1, COL4A5, PCSK2, DSCAML1, SEZ6 |
823 |
NRSF_01 | 6.61e-03 | 8.48 | 1.66 | 7.49e-01 | 1.00e+00 | 3CHGA, PCSK2, SEZ6 |
97 |
OCT1_02 | 9.69e-03 | 5.18 | 1.34 | 8.21e-01 | 1.00e+00 | 4ERBB4, CACNA1D, AFF3, PCSK2 |
214 |
MYOGNF1_01 | 1.55e-02 | 11.31 | 1.29 | 8.21e-01 | 1.00e+00 | 2ROCK2, SEZ6 |
48 |
FOXF2_TARGET_GENES | 1.98e-02 | 63.54 | 1.27 | 8.21e-01 | 1.00e+00 | 1HPCAL1 |
5 |
AACTTT_UNKNOWN | 5.37e-03 | 2.54 | 1.26 | 6.76e-01 | 1.00e+00 | 14ERBB4, DLK1, ST18, NR2F1, CACNA1D, ROCK2, HPCAL1, ZMAT4, AFF3, ATP8A2, NKAIN3, FGF14, COL4A5, DSCAML1 |
1928 |
IGLV5_37_TARGET_GENES | 9.66e-03 | 3.24 | 1.22 | 8.21e-01 | 1.00e+00 | 7TRIB2, CACNA1D, KCNT1, CYB561, E2F6, IGF2, LPIN1 |
636 |
PTF1BETA_Q6 | 1.54e-02 | 4.49 | 1.17 | 8.21e-01 | 1.00e+00 | 4PDE10A, ST18, AFF3, FGF14 |
246 |
AAAYRNCTG_UNKNOWN | 1.46e-02 | 3.75 | 1.16 | 8.21e-01 | 1.00e+00 | 5ERBB4, NR2F1, LHX9, COL4A5, DSCAML1 |
375 |
CP2_02 | 1.69e-02 | 4.37 | 1.13 | 8.21e-01 | 1.00e+00 | 4NR2F1, ODC1, HPCAL1, CPLX2 |
253 |
E47_02 | 1.71e-02 | 4.35 | 1.13 | 8.21e-01 | 1.00e+00 | 4TRIB2, AFF3, DSCAML1, NGFR |
254 |
CTTTGA_LEF1_Q2 | 1.27e-02 | 2.53 | 1.12 | 8.21e-01 | 1.00e+00 | 10CHGA, ERBB4, STRA6, RET, NR2F1, ROCK2, CACNA2D2, ZMAT4, AFF3, FGF14 |
1247 |
HSF2_01 | 1.82e-02 | 4.26 | 1.11 | 8.21e-01 | 1.00e+00 | 4NR2F1, CACNA1D, CACNA2D2, KCNK9 |
259 |
CEBPB_01 | 2.00e-02 | 4.13 | 1.07 | 8.21e-01 | 1.00e+00 | 4ERBB4, ST18, AFF3, FGF14 |
267 |
LEF1_Q6 | 2.00e-02 | 4.13 | 1.07 | 8.21e-01 | 1.00e+00 | 4ZMAT4, AFF3, LHX9, SEZ6 |
267 |
AFP1_Q6 | 2.03e-02 | 4.12 | 1.07 | 8.21e-01 | 1.00e+00 | 4NR2F1, AFF3, PCSK2, DSCAML1 |
268 |
EGR_Q6 | 2.33e-02 | 3.94 | 1.02 | 9.11e-01 | 1.00e+00 | 4PDE10A, CACNA1D, PLD5, PCSK2 |
280 |
ISL1_TARGET_GENES | 2.90e-02 | 2.56 | 0.97 | 9.25e-01 | 1.00e+00 | 7FAM155A, CACNA1D, FAM13A, CEP112, ZMAT4, CYB561, CHGB |
803 |
Dowload full table
GO Biological Processes:
P-value | OR | Lower 95% CI | FDR | FWER | Genes Found | Gene Set Size | |
---|---|---|---|---|---|---|---|
GOBP_RESPONSE_TO_AUDITORY_STIMULUS | 3.72e-03 | 24.78 | 2.74 | 1.00e+00 | 1.00e+00 | 2STRA6, ATP8A2 |
23 |
GOBP_POSITIVE_REGULATION_OF_MULTICELLULAR_ORGANISM_GROWTH | 5.87e-03 | 19.27 | 2.16 | 1.00e+00 | 1.00e+00 | 2ATP8A2, IGF2 |
29 |
GOBP_EATING_BEHAVIOR | 6.27e-03 | 18.58 | 2.09 | 1.00e+00 | 1.00e+00 | 2OPRM1, ATP8A2 |
30 |
GOBP_RESPONSE_TO_ACETYLCHOLINE | 6.27e-03 | 18.58 | 2.09 | 1.00e+00 | 1.00e+00 | 2OPRM1, ROCK2 |
30 |
GOBP_REGULATION_OF_TRANSCRIPTION_INVOLVED_IN_G1_S_TRANSITION_OF_MITOTIC_CELL_CYCLE | 8.47e-03 | 15.77 | 1.78 | 1.00e+00 | 1.00e+00 | 2RRM2, E2F6 |
35 |
GOBP_FEEDING_BEHAVIOR | 5.88e-03 | 8.86 | 1.73 | 1.00e+00 | 1.00e+00 | 3STRA6, OPRM1, ATP8A2 |
93 |
GOBP_ARTERY_DEVELOPMENT | 6.24e-03 | 8.67 | 1.70 | 1.00e+00 | 1.00e+00 | 3STRA6, FKBP10, NGFR |
95 |
GOBP_VITAMIN_TRANSPORT | 1.15e-02 | 13.35 | 1.52 | 1.00e+00 | 1.00e+00 | 2STRA6, SLC35F3 |
41 |
GOBP_SEMI_LUNAR_VALVE_DEVELOPMENT | 1.15e-02 | 13.35 | 1.52 | 1.00e+00 | 1.00e+00 | 2STRA6, ROCK2 |
41 |
GOBP_REGULATION_OF_KERATINOCYTE_DIFFERENTIATION | 1.20e-02 | 13.01 | 1.48 | 1.00e+00 | 1.00e+00 | 2ROCK2, GRHL1 |
42 |
GOBP_CALCIUM_ION_TRANSMEMBRANE_TRANSPORT | 6.36e-03 | 4.65 | 1.43 | 1.00e+00 | 1.00e+00 | 5OPRM1, FAM155A, CACNA1D, CACNA2D2, FGF14 |
304 |
GOBP_EMBRYONIC_MORPHOGENESIS | 5.50e-03 | 3.62 | 1.37 | 1.00e+00 | 1.00e+00 | 7STRA6, RET, ROCK2, AFF3, ATP8A2, DSCAML1, IGF2 |
569 |
GOBP_MAST_CELL_ACTIVATION_INVOLVED_IN_IMMUNE_RESPONSE | 1.49e-02 | 11.57 | 1.32 | 1.00e+00 | 1.00e+00 | 2CHGA, CPLX2 |
47 |
GOBP_G0_TO_G1_TRANSITION | 1.49e-02 | 11.57 | 1.32 | 1.00e+00 | 1.00e+00 | 2RRM2, E2F6 |
47 |
GOBP_PUTRESCINE_BIOSYNTHETIC_PROCESS | 1.98e-02 | 63.54 | 1.27 | 1.00e+00 | 1.00e+00 | 1ODC1 |
5 |
GOBP_POSITIVE_REGULATION_OF_NEURON_MATURATION | 1.98e-02 | 63.54 | 1.27 | 1.00e+00 | 1.00e+00 | 1RET |
5 |
GOBP_EXOCRINE_PANCREAS_DEVELOPMENT | 1.98e-02 | 63.54 | 1.27 | 1.00e+00 | 1.00e+00 | 1IGF2 |
5 |
GOBP_NEGATIVE_REGULATION_OF_MYOSIN_LIGHT_CHAIN_PHOSPHATASE_ACTIVITY | 1.98e-02 | 63.54 | 1.27 | 1.00e+00 | 1.00e+00 | 1ROCK2 |
5 |
GOBP_POSITIVE_REGULATION_OF_ODONTOGENESIS | 1.98e-02 | 63.54 | 1.27 | 1.00e+00 | 1.00e+00 | 1NGFR |
5 |
GOBP_CGMP_CATABOLIC_PROCESS | 1.98e-02 | 63.54 | 1.27 | 1.00e+00 | 1.00e+00 | 1PDE10A |
5 |
Dowload full table
Immunological Gene Sets:
P-value | OR | Lower 95% CI | FDR | FWER | Genes Found | Gene Set Size | |
---|---|---|---|---|---|---|---|
GSE8678_IL7R_LOW_VS_HIGH_EFF_CD8_TCELL_UP | 1.06e-03 | 7.16 | 2.19 | 1.00e+00 | 1.00e+00 | 5CACNA1D, KCNT1, FKBP10, RAP1GAP2, LPIN1 |
199 |
GSE20366_CD103_POS_VS_CD103_KLRG1_DP_TREG_DN | 1.08e-03 | 7.12 | 2.18 | 1.00e+00 | 1.00e+00 | 5DLK1, CEP112, ZMAT4, CYB561, RAP1GAP2 |
200 |
GSE339_CD8POS_VS_CD4CD8DN_DC_IN_CULTURE_UP | 1.08e-03 | 7.12 | 2.18 | 1.00e+00 | 1.00e+00 | 5ERBB4, RRM2, ODC1, HPCAL1, SEZ6 |
200 |
GSE43956_WT_VS_SGK1_KO_TH17_DIFFERENTIATED_CD4_TCELL_UP | 1.08e-03 | 7.12 | 2.18 | 1.00e+00 | 1.00e+00 | 5MEG3, TAF1B, LHX9, CYB561, CHGB |
200 |
GSE29614_CTRL_VS_TIV_FLU_VACCINE_PBMC_2007_UP | 6.35e-03 | 5.87 | 1.52 | 1.00e+00 | 1.00e+00 | 4ERBB4, ADARB2, COL4A5, KCNK9 |
189 |
GSE29164_CD8_TCELL_VS_CD8_TCELL_AND_IL12_TREATED_MELANOMA_DAY7_DN | 7.07e-03 | 5.69 | 1.47 | 1.00e+00 | 1.00e+00 | 4RRM2, FAM13A, E2F6, FGF14 |
195 |
GSE19401_PLN_VS_PEYERS_PATCH_FOLLICULAR_DC_UP | 7.20e-03 | 5.66 | 1.47 | 1.00e+00 | 1.00e+00 | 4PDIA6, TRIB2, MEG3, NR2F1 |
196 |
GSE36476_CTRL_VS_TSST_ACT_72H_MEMORY_CD4_TCELL_OLD_UP | 7.32e-03 | 5.63 | 1.46 | 1.00e+00 | 1.00e+00 | 4DLK1, FAM13A, CYB561, RAP1GAP2 |
197 |
GSE24814_STAT5_KO_VS_WT_PRE_BCELL_UP | 7.32e-03 | 5.63 | 1.46 | 1.00e+00 | 1.00e+00 | 4CHGA, CACNA1D, TLE2, PCSK2 |
197 |
GSE360_L_MAJOR_VS_T_GONDII_DC_DN | 7.45e-03 | 5.60 | 1.45 | 1.00e+00 | 1.00e+00 | 4CHGA, CACNA1D, TAF1B, COL4A5 |
198 |
GSE36527_CD62L_HIGH_VS_CD62L_LOW_TREG_CD69_NEG_KLRG1_NEG_DN | 7.58e-03 | 5.57 | 1.44 | 1.00e+00 | 1.00e+00 | 4STRA6, ADARB2, CEP112, CPLX2 |
199 |
GSE40184_HEALTHY_VS_HCV_INFECTED_DONOR_PBMC_UP | 7.58e-03 | 5.57 | 1.44 | 1.00e+00 | 1.00e+00 | 4HPCAL1, AFF3, GRHL1, CPLX2 |
199 |
GSE41978_ID2_KO_AND_BIM_KO_VS_BIM_KO_KLRG1_LOW_EFFECTOR_CD8_TCELL_DN | 7.58e-03 | 5.57 | 1.44 | 1.00e+00 | 1.00e+00 | 4RRM2, ODC1, COL4A5, SLC18A1 |
199 |
GSE7852_LN_VS_FAT_TCONV_DN | 7.71e-03 | 5.55 | 1.44 | 1.00e+00 | 1.00e+00 | 4ODC1, CYB561, RAP1GAP2, IGF2 |
200 |
GSE9650_GP33_VS_GP276_LCMV_SPECIFIC_EXHAUSTED_CD8_TCELL_UP | 7.71e-03 | 5.55 | 1.44 | 1.00e+00 | 1.00e+00 | 4STRA6, FKBP10, CPLX2, IGF2 |
200 |
GSE16450_CTRL_VS_IFNA_6H_STIM_IMMATURE_NEURON_CELL_LINE_UP | 7.71e-03 | 5.55 | 1.44 | 1.00e+00 | 1.00e+00 | 4AFF3, ATP8A2, CYB561, GRHL1 |
200 |
GSE13522_CTRL_VS_T_CRUZI_BRAZIL_STRAIN_INF_SKIN_UP | 2.00e-02 | 5.54 | 1.09 | 1.00e+00 | 1.00e+00 | 3CYB561, IGF2, KCNK9 |
147 |
GSE5589_WT_VS_IL10_KO_LPS_STIM_MACROPHAGE_180MIN_DN | 2.30e-02 | 5.25 | 1.03 | 1.00e+00 | 1.00e+00 | 3CHGA, HPCAL1, GRHL1 |
155 |
GSE5589_WT_VS_IL10_KO_LPS_AND_IL10_STIM_MACROPHAGE_180MIN_UP | 2.30e-02 | 5.25 | 1.03 | 1.00e+00 | 1.00e+00 | 3STRA6, TAF1B, E2F6 |
155 |
GSE6269_E_COLI_VS_STREP_PNEUMO_INF_PBMC_UP | 2.82e-02 | 4.83 | 0.95 | 1.00e+00 | 1.00e+00 | 3MEG3, FKBP10, ATP8A2 |
168 |
Top Ranked Transcription Factors for this Gene Expression Program:
Gene Symbol | TF Rank | DNA Binding Domain | Motif Status | IUPAC PWM | GTEx | DepMap | Decartes |
---|---|---|---|---|---|---|---|
ST18 | 11 | Yes | Inferred motif | Monomer or homomultimer | High-throughput in vitro | None | None |
NR2F1 | 15 | Yes | Known motif | Monomer or homomultimer | High-throughput in vitro | None | None |
TLE2 | 23 | No | Unlikely to be sequence specific TF | Not a DNA binding protein | No motif | None | None |
ZMAT4 | 28 | Yes | Likely to be sequence specific TF | Monomer or homomultimer | No motif | None | Possible RBP. |
TAF1B | 29 | No | Unlikely to be sequence specific TF | Low specificity DNA-binding protein | No motif | None | Pol I TAF that contacts the rDNA promoter in conjunction with TBP and UBF (PMID: 7491500). No clear evidence that it directly confers sequence specificity. |
AFF3 | 30 | No | Unlikely to be sequence specific TF | Not a DNA binding protein | No motif | None | (PMID: 8555498) only says that In vitro-translated LAF-4 was able to bind strongly to double-stranded DNA cellulose - thats more consistent with nonspecific DNA binding. The key issue is whether the Transcription factor AF4/FMR2 (IPR007797) domain really is sequence specific. Most of the work has been done on the one Drosophila ortholog, lilliuputian. I see no evidence of DNA binding. Recent work on this family in human indicate that it functions in coactivation (PMID: 27899651; PMID: 261712 |
LHX9 | 31 | Yes | Known motif | Monomer or homomultimer | High-throughput in vitro | Has a putative AT-hook | None |
E2F6 | 35 | Yes | Known motif | Monomer or homomultimer | In vivo/Misc source | None | None |
GRHL1 | 39 | Yes | Known motif | Monomer or homomultimer | High-throughput in vitro | None | None |
EBF3 | 76 | Yes | Known motif | Monomer or homomultimer | In vivo/Misc source | Only known motifs are from Transfac or HocoMoco - origin is uncertain | None |
AMH | 84 | No | Unlikely to be sequence specific TF | Not a DNA binding protein | No motif | None | None |
PLXNB2 | 86 | No | Unlikely to be sequence specific TF | Not a DNA binding protein | No motif | None | None |
NCOR2 | 99 | No | Unlikely to be sequence specific TF | Not a DNA binding protein | No motif | None | Contains 2 SANT domains, and no other putative DNA-binding domains |
GPR155 | 103 | No | Unlikely to be sequence specific TF | Not a DNA binding protein | No motif | None | None |
RXRA | 108 | Yes | Known motif | Monomer or homomultimer | High-throughput in vitro | None | None |
CDK5RAP3 | 111 | No | Unlikely to be sequence specific TF | Not a DNA binding protein | No motif | None | None |
HOXD10 | 115 | Yes | Known motif | Monomer or homomultimer | High-throughput in vitro | None | None |
ADAMTS19 | 132 | No | Unlikely to be sequence specific TF | Not a DNA binding protein | No motif | Has a putative AT-hook | None |
FLNA | 134 | No | Unlikely to be sequence specific TF | Not a DNA binding protein | No motif | None | Go annotation is based on (PMID: 15684392), which shows that it binds FOXC1 and PBX1 but doesnt show evidence for binding to DNA |
TLE1 | 136 | No | Unlikely to be sequence specific TF | Not a DNA binding protein | No motif | None | Transcriptional co-factor |
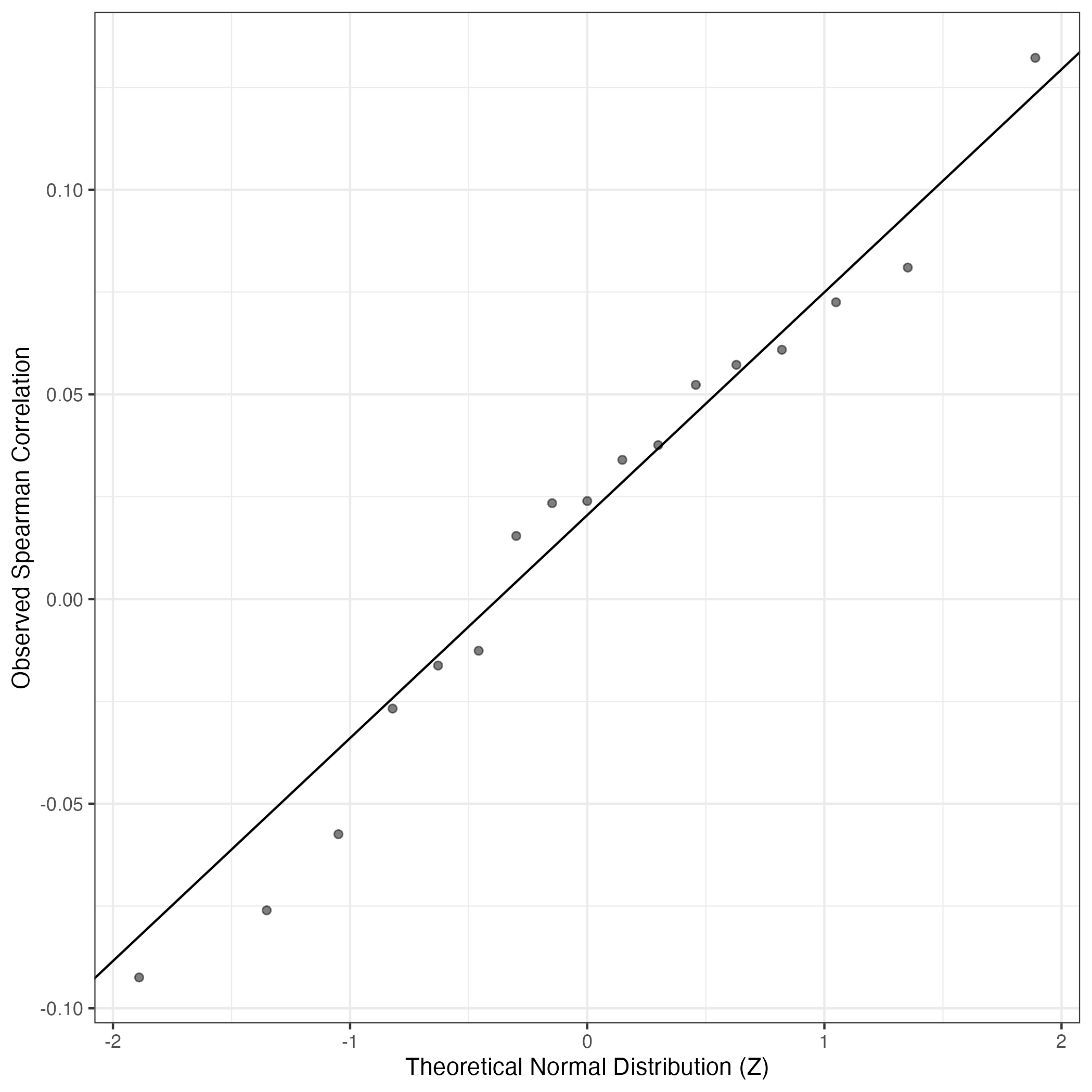
QQ Plot showing correlations with other Gene Expression Programs in this dataset, calculated by Spearman correlation:
Interactive QQ-plot of gene loadings:
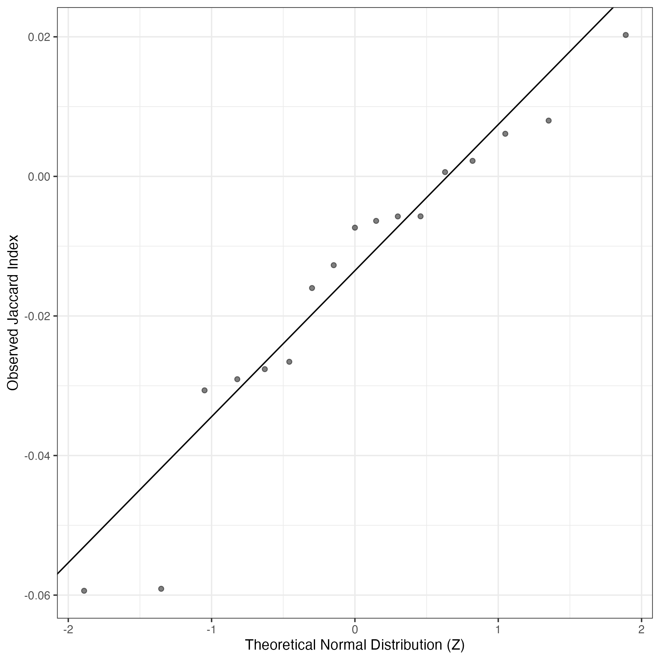
A similar QQ-plot as above, but only for instances where the H value is e.g. > 25, i.e. we are confident that the expression program is active above noise. Agreemenet between these binary vectors is tested using the Jaccard Index, with the P-values calculated by an exact test:
Interactive QQ-plot:
Singler cell type annotations for the top 50 cells on this program.
Cell ID | Singler label | Singler Delta | Activity Score | Top Singler Raw Scores |
---|---|---|---|---|
NB14_TTGAACGGTTCTGAAC-1 | Neurons:adrenal_medulla_cell_line | 0.18 | 687.47 | Raw ScoresNeurons:adrenal_medulla_cell_line: 0.29, Neuroepithelial_cell:ESC-derived: 0.26, Astrocyte:Embryonic_stem_cell-derived: 0.25, Neurons:ES_cell-derived_neural_precursor: 0.25, MSC: 0.23, iPS_cells:CRL2097_foreskin: 0.22, Embryonic_stem_cells: 0.22, Smooth_muscle_cells:bronchial: 0.22, Tissue_stem_cells:CD326-CD56+: 0.22, iPS_cells:skin_fibroblast: 0.21 |
NB14_CGCTATCGTACCGTAT-1 | Neurons:adrenal_medulla_cell_line | 0.20 | 628.66 | Raw ScoresNeurons:adrenal_medulla_cell_line: 0.3, Neuroepithelial_cell:ESC-derived: 0.22, Astrocyte:Embryonic_stem_cell-derived: 0.22, Neurons:ES_cell-derived_neural_precursor: 0.21, iPS_cells:PDB_1lox-21Puro-20: 0.2, Tissue_stem_cells:CD326-CD56+: 0.2, Embryonic_stem_cells: 0.19, iPS_cells:PDB_1lox-21Puro-26: 0.19, iPS_cells:PDB_1lox-17Puro-5: 0.19, iPS_cells:PDB_1lox-17Puro-10: 0.19 |
NB14_CAGATCATCCTACAGA-1 | Neurons:adrenal_medulla_cell_line | 0.18 | 580.86 | Raw ScoresNeurons:adrenal_medulla_cell_line: 0.26, Astrocyte:Embryonic_stem_cell-derived: 0.21, Neuroepithelial_cell:ESC-derived: 0.21, Neurons:ES_cell-derived_neural_precursor: 0.2, Tissue_stem_cells:CD326-CD56+: 0.18, Embryonic_stem_cells: 0.17, iPS_cells:PDB_1lox-21Puro-20: 0.17, iPS_cells:PDB_1lox-17Puro-10: 0.17, iPS_cells:PDB_1lox-21Puro-26: 0.16, iPS_cells:PDB_1lox-17Puro-5: 0.16 |
NB14_ATAACGCTCTTTAGTC-1 | Neurons:adrenal_medulla_cell_line | 0.16 | 528.58 | Raw ScoresNeurons:adrenal_medulla_cell_line: 0.28, Neuroepithelial_cell:ESC-derived: 0.24, Astrocyte:Embryonic_stem_cell-derived: 0.22, Neurons:ES_cell-derived_neural_precursor: 0.22, iPS_cells:PDB_1lox-21Puro-20: 0.22, iPS_cells:PDB_1lox-17Puro-10: 0.21, iPS_cells:PDB_1lox-21Puro-26: 0.21, Embryonic_stem_cells: 0.21, iPS_cells:PDB_1lox-17Puro-5: 0.21, iPS_cells:CRL2097_foreskin-derived:undiff.: 0.21 |
NB14_ATCATCTTCCAAATGC-1 | Neurons:adrenal_medulla_cell_line | 0.19 | 488.01 | Raw ScoresNeurons:adrenal_medulla_cell_line: 0.28, Neuroepithelial_cell:ESC-derived: 0.21, Astrocyte:Embryonic_stem_cell-derived: 0.21, Neurons:ES_cell-derived_neural_precursor: 0.19, iPS_cells:PDB_1lox-21Puro-20: 0.18, Embryonic_stem_cells: 0.18, iPS_cells:PDB_1lox-21Puro-26: 0.18, iPS_cells:PDB_1lox-17Puro-10: 0.17, iPS_cells:PDB_1lox-17Puro-5: 0.17, Tissue_stem_cells:CD326-CD56+: 0.17 |
NB14_TTCTTAGAGTACGTAA-1 | Neurons:adrenal_medulla_cell_line | 0.15 | 476.39 | Raw ScoresNeurons:adrenal_medulla_cell_line: 0.25, Neuroepithelial_cell:ESC-derived: 0.23, Astrocyte:Embryonic_stem_cell-derived: 0.22, Neurons:ES_cell-derived_neural_precursor: 0.21, Tissue_stem_cells:CD326-CD56+: 0.2, MSC: 0.2, Smooth_muscle_cells:bronchial: 0.2, Neurons:Schwann_cell: 0.2, Tissue_stem_cells:lipoma-derived_MSC: 0.2, Embryonic_stem_cells: 0.2 |
NB14_AGGTCATAGTACCGGA-1 | Neurons:adrenal_medulla_cell_line | 0.16 | 447.56 | Raw ScoresNeurons:adrenal_medulla_cell_line: 0.26, Neuroepithelial_cell:ESC-derived: 0.21, Astrocyte:Embryonic_stem_cell-derived: 0.2, Neurons:ES_cell-derived_neural_precursor: 0.2, iPS_cells:PDB_1lox-21Puro-20: 0.19, Tissue_stem_cells:CD326-CD56+: 0.19, iPS_cells:PDB_1lox-21Puro-26: 0.18, iPS_cells:PDB_1lox-17Puro-10: 0.18, iPS_cells:PDB_1lox-17Puro-5: 0.18, Embryonic_stem_cells: 0.18 |
NB14_CCTACACCATACGCCG-1 | Neurons:adrenal_medulla_cell_line | 0.17 | 386.65 | Raw ScoresNeurons:adrenal_medulla_cell_line: 0.25, Neuroepithelial_cell:ESC-derived: 0.2, Astrocyte:Embryonic_stem_cell-derived: 0.19, Neurons:ES_cell-derived_neural_precursor: 0.18, iPS_cells:PDB_1lox-21Puro-20: 0.18, iPS_cells:PDB_1lox-21Puro-26: 0.18, iPS_cells:PDB_1lox-17Puro-5: 0.18, iPS_cells:PDB_1lox-17Puro-10: 0.18, Embryonic_stem_cells: 0.17, iPS_cells:PDB_2lox-22: 0.17 |
NB14_TACCTATGTCAACTGT-1 | Neurons:adrenal_medulla_cell_line | 0.16 | 379.59 | Raw ScoresNeurons:adrenal_medulla_cell_line: 0.27, Neuroepithelial_cell:ESC-derived: 0.22, Neurons:ES_cell-derived_neural_precursor: 0.22, Astrocyte:Embryonic_stem_cell-derived: 0.21, Embryonic_stem_cells: 0.19, iPS_cells:PDB_1lox-21Puro-20: 0.19, iPS_cells:PDB_1lox-17Puro-10: 0.19, iPS_cells:PDB_1lox-21Puro-26: 0.19, iPS_cells:PDB_1lox-17Puro-5: 0.19, Tissue_stem_cells:CD326-CD56+: 0.19 |
NB14_GTTCTCGCAAGAAAGG-1 | Neurons:adrenal_medulla_cell_line | 0.16 | 371.83 | Raw ScoresNeurons:adrenal_medulla_cell_line: 0.22, Neuroepithelial_cell:ESC-derived: 0.17, Neurons:ES_cell-derived_neural_precursor: 0.16, Astrocyte:Embryonic_stem_cell-derived: 0.16, iPS_cells:PDB_1lox-21Puro-26: 0.16, iPS_cells:PDB_1lox-17Puro-10: 0.16, iPS_cells:PDB_1lox-21Puro-20: 0.16, iPS_cells:PDB_1lox-17Puro-5: 0.15, iPS_cells:PDB_2lox-22: 0.15, iPS_cells:PDB_2lox-21: 0.15 |
NB14_CTCTAATCATCCTTGC-1 | Neurons:adrenal_medulla_cell_line | 0.17 | 367.96 | Raw ScoresNeurons:adrenal_medulla_cell_line: 0.26, Neuroepithelial_cell:ESC-derived: 0.19, Astrocyte:Embryonic_stem_cell-derived: 0.18, Neurons:ES_cell-derived_neural_precursor: 0.18, iPS_cells:PDB_1lox-21Puro-20: 0.16, iPS_cells:PDB_1lox-21Puro-26: 0.16, Embryonic_stem_cells: 0.16, iPS_cells:PDB_1lox-17Puro-10: 0.16, iPS_cells:PDB_1lox-17Puro-5: 0.16, iPS_cells:PDB_2lox-22: 0.16 |
NB14_AGCTCTCAGACGACGT-1 | Neurons:adrenal_medulla_cell_line | 0.15 | 346.97 | Raw ScoresNeurons:adrenal_medulla_cell_line: 0.25, Neuroepithelial_cell:ESC-derived: 0.2, Astrocyte:Embryonic_stem_cell-derived: 0.2, Neurons:ES_cell-derived_neural_precursor: 0.19, Tissue_stem_cells:CD326-CD56+: 0.18, MSC: 0.17, Embryonic_stem_cells: 0.17, iPS_cells:PDB_1lox-21Puro-20: 0.17, Smooth_muscle_cells:vascular: 0.17, iPS_cells:PDB_1lox-21Puro-26: 0.17 |
NB14_CTTGGCTGTAGCTAAA-1 | Neurons:adrenal_medulla_cell_line | 0.17 | 343.08 | Raw ScoresNeurons:adrenal_medulla_cell_line: 0.26, Astrocyte:Embryonic_stem_cell-derived: 0.19, Neuroepithelial_cell:ESC-derived: 0.19, Neurons:ES_cell-derived_neural_precursor: 0.18, iPS_cells:PDB_1lox-17Puro-10: 0.17, iPS_cells:PDB_1lox-21Puro-20: 0.17, iPS_cells:PDB_1lox-17Puro-5: 0.17, Tissue_stem_cells:CD326-CD56+: 0.17, iPS_cells:PDB_1lox-21Puro-26: 0.16, Embryonic_stem_cells: 0.16 |
NB14_TATGCCCAGATGCCTT-1 | Neurons:adrenal_medulla_cell_line | 0.16 | 332.69 | Raw ScoresNeurons:adrenal_medulla_cell_line: 0.25, Neuroepithelial_cell:ESC-derived: 0.2, Astrocyte:Embryonic_stem_cell-derived: 0.19, Neurons:ES_cell-derived_neural_precursor: 0.18, iPS_cells:PDB_1lox-21Puro-20: 0.17, iPS_cells:PDB_1lox-21Puro-26: 0.17, iPS_cells:PDB_1lox-17Puro-5: 0.17, iPS_cells:PDB_1lox-17Puro-10: 0.17, Tissue_stem_cells:CD326-CD56+: 0.17, iPS_cells:PDB_2lox-22: 0.17 |
NB14_ATTTCTGCATATGAGA-1 | Neurons:adrenal_medulla_cell_line | 0.18 | 321.81 | Raw ScoresNeurons:adrenal_medulla_cell_line: 0.25, Neuroepithelial_cell:ESC-derived: 0.19, Astrocyte:Embryonic_stem_cell-derived: 0.18, Neurons:ES_cell-derived_neural_precursor: 0.18, Tissue_stem_cells:CD326-CD56+: 0.16, Embryonic_stem_cells: 0.16, iPS_cells:PDB_1lox-21Puro-20: 0.16, iPS_cells:PDB_1lox-17Puro-10: 0.16, iPS_cells:PDB_1lox-21Puro-26: 0.16, iPS_cells:PDB_1lox-17Puro-5: 0.16 |
NB14_TACCTATTCCGCTGTT-1 | Neurons:adrenal_medulla_cell_line | 0.15 | 321.37 | Raw ScoresNeurons:adrenal_medulla_cell_line: 0.24, Neuroepithelial_cell:ESC-derived: 0.18, Astrocyte:Embryonic_stem_cell-derived: 0.18, Neurons:ES_cell-derived_neural_precursor: 0.17, Embryonic_stem_cells: 0.15, iPS_cells:PDB_1lox-17Puro-10: 0.15, iPS_cells:PDB_1lox-17Puro-5: 0.15, Tissue_stem_cells:CD326-CD56+: 0.15, iPS_cells:PDB_1lox-21Puro-26: 0.15, iPS_cells:PDB_1lox-21Puro-20: 0.15 |
NB14_GACGGCTTCCTCCTAG-1 | Neurons:adrenal_medulla_cell_line | 0.15 | 320.17 | Raw ScoresNeurons:adrenal_medulla_cell_line: 0.22, Neuroepithelial_cell:ESC-derived: 0.17, Neurons:ES_cell-derived_neural_precursor: 0.17, Astrocyte:Embryonic_stem_cell-derived: 0.17, Tissue_stem_cells:CD326-CD56+: 0.14, Embryonic_stem_cells: 0.14, iPS_cells:PDB_1lox-17Puro-5: 0.14, iPS_cells:PDB_1lox-21Puro-20: 0.14, iPS_cells:PDB_1lox-21Puro-26: 0.13, iPS_cells:PDB_1lox-17Puro-10: 0.13 |
NB14_ATCCGAATCCGCGCAA-1 | Neurons:adrenal_medulla_cell_line | 0.14 | 305.50 | Raw ScoresNeurons:adrenal_medulla_cell_line: 0.21, Neuroepithelial_cell:ESC-derived: 0.16, Astrocyte:Embryonic_stem_cell-derived: 0.15, Neurons:ES_cell-derived_neural_precursor: 0.15, Embryonic_stem_cells: 0.14, iPS_cells:PDB_1lox-21Puro-20: 0.14, Tissue_stem_cells:CD326-CD56+: 0.14, iPS_cells:PDB_1lox-21Puro-26: 0.14, iPS_cells:PDB_2lox-22: 0.14, iPS_cells:PDB_1lox-17Puro-5: 0.13 |
NB14_AAACGGGAGGCGATAC-1 | Neurons:adrenal_medulla_cell_line | 0.17 | 299.87 | Raw ScoresNeurons:adrenal_medulla_cell_line: 0.25, Neuroepithelial_cell:ESC-derived: 0.21, Neurons:ES_cell-derived_neural_precursor: 0.2, Astrocyte:Embryonic_stem_cell-derived: 0.19, Tissue_stem_cells:CD326-CD56+: 0.17, Neurons:Schwann_cell: 0.17, iPS_cells:PDB_1lox-17Puro-10: 0.17, iPS_cells:PDB_1lox-21Puro-20: 0.17, iPS_cells:PDB_1lox-17Puro-5: 0.17, Embryonic_stem_cells: 0.17 |
NB14_TCTGGAATCTGCCCTA-1 | Fibroblasts:breast | 0.11 | 297.70 | Raw ScoresNeurons:adrenal_medulla_cell_line: 0.19, Neuroepithelial_cell:ESC-derived: 0.17, MSC: 0.17, Fibroblasts:breast: 0.16, Chondrocytes:MSC-derived: 0.16, Astrocyte:Embryonic_stem_cell-derived: 0.16, iPS_cells:CRL2097_foreskin: 0.16, iPS_cells:adipose_stem_cells: 0.16, Neurons:ES_cell-derived_neural_precursor: 0.16, Osteoblasts: 0.16 |
NB14_CAGATCAGTGACCAAG-1 | Neurons:adrenal_medulla_cell_line | 0.14 | 297.43 | Raw ScoresNeurons:adrenal_medulla_cell_line: 0.22, Astrocyte:Embryonic_stem_cell-derived: 0.17, Neuroepithelial_cell:ESC-derived: 0.16, Neurons:ES_cell-derived_neural_precursor: 0.16, iPS_cells:PDB_1lox-17Puro-10: 0.14, Neurons:Schwann_cell: 0.14, Embryonic_stem_cells: 0.14, Tissue_stem_cells:CD326-CD56+: 0.14, iPS_cells:PDB_1lox-21Puro-26: 0.14, iPS_cells:PDB_1lox-17Puro-5: 0.14 |
NB14_TTTGGTTGTAAATGAC-1 | Neurons:adrenal_medulla_cell_line | 0.12 | 289.36 | Raw ScoresNeurons:adrenal_medulla_cell_line: 0.2, Neuroepithelial_cell:ESC-derived: 0.16, Astrocyte:Embryonic_stem_cell-derived: 0.15, Neurons:ES_cell-derived_neural_precursor: 0.15, iPS_cells:PDB_1lox-17Puro-5: 0.14, iPS_cells:PDB_1lox-21Puro-20: 0.14, iPS_cells:PDB_1lox-17Puro-10: 0.14, iPS_cells:PDB_1lox-21Puro-26: 0.14, Embryonic_stem_cells: 0.14, iPS_cells:PDB_2lox-5: 0.14 |
NB14_AGTGGGATCTGAGGGA-1 | Neurons:adrenal_medulla_cell_line | 0.14 | 283.69 | Raw ScoresNeurons:adrenal_medulla_cell_line: 0.22, Neuroepithelial_cell:ESC-derived: 0.18, Neurons:ES_cell-derived_neural_precursor: 0.17, Astrocyte:Embryonic_stem_cell-derived: 0.17, iPS_cells:PDB_1lox-21Puro-26: 0.16, iPS_cells:PDB_1lox-21Puro-20: 0.16, iPS_cells:PDB_1lox-17Puro-5: 0.16, iPS_cells:PDB_1lox-17Puro-10: 0.16, Embryonic_stem_cells: 0.15, iPS_cells:PDB_2lox-5: 0.15 |
NB14_CAGATCAGTTTAGCTG-1 | Neurons:adrenal_medulla_cell_line | 0.11 | 283.55 | Raw ScoresNeurons:adrenal_medulla_cell_line: 0.2, Neuroepithelial_cell:ESC-derived: 0.15, Astrocyte:Embryonic_stem_cell-derived: 0.15, Tissue_stem_cells:CD326-CD56+: 0.14, Endothelial_cells:HUVEC:VEGF: 0.14, Neurons:ES_cell-derived_neural_precursor: 0.14, Chondrocytes:MSC-derived: 0.14, Endothelial_cells:HUVEC: 0.13, Endothelial_cells:lymphatic: 0.13, Neurons:Schwann_cell: 0.13 |
NB14_GACTACAGTAGTAGTA-1 | Neurons:adrenal_medulla_cell_line | 0.16 | 279.79 | Raw ScoresNeurons:adrenal_medulla_cell_line: 0.25, Neuroepithelial_cell:ESC-derived: 0.21, Astrocyte:Embryonic_stem_cell-derived: 0.21, Neurons:ES_cell-derived_neural_precursor: 0.2, Embryonic_stem_cells: 0.19, iPS_cells:PDB_1lox-21Puro-20: 0.19, iPS_cells:PDB_1lox-21Puro-26: 0.19, iPS_cells:PDB_1lox-17Puro-10: 0.19, iPS_cells:PDB_1lox-17Puro-5: 0.19, iPS_cells:PDB_2lox-22: 0.19 |
NB14_ACTTGTTCAGCTGCTG-1 | Neurons:adrenal_medulla_cell_line | 0.11 | 277.13 | Raw ScoresNeurons:adrenal_medulla_cell_line: 0.16, Neurons:ES_cell-derived_neural_precursor: 0.14, Neuroepithelial_cell:ESC-derived: 0.14, iPS_cells:PDB_1lox-17Puro-5: 0.13, iPS_cells:PDB_1lox-17Puro-10: 0.13, iPS_cells:PDB_1lox-21Puro-20: 0.13, iPS_cells:PDB_1lox-21Puro-26: 0.13, Embryonic_stem_cells: 0.13, Astrocyte:Embryonic_stem_cell-derived: 0.13, iPS_cells:PDB_2lox-22: 0.12 |
NB14_AGGGATGCAGACAAAT-1 | Neurons:adrenal_medulla_cell_line | 0.15 | 276.59 | Raw ScoresNeurons:adrenal_medulla_cell_line: 0.24, Neuroepithelial_cell:ESC-derived: 0.18, Neurons:ES_cell-derived_neural_precursor: 0.18, Astrocyte:Embryonic_stem_cell-derived: 0.17, Embryonic_stem_cells: 0.16, iPS_cells:PDB_1lox-21Puro-20: 0.16, iPS_cells:PDB_2lox-22: 0.15, iPS_cells:PDB_1lox-17Puro-10: 0.15, iPS_cells:PDB_1lox-17Puro-5: 0.15, iPS_cells:PDB_1lox-21Puro-26: 0.15 |
NB14_GGACAAGCATCTCGCT-1 | Neurons:adrenal_medulla_cell_line | 0.15 | 274.50 | Raw ScoresNeurons:adrenal_medulla_cell_line: 0.21, Neuroepithelial_cell:ESC-derived: 0.17, Neurons:ES_cell-derived_neural_precursor: 0.16, Astrocyte:Embryonic_stem_cell-derived: 0.16, iPS_cells:PDB_1lox-21Puro-20: 0.15, Tissue_stem_cells:CD326-CD56+: 0.15, iPS_cells:PDB_1lox-17Puro-5: 0.15, iPS_cells:PDB_1lox-21Puro-26: 0.15, iPS_cells:PDB_1lox-17Puro-10: 0.15, Embryonic_stem_cells: 0.14 |
NB14_CGGACTGGTGCACCAC-1 | Neurons:adrenal_medulla_cell_line | 0.14 | 272.14 | Raw ScoresNeurons:adrenal_medulla_cell_line: 0.2, Neuroepithelial_cell:ESC-derived: 0.14, Astrocyte:Embryonic_stem_cell-derived: 0.14, Neurons:ES_cell-derived_neural_precursor: 0.13, iPS_cells:PDB_1lox-21Puro-20: 0.13, iPS_cells:PDB_1lox-17Puro-5: 0.13, iPS_cells:PDB_1lox-17Puro-10: 0.13, Embryonic_stem_cells: 0.13, iPS_cells:PDB_1lox-21Puro-26: 0.13, Tissue_stem_cells:CD326-CD56+: 0.12 |
NB14_CTGGTCTAGCACACAG-1 | Neurons:adrenal_medulla_cell_line | 0.14 | 271.02 | Raw ScoresNeurons:adrenal_medulla_cell_line: 0.22, Neuroepithelial_cell:ESC-derived: 0.18, Neurons:ES_cell-derived_neural_precursor: 0.18, Astrocyte:Embryonic_stem_cell-derived: 0.17, iPS_cells:PDB_1lox-17Puro-10: 0.16, iPS_cells:PDB_1lox-17Puro-5: 0.16, Tissue_stem_cells:CD326-CD56+: 0.16, iPS_cells:PDB_1lox-21Puro-26: 0.16, iPS_cells:PDB_1lox-21Puro-20: 0.16, iPS_cells:PDB_2lox-22: 0.16 |
NB14_ATCACGATCATGTGGT-1 | Neurons:adrenal_medulla_cell_line | 0.15 | 264.57 | Raw ScoresNeurons:adrenal_medulla_cell_line: 0.22, Neuroepithelial_cell:ESC-derived: 0.16, Astrocyte:Embryonic_stem_cell-derived: 0.16, Neurons:ES_cell-derived_neural_precursor: 0.16, Tissue_stem_cells:CD326-CD56+: 0.15, iPS_cells:PDB_1lox-21Puro-20: 0.14, Embryonic_stem_cells: 0.14, iPS_cells:PDB_1lox-21Puro-26: 0.14, iPS_cells:PDB_1lox-17Puro-5: 0.14, iPS_cells:skin_fibroblast-derived: 0.14 |
NB14_GTGCATAAGTTCCACA-1 | Neurons:adrenal_medulla_cell_line | 0.15 | 263.78 | Raw ScoresNeurons:adrenal_medulla_cell_line: 0.22, Neuroepithelial_cell:ESC-derived: 0.17, Astrocyte:Embryonic_stem_cell-derived: 0.15, Neurons:ES_cell-derived_neural_precursor: 0.15, Tissue_stem_cells:CD326-CD56+: 0.14, iPS_cells:PDB_1lox-17Puro-5: 0.14, iPS_cells:PDB_1lox-17Puro-10: 0.14, iPS_cells:PDB_1lox-21Puro-26: 0.14, iPS_cells:PDB_1lox-21Puro-20: 0.14, Embryonic_stem_cells: 0.14 |
NB14_AAAGATGTCGGCATCG-1 | Neurons:adrenal_medulla_cell_line | 0.15 | 259.20 | Raw ScoresNeurons:adrenal_medulla_cell_line: 0.22, Neuroepithelial_cell:ESC-derived: 0.19, Astrocyte:Embryonic_stem_cell-derived: 0.17, Neurons:ES_cell-derived_neural_precursor: 0.17, Tissue_stem_cells:CD326-CD56+: 0.16, Embryonic_stem_cells: 0.16, iPS_cells:CRL2097_foreskin-derived:d20_hepatic_diff: 0.15, MSC: 0.15, iPS_cells:PDB_1lox-21Puro-26: 0.15, iPS_cells:PDB_1lox-21Puro-20: 0.15 |
NB14_CTAGCCTTCACTATTC-1 | Neurons:adrenal_medulla_cell_line | 0.13 | 258.93 | Raw ScoresNeurons:adrenal_medulla_cell_line: 0.2, Neuroepithelial_cell:ESC-derived: 0.16, Astrocyte:Embryonic_stem_cell-derived: 0.16, Neurons:ES_cell-derived_neural_precursor: 0.15, iPS_cells:PDB_1lox-21Puro-20: 0.14, iPS_cells:PDB_1lox-17Puro-10: 0.14, iPS_cells:PDB_1lox-21Puro-26: 0.14, iPS_cells:PDB_1lox-17Puro-5: 0.14, Embryonic_stem_cells: 0.14, iPS_cells:skin_fibroblast-derived: 0.14 |
NB14_TCCACACAGTTTAGGA-1 | Neurons:adrenal_medulla_cell_line | 0.13 | 257.38 | Raw ScoresNeurons:adrenal_medulla_cell_line: 0.2, Neuroepithelial_cell:ESC-derived: 0.18, Smooth_muscle_cells:bronchial: 0.18, Smooth_muscle_cells:bronchial:vit_D: 0.17, MSC: 0.17, Neurons:ES_cell-derived_neural_precursor: 0.17, iPS_cells:CRL2097_foreskin: 0.17, Tissue_stem_cells:CD326-CD56+: 0.17, iPS_cells:skin_fibroblast: 0.17, Fibroblasts:breast: 0.17 |
NB14_CACAAACTCTCCGGTT-1 | Neurons:adrenal_medulla_cell_line | 0.15 | 253.26 | Raw ScoresNeurons:adrenal_medulla_cell_line: 0.21, Neuroepithelial_cell:ESC-derived: 0.16, Neurons:ES_cell-derived_neural_precursor: 0.16, Astrocyte:Embryonic_stem_cell-derived: 0.15, Embryonic_stem_cells: 0.14, Tissue_stem_cells:CD326-CD56+: 0.13, iPS_cells:PDB_1lox-21Puro-20: 0.13, iPS_cells:PDB_1lox-17Puro-10: 0.13, iPS_cells:PDB_1lox-17Puro-5: 0.13, iPS_cells:PDB_1lox-21Puro-26: 0.13 |
NB14_CGTCAGGTCCAAACAC-1 | Neurons:adrenal_medulla_cell_line | 0.12 | 248.63 | Raw ScoresNeurons:adrenal_medulla_cell_line: 0.19, Astrocyte:Embryonic_stem_cell-derived: 0.12, Neuroepithelial_cell:ESC-derived: 0.12, iPS_cells:PDB_1lox-21Puro-26: 0.12, iPS_cells:PDB_1lox-21Puro-20: 0.11, iPS_cells:PDB_1lox-17Puro-5: 0.11, iPS_cells:PDB_1lox-17Puro-10: 0.11, Embryonic_stem_cells: 0.11, Tissue_stem_cells:CD326-CD56+: 0.11, Neurons:ES_cell-derived_neural_precursor: 0.11 |
NB14_ATGAGGGTCCCGGATG-1 | Endothelial_cells:lymphatic:KSHV | 0.16 | 246.77 | Raw ScoresEndothelial_cells:lymphatic: 0.3, Endothelial_cells:HUVEC:VEGF: 0.3, Endothelial_cells:HUVEC:Serum_Amyloid_A: 0.29, Endothelial_cells:lymphatic:KSHV: 0.29, Endothelial_cells:lymphatic:TNFa_48h: 0.29, Endothelial_cells:HUVEC: 0.29, Endothelial_cells:blood_vessel: 0.29, Endothelial_cells:HUVEC:IL-1b: 0.27, Endothelial_cells:HUVEC:B._anthracis_LT: 0.27, iPS_cells:CRL2097_foreskin: 0.27 |
NB14_GTAACGTCACCAGATT-1 | Neurons:adrenal_medulla_cell_line | 0.11 | 244.46 | Raw ScoresNeurons:adrenal_medulla_cell_line: 0.27, Neuroepithelial_cell:ESC-derived: 0.23, Astrocyte:Embryonic_stem_cell-derived: 0.22, Neurons:ES_cell-derived_neural_precursor: 0.22, iPS_cells:PDB_1lox-21Puro-26: 0.21, iPS_cells:PDB_2lox-22: 0.21, iPS_cells:PDB_1lox-17Puro-10: 0.21, iPS_cells:PDB_1lox-21Puro-20: 0.21, iPS_cells:PDB_1lox-17Puro-5: 0.21, iPS_cells:PDB_2lox-5: 0.21 |
NB14_TTGACTTCAATCTACG-1 | Neurons:adrenal_medulla_cell_line | 0.16 | 242.03 | Raw ScoresNeurons:adrenal_medulla_cell_line: 0.26, Neuroepithelial_cell:ESC-derived: 0.2, Neurons:ES_cell-derived_neural_precursor: 0.19, Tissue_stem_cells:CD326-CD56+: 0.18, Astrocyte:Embryonic_stem_cell-derived: 0.18, MSC: 0.17, Endothelial_cells:HUVEC:VEGF: 0.17, Neurons:Schwann_cell: 0.17, iPS_cells:PDB_1lox-17Puro-5: 0.17, iPS_cells:PDB_1lox-21Puro-20: 0.17 |
NB14_CTGATCCAGGATGGAA-1 | Neurons:adrenal_medulla_cell_line | 0.14 | 241.35 | Raw ScoresNeurons:adrenal_medulla_cell_line: 0.21, Neuroepithelial_cell:ESC-derived: 0.16, Astrocyte:Embryonic_stem_cell-derived: 0.14, Neurons:ES_cell-derived_neural_precursor: 0.14, MSC: 0.13, Neurons:Schwann_cell: 0.13, iPS_cells:PDB_1lox-17Puro-10: 0.13, Tissue_stem_cells:CD326-CD56+: 0.13, iPS_cells:PDB_1lox-21Puro-20: 0.13, iPS_cells:PDB_1lox-21Puro-26: 0.13 |
NB14_CTAGTGAAGCTGAACG-1 | Neurons:adrenal_medulla_cell_line | 0.15 | 239.63 | Raw ScoresNeurons:adrenal_medulla_cell_line: 0.22, Neuroepithelial_cell:ESC-derived: 0.18, Neurons:ES_cell-derived_neural_precursor: 0.18, Astrocyte:Embryonic_stem_cell-derived: 0.17, Embryonic_stem_cells: 0.16, iPS_cells:PDB_1lox-21Puro-20: 0.16, iPS_cells:PDB_1lox-17Puro-10: 0.16, iPS_cells:PDB_1lox-21Puro-26: 0.16, iPS_cells:PDB_1lox-17Puro-5: 0.16, iPS_cells:skin_fibroblast-derived: 0.15 |
NB14_GGATTACGTAGCGATG-1 | Neurons:adrenal_medulla_cell_line | 0.15 | 238.88 | Raw ScoresNeurons:adrenal_medulla_cell_line: 0.25, Neuroepithelial_cell:ESC-derived: 0.2, Astrocyte:Embryonic_stem_cell-derived: 0.19, Neurons:ES_cell-derived_neural_precursor: 0.19, Embryonic_stem_cells: 0.18, Tissue_stem_cells:CD326-CD56+: 0.18, iPS_cells:PDB_1lox-21Puro-20: 0.17, iPS_cells:PDB_1lox-17Puro-10: 0.17, iPS_cells:PDB_2lox-22: 0.17, iPS_cells:PDB_1lox-21Puro-26: 0.17 |
NB13_CTAACTTAGCCGCCTA-1 | Neurons:adrenal_medulla_cell_line | 0.23 | 236.23 | Raw ScoresNeurons:adrenal_medulla_cell_line: 0.42, Astrocyte:Embryonic_stem_cell-derived: 0.34, Neuroepithelial_cell:ESC-derived: 0.33, Neurons:ES_cell-derived_neural_precursor: 0.31, iPS_cells:PDB_1lox-21Puro-20: 0.3, iPS_cells:PDB_1lox-21Puro-26: 0.3, iPS_cells:PDB_1lox-17Puro-10: 0.3, iPS_cells:PDB_1lox-17Puro-5: 0.3, Embryonic_stem_cells: 0.29, iPS_cells:PDB_2lox-22: 0.29 |
NB14_AAGGAGCAGAAACCGC-1 | Neurons:adrenal_medulla_cell_line | 0.10 | 230.74 | Raw ScoresNeurons:adrenal_medulla_cell_line: 0.18, Neuroepithelial_cell:ESC-derived: 0.15, Astrocyte:Embryonic_stem_cell-derived: 0.15, Neurons:ES_cell-derived_neural_precursor: 0.15, Chondrocytes:MSC-derived: 0.15, Smooth_muscle_cells:bronchial: 0.15, Osteoblasts: 0.15, Smooth_muscle_cells:bronchial:vit_D: 0.15, iPS_cells:CRL2097_foreskin: 0.14, Tissue_stem_cells:BM_MSC:BMP2: 0.14 |
NB14_AGATTGCAGTCATCCA-1 | Neurons:adrenal_medulla_cell_line | 0.14 | 230.32 | Raw ScoresNeurons:adrenal_medulla_cell_line: 0.21, Neuroepithelial_cell:ESC-derived: 0.16, Neurons:ES_cell-derived_neural_precursor: 0.15, Astrocyte:Embryonic_stem_cell-derived: 0.15, iPS_cells:PDB_1lox-21Puro-26: 0.14, iPS_cells:PDB_1lox-21Puro-20: 0.14, Tissue_stem_cells:CD326-CD56+: 0.14, iPS_cells:PDB_1lox-17Puro-5: 0.14, iPS_cells:PDB_1lox-17Puro-10: 0.14, Embryonic_stem_cells: 0.14 |
NB14_TAAGCGTAGAGATGAG-1 | Neurons:adrenal_medulla_cell_line | 0.16 | 230.31 | Raw ScoresNeurons:adrenal_medulla_cell_line: 0.26, Neuroepithelial_cell:ESC-derived: 0.19, Astrocyte:Embryonic_stem_cell-derived: 0.18, iPS_cells:PDB_1lox-21Puro-20: 0.17, Neurons:ES_cell-derived_neural_precursor: 0.17, iPS_cells:PDB_1lox-21Puro-26: 0.17, iPS_cells:PDB_1lox-17Puro-10: 0.17, Tissue_stem_cells:CD326-CD56+: 0.17, iPS_cells:PDB_1lox-17Puro-5: 0.17, iPS_cells:PDB_2lox-22: 0.17 |
NB14_AAAGCAAAGGACAGAA-1 | Neurons:adrenal_medulla_cell_line | 0.14 | 228.35 | Raw ScoresNeurons:adrenal_medulla_cell_line: 0.23, Neuroepithelial_cell:ESC-derived: 0.17, Neurons:ES_cell-derived_neural_precursor: 0.17, Astrocyte:Embryonic_stem_cell-derived: 0.17, Tissue_stem_cells:CD326-CD56+: 0.16, iPS_cells:PDB_1lox-17Puro-5: 0.16, iPS_cells:PDB_1lox-17Puro-10: 0.16, iPS_cells:PDB_1lox-21Puro-26: 0.16, iPS_cells:PDB_1lox-21Puro-20: 0.16, Embryonic_stem_cells: 0.15 |
NB14_CGTGAGCGTTGAACTC-1 | Neurons:adrenal_medulla_cell_line | 0.13 | 224.79 | Raw ScoresNeurons:adrenal_medulla_cell_line: 0.21, Astrocyte:Embryonic_stem_cell-derived: 0.17, Neuroepithelial_cell:ESC-derived: 0.16, Neurons:ES_cell-derived_neural_precursor: 0.16, iPS_cells:PDB_1lox-21Puro-20: 0.15, iPS_cells:PDB_1lox-21Puro-26: 0.14, iPS_cells:PDB_1lox-17Puro-5: 0.14, iPS_cells:PDB_1lox-17Puro-10: 0.14, Embryonic_stem_cells: 0.14, Tissue_stem_cells:CD326-CD56+: 0.14 |
NB14_GTAACTGAGTACGATA-1 | Neurons:adrenal_medulla_cell_line | 0.12 | 223.09 | Raw ScoresNeurons:adrenal_medulla_cell_line: 0.19, Neuroepithelial_cell:ESC-derived: 0.15, Smooth_muscle_cells:bronchial:vit_D: 0.15, Smooth_muscle_cells:bronchial: 0.15, Astrocyte:Embryonic_stem_cell-derived: 0.15, Smooth_muscle_cells:vascular:IL-17: 0.15, Smooth_muscle_cells:vascular: 0.14, Neurons:ES_cell-derived_neural_precursor: 0.14, iPS_cells:CRL2097_foreskin: 0.14, iPS_cells:adipose_stem_cells: 0.14 |
Below shows the significant enrichments of this GEP for literature curated gene lists
This data was procured from existing single cell RNA-seq maps of neuroblastoma or related relevant data.
High ranks indicate this gene is a driver of this GEP.
These curated gene list are ranked by the P-value (on this GEP) of their constituent genes.
The Mean Count column shows the mean read count in cells scoring highly (H > 50) on this gene expression program.
Genes | Weight | Rank | GTEx | DepMap | Decartes | Mean.Counts | Mean.TPM |
---|---|---|---|---|---|---|---|
RGS5 | 0.0044652 | 126 | GTEx | DepMap | Descartes | 0.58 | 439.02 |
COL1A1 | 0.0036897 | 182 | GTEx | DepMap | Descartes | 0.71 | 457.45 |
POSTN | 0.0036784 | 184 | GTEx | DepMap | Descartes | 0.18 | 227.92 |
MMP2 | 0.0028062 | 329 | GTEx | DepMap | Descartes | 0.12 | 143.11 |
COL1A2 | 0.0024567 | 412 | GTEx | DepMap | Descartes | 0.77 | 491.83 |
ACTG2 | 0.0022909 | 462 | GTEx | DepMap | Descartes | 0.02 | 48.94 |
PGF | 0.0021582 | 509 | GTEx | DepMap | Descartes | 0.06 | 61.96 |
TPM2 | 0.0020322 | 569 | GTEx | DepMap | Descartes | 0.10 | 227.36 |
FN1 | 0.0016008 | 851 | GTEx | DepMap | Descartes | 0.33 | 144.54 |
COL3A1 | 0.0015482 | 893 | GTEx | DepMap | Descartes | 0.36 | 255.97 |
IGFBP7 | 0.0012343 | 1239 | GTEx | DepMap | Descartes | 0.19 | 486.05 |
BGN | 0.0012075 | 1289 | GTEx | DepMap | Descartes | 0.08 | 124.94 |
CNN2 | 0.0010529 | 1512 | GTEx | DepMap | Descartes | 0.02 | 30.58 |
COL5A1 | 0.0010088 | 1583 | GTEx | DepMap | Descartes | 0.09 | 38.63 |
COL4A1 | 0.0009925 | 1613 | GTEx | DepMap | Descartes | 0.09 | 53.96 |
COL15A1 | 0.0008872 | 1818 | GTEx | DepMap | Descartes | 0.03 | 17.18 |
TGFB1 | 0.0008181 | 2013 | GTEx | DepMap | Descartes | 0.07 | 102.79 |
THY1 | 0.0008003 | 2052 | GTEx | DepMap | Descartes | 0.06 | 57.35 |
ACTA2 | 0.0007822 | 2098 | GTEx | DepMap | Descartes | 0.05 | 142.89 |
WNT5A | 0.0007343 | 2242 | GTEx | DepMap | Descartes | 0.01 | 3.97 |
TNC | 0.0006739 | 2440 | GTEx | DepMap | Descartes | 0.06 | 28.10 |
COL5A2 | 0.0005867 | 2742 | GTEx | DepMap | Descartes | 0.10 | 53.22 |
COL11A1 | 0.0005232 | 2990 | GTEx | DepMap | Descartes | 0.04 | 16.84 |
MMP11 | 0.0005146 | 3030 | GTEx | DepMap | Descartes | 0.01 | 12.50 |
TPM1 | 0.0004832 | 3172 | GTEx | DepMap | Descartes | 0.13 | 126.57 |
DCN | 0.0004397 | 3385 | GTEx | DepMap | Descartes | 0.04 | 19.63 |
COL13A1 | 0.0003946 | 3599 | GTEx | DepMap | Descartes | 0.01 | 11.68 |
COL10A1 | 0.0003766 | 3708 | GTEx | DepMap | Descartes | 0.01 | 4.63 |
MYL9 | 0.0003369 | 3948 | GTEx | DepMap | Descartes | 0.03 | 48.06 |
VEGFA | 0.0003045 | 4134 | GTEx | DepMap | Descartes | 0.06 | 19.32 |
LUM | 0.0002989 | 4176 | GTEx | DepMap | Descartes | 0.05 | 64.58 |
CNN3 | 0.0002737 | 4325 | GTEx | DepMap | Descartes | 0.07 | 151.37 |
THBS2 | 0.0002528 | 4470 | GTEx | DepMap | Descartes | 0.05 | 32.34 |
TAGLN | 0.0002194 | 4692 | GTEx | DepMap | Descartes | 0.03 | 37.32 |
TMEM119 | 0.0001538 | 5174 | GTEx | DepMap | Descartes | 0.01 | 11.07 |
TGFBR1 | 0.0000703 | 5828 | GTEx | DepMap | Descartes | 0.08 | 49.59 |
COL12A1 | 0.0000571 | 5935 | GTEx | DepMap | Descartes | 0.03 | 10.04 |
TGFB2 | -0.0000508 | 6950 | GTEx | DepMap | Descartes | 0.01 | 5.05 |
COL14A1 | -0.0000725 | 7230 | GTEx | DepMap | Descartes | 0.02 | 8.10 |
IGFBP3 | -0.0000761 | 7274 | GTEx | DepMap | Descartes | 0.01 | 16.09 |
HOPX | -0.0001071 | 7641 | GTEx | DepMap | Descartes | 0.00 | 2.59 |
MYLK | -0.0001620 | 8257 | GTEx | DepMap | Descartes | 0.01 | 2.75 |
ITGA7 | -0.0002172 | 8795 | GTEx | DepMap | Descartes | 0.01 | 4.07 |
COL8A1 | -0.0002342 | 8959 | GTEx | DepMap | Descartes | 0.03 | 17.44 |
MYH11 | -0.0002928 | 9432 | GTEx | DepMap | Descartes | 0.00 | 1.74 |
TGFBR2 | -0.0004236 | 10313 | GTEx | DepMap | Descartes | 0.02 | 9.92 |
MEF2C | -0.0004400 | 10416 | GTEx | DepMap | Descartes | 0.04 | 16.58 |
VCAN | -0.0007282 | 11456 | GTEx | DepMap | Descartes | 0.06 | 16.35 |
THBS1 | -0.0008695 | 11727 | GTEx | DepMap | Descartes | 0.03 | 13.44 |
Mesenchymal Fig 1D (Olsen)
Selected mesenchymal marker genes shown in Fig. 1D of Olsen et al. https://www.biorxiv.org/content/10.1101/2020.05.04.077057v1 - these are highly expressed in their mesenchymal cluster on their UMAP.:
Wilcoxon ranksum test P-value for gene set overrepresentation: 8.10e-04
Mean rank of genes in gene set: 3109.23
Rank on gene expression program of genes in gene set:
Genes | Weight | Rank | GTEx | DepMap | Decartes | Mean.Counts | Mean.TPM |
---|---|---|---|---|---|---|---|
COL1A1 | 0.0036897 | 182 | GTEx | DepMap | Descartes | 0.71 | 457.45 |
COL1A2 | 0.0024567 | 412 | GTEx | DepMap | Descartes | 0.77 | 491.83 |
SPARC | 0.0021406 | 517 | GTEx | DepMap | Descartes | 0.27 | 314.80 |
CALD1 | 0.0021119 | 533 | GTEx | DepMap | Descartes | 0.46 | 344.84 |
COL3A1 | 0.0015482 | 893 | GTEx | DepMap | Descartes | 0.36 | 255.97 |
COL6A2 | 0.0014929 | 943 | GTEx | DepMap | Descartes | 0.16 | 152.72 |
BGN | 0.0012075 | 1289 | GTEx | DepMap | Descartes | 0.08 | 124.94 |
PRRX1 | 0.0007719 | 2122 | GTEx | DepMap | Descartes | 0.03 | 27.69 |
DCN | 0.0004397 | 3385 | GTEx | DepMap | Descartes | 0.04 | 19.63 |
LUM | 0.0002989 | 4176 | GTEx | DepMap | Descartes | 0.05 | 64.58 |
PDGFRA | -0.0000122 | 6540 | GTEx | DepMap | Descartes | 0.01 | 3.30 |
LEPR | -0.0001676 | 8328 | GTEx | DepMap | Descartes | 0.02 | 9.09 |
MGP | -0.0006001 | 11100 | GTEx | DepMap | Descartes | 0.03 | 67.34 |
Mesenchymal cells (Jansky)
Mentioned in the main text (Jansky et al, Nature Genetics (2021)), page 1, that COL1A1+ Mesenchymal were identified in their fetal adrenal glands, this is also highlighted in the UMAP plot on their Fig 1B. Additional genes also shown in their Extended data Figure 2D.:
Wilcoxon ranksum test P-value for gene set overrepresentation: 4.47e-03
Mean rank of genes in gene set: 808
Rank on gene expression program of genes in gene set:
Genes | Weight | Rank | GTEx | DepMap | Decartes | Mean.Counts | Mean.TPM |
---|---|---|---|---|---|---|---|
COL1A1 | 0.0036897 | 182 | GTEx | DepMap | Descartes | 0.71 | 457.45 |
COL1A2 | 0.0024567 | 412 | GTEx | DepMap | Descartes | 0.77 | 491.83 |
PDGFRB | 0.0008819 | 1830 | GTEx | DepMap | Descartes | 0.03 | 18.87 |
Below shows ranks on this GEP for literature curated gene lists for large gene sets
These include those reported as mesenchymal/adrenergic by Van Groningen et al.
High ranks indicate this gene is a driver of this GEP (note these results are not ordered).
The Mean Count column shows the mean read count in cells scoring highly (H > 50) on this gene expression program.
VanGroningen Adrenergic Genes
Adrenergic marker genes from Supplementary Table 2 of Van Groningen et al. Nature Genetics 2017. These genes were identified by differential expression analysis of mesenchymal-like and adrenergic-like neuroblastoma cell lines.
Wilcoxon ranksum test P-value for gene set overrepresentation: 1.00e+00
Mean rank of genes in gene set: 7006.35
Median rank of genes in gene set: 7774
Rank on gene expression program of top 30 genes in gene set:
Genes | Weight | Rank | GTEx | DepMap | Descartes | Mean.Counts | Mean.TPM |
---|---|---|---|---|---|---|---|
CHGA | 0.0197936 | 1 | GTEx | DepMap | Descartes | 3.32 | 6803.85 |
DLK1 | 0.0169486 | 3 | GTEx | DepMap | Descartes | 1.54 | 1490.73 |
STRA6 | 0.0169388 | 5 | GTEx | DepMap | Descartes | 0.80 | 1103.42 |
FAM155A | 0.0150706 | 7 | GTEx | DepMap | Descartes | 5.30 | 2348.91 |
RET | 0.0145396 | 8 | GTEx | DepMap | Descartes | 0.58 | 405.80 |
RRM2 | 0.0116163 | 16 | GTEx | DepMap | Descartes | 0.60 | 718.97 |
CACNA2D2 | 0.0090320 | 26 | GTEx | DepMap | Descartes | 0.28 | 198.57 |
CHGB | 0.0073304 | 46 | GTEx | DepMap | Descartes | 1.18 | 2045.75 |
PRSS12 | 0.0061842 | 60 | GTEx | DepMap | Descartes | 0.24 | 199.08 |
MSI2 | 0.0049908 | 91 | GTEx | DepMap | Descartes | 1.07 | 523.05 |
THSD7A | 0.0049290 | 97 | GTEx | DepMap | Descartes | 1.23 | 478.14 |
MAGI3 | 0.0045626 | 120 | GTEx | DepMap | Descartes | 0.49 | 283.49 |
RGS5 | 0.0044652 | 126 | GTEx | DepMap | Descartes | 0.58 | 439.02 |
DACH1 | 0.0042393 | 141 | GTEx | DepMap | Descartes | 0.43 | 363.75 |
GATA2 | 0.0041690 | 146 | GTEx | DepMap | Descartes | 0.35 | 419.79 |
ESRRG | 0.0041168 | 151 | GTEx | DepMap | Descartes | 0.32 | 237.09 |
HAND1 | 0.0037780 | 174 | GTEx | DepMap | Descartes | 0.17 | 428.98 |
CACNA1B | 0.0037575 | 175 | GTEx | DepMap | Descartes | 0.67 | 241.66 |
PHF21B | 0.0037106 | 180 | GTEx | DepMap | Descartes | 0.18 | 164.18 |
RBMS3 | 0.0035984 | 195 | GTEx | DepMap | Descartes | 1.93 | 889.71 |
HEY1 | 0.0035780 | 200 | GTEx | DepMap | Descartes | 0.05 | 60.81 |
CEP44 | 0.0034873 | 213 | GTEx | DepMap | Descartes | 0.20 | 207.51 |
DPYSL3 | 0.0034713 | 216 | GTEx | DepMap | Descartes | 0.45 | 343.52 |
EML4 | 0.0034606 | 217 | GTEx | DepMap | Descartes | 0.37 | 272.18 |
RALGDS | 0.0032220 | 250 | GTEx | DepMap | Descartes | 0.28 | 171.82 |
EML6 | 0.0031882 | 257 | GTEx | DepMap | Descartes | 0.42 | 169.87 |
CYGB | 0.0031540 | 262 | GTEx | DepMap | Descartes | 0.16 | 315.92 |
INSM2 | 0.0031321 | 264 | GTEx | DepMap | Descartes | 0.17 | 241.48 |
SHC3 | 0.0029418 | 297 | GTEx | DepMap | Descartes | 0.12 | 47.60 |
IRS2 | 0.0029187 | 303 | GTEx | DepMap | Descartes | 0.19 | 93.71 |
VanGroningen Mesenchymal Genes
Mesenchymal marker genes from Supplementary Table 2 of Van Groningen et al. Nature Genetics 2017. These genes were identified by differential expression analysis of mesenchymal-like and adrenergic-like neuroblastoma cell lines.
Wilcoxon ranksum test P-value for gene set overrepresentation: 1.72e-06
Mean rank of genes in gene set: 5482.7
Median rank of genes in gene set: 4824
Rank on gene expression program of top 30 genes in gene set:
Genes | Weight | Rank | GTEx | DepMap | Descartes | Mean.Counts | Mean.TPM |
---|---|---|---|---|---|---|---|
PDIA6 | 0.0169478 | 4 | GTEx | DepMap | Descartes | 1.76 | 2883.91 |
ITPR1 | 0.0069989 | 51 | GTEx | DepMap | Descartes | 0.22 | 89.16 |
SHC1 | 0.0054258 | 79 | GTEx | DepMap | Descartes | 0.36 | 415.95 |
CRABP2 | 0.0051622 | 85 | GTEx | DepMap | Descartes | 0.09 | 376.97 |
SPRY4 | 0.0048408 | 101 | GTEx | DepMap | Descartes | 0.07 | 57.15 |
ACADVL | 0.0047749 | 107 | GTEx | DepMap | Descartes | 0.32 | 496.53 |
SHROOM3 | 0.0043774 | 133 | GTEx | DepMap | Descartes | 0.09 | 33.58 |
FLNA | 0.0043616 | 134 | GTEx | DepMap | Descartes | 0.26 | 120.95 |
COL1A1 | 0.0036897 | 182 | GTEx | DepMap | Descartes | 0.71 | 457.45 |
POSTN | 0.0036784 | 184 | GTEx | DepMap | Descartes | 0.18 | 227.92 |
PTPRG | 0.0036757 | 185 | GTEx | DepMap | Descartes | 0.39 | 165.28 |
SVIL | 0.0036525 | 189 | GTEx | DepMap | Descartes | 0.20 | 95.98 |
MEST | 0.0035499 | 204 | GTEx | DepMap | Descartes | 0.21 | 346.59 |
LGALS1 | 0.0034835 | 215 | GTEx | DepMap | Descartes | 0.17 | 1135.55 |
TMED9 | 0.0034512 | 220 | GTEx | DepMap | Descartes | 0.15 | 265.12 |
MMP2 | 0.0028062 | 329 | GTEx | DepMap | Descartes | 0.12 | 143.11 |
SSBP4 | 0.0027670 | 338 | GTEx | DepMap | Descartes | 0.24 | 528.94 |
FZD2 | 0.0027124 | 343 | GTEx | DepMap | Descartes | 0.02 | 21.15 |
PTBP1 | 0.0024729 | 406 | GTEx | DepMap | Descartes | 0.19 | 156.45 |
TPBG | 0.0023069 | 453 | GTEx | DepMap | Descartes | 0.02 | 12.03 |
SQSTM1 | 0.0022240 | 486 | GTEx | DepMap | Descartes | 0.19 | 248.04 |
GDF15 | 0.0021861 | 498 | GTEx | DepMap | Descartes | 0.03 | 112.76 |
NFIC | 0.0021669 | 504 | GTEx | DepMap | Descartes | 0.15 | 61.90 |
PTPRK | 0.0021596 | 508 | GTEx | DepMap | Descartes | 0.39 | NA |
CRTAP | 0.0021523 | 512 | GTEx | DepMap | Descartes | 0.06 | 37.51 |
SPARC | 0.0021406 | 517 | GTEx | DepMap | Descartes | 0.27 | 314.80 |
CALD1 | 0.0021119 | 533 | GTEx | DepMap | Descartes | 0.46 | 344.84 |
SERPINH1 | 0.0020843 | 546 | GTEx | DepMap | Descartes | 0.05 | 58.12 |
TPM2 | 0.0020322 | 569 | GTEx | DepMap | Descartes | 0.10 | 227.36 |
STAT3 | 0.0019942 | 588 | GTEx | DepMap | Descartes | 0.20 | 153.21 |
Descartes adrenocortical markers
Top 50 marker genes of adrenocortical cells in the Decartes fetal adrenal single cell map (https://atlas.brotmanbaty.org/bbi/human-gene-expression-during-development/cell/adrenocortical/in/adrenal)
Wilcoxon ranksum test P-value for gene set overrepresentation: 8.54e-01
Mean rank of genes in gene set: 6911.06
Median rank of genes in gene set: 8808.5
Rank on gene expression program of top 30 genes in gene set:
Genes | Weight | Rank | GTEx | DepMap | Descartes | Mean.Counts | Mean.TPM |
---|---|---|---|---|---|---|---|
PDE10A | 0.0133388 | 10 | GTEx | DepMap | Descartes | 1.14 | 511.79 |
IGF1R | 0.0038925 | 166 | GTEx | DepMap | Descartes | 0.53 | 170.96 |
FREM2 | 0.0022173 | 489 | GTEx | DepMap | Descartes | 0.02 | 4.89 |
FDXR | 0.0020164 | 578 | GTEx | DepMap | Descartes | 0.05 | 80.19 |
DNER | 0.0018809 | 650 | GTEx | DepMap | Descartes | 0.10 | 137.20 |
FDPS | 0.0017325 | 743 | GTEx | DepMap | Descartes | 0.17 | 318.82 |
SCAP | 0.0017287 | 746 | GTEx | DepMap | Descartes | 0.12 | 106.38 |
SCARB1 | 0.0017204 | 754 | GTEx | DepMap | Descartes | 0.09 | 63.76 |
ERN1 | 0.0015148 | 924 | GTEx | DepMap | Descartes | 0.04 | 21.64 |
JAKMIP2 | 0.0013120 | 1157 | GTEx | DepMap | Descartes | 0.20 | 87.49 |
SH3PXD2B | 0.0013043 | 1167 | GTEx | DepMap | Descartes | 0.07 | 33.50 |
GRAMD1B | 0.0008748 | 1849 | GTEx | DepMap | Descartes | 0.05 | 22.39 |
INHA | 0.0004392 | 3388 | GTEx | DepMap | Descartes | 0.00 | 12.69 |
STAR | 0.0000024 | 6420 | GTEx | DepMap | Descartes | 0.00 | 0.62 |
GSTA4 | -0.0001058 | 7627 | GTEx | DepMap | Descartes | 0.07 | 165.40 |
CYB5B | -0.0001151 | 7727 | GTEx | DepMap | Descartes | 0.06 | 60.55 |
DHCR7 | -0.0001522 | 8140 | GTEx | DepMap | Descartes | 0.01 | 10.72 |
FDX1 | -0.0002098 | 8725 | GTEx | DepMap | Descartes | 0.01 | 12.82 |
TM7SF2 | -0.0002270 | 8892 | GTEx | DepMap | Descartes | 0.03 | 52.01 |
BAIAP2L1 | -0.0002681 | 9244 | GTEx | DepMap | Descartes | 0.01 | 5.69 |
NPC1 | -0.0002893 | 9405 | GTEx | DepMap | Descartes | 0.04 | 32.08 |
HMGCR | -0.0003537 | 9866 | GTEx | DepMap | Descartes | 0.05 | 41.84 |
DHCR24 | -0.0003579 | 9898 | GTEx | DepMap | Descartes | 0.03 | 18.56 |
POR | -0.0003884 | 10093 | GTEx | DepMap | Descartes | 0.03 | 37.26 |
LDLR | -0.0004603 | 10510 | GTEx | DepMap | Descartes | 0.01 | 6.69 |
SLC16A9 | -0.0005036 | 10743 | GTEx | DepMap | Descartes | 0.03 | 22.74 |
PAPSS2 | -0.0005714 | 10999 | GTEx | DepMap | Descartes | 0.01 | 8.93 |
APOC1 | -0.0006880 | 11333 | GTEx | DepMap | Descartes | 0.04 | 212.45 |
SH3BP5 | -0.0007278 | 11455 | GTEx | DepMap | Descartes | 0.02 | 27.29 |
MSMO1 | -0.0008161 | 11632 | GTEx | DepMap | Descartes | 0.02 | 27.46 |
Descartes chromaffin markers
Top 50 marker genes of chromaffin cells in the Decartes fetal adrenal single cell map (https://atlas.brotmanbaty.org/bbi/human-gene-expression-during-development/cell/chromaffin/in/adrenal)
Wilcoxon ranksum test P-value for gene set overrepresentation: 1.00e+00
Mean rank of genes in gene set: 10955.71
Median rank of genes in gene set: 12399
Rank on gene expression program of top 30 genes in gene set:
Genes | Weight | Rank | GTEx | DepMap | Descartes | Mean.Counts | Mean.TPM |
---|---|---|---|---|---|---|---|
RPH3A | 0.0031260 | 267 | GTEx | DepMap | Descartes | 0.05 | 37.81 |
NTRK1 | 0.0010863 | 1460 | GTEx | DepMap | Descartes | 0.09 | 111.25 |
CNKSR2 | 0.0006713 | 2452 | GTEx | DepMap | Descartes | 0.22 | 109.82 |
ISL1 | 0.0003747 | 3722 | GTEx | DepMap | Descartes | 0.32 | 545.03 |
GAL | 0.0001901 | 4920 | GTEx | DepMap | Descartes | 0.25 | 1249.44 |
EYA1 | -0.0001206 | 7781 | GTEx | DepMap | Descartes | 0.30 | 288.57 |
MAB21L1 | -0.0003386 | 9767 | GTEx | DepMap | Descartes | 0.04 | 56.88 |
GREM1 | -0.0004890 | 10660 | GTEx | DepMap | Descartes | 0.00 | 0.00 |
MAB21L2 | -0.0008184 | 11637 | GTEx | DepMap | Descartes | 0.03 | 56.75 |
SYNPO2 | -0.0010752 | 11979 | GTEx | DepMap | Descartes | 0.14 | 29.90 |
MAP1B | -0.0011589 | 12048 | GTEx | DepMap | Descartes | 0.48 | 159.61 |
CNTFR | -0.0012581 | 12113 | GTEx | DepMap | Descartes | 0.02 | 36.38 |
PTCHD1 | -0.0013030 | 12139 | GTEx | DepMap | Descartes | 0.01 | 3.26 |
REEP1 | -0.0013738 | 12203 | GTEx | DepMap | Descartes | 0.02 | 19.20 |
SLC6A2 | -0.0014598 | 12241 | GTEx | DepMap | Descartes | 0.03 | 29.09 |
RGMB | -0.0015034 | 12256 | GTEx | DepMap | Descartes | 0.05 | 45.82 |
FAT3 | -0.0016154 | 12300 | GTEx | DepMap | Descartes | 0.01 | 1.46 |
PLXNA4 | -0.0016767 | 12317 | GTEx | DepMap | Descartes | 0.02 | 5.02 |
MLLT11 | -0.0017887 | 12352 | GTEx | DepMap | Descartes | 0.13 | 230.81 |
TMEFF2 | -0.0018778 | 12368 | GTEx | DepMap | Descartes | 0.01 | 4.06 |
ANKFN1 | -0.0020601 | 12399 | GTEx | DepMap | Descartes | 0.01 | 5.13 |
HS3ST5 | -0.0020949 | 12408 | GTEx | DepMap | Descartes | 0.06 | 50.99 |
TUBB2A | -0.0021334 | 12415 | GTEx | DepMap | Descartes | 0.05 | 114.00 |
GAP43 | -0.0021974 | 12421 | GTEx | DepMap | Descartes | 0.06 | 119.66 |
SLC44A5 | -0.0022902 | 12436 | GTEx | DepMap | Descartes | 0.03 | 13.58 |
KCNB2 | -0.0023739 | 12446 | GTEx | DepMap | Descartes | 0.11 | 87.69 |
ELAVL2 | -0.0025011 | 12463 | GTEx | DepMap | Descartes | 0.07 | 64.24 |
BASP1 | -0.0025104 | 12465 | GTEx | DepMap | Descartes | 0.10 | 211.09 |
EPHA6 | -0.0026143 | 12475 | GTEx | DepMap | Descartes | 0.06 | 20.47 |
EYA4 | -0.0028666 | 12495 | GTEx | DepMap | Descartes | 0.07 | 43.35 |
Descartes Vascular_endothelial markers
Top 50 marker genes of Vascular_endothelial cells in the Decartes fetal adrenal single cell map (https://atlas.brotmanbaty.org/bbi/human-gene-expression-during-development/cell/vascular_endothelial/in/adrenal)
Wilcoxon ranksum test P-value for gene set overrepresentation: 7.40e-01
Mean rank of genes in gene set: 6652.63
Median rank of genes in gene set: 6287
Rank on gene expression program of top 30 genes in gene set:
Genes | Weight | Rank | GTEx | DepMap | Descartes | Mean.Counts | Mean.TPM |
---|---|---|---|---|---|---|---|
MYRIP | 0.0023291 | 446 | GTEx | DepMap | Descartes | 0.12 | 77.36 |
PLVAP | 0.0012644 | 1209 | GTEx | DepMap | Descartes | 0.03 | 34.69 |
HYAL2 | 0.0010028 | 1591 | GTEx | DepMap | Descartes | 0.04 | 37.86 |
TMEM88 | 0.0007874 | 2083 | GTEx | DepMap | Descartes | 0.03 | 129.54 |
SHANK3 | 0.0007856 | 2089 | GTEx | DepMap | Descartes | 0.03 | 14.17 |
KDR | 0.0006637 | 2479 | GTEx | DepMap | Descartes | 0.01 | 6.03 |
EHD3 | 0.0003916 | 3620 | GTEx | DepMap | Descartes | 0.01 | 9.66 |
FLT4 | 0.0003355 | 3957 | GTEx | DepMap | Descartes | 0.01 | 5.09 |
NOTCH4 | 0.0003089 | 4105 | GTEx | DepMap | Descartes | 0.02 | 7.71 |
CDH5 | 0.0003075 | 4112 | GTEx | DepMap | Descartes | 0.01 | 7.00 |
ESM1 | 0.0002447 | 4517 | GTEx | DepMap | Descartes | 0.00 | 7.46 |
TIE1 | 0.0002101 | 4760 | GTEx | DepMap | Descartes | 0.01 | 7.26 |
RASIP1 | 0.0002078 | 4785 | GTEx | DepMap | Descartes | 0.01 | 5.97 |
ROBO4 | 0.0001939 | 4890 | GTEx | DepMap | Descartes | 0.01 | 4.75 |
NPR1 | 0.0001784 | 4993 | GTEx | DepMap | Descartes | 0.00 | 2.18 |
CLDN5 | 0.0001274 | 5365 | GTEx | DepMap | Descartes | 0.01 | 11.29 |
MMRN2 | 0.0000905 | 5649 | GTEx | DepMap | Descartes | 0.00 | 4.78 |
F8 | 0.0000662 | 5859 | GTEx | DepMap | Descartes | 0.00 | 0.98 |
IRX3 | 0.0000312 | 6147 | GTEx | DepMap | Descartes | 0.00 | 3.98 |
CRHBP | 0.0000017 | 6427 | GTEx | DepMap | Descartes | 0.00 | 1.72 |
KANK3 | -0.0000390 | 6810 | GTEx | DepMap | Descartes | 0.00 | 4.76 |
CALCRL | -0.0000767 | 7286 | GTEx | DepMap | Descartes | 0.01 | 7.43 |
SLCO2A1 | -0.0001008 | 7561 | GTEx | DepMap | Descartes | 0.00 | 2.63 |
PODXL | -0.0001166 | 7740 | GTEx | DepMap | Descartes | 0.02 | 14.25 |
CYP26B1 | -0.0001320 | 7924 | GTEx | DepMap | Descartes | 0.00 | 1.35 |
BTNL9 | -0.0001574 | 8205 | GTEx | DepMap | Descartes | 0.00 | 1.69 |
GALNT15 | -0.0001660 | 8309 | GTEx | DepMap | Descartes | 0.00 | NA |
RAMP2 | -0.0002445 | 9042 | GTEx | DepMap | Descartes | 0.02 | 87.78 |
SHE | -0.0002577 | 9166 | GTEx | DepMap | Descartes | 0.00 | 0.76 |
ID1 | -0.0004002 | 10172 | GTEx | DepMap | Descartes | 0.01 | 37.65 |
Descartes stromal markers
Top 50 marker genes of stromal cells in the Decartes fetal adrenal single cell map (https://atlas.brotmanbaty.org/bbi/human-gene-expression-during-development/cell/stromal/in/adrenal)
Wilcoxon ranksum test P-value for gene set overrepresentation: 1.21e-01
Mean rank of genes in gene set: 5637.5
Median rank of genes in gene set: 6237.5
Rank on gene expression program of top 30 genes in gene set:
Genes | Weight | Rank | GTEx | DepMap | Descartes | Mean.Counts | Mean.TPM |
---|---|---|---|---|---|---|---|
ISLR | 0.0056121 | 75 | GTEx | DepMap | Descartes | 0.11 | 203.91 |
COL1A1 | 0.0036897 | 182 | GTEx | DepMap | Descartes | 0.71 | 457.45 |
POSTN | 0.0036784 | 184 | GTEx | DepMap | Descartes | 0.18 | 227.92 |
CD248 | 0.0034068 | 225 | GTEx | DepMap | Descartes | 0.05 | 83.51 |
COL1A2 | 0.0024567 | 412 | GTEx | DepMap | Descartes | 0.77 | 491.83 |
PCOLCE | 0.0019153 | 627 | GTEx | DepMap | Descartes | 0.27 | 671.47 |
COL3A1 | 0.0015482 | 893 | GTEx | DepMap | Descartes | 0.36 | 255.97 |
COL6A3 | 0.0013348 | 1126 | GTEx | DepMap | Descartes | 0.11 | 40.36 |
GLI2 | 0.0012038 | 1296 | GTEx | DepMap | Descartes | 0.02 | 10.13 |
SFRP2 | 0.0011400 | 1389 | GTEx | DepMap | Descartes | 0.03 | 59.84 |
ACTA2 | 0.0007822 | 2098 | GTEx | DepMap | Descartes | 0.05 | 142.89 |
PRRX1 | 0.0007719 | 2122 | GTEx | DepMap | Descartes | 0.03 | 27.69 |
PCDH18 | 0.0006914 | 2373 | GTEx | DepMap | Descartes | 0.01 | 4.32 |
EDNRA | 0.0006047 | 2685 | GTEx | DepMap | Descartes | 0.03 | 19.48 |
DCN | 0.0004397 | 3385 | GTEx | DepMap | Descartes | 0.04 | 19.63 |
CDH11 | 0.0004155 | 3487 | GTEx | DepMap | Descartes | 0.06 | 30.69 |
ELN | 0.0003291 | 3994 | GTEx | DepMap | Descartes | 0.05 | 49.62 |
LUM | 0.0002989 | 4176 | GTEx | DepMap | Descartes | 0.05 | 64.58 |
ABCC9 | 0.0001811 | 4979 | GTEx | DepMap | Descartes | 0.01 | 3.22 |
LOX | 0.0001643 | 5113 | GTEx | DepMap | Descartes | 0.01 | 7.12 |
ADAMTSL3 | 0.0000706 | 5824 | GTEx | DepMap | Descartes | 0.01 | 6.32 |
COL12A1 | 0.0000571 | 5935 | GTEx | DepMap | Descartes | 0.03 | 10.04 |
PDGFRA | -0.0000122 | 6540 | GTEx | DepMap | Descartes | 0.01 | 3.30 |
DKK2 | -0.0000140 | 6556 | GTEx | DepMap | Descartes | 0.01 | 10.05 |
COL27A1 | -0.0000253 | 6686 | GTEx | DepMap | Descartes | 0.02 | 5.38 |
SCARA5 | -0.0000368 | 6788 | GTEx | DepMap | Descartes | 0.00 | 1.06 |
ITGA11 | -0.0000436 | 6858 | GTEx | DepMap | Descartes | 0.01 | 2.39 |
BICC1 | -0.0000636 | 7112 | GTEx | DepMap | Descartes | 0.10 | 63.39 |
IGFBP3 | -0.0000761 | 7274 | GTEx | DepMap | Descartes | 0.01 | 16.09 |
ADAMTS2 | -0.0000771 | 7287 | GTEx | DepMap | Descartes | 0.04 | 18.88 |
Descartes sympathoblasts markers
Top 50 marker genes of sympathoblasts cells in the Decartes fetal adrenal single cell map (https://atlas.brotmanbaty.org/bbi/human-gene-expression-during-development/cell/sympathoblasts/in/adrenal)
Wilcoxon ranksum test P-value for gene set overrepresentation: 7.04e-01
Mean rank of genes in gene set: 6589.34
Median rank of genes in gene set: 9864.5
Rank on gene expression program of top 30 genes in gene set:
Genes | Weight | Rank | GTEx | DepMap | Descartes | Mean.Counts | Mean.TPM |
---|---|---|---|---|---|---|---|
CHGA | 0.0197936 | 1 | GTEx | DepMap | Descartes | 3.32 | 6803.85 |
FAM155A | 0.0150706 | 7 | GTEx | DepMap | Descartes | 5.30 | 2348.91 |
ST18 | 0.0130227 | 11 | GTEx | DepMap | Descartes | 0.51 | 354.01 |
FGF14 | 0.0082252 | 36 | GTEx | DepMap | Descartes | 2.68 | 861.47 |
SLC35F3 | 0.0079604 | 37 | GTEx | DepMap | Descartes | 0.34 | 397.51 |
PCSK2 | 0.0075864 | 41 | GTEx | DepMap | Descartes | 0.41 | 351.78 |
SLC18A1 | 0.0073638 | 45 | GTEx | DepMap | Descartes | 0.29 | 394.49 |
CHGB | 0.0073304 | 46 | GTEx | DepMap | Descartes | 1.18 | 2045.75 |
C1QL1 | 0.0054629 | 78 | GTEx | DepMap | Descartes | 0.17 | 485.19 |
MGAT4C | 0.0034445 | 221 | GTEx | DepMap | Descartes | 0.28 | 43.18 |
EML6 | 0.0031882 | 257 | GTEx | DepMap | Descartes | 0.42 | 169.87 |
SLC24A2 | 0.0020566 | 559 | GTEx | DepMap | Descartes | 0.05 | 18.50 |
ARC | 0.0015610 | 883 | GTEx | DepMap | Descartes | 0.07 | 101.27 |
GCH1 | 0.0010517 | 1514 | GTEx | DepMap | Descartes | 0.14 | 200.77 |
PACRG | 0.0009898 | 1616 | GTEx | DepMap | Descartes | 0.12 | 288.79 |
DGKK | 0.0008425 | 1928 | GTEx | DepMap | Descartes | 0.01 | 5.59 |
HTATSF1 | 0.0007916 | 2073 | GTEx | DepMap | Descartes | 0.09 | 124.61 |
LAMA3 | 0.0003210 | 4041 | GTEx | DepMap | Descartes | 0.03 | 11.43 |
PENK | -0.0002459 | 9058 | GTEx | DepMap | Descartes | 0.00 | 6.75 |
SORCS3 | -0.0004909 | 10671 | GTEx | DepMap | Descartes | 0.00 | 1.95 |
UNC80 | -0.0005340 | 10868 | GTEx | DepMap | Descartes | 0.18 | 52.23 |
CNTN3 | -0.0005512 | 10924 | GTEx | DepMap | Descartes | 0.00 | 1.51 |
KSR2 | -0.0009174 | 11802 | GTEx | DepMap | Descartes | 0.05 | 10.47 |
CDH12 | -0.0010124 | 11920 | GTEx | DepMap | Descartes | 0.01 | 4.74 |
TBX20 | -0.0011781 | 12064 | GTEx | DepMap | Descartes | 0.01 | 12.49 |
TIAM1 | -0.0012614 | 12116 | GTEx | DepMap | Descartes | 0.14 | 64.04 |
CCSER1 | -0.0013277 | 12157 | GTEx | DepMap | Descartes | 0.45 | NA |
AGBL4 | -0.0013501 | 12178 | GTEx | DepMap | Descartes | 0.18 | 161.50 |
ROBO1 | -0.0013647 | 12194 | GTEx | DepMap | Descartes | 0.41 | 168.16 |
SPOCK3 | -0.0014473 | 12235 | GTEx | DepMap | Descartes | 0.03 | 45.09 |
Descartes erythroblasts markers
Top 50 marker genes of erythroblasts cells in the Decartes fetal adrenal single cell map (https://atlas.brotmanbaty.org/bbi/human-gene-expression-during-development/cell/erythroblasts/in/adrenal)
Wilcoxon ranksum test P-value for gene set overrepresentation: 9.29e-01
Mean rank of genes in gene set: 7260.21
Median rank of genes in gene set: 7391
Rank on gene expression program of top 30 genes in gene set:
Genes | Weight | Rank | GTEx | DepMap | Descartes | Mean.Counts | Mean.TPM |
---|---|---|---|---|---|---|---|
SELENBP1 | 0.0022309 | 483 | GTEx | DepMap | Descartes | 0.02 | 24.62 |
DENND4A | 0.0011903 | 1317 | GTEx | DepMap | Descartes | 0.22 | 101.81 |
SLC25A37 | 0.0010892 | 1456 | GTEx | DepMap | Descartes | 0.06 | 43.41 |
ANK1 | 0.0009231 | 1742 | GTEx | DepMap | Descartes | 0.09 | 36.86 |
TMCC2 | 0.0005295 | 2963 | GTEx | DepMap | Descartes | 0.02 | 17.70 |
GCLC | 0.0002644 | 4387 | GTEx | DepMap | Descartes | 0.05 | 59.31 |
CPOX | 0.0001947 | 4886 | GTEx | DepMap | Descartes | 0.01 | 21.02 |
EPB41 | 0.0001717 | 5052 | GTEx | DepMap | Descartes | 0.13 | 76.35 |
SLC4A1 | 0.0001447 | 5233 | GTEx | DepMap | Descartes | 0.00 | 1.09 |
TRAK2 | 0.0000852 | 5692 | GTEx | DepMap | Descartes | 0.03 | 18.95 |
XPO7 | 0.0000763 | 5768 | GTEx | DepMap | Descartes | 0.08 | 64.07 |
SPECC1 | 0.0000112 | 6329 | GTEx | DepMap | Descartes | 0.01 | 3.18 |
ALAS2 | -0.0000594 | 7061 | GTEx | DepMap | Descartes | 0.00 | 0.00 |
BLVRB | -0.0000631 | 7106 | GTEx | DepMap | Descartes | 0.01 | 27.23 |
MICAL2 | -0.0000867 | 7391 | GTEx | DepMap | Descartes | 0.02 | 7.15 |
CAT | -0.0000969 | 7512 | GTEx | DepMap | Descartes | 0.02 | 30.16 |
GYPC | -0.0001168 | 7743 | GTEx | DepMap | Descartes | 0.00 | 11.76 |
RGS6 | -0.0001442 | 8040 | GTEx | DepMap | Descartes | 0.00 | 1.73 |
SLC25A21 | -0.0002818 | 9348 | GTEx | DepMap | Descartes | 0.00 | 1.73 |
MARCH3 | -0.0003302 | 9709 | GTEx | DepMap | Descartes | 0.04 | NA |
SPTB | -0.0004136 | 10253 | GTEx | DepMap | Descartes | 0.01 | 2.83 |
SNCA | -0.0004349 | 10389 | GTEx | DepMap | Descartes | 0.03 | 30.67 |
RHD | -0.0004491 | 10460 | GTEx | DepMap | Descartes | 0.00 | 2.68 |
FECH | -0.0004825 | 10627 | GTEx | DepMap | Descartes | 0.01 | 7.65 |
RAPGEF2 | -0.0007503 | 11501 | GTEx | DepMap | Descartes | 0.13 | 65.29 |
ABCB10 | -0.0008378 | 11673 | GTEx | DepMap | Descartes | 0.01 | 12.39 |
TFR2 | -0.0008604 | 11714 | GTEx | DepMap | Descartes | 0.03 | 42.69 |
SOX6 | -0.0015836 | 12287 | GTEx | DepMap | Descartes | 0.05 | 23.02 |
TSPAN5 | -0.0022097 | 12424 | GTEx | DepMap | Descartes | 0.07 | 53.84 |
NA | NA | NA | NA | NA | NA | NA | NA |
Descartes myeloid markers
Top 50 marker genes of myeloid cells in the Decartes fetal adrenal single cell map (https://atlas.brotmanbaty.org/bbi/human-gene-expression-during-development/cell/myeloid/in/adrenal)
Wilcoxon ranksum test P-value for gene set overrepresentation: 9.91e-01
Mean rank of genes in gene set: 7664.53
Median rank of genes in gene set: 9065.5
Rank on gene expression program of top 30 genes in gene set:
Genes | Weight | Rank | GTEx | DepMap | Descartes | Mean.Counts | Mean.TPM |
---|---|---|---|---|---|---|---|
SFMBT2 | 0.0031138 | 268 | GTEx | DepMap | Descartes | 0.16 | 72.48 |
ITPR2 | 0.0023741 | 439 | GTEx | DepMap | Descartes | 0.13 | 41.72 |
MARCH1 | 0.0022407 | 478 | GTEx | DepMap | Descartes | 0.11 | NA |
CST3 | 0.0009987 | 1605 | GTEx | DepMap | Descartes | 0.10 | 124.78 |
CTSB | 0.0008240 | 1995 | GTEx | DepMap | Descartes | 0.13 | 142.96 |
PTPRE | 0.0008006 | 2051 | GTEx | DepMap | Descartes | 0.07 | 37.82 |
RGL1 | 0.0005964 | 2707 | GTEx | DepMap | Descartes | 0.09 | 68.36 |
LGMN | 0.0003120 | 4084 | GTEx | DepMap | Descartes | 0.04 | 69.27 |
MERTK | 0.0002573 | 4440 | GTEx | DepMap | Descartes | 0.01 | 12.60 |
TGFBI | 0.0001903 | 4918 | GTEx | DepMap | Descartes | 0.03 | 22.59 |
CTSC | 0.0000767 | 5761 | GTEx | DepMap | Descartes | 0.02 | 12.73 |
ADAP2 | 0.0000412 | 6061 | GTEx | DepMap | Descartes | 0.01 | 16.83 |
CPVL | 0.0000393 | 6073 | GTEx | DepMap | Descartes | 0.02 | 33.56 |
MSR1 | -0.0000007 | 6444 | GTEx | DepMap | Descartes | 0.03 | 30.60 |
AXL | -0.0002007 | 8657 | GTEx | DepMap | Descartes | 0.01 | 12.00 |
IFNGR1 | -0.0002055 | 8696 | GTEx | DepMap | Descartes | 0.04 | 59.95 |
MS4A4A | -0.0002139 | 8770 | GTEx | DepMap | Descartes | 0.00 | 6.30 |
CSF1R | -0.0002258 | 8872 | GTEx | DepMap | Descartes | 0.00 | 1.63 |
SLC1A3 | -0.0002358 | 8977 | GTEx | DepMap | Descartes | 0.01 | 7.14 |
CD163 | -0.0002557 | 9154 | GTEx | DepMap | Descartes | 0.00 | 1.96 |
CTSD | -0.0002606 | 9187 | GTEx | DepMap | Descartes | 0.13 | 261.61 |
ATP8B4 | -0.0002707 | 9261 | GTEx | DepMap | Descartes | 0.00 | 2.01 |
CTSS | -0.0003105 | 9562 | GTEx | DepMap | Descartes | 0.01 | 7.61 |
SLC9A9 | -0.0003191 | 9628 | GTEx | DepMap | Descartes | 0.02 | 26.47 |
FGD2 | -0.0003362 | 9751 | GTEx | DepMap | Descartes | 0.00 | 0.32 |
HRH1 | -0.0003407 | 9787 | GTEx | DepMap | Descartes | 0.01 | 5.14 |
WWP1 | -0.0003650 | 9941 | GTEx | DepMap | Descartes | 0.04 | 28.69 |
SLCO2B1 | -0.0003824 | 10056 | GTEx | DepMap | Descartes | 0.01 | 2.87 |
CYBB | -0.0004160 | 10268 | GTEx | DepMap | Descartes | 0.00 | 0.00 |
FGL2 | -0.0004258 | 10326 | GTEx | DepMap | Descartes | 0.00 | 0.00 |
Descartes Schwann markers
Top 50 marker genes of Schwann cells in the Decartes fetal adrenal single cell map (https://atlas.brotmanbaty.org/bbi/human-gene-expression-during-development/cell/schwann/in/adrenal)
Wilcoxon ranksum test P-value for gene set overrepresentation: 9.96e-01
Mean rank of genes in gene set: 7742.36
Median rank of genes in gene set: 8079.5
Rank on gene expression program of top 30 genes in gene set:
Genes | Weight | Rank | GTEx | DepMap | Descartes | Mean.Counts | Mean.TPM |
---|---|---|---|---|---|---|---|
ERBB4 | 0.0192517 | 2 | GTEx | DepMap | Descartes | 4.42 | 1593.77 |
NRXN3 | 0.0033081 | 238 | GTEx | DepMap | Descartes | 0.24 | 110.40 |
STARD13 | 0.0017572 | 733 | GTEx | DepMap | Descartes | 0.09 | 54.10 |
PTN | 0.0016322 | 817 | GTEx | DepMap | Descartes | 0.13 | 350.67 |
LAMC1 | 0.0014763 | 961 | GTEx | DepMap | Descartes | 0.11 | 51.37 |
DST | 0.0011894 | 1319 | GTEx | DepMap | Descartes | 0.76 | 138.66 |
FIGN | 0.0010572 | 1505 | GTEx | DepMap | Descartes | 0.10 | 42.72 |
PLCE1 | 0.0008043 | 2044 | GTEx | DepMap | Descartes | 0.05 | 12.29 |
COL5A2 | 0.0005867 | 2742 | GTEx | DepMap | Descartes | 0.10 | 53.22 |
SCN7A | 0.0005567 | 2856 | GTEx | DepMap | Descartes | 0.07 | 42.18 |
OLFML2A | 0.0003571 | 3827 | GTEx | DepMap | Descartes | 0.01 | 3.47 |
COL18A1 | 0.0001872 | 4940 | GTEx | DepMap | Descartes | 0.09 | 48.00 |
MPZ | 0.0001079 | 5512 | GTEx | DepMap | Descartes | 0.00 | 11.43 |
ADAMTS5 | 0.0000805 | 5733 | GTEx | DepMap | Descartes | 0.01 | 1.81 |
SFRP1 | -0.0000466 | 6893 | GTEx | DepMap | Descartes | 0.04 | 32.06 |
EDNRB | -0.0000476 | 6907 | GTEx | DepMap | Descartes | 0.00 | 1.25 |
HMGA2 | -0.0000612 | 7078 | GTEx | DepMap | Descartes | 0.00 | 1.06 |
GAS7 | -0.0000806 | 7327 | GTEx | DepMap | Descartes | 0.02 | 11.08 |
GRIK3 | -0.0000883 | 7412 | GTEx | DepMap | Descartes | 0.01 | 2.17 |
LAMA4 | -0.0001188 | 7763 | GTEx | DepMap | Descartes | 0.02 | 8.48 |
NRXN1 | -0.0001336 | 7932 | GTEx | DepMap | Descartes | 0.48 | 195.21 |
MDGA2 | -0.0001357 | 7956 | GTEx | DepMap | Descartes | 0.00 | 0.00 |
ERBB3 | -0.0001572 | 8203 | GTEx | DepMap | Descartes | 0.00 | 2.78 |
PLP1 | -0.0002035 | 8683 | GTEx | DepMap | Descartes | 0.00 | 0.47 |
PTPRZ1 | -0.0003227 | 9656 | GTEx | DepMap | Descartes | 0.00 | 0.73 |
VIM | -0.0003230 | 9659 | GTEx | DepMap | Descartes | 0.14 | 210.72 |
LAMB1 | -0.0004220 | 10299 | GTEx | DepMap | Descartes | 0.12 | 79.80 |
GFRA3 | -0.0004861 | 10649 | GTEx | DepMap | Descartes | 0.03 | 58.24 |
COL25A1 | -0.0005436 | 10900 | GTEx | DepMap | Descartes | 0.00 | 0.53 |
SLC35F1 | -0.0006305 | 11186 | GTEx | DepMap | Descartes | 0.01 | 5.16 |
Descartes Megakaryocytes markers
Top 50 marker genes of Megakaryocytes cells in the Decartes fetal adrenal single cell map (https://atlas.brotmanbaty.org/bbi/human-gene-expression-during-development/cell/megakaryocytes/in/adrenal)
Wilcoxon ranksum test P-value for gene set overrepresentation: 6.10e-01
Mean rank of genes in gene set: 6425.07
Median rank of genes in gene set: 6539
Rank on gene expression program of top 30 genes in gene set:
Genes | Weight | Rank | GTEx | DepMap | Descartes | Mean.Counts | Mean.TPM |
---|---|---|---|---|---|---|---|
MCTP1 | 0.0050385 | 87 | GTEx | DepMap | Descartes | 0.20 | 162.21 |
FLNA | 0.0043616 | 134 | GTEx | DepMap | Descartes | 0.26 | 120.95 |
MYH9 | 0.0027806 | 336 | GTEx | DepMap | Descartes | 0.14 | 77.11 |
TPM4 | 0.0023819 | 437 | GTEx | DepMap | Descartes | 0.17 | 133.13 |
VCL | 0.0015096 | 927 | GTEx | DepMap | Descartes | 0.08 | 38.60 |
LIMS1 | 0.0010556 | 1507 | GTEx | DepMap | Descartes | 0.11 | 104.67 |
ACTB | 0.0010535 | 1511 | GTEx | DepMap | Descartes | 1.52 | 2886.06 |
TUBB1 | 0.0010009 | 1596 | GTEx | DepMap | Descartes | 0.00 | 1.97 |
ANGPT1 | 0.0009883 | 1618 | GTEx | DepMap | Descartes | 0.02 | 17.44 |
ZYX | 0.0009425 | 1704 | GTEx | DepMap | Descartes | 0.06 | 106.24 |
TGFB1 | 0.0008181 | 2013 | GTEx | DepMap | Descartes | 0.07 | 102.79 |
GSN | 0.0006837 | 2399 | GTEx | DepMap | Descartes | 0.06 | 37.35 |
MED12L | 0.0006739 | 2441 | GTEx | DepMap | Descartes | 0.08 | 28.51 |
GP1BA | 0.0006074 | 2676 | GTEx | DepMap | Descartes | 0.01 | 16.64 |
STON2 | 0.0005014 | 3090 | GTEx | DepMap | Descartes | 0.04 | 37.18 |
P2RX1 | 0.0003265 | 4012 | GTEx | DepMap | Descartes | 0.00 | 3.60 |
ITGA2B | 0.0002921 | 4215 | GTEx | DepMap | Descartes | 0.02 | 18.59 |
SPN | 0.0002694 | 4352 | GTEx | DepMap | Descartes | 0.01 | 6.34 |
PSTPIP2 | 0.0002457 | 4510 | GTEx | DepMap | Descartes | 0.01 | 10.39 |
TLN1 | 0.0002235 | 4663 | GTEx | DepMap | Descartes | 0.03 | 14.24 |
LTBP1 | 0.0000791 | 5741 | GTEx | DepMap | Descartes | 0.02 | 10.59 |
RAP1B | 0.0000213 | 6237 | GTEx | DepMap | Descartes | 0.06 | 19.60 |
ARHGAP6 | -0.0000122 | 6539 | GTEx | DepMap | Descartes | 0.01 | 6.40 |
FERMT3 | -0.0000292 | 6716 | GTEx | DepMap | Descartes | 0.01 | 11.13 |
ITGB3 | -0.0001018 | 7572 | GTEx | DepMap | Descartes | 0.00 | 0.00 |
STOM | -0.0001163 | 7736 | GTEx | DepMap | Descartes | 0.01 | 12.88 |
TRPC6 | -0.0001396 | 7998 | GTEx | DepMap | Descartes | 0.00 | 2.08 |
MYLK | -0.0001620 | 8257 | GTEx | DepMap | Descartes | 0.01 | 2.75 |
FLI1 | -0.0002034 | 8682 | GTEx | DepMap | Descartes | 0.02 | 11.80 |
CD84 | -0.0002278 | 8904 | GTEx | DepMap | Descartes | 0.00 | 2.07 |
Descartes Lyphoid markers
Top 50 marker genes of Lyphoid cells in the Decartes fetal adrenal single cell map (https://atlas.brotmanbaty.org/bbi/human-gene-expression-during-development/cell/lymphoid/in/adrenal)
Wilcoxon ranksum test P-value for gene set overrepresentation: 9.96e-01
Mean rank of genes in gene set: 7764.83
Median rank of genes in gene set: 9852
Rank on gene expression program of top 30 genes in gene set:
Genes | Weight | Rank | GTEx | DepMap | Descartes | Mean.Counts | Mean.TPM |
---|---|---|---|---|---|---|---|
RAP1GAP2 | 0.0079040 | 38 | GTEx | DepMap | Descartes | 0.92 | 506.60 |
TOX | 0.0028182 | 326 | GTEx | DepMap | Descartes | 0.64 | 662.76 |
ARID5B | 0.0017972 | 707 | GTEx | DepMap | Descartes | 0.09 | 46.54 |
FOXP1 | 0.0016848 | 784 | GTEx | DepMap | Descartes | 0.56 | 239.50 |
PLEKHA2 | 0.0013744 | 1082 | GTEx | DepMap | Descartes | 0.04 | 30.41 |
IKZF1 | 0.0012076 | 1287 | GTEx | DepMap | Descartes | 0.02 | 16.82 |
MBNL1 | 0.0010852 | 1463 | GTEx | DepMap | Descartes | 0.22 | 148.24 |
MCTP2 | 0.0010667 | 1489 | GTEx | DepMap | Descartes | 0.02 | 10.66 |
ETS1 | 0.0008682 | 1864 | GTEx | DepMap | Descartes | 0.05 | 34.66 |
CELF2 | 0.0008241 | 1994 | GTEx | DepMap | Descartes | 0.10 | 50.27 |
WIPF1 | 0.0004944 | 3118 | GTEx | DepMap | Descartes | 0.10 | 80.16 |
CCND3 | 0.0002806 | 4291 | GTEx | DepMap | Descartes | 0.05 | 78.27 |
NCALD | 0.0001990 | 4860 | GTEx | DepMap | Descartes | 0.07 | 69.28 |
ITPKB | 0.0000899 | 5655 | GTEx | DepMap | Descartes | 0.01 | 7.39 |
LCP1 | 0.0000577 | 5926 | GTEx | DepMap | Descartes | 0.01 | 12.81 |
ABLIM1 | -0.0000365 | 6783 | GTEx | DepMap | Descartes | 0.08 | 35.90 |
MSN | -0.0002122 | 8755 | GTEx | DepMap | Descartes | 0.02 | 19.77 |
ARHGDIB | -0.0002333 | 8953 | GTEx | DepMap | Descartes | 0.00 | 14.47 |
B2M | -0.0002468 | 9069 | GTEx | DepMap | Descartes | 0.32 | 531.16 |
PITPNC1 | -0.0002850 | 9373 | GTEx | DepMap | Descartes | 0.22 | 121.96 |
GNG2 | -0.0003411 | 9791 | GTEx | DepMap | Descartes | 0.15 | 151.93 |
RCSD1 | -0.0003605 | 9913 | GTEx | DepMap | Descartes | 0.00 | 2.19 |
CCL5 | -0.0003680 | 9955 | GTEx | DepMap | Descartes | 0.00 | 3.81 |
DOCK10 | -0.0003756 | 10011 | GTEx | DepMap | Descartes | 0.10 | 57.16 |
LEF1 | -0.0003787 | 10031 | GTEx | DepMap | Descartes | 0.00 | 2.33 |
SAMD3 | -0.0003819 | 10052 | GTEx | DepMap | Descartes | 0.00 | 1.62 |
PRKCH | -0.0004751 | 10589 | GTEx | DepMap | Descartes | 0.02 | 15.86 |
ANKRD44 | -0.0005144 | 10790 | GTEx | DepMap | Descartes | 0.08 | 44.81 |
SP100 | -0.0005948 | 11079 | GTEx | DepMap | Descartes | 0.01 | 7.52 |
EVL | -0.0006165 | 11145 | GTEx | DepMap | Descartes | 0.27 | 265.69 |
Below shows the ranks on this GEP for immune marker gene lists curated by CellTypist (https://www.celltypist.org/encyclopedia).
High ranks indicate this gene is a driver of this GEP.
These curated gene list are ranked by P-value (on this GEP) of their constituent genes.
The Mean Count column shows the mean read count in cells scoring highly (H > 50) on this gene expression program.
Genes | Weight | Rank | GTEx | DepMap | Decartes | Mean.Counts | Mean.TPM |
---|---|---|---|---|---|---|---|
COL1A1 | 0.0036897 | 182 | GTEx | DepMap | Descartes | 0.71 | 457.45 |
COL1A2 | 0.0024567 | 412 | GTEx | DepMap | Descartes | 0.77 | 491.83 |
DCN | 0.0004397 | 3385 | GTEx | DepMap | Descartes | 0.04 | 19.63 |
Erythroid: Mid erythroid (curated markers)
middle erythroid cells in fetal liver:
Wilcoxon ranksum test P-value for gene set overrepresentation: 2.37e-02
Mean rank of genes in gene set: 1197
Rank on gene expression program of genes in gene set:
Genes | Weight | Rank | GTEx | DepMap | Decartes | Mean.Counts | Mean.TPM |
---|---|---|---|---|---|---|---|
KCNH2 | 0.0043547 | 135 | GTEx | DepMap | Descartes | 0.30 | 274.48 |
PRDX2 | 0.0007288 | 2259 | GTEx | DepMap | Descartes | 0.24 | 584.69 |
ILC: ILC (curated markers)
specialised innate immune cells from the lymphoid lineage but without antigen-specific T-cell receptors on the surface:
Wilcoxon ranksum test P-value for gene set overrepresentation: 3.29e-02
Mean rank of genes in gene set: 2426
Rank on gene expression program of genes in gene set:
Genes | Weight | Rank | GTEx | DepMap | Decartes | Mean.Counts | Mean.TPM |
---|---|---|---|---|---|---|---|
TLE1 | 0.0043539 | 136 | GTEx | DepMap | Descartes | 0.18 | 188.54 |
S100A13 | 0.0032732 | 245 | GTEx | DepMap | Descartes | 0.07 | 126.44 |
AREG | -0.0000470 | 6897 | GTEx | DepMap | Descartes | 0.00 | 0.00 |