Program: 10. Neuroblastoma #2.

Program: 10. Neuroblastoma #2.




Submit a comment on this gene expression program’s interpretation: CLICK

QQ-plot of gene loadings, averaged over both independent splits of the data
This plot highlights the relative contribution of each gene to the GEP

Interactive QQ Plot

Top genes driving this program.
Note: Decartes website is buggy, try refreshing. Also, Decartes fetal adrenal data have been collected at specific time points (89-122 days), all possible cell types of interest may not be represented, do not overinterpret.
The Mean Count column shows the mean read count in cells scoring highly (H > 50) on this gene expression program.

Gene Loading Gene.Name GTEx DepMap Descartes Mean.Counts Mean.Tpm
1 SKA2 0.0179179 spindle and kinetochore associated complex subunit 2 GTEx DepMap Descartes 9.81 835.91
2 EGR1 0.0168549 early growth response 1 GTEx DepMap Descartes 10.23 851.97
3 NAP1L1 0.0150300 nucleosome assembly protein 1 like 1 GTEx DepMap Descartes 11.97 230.61
4 DDX6 0.0127858 DEAD-box helicase 6 GTEx DepMap Descartes 2.92 122.66
5 B3GNT4 0.0125661 UDP-GlcNAc:betaGal beta-1,3-N-acetylglucosaminyltransferase 4 GTEx DepMap Descartes 1.35 121.50
6 TMTC2 0.0114677 transmembrane O-mannosyltransferase targeting cadherins 2 GTEx DepMap Descartes 1.07 44.75
7 PRR11 0.0114547 proline rich 11 GTEx DepMap Descartes 1.33 45.16
8 KCTD16 0.0114314 potassium channel tetramerization domain containing 16 GTEx DepMap Descartes 1.86 34.23
9 NTRK2 0.0108877 neurotrophic receptor tyrosine kinase 2 GTEx DepMap Descartes 0.88 26.56
10 SNCA 0.0104343 synuclein alpha GTEx DepMap Descartes 1.82 152.59
11 TTC3 0.0102326 tetratricopeptide repeat domain 3 GTEx DepMap Descartes 7.49 NA
12 PDLIM3 0.0098497 PDZ and LIM domain 3 GTEx DepMap Descartes 1.42 70.46
13 CDH8 0.0097547 cadherin 8 GTEx DepMap Descartes 1.26 36.42
14 SOX11 0.0096875 SRY-box transcription factor 11 GTEx DepMap Descartes 5.51 158.50
15 COX7C 0.0092684 cytochrome c oxidase subunit 7C GTEx DepMap Descartes 15.53 2499.58
16 LSAMP 0.0092258 limbic system associated membrane protein GTEx DepMap Descartes 1.09 29.74
17 BCL9L 0.0091942 BCL9 like GTEx DepMap Descartes 0.58 13.95
18 VCAN 0.0091387 versican GTEx DepMap Descartes 2.04 42.03
19 RPSA 0.0090098 ribosomal protein SA GTEx DepMap Descartes 32.27 3897.33
20 CRLF1 0.0089801 cytokine receptor like factor 1 GTEx DepMap Descartes 0.30 42.70
21 EGR3 0.0088850 early growth response 3 GTEx DepMap Descartes 0.86 48.25
22 MARCH11 0.0085153 NA GTEx DepMap Descartes 4.32 NA
23 NUDT4 0.0084280 nudix hydrolase 4 GTEx DepMap Descartes 1.24 33.57
24 NRN1 0.0082708 neuritin 1 GTEx DepMap Descartes 0.44 61.33
25 NOVA1 0.0082538 NOVA alternative splicing regulator 1 GTEx DepMap Descartes 1.43 52.32
26 FGF13 0.0081425 fibroblast growth factor 13 GTEx DepMap Descartes 1.33 17.44
27 TRIM37 0.0080634 tripartite motif containing 37 GTEx DepMap Descartes 0.95 50.31
28 SEMA3D 0.0080341 semaphorin 3D GTEx DepMap Descartes 0.47 19.45
29 CCND1 0.0078398 cyclin D1 GTEx DepMap Descartes 11.95 722.54
30 SNRPF 0.0073964 small nuclear ribonucleoprotein polypeptide F GTEx DepMap Descartes 4.47 813.93
31 ARC 0.0073798 activity regulated cytoskeleton associated protein GTEx DepMap Descartes 2.67 239.45
32 PPP2R2B 0.0073021 protein phosphatase 2 regulatory subunit Bbeta GTEx DepMap Descartes 1.24 29.86
33 SNRPE 0.0072221 small nuclear ribonucleoprotein polypeptide E GTEx DepMap Descartes 5.44 870.31
34 DDR2 0.0072165 discoidin domain receptor tyrosine kinase 2 GTEx DepMap Descartes 0.59 14.47
35 COX6A1 0.0070962 cytochrome c oxidase subunit 6A1 GTEx DepMap Descartes 9.14 3020.21
36 ZFHX3 0.0070646 zinc finger homeobox 3 GTEx DepMap Descartes 4.68 68.39
37 YWHAH 0.0069269 tyrosine 3-monooxygenase/tryptophan 5-monooxygenase activation protein eta GTEx DepMap Descartes 4.74 643.34
38 SLC7A2 0.0068315 solute carrier family 7 member 2 GTEx DepMap Descartes 0.28 9.05
39 FAM216A 0.0068258 family with sequence similarity 216 member A GTEx DepMap Descartes 1.10 NA
40 HMGN1 0.0067957 high mobility group nucleosome binding domain 1 GTEx DepMap Descartes 7.33 NA
41 ELMO1 0.0067429 engulfment and cell motility 1 GTEx DepMap Descartes 0.85 55.29
42 RANBP1 0.0064877 RAN binding protein 1 GTEx DepMap Descartes 5.14 561.52
43 COX7A2 0.0064779 cytochrome c oxidase subunit 7A2 GTEx DepMap Descartes 10.15 2788.34
44 LRRC3B 0.0064267 leucine rich repeat containing 3B GTEx DepMap Descartes 0.25 9.49
45 ADCY8 0.0063697 adenylate cyclase 8 GTEx DepMap Descartes 0.12 6.91
46 UQCRQ 0.0063665 ubiquinol-cytochrome c reductase complex III subunit VII GTEx DepMap Descartes 5.05 799.47
47 EGR2 0.0063521 early growth response 2 GTEx DepMap Descartes 0.67 60.60
48 BCO2 0.0062984 beta-carotene oxygenase 2 GTEx DepMap Descartes 0.33 31.67
49 COX8A 0.0062947 cytochrome c oxidase subunit 8A GTEx DepMap Descartes 7.31 3605.80
50 CCNI 0.0062944 cyclin I GTEx DepMap Descartes 17.11 1582.02


Dowload full table


UMAP plots showing activity of gene expression program identified in GEP 10. Neuroblastoma #2:

Interactive UMAP Plot
Interactive Boxplot


CNV Data procured from inferCNV.
Outer tracks are putative CNV regions (gains = red, losses = blue) for each patient
Inner track is expression data representing:
    The top cells expressing this GEP (purple)
    Random cells (n =50) from the reference set used in inferCNV (orange)

Interactive BioCircos Plot


Gene set Enrichments for this program, caculated from top 50 genes


mSigDB Cell Types Gene Set:

P-value OR Lower 95% CI FDR FWER Genes Found Gene Set Size
RUBENSTEIN_SKELETAL_MUSCLE_SMOOTH_MUSCLE_CELLS 8.36e-09 10.17 4.92 5.61e-06 5.61e-06
13EGR1, NTRK2, PDLIM3, COX7C, NUDT4, CCND1, COX6A1, ZFHX3, RANBP1, COX7A2, UQCRQ, COX8A, CCNI
445
BUSSLINGER_DUODENAL_DIFFERENTIATING_STEM_CELLS 2.26e-06 9.27 3.93 5.18e-04 1.52e-03
9EGR1, COX7C, SNRPF, SNRPE, COX6A1, HMGN1, COX7A2, UQCRQ, COX8A
305
FAN_OVARY_CL14_MATURE_SMOOTH_MUSCLE_CELL 2.32e-06 9.24 3.91 5.18e-04 1.56e-03
9EGR1, NTRK2, NUDT4, COX6A1, YWHAH, COX7A2, UQCRQ, COX8A, CCNI
306
BUSSLINGER_DUODENAL_EARLY_IMMATURE_ENTEROCYTES 7.97e-05 12.85 3.91 8.91e-03 5.35e-02
5COX7C, COX6A1, COX7A2, UQCRQ, COX8A
113
CUI_DEVELOPING_HEART_C5_VALVAR_CELL 1.53e-05 10.12 3.80 2.05e-03 1.02e-02
7EGR1, NTRK2, PDLIM3, LSAMP, VCAN, EGR3, EGR2
208
FAN_OVARY_CL10_PUTATIVE_EARLY_ATRESIA_GRANULOSA_CELL 9.68e-06 8.95 3.59 1.62e-03 6.49e-03
8COX7C, SNRPF, SNRPE, HMGN1, RANBP1, COX7A2, UQCRQ, COX8A
274
TRAVAGLINI_LUNG_BRONCHIAL_VESSEL_1_CELL 2.27e-04 7.82 2.69 1.69e-02 1.52e-01
6EGR1, RPSA, EGR3, SNRPE, HMGN1, EGR2
224
RUBENSTEIN_SKELETAL_MUSCLE_SATELLITE_CELLS 1.81e-04 6.72 2.53 1.52e-02 1.22e-01
7EGR1, TTC3, PDLIM3, RPSA, SNRPF, SNRPE, HMGN1
310
ZHONG_PFC_C2_THY1_POS_OPC 5.10e-03 20.80 2.32 1.37e-01 1.00e+00
2FAM216A, ELMO1
27
MENON_FETAL_KIDNEY_8_CONNECTING_TUBULE_CELLS 5.69e-04 6.53 2.25 3.42e-02 3.82e-01
6COX7C, NUDT4, COX6A1, COX7A2, UQCRQ, COX8A
267
BUSSLINGER_DUODENAL_TRANSIT_AMPLIFYING_CELLS 9.44e-04 7.35 2.25 4.52e-02 6.33e-01
5COX7C, COX6A1, COX7A2, UQCRQ, COX8A
194
HU_FETAL_RETINA_RGC 2.62e-04 5.47 2.21 1.75e-02 1.75e-01
8KCTD16, SNCA, SOX11, NRN1, FGF13, PPP2R2B, COX6A1, YWHAH
443
FAN_OVARY_CL8_MATURE_CUMULUS_GRANULOSA_CELL_2 1.28e-04 4.92 2.18 1.23e-02 8.59e-02
10COX7C, VCAN, SNRPF, SNRPE, COX6A1, HMGN1, RANBP1, COX7A2, UQCRQ, COX8A
646
MENON_FETAL_KIDNEY_7_LOOPOF_HENLE_CELLS_DISTAL 6.75e-04 6.31 2.18 3.48e-02 4.53e-01
6COX7C, NUDT4, COX6A1, COX7A2, UQCRQ, COX8A
276
BUSSLINGER_ESOPHAGEAL_QUIESCENT_BASAL_CELLS 3.48e-03 10.78 2.10 1.11e-01 1.00e+00
3NAP1L1, NTRK2, SLC7A2
77
LAKE_ADULT_KIDNEY_C12_THICK_ASCENDING_LIMB 6.11e-04 5.44 2.05 3.42e-02 4.10e-01
7KCTD16, NTRK2, COX7C, RPSA, NUDT4, COX7A2, UQCRQ
381
CUI_DEVELOPING_HEART_5TH_WEEK_VENTRICULAR_CARDIOMYOCYTE 4.01e-03 10.22 1.99 1.22e-01 1.00e+00
3PDLIM3, PPP2R2B, EGR2
81
BUSSLINGER_DUODENAL_STEM_CELLS 1.24e-03 5.59 1.93 5.53e-02 8.30e-01
6EGR1, TTC3, COX7C, CCND1, SNRPE, HMGN1
311
ZHONG_PFC_MAJOR_TYPES_OPC 5.54e-03 9.06 1.77 1.38e-01 1.00e+00
3LSAMP, NOVA1, ARC
91
BUSSLINGER_GASTRIC_PARIETAL_CELLS 3.02e-03 5.58 1.71 1.01e-01 1.00e+00
5COX7C, COX6A1, COX7A2, UQCRQ, COX8A
254

Dowload full table

mSigDB Hallmark Gene Sets:

P-value OR Lower 95% CI FDR FWER Genes Found Gene Set Size
HALLMARK_OXIDATIVE_PHOSPHORYLATION 1.08e-03 7.12 2.18 5.40e-02 5.40e-02
5COX7C, COX6A1, COX7A2, UQCRQ, COX8A
200
HALLMARK_TNFA_SIGNALING_VIA_NFKB 7.71e-03 5.55 1.44 1.28e-01 3.85e-01
4EGR1, EGR3, CCND1, EGR2
200
HALLMARK_ESTROGEN_RESPONSE_EARLY 7.71e-03 5.55 1.44 1.28e-01 3.85e-01
4PDLIM3, EGR3, CCND1, SLC7A2
200
HALLMARK_ADIPOGENESIS 4.35e-02 4.05 0.80 3.63e-01 1.00e+00
3COX6A1, UQCRQ, COX8A
200
HALLMARK_ESTROGEN_RESPONSE_LATE 4.35e-02 4.05 0.80 3.63e-01 1.00e+00
3PDLIM3, EGR3, CCND1
200
HALLMARK_APICAL_JUNCTION 4.35e-02 4.05 0.80 3.63e-01 1.00e+00
3CDH8, VCAN, YWHAH
200
HALLMARK_APOPTOSIS 1.32e-01 3.28 0.38 7.11e-01 1.00e+00
2EGR3, CCND1
161
HALLMARK_E2F_TARGETS 1.85e-01 2.63 0.31 7.11e-01 1.00e+00
2NAP1L1, RANBP1
200
HALLMARK_MYC_TARGETS_V1 1.85e-01 2.63 0.31 7.11e-01 1.00e+00
2NAP1L1, RANBP1
200
HALLMARK_EPITHELIAL_MESENCHYMAL_TRANSITION 1.85e-01 2.63 0.31 7.11e-01 1.00e+00
2VCAN, CRLF1
200
HALLMARK_HEME_METABOLISM 1.85e-01 2.63 0.31 7.11e-01 1.00e+00
2SNCA, NUDT4
200
HALLMARK_NOTCH_SIGNALING 1.20e-01 8.23 0.20 7.11e-01 1.00e+00
1CCND1
32
HALLMARK_ANGIOGENESIS 1.34e-01 7.29 0.18 7.11e-01 1.00e+00
1VCAN
36
HALLMARK_ANDROGEN_RESPONSE 3.28e-01 2.58 0.06 1.00e+00 1.00e+00
1CCND1
100
HALLMARK_PEROXISOME 3.39e-01 2.48 0.06 1.00e+00 1.00e+00
1YWHAH
104
HALLMARK_FATTY_ACID_METABOLISM 4.66e-01 1.62 0.04 1.00e+00 1.00e+00
1YWHAH
158
HALLMARK_UV_RESPONSE_UP 4.66e-01 1.62 0.04 1.00e+00 1.00e+00
1PDLIM3
158
HALLMARK_G2M_CHECKPOINT 5.47e-01 1.28 0.03 1.00e+00 1.00e+00
1CCND1
200
HALLMARK_INFLAMMATORY_RESPONSE 5.47e-01 1.28 0.03 1.00e+00 1.00e+00
1SLC7A2
200
HALLMARK_GLYCOLYSIS 5.47e-01 1.28 0.03 1.00e+00 1.00e+00
1VCAN
200

Dowload full table

KEGG Pathways:

P-value OR Lower 95% CI FDR FWER Genes Found Gene Set Size
KEGG_CARDIAC_MUSCLE_CONTRACTION 1.43e-05 18.75 5.65 1.33e-03 2.67e-03
5COX7C, COX6A1, COX7A2, UQCRQ, COX8A
79
KEGG_PARKINSONS_DISEASE 1.14e-05 13.75 4.70 1.33e-03 2.11e-03
6SNCA, COX7C, COX6A1, COX7A2, UQCRQ, COX8A
130
KEGG_ALZHEIMERS_DISEASE 4.47e-05 10.65 3.66 2.77e-03 8.31e-03
6SNCA, COX7C, COX6A1, COX7A2, UQCRQ, COX8A
166
KEGG_OXIDATIVE_PHOSPHORYLATION 1.65e-04 10.93 3.33 7.66e-03 3.07e-02
5COX7C, COX6A1, COX7A2, UQCRQ, COX8A
132
KEGG_HUNTINGTONS_DISEASE 7.11e-04 7.85 2.40 2.65e-02 1.32e-01
5COX7C, COX6A1, COX7A2, UQCRQ, COX8A
182
KEGG_MELANOMA 3.21e-02 7.55 0.87 9.96e-01 1.00e+00
2FGF13, CCND1
71
KEGG_OOCYTE_MEIOSIS 7.33e-02 4.69 0.55 1.00e+00 1.00e+00
2YWHAH, ADCY8
113
KEGG_CELL_CYCLE 8.71e-02 4.23 0.49 1.00e+00 1.00e+00
2CCND1, YWHAH
125
KEGG_NEUROTROPHIN_SIGNALING_PATHWAY 8.82e-02 4.20 0.49 1.00e+00 1.00e+00
2NTRK2, YWHAH
126
KEGG_SPLICEOSOME 8.94e-02 4.17 0.49 1.00e+00 1.00e+00
2SNRPF, SNRPE
127
KEGG_CHEMOKINE_SIGNALING_PATHWAY 1.70e-01 2.79 0.33 1.00e+00 1.00e+00
2ELMO1, ADCY8
189
KEGG_GLYCOSPHINGOLIPID_BIOSYNTHESIS_LACTO_AND_NEOLACTO_SERIES 9.85e-02 10.19 0.24 1.00e+00 1.00e+00
1B3GNT4
26
KEGG_MAPK_SIGNALING_PATHWAY 2.80e-01 1.97 0.23 1.00e+00 1.00e+00
2NTRK2, FGF13
267
KEGG_THYROID_CANCER 1.09e-01 9.11 0.22 1.00e+00 1.00e+00
1CCND1
29
KEGG_PATHWAYS_IN_CANCER 3.61e-01 1.61 0.19 1.00e+00 1.00e+00
2FGF13, CCND1
325
KEGG_PRION_DISEASES 1.30e-01 7.50 0.18 1.00e+00 1.00e+00
1EGR1
35
KEGG_BLADDER_CANCER 1.54e-01 6.22 0.15 1.00e+00 1.00e+00
1CCND1
42
KEGG_TASTE_TRANSDUCTION 1.87e-01 5.00 0.12 1.00e+00 1.00e+00
1ADCY8
52
KEGG_ENDOMETRIAL_CANCER 1.87e-01 5.00 0.12 1.00e+00 1.00e+00
1CCND1
52
KEGG_NON_SMALL_CELL_LUNG_CANCER 1.94e-01 4.81 0.12 1.00e+00 1.00e+00
1CCND1
54

Dowload full table

CHR Positional Gene Sets:

P-value OR Lower 95% CI FDR FWER Genes Found Gene Set Size
chr17q22 4.74e-03 9.61 1.88 1.00e+00 1.00e+00
3SKA2, PRR11, TRIM37
86
chr11q23 4.62e-02 3.95 0.78 1.00e+00 1.00e+00
3DDX6, BCL9L, BCO2
205
chr5q31 1.01e-01 2.81 0.56 1.00e+00 1.00e+00
3EGR1, KCTD16, UQCRQ
287
chr12q21 9.06e-02 4.13 0.48 1.00e+00 1.00e+00
2NAP1L1, TMTC2
128
chr5q14 9.30e-02 4.07 0.47 1.00e+00 1.00e+00
2COX7C, VCAN
130
chr12q24 1.91e-01 2.06 0.41 1.00e+00 1.00e+00
3B3GNT4, COX6A1, FAM216A
390
chr8q24 3.56e-01 1.63 0.19 1.00e+00 1.00e+00
2ARC, ADCY8
321
chr21q22 3.99e-01 1.48 0.17 1.00e+00 1.00e+00
2TTC3, HMGN1
353
chr11q13 6.78e-01 1.24 0.15 1.00e+00 1.00e+00
2CCND1, COX8A
421
chr8p22 1.64e-01 5.80 0.14 1.00e+00 1.00e+00
1SLC7A2
45
chr12q22 1.84e-01 5.10 0.12 1.00e+00 1.00e+00
1NUDT4
51
chr4q22 2.43e-01 3.70 0.09 1.00e+00 1.00e+00
1SNCA
70
chr16q21 2.55e-01 3.49 0.09 1.00e+00 1.00e+00
1CDH8
74
chr6p25 2.78e-01 3.15 0.08 1.00e+00 1.00e+00
1NRN1
82
chrXq27 2.98e-01 2.90 0.07 1.00e+00 1.00e+00
1FGF13
89
chr6q14 3.09e-01 2.77 0.07 1.00e+00 1.00e+00
1COX7A2
93
chr3p24 3.25e-01 2.60 0.06 1.00e+00 1.00e+00
1LRRC3B
99
chr14q12 3.31e-01 2.55 0.06 1.00e+00 1.00e+00
1NOVA1
101
chr4q35 3.41e-01 2.45 0.06 1.00e+00 1.00e+00
1PDLIM3
105
chr10q21 3.69e-01 2.22 0.05 1.00e+00 1.00e+00
1EGR2
116

Dowload full table

Transcription Factor Targets:

P-value OR Lower 95% CI FDR FWER Genes Found Gene Set Size
MEIS1AHOXA9_01 1.10e-04 11.97 3.64 2.90e-02 1.24e-01
5SKA2, PRR11, NOVA1, ZFHX3, ADCY8
121
ATF6_01 1.33e-04 11.47 3.49 2.90e-02 1.50e-01
5EGR1, NTRK2, EGR3, ZFHX3, EGR2
126
PIT1_Q6 3.67e-05 8.77 3.29 2.90e-02 4.16e-02
7SKA2, TMTC2, PRR11, FGF13, CCND1, PPP2R2B, ZFHX3
239
SRF_01 1.07e-03 16.60 3.20 1.35e-01 1.00e+00
3EGR1, EGR3, EGR2
51
YGACNNYACAR_UNKNOWN 6.17e-04 11.44 2.93 9.99e-02 6.99e-01
4TMTC2, VCAN, EGR3, FGF13
99
MYOD_01 7.66e-05 7.77 2.92 2.90e-02 8.67e-02
7SKA2, EGR1, PRR11, NTRK2, CRLF1, TRIM37, ELMO1
269
GGCKCATGS_UNKNOWN 2.45e-03 12.27 2.38 1.59e-01 1.00e+00
3CCND1, RANBP1, CCNI
68
YYCATTCAWW_UNKNOWN 9.02e-04 7.43 2.27 1.28e-01 1.00e+00
5VCAN, CCND1, DDR2, RANBP1, COX8A
192
CTGCAGY_UNKNOWN 1.16e-04 4.59 2.11 2.90e-02 1.31e-01
11EGR1, DDX6, TMTC2, NTRK2, BCL9L, EGR3, NOVA1, FGF13, PPP2R2B, ELMO1, LRRC3B
779
HFH8_01 1.28e-03 6.84 2.10 1.45e-01 1.00e+00
5PDLIM3, NOVA1, CCND1, PPP2R2B, EGR2
208
EGR3_01 4.29e-03 9.97 1.94 1.68e-01 1.00e+00
3EGR1, EGR3, RANBP1
83
CGTSACG_PAX3_B 2.76e-03 7.50 1.93 1.59e-01 1.00e+00
4EGR1, EGR3, HMGN1, EGR2
149
IK3_01 1.94e-03 6.20 1.90 1.59e-01 1.00e+00
5SKA2, EGR1, PRR11, EGR3, PPP2R2B
229
YTAAYNGCT_UNKNOWN 3.10e-03 7.25 1.87 1.59e-01 1.00e+00
4NUDT4, PPP2R2B, ZFHX3, EGR2
154
ATF1_Q6 2.25e-03 5.99 1.84 1.59e-01 1.00e+00
5NTRK2, SOX11, NOVA1, CCND1, CCNI
237
GATA1_01 2.69e-03 5.74 1.76 1.59e-01 1.00e+00
5SNCA, LSAMP, CRLF1, PPP2R2B, ZFHX3
247
AACTTT_UNKNOWN 1.53e-04 3.37 1.76 2.90e-02 1.74e-01
17TMTC2, SNCA, PDLIM3, LSAMP, BCL9L, VCAN, EGR3, NUDT4, NOVA1, FGF13, PPP2R2B, DDR2, ZFHX3, ELMO1, LRRC3B, ADCY8, EGR2
1928
LXR_DR4_Q3 5.88e-03 8.86 1.73 2.08e-01 1.00e+00
3SKA2, PRR11, ZFHX3
93
STAT1_03 3.02e-03 5.58 1.71 1.59e-01 1.00e+00
5SKA2, PRR11, CCND1, COX8A, CCNI
254
CDP_01 6.24e-03 8.67 1.70 2.14e-01 1.00e+00
3EGR1, FGF13, CCND1
95

Dowload full table

GO Biological Processes:

P-value OR Lower 95% CI FDR FWER Genes Found Gene Set Size
GOBP_MITOCHONDRIAL_ELECTRON_TRANSPORT_CYTOCHROME_C_TO_OXYGEN 7.49e-05 44.24 8.07 1.40e-01 5.60e-01
3COX7C, COX6A1, COX8A
21
GOBP_REGULATION_OF_LONG_TERM_SYNAPTIC_DEPRESSION 1.18e-03 47.19 4.96 5.89e-01 1.00e+00
2ARC, ADCY8
13
GOBP_SKELETAL_MUSCLE_CELL_DIFFERENTIATION 1.17e-04 18.10 4.59 1.45e-01 8.72e-01
4EGR1, SOX11, BCL9L, EGR2
64
GOBP_LOCOMOTOR_RHYTHM 1.37e-03 43.30 4.59 5.89e-01 1.00e+00
2EGR1, ZFHX3
14
GOBP_ATP_SYNTHESIS_COUPLED_ELECTRON_TRANSPORT 4.46e-05 14.61 4.43 1.40e-01 3.34e-01
5SNCA, COX7C, COX6A1, UQCRQ, COX8A
100
GOBP_OXIDATIVE_PHOSPHORYLATION 2.36e-05 12.00 4.11 1.40e-01 1.77e-01
6SNCA, COX7C, COX6A1, COX7A2, UQCRQ, COX8A
148
GOBP_RESPIRATORY_ELECTRON_TRANSPORT_CHAIN 9.38e-05 12.39 3.77 1.40e-01 7.02e-01
5SNCA, COX7C, COX6A1, UQCRQ, COX8A
117
GOBP_RHYTHMIC_BEHAVIOR 7.92e-04 18.54 3.56 5.89e-01 1.00e+00
3EGR1, ZFHX3, EGR2
46
GOBP_RESPONSE_TO_MAGNESIUM_ION 2.28e-03 32.49 3.53 8.32e-01 1.00e+00
2SNCA, CCND1
18
GOBP_ELECTRON_TRANSPORT_CHAIN 6.56e-05 9.91 3.41 1.40e-01 4.91e-01
6SNCA, COX7C, COX6A1, COX7A2, UQCRQ, COX8A
178
GOBP_HISTONE_MRNA_METABOLIC_PROCESS 4.05e-03 23.65 2.62 9.99e-01 1.00e+00
2SNRPF, SNRPE
24
GOBP_REGULATION_OF_OXIDATIVE_PHOSPHORYLATION 4.39e-03 22.60 2.52 9.99e-01 1.00e+00
2SNCA, COX7A2
25
GOBP_REGULATION_OF_SYNAPTIC_PLASTICITY 6.12e-04 8.12 2.49 5.73e-01 1.00e+00
5NTRK2, ARC, YWHAH, ADCY8, EGR2
176
GOBP_CELLULAR_RESPIRATION 8.02e-04 7.63 2.34 5.89e-01 1.00e+00
5SNCA, COX7C, COX6A1, UQCRQ, COX8A
187
GOBP_REGULATION_OF_NEUROGENESIS 3.61e-04 5.97 2.25 3.86e-01 1.00e+00
7NAP1L1, NTRK2, SOX11, FGF13, SEMA3D, YWHAH, EGR2
348
GOBP_RESPONSE_TO_IRON_ION 5.48e-03 20.00 2.24 1.00e+00 1.00e+00
2SNCA, CCND1
28
GOBP_PERIPHERAL_NERVOUS_SYSTEM_DEVELOPMENT 3.11e-03 11.23 2.19 9.94e-01 1.00e+00
3NTRK2, EGR3, EGR2
74
GOBP_NEGATIVE_REGULATION_OF_NERVOUS_SYSTEM_DEVELOPMENT 2.09e-03 8.11 2.09 8.25e-01 1.00e+00
4SOX11, FGF13, SEMA3D, YWHAH
138
GOBP_LONG_TERM_SYNAPTIC_DEPRESSION 6.27e-03 18.58 2.09 1.00e+00 1.00e+00
2ARC, ADCY8
30
GOBP_REGULATION_OF_MICROTUBULE_POLYMERIZATION_OR_DEPOLYMERIZATION 4.01e-03 10.22 1.99 9.99e-01 1.00e+00
3SKA2, SNCA, FGF13
81

Dowload full table

Immunological Gene Sets:

P-value OR Lower 95% CI FDR FWER Genes Found Gene Set Size
GSE21927_SPLEEN_C57BL6_VS_EL4_TUMOR_BALBC_MONOCYTES_DN 1.24e-04 8.78 3.02 3.01e-01 6.03e-01
6RPSA, SNRPF, SNRPE, UQCRQ, EGR2, COX8A
200
GSE24726_WT_VS_E2_2_KO_PDC_UP 1.24e-04 8.78 3.02 3.01e-01 6.03e-01
6SKA2, NAP1L1, PRR11, TTC3, CCND1, YWHAH
200
GSE27241_WT_VS_RORGT_KO_TH17_POLARIZED_CD4_TCELL_UP 4.33e-04 8.79 2.69 7.04e-01 1.00e+00
5EGR1, PRR11, RPSA, FGF13, ARC
163
GSE29618_MONOCYTE_VS_MDC_DAY7_FLU_VACCINE_DN 1.08e-03 7.12 2.18 8.77e-01 1.00e+00
5RPSA, SNRPF, SNRPE, HMGN1, ELMO1
200
GSE21063_CTRL_VS_ANTI_IGM_STIM_BCELL_16H_UP 1.08e-03 7.12 2.18 8.77e-01 1.00e+00
5SKA2, NAP1L1, PRR11, SNRPF, ARC
200
GSE28408_LY6G_POS_VS_NEG_DC_DN 1.08e-03 7.12 2.18 8.77e-01 1.00e+00
5EGR1, RPSA, SNRPE, YWHAH, RANBP1
200
GSE36476_YOUNG_VS_OLD_DONOR_MEMORY_CD4_TCELL_40H_TSST_ACT_DN 7.32e-03 5.63 1.46 1.00e+00 1.00e+00
4EGR1, EGR3, COX6A1, COX8A
197
GSE17974_0H_VS_2H_IN_VITRO_ACT_CD4_TCELL_DN 7.45e-03 5.60 1.45 1.00e+00 1.00e+00
4EGR1, EGR3, RANBP1, EGR2
198
GSE7548_NAIVE_VS_DAY28_PCC_IMMUNIZATION_CD4_TCELL_DN 7.45e-03 5.60 1.45 1.00e+00 1.00e+00
4COX7C, FGF13, CCND1, COX6A1
198
GSE26559_TCF1_KO_VS_WT_LIN_NEG_CELL_UP 7.45e-03 5.60 1.45 1.00e+00 1.00e+00
4EGR3, DDR2, RANBP1, EGR2
198
GSE11961_MEMORY_BCELL_DAY40_VS_GERMINAL_CENTER_BCELL_DAY40_UP 7.45e-03 5.60 1.45 1.00e+00 1.00e+00
4TTC3, CDH8, NOVA1, FAM216A
198
GSE45365_NK_CELL_VS_BCELL_UP 7.45e-03 5.60 1.45 1.00e+00 1.00e+00
4EGR1, TMTC2, EGR3, ARC
198
GSE12845_IGD_NEG_BLOOD_VS_DARKZONE_GC_TONSIL_BCELL_DN 7.58e-03 5.57 1.44 1.00e+00 1.00e+00
4EGR3, HMGN1, RANBP1, COX8A
199
GSE22886_NEUTROPHIL_VS_MONOCYTE_DN 7.58e-03 5.57 1.44 1.00e+00 1.00e+00
4NAP1L1, TTC3, VCAN, SNRPF
199
GSE22886_NAIVE_TCELL_VS_NEUTROPHIL_UP 7.58e-03 5.57 1.44 1.00e+00 1.00e+00
4NAP1L1, TTC3, SNRPF, HMGN1
199
GSE22140_HEALTHY_VS_ARTHRITIC_MOUSE_CD4_TCELL_UP 7.58e-03 5.57 1.44 1.00e+00 1.00e+00
4EGR3, YWHAH, HMGN1, COX7A2
199
GSE33374_CD8_ALPHAALPHA_VS_ALPHABETA_CD161_HIGH_TCELL_UP 7.58e-03 5.57 1.44 1.00e+00 1.00e+00
4SNCA, VCAN, DDR2, UQCRQ
199
GSE33424_CD161_HIGH_VS_NEG_CD8_TCELL_DN 7.58e-03 5.57 1.44 1.00e+00 1.00e+00
4FGF13, RANBP1, UQCRQ, EGR2
199
GSE40666_UNTREATED_VS_IFNA_STIM_EFFECTOR_CD8_TCELL_90MIN_DN 7.58e-03 5.57 1.44 1.00e+00 1.00e+00
4SKA2, EGR1, EGR2, COX8A
199
GSE34179_THPOK_KO_VS_WT_VA14I_NKTCELL_DN 7.58e-03 5.57 1.44 1.00e+00 1.00e+00
4EGR1, EGR3, SNRPF, EGR2
199

Dowload full table

Top Ranked Transcription Factors for this Gene Expression Program:

Gene Symbol TF Rank DNA Binding Domain Motif Status IUPAC PWM GTEx DepMap Decartes
EGR1 2 Yes Known motif Monomer or homomultimer High-throughput in vitro None None
SOX11 14 Yes Known motif Monomer or homomultimer 100 perc ID - in vitro None None
EGR3 21 Yes Known motif Monomer or homomultimer High-throughput in vitro None None
TRIM37 27 No Unlikely to be sequence specific TF Not a DNA binding protein No motif None Included only because GO says it is a regulator of NFkappaB. No evidence for DNA binding, and no canonical DBD.
DDR2 34 No Unlikely to be sequence specific TF Not a DNA binding protein No motif None None
ZFHX3 36 Yes Known motif Monomer or homomultimer High-throughput in vitro None None
HMGN1 40 No Unlikely to be sequence specific TF Low specificity DNA-binding protein No motif None In the alignment, it clusters with other HMG proteins that have not yielded motifs.
EGR2 47 Yes Known motif Monomer or homomultimer High-throughput in vitro None Binds HOX4A promoter (PMID:21836637)
HDAC2 55 No Unlikely to be sequence specific TF Not a DNA binding protein No motif Only known motifs are from Transfac or HocoMoco - origin is uncertain Histone deacetylase; likely to be a transcriptional cofactor
PEG3 56 Yes Likely to be sequence specific TF Monomer or homomultimer No motif None SCAN C2H2 ZF Protein.
FOS 60 Yes Known motif Monomer or homomultimer High-throughput in vitro None None
HMGA1 67 Yes Known motif Monomer or homomultimer In vivo/Misc source Only known motifs are from Transfac or HocoMoco - origin is uncertain None
PPP3CA 68 No Unlikely to be sequence specific TF Not a DNA binding protein No motif None None
ZC3H11A 71 No ssDNA/RNA binding Not a DNA binding protein No motif None None
CNOT7 74 No Unlikely to be sequence specific TF Not a DNA binding protein No motif None (PMID:9820826) does not support DNA-binding
SOX5 78 Yes Known motif Monomer or homomultimer High-throughput in vitro None None
SMARCE1 84 No Unlikely to be sequence specific TF Low specificity DNA-binding protein No motif None In the alignment, it clusters with other HMG proteins that have not yielded motifs. Contributes to SWI/SNF DNA-binding (PMID: 9435219).
ID4 85 No Unlikely to be sequence specific TF Not a DNA binding protein No motif None ID bHLH proteins lack the basic region and should not be able to bind DNA. The HT-SELEX motif for ID4 is likely by a co-precipitated protein or it is a contamination
PCGF2 88 Yes Likely to be sequence specific TF Monomer or homomultimer No motif None (PMID: 8521824) shows via SELEX and EMSA that the recombinant PCGF2 protein binds GACT repeats
HSBP1 91 No Unlikely to be sequence specific TF Not a DNA binding protein No motif None Protein that has been shown to bind to HSF1 leading to inhibition of its trimerization and DNA-binding( PMID: 9649501).



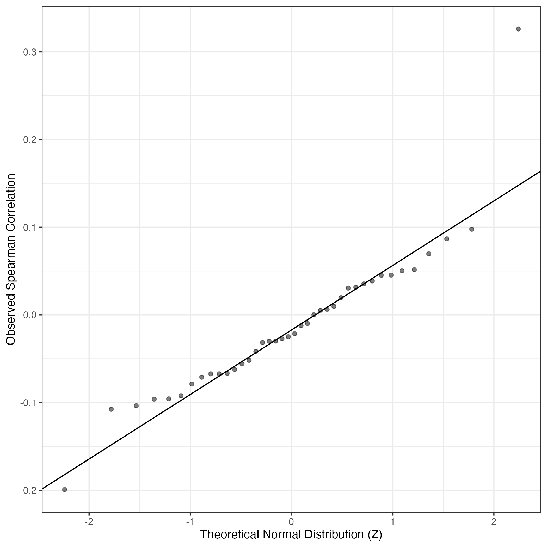
QQ Plot showing correlations with other GEPs in this dataset, calculated by Spearman correlation:

Interactive QQ-plot of gene loadings:

Interactive QQ Plot


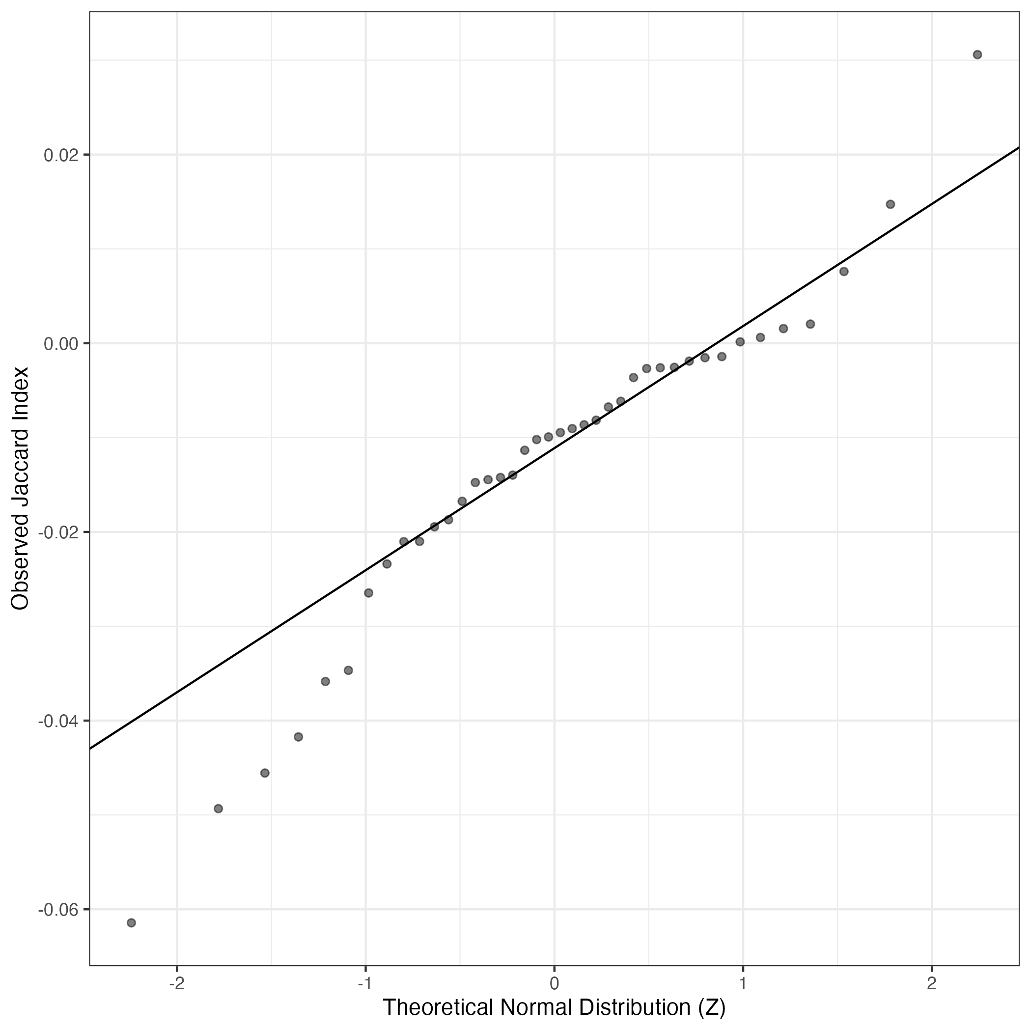
A similar QQ-plot as above, but only for instances where the H value is e.g. > 25, i.e. we are confident that the expression program is active above noise. Agreemenet between these binary vectors is tested using the Jaccard Index, with the P-values calculated by an exact test:

Interactive QQ-plot:

Interactive QQ Plot


Singler cell type annotations for the top 50 cells on this program.



Cell ID Singler label Singler Delta Activity Score Top Singler Raw Scores
T69_CAGCATAGTCCGTCAG.1 Neurons:adrenal_medulla_cell_line 0.17 543.18
Raw ScoresNeurons:adrenal_medulla_cell_line: 0.36, Neuroepithelial_cell:ESC-derived: 0.33, iPS_cells:PDB_1lox-17Puro-5: 0.31, iPS_cells:PDB_1lox-17Puro-10: 0.31, iPS_cells:PDB_1lox-21Puro-20: 0.31, iPS_cells:PDB_1lox-21Puro-26: 0.3, iPS_cells:PDB_2lox-22: 0.3, iPS_cells:CRL2097_foreskin-derived:undiff.: 0.3, Embryonic_stem_cells: 0.3, iPS_cells:PDB_2lox-17: 0.3
T69_CTCACACTCCAGAGGA.1 Neurons:adrenal_medulla_cell_line 0.17 520.52
Raw ScoresNeurons:adrenal_medulla_cell_line: 0.35, Neuroepithelial_cell:ESC-derived: 0.32, Astrocyte:Embryonic_stem_cell-derived: 0.29, Neurons:ES_cell-derived_neural_precursor: 0.29, iPS_cells:PDB_1lox-17Puro-5: 0.29, iPS_cells:PDB_1lox-21Puro-20: 0.29, iPS_cells:PDB_1lox-17Puro-10: 0.29, iPS_cells:PDB_1lox-21Puro-26: 0.29, iPS_cells:CRL2097_foreskin-derived:undiff.: 0.29, iPS_cells:PDB_2lox-22: 0.28
T69_AGAATAGCAAGCTGTT.1 Neurons:adrenal_medulla_cell_line 0.14 503.32
Raw ScoresNeurons:adrenal_medulla_cell_line: 0.38, Neuroepithelial_cell:ESC-derived: 0.36, Astrocyte:Embryonic_stem_cell-derived: 0.34, iPS_cells:PDB_2lox-22: 0.33, iPS_cells:CRL2097_foreskin-derived:undiff.: 0.33, iPS_cells:PDB_2lox-17: 0.33, iPS_cells:PDB_1lox-21Puro-20: 0.33, iPS_cells:PDB_2lox-5: 0.33, iPS_cells:PDB_2lox-21: 0.33, iPS_cells:adipose_stem_cell-derived:minicircle-derived: 0.33
T69_TCATTTGAGACTGTAA.1 Neurons:adrenal_medulla_cell_line 0.16 445.15
Raw ScoresNeurons:adrenal_medulla_cell_line: 0.37, Neuroepithelial_cell:ESC-derived: 0.34, iPS_cells:PDB_1lox-21Puro-20: 0.32, iPS_cells:PDB_1lox-17Puro-5: 0.31, iPS_cells:PDB_1lox-21Puro-26: 0.31, Astrocyte:Embryonic_stem_cell-derived: 0.31, Embryonic_stem_cells: 0.31, iPS_cells:PDB_1lox-17Puro-10: 0.31, iPS_cells:PDB_2lox-22: 0.31, iPS_cells:CRL2097_foreskin-derived:undiff.: 0.31
T69_AGCTTGATCACAATGC.1 Neurons:adrenal_medulla_cell_line 0.15 443.98
Raw ScoresNeurons:adrenal_medulla_cell_line: 0.34, Neuroepithelial_cell:ESC-derived: 0.32, iPS_cells:PDB_2lox-22: 0.3, iPS_cells:PDB_1lox-17Puro-5: 0.3, iPS_cells:PDB_1lox-21Puro-20: 0.3, iPS_cells:PDB_1lox-17Puro-10: 0.3, iPS_cells:PDB_2lox-21: 0.3, iPS_cells:PDB_2lox-17: 0.29, iPS_cells:PDB_2lox-5: 0.29, iPS_cells:adipose_stem_cell-derived:lentiviral: 0.29
T69_AACTCTTGTTACGTCA.1 Neurons:adrenal_medulla_cell_line 0.20 377.52
Raw ScoresNeurons:adrenal_medulla_cell_line: 0.39, Neuroepithelial_cell:ESC-derived: 0.36, iPS_cells:PDB_1lox-21Puro-20: 0.34, iPS_cells:PDB_1lox-17Puro-10: 0.34, iPS_cells:PDB_1lox-21Puro-26: 0.34, iPS_cells:PDB_1lox-17Puro-5: 0.34, iPS_cells:PDB_2lox-22: 0.33, iPS_cells:PDB_2lox-21: 0.33, Embryonic_stem_cells: 0.33, iPS_cells:PDB_2lox-17: 0.33
T69_CGAACATCAAGGACTG.1 Neurons:adrenal_medulla_cell_line 0.16 356.73
Raw ScoresNeurons:adrenal_medulla_cell_line: 0.34, Neuroepithelial_cell:ESC-derived: 0.32, Astrocyte:Embryonic_stem_cell-derived: 0.29, iPS_cells:PDB_1lox-17Puro-5: 0.29, Neurons:ES_cell-derived_neural_precursor: 0.29, iPS_cells:PDB_1lox-17Puro-10: 0.29, iPS_cells:PDB_1lox-21Puro-26: 0.29, iPS_cells:CRL2097_foreskin-derived:undiff.: 0.29, iPS_cells:PDB_1lox-21Puro-20: 0.29, iPS_cells:PDB_2lox-22: 0.28
T69_CTAGCCTGTGTTTGGT.1 Neurons:adrenal_medulla_cell_line 0.15 342.27
Raw ScoresNeurons:adrenal_medulla_cell_line: 0.36, Neuroepithelial_cell:ESC-derived: 0.36, Astrocyte:Embryonic_stem_cell-derived: 0.33, iPS_cells:PDB_1lox-17Puro-5: 0.33, iPS_cells:PDB_2lox-22: 0.32, Neurons:ES_cell-derived_neural_precursor: 0.32, iPS_cells:PDB_1lox-17Puro-10: 0.32, iPS_cells:CRL2097_foreskin-derived:undiff.: 0.32, iPS_cells:PDB_1lox-21Puro-26: 0.32, iPS_cells:PDB_1lox-21Puro-20: 0.32
T69_TGTGGTAGTTTAGGAA.1 Neurons:adrenal_medulla_cell_line 0.17 339.28
Raw ScoresNeurons:adrenal_medulla_cell_line: 0.34, Neuroepithelial_cell:ESC-derived: 0.31, iPS_cells:PDB_1lox-17Puro-5: 0.29, iPS_cells:PDB_1lox-21Puro-20: 0.29, iPS_cells:PDB_1lox-17Puro-10: 0.28, iPS_cells:PDB_1lox-21Puro-26: 0.28, Astrocyte:Embryonic_stem_cell-derived: 0.28, iPS_cells:PDB_2lox-22: 0.28, iPS_cells:CRL2097_foreskin-derived:undiff.: 0.28, Embryonic_stem_cells: 0.28
T69_AAGACCTTCCAAGCCG.1 Neurons:adrenal_medulla_cell_line 0.16 339.22
Raw ScoresNeurons:adrenal_medulla_cell_line: 0.38, Neuroepithelial_cell:ESC-derived: 0.36, iPS_cells:PDB_1lox-17Puro-10: 0.34, iPS_cells:PDB_1lox-21Puro-20: 0.34, iPS_cells:PDB_2lox-22: 0.34, iPS_cells:PDB_1lox-21Puro-26: 0.33, Embryonic_stem_cells: 0.33, iPS_cells:PDB_1lox-17Puro-5: 0.33, Astrocyte:Embryonic_stem_cell-derived: 0.33, Neurons:ES_cell-derived_neural_precursor: 0.33
T69_TCATTACAGTTTGCGT.1 Neurons:adrenal_medulla_cell_line 0.17 337.13
Raw ScoresNeurons:adrenal_medulla_cell_line: 0.37, Neuroepithelial_cell:ESC-derived: 0.34, iPS_cells:PDB_2lox-22: 0.32, iPS_cells:PDB_1lox-21Puro-20: 0.32, Neurons:ES_cell-derived_neural_precursor: 0.31, iPS_cells:PDB_1lox-17Puro-10: 0.31, iPS_cells:PDB_1lox-21Puro-26: 0.31, iPS_cells:PDB_1lox-17Puro-5: 0.31, Embryonic_stem_cells: 0.31, iPS_cells:CRL2097_foreskin-derived:undiff.: 0.31
T69_ATCATGGTCTTATCTG.1 Neurons:adrenal_medulla_cell_line 0.18 336.99
Raw ScoresNeurons:adrenal_medulla_cell_line: 0.37, Neuroepithelial_cell:ESC-derived: 0.35, iPS_cells:PDB_1lox-21Puro-20: 0.33, iPS_cells:PDB_1lox-21Puro-26: 0.33, iPS_cells:PDB_1lox-17Puro-5: 0.33, iPS_cells:PDB_2lox-22: 0.33, iPS_cells:PDB_1lox-17Puro-10: 0.32, iPS_cells:PDB_2lox-21: 0.32, Embryonic_stem_cells: 0.32, iPS_cells:CRL2097_foreskin-derived:undiff.: 0.32
T69_GATCTAGAGAAGATTC.1 Neurons:adrenal_medulla_cell_line 0.20 335.17
Raw ScoresNeurons:adrenal_medulla_cell_line: 0.41, Neuroepithelial_cell:ESC-derived: 0.37, iPS_cells:PDB_1lox-17Puro-10: 0.36, iPS_cells:PDB_1lox-21Puro-20: 0.36, iPS_cells:PDB_1lox-17Puro-5: 0.35, iPS_cells:PDB_1lox-21Puro-26: 0.35, iPS_cells:PDB_2lox-22: 0.35, Embryonic_stem_cells: 0.34, iPS_cells:CRL2097_foreskin-derived:undiff.: 0.34, iPS_cells:PDB_2lox-21: 0.34
T69_GATGAAAGTTACGTCA.1 Neurons:adrenal_medulla_cell_line 0.16 334.20
Raw ScoresNeurons:adrenal_medulla_cell_line: 0.33, Neuroepithelial_cell:ESC-derived: 0.32, iPS_cells:PDB_2lox-22: 0.3, iPS_cells:PDB_1lox-21Puro-20: 0.3, iPS_cells:PDB_2lox-21: 0.3, iPS_cells:PDB_2lox-17: 0.3, iPS_cells:PDB_1lox-17Puro-10: 0.3, iPS_cells:PDB_1lox-21Puro-26: 0.3, iPS_cells:PDB_1lox-17Puro-5: 0.3, iPS_cells:CRL2097_foreskin-derived:undiff.: 0.3
T69_CTCGTCACACGAGAGT.1 Neurons:adrenal_medulla_cell_line 0.15 333.08
Raw ScoresNeurons:adrenal_medulla_cell_line: 0.33, Neuroepithelial_cell:ESC-derived: 0.31, Neurons:ES_cell-derived_neural_precursor: 0.29, iPS_cells:PDB_1lox-17Puro-5: 0.29, iPS_cells:PDB_1lox-17Puro-10: 0.29, iPS_cells:PDB_1lox-21Puro-26: 0.29, Embryonic_stem_cells: 0.29, Astrocyte:Embryonic_stem_cell-derived: 0.29, iPS_cells:CRL2097_foreskin-derived:undiff.: 0.29, iPS_cells:PDB_1lox-21Puro-20: 0.29
T69_AGATTGCGTCAATACC.1 Neurons:adrenal_medulla_cell_line 0.14 330.52
Raw ScoresNeurons:adrenal_medulla_cell_line: 0.34, Neuroepithelial_cell:ESC-derived: 0.31, iPS_cells:PDB_2lox-22: 0.29, iPS_cells:PDB_1lox-21Puro-20: 0.28, iPS_cells:PDB_1lox-17Puro-5: 0.28, iPS_cells:CRL2097_foreskin-derived:undiff.: 0.28, Astrocyte:Embryonic_stem_cell-derived: 0.28, Embryonic_stem_cells: 0.28, iPS_cells:PDB_2lox-21: 0.28, iPS_cells:PDB_1lox-21Puro-26: 0.28
T69_CACCTTGTCAGTCCCT.1 Neurons:adrenal_medulla_cell_line 0.14 330.06
Raw ScoresNeurons:adrenal_medulla_cell_line: 0.35, Neuroepithelial_cell:ESC-derived: 0.33, iPS_cells:PDB_1lox-17Puro-5: 0.32, iPS_cells:PDB_2lox-22: 0.32, iPS_cells:PDB_1lox-17Puro-10: 0.32, iPS_cells:PDB_1lox-21Puro-20: 0.32, iPS_cells:CRL2097_foreskin-derived:undiff.: 0.32, iPS_cells:PDB_2lox-17: 0.32, Embryonic_stem_cells: 0.32, iPS_cells:PDB_2lox-21: 0.32
T69_GGTATTGGTGCCTGTG.1 Neurons:adrenal_medulla_cell_line 0.15 328.65
Raw ScoresNeurons:adrenal_medulla_cell_line: 0.3, Neuroepithelial_cell:ESC-derived: 0.27, iPS_cells:CRL2097_foreskin-derived:undiff.: 0.24, Neurons:ES_cell-derived_neural_precursor: 0.24, iPS_cells:PDB_1lox-17Puro-5: 0.24, Astrocyte:Embryonic_stem_cell-derived: 0.24, iPS_cells:PDB_2lox-21: 0.24, iPS_cells:PDB_2lox-22: 0.24, iPS_cells:PDB_2lox-5: 0.24, Embryonic_stem_cells: 0.24
T69_TAGACCATCTGTTGAG.1 Neurons:adrenal_medulla_cell_line 0.15 328.06
Raw ScoresNeurons:adrenal_medulla_cell_line: 0.36, Neuroepithelial_cell:ESC-derived: 0.33, iPS_cells:PDB_2lox-22: 0.33, iPS_cells:PDB_2lox-21: 0.32, iPS_cells:PDB_2lox-17: 0.32, iPS_cells:PDB_1lox-21Puro-20: 0.32, iPS_cells:PDB_1lox-17Puro-10: 0.32, iPS_cells:PDB_2lox-5: 0.32, iPS_cells:CRL2097_foreskin-derived:undiff.: 0.32, iPS_cells:PDB_1lox-21Puro-26: 0.32
T69_AAAGATGAGCGTTTAC.1 Neurons:adrenal_medulla_cell_line 0.17 320.42
Raw ScoresNeurons:adrenal_medulla_cell_line: 0.36, Neuroepithelial_cell:ESC-derived: 0.33, iPS_cells:PDB_1lox-17Puro-10: 0.31, iPS_cells:PDB_1lox-17Puro-5: 0.31, iPS_cells:PDB_1lox-21Puro-20: 0.31, iPS_cells:PDB_1lox-21Puro-26: 0.31, iPS_cells:CRL2097_foreskin-derived:undiff.: 0.3, Embryonic_stem_cells: 0.3, iPS_cells:PDB_2lox-22: 0.3, iPS_cells:PDB_2lox-21: 0.3
T69_GTCTCGTAGATGTGTA.1 Neurons:adrenal_medulla_cell_line 0.11 319.50
Raw ScoresNeurons:adrenal_medulla_cell_line: 0.32, Neuroepithelial_cell:ESC-derived: 0.29, iPS_cells:CRL2097_foreskin-derived:undiff.: 0.27, Astrocyte:Embryonic_stem_cell-derived: 0.27, iPS_cells:PDB_1lox-17Puro-5: 0.27, Pro-B_cell_CD34+: 0.26, iPS_cells:PDB_1lox-17Puro-10: 0.26, iPS_cells:PDB_2lox-22: 0.26, iPS_cells:PDB_1lox-21Puro-20: 0.26, iPS_cells:PDB_1lox-21Puro-26: 0.26
T69_CTAGTGAGTCGTCTTC.1 Neurons:adrenal_medulla_cell_line 0.19 317.58
Raw ScoresNeurons:adrenal_medulla_cell_line: 0.38, Neuroepithelial_cell:ESC-derived: 0.35, iPS_cells:PDB_1lox-21Puro-20: 0.34, iPS_cells:PDB_1lox-21Puro-26: 0.34, iPS_cells:PDB_1lox-17Puro-10: 0.34, iPS_cells:PDB_1lox-17Puro-5: 0.34, Embryonic_stem_cells: 0.34, iPS_cells:PDB_2lox-22: 0.34, iPS_cells:PDB_2lox-21: 0.34, iPS_cells:PDB_2lox-17: 0.33
T69_GTACTTTAGACATAAC.1 Neurons:adrenal_medulla_cell_line 0.14 315.63
Raw ScoresNeurons:adrenal_medulla_cell_line: 0.31, Neuroepithelial_cell:ESC-derived: 0.3, iPS_cells:PDB_1lox-21Puro-20: 0.27, iPS_cells:PDB_1lox-17Puro-5: 0.27, Astrocyte:Embryonic_stem_cell-derived: 0.27, iPS_cells:CRL2097_foreskin-derived:undiff.: 0.27, iPS_cells:PDB_2lox-22: 0.27, iPS_cells:PDB_1lox-21Puro-26: 0.27, iPS_cells:PDB_1lox-17Puro-10: 0.27, iPS_cells:PDB_2lox-21: 0.27
T69_AAACGGGCACATTAGC.1 Neurons:adrenal_medulla_cell_line 0.15 312.08
Raw ScoresNeurons:adrenal_medulla_cell_line: 0.33, Neuroepithelial_cell:ESC-derived: 0.31, iPS_cells:PDB_1lox-21Puro-20: 0.29, iPS_cells:PDB_1lox-17Puro-5: 0.28, iPS_cells:PDB_1lox-17Puro-10: 0.28, iPS_cells:PDB_2lox-22: 0.28, iPS_cells:PDB_1lox-21Puro-26: 0.28, iPS_cells:PDB_2lox-5: 0.28, Astrocyte:Embryonic_stem_cell-derived: 0.28, iPS_cells:PDB_2lox-21: 0.28
T69_GACGCGTGTCTGGAGA.1 Neurons:adrenal_medulla_cell_line 0.16 309.80
Raw ScoresNeurons:adrenal_medulla_cell_line: 0.36, Neuroepithelial_cell:ESC-derived: 0.33, Astrocyte:Embryonic_stem_cell-derived: 0.31, Embryonic_stem_cells: 0.3, iPS_cells:PDB_2lox-22: 0.3, iPS_cells:PDB_1lox-21Puro-20: 0.3, iPS_cells:PDB_1lox-17Puro-5: 0.3, iPS_cells:PDB_1lox-17Puro-10: 0.3, iPS_cells:PDB_2lox-21: 0.3, iPS_cells:PDB_1lox-21Puro-26: 0.3
T69_TGGGCGTAGCGAAGGG.1 Neurons:adrenal_medulla_cell_line 0.14 308.96
Raw ScoresNeurons:adrenal_medulla_cell_line: 0.33, Neuroepithelial_cell:ESC-derived: 0.3, iPS_cells:PDB_1lox-17Puro-5: 0.29, Astrocyte:Embryonic_stem_cell-derived: 0.29, iPS_cells:PDB_1lox-21Puro-20: 0.29, iPS_cells:PDB_1lox-17Puro-10: 0.29, iPS_cells:PDB_2lox-22: 0.29, iPS_cells:PDB_2lox-21: 0.28, iPS_cells:adipose_stem_cell-derived:minicircle-derived: 0.28, iPS_cells:CRL2097_foreskin-derived:undiff.: 0.28
T69_TTCTACACATGTAAGA.1 Neurons:adrenal_medulla_cell_line 0.12 308.56
Raw ScoresNeurons:adrenal_medulla_cell_line: 0.31, Neuroepithelial_cell:ESC-derived: 0.28, Astrocyte:Embryonic_stem_cell-derived: 0.26, Embryonic_stem_cells: 0.25, iPS_cells:CRL2097_foreskin-derived:undiff.: 0.25, Neurons:ES_cell-derived_neural_precursor: 0.25, iPS_cells:PDB_1lox-17Puro-5: 0.24, iPS_cells:PDB_1lox-17Puro-10: 0.24, iPS_cells:PDB_1lox-21Puro-20: 0.24, iPS_cells:PDB_1lox-21Puro-26: 0.24
T69_GAACATCCAGGGTACA.1 Neurons:adrenal_medulla_cell_line 0.14 307.74
Raw ScoresNeurons:adrenal_medulla_cell_line: 0.34, Neuroepithelial_cell:ESC-derived: 0.31, Astrocyte:Embryonic_stem_cell-derived: 0.29, iPS_cells:CRL2097_foreskin-derived:undiff.: 0.29, iPS_cells:PDB_1lox-17Puro-5: 0.29, iPS_cells:PDB_2lox-22: 0.28, iPS_cells:PDB_1lox-21Puro-20: 0.28, iPS_cells:PDB_2lox-21: 0.28, Embryonic_stem_cells: 0.28, iPS_cells:PDB_2lox-5: 0.28
T69_CTCGGAGGTAGCTAAA.1 Neurons:adrenal_medulla_cell_line 0.16 305.82
Raw ScoresNeurons:adrenal_medulla_cell_line: 0.35, Neuroepithelial_cell:ESC-derived: 0.32, Astrocyte:Embryonic_stem_cell-derived: 0.3, iPS_cells:CRL2097_foreskin-derived:undiff.: 0.29, iPS_cells:PDB_1lox-17Puro-5: 0.29, iPS_cells:PDB_1lox-21Puro-20: 0.29, iPS_cells:PDB_1lox-21Puro-26: 0.29, iPS_cells:PDB_2lox-21: 0.29, Neurons:ES_cell-derived_neural_precursor: 0.29, iPS_cells:PDB_1lox-17Puro-10: 0.29
T69_CGTCAGGGTCAGAGGT.1 Neurons:adrenal_medulla_cell_line 0.19 305.44
Raw ScoresNeurons:adrenal_medulla_cell_line: 0.38, Neuroepithelial_cell:ESC-derived: 0.35, iPS_cells:PDB_1lox-21Puro-20: 0.33, iPS_cells:PDB_1lox-21Puro-26: 0.33, iPS_cells:PDB_1lox-17Puro-5: 0.33, iPS_cells:PDB_1lox-17Puro-10: 0.33, Embryonic_stem_cells: 0.33, iPS_cells:PDB_2lox-22: 0.32, iPS_cells:CRL2097_foreskin-derived:undiff.: 0.32, iPS_cells:PDB_2lox-21: 0.32
T69_CCTACACCACAGAGGT.1 Neurons:adrenal_medulla_cell_line 0.17 303.76
Raw ScoresNeurons:adrenal_medulla_cell_line: 0.37, Neuroepithelial_cell:ESC-derived: 0.35, iPS_cells:PDB_1lox-21Puro-20: 0.32, iPS_cells:PDB_1lox-17Puro-5: 0.32, iPS_cells:PDB_1lox-17Puro-10: 0.32, iPS_cells:PDB_1lox-21Puro-26: 0.32, Neurons:ES_cell-derived_neural_precursor: 0.31, Astrocyte:Embryonic_stem_cell-derived: 0.31, Embryonic_stem_cells: 0.31, iPS_cells:CRL2097_foreskin-derived:undiff.: 0.31
T69_GATCAGTCATTGGTAC.1 Neurons:adrenal_medulla_cell_line 0.14 302.32
Raw ScoresNeurons:adrenal_medulla_cell_line: 0.32, Neuroepithelial_cell:ESC-derived: 0.3, iPS_cells:PDB_1lox-21Puro-20: 0.29, iPS_cells:PDB_1lox-17Puro-5: 0.29, iPS_cells:PDB_2lox-22: 0.29, iPS_cells:PDB_1lox-17Puro-10: 0.29, iPS_cells:PDB_1lox-21Puro-26: 0.29, iPS_cells:PDB_2lox-17: 0.29, iPS_cells:PDB_2lox-21: 0.29, iPS_cells:PDB_2lox-5: 0.29
T69_GTACTCCGTTTCCACC.1 Neurons:adrenal_medulla_cell_line 0.18 297.54
Raw ScoresNeurons:adrenal_medulla_cell_line: 0.34, Neuroepithelial_cell:ESC-derived: 0.33, iPS_cells:PDB_1lox-17Puro-10: 0.31, iPS_cells:PDB_1lox-21Puro-26: 0.31, iPS_cells:PDB_1lox-21Puro-20: 0.31, iPS_cells:PDB_1lox-17Puro-5: 0.3, iPS_cells:PDB_2lox-22: 0.3, Neurons:ES_cell-derived_neural_precursor: 0.3, Embryonic_stem_cells: 0.3, iPS_cells:PDB_2lox-17: 0.3
T69_TGAGGGAAGTGCCAGA.1 Neurons:adrenal_medulla_cell_line 0.17 295.42
Raw ScoresNeurons:adrenal_medulla_cell_line: 0.36, Neuroepithelial_cell:ESC-derived: 0.33, iPS_cells:PDB_2lox-22: 0.3, Astrocyte:Embryonic_stem_cell-derived: 0.3, iPS_cells:CRL2097_foreskin-derived:undiff.: 0.3, Neurons:ES_cell-derived_neural_precursor: 0.3, iPS_cells:PDB_1lox-21Puro-20: 0.3, iPS_cells:adipose_stem_cell-derived:minicircle-derived: 0.3, iPS_cells:PDB_2lox-21: 0.3, iPS_cells:PDB_1lox-17Puro-5: 0.3
T69_ACTGAACCATCCCACT.1 Neurons:adrenal_medulla_cell_line 0.16 289.87
Raw ScoresNeurons:adrenal_medulla_cell_line: 0.35, Neuroepithelial_cell:ESC-derived: 0.34, iPS_cells:PDB_1lox-21Puro-20: 0.33, iPS_cells:PDB_1lox-17Puro-10: 0.33, iPS_cells:PDB_2lox-22: 0.33, iPS_cells:PDB_1lox-21Puro-26: 0.32, iPS_cells:PDB_1lox-17Puro-5: 0.32, iPS_cells:PDB_2lox-21: 0.32, iPS_cells:PDB_2lox-17: 0.32, Embryonic_stem_cells: 0.32
T69_CGATGTAGTGTCAATC.1 Neurons:adrenal_medulla_cell_line 0.18 287.10
Raw ScoresNeurons:adrenal_medulla_cell_line: 0.34, Neuroepithelial_cell:ESC-derived: 0.32, iPS_cells:CRL2097_foreskin-derived:undiff.: 0.29, iPS_cells:PDB_2lox-22: 0.29, iPS_cells:PDB_1lox-17Puro-5: 0.29, iPS_cells:PDB_1lox-21Puro-20: 0.29, iPS_cells:PDB_1lox-17Puro-10: 0.29, iPS_cells:PDB_1lox-21Puro-26: 0.29, iPS_cells:PDB_2lox-21: 0.29, iPS_cells:PDB_2lox-17: 0.29
T69_TCTGAGACACCGCTAG.1 Neurons:adrenal_medulla_cell_line 0.16 286.96
Raw ScoresNeurons:adrenal_medulla_cell_line: 0.36, Neuroepithelial_cell:ESC-derived: 0.33, Astrocyte:Embryonic_stem_cell-derived: 0.31, iPS_cells:PDB_1lox-21Puro-20: 0.3, iPS_cells:PDB_1lox-17Puro-5: 0.3, iPS_cells:PDB_2lox-22: 0.3, iPS_cells:PDB_1lox-21Puro-26: 0.3, iPS_cells:PDB_1lox-17Puro-10: 0.3, iPS_cells:PDB_2lox-21: 0.3, Embryonic_stem_cells: 0.3
T69_CCACTACCATCTCGCT.1 Neurons:adrenal_medulla_cell_line 0.17 286.86
Raw ScoresNeurons:adrenal_medulla_cell_line: 0.36, Neuroepithelial_cell:ESC-derived: 0.33, iPS_cells:PDB_1lox-17Puro-5: 0.32, iPS_cells:PDB_2lox-22: 0.32, iPS_cells:PDB_2lox-21: 0.32, iPS_cells:PDB_1lox-21Puro-20: 0.32, iPS_cells:PDB_1lox-17Puro-10: 0.32, iPS_cells:PDB_2lox-17: 0.32, iPS_cells:PDB_1lox-21Puro-26: 0.31, iPS_cells:CRL2097_foreskin-derived:undiff.: 0.31
T69_TCTTCGGCACATTCGA.1 Neurons:adrenal_medulla_cell_line 0.13 285.41
Raw ScoresNeurons:adrenal_medulla_cell_line: 0.35, Neuroepithelial_cell:ESC-derived: 0.33, iPS_cells:PDB_1lox-17Puro-5: 0.31, iPS_cells:PDB_2lox-22: 0.31, iPS_cells:PDB_1lox-21Puro-26: 0.3, iPS_cells:PDB_1lox-21Puro-20: 0.3, iPS_cells:PDB_1lox-17Puro-10: 0.3, iPS_cells:PDB_2lox-5: 0.3, iPS_cells:PDB_2lox-21: 0.3, iPS_cells:CRL2097_foreskin-derived:undiff.: 0.3
T69_AAGGAGCGTTACAGAA.1 Neurons:adrenal_medulla_cell_line 0.15 283.77
Raw ScoresNeurons:adrenal_medulla_cell_line: 0.33, Neuroepithelial_cell:ESC-derived: 0.29, Astrocyte:Embryonic_stem_cell-derived: 0.28, iPS_cells:PDB_2lox-22: 0.26, iPS_cells:CRL2097_foreskin-derived:undiff.: 0.26, iPS_cells:PDB_1lox-17Puro-5: 0.26, iPS_cells:PDB_1lox-21Puro-26: 0.26, iPS_cells:PDB_1lox-21Puro-20: 0.26, iPS_cells:PDB_2lox-21: 0.26, iPS_cells:PDB_2lox-17: 0.26
T69_CAAGGCCGTTACGGAG.1 Neurons:adrenal_medulla_cell_line 0.19 282.30
Raw ScoresNeurons:adrenal_medulla_cell_line: 0.37, Neuroepithelial_cell:ESC-derived: 0.35, iPS_cells:PDB_1lox-21Puro-20: 0.33, iPS_cells:PDB_1lox-17Puro-10: 0.33, iPS_cells:PDB_1lox-17Puro-5: 0.33, iPS_cells:PDB_1lox-21Puro-26: 0.33, iPS_cells:PDB_2lox-22: 0.32, iPS_cells:PDB_2lox-21: 0.32, Embryonic_stem_cells: 0.32, iPS_cells:CRL2097_foreskin-derived:undiff.: 0.32
T69_ACACCGGCATTACCTT.1 Neurons:adrenal_medulla_cell_line 0.17 282.14
Raw ScoresNeurons:adrenal_medulla_cell_line: 0.35, Neuroepithelial_cell:ESC-derived: 0.32, iPS_cells:PDB_1lox-17Puro-5: 0.31, iPS_cells:PDB_1lox-21Puro-20: 0.31, iPS_cells:PDB_1lox-17Puro-10: 0.3, iPS_cells:PDB_2lox-21: 0.3, iPS_cells:PDB_1lox-21Puro-26: 0.3, iPS_cells:PDB_2lox-22: 0.3, iPS_cells:PDB_2lox-17: 0.3, Astrocyte:Embryonic_stem_cell-derived: 0.3
T69_GGCAATTTCGTTACGA.1 Smooth_muscle_cells:vascular:IL-17 0.17 280.01
Raw ScoresSmooth_muscle_cells:vascular:IL-17: 0.34, Smooth_muscle_cells:vascular: 0.33, Fibroblasts:breast: 0.33, Tissue_stem_cells:BM_MSC: 0.33, Tissue_stem_cells:BM_MSC:BMP2: 0.32, iPS_cells:adipose_stem_cells: 0.32, Tissue_stem_cells:BM_MSC:TGFb3: 0.32, Chondrocytes:MSC-derived: 0.32, Fibroblasts:foreskin: 0.31, Tissue_stem_cells:BM_MSC:osteogenic: 0.31
T69_ATAAGAGGTCCAGTAT.1 Neurons:adrenal_medulla_cell_line 0.16 276.36
Raw ScoresNeurons:adrenal_medulla_cell_line: 0.37, Neuroepithelial_cell:ESC-derived: 0.35, iPS_cells:PDB_2lox-22: 0.34, iPS_cells:PDB_1lox-21Puro-20: 0.34, iPS_cells:PDB_1lox-17Puro-5: 0.34, iPS_cells:PDB_2lox-17: 0.34, iPS_cells:PDB_2lox-21: 0.34, iPS_cells:CRL2097_foreskin-derived:undiff.: 0.34, iPS_cells:PDB_1lox-21Puro-26: 0.34, Embryonic_stem_cells: 0.34
T69_AAGCCGCAGGCTCATT.1 Neurons:adrenal_medulla_cell_line 0.17 275.31
Raw ScoresNeurons:adrenal_medulla_cell_line: 0.35, Neuroepithelial_cell:ESC-derived: 0.32, iPS_cells:PDB_1lox-21Puro-20: 0.3, iPS_cells:PDB_2lox-22: 0.3, iPS_cells:PDB_1lox-17Puro-5: 0.3, iPS_cells:PDB_1lox-21Puro-26: 0.3, iPS_cells:PDB_2lox-21: 0.3, iPS_cells:PDB_1lox-17Puro-10: 0.3, iPS_cells:PDB_2lox-17: 0.3, Astrocyte:Embryonic_stem_cell-derived: 0.29
T69_CGCTATCCACTCAGGC.1 Neurons:adrenal_medulla_cell_line 0.19 274.30
Raw ScoresNeurons:adrenal_medulla_cell_line: 0.38, Neuroepithelial_cell:ESC-derived: 0.36, iPS_cells:PDB_1lox-21Puro-20: 0.34, iPS_cells:PDB_1lox-17Puro-5: 0.34, iPS_cells:PDB_1lox-17Puro-10: 0.34, iPS_cells:PDB_1lox-21Puro-26: 0.34, iPS_cells:PDB_2lox-22: 0.33, Neurons:ES_cell-derived_neural_precursor: 0.33, iPS_cells:PDB_2lox-21: 0.33, iPS_cells:PDB_2lox-17: 0.33
T69_GGACAAGGTTAAGGGC.1 Neurons:adrenal_medulla_cell_line 0.19 272.86
Raw ScoresNeurons:adrenal_medulla_cell_line: 0.38, Neuroepithelial_cell:ESC-derived: 0.36, iPS_cells:PDB_1lox-21Puro-20: 0.34, iPS_cells:PDB_1lox-17Puro-5: 0.34, iPS_cells:PDB_1lox-17Puro-10: 0.34, iPS_cells:PDB_1lox-21Puro-26: 0.33, iPS_cells:PDB_2lox-22: 0.33, iPS_cells:PDB_2lox-21: 0.33, iPS_cells:CRL2097_foreskin-derived:undiff.: 0.33, iPS_cells:PDB_2lox-17: 0.33
T69_GGTATTGCATTTCACT.1 Neurons:adrenal_medulla_cell_line 0.16 270.33
Raw ScoresNeurons:adrenal_medulla_cell_line: 0.35, Neuroepithelial_cell:ESC-derived: 0.33, iPS_cells:PDB_1lox-21Puro-20: 0.3, iPS_cells:PDB_2lox-22: 0.3, iPS_cells:PDB_2lox-17: 0.3, iPS_cells:PDB_1lox-17Puro-5: 0.3, iPS_cells:PDB_2lox-21: 0.3, iPS_cells:PDB_1lox-21Puro-26: 0.3, iPS_cells:PDB_1lox-17Puro-10: 0.3, iPS_cells:CRL2097_foreskin-derived:undiff.: 0.3
T69_GTTCTCGGTCTCCCTA.1 Neurons:adrenal_medulla_cell_line 0.12 269.01
Raw ScoresNeurons:adrenal_medulla_cell_line: 0.29, Neuroepithelial_cell:ESC-derived: 0.28, iPS_cells:PDB_1lox-17Puro-10: 0.25, iPS_cells:PDB_1lox-17Puro-5: 0.25, Astrocyte:Embryonic_stem_cell-derived: 0.25, iPS_cells:PDB_1lox-21Puro-20: 0.25, iPS_cells:PDB_2lox-17: 0.25, iPS_cells:PDB_2lox-22: 0.25, iPS_cells:PDB_1lox-21Puro-26: 0.25, iPS_cells:PDB_2lox-21: 0.25
T69_TACGGGCGTTCCCTTG.1 Neurons:adrenal_medulla_cell_line 0.14 267.01
Raw ScoresNeurons:adrenal_medulla_cell_line: 0.3, Neuroepithelial_cell:ESC-derived: 0.29, Astrocyte:Embryonic_stem_cell-derived: 0.26, Neurons:ES_cell-derived_neural_precursor: 0.26, iPS_cells:PDB_1lox-17Puro-5: 0.26, iPS_cells:PDB_1lox-21Puro-20: 0.26, iPS_cells:PDB_1lox-17Puro-10: 0.25, iPS_cells:PDB_1lox-21Puro-26: 0.25, iPS_cells:CRL2097_foreskin-derived:undiff.: 0.25, Embryonic_stem_cells: 0.25



Below shows the significant enrichments of this GEP for literature curated gene lists
  This data was procured from existing single cell RNA-seq maps of neuroblastoma or related relevant data.
  High ranks indicate this gene is a driver of this GEP.
  These curated gene list are ranked by the P-value (on this GEP) of their constituent genes.
  The Mean Count column shows the mean read count in cells scoring highly (H > 50) on this gene expression program.


Meta_9 ATRX (Dong)
Markers obtained in computationally inferred meta program (by NMF applied to their neuroblastoma sc-RNA-seq data) from Fig. 5(a) of Dong et al. (PMID 32946775).:
Wilcoxon ranksum test P-value for gene set overrepresentation: 9.84e-03
Mean rank of genes in gene set: 300
Rank on gene expression program of genes in gene set:
Genes Weight Rank GTEx DepMap Decartes Mean.Counts Mean.TPM
ZFHX3 0.0070646 36 GTEx DepMap Descartes 4.68 68.39
ATRX 0.0022590 564 GTEx DepMap Descartes 1.57 35.76


Meta_8 undefined undifferentiated neuronal (Dong)
Markers obtained in computationally inferred meta program (by NMF applied to their neuroblastoma sc-RNA-seq data) from Fig. 5(a) of Dong et al. (PMID 32946775).:
Wilcoxon ranksum test P-value for gene set overrepresentation: 1.28e-02
Mean rank of genes in gene set: 557.5
Rank on gene expression program of genes in gene set:

Genes Weight Rank GTEx DepMap Decartes Mean.Counts Mean.TPM
SOX11 0.0096875 14 GTEx DepMap Descartes 5.51 158.50
CTNNB1 0.0014874 1101 GTEx DepMap Descartes 0.59 31.31


Adrenergic immature (Olsen)
Stated on pages 6 and 7 of the main text of Olsen et al. https://www.biorxiv.org/content/10.1101/2020.05.04.077057v1 - it is argued that upon reanalysis of the adrenergic neuroblastoma cells, there is further heterogeneity, grouped into proliferating, mature and immature cell populations. These is a marker listed for the immature adrenergic cells. SOX11 is referenced as important in early phases of pro-adrenergic differentiation (cites PMID 20147379) whereas SOX4 appears later. SOX11 is also associated with poor outcome in neuroblatoma bulk RNA-seq data (Olsen analysis).:
Wilcoxon ranksum test P-value for gene set overrepresentation: 4.20e-02
Mean rank of genes in gene set: 14
Rank on gene expression program of genes in gene set:

Genes Weight Rank GTEx DepMap Decartes Mean.Counts Mean.TPM
SOX11 0.0096875 14 GTEx DepMap Descartes 5.51 158.5





Below shows ranks on this GEP for literature curated gene lists for large gene sets
  These include those reported as mesenchymal/adrenergic by Van Groningen et al.
  High ranks indicate this gene is a driver of this GEP (note these results are not ordered).
  The Mean Count column shows the mean read count in cells scoring highly (H > 50) on this gene expression program.


VanGroningen Adrenergic Genes
Adrenergic marker genes from Supplementary Table 2 of Van Groningen et al. Nature Genetics 2017. These genes were identified by differential expression analysis of mesenchymal-like and adrenergic-like neuroblastoma cell lines.
Wilcoxon ranksum test P-value for gene set overrepresentation: 2.29e-03
Mean rank of genes in gene set: 5694.09
Median rank of genes in gene set: 4132
Rank on gene expression program of top 30 genes in gene set:

Genes Weight Rank GTEx DepMap Descartes Mean.Counts Mean.TPM
SOX11 0.0096875 14 GTEx DepMap Descartes 5.51 158.50
MARCH11 0.0085153 22 GTEx DepMap Descartes 4.32 NA
CCND1 0.0078398 29 GTEx DepMap Descartes 11.95 722.54
RANBP1 0.0064877 42 GTEx DepMap Descartes 5.14 561.52
CCNI 0.0062944 50 GTEx DepMap Descartes 17.11 1582.02
KIF21A 0.0062738 54 GTEx DepMap Descartes 4.31 169.27
PEG3 0.0060875 56 GTEx DepMap Descartes 0.83 NA
DCX 0.0058179 63 GTEx DepMap Descartes 2.62 72.25
HMGA1 0.0056666 67 GTEx DepMap Descartes 3.03 343.52
TMEM97 0.0055877 70 GTEx DepMap Descartes 1.64 161.20
SHC3 0.0048314 108 GTEx DepMap Descartes 0.11 2.60
GLRX 0.0045795 118 GTEx DepMap Descartes 1.44 111.54
HNRNPA0 0.0045664 121 GTEx DepMap Descartes 3.73 107.20
CENPV 0.0044842 130 GTEx DepMap Descartes 3.86 531.96
TDG 0.0041076 172 GTEx DepMap Descartes 1.27 99.00
LSM3 0.0038020 198 GTEx DepMap Descartes 2.42 175.16
PHF21B 0.0037449 203 GTEx DepMap Descartes 0.27 17.08
IRS2 0.0036537 213 GTEx DepMap Descartes 1.16 36.02
TBPL1 0.0034891 233 GTEx DepMap Descartes 0.94 57.93
DIABLO 0.0034797 235 GTEx DepMap Descartes 0.21 16.54
GATA3 0.0034479 236 GTEx DepMap Descartes 4.18 351.53
CXADR 0.0032691 261 GTEx DepMap Descartes 0.95 43.35
ISL1 0.0032359 266 GTEx DepMap Descartes 2.60 278.19
NCAN 0.0030835 298 GTEx DepMap Descartes 0.28 11.10
SBK1 0.0029618 333 GTEx DepMap Descartes 0.80 39.03
ELAVL2 0.0029534 336 GTEx DepMap Descartes 1.15 73.49
FZD3 0.0029394 339 GTEx DepMap Descartes 0.68 12.16
MAP1B 0.0028968 351 GTEx DepMap Descartes 7.84 170.05
NARS2 0.0028529 364 GTEx DepMap Descartes 0.31 31.65
DPYSL2 0.0028418 367 GTEx DepMap Descartes 1.85 94.65


VanGroningen Mesenchymal Genes
Mesenchymal marker genes from Supplementary Table 2 of Van Groningen et al. Nature Genetics 2017. These genes were identified by differential expression analysis of mesenchymal-like and adrenergic-like neuroblastoma cell lines.
Wilcoxon ranksum test P-value for gene set overrepresentation: 1.00e+00
Mean rank of genes in gene set: 8075.62
Median rank of genes in gene set: 9124
Rank on gene expression program of top 30 genes in gene set:

Genes Weight Rank GTEx DepMap Descartes Mean.Counts Mean.TPM
EGR1 0.0168549 2 GTEx DepMap Descartes 10.23 851.97
EGR3 0.0088850 21 GTEx DepMap Descartes 0.86 48.25
DDR2 0.0072165 34 GTEx DepMap Descartes 0.59 14.47
FLRT2 0.0056905 66 GTEx DepMap Descartes 0.33 2.52
ATP2B1 0.0053737 82 GTEx DepMap Descartes 1.33 48.00
COL4A2 0.0047835 111 GTEx DepMap Descartes 1.29 50.52
CKAP4 0.0041681 161 GTEx DepMap Descartes 0.89 70.33
MYADM 0.0036652 210 GTEx DepMap Descartes 0.92 74.99
PTPRG 0.0029830 326 GTEx DepMap Descartes 0.20 5.28
WNT5A 0.0028913 354 GTEx DepMap Descartes 0.05 1.99
CD44 0.0026802 410 GTEx DepMap Descartes 2.01 95.33
SGK1 0.0023036 540 GTEx DepMap Descartes 0.66 32.06
ENAH 0.0021273 639 GTEx DepMap Descartes 1.09 20.09
PTPRK 0.0020860 656 GTEx DepMap Descartes 0.11 NA
BNC2 0.0020477 672 GTEx DepMap Descartes 0.06 1.20
HOMER1 0.0019513 719 GTEx DepMap Descartes 0.16 7.01
FZD1 0.0019187 742 GTEx DepMap Descartes 0.06 2.29
CETN2 0.0019130 750 GTEx DepMap Descartes 0.27 47.69
RBMS1 0.0018369 801 GTEx DepMap Descartes 0.94 55.23
SEC14L1 0.0017715 846 GTEx DepMap Descartes 0.49 21.56
ELAVL1 0.0017621 855 GTEx DepMap Descartes 0.56 22.42
HIST1H2AC 0.0017394 878 GTEx DepMap Descartes 0.49 NA
ARHGEF40 0.0017004 905 GTEx DepMap Descartes 0.13 5.92
SLC38A2 0.0016464 965 GTEx DepMap Descartes 0.98 50.52
COL12A1 0.0016140 991 GTEx DepMap Descartes 0.07 1.55
UGDH 0.0015360 1052 GTEx DepMap Descartes 0.23 19.17
KDELR2 0.0015125 1074 GTEx DepMap Descartes 0.91 81.91
FGFR1 0.0014803 1111 GTEx DepMap Descartes 0.18 7.40
NES 0.0014587 1146 GTEx DepMap Descartes 0.50 22.32
ROR1 0.0012914 1366 GTEx DepMap Descartes 0.03 1.49


Descartes adrenocortical markers
Top 50 marker genes of adrenocortical cells in the Decartes fetal adrenal single cell map (https://atlas.brotmanbaty.org/bbi/human-gene-expression-during-development/cell/adrenocortical/in/adrenal)
Wilcoxon ranksum test P-value for gene set overrepresentation: 5.25e-02
Mean rank of genes in gene set: 5297.86
Median rank of genes in gene set: 4447
Rank on gene expression program of top 30 genes in gene set:

Genes Weight Rank GTEx DepMap Descartes Mean.Counts Mean.TPM
PEG3 0.0060875 56 GTEx DepMap Descartes 0.83 NA
SLC1A2 0.0036951 206 GTEx DepMap Descartes 0.42 8.58
SGCZ 0.0034962 230 GTEx DepMap Descartes 0.08 3.13
HMGCS1 0.0025386 454 GTEx DepMap Descartes 0.46 20.09
HMGCR 0.0022441 569 GTEx DepMap Descartes 0.35 18.11
SLC16A9 0.0016676 937 GTEx DepMap Descartes 0.13 7.44
JAKMIP2 0.0014160 1203 GTEx DepMap Descartes 0.37 10.08
LDLR 0.0013765 1263 GTEx DepMap Descartes 0.13 5.23
GSTA4 0.0011741 1560 GTEx DepMap Descartes 0.87 132.73
BAIAP2L1 0.0011494 1596 GTEx DepMap Descartes 0.02 1.50
DHCR24 0.0011098 1671 GTEx DepMap Descartes 0.12 5.00
IGF1R 0.0008770 2144 GTEx DepMap Descartes 0.25 5.04
MSMO1 0.0007996 2311 GTEx DepMap Descartes 0.29 31.97
TM7SF2 0.0007662 2390 GTEx DepMap Descartes 0.34 40.52
SCAP 0.0006139 2833 GTEx DepMap Descartes 0.17 9.72
FDX1 0.0005519 3017 GTEx DepMap Descartes 0.45 37.00
CYB5B 0.0004184 3480 GTEx DepMap Descartes 0.31 17.79
GRAMD1B 0.0003880 3598 GTEx DepMap Descartes 0.05 1.36
DHCR7 0.0000365 5296 GTEx DepMap Descartes 0.09 7.63
STAR -0.0000131 5636 GTEx DepMap Descartes 0.02 1.16
FDXR -0.0001140 6584 GTEx DepMap Descartes 0.10 9.65
INHA -0.0001360 6817 GTEx DepMap Descartes 0.01 1.23
SH3PXD2B -0.0001412 6866 GTEx DepMap Descartes 0.03 0.91
FREM2 -0.0001549 7000 GTEx DepMap Descartes 0.00 0.00
PDE10A -0.0002951 8231 GTEx DepMap Descartes 0.05 1.36
SCARB1 -0.0003613 8728 GTEx DepMap Descartes 0.05 2.47
FRMD5 -0.0003679 8772 GTEx DepMap Descartes 0.03 1.12
POR -0.0005237 9758 GTEx DepMap Descartes 0.11 10.79
NPC1 -0.0005508 9902 GTEx DepMap Descartes 0.02 0.97
SH3BP5 -0.0005636 9970 GTEx DepMap Descartes 0.19 14.99


Descartes chromaffin markers
Top 50 marker genes of chromaffin cells in the Decartes fetal adrenal single cell map (https://atlas.brotmanbaty.org/bbi/human-gene-expression-during-development/cell/chromaffin/in/adrenal)
Wilcoxon ranksum test P-value for gene set overrepresentation: 9.58e-01
Mean rank of genes in gene set: 7249.1
Median rank of genes in gene set: 9203
Rank on gene expression program of top 30 genes in gene set:

Genes Weight Rank GTEx DepMap Descartes Mean.Counts Mean.TPM
MARCH11 0.0085153 22 GTEx DepMap Descartes 4.32 NA
CCND1 0.0078398 29 GTEx DepMap Descartes 11.95 722.54
MLLT11 0.0043857 136 GTEx DepMap Descartes 8.52 879.77
MAB21L2 0.0038304 197 GTEx DepMap Descartes 0.97 98.39
ISL1 0.0032359 266 GTEx DepMap Descartes 2.60 278.19
ELAVL2 0.0029534 336 GTEx DepMap Descartes 1.15 73.49
MAP1B 0.0028968 351 GTEx DepMap Descartes 7.84 170.05
RBFOX1 0.0019763 702 GTEx DepMap Descartes 0.51 25.93
FAT3 0.0019641 708 GTEx DepMap Descartes 0.21 2.57
CNKSR2 0.0013782 1259 GTEx DepMap Descartes 0.16 5.01
SYNPO2 0.0013144 1342 GTEx DepMap Descartes 0.30 4.96
RPH3A 0.0006187 2821 GTEx DepMap Descartes 0.07 3.77
PTCHD1 0.0005533 3007 GTEx DepMap Descartes 0.12 2.19
KCNB2 0.0005429 3051 GTEx DepMap Descartes 0.10 7.06
IL7 0.0002454 4209 GTEx DepMap Descartes 0.46 59.98
SLC44A5 0.0002267 4292 GTEx DepMap Descartes 0.04 1.95
BASP1 0.0001695 4593 GTEx DepMap Descartes 5.66 760.34
RGMB -0.0001187 6647 GTEx DepMap Descartes 0.29 15.92
REEP1 -0.0003168 8417 GTEx DepMap Descartes 0.23 14.23
RYR2 -0.0003339 8537 GTEx DepMap Descartes 0.04 0.49
NPY -0.0004315 9203 GTEx DepMap Descartes 6.10 2223.14
ANKFN1 -0.0004933 9567 GTEx DepMap Descartes 0.02 1.11
EPHA6 -0.0005210 9746 GTEx DepMap Descartes 0.01 0.39
GREM1 -0.0009353 11321 GTEx DepMap Descartes 0.01 0.09
HS3ST5 -0.0010198 11479 GTEx DepMap Descartes 0.01 0.57
ALK -0.0010802 11583 GTEx DepMap Descartes 0.01 0.47
STMN2 -0.0010866 11596 GTEx DepMap Descartes 16.71 2229.92
CNTFR -0.0011457 11693 GTEx DepMap Descartes 0.45 55.23
EYA1 -0.0013420 11969 GTEx DepMap Descartes 0.01 0.58
TMEM132C -0.0014797 12079 GTEx DepMap Descartes 0.03 1.26


Descartes Vascular_endothelial markers
Top 50 marker genes of Vascular_endothelial cells in the Decartes fetal adrenal single cell map (https://atlas.brotmanbaty.org/bbi/human-gene-expression-during-development/cell/vascular_endothelial/in/adrenal)
Wilcoxon ranksum test P-value for gene set overrepresentation: 8.85e-01
Mean rank of genes in gene set: 6978.5
Median rank of genes in gene set: 7482.5
Rank on gene expression program of top 30 genes in gene set:

Genes Weight Rank GTEx DepMap Descartes Mean.Counts Mean.TPM
RAMP2 0.0019283 735 GTEx DepMap Descartes 1.08 317.89
HYAL2 0.0014190 1199 GTEx DepMap Descartes 0.46 28.25
ARHGAP29 0.0012362 1466 GTEx DepMap Descartes 0.26 7.54
MYRIP 0.0008351 2225 GTEx DepMap Descartes 0.03 1.57
SHANK3 0.0006544 2710 GTEx DepMap Descartes 0.03 0.96
EFNB2 0.0003771 3645 GTEx DepMap Descartes 0.20 9.64
CDH13 0.0001479 4704 GTEx DepMap Descartes 0.04 1.22
F8 -0.0000144 5647 GTEx DepMap Descartes 0.01 0.25
BTNL9 -0.0000153 5654 GTEx DepMap Descartes 0.00 0.25
SLCO2A1 -0.0000735 6161 GTEx DepMap Descartes 0.00 0.22
PODXL -0.0001184 6644 GTEx DepMap Descartes 0.04 1.41
TEK -0.0001288 6746 GTEx DepMap Descartes 0.00 0.01
FLT4 -0.0001524 6972 GTEx DepMap Descartes 0.00 0.04
NR5A2 -0.0001712 7149 GTEx DepMap Descartes 0.00 0.00
NPR1 -0.0001835 7268 GTEx DepMap Descartes 0.00 0.07
ESM1 -0.0001919 7336 GTEx DepMap Descartes 0.00 0.00
PTPRB -0.0001960 7368 GTEx DepMap Descartes 0.00 0.12
TMEM88 -0.0002046 7451 GTEx DepMap Descartes 0.04 10.87
ID1 -0.0002070 7479 GTEx DepMap Descartes 0.14 23.57
GALNT15 -0.0002076 7486 GTEx DepMap Descartes 0.00 NA
EHD3 -0.0002346 7732 GTEx DepMap Descartes 0.01 0.68
KANK3 -0.0002519 7869 GTEx DepMap Descartes 0.00 0.44
TIE1 -0.0002667 7984 GTEx DepMap Descartes 0.00 0.17
SHE -0.0002681 7999 GTEx DepMap Descartes 0.00 0.04
CDH5 -0.0002706 8012 GTEx DepMap Descartes 0.00 0.02
ROBO4 -0.0002910 8186 GTEx DepMap Descartes 0.00 0.15
MMRN2 -0.0002978 8247 GTEx DepMap Descartes 0.00 0.07
PLVAP -0.0003036 8296 GTEx DepMap Descartes 0.00 0.18
KDR -0.0003329 8525 GTEx DepMap Descartes 0.00 0.04
CALCRL -0.0003577 8700 GTEx DepMap Descartes 0.00 0.03


Descartes stromal markers
Top 50 marker genes of stromal cells in the Decartes fetal adrenal single cell map (https://atlas.brotmanbaty.org/bbi/human-gene-expression-during-development/cell/stromal/in/adrenal)
Wilcoxon ranksum test P-value for gene set overrepresentation: 9.99e-01
Mean rank of genes in gene set: 7901.7
Median rank of genes in gene set: 8090
Rank on gene expression program of top 30 genes in gene set:

Genes Weight Rank GTEx DepMap Descartes Mean.Counts Mean.TPM
PCOLCE 0.0018558 786 GTEx DepMap Descartes 1.13 184.31
COL12A1 0.0016140 991 GTEx DepMap Descartes 0.07 1.55
CLDN11 0.0005523 3015 GTEx DepMap Descartes 0.03 2.41
CD248 0.0000830 5037 GTEx DepMap Descartes 0.04 3.33
PCDH18 0.0000550 5187 GTEx DepMap Descartes 0.01 0.53
DKK2 0.0000519 5207 GTEx DepMap Descartes 0.00 0.32
ADAMTSL3 0.0000187 5402 GTEx DepMap Descartes 0.00 0.04
EDNRA -0.0000081 5595 GTEx DepMap Descartes 0.00 0.21
ITGA11 -0.0000204 5690 GTEx DepMap Descartes 0.00 0.09
SFRP2 -0.0000726 6156 GTEx DepMap Descartes 0.00 0.23
PDGFRA -0.0001081 6515 GTEx DepMap Descartes 0.14 5.09
RSPO3 -0.0001672 7120 GTEx DepMap Descartes 0.00 NA
IGFBP3 -0.0001710 7148 GTEx DepMap Descartes 0.04 2.04
LAMC3 -0.0001825 7261 GTEx DepMap Descartes 0.00 0.00
SCARA5 -0.0002003 7403 GTEx DepMap Descartes 0.00 0.00
ABCC9 -0.0002085 7496 GTEx DepMap Descartes 0.00 0.00
C7 -0.0002170 7566 GTEx DepMap Descartes 0.01 0.33
BICC1 -0.0002236 7627 GTEx DepMap Descartes 0.01 0.54
COL27A1 -0.0002371 7753 GTEx DepMap Descartes 0.00 0.03
GAS2 -0.0002593 7930 GTEx DepMap Descartes 0.00 0.16
MGP -0.0002735 8037 GTEx DepMap Descartes 0.27 24.43
GLI2 -0.0002749 8052 GTEx DepMap Descartes 0.00 0.04
CDH11 -0.0002844 8128 GTEx DepMap Descartes 0.04 1.50
POSTN -0.0003084 8340 GTEx DepMap Descartes 0.01 0.32
ACTA2 -0.0003434 8594 GTEx DepMap Descartes 0.06 7.53
LRRC17 -0.0003710 8787 GTEx DepMap Descartes 0.00 0.37
PAMR1 -0.0003781 8832 GTEx DepMap Descartes 0.00 0.22
PRRX1 -0.0004032 9020 GTEx DepMap Descartes 0.00 0.04
FREM1 -0.0004069 9043 GTEx DepMap Descartes 0.00 0.01
ABCA6 -0.0004161 9104 GTEx DepMap Descartes 0.00 0.07


Descartes sympathoblasts markers
Top 50 marker genes of sympathoblasts cells in the Decartes fetal adrenal single cell map (https://atlas.brotmanbaty.org/bbi/human-gene-expression-during-development/cell/sympathoblasts/in/adrenal)
Wilcoxon ranksum test P-value for gene set overrepresentation: 9.52e-01
Mean rank of genes in gene set: 7253.45
Median rank of genes in gene set: 7365.5
Rank on gene expression program of top 30 genes in gene set:

Genes Weight Rank GTEx DepMap Descartes Mean.Counts Mean.TPM
KCTD16 0.0114314 8 GTEx DepMap Descartes 1.86 34.23
ARC 0.0073798 31 GTEx DepMap Descartes 2.67 239.45
TIAM1 0.0016902 913 GTEx DepMap Descartes 0.24 8.15
PCSK1N 0.0010542 1780 GTEx DepMap Descartes 5.93 1465.34
GRM7 0.0008185 2268 GTEx DepMap Descartes 0.02 1.36
FGF14 0.0006078 2844 GTEx DepMap Descartes 0.19 3.85
HTATSF1 0.0003166 3907 GTEx DepMap Descartes 0.50 40.38
TENM1 0.0002300 4281 GTEx DepMap Descartes 0.04 NA
CNTN3 0.0001014 4943 GTEx DepMap Descartes 0.01 0.24
ROBO1 0.0000788 5062 GTEx DepMap Descartes 0.14 4.76
LAMA3 0.0000582 5169 GTEx DepMap Descartes 0.01 0.18
DGKK -0.0000152 5652 GTEx DepMap Descartes 0.03 1.08
SLC35F3 -0.0000491 5906 GTEx DepMap Descartes 0.00 0.16
SPOCK3 -0.0000527 5941 GTEx DepMap Descartes 0.04 3.28
PENK -0.0000823 6252 GTEx DepMap Descartes 0.00 0.00
KSR2 -0.0001407 6862 GTEx DepMap Descartes 0.06 0.85
C1QL1 -0.0001545 6995 GTEx DepMap Descartes 0.79 121.81
CHGA -0.0001702 7144 GTEx DepMap Descartes 1.13 138.83
CCSER1 -0.0001715 7152 GTEx DepMap Descartes 0.02 NA
MGAT4C -0.0002183 7579 GTEx DepMap Descartes 0.09 0.87
ST18 -0.0002481 7837 GTEx DepMap Descartes 0.00 0.07
SORCS3 -0.0003445 8604 GTEx DepMap Descartes 0.01 0.32
EML6 -0.0004294 9188 GTEx DepMap Descartes 0.01 0.21
CDH18 -0.0004343 9221 GTEx DepMap Descartes 0.01 0.51
TBX20 -0.0004652 9393 GTEx DepMap Descartes 0.00 0.05
GALNTL6 -0.0004687 9411 GTEx DepMap Descartes 0.02 1.32
SLC24A2 -0.0004920 9557 GTEx DepMap Descartes 0.00 0.02
PACRG -0.0005706 10017 GTEx DepMap Descartes 0.04 6.25
AGBL4 -0.0005889 10105 GTEx DepMap Descartes 0.01 0.67
GCH1 -0.0006377 10325 GTEx DepMap Descartes 0.19 16.49


Descartes erythroblasts markers
Top 50 marker genes of erythroblasts cells in the Decartes fetal adrenal single cell map (https://atlas.brotmanbaty.org/bbi/human-gene-expression-during-development/cell/erythroblasts/in/adrenal)
Wilcoxon ranksum test P-value for gene set overrepresentation: 8.19e-01
Mean rank of genes in gene set: 6887.45
Median rank of genes in gene set: 6367
Rank on gene expression program of top 30 genes in gene set:

Genes Weight Rank GTEx DepMap Descartes Mean.Counts Mean.TPM
SNCA 0.0104343 10 GTEx DepMap Descartes 1.82 152.59
SPECC1 0.0024279 488 GTEx DepMap Descartes 0.17 5.14
ABCB10 0.0013144 1341 GTEx DepMap Descartes 0.09 6.00
XPO7 0.0006138 2834 GTEx DepMap Descartes 0.15 7.30
RAPGEF2 0.0005787 2924 GTEx DepMap Descartes 0.21 6.23
TMCC2 0.0002721 4084 GTEx DepMap Descartes 0.04 2.68
CPOX 0.0002587 4154 GTEx DepMap Descartes 0.04 4.12
TFR2 0.0000925 4985 GTEx DepMap Descartes 0.06 4.76
ANK1 0.0000920 4986 GTEx DepMap Descartes 0.05 1.26
ALAS2 0.0000622 5142 GTEx DepMap Descartes 0.03 2.65
MARCH3 -0.0000115 5622 GTEx DepMap Descartes 0.04 NA
SLC25A37 -0.0000315 5764 GTEx DepMap Descartes 0.25 12.61
GCLC -0.0000738 6164 GTEx DepMap Descartes 0.05 3.36
SLC25A21 -0.0000745 6172 GTEx DepMap Descartes 0.00 0.00
RHD -0.0000947 6367 GTEx DepMap Descartes 0.00 0.00
SLC4A1 -0.0001342 6802 GTEx DepMap Descartes 0.00 0.17
RGS6 -0.0002335 7719 GTEx DepMap Descartes 0.00 0.00
FECH -0.0003126 8377 GTEx DepMap Descartes 0.06 1.86
SELENBP1 -0.0003795 8849 GTEx DepMap Descartes 0.00 0.29
TSPAN5 -0.0004957 9582 GTEx DepMap Descartes 0.33 18.84
CAT -0.0004972 9598 GTEx DepMap Descartes 0.11 11.55
MICAL2 -0.0005163 9723 GTEx DepMap Descartes 0.00 0.14
SPTB -0.0005565 9936 GTEx DepMap Descartes 0.03 0.62
EPB41 -0.0006366 10319 GTEx DepMap Descartes 0.19 7.05
TRAK2 -0.0007090 10618 GTEx DepMap Descartes 0.05 1.61
DENND4A -0.0008334 11045 GTEx DepMap Descartes 0.09 2.58
BLVRB -0.0010529 11540 GTEx DepMap Descartes 0.06 10.18
SOX6 -0.0015775 12155 GTEx DepMap Descartes 0.00 0.06
GYPC -0.0023368 12436 GTEx DepMap Descartes 0.09 8.18
NA NA NA NA NA NA NA NA


Descartes myeloid markers
Top 50 marker genes of myeloid cells in the Decartes fetal adrenal single cell map (https://atlas.brotmanbaty.org/bbi/human-gene-expression-during-development/cell/myeloid/in/adrenal)
Wilcoxon ranksum test P-value for gene set overrepresentation: 1.00e+00
Mean rank of genes in gene set: 10324.42
Median rank of genes in gene set: 10863.5
Rank on gene expression program of top 30 genes in gene set:

Genes Weight Rank GTEx DepMap Descartes Mean.Counts Mean.TPM
RBPJ 0.0007935 2325 GTEx DepMap Descartes 0.80 33.45
MARCH1 0.0000884 5010 GTEx DepMap Descartes 0.06 NA
WWP1 -0.0002287 7675 GTEx DepMap Descartes 0.06 3.10
RGL1 -0.0002704 8009 GTEx DepMap Descartes 0.03 1.23
CPVL -0.0004130 9082 GTEx DepMap Descartes 0.01 1.07
ATP8B4 -0.0004671 9402 GTEx DepMap Descartes 0.00 0.13
SLC9A9 -0.0004878 9535 GTEx DepMap Descartes 0.01 0.44
HRH1 -0.0004980 9605 GTEx DepMap Descartes 0.00 0.23
FGD2 -0.0005324 9796 GTEx DepMap Descartes 0.00 0.23
SFMBT2 -0.0005375 9827 GTEx DepMap Descartes 0.02 0.48
MERTK -0.0005712 10018 GTEx DepMap Descartes 0.00 0.07
ABCA1 -0.0006309 10291 GTEx DepMap Descartes 0.04 0.87
SPP1 -0.0006310 10292 GTEx DepMap Descartes 0.12 14.59
CD163 -0.0006544 10396 GTEx DepMap Descartes 0.01 0.23
MSR1 -0.0006684 10478 GTEx DepMap Descartes 0.01 0.89
ADAP2 -0.0007039 10599 GTEx DepMap Descartes 0.02 1.74
SLC1A3 -0.0007172 10644 GTEx DepMap Descartes 0.00 0.06
IFNGR1 -0.0007212 10662 GTEx DepMap Descartes 0.13 13.01
CYBB -0.0007669 10844 GTEx DepMap Descartes 0.01 0.65
PTPRE -0.0007777 10883 GTEx DepMap Descartes 0.05 2.07
CD14 -0.0007781 10885 GTEx DepMap Descartes 0.04 4.86
CSF1R -0.0008475 11081 GTEx DepMap Descartes 0.01 0.48
FGL2 -0.0008493 11085 GTEx DepMap Descartes 0.02 0.93
SLCO2B1 -0.0008506 11092 GTEx DepMap Descartes 0.01 0.22
MS4A4A -0.0008511 11095 GTEx DepMap Descartes 0.03 3.46
CTSB -0.0008847 11174 GTEx DepMap Descartes 0.44 26.31
HCK -0.0009157 11272 GTEx DepMap Descartes 0.01 1.19
LGMN -0.0009267 11305 GTEx DepMap Descartes 0.10 11.06
ITPR2 -0.0009437 11340 GTEx DepMap Descartes 0.02 0.28
CTSD -0.0009935 11439 GTEx DepMap Descartes 0.30 32.21


Descartes Schwann markers
Top 50 marker genes of Schwann cells in the Decartes fetal adrenal single cell map (https://atlas.brotmanbaty.org/bbi/human-gene-expression-during-development/cell/schwann/in/adrenal)
Wilcoxon ranksum test P-value for gene set overrepresentation: 9.64e-01
Mean rank of genes in gene set: 7254.18
Median rank of genes in gene set: 8211.5
Rank on gene expression program of top 30 genes in gene set:

Genes Weight Rank GTEx DepMap Descartes Mean.Counts Mean.TPM
VCAN 0.0091387 18 GTEx DepMap Descartes 2.04 42.03
PPP2R2B 0.0073021 32 GTEx DepMap Descartes 1.24 29.86
SOX5 0.0054972 78 GTEx DepMap Descartes 0.60 21.53
SLC35F1 0.0025494 447 GTEx DepMap Descartes 0.12 5.70
PAG1 0.0020179 682 GTEx DepMap Descartes 0.40 8.90
MDGA2 0.0016246 984 GTEx DepMap Descartes 0.01 0.65
STARD13 0.0015410 1044 GTEx DepMap Descartes 0.07 2.74
XKR4 0.0013205 1328 GTEx DepMap Descartes 0.06 0.79
COL25A1 0.0010203 1848 GTEx DepMap Descartes 0.04 1.25
MARCKS 0.0005533 3008 GTEx DepMap Descartes 5.00 285.70
HMGA2 0.0004413 3402 GTEx DepMap Descartes 0.00 0.09
KCTD12 0.0002468 4203 GTEx DepMap Descartes 0.12 4.46
SORCS1 0.0002260 4295 GTEx DepMap Descartes 0.08 2.95
ADAMTS5 0.0000472 5241 GTEx DepMap Descartes 0.01 0.27
NRXN1 0.0000284 5341 GTEx DepMap Descartes 0.54 14.27
IL1RAPL2 -0.0000380 5815 GTEx DepMap Descartes 0.00 0.00
PTPRZ1 -0.0001172 6623 GTEx DepMap Descartes 0.00 0.14
PLCE1 -0.0001836 7269 GTEx DepMap Descartes 0.04 0.92
IL1RAPL1 -0.0001920 7337 GTEx DepMap Descartes 0.00 0.42
NRXN3 -0.0002332 7714 GTEx DepMap Descartes 0.01 0.21
LAMC1 -0.0002339 7723 GTEx DepMap Descartes 0.04 1.21
FIGN -0.0002937 8211 GTEx DepMap Descartes 0.09 2.13
MPZ -0.0002937 8212 GTEx DepMap Descartes 0.01 1.69
PLP1 -0.0003906 8931 GTEx DepMap Descartes 0.00 0.01
OLFML2A -0.0003973 8976 GTEx DepMap Descartes 0.00 0.00
TRPM3 -0.0004296 9190 GTEx DepMap Descartes 0.00 0.04
EDNRB -0.0004607 9368 GTEx DepMap Descartes 0.00 0.01
ERBB3 -0.0004712 9430 GTEx DepMap Descartes 0.00 0.06
COL5A2 -0.0004931 9564 GTEx DepMap Descartes 0.02 0.54
GRIK3 -0.0006214 10261 GTEx DepMap Descartes 0.00 0.05


Descartes Megakaryocytes markers
Top 50 marker genes of Megakaryocytes cells in the Decartes fetal adrenal single cell map (https://atlas.brotmanbaty.org/bbi/human-gene-expression-during-development/cell/megakaryocytes/in/adrenal)
Wilcoxon ranksum test P-value for gene set overrepresentation: 1.00e+00
Mean rank of genes in gene set: 8420.49
Median rank of genes in gene set: 8637
Rank on gene expression program of top 30 genes in gene set:

Genes Weight Rank GTEx DepMap Descartes Mean.Counts Mean.TPM
SLC24A3 0.0025748 441 GTEx DepMap Descartes 0.04 2.73
RAB27B 0.0024470 480 GTEx DepMap Descartes 0.13 4.73
TPM4 0.0015182 1068 GTEx DepMap Descartes 1.24 62.38
MED12L 0.0006681 2675 GTEx DepMap Descartes 0.04 0.86
PDE3A 0.0005292 3101 GTEx DepMap Descartes 0.06 1.96
HIPK2 0.0004835 3252 GTEx DepMap Descartes 0.31 4.81
MCTP1 0.0002644 4121 GTEx DepMap Descartes 0.03 1.15
ARHGAP6 0.0000424 5266 GTEx DepMap Descartes 0.00 0.13
DOK6 0.0000259 5359 GTEx DepMap Descartes 0.09 2.60
ITGA2B -0.0001166 6617 GTEx DepMap Descartes 0.01 0.74
P2RX1 -0.0001239 6703 GTEx DepMap Descartes 0.00 0.06
ZYX -0.0001300 6758 GTEx DepMap Descartes 0.22 24.70
ITGB3 -0.0001446 6906 GTEx DepMap Descartes 0.00 0.00
TRPC6 -0.0001629 7071 GTEx DepMap Descartes 0.00 0.00
PRKAR2B -0.0001662 7109 GTEx DepMap Descartes 0.32 20.72
GP1BA -0.0002208 7597 GTEx DepMap Descartes 0.00 0.01
MMRN1 -0.0002236 7628 GTEx DepMap Descartes 0.00 0.00
STON2 -0.0002314 7699 GTEx DepMap Descartes 0.04 2.31
ACTN1 -0.0002517 7867 GTEx DepMap Descartes 0.30 15.81
PSTPIP2 -0.0002738 8042 GTEx DepMap Descartes 0.01 1.14
TUBB1 -0.0003178 8422 GTEx DepMap Descartes 0.00 0.00
ANGPT1 -0.0003290 8495 GTEx DepMap Descartes 0.00 0.26
LTBP1 -0.0003487 8637 GTEx DepMap Descartes 0.00 0.08
MYLK -0.0004210 9140 GTEx DepMap Descartes 0.01 0.22
UBASH3B -0.0004371 9234 GTEx DepMap Descartes 0.01 0.34
THBS1 -0.0006203 10252 GTEx DepMap Descartes 0.02 0.32
VCL -0.0007212 10658 GTEx DepMap Descartes 0.05 1.62
GSN -0.0007510 10793 GTEx DepMap Descartes 0.03 1.01
STOM -0.0007552 10810 GTEx DepMap Descartes 0.07 5.12
FLNA -0.0007756 10876 GTEx DepMap Descartes 0.12 3.52


Descartes Lyphoid markers
Top 50 marker genes of Lyphoid cells in the Decartes fetal adrenal single cell map (https://atlas.brotmanbaty.org/bbi/human-gene-expression-during-development/cell/lymphoid/in/adrenal)
Wilcoxon ranksum test P-value for gene set overrepresentation: 1.00e+00
Mean rank of genes in gene set: 9816.45
Median rank of genes in gene set: 11487.5
Rank on gene expression program of top 30 genes in gene set:

Genes Weight Rank GTEx DepMap Descartes Mean.Counts Mean.TPM
CD44 0.0026802 410 GTEx DepMap Descartes 2.01 95.33
MCTP2 0.0019142 749 GTEx DepMap Descartes 0.14 5.01
GNG2 0.0008452 2205 GTEx DepMap Descartes 0.72 49.22
BCL2 0.0006087 2843 GTEx DepMap Descartes 0.37 12.65
TOX 0.0005562 3000 GTEx DepMap Descartes 0.28 17.01
BACH2 0.0005491 3029 GTEx DepMap Descartes 0.15 4.19
NCALD 0.0001652 4616 GTEx DepMap Descartes 0.10 6.96
SCML4 0.0000307 5327 GTEx DepMap Descartes 0.11 6.12
PDE3B -0.0001051 6479 GTEx DepMap Descartes 0.15 5.89
EVL -0.0003795 8848 GTEx DepMap Descartes 1.33 84.90
MBNL1 -0.0006700 10485 GTEx DepMap Descartes 0.19 6.92
RCSD1 -0.0007491 10783 GTEx DepMap Descartes 0.01 0.21
SKAP1 -0.0007527 10797 GTEx DepMap Descartes 0.02 2.98
PITPNC1 -0.0007984 10947 GTEx DepMap Descartes 0.11 4.06
STK39 -0.0008510 11094 GTEx DepMap Descartes 0.15 11.08
CCL5 -0.0008599 11113 GTEx DepMap Descartes 0.03 5.47
SAMD3 -0.0008641 11126 GTEx DepMap Descartes 0.00 0.15
ITPKB -0.0008740 11151 GTEx DepMap Descartes 0.00 0.08
PLEKHA2 -0.0008971 11212 GTEx DepMap Descartes 0.02 0.70
SORL1 -0.0009117 11258 GTEx DepMap Descartes 0.12 2.58
FYN -0.0009861 11422 GTEx DepMap Descartes 0.70 46.60
ETS1 -0.0010597 11553 GTEx DepMap Descartes 0.04 1.87
ARHGAP15 -0.0011790 11747 GTEx DepMap Descartes 0.01 0.41
PRKCH -0.0011864 11753 GTEx DepMap Descartes 0.01 0.33
SP100 -0.0012178 11789 GTEx DepMap Descartes 0.01 0.45
DOCK10 -0.0012253 11805 GTEx DepMap Descartes 0.01 0.22
ARID5B -0.0012356 11819 GTEx DepMap Descartes 0.07 1.99
IKZF1 -0.0012803 11897 GTEx DepMap Descartes 0.00 0.15
ANKRD44 -0.0012987 11923 GTEx DepMap Descartes 0.04 1.52
LEF1 -0.0013171 11944 GTEx DepMap Descartes 0.00 0.18



Below shows the ranks on this GEP for immune marker gene lists curated by CellTypist (https://www.celltypist.org/encyclopedia).
  High ranks indicate this gene is a driver of this GEP.
  These curated gene list are ranked by P-value (on this GEP) of their constituent genes.
  The Mean Count column shows the mean read count in cells scoring highly (H > 50) on this gene expression program.


Monocyte precursor: Monocyte precursor (curated markers)
monocyte precursors that are committed to the monocytes:
Wilcoxon ranksum test P-value for gene set overrepresentation: 4.21e-02
Mean rank of genes in gene set: 18
Rank on gene expression program of genes in gene set:
Genes Weight Rank GTEx DepMap Decartes Mean.Counts Mean.TPM
VCAN 0.0091387 18 GTEx DepMap Descartes 2.04 42.03


HSC/MPP: Neutrophil-myeloid progenitor (model markers)
progenitors of neutrophils and myeloid cells which are transitioned from hematopoietic stem cells and multipotent progenitors:
Wilcoxon ranksum test P-value for gene set overrepresentation: 7.51e-02
Mean rank of genes in gene set: 1063
Rank on gene expression program of genes in gene set:

Genes Weight Rank GTEx DepMap Decartes Mean.Counts Mean.TPM
CUX2 0.0015254 1063 GTEx DepMap Descartes 0.14 5.4


Macrophages: Kupffer cells (model markers)
resident macrophages in liver under non-inflammatory conditions which line the hepatic sinusoids and are involved in erythrocyte clearance:
Wilcoxon ranksum test P-value for gene set overrepresentation: 2.02e-01
Mean rank of genes in gene set: 4765
Rank on gene expression program of genes in gene set:

Genes Weight Rank GTEx DepMap Decartes Mean.Counts Mean.TPM
EGR2 0.0063521 47 GTEx DepMap Descartes 0.67 60.60
ARRDC3 0.0004184 3481 GTEx DepMap Descartes 0.52 31.19
PENK -0.0000823 6252 GTEx DepMap Descartes 0.00 0.00
CD5L -0.0004453 9280 GTEx DepMap Descartes 0.00 0.43