Program description and justification of annotation: 10
Submit a comment on this gene expression program’s interpretation: CLICK
QQ-plot of gene loadings, averaged over both independent splits of the data
This plot highlights the relative contribution of each gene to the GEP
Top genes driving this program.
Note: Decartes website is buggy, try refreshing. Also, Decartes fetal adrenal data have been collected at specific time points (89-122 days), all possible cell types of interest may not be represented, do not overinterpret.
The Mean Count column shows the mean read count in cells scoring highly (H > 50) on this gene expression program.
| Gene | Loading | Gene.Name | GTEx | DepMap | Descartes | Mean.Counts | Mean.Tpm | |
|---|---|---|---|---|---|---|---|---|
| 1 | NEAT1 | 0.0160377 | nuclear paraspeckle assembly transcript 1 | GTEx | DepMap | Descartes | 70.27 | 243.50 |
| 2 | FBN1 | 0.0108167 | fibrillin 1 | GTEx | DepMap | Descartes | 3.31 | 20.87 |
| 3 | GPNMB | 0.0096662 | glycoprotein nmb | GTEx | DepMap | Descartes | 2.06 | 48.20 |
| 4 | XIST | 0.0093931 | X inactive specific transcript | GTEx | DepMap | Descartes | 5.00 | 19.28 |
| 5 | DST | 0.0093653 | dystonin | GTEx | DepMap | Descartes | 8.01 | 25.60 |
| 6 | PXDN | 0.0091903 | peroxidasin | GTEx | DepMap | Descartes | 3.41 | 31.36 |
| 7 | LAMB1 | 0.0089770 | laminin subunit beta 1 | GTEx | DepMap | Descartes | 3.00 | 38.98 |
| 8 | LRP1B | 0.0082905 | LDL receptor related protein 1B | GTEx | DepMap | Descartes | 0.64 | 3.80 |
| 9 | MALAT1 | 0.0081589 | metastasis associated lung adenocarcinoma transcript 1 | GTEx | DepMap | Descartes | 363.11 | 3532.25 |
| 10 | SYT4 | 0.0075257 | synaptotagmin 4 | GTEx | DepMap | Descartes | 5.05 | 73.42 |
| 11 | COL3A1 | 0.0074350 | collagen type III alpha 1 chain | GTEx | DepMap | Descartes | 7.28 | 101.15 |
| 12 | MRC2 | 0.0073489 | mannose receptor C type 2 | GTEx | DepMap | Descartes | 1.36 | 15.79 |
| 13 | PCOLCE | 0.0073031 | procollagen C-endopeptidase enhancer | GTEx | DepMap | Descartes | 9.00 | 301.77 |
| 14 | TPBG | 0.0070279 | trophoblast glycoprotein | GTEx | DepMap | Descartes | 2.52 | 26.26 |
| 15 | TSPAN8 | 0.0070188 | tetraspanin 8 | GTEx | DepMap | Descartes | 1.97 | 77.81 |
| 16 | SEMA3C | 0.0068156 | semaphorin 3C | GTEx | DepMap | Descartes | 1.80 | 26.81 |
| 17 | PSAP | 0.0065634 | prosaposin | GTEx | DepMap | Descartes | 3.88 | 89.42 |
| 18 | AHNAK | 0.0063343 | AHNAK nucleoprotein | GTEx | DepMap | Descartes | 8.15 | 29.81 |
| 19 | EMILIN1 | 0.0060039 | elastin microfibril interfacer 1 | GTEx | DepMap | Descartes | 2.75 | 46.25 |
| 20 | LRP1 | 0.0058483 | LDL receptor related protein 1 | GTEx | DepMap | Descartes | 1.12 | 5.20 |
| 21 | C7 | 0.0058403 | complement C7 | GTEx | DepMap | Descartes | 3.97 | 36.83 |
| 22 | ADAM22 | 0.0057910 | ADAM metallopeptidase domain 22 | GTEx | DepMap | Descartes | 1.44 | 8.40 |
| 23 | PCDHGA7 | 0.0055999 | protocadherin gamma subfamily A, 7 | GTEx | DepMap | Descartes | 0.21 | 3.18 |
| 24 | LTBP1 | 0.0055519 | latent transforming growth factor beta binding protein 1 | GTEx | DepMap | Descartes | 1.82 | 20.51 |
| 25 | C1QTNF6 | 0.0055102 | C1q and TNF related 6 | GTEx | DepMap | Descartes | 0.50 | 5.66 |
| 26 | APLP2 | 0.0054178 | amyloid beta precursor like protein 2 | GTEx | DepMap | Descartes | 5.08 | 85.97 |
| 27 | LGR5 | 0.0053743 | leucine rich repeat containing G protein-coupled receptor 5 | GTEx | DepMap | Descartes | 0.93 | 12.63 |
| 28 | LAMA5 | 0.0053591 | laminin subunit alpha 5 | GTEx | DepMap | Descartes | 0.78 | 4.99 |
| 29 | CLU | 0.0053231 | clusterin | GTEx | DepMap | Descartes | 4.04 | 93.42 |
| 30 | TM7SF2 | 0.0053045 | transmembrane 7 superfamily member 2 | GTEx | DepMap | Descartes | 2.11 | 55.21 |
| 31 | PRKCA | 0.0052970 | protein kinase C alpha | GTEx | DepMap | Descartes | 2.33 | 18.44 |
| 32 | TRIM56 | 0.0052932 | tripartite motif containing 56 | GTEx | DepMap | Descartes | 0.54 | 4.42 |
| 33 | XYLT1 | 0.0052554 | xylosyltransferase 1 | GTEx | DepMap | Descartes | 0.62 | 4.00 |
| 34 | RNF213 | 0.0052103 | ring finger protein 213 | GTEx | DepMap | Descartes | 1.97 | 6.51 |
| 35 | FSTL1 | 0.0051975 | follistatin like 1 | GTEx | DepMap | Descartes | 1.85 | 22.71 |
| 36 | F10 | 0.0051291 | coagulation factor X | GTEx | DepMap | Descartes | 0.22 | 9.42 |
| 37 | APOE | 0.0050132 | apolipoprotein E | GTEx | DepMap | Descartes | 4.08 | 209.02 |
| 38 | MEG3 | 0.0049870 | maternally expressed 3 | GTEx | DepMap | Descartes | 5.32 | 12.83 |
| 39 | CCNL2 | 0.0049105 | cyclin L2 | GTEx | DepMap | Descartes | 1.24 | 25.39 |
| 40 | LGALS3BP | 0.0048557 | galectin 3 binding protein | GTEx | DepMap | Descartes | 5.18 | 142.45 |
| 41 | CTSD | 0.0047632 | cathepsin D | GTEx | DepMap | Descartes | 3.07 | 91.86 |
| 42 | LTBP3 | 0.0047108 | latent transforming growth factor beta binding protein 3 | GTEx | DepMap | Descartes | 1.18 | 15.14 |
| 43 | MATN2 | 0.0046903 | matrilin 2 | GTEx | DepMap | Descartes | 0.61 | 11.27 |
| 44 | UNC5C | 0.0046808 | unc-5 netrin receptor C | GTEx | DepMap | Descartes | 1.52 | 9.35 |
| 45 | AKAP6 | 0.0046780 | A-kinase anchoring protein 6 | GTEx | DepMap | Descartes | 0.73 | 3.00 |
| 46 | VTN | 0.0046583 | vitronectin | GTEx | DepMap | Descartes | 0.25 | 8.58 |
| 47 | SSC5D | 0.0046577 | scavenger receptor cysteine rich family member with 5 domains | GTEx | DepMap | Descartes | 0.25 | 3.92 |
| 48 | NRP1 | 0.0046235 | neuropilin 1 | GTEx | DepMap | Descartes | 1.30 | 14.92 |
| 49 | LAMB2 | 0.0045877 | laminin subunit beta 2 | GTEx | DepMap | Descartes | 0.47 | 5.23 |
| 50 | CYBA | 0.0045829 | cytochrome b-245 alpha chain | GTEx | DepMap | Descartes | 3.19 | 126.67 |
UMAP plots showing activity of gene expression program identified in community:10. NB Cell Line #10 (Mixed)
CNV Data procured from inferCNV.
Outer tracks are putative CNV regions (gains = red, losses = blue) for each patient
Inner track is expression data representing:
The top cells expressing this GEP (purple)
Random cells (n =50) from the reference set used in inferCNV (orange)
Gene set Enrichments for this program, caculated from top 50 genes
mSigDB Cell Types Gene Set:
| P-value | OR | Lower 95% CI | FDR | FWER | Genes Found | Gene Set Size | |
|---|---|---|---|---|---|---|---|
| DESCARTES_FETAL_THYMUS_STROMAL_CELLS | 1.10e-10 | 24.58 | 10.73 | 1.85e-08 | 7.39e-08 | 10FBN1, COL3A1, MRC2, PCOLCE, SEMA3C, EMILIN1, LRP1, FSTL1, LGALS3BP, SSC5D |
137 |
| CUI_DEVELOPING_HEART_C3_FIBROBLAST_LIKE_CELL | 6.54e-10 | 25.38 | 10.58 | 7.32e-08 | 4.39e-07 | 9FBN1, LAMB1, MRC2, PCOLCE, LRP1, C7, FSTL1, MEG3, MATN2 |
117 |
| RUBENSTEIN_SKELETAL_MUSCLE_FBN1_FAP_CELLS | 2.84e-12 | 17.68 | 8.71 | 1.31e-09 | 1.91e-09 | 14FBN1, GPNMB, DST, COL3A1, PCOLCE, SEMA3C, PSAP, AHNAK, LRP1, CLU, FSTL1, F10, MEG3, LAMB2 |
289 |
| TRAVAGLINI_LUNG_ADVENTITIAL_FIBROBLAST_CELL | 3.90e-12 | 17.24 | 8.49 | 1.31e-09 | 2.62e-09 | 14FBN1, GPNMB, COL3A1, MRC2, PCOLCE, SEMA3C, LRP1, C7, FSTL1, MEG3, LGALS3BP, MATN2, NRP1, LAMB2 |
296 |
| MENON_FETAL_KIDNEY_3_STROMAL_CELLS | 7.32e-07 | 22.70 | 7.67 | 3.51e-05 | 4.91e-04 | 6XIST, DST, PXDN, COL3A1, FSTL1, MEG3 |
81 |
| HU_FETAL_RETINA_RPE | 5.57e-11 | 15.75 | 7.59 | 1.24e-08 | 3.73e-08 | 13NEAT1, FBN1, GPNMB, PXDN, SEMA3C, PSAP, LTBP1, APLP2, FSTL1, APOE, CTSD, LTBP3, LAMB2 |
292 |
| RUBENSTEIN_SKELETAL_MUSCLE_FAP_CELLS | 2.68e-08 | 16.14 | 6.79 | 2.08e-06 | 1.80e-05 | 9GPNMB, MALAT1, COL3A1, PCOLCE, PSAP, LRP1, FSTL1, MEG3, LGALS3BP |
179 |
| AIZARANI_LIVER_C21_STELLATE_CELLS_1 | 5.33e-08 | 14.83 | 6.24 | 3.58e-06 | 3.58e-05 | 9FBN1, LAMB1, COL3A1, PCOLCE, LRP1, C7, FSTL1, LGALS3BP, MATN2 |
194 |
| GAO_LARGE_INTESTINE_24W_C1_DCLK1POS_PROGENITOR | 2.37e-06 | 18.31 | 6.23 | 9.96e-05 | 1.59e-03 | 6COL3A1, MRC2, PCOLCE, C7, C1QTNF6, MATN2 |
99 |
| GAO_LARGE_INTESTINE_ADULT_CJ_IMMUNE_CELLS | 3.42e-10 | 10.94 | 5.51 | 4.58e-08 | 2.29e-07 | 15FBN1, PXDN, COL3A1, MRC2, PCOLCE, EMILIN1, LRP1, LAMA5, FSTL1, F10, APOE, MEG3, UNC5C, NRP1, LAMB2 |
505 |
| FAN_OVARY_CL5_HEALTHY_SELECTABLE_FOLLICLE_THECAL_CELL | 2.80e-08 | 11.49 | 5.25 | 2.08e-06 | 1.88e-05 | 11PXDN, LAMB1, COL3A1, PCOLCE, EMILIN1, C7, FSTL1, APOE, MEG3, MATN2, NRP1 |
318 |
| HU_FETAL_RETINA_FIBROBLAST | 1.78e-08 | 10.59 | 4.99 | 1.71e-06 | 1.20e-05 | 12FBN1, PXDN, LAMB1, COL3A1, MRC2, PCOLCE, TPBG, AHNAK, EMILIN1, FSTL1, LAMB2, CYBA |
385 |
| FAN_OVARY_CL6_PUTATIVE_EARLY_ATRETIC_FOLLICLE_THECAL_CELL_2 | 1.86e-07 | 10.78 | 4.76 | 1.04e-05 | 1.25e-04 | 10COL3A1, PSAP, EMILIN1, C7, FSTL1, APOE, MEG3, LGALS3BP, CTSD, MATN2 |
300 |
| CUI_DEVELOPING_HEART_TRABECULAR_ATRIAL_CARDIOMYOCYTE | 5.80e-06 | 11.82 | 4.43 | 2.18e-04 | 3.89e-03 | 7DST, MALAT1, PSAP, LTBP1, APLP2, LGALS3BP, LAMB2 |
179 |
| MENON_FETAL_KIDNEY_4_PODOCYTES | 1.43e-05 | 10.23 | 3.83 | 4.58e-04 | 9.63e-03 | 7NEAT1, DST, MALAT1, PSAP, AHNAK, APLP2, CCNL2 |
206 |
| BUSSLINGER_ESOPHAGEAL_QUIESCENT_BASAL_CELLS | 2.38e-04 | 14.88 | 3.79 | 5.32e-03 | 1.60e-01 | 4GPNMB, DST, LAMA5, CLU |
77 |
| AIZARANI_LIVER_C33_STELLATE_CELLS_2 | 1.33e-04 | 11.47 | 3.49 | 3.30e-03 | 8.91e-02 | 5DST, PXDN, LAMB1, COL3A1, C7 |
126 |
| MANNO_MIDBRAIN_NEUROTYPES_HPERIC | 1.17e-07 | 6.87 | 3.47 | 7.15e-06 | 7.87e-05 | 15FBN1, GPNMB, PXDN, LAMB1, COL3A1, MRC2, PCOLCE, EMILIN1, LRP1, RNF213, FSTL1, APOE, LGALS3BP, LAMB2, CYBA |
795 |
| LAKE_ADULT_KIDNEY_C26_MESANGIAL_CELLS | 6.36e-05 | 9.97 | 3.42 | 1.78e-03 | 4.27e-02 | 6NEAT1, DST, AHNAK, C7, PRKCA, UNC5C |
177 |
| CUI_DEVELOPING_HEART_SMOOTH_MUSCLE_CELL | 8.97e-04 | 17.71 | 3.40 | 1.67e-02 | 6.02e-01 | 3COL3A1, PCOLCE, F10 |
48 |
Dowload full table
mSigDB Hallmark Gene Sets:
| P-value | OR | Lower 95% CI | FDR | FWER | Genes Found | Gene Set Size | |
|---|---|---|---|---|---|---|---|
| HALLMARK_ANGIOGENESIS | 1.18e-05 | 33.91 | 8.38 | 2.97e-04 | 5.91e-04 | 4COL3A1, FSTL1, VTN, NRP1 |
36 |
| HALLMARK_EPITHELIAL_MESENCHYMAL_TRANSITION | 1.19e-05 | 10.54 | 3.95 | 2.97e-04 | 5.94e-04 | 7FBN1, DST, COL3A1, PCOLCE, LRP1, FSTL1, MATN2 |
200 |
| HALLMARK_COAGULATION | 2.09e-03 | 8.11 | 2.09 | 3.05e-02 | 1.05e-01 | 4FBN1, LRP1, CLU, F10 |
138 |
| HALLMARK_UV_RESPONSE_DN | 2.44e-03 | 7.76 | 2.00 | 3.05e-02 | 1.22e-01 | 4COL3A1, LTBP1, PRKCA, NRP1 |
144 |
| HALLMARK_HEDGEHOG_SIGNALING | 8.94e-03 | 15.30 | 1.73 | 7.45e-02 | 4.47e-01 | 2UNC5C, NRP1 |
36 |
| HALLMARK_COMPLEMENT | 7.71e-03 | 5.55 | 1.44 | 7.45e-02 | 3.85e-01 | 4LRP1, CLU, F10, CTSD |
200 |
| HALLMARK_CHOLESTEROL_HOMEOSTASIS | 3.47e-02 | 7.23 | 0.84 | 2.48e-01 | 1.00e+00 | 2CLU, TM7SF2 |
74 |
| HALLMARK_XENOBIOTIC_METABOLISM | 4.35e-02 | 4.05 | 0.80 | 2.72e-01 | 1.00e+00 | 3F10, APOE, VTN |
200 |
| HALLMARK_PROTEIN_SECRETION | 5.52e-02 | 5.54 | 0.64 | 3.07e-01 | 1.00e+00 | 2DST, TSPAN8 |
96 |
| HALLMARK_IL2_STAT5_SIGNALING | 1.83e-01 | 2.64 | 0.31 | 5.78e-01 | 1.00e+00 | 2AHNAK, NRP1 |
199 |
| HALLMARK_HYPOXIA | 1.85e-01 | 2.63 | 0.31 | 5.78e-01 | 1.00e+00 | 2TPBG, PRKCA |
200 |
| HALLMARK_ADIPOGENESIS | 1.85e-01 | 2.63 | 0.31 | 5.78e-01 | 1.00e+00 | 2APLP2, APOE |
200 |
| HALLMARK_MYOGENESIS | 1.85e-01 | 2.63 | 0.31 | 5.78e-01 | 1.00e+00 | 2COL3A1, CLU |
200 |
| HALLMARK_INTERFERON_GAMMA_RESPONSE | 1.85e-01 | 2.63 | 0.31 | 5.78e-01 | 1.00e+00 | 2RNF213, LGALS3BP |
200 |
| HALLMARK_KRAS_SIGNALING_UP | 1.85e-01 | 2.63 | 0.31 | 5.78e-01 | 1.00e+00 | 2GPNMB, NRP1 |
200 |
| HALLMARK_NOTCH_SIGNALING | 1.20e-01 | 8.23 | 0.20 | 5.78e-01 | 1.00e+00 | 1PRKCA |
32 |
| HALLMARK_INTERFERON_ALPHA_RESPONSE | 3.20e-01 | 2.66 | 0.07 | 9.41e-01 | 1.00e+00 | 1LGALS3BP |
97 |
| HALLMARK_PEROXISOME | 3.39e-01 | 2.48 | 0.06 | 9.41e-01 | 1.00e+00 | 1SEMA3C |
104 |
| HALLMARK_FATTY_ACID_METABOLISM | 4.66e-01 | 1.62 | 0.04 | 9.77e-01 | 1.00e+00 | 1XIST |
158 |
| HALLMARK_APOPTOSIS | 4.72e-01 | 1.59 | 0.04 | 9.77e-01 | 1.00e+00 | 1CLU |
161 |
Dowload full table
KEGG Pathways:
| P-value | OR | Lower 95% CI | FDR | FWER | Genes Found | Gene Set Size | |
|---|---|---|---|---|---|---|---|
| KEGG_ECM_RECEPTOR_INTERACTION | 1.93e-05 | 17.57 | 5.30 | 3.59e-03 | 3.59e-03 | 5LAMB1, COL3A1, LAMA5, VTN, LAMB2 |
84 |
| KEGG_FOCAL_ADHESION | 1.20e-04 | 8.83 | 3.04 | 1.12e-02 | 2.24e-02 | 6LAMB1, COL3A1, LAMA5, PRKCA, VTN, LAMB2 |
199 |
| KEGG_SMALL_CELL_LUNG_CANCER | 4.44e-03 | 9.85 | 1.92 | 2.75e-01 | 8.25e-01 | 3LAMB1, LAMA5, LAMB2 |
84 |
| KEGG_AXON_GUIDANCE | 1.42e-02 | 6.33 | 1.24 | 6.62e-01 | 1.00e+00 | 3SEMA3C, UNC5C, NRP1 |
129 |
| KEGG_COMPLEMENT_AND_COAGULATION_CASCADES | 3.05e-02 | 7.77 | 0.90 | 1.00e+00 | 1.00e+00 | 2C7, F10 |
69 |
| KEGG_PATHWAYS_IN_CANCER | 3.70e-02 | 3.39 | 0.88 | 1.00e+00 | 1.00e+00 | 4LAMB1, LAMA5, PRKCA, LAMB2 |
325 |
| KEGG_LEUKOCYTE_TRANSENDOTHELIAL_MIGRATION | 7.67e-02 | 4.57 | 0.53 | 1.00e+00 | 1.00e+00 | 2PRKCA, CYBA |
116 |
| KEGG_LYSOSOME | 8.24e-02 | 4.38 | 0.51 | 1.00e+00 | 1.00e+00 | 2PSAP, CTSD |
121 |
| KEGG_STEROID_BIOSYNTHESIS | 6.56e-02 | 15.93 | 0.37 | 1.00e+00 | 1.00e+00 | 1TM7SF2 |
17 |
| KEGG_ALZHEIMERS_DISEASE | 1.39e-01 | 3.18 | 0.37 | 1.00e+00 | 1.00e+00 | 2LRP1, APOE |
166 |
| KEGG_GLYCOSAMINOGLYCAN_BIOSYNTHESIS_CHONDROITIN_SULFATE | 8.40e-02 | 12.14 | 0.29 | 1.00e+00 | 1.00e+00 | 1XYLT1 |
22 |
| KEGG_GLYCOSAMINOGLYCAN_BIOSYNTHESIS_HEPARAN_SULFATE | 9.85e-02 | 10.19 | 0.24 | 1.00e+00 | 1.00e+00 | 1XYLT1 |
26 |
| KEGG_PRION_DISEASES | 1.30e-01 | 7.50 | 0.18 | 1.00e+00 | 1.00e+00 | 1C7 |
35 |
| KEGG_ALDOSTERONE_REGULATED_SODIUM_REABSORPTION | 1.54e-01 | 6.22 | 0.15 | 1.00e+00 | 1.00e+00 | 1PRKCA |
42 |
| KEGG_VIBRIO_CHOLERAE_INFECTION | 1.94e-01 | 4.81 | 0.12 | 1.00e+00 | 1.00e+00 | 1PRKCA |
54 |
| KEGG_NON_SMALL_CELL_LUNG_CANCER | 1.94e-01 | 4.81 | 0.12 | 1.00e+00 | 1.00e+00 | 1PRKCA |
54 |
| KEGG_PATHOGENIC_ESCHERICHIA_COLI_INFECTION | 2.00e-01 | 4.64 | 0.11 | 1.00e+00 | 1.00e+00 | 1PRKCA |
56 |
| KEGG_GLIOMA | 2.28e-01 | 3.99 | 0.10 | 1.00e+00 | 1.00e+00 | 1PRKCA |
65 |
| KEGG_LONG_TERM_POTENTIATION | 2.43e-01 | 3.70 | 0.09 | 1.00e+00 | 1.00e+00 | 1PRKCA |
70 |
| KEGG_LONG_TERM_DEPRESSION | 2.43e-01 | 3.70 | 0.09 | 1.00e+00 | 1.00e+00 | 1PRKCA |
70 |
Dowload full table
CHR Positional Gene Sets:
| P-value | OR | Lower 95% CI | FDR | FWER | Genes Found | Gene Set Size | |
|---|---|---|---|---|---|---|---|
| chr11q13 | 7.84e-02 | 2.61 | 0.68 | 1.00e+00 | 1.00e+00 | 4NEAT1, MALAT1, TM7SF2, LTBP3 |
421 |
| chr12q21 | 9.06e-02 | 4.13 | 0.48 | 1.00e+00 | 1.00e+00 | 2TSPAN8, LGR5 |
128 |
| chr7q21 | 1.36e-01 | 3.21 | 0.38 | 1.00e+00 | 1.00e+00 | 2SEMA3C, ADAM22 |
164 |
| chr7q22 | 2.03e-01 | 2.47 | 0.29 | 1.00e+00 | 1.00e+00 | 2PCOLCE, TRIM56 |
213 |
| chr17q25 | 3.22e-01 | 1.77 | 0.21 | 1.00e+00 | 1.00e+00 | 2RNF213, LGALS3BP |
297 |
| chr2q22 | 2.37e-01 | 3.81 | 0.09 | 1.00e+00 | 1.00e+00 | 1LRP1B |
68 |
| chr4q22 | 2.43e-01 | 3.70 | 0.09 | 1.00e+00 | 1.00e+00 | 1UNC5C |
70 |
| chr6q14 | 3.09e-01 | 2.77 | 0.07 | 1.00e+00 | 1.00e+00 | 1TPBG |
93 |
| chr17q24 | 3.12e-01 | 2.74 | 0.07 | 1.00e+00 | 1.00e+00 | 1PRKCA |
94 |
| chr18q12 | 3.17e-01 | 2.68 | 0.07 | 1.00e+00 | 1.00e+00 | 1SYT4 |
96 |
| chr7p15 | 3.17e-01 | 2.68 | 0.07 | 1.00e+00 | 1.00e+00 | 1GPNMB |
96 |
| chr2p22 | 3.23e-01 | 2.63 | 0.06 | 1.00e+00 | 1.00e+00 | 1LTBP1 |
98 |
| chr14q12 | 3.31e-01 | 2.55 | 0.06 | 1.00e+00 | 1.00e+00 | 1AKAP6 |
101 |
| chr2q32 | 3.49e-01 | 2.38 | 0.06 | 1.00e+00 | 1.00e+00 | 1COL3A1 |
108 |
| chr17q23 | 3.59e-01 | 2.30 | 0.06 | 1.00e+00 | 1.00e+00 | 1MRC2 |
112 |
| chr2p25 | 3.72e-01 | 2.20 | 0.05 | 1.00e+00 | 1.00e+00 | 1PXDN |
117 |
| chr19q13 | 4.39e-01 | 0.45 | 0.05 | 1.00e+00 | 1.00e+00 | 2APOE, SSC5D |
1165 |
| chr5p13 | 3.99e-01 | 2.01 | 0.05 | 1.00e+00 | 1.00e+00 | 1C7 |
128 |
| chr8p21 | 3.99e-01 | 2.01 | 0.05 | 1.00e+00 | 1.00e+00 | 1CLU |
128 |
| chr7q31 | 4.01e-01 | 1.99 | 0.05 | 1.00e+00 | 1.00e+00 | 1LAMB1 |
129 |
Dowload full table
Transcription Factor Targets:
| P-value | OR | Lower 95% CI | FDR | FWER | Genes Found | Gene Set Size | |
|---|---|---|---|---|---|---|---|
| CEBPE_TARGET_GENES | 3.53e-04 | 24.91 | 4.72 | 4.00e-01 | 4.00e-01 | 3MALAT1, TSPAN8, SEMA3C |
35 |
| STAT5B_01 | 3.07e-03 | 5.56 | 1.71 | 1.00e+00 | 1.00e+00 | 5PCOLCE, C7, CLU, VTN, NRP1 |
255 |
| ZNF239_TARGET_GENES | 9.92e-03 | 14.46 | 1.64 | 1.00e+00 | 1.00e+00 | 2NEAT1, TM7SF2 |
38 |
| EGR1_01 | 3.84e-03 | 5.26 | 1.62 | 1.00e+00 | 1.00e+00 | 5MRC2, PCOLCE, TPBG, APLP2, VTN |
269 |
| YKACATTT_UNKNOWN | 5.25e-03 | 4.87 | 1.50 | 1.00e+00 | 1.00e+00 | 5LRP1B, ADAM22, LTBP1, CLU, UNC5C |
290 |
| EGR2_01 | 7.45e-03 | 5.60 | 1.45 | 1.00e+00 | 1.00e+00 | 4MRC2, PCOLCE, AHNAK, VTN |
198 |
| MED25_TARGET_GENES | 9.53e-03 | 7.39 | 1.45 | 1.00e+00 | 1.00e+00 | 3NEAT1, MALAT1, LTBP1 |
111 |
| SOX11_TARGET_GENES | 1.31e-02 | 12.39 | 1.41 | 1.00e+00 | 1.00e+00 | 2XIST, MALAT1 |
44 |
| FOXC1_TARGET_GENES | 1.43e-02 | 11.83 | 1.35 | 1.00e+00 | 1.00e+00 | 2LRP1, LTBP3 |
46 |
| TTCYNRGAA_STAT5B_01 | 1.01e-02 | 4.13 | 1.27 | 1.00e+00 | 1.00e+00 | 5PCOLCE, C7, CLU, VTN, NRP1 |
341 |
| SUPT16H_TARGET_GENES | 5.64e-03 | 2.52 | 1.25 | 1.00e+00 | 1.00e+00 | 14NEAT1, FBN1, DST, MALAT1, MRC2, LRP1, TM7SF2, XYLT1, RNF213, CTSD, VTN, SSC5D, NRP1, LAMB2 |
1944 |
| AP3_Q6 | 1.64e-02 | 4.40 | 1.14 | 1.00e+00 | 1.00e+00 | 4LRP1, FSTL1, UNC5C, NRP1 |
251 |
| P53_02 | 1.73e-02 | 4.33 | 1.12 | 1.00e+00 | 1.00e+00 | 4SYT4, MRC2, AHNAK, AKAP6 |
255 |
| STAT_01 | 1.80e-02 | 4.28 | 1.11 | 1.00e+00 | 1.00e+00 | 4PCOLCE, CLU, VTN, NRP1 |
258 |
| P53_DECAMER_Q2 | 1.80e-02 | 4.28 | 1.11 | 1.00e+00 | 1.00e+00 | 4DST, LRP1, LTBP1, AKAP6 |
258 |
| STAT5A_01 | 1.82e-02 | 4.26 | 1.11 | 1.00e+00 | 1.00e+00 | 4PCOLCE, C7, VTN, NRP1 |
259 |
| MYOGENIN_Q6 | 1.82e-02 | 4.26 | 1.11 | 1.00e+00 | 1.00e+00 | 4SYT4, XYLT1, RNF213, CCNL2 |
259 |
| IK2_01 | 2.15e-02 | 4.04 | 1.05 | 1.00e+00 | 1.00e+00 | 4AHNAK, LRP1, LTBP1, RNF213 |
273 |
| IK1_01 | 2.38e-02 | 3.91 | 1.02 | 1.00e+00 | 1.00e+00 | 4AHNAK, LRP1, LTBP1, RNF213 |
282 |
| KMT2D_TARGET_GENES | 2.79e-02 | 2.58 | 0.98 | 1.00e+00 | 1.00e+00 | 7NEAT1, DST, MALAT1, CTSD, LTBP3, AKAP6, NRP1 |
796 |
Dowload full table
GO Biological Processes:
| P-value | OR | Lower 95% CI | FDR | FWER | Genes Found | Gene Set Size | |
|---|---|---|---|---|---|---|---|
| GOBP_BASEMENT_MEMBRANE_ASSEMBLY | 2.61e-05 | 66.24 | 11.62 | 4.00e-02 | 1.95e-01 | 3PXDN, LAMB1, LAMB2 |
15 |
| GOBP_EXTRACELLULAR_MATRIX_ASSEMBLY | 8.71e-07 | 34.63 | 10.20 | 6.52e-03 | 6.52e-03 | 5PXDN, LAMB1, EMILIN1, LTBP3, LAMB2 |
45 |
| GOBP_REGULATION_OF_CDC42_PROTEIN_SIGNAL_TRANSDUCTION | 3.22e-04 | 103.49 | 9.64 | 8.93e-02 | 1.00e+00 | 2APOE, NRP1 |
7 |
| GOBP_MAINTENANCE_OF_PROTEIN_LOCATION_IN_EXTRACELLULAR_REGION | 3.22e-04 | 103.49 | 9.64 | 8.93e-02 | 1.00e+00 | 2FBN1, LTBP1 |
7 |
| GOBP_POSITIVE_REGULATION_OF_AMYLOID_BETA_CLEARANCE | 3.22e-04 | 103.49 | 9.64 | 8.93e-02 | 1.00e+00 | 2LRP1, APOE |
7 |
| GOBP_REGULATION_OF_AMYLOID_BETA_CLEARANCE | 5.49e-05 | 49.70 | 8.99 | 4.35e-02 | 4.11e-01 | 3LRP1, CLU, APOE |
19 |
| GOBP_DENDRITE_ARBORIZATION | 4.28e-04 | 86.37 | 8.33 | 1.09e-01 | 1.00e+00 | 2TPBG, NRP1 |
8 |
| GOBP_SEQUESTERING_OF_EXTRACELLULAR_LIGAND_FROM_RECEPTOR | 6.85e-04 | 64.86 | 6.55 | 1.35e-01 | 1.00e+00 | 2FBN1, LTBP1 |
10 |
| GOBP_ELASTIC_FIBER_ASSEMBLY | 6.85e-04 | 64.86 | 6.55 | 1.35e-01 | 1.00e+00 | 2EMILIN1, LTBP3 |
10 |
| GOBP_TRANSFORMING_GROWTH_FACTOR_BETA_ACTIVATION | 8.35e-04 | 57.69 | 5.91 | 1.45e-01 | 1.00e+00 | 2LTBP1, LTBP3 |
11 |
| GOBP_BASEMENT_MEMBRANE_ORGANIZATION | 2.22e-04 | 29.50 | 5.54 | 8.28e-02 | 1.00e+00 | 3PXDN, LAMB1, LAMB2 |
30 |
| GOBP_EXTRACELLULAR_REGULATION_OF_SIGNAL_TRANSDUCTION | 9.99e-04 | 51.89 | 5.39 | 1.59e-01 | 1.00e+00 | 2FBN1, LTBP1 |
12 |
| GOBP_NEGATIVE_REGULATION_OF_AMYLOID_FIBRIL_FORMATION | 9.99e-04 | 51.89 | 5.39 | 1.59e-01 | 1.00e+00 | 2CLU, APOE |
12 |
| GOBP_CDC42_PROTEIN_SIGNAL_TRANSDUCTION | 1.37e-03 | 43.30 | 4.59 | 1.90e-01 | 1.00e+00 | 2APOE, NRP1 |
14 |
| GOBP_AMYLOID_BETA_CLEARANCE | 4.51e-04 | 22.75 | 4.33 | 1.09e-01 | 1.00e+00 | 3LRP1, CLU, APOE |
38 |
| GOBP_LIPOPROTEIN_CATABOLIC_PROCESS | 1.58e-03 | 39.95 | 4.27 | 2.00e-01 | 1.00e+00 | 2APOE, CTSD |
15 |
| GOBP_REGULATION_OF_AMYLOID_FIBRIL_FORMATION | 1.58e-03 | 39.95 | 4.27 | 2.00e-01 | 1.00e+00 | 2CLU, APOE |
15 |
| GOBP_GANGLION_DEVELOPMENT | 1.80e-03 | 37.11 | 3.99 | 2.17e-01 | 1.00e+00 | 2UNC5C, NRP1 |
16 |
| GOBP_AXON_EXTENSION | 8.31e-05 | 12.74 | 3.87 | 4.78e-02 | 6.21e-01 | 5SEMA3C, LRP1, APOE, NRP1, LAMB2 |
114 |
| GOBP_NEURON_PROJECTION_EXTENSION | 4.18e-05 | 10.78 | 3.70 | 4.35e-02 | 3.13e-01 | 6SYT4, SEMA3C, LRP1, APOE, NRP1, LAMB2 |
164 |
Dowload full table
Immunological Gene Sets:
| P-value | OR | Lower 95% CI | FDR | FWER | Genes Found | Gene Set Size | |
|---|---|---|---|---|---|---|---|
| GSE21360_NAIVE_VS_PRIMARY_MEMORY_CD8_TCELL_DN | 7.19e-05 | 9.74 | 3.35 | 3.01e-01 | 3.50e-01 | 6AHNAK, LRP1, APLP2, XYLT1, LGALS3BP, NRP1 |
181 |
| GSE43955_TH0_VS_TGFB_IL6_TH17_ACT_CD4_TCELL_1H_DN | 1.24e-04 | 8.78 | 3.02 | 3.01e-01 | 6.03e-01 | 6FBN1, SYT4, TPBG, SEMA3C, PSAP, FSTL1 |
200 |
| GSE6259_CD4_TCELL_VS_CD8_TCELL_UP | 8.02e-04 | 7.63 | 2.34 | 4.78e-01 | 1.00e+00 | 5PCOLCE, LAMA5, FSTL1, CTSD, LAMB2 |
187 |
| GSE22611_MUTANT_NOD2_VS_CTRL_TRANSDUCED_HEK293T_CELL_DN | 9.88e-04 | 7.27 | 2.23 | 4.78e-01 | 1.00e+00 | 5GPNMB, LRP1B, F10, LGALS3BP, UNC5C |
196 |
| GSE21546_WT_VS_SAP1A_KO_AND_ELK1_KO_ANTI_CD3_STIM_DP_THYMOCYTES_UP | 1.06e-03 | 7.16 | 2.19 | 4.78e-01 | 1.00e+00 | 5GPNMB, LTBP1, XYLT1, FSTL1, AKAP6 |
199 |
| GSE17721_4_VS_24H_CPG_BMDC_UP | 1.08e-03 | 7.12 | 2.18 | 4.78e-01 | 1.00e+00 | 5MRC2, TPBG, F10, CCNL2, MATN2 |
200 |
| GSE24634_TEFF_VS_TCONV_DAY10_IN_CULTURE_DN | 1.08e-03 | 7.12 | 2.18 | 4.78e-01 | 1.00e+00 | 5GPNMB, PSAP, APLP2, VTN, NRP1 |
200 |
| GSE2405_HEAT_KILLED_LYSATE_VS_LIVE_A_PHAGOCYTOPHILUM_STIM_NEUTROPHIL_24H_UP | 1.08e-03 | 7.12 | 2.18 | 4.78e-01 | 1.00e+00 | 5PSAP, AHNAK, LRP1, APLP2, CLU |
200 |
| GSE5679_CTRL_VS_PPARG_LIGAND_ROSIGLITAZONE_TREATED_DC_DN | 1.08e-03 | 7.12 | 2.18 | 4.78e-01 | 1.00e+00 | 5AHNAK, PRKCA, CCNL2, LTBP3, MATN2 |
200 |
| GSE21379_WT_VS_SAP_KO_TFH_CD4_TCELL_UP | 1.08e-03 | 7.12 | 2.18 | 4.78e-01 | 1.00e+00 | 5PXDN, CLU, MEG3, NRP1, LAMB2 |
200 |
| GSE24726_WT_VS_E2_2_KO_PDC_DAY6_POST_DELETION_DN | 1.08e-03 | 7.12 | 2.18 | 4.78e-01 | 1.00e+00 | 5XIST, MALAT1, LRP1, APOE, NRP1 |
200 |
| GSE7509_FCGRIIB_VS_TNFA_IL1B_IL6_PGE_STIM_DC_DN | 3.10e-03 | 7.25 | 1.87 | 8.35e-01 | 1.00e+00 | 4XIST, DST, MALAT1, CCNL2 |
154 |
| GSE37605_NOD_VS_C57BL6_IRES_GFP_TREG_UP | 3.47e-03 | 7.01 | 1.81 | 8.35e-01 | 1.00e+00 | 4XIST, APLP2, XYLT1, NRP1 |
159 |
| GSE3565_DUSP1_VS_WT_SPLENOCYTES_UP | 3.79e-03 | 6.83 | 1.77 | 8.35e-01 | 1.00e+00 | 4AHNAK, XYLT1, CTSD, NRP1 |
163 |
| GSE6259_FLT3L_INDUCED_DEC205_POS_DC_VS_CD8_TCELL_DN | 4.58e-03 | 6.47 | 1.67 | 8.35e-01 | 1.00e+00 | 4LTBP1, RNF213, LGALS3BP, CYBA |
172 |
| GSE21360_PRIMARY_VS_QUATERNARY_MEMORY_CD8_TCELL_UP | 4.77e-03 | 6.39 | 1.65 | 8.35e-01 | 1.00e+00 | 4GPNMB, AHNAK, RNF213, LGALS3BP |
174 |
| GSE6259_33D1_POS_DC_VS_CD4_TCELL_DN | 4.96e-03 | 6.32 | 1.63 | 8.35e-01 | 1.00e+00 | 4GPNMB, DST, ADAM22, APOE |
176 |
| GSE21360_NAIVE_VS_SECONDARY_MEMORY_CD8_TCELL_DN | 4.96e-03 | 6.32 | 1.63 | 8.35e-01 | 1.00e+00 | 4AHNAK, APLP2, RNF213, LGALS3BP |
176 |
| GSE3565_CTRL_VS_LPS_INJECTED_DUSP1_KO_SPLENOCYTES_UP | 5.47e-03 | 6.14 | 1.59 | 8.35e-01 | 1.00e+00 | 4AHNAK, XYLT1, CTSD, NRP1 |
181 |
| GSE35543_IN_VIVO_NTREG_VS_CONVERTED_EX_ITREG_UP | 6.70e-03 | 5.78 | 1.50 | 8.35e-01 | 1.00e+00 | 4SYT4, SEMA3C, MATN2, LAMB2 |
192 |
Top Ranked Transcription Factors for this Gene Expression Program:
| Gene Symbol | TF Rank | DNA Binding Domain | Motif Status | IUPAC PWM | GTEx | DepMap | Decartes |
|---|---|---|---|---|---|---|---|
| FBN1 | 2 | No | Unlikely to be sequence specific TF | Not a DNA binding protein | No motif | None | None |
| CLU | 29 | No | Unlikely to be sequence specific TF | Not a DNA binding protein | No motif | None | Included only because GO says positive regulation of NF-kappaB transcription factor activity, but there is no DBD and no evidence of DNA binding. |
| PLXNB2 | 85 | No | Unlikely to be sequence specific TF | Not a DNA binding protein | No motif | None | None |
| NOTCH2 | 105 | No | Unlikely to be sequence specific TF | Not a DNA binding protein | No motif | None | Transmembrane receptor protein that operates far upstream in the signaling cascade |
| PLXNA4 | 112 | No | Unlikely to be sequence specific TF | Not a DNA binding protein | No motif | None | Protein is a semaphorin receptor that operates far upstream on the signaling cascade (PMID: 12591607). |
| MACF1 | 134 | No | Unlikely to be sequence specific TF | Not a DNA binding protein | No motif | None | Included only because Vasquerizas 2009 includes it with an x. No DBD and no other data to support being a TF. |
| GLIS3 | 146 | Yes | Known motif | Monomer or homomultimer | High-throughput in vitro | None | None |
| NFKBIZ | 153 | No | Unlikely to be sequence specific TF | Not a DNA binding protein | No motif | None | None |
| NFE2L1 | 160 | Yes | Known motif | Obligate heteromer | In vivo/Misc source | Only known motifs are from Transfac or HocoMoco - origin is uncertain | Tested on HT-SELEX and PBM. Neither yielded a motif. Likely an obligate heteromer (PMID: 23661758). |
| UBR4 | 165 | No | Unlikely to be sequence specific TF | Not a DNA binding protein | No motif | None | None |
| RUNX1 | 170 | Yes | Known motif | Monomer or homomultimer | In vivo/Misc source | Only known motifs are from Transfac or HocoMoco - origin is uncertain | None |
| PLXNB3 | 214 | No | Unlikely to be sequence specific TF | Not a DNA binding protein | No motif | None | Protein is a semaphorin receptor that operates far upstream on the signaling cascade. |
| HOOK2 | 224 | No | Unlikely to be sequence specific TF | Not a DNA binding protein | No motif | None | Based on the alignments, the protein is only weakly related to the other bZIP proteins and lacks the basic region required for DNA binding |
| NPAS2 | 226 | Yes | Known motif | Monomer or homomultimer | High-throughput in vitro | None | None |
| EDA2R | 241 | No | Unlikely to be sequence specific TF | Not a DNA binding protein | No motif | None | Included only because GO says positive regulation of sequence-specific DNA binding transcription factor activity. Not DNA binding. |
| KMT2C | 244 | No | Unlikely to be sequence specific TF | Low specificity DNA-binding protein | No motif | Has a putative AT-hook | Based on the alignment, it is quite different from all other HMG proteins. It is borderline to say that it is a HMG at all. |
| ATXN7 | 249 | No | Unlikely to be sequence specific TF | Not a DNA binding protein | No motif | None | ATXN7 SCA7 domain facilitates interactions with histone dimers (PMID: 20634802) |
| TCF25 | 259 | No | Unlikely to be sequence specific TF | Not a DNA binding protein | No motif | None | Only evidence is based on (PMID:16574069), which claims that hnulp1 (TCF25) contains a possible bHLH domain and that it represses transcription in a Gal4-forced recruitment assay. |
| GOLGB1 | 280 | No | Unlikely to be sequence specific TF | Not a DNA binding protein | No motif | None | Golgi resident transmembrane protein that regulates glycosylation of other proteins (PMID: 27226319) |
| LRP6 | 286 | No | Unlikely to be sequence specific TF | Not a DNA binding protein | No motif | None | Cell surface receptor that is in the beginning of the WNT signaling cascade. GO annotation has no evidence of DNA-binding activity (PMID: 14739301). |
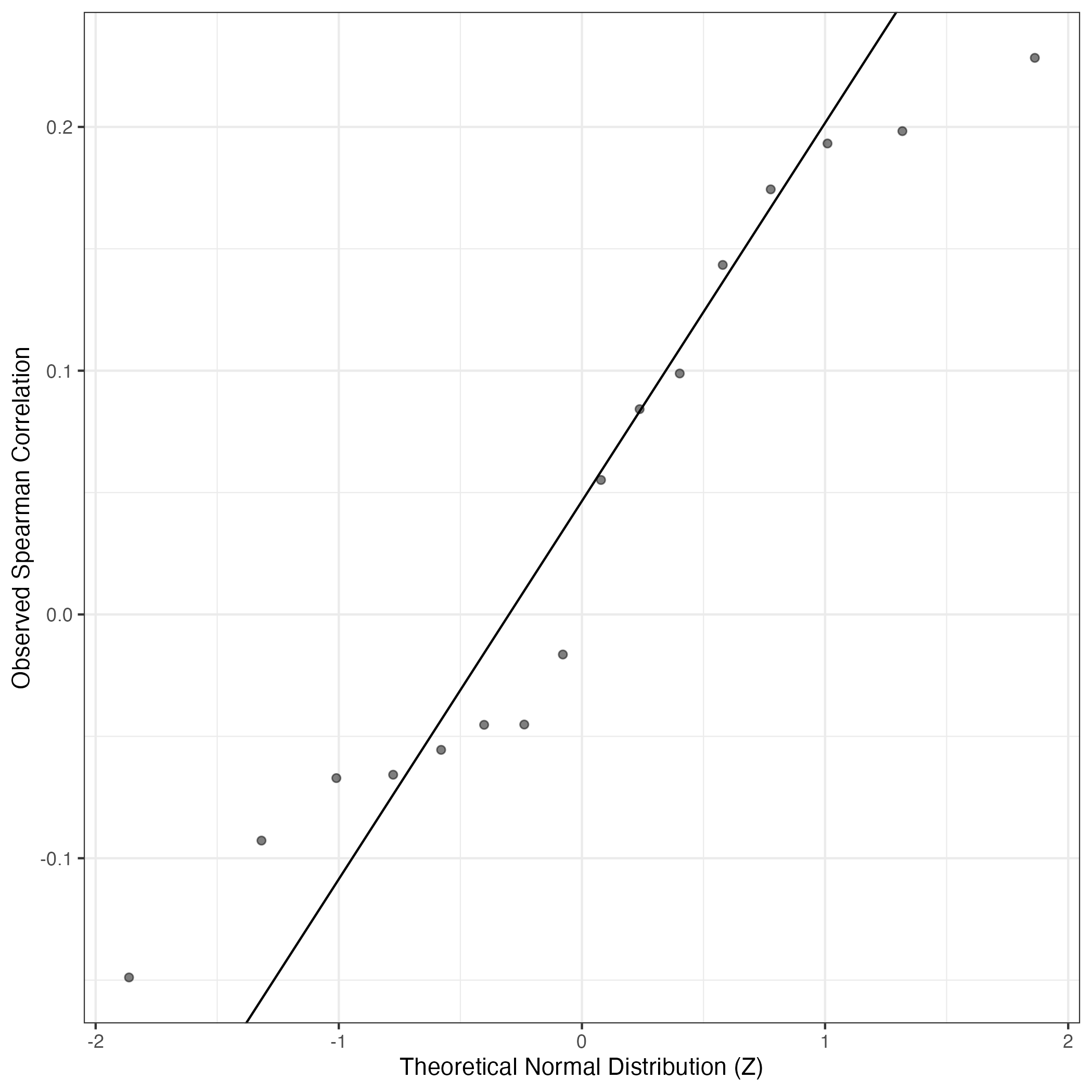
QQ Plot showing correlations with other Gene Expression Programs in this dataset, calculated by Spearman correlation:
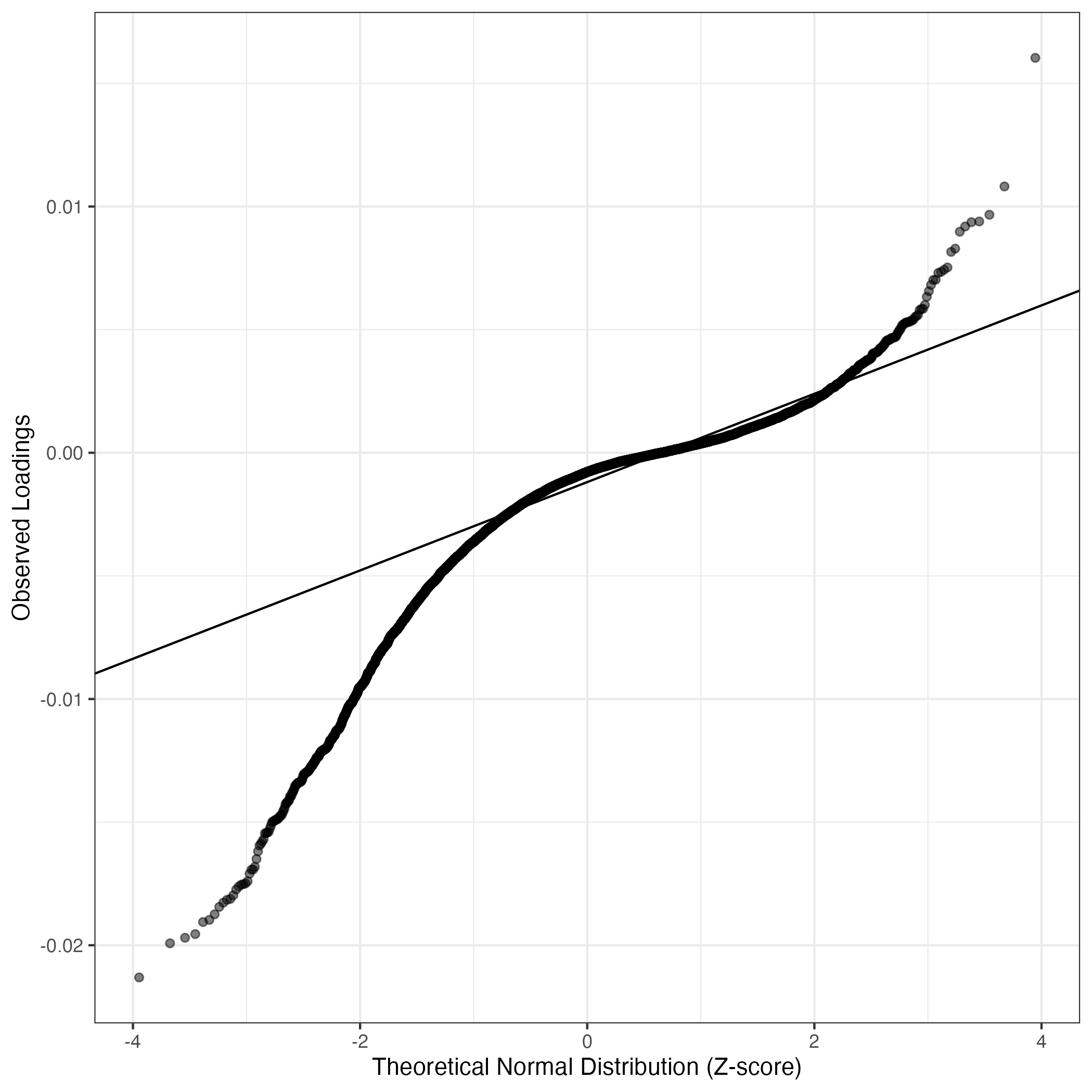
Interactive QQ-plot of gene loadings:
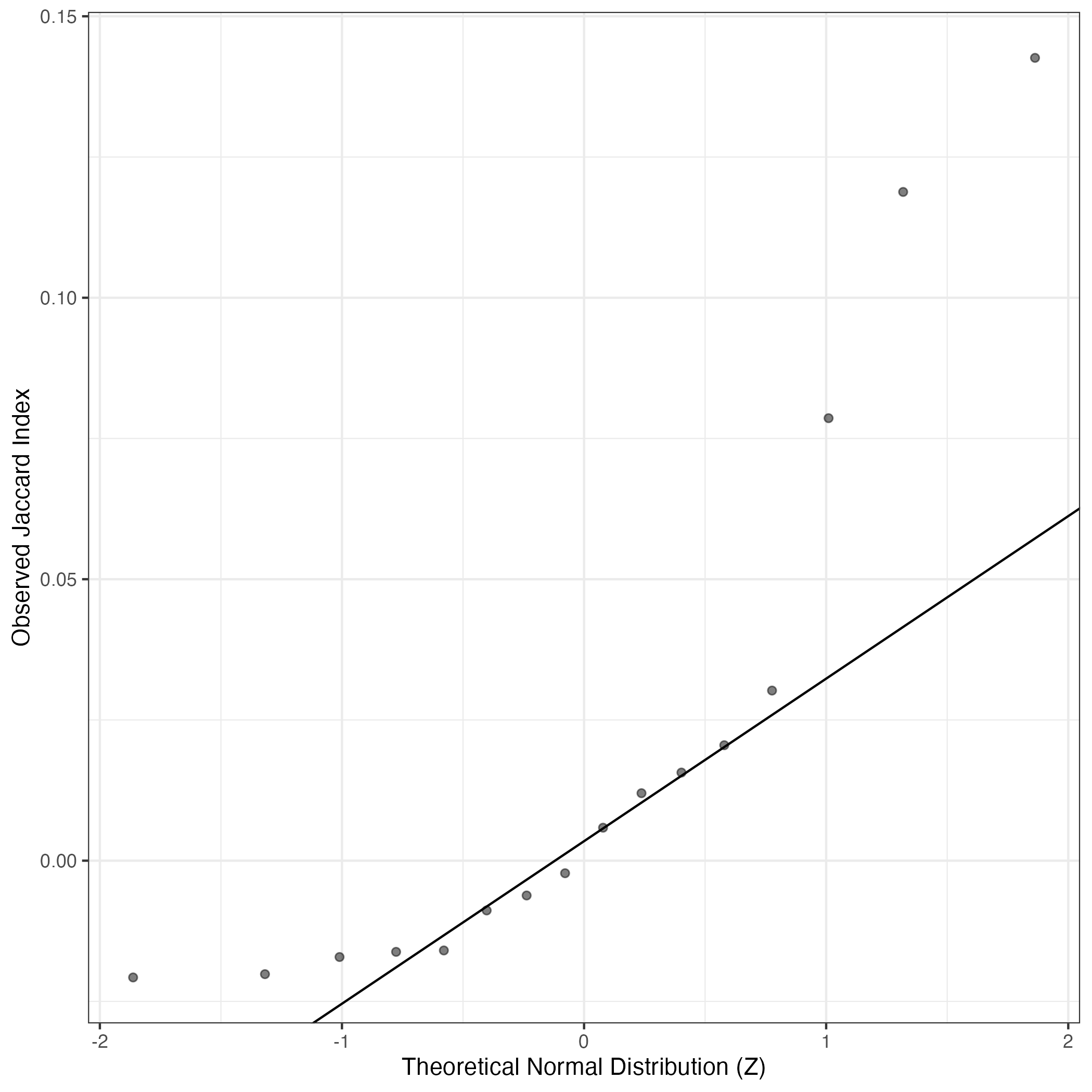
A similar QQ-plot as above, but only for instances where the H value is e.g. > 25, i.e. we are confident that the expression program is active above noise. Agreemenet between these binary vectors is tested using the Jaccard Index, with the P-values calculated by an exact test:
Interactive QQ-plot:
Singler cell type annotations for the top 50 cells on this program.
| Cell ID | Singler label | Singler Delta | Activity Score | Top Singler Raw Scores |
|---|---|---|---|---|
| SKNSH_TCGATTTGTGGATCGA-1 | Neurons | 0.08 | 210.82 | Raw ScoresNeurons:adrenal_medulla_cell_line: 0.18, Smooth_muscle_cells:vascular: 0.17, Neuroepithelial_cell:ESC-derived: 0.17, Fibroblasts:foreskin: 0.16, MSC: 0.16, iPS_cells:foreskin_fibrobasts: 0.16, Smooth_muscle_cells:umbilical_vein: 0.16, Tissue_stem_cells:lipoma-derived_MSC: 0.16, Endothelial_cells:HUVEC:FPV-infected: 0.16, iPS_cells:CRL2097_foreskin: 0.16 |
| SKNSH_TCATCCGGTTCAAGGG-1 | Smooth_muscle_cells | 0.18 | 144.98 | Raw ScoresMSC: 0.4, Smooth_muscle_cells:vascular: 0.39, Fibroblasts:foreskin: 0.39, iPS_cells:CRL2097_foreskin: 0.39, iPS_cells:skin_fibroblast: 0.38, iPS_cells:foreskin_fibrobasts: 0.38, Smooth_muscle_cells:vascular:IL-17: 0.37, Tissue_stem_cells:lipoma-derived_MSC: 0.37, Neurons:Schwann_cell: 0.37, iPS_cells:PDB_fibroblasts: 0.37 |
| BE2C_ATCGGATAGCCAAGTG-1 | Neurons | 0.10 | 136.59 | Raw ScoresNeurons:adrenal_medulla_cell_line: 0.28, Neuroepithelial_cell:ESC-derived: 0.24, Tissue_stem_cells:CD326-CD56+: 0.24, iPS_cells:CRL2097_foreskin-derived:undiff.: 0.23, iPS_cells:fibroblast-derived:Retroviral_transf: 0.23, iPS_cells:PDB_2lox-22: 0.23, iPS_cells:fibroblast-derived:Direct_del._reprog: 0.23, iPS_cells:PDB_2lox-17: 0.23, iPS_cells:PDB_1lox-17Puro-10: 0.23, iPS_cells:PDB_1lox-21Puro-20: 0.23 |
| SKNSH_TCAATCTCACCTCGTT-1 | Fibroblasts | 0.05 | 133.55 | Raw ScoresFibroblasts:breast: 0.12, Smooth_muscle_cells:vascular: 0.11, iPS_cells:adipose_stem_cells: 0.11, Fibroblasts:foreskin: 0.11, Neurons:Schwann_cell: 0.11, Smooth_muscle_cells:vascular:IL-17: 0.11, Tissue_stem_cells:BM_MSC:osteogenic: 0.11, Chondrocytes:MSC-derived: 0.11, iPS_cells:foreskin_fibrobasts: 0.11, Osteoblasts: 0.11 |
| SKNSH_TACTTCATCTTCCTAA-1 | Neurons | 0.05 | 129.95 | Raw ScoresNeurons:adrenal_medulla_cell_line: 0.17, Endothelial_cells:HUVEC:FPV-infected: 0.16, Endothelial_cells:HUVEC: 0.15, Endothelial_cells:HUVEC:H5N1-infected: 0.15, Endothelial_cells:HUVEC:VEGF: 0.15, Endothelial_cells:HUVEC:PR8-infected: 0.15, Endothelial_cells:HUVEC:IL-1b: 0.15, Neurons:Schwann_cell: 0.15, Endothelial_cells:HUVEC:Borrelia_burgdorferi: 0.15, Smooth_muscle_cells:vascular: 0.15 |
| SKNSH_CAGTTAGCAATGTCTG-1 | Neurons | 0.14 | 123.65 | Raw ScoresSmooth_muscle_cells:vascular: 0.27, Smooth_muscle_cells:bronchial: 0.27, Fibroblasts:breast: 0.27, iPS_cells:CRL2097_foreskin: 0.27, Smooth_muscle_cells:bronchial:vit_D: 0.27, Smooth_muscle_cells:vascular:IL-17: 0.27, iPS_cells:skin_fibroblast: 0.26, MSC: 0.26, Neurons:Schwann_cell: 0.26, Osteoblasts: 0.26 |
| SKNSH_CAAGGGATCCCGTAAA-1 | Neurons | 0.05 | 122.42 | Raw ScoresNeurons:adrenal_medulla_cell_line: 0.14, Neuroepithelial_cell:ESC-derived: 0.14, iPS_cells:PDB_2lox-5: 0.13, iPS_cells:PDB_2lox-22: 0.13, iPS_cells:PDB_1lox-17Puro-5: 0.13, iPS_cells:PDB_2lox-17: 0.13, iPS_cells:PDB_2lox-21: 0.13, iPS_cells:PDB_1lox-21Puro-20: 0.13, iPS_cells:PDB_1lox-17Puro-10: 0.13, iPS_cells:PDB_1lox-21Puro-26: 0.13 |
| SKNSH_GATAGCTTCCACTAGA-1 | Neurons | 0.03 | 110.89 | Raw ScoresiPS_cells:CRL2097_foreskin-derived:d20_hepatic_diff: 0.13, Neurons:adrenal_medulla_cell_line: 0.13, Endothelial_cells:HUVEC:VEGF: 0.13, Smooth_muscle_cells:bronchial:vit_D: 0.13, Endothelial_cells:HUVEC: 0.13, Smooth_muscle_cells:bronchial: 0.13, Endothelial_cells:HUVEC:B._anthracis_LT: 0.13, Endothelial_cells:HUVEC:FPV-infected: 0.13, Tissue_stem_cells:CD326-CD56+: 0.13, Endothelial_cells:HUVEC:H5N1-infected: 0.13 |
| GIMEN_TTAGGCATCTGTCTCG-1 | MSC | 0.28 | 103.66 | Raw ScoresMSC: 0.45, Smooth_muscle_cells:vascular: 0.43, Fibroblasts:foreskin: 0.42, Tissue_stem_cells:dental_pulp: 0.41, iPS_cells:skin_fibroblast: 0.41, iPS_cells:CRL2097_foreskin: 0.41, iPS_cells:foreskin_fibrobasts: 0.41, Tissue_stem_cells:lipoma-derived_MSC: 0.41, iPS_cells:PDB_fibroblasts: 0.4, Smooth_muscle_cells:umbilical_vein: 0.4 |
| SKNAS_CTTGAGATCCAGTACA-1 | Smooth_muscle_cells | 0.16 | 102.89 | Raw ScoresSmooth_muscle_cells:vascular: 0.19, Smooth_muscle_cells:vascular:IL-17: 0.19, Fibroblasts:breast: 0.17, Tissue_stem_cells:BM_MSC: 0.17, Tissue_stem_cells:BM_MSC:osteogenic: 0.17, iPS_cells:fibroblasts: 0.17, Osteoblasts: 0.17, iPS_cells:adipose_stem_cells: 0.17, Fibroblasts:foreskin: 0.17, iPS_cells:skin_fibroblast: 0.17 |
| BE2C_CAGCACGTCAGCCTCT-1 | Neurons | 0.09 | 102.30 | Raw ScoresNeurons:adrenal_medulla_cell_line: 0.19, Neuroepithelial_cell:ESC-derived: 0.17, iPS_cells:CRL2097_foreskin-derived:undiff.: 0.16, iPS_cells:PDB_1lox-17Puro-5: 0.16, iPS_cells:PDB_1lox-17Puro-10: 0.16, iPS_cells:PDB_1lox-21Puro-20: 0.16, iPS_cells:PDB_1lox-21Puro-26: 0.15, iPS_cells:PDB_2lox-5: 0.15, iPS_cells:PDB_2lox-22: 0.15, iPS_cells:PDB_2lox-17: 0.15 |
| SKNSH_TGAGGAGTCGCTCTAC-1 | Smooth_muscle_cells | 0.18 | 101.90 | Raw ScoresiPS_cells:CRL2097_foreskin: 0.33, Smooth_muscle_cells:vascular: 0.33, MSC: 0.33, Neurons:adrenal_medulla_cell_line: 0.32, Smooth_muscle_cells:vascular:IL-17: 0.32, Smooth_muscle_cells:bronchial: 0.32, Smooth_muscle_cells:bronchial:vit_D: 0.32, Fibroblasts:breast: 0.32, iPS_cells:skin_fibroblast: 0.32, iPS_cells:foreskin_fibrobasts: 0.32 |
| SKNSH_GGCAGTCCATTGGCAT-1 | Neurons | 0.04 | 100.17 | Raw ScoresNeurons:adrenal_medulla_cell_line: 0.15, Neuroepithelial_cell:ESC-derived: 0.14, Endothelial_cells:HUVEC:FPV-infected: 0.14, Endothelial_cells:HUVEC: 0.14, Neurons:Schwann_cell: 0.14, Endothelial_cells:HUVEC:IL-1b: 0.14, Endothelial_cells:HUVEC:H5N1-infected: 0.14, Smooth_muscle_cells:vascular: 0.14, MSC: 0.13, Fibroblasts:foreskin: 0.13 |
| SKNSH_ATTTCACAGAAGAGCA-1 | Smooth_muscle_cells | 0.22 | 97.37 | Raw ScoresiPS_cells:CRL2097_foreskin: 0.37, MSC: 0.36, Fibroblasts:breast: 0.36, Smooth_muscle_cells:vascular: 0.36, Fibroblasts:foreskin: 0.36, iPS_cells:skin_fibroblast: 0.36, Smooth_muscle_cells:vascular:IL-17: 0.36, iPS_cells:foreskin_fibrobasts: 0.36, Smooth_muscle_cells:bronchial: 0.35, Smooth_muscle_cells:bronchial:vit_D: 0.35 |
| SKNSH_GGTGGCTAGATTGCGG-1 | Smooth_muscle_cells | 0.18 | 96.23 | Raw ScoresSmooth_muscle_cells:vascular: 0.34, Neurons:adrenal_medulla_cell_line: 0.34, Fibroblasts:breast: 0.33, Smooth_muscle_cells:vascular:IL-17: 0.33, Smooth_muscle_cells:bronchial: 0.33, iPS_cells:CRL2097_foreskin: 0.33, MSC: 0.33, Smooth_muscle_cells:bronchial:vit_D: 0.33, iPS_cells:skin_fibroblast: 0.32, Neurons:Schwann_cell: 0.32 |
| SKNSH_AGAGAGCAGGTTACAA-1 | MSC | 0.04 | 96.08 | Raw ScoresNeurons:adrenal_medulla_cell_line: 0.11, MSC: 0.11, Fibroblasts:foreskin: 0.11, iPS_cells:CRL2097_foreskin: 0.11, Smooth_muscle_cells:bronchial: 0.11, Neuroepithelial_cell:ESC-derived: 0.1, iPS_cells:foreskin_fibrobasts: 0.1, Smooth_muscle_cells:vascular: 0.1, Smooth_muscle_cells:bronchial:vit_D: 0.1, Fibroblasts:breast: 0.1 |
| SKNSH_CGAGAAGGTCCCTAAA-1 | Neurons | 0.13 | 94.46 | Raw ScoresNeurons:adrenal_medulla_cell_line: 0.23, Smooth_muscle_cells:vascular: 0.22, iPS_cells:CRL2097_foreskin: 0.21, MSC: 0.21, Smooth_muscle_cells:bronchial: 0.21, Smooth_muscle_cells:bronchial:vit_D: 0.21, Fibroblasts:breast: 0.21, Fibroblasts:foreskin: 0.21, Smooth_muscle_cells:vascular:IL-17: 0.21, iPS_cells:foreskin_fibrobasts: 0.21 |
| BE2C_TTTCCTCAGCGCCTTG-1 | Neurons | 0.06 | 93.12 | Raw ScoresNeurons:adrenal_medulla_cell_line: 0.15, Neurons:Schwann_cell: 0.12, Endothelial_cells:HUVEC:FPV-infected: 0.12, iPS_cells:skin_fibroblast-derived: 0.12, iPS_cells:adipose_stem_cell-derived:lentiviral: 0.12, iPS_cells:iPS:minicircle-derived: 0.12, Embryonic_stem_cells: 0.12, Endothelial_cells:HUVEC:PR8-infected: 0.12, iPS_cells:adipose_stem_cell-derived:minicircle-derived: 0.12, Endothelial_cells:HUVEC: 0.12 |
| SKNSH_TTTGGAGTCCAGTGTA-1 | Smooth_muscle_cells | 0.15 | 91.68 | Raw ScoresiPS_cells:CRL2097_foreskin: 0.31, Smooth_muscle_cells:vascular: 0.3, MSC: 0.3, Fibroblasts:breast: 0.3, Smooth_muscle_cells:vascular:IL-17: 0.3, iPS_cells:skin_fibroblast: 0.3, iPS_cells:foreskin_fibrobasts: 0.3, Smooth_muscle_cells:bronchial: 0.29, Smooth_muscle_cells:bronchial:vit_D: 0.29, iPS_cells:adipose_stem_cells: 0.29 |
| GIMEN_CATGCCTCATCTTAGG-1 | Fibroblasts | 0.06 | 90.03 | Raw ScoresiPS_cells:CRL2097_foreskin: 0.11, Neurons:Schwann_cell: 0.11, Smooth_muscle_cells:vascular: 0.11, Tissue_stem_cells:iliac_MSC: 0.11, Smooth_muscle_cells:bronchial:vit_D: 0.11, Fibroblasts:breast: 0.11, MSC: 0.1, Fibroblasts:foreskin: 0.1, Smooth_muscle_cells:bronchial: 0.1, Smooth_muscle_cells:vascular:IL-17: 0.1 |
| BE2C_GAGACCCTCTTCTAAC-1 | Neurons | 0.23 | 85.92 | Raw ScoresNeurons:adrenal_medulla_cell_line: 0.52, Neuroepithelial_cell:ESC-derived: 0.43, iPS_cells:PDB_2lox-22: 0.41, iPS_cells:PDB_1lox-21Puro-20: 0.41, iPS_cells:PDB_1lox-21Puro-26: 0.41, iPS_cells:PDB_2lox-21: 0.41, iPS_cells:PDB_2lox-17: 0.41, iPS_cells:PDB_1lox-17Puro-10: 0.41, iPS_cells:PDB_2lox-5: 0.41, Tissue_stem_cells:CD326-CD56+: 0.41 |
| GIMEN_CGGACACTCAGGAAGC-1 | MSC | 0.09 | 85.82 | Raw ScoresSmooth_muscle_cells:vascular: 0.15, MSC: 0.15, Endothelial_cells:HUVEC:VEGF: 0.14, Endothelial_cells:HUVEC: 0.14, Endothelial_cells:HUVEC:FPV-infected: 0.14, Endothelial_cells:HUVEC:H5N1-infected: 0.14, Endothelial_cells:lymphatic: 0.14, Fibroblasts:foreskin: 0.14, Endothelial_cells:blood_vessel: 0.13, Endothelial_cells:HUVEC:PR8-infected: 0.13 |
| SKNSH_AGTACTGGTCTGTCCT-1 | Smooth_muscle_cells | 0.24 | 84.73 | Raw ScoresiPS_cells:CRL2097_foreskin: 0.46, MSC: 0.46, iPS_cells:skin_fibroblast: 0.45, iPS_cells:foreskin_fibrobasts: 0.45, Fibroblasts:breast: 0.45, Smooth_muscle_cells:vascular: 0.45, Smooth_muscle_cells:vascular:IL-17: 0.45, Fibroblasts:foreskin: 0.45, Smooth_muscle_cells:bronchial: 0.45, Tissue_stem_cells:BM_MSC: 0.44 |
| SKNSH_CATACTTTCAAACTGC-1 | MSC | 0.22 | 83.88 | Raw ScoresMSC: 0.33, iPS_cells:skin_fibroblast: 0.32, iPS_cells:CRL2097_foreskin: 0.31, iPS_cells:foreskin_fibrobasts: 0.31, Smooth_muscle_cells:vascular: 0.31, Fibroblasts:foreskin: 0.31, Fibroblasts:breast: 0.31, iPS_cells:PDB_fibroblasts: 0.3, Tissue_stem_cells:dental_pulp: 0.3, Tissue_stem_cells:lipoma-derived_MSC: 0.3 |
| GIMEN_TGCAGTATCTGGGTCG-1 | MSC | 0.08 | 83.85 | Raw ScoresMSC: 0.14, iPS_cells:skin_fibroblast: 0.14, Tissue_stem_cells:lipoma-derived_MSC: 0.14, Fibroblasts:foreskin: 0.13, Tissue_stem_cells:adipose-derived_MSC_AM3: 0.13, iPS_cells:PDB_fibroblasts: 0.13, Smooth_muscle_cells:vascular: 0.13, iPS_cells:fibroblasts: 0.13, iPS_cells:CRL2097_foreskin: 0.13, iPS_cells:foreskin_fibrobasts: 0.13 |
| SKNSH_GGGCCATCAGAGTTGG-1 | Neurons | 0.21 | 83.42 | Raw ScoresNeurons:adrenal_medulla_cell_line: 0.46, iPS_cells:CRL2097_foreskin: 0.42, Neurons:Schwann_cell: 0.42, Smooth_muscle_cells:vascular: 0.42, MSC: 0.42, Fibroblasts:breast: 0.42, iPS_cells:foreskin_fibrobasts: 0.41, Smooth_muscle_cells:bronchial: 0.41, Smooth_muscle_cells:bronchial:vit_D: 0.41, Smooth_muscle_cells:vascular:IL-17: 0.41 |
| SKNSH_GAAGGACAGCAGAAAG-1 | MSC | 0.14 | 83.38 | Raw ScoresMSC: 0.26, iPS_cells:CRL2097_foreskin: 0.26, Fibroblasts:foreskin: 0.26, Smooth_muscle_cells:vascular: 0.26, iPS_cells:skin_fibroblast: 0.25, iPS_cells:foreskin_fibrobasts: 0.25, Fibroblasts:breast: 0.25, iPS_cells:PDB_fibroblasts: 0.25, iPS_cells:fibroblasts: 0.25, Neurons:Schwann_cell: 0.24 |
| SKNSH_GGTGGCTTCGTAGCCG-1 | Smooth_muscle_cells | 0.22 | 79.35 | Raw ScoresMSC: 0.51, Fibroblasts:breast: 0.51, iPS_cells:foreskin_fibrobasts: 0.51, iPS_cells:skin_fibroblast: 0.5, iPS_cells:CRL2097_foreskin: 0.5, Smooth_muscle_cells:vascular:IL-17: 0.5, Smooth_muscle_cells:vascular: 0.5, Smooth_muscle_cells:bronchial: 0.5, Smooth_muscle_cells:bronchial:vit_D: 0.5, Fibroblasts:foreskin: 0.5 |
| SKNSH_GGGTCACCAACTGAAA-1 | Neurons | 0.03 | 77.98 | Raw ScoresNeurons:adrenal_medulla_cell_line: 0.14, Neurons:Schwann_cell: 0.13, Fibroblasts:foreskin: 0.13, iPS_cells:CRL2097_foreskin-derived:undiff.: 0.13, iPS_cells:fibroblast-derived:Retroviral_transf: 0.13, iPS_cells:adipose_stem_cell-derived:lentiviral: 0.13, iPS_cells:iPS:minicircle-derived: 0.13, iPS_cells:fibroblast-derived:Direct_del._reprog: 0.12, iPS_cells:skin_fibroblast-derived: 0.12, Embryonic_stem_cells: 0.12 |
| SKNSH_GTGCTTCCAGCTGTGC-1 | Neurons | 0.17 | 77.97 | Raw ScoresNeurons:adrenal_medulla_cell_line: 0.44, MSC: 0.41, Neurons:Schwann_cell: 0.4, Smooth_muscle_cells:vascular: 0.4, Fibroblasts:breast: 0.4, iPS_cells:skin_fibroblast: 0.4, Smooth_muscle_cells:vascular:IL-17: 0.4, iPS_cells:CRL2097_foreskin: 0.4, Fibroblasts:foreskin: 0.4, iPS_cells:foreskin_fibrobasts: 0.4 |
| BE2C_ATCGTAGTCAGGACGA-1 | Neurons | 0.05 | 77.43 | Raw ScoresNeurons:adrenal_medulla_cell_line: 0.15, Neuroepithelial_cell:ESC-derived: 0.14, iPS_cells:PDB_2lox-22: 0.13, iPS_cells:CRL2097_foreskin-derived:undiff.: 0.13, iPS_cells:PDB_2lox-17: 0.13, Tissue_stem_cells:CD326-CD56+: 0.13, iPS_cells:PDB_2lox-21: 0.13, iPS_cells:fibroblast-derived:Retroviral_transf: 0.13, iPS_cells:iPS:minicircle-derived: 0.13, iPS_cells:PDB_2lox-5: 0.13 |
| SKNSH_CCACGAGAGAATAGTC-1 | Neurons | 0.13 | 75.39 | Raw ScoresMSC: 0.29, Fibroblasts:foreskin: 0.28, iPS_cells:CRL2097_foreskin: 0.28, iPS_cells:skin_fibroblast: 0.28, Neurons:adrenal_medulla_cell_line: 0.28, iPS_cells:foreskin_fibrobasts: 0.27, Smooth_muscle_cells:vascular: 0.27, Neurons:Schwann_cell: 0.27, iPS_cells:fibroblasts: 0.27, Tissue_stem_cells:lipoma-derived_MSC: 0.27 |
| SKNSH_TAGTGCAAGACCCGCT-1 | MSC | 0.18 | 74.85 | Raw ScoresMSC: 0.31, iPS_cells:skin_fibroblast: 0.3, iPS_cells:CRL2097_foreskin: 0.3, Smooth_muscle_cells:vascular: 0.3, Fibroblasts:foreskin: 0.29, iPS_cells:foreskin_fibrobasts: 0.29, iPS_cells:fibroblasts: 0.29, iPS_cells:PDB_fibroblasts: 0.29, Fibroblasts:breast: 0.29, Tissue_stem_cells:lipoma-derived_MSC: 0.28 |
| SKNSH_ATCATTCGTTCAATCG-1 | MSC | 0.13 | 73.92 | Raw ScoresMSC: 0.24, Smooth_muscle_cells:vascular: 0.23, iPS_cells:CRL2097_foreskin: 0.23, Smooth_muscle_cells:vascular:IL-17: 0.23, Fibroblasts:breast: 0.23, Fibroblasts:foreskin: 0.22, iPS_cells:skin_fibroblast: 0.22, Neurons:Schwann_cell: 0.22, iPS_cells:foreskin_fibrobasts: 0.22, iPS_cells:fibroblasts: 0.22 |
| SKNSH_CGGGTGTGTGGTTCTA-1 | MSC | 0.14 | 72.63 | Raw ScoresMSC: 0.24, Fibroblasts:foreskin: 0.24, Smooth_muscle_cells:vascular: 0.23, iPS_cells:skin_fibroblast: 0.23, iPS_cells:CRL2097_foreskin: 0.23, Neurons:Schwann_cell: 0.23, Tissue_stem_cells:dental_pulp: 0.23, iPS_cells:foreskin_fibrobasts: 0.23, iPS_cells:PDB_fibroblasts: 0.22, iPS_cells:fibroblasts: 0.22 |
| MHHNB11_GGGATGACACCGTGCA-1 | Neurons | 0.35 | 72.62 | Raw ScoresNeurons:adrenal_medulla_cell_line: 0.73, Neuroepithelial_cell:ESC-derived: 0.6, iPS_cells:PDB_1lox-21Puro-20: 0.58, iPS_cells:PDB_1lox-21Puro-26: 0.58, iPS_cells:PDB_1lox-17Puro-10: 0.57, iPS_cells:PDB_2lox-22: 0.57, iPS_cells:PDB_1lox-17Puro-5: 0.57, Astrocyte:Embryonic_stem_cell-derived: 0.57, iPS_cells:PDB_2lox-21: 0.56, iPS_cells:PDB_2lox-17: 0.56 |
| GIMEN_ATAGGCTCACAAGTGG-1 | Smooth_muscle_cells | 0.07 | 72.45 | Raw ScoresSmooth_muscle_cells:vascular: 0.18, MSC: 0.17, Fibroblasts:foreskin: 0.17, Neurons:Schwann_cell: 0.16, Tissue_stem_cells:lipoma-derived_MSC: 0.16, iPS_cells:skin_fibroblast: 0.16, Fibroblasts:breast: 0.16, Smooth_muscle_cells:vascular:IL-17: 0.16, iPS_cells:CRL2097_foreskin: 0.16, iPS_cells:foreskin_fibrobasts: 0.16 |
| SKNSH_CCCTGATGTACTGACT-1 | Smooth_muscle_cells | 0.19 | 72.23 | Raw ScoresSmooth_muscle_cells:bronchial: 0.26, iPS_cells:CRL2097_foreskin: 0.26, Smooth_muscle_cells:bronchial:vit_D: 0.26, Smooth_muscle_cells:vascular: 0.26, MSC: 0.26, Smooth_muscle_cells:vascular:IL-17: 0.25, Fibroblasts:breast: 0.25, Fibroblasts:foreskin: 0.25, iPS_cells:skin_fibroblast: 0.25, iPS_cells:foreskin_fibrobasts: 0.25 |
| SKNSH_TGTTTGTCAATTGCGT-1 | Smooth_muscle_cells | 0.22 | 72.11 | Raw ScoresFibroblasts:breast: 0.46, Smooth_muscle_cells:vascular: 0.46, Smooth_muscle_cells:vascular:IL-17: 0.46, MSC: 0.45, iPS_cells:skin_fibroblast: 0.45, iPS_cells:CRL2097_foreskin: 0.45, Smooth_muscle_cells:bronchial: 0.45, iPS_cells:foreskin_fibrobasts: 0.45, Smooth_muscle_cells:bronchial:vit_D: 0.45, iPS_cells:adipose_stem_cells: 0.44 |
| SKNSH_AAGACAACAGTCACGC-1 | Fibroblasts | 0.16 | 72.07 | Raw ScoresiPS_cells:CRL2097_foreskin: 0.24, MSC: 0.24, Smooth_muscle_cells:vascular: 0.24, Smooth_muscle_cells:vascular:IL-17: 0.24, iPS_cells:skin_fibroblast: 0.23, Fibroblasts:foreskin: 0.23, Fibroblasts:breast: 0.23, iPS_cells:foreskin_fibrobasts: 0.23, Smooth_muscle_cells:bronchial: 0.23, Smooth_muscle_cells:bronchial:vit_D: 0.23 |
| GIMEN_GCGTGCATCGACTCCT-1 | MSC | 0.07 | 70.90 | Raw ScoresMSC: 0.27, Neurons:adrenal_medulla_cell_line: 0.26, Endothelial_cells:HUVEC:IL-1b: 0.26, Endothelial_cells:HUVEC: 0.26, Tissue_stem_cells:lipoma-derived_MSC: 0.26, Fibroblasts:foreskin: 0.26, Tissue_stem_cells:adipose-derived_MSC_AM3: 0.26, iPS_cells:skin_fibroblast: 0.26, Neuroepithelial_cell:ESC-derived: 0.26, Neurons:Schwann_cell: 0.25 |
| BE2C_TAGACCAGTCCCTGAG-1 | Neurons | 0.10 | 70.82 | Raw ScoresNeurons:adrenal_medulla_cell_line: 0.23, Neuroepithelial_cell:ESC-derived: 0.2, iPS_cells:PDB_2lox-22: 0.2, iPS_cells:PDB_2lox-17: 0.2, Embryonic_stem_cells: 0.2, iPS_cells:adipose_stem_cell-derived:minicircle-derived: 0.2, iPS_cells:PDB_2lox-21: 0.2, iPS_cells:PDB_1lox-21Puro-20: 0.2, iPS_cells:fibroblast-derived:Retroviral_transf: 0.2, iPS_cells:PDB_2lox-5: 0.2 |
| SKNSH_AGACCCGCATACTGAC-1 | MSC | 0.28 | 70.77 | Raw ScoresMSC: 0.59, iPS_cells:skin_fibroblast: 0.57, Fibroblasts:foreskin: 0.57, iPS_cells:foreskin_fibrobasts: 0.57, Tissue_stem_cells:lipoma-derived_MSC: 0.56, iPS_cells:CRL2097_foreskin: 0.56, Smooth_muscle_cells:umbilical_vein: 0.56, Smooth_muscle_cells:vascular: 0.55, iPS_cells:PDB_fibroblasts: 0.55, Tissue_stem_cells:adipose-derived_MSC_AM3: 0.55 |
| SKNSH_TACCGGGCATCCCGTT-1 | Fibroblasts | 0.04 | 70.03 | Raw ScoresSmooth_muscle_cells:umbilical_vein: 0.14, Tissue_stem_cells:lipoma-derived_MSC: 0.14, Tissue_stem_cells:adipose-derived_MSC_AM3: 0.14, Fibroblasts:foreskin: 0.14, MSC: 0.14, iPS_cells:foreskin_fibrobasts: 0.13, Tissue_stem_cells:dental_pulp: 0.13, Smooth_muscle_cells:vascular: 0.13, iPS_cells:CRL2097_foreskin: 0.13, Smooth_muscle_cells:vascular:IL-17: 0.13 |
| BE2C_CTAACCCGTAGCGTCC-1 | Neurons | 0.22 | 69.78 | Raw ScoresNeurons:adrenal_medulla_cell_line: 0.56, Neuroepithelial_cell:ESC-derived: 0.46, iPS_cells:PDB_1lox-21Puro-20: 0.45, iPS_cells:PDB_1lox-21Puro-26: 0.45, iPS_cells:PDB_1lox-17Puro-10: 0.45, iPS_cells:PDB_2lox-22: 0.44, iPS_cells:PDB_1lox-17Puro-5: 0.44, iPS_cells:PDB_2lox-17: 0.44, iPS_cells:PDB_2lox-21: 0.44, Embryonic_stem_cells: 0.44 |
| SKNSH_AACCACACAGCGACCT-1 | Neurons | 0.09 | 69.25 | Raw ScoresNeurons:adrenal_medulla_cell_line: 0.17, iPS_cells:CRL2097_foreskin: 0.15, Smooth_muscle_cells:vascular: 0.15, Fibroblasts:breast: 0.15, iPS_cells:skin_fibroblast: 0.15, MSC: 0.15, iPS_cells:fibroblasts: 0.15, Smooth_muscle_cells:vascular:IL-17: 0.15, iPS_cells:PDB_fibroblasts: 0.14, iPS_cells:foreskin_fibrobasts: 0.14 |
| GIMEN_GGGAGTATCACTACGA-1 | MSC | 0.09 | 68.63 | Raw ScoresSmooth_muscle_cells:vascular: 0.15, MSC: 0.14, Smooth_muscle_cells:bronchial: 0.14, Smooth_muscle_cells:bronchial:vit_D: 0.14, Smooth_muscle_cells:vascular:IL-17: 0.14, iPS_cells:skin_fibroblast: 0.14, iPS_cells:fibroblasts: 0.13, Neurons:Schwann_cell: 0.13, Fibroblasts:foreskin: 0.13, iPS_cells:PDB_fibroblasts: 0.13 |
| SKNSH_TGCACGGAGCTCAGAG-1 | Neurons | 0.11 | 68.61 | Raw ScoresNeurons:adrenal_medulla_cell_line: 0.22, Smooth_muscle_cells:bronchial: 0.22, Smooth_muscle_cells:bronchial:vit_D: 0.22, iPS_cells:CRL2097_foreskin: 0.22, Smooth_muscle_cells:vascular: 0.22, Smooth_muscle_cells:vascular:IL-17: 0.22, Fibroblasts:breast: 0.22, MSC: 0.21, iPS_cells:skin_fibroblast: 0.21, iPS_cells:adipose_stem_cells: 0.21 |
| SKNSH_AGAAATGAGTTCCAGT-1 | Neuroepithelial_cell | 0.07 | 68.17 | Raw ScoresNeuroepithelial_cell:ESC-derived: 0.14, Embryonic_stem_cells: 0.13, iPS_cells:CRL2097_foreskin-derived:d20_hepatic_diff: 0.13, Tissue_stem_cells:CD326-CD56+: 0.13, Fibroblasts:breast: 0.13, Neurons:adrenal_medulla_cell_line: 0.13, iPS_cells:fibroblast-derived:Direct_del._reprog: 0.13, MSC: 0.13, Tissue_stem_cells:iliac_MSC: 0.13, Tissue_stem_cells:lipoma-derived_MSC: 0.13 |
| SKNSH_TCGGGTGAGAGGTCGT-1 | Neurons | 0.26 | 68.04 | Raw ScoresNeurons:adrenal_medulla_cell_line: 0.58, Neuroepithelial_cell:ESC-derived: 0.49, Tissue_stem_cells:CD326-CD56+: 0.47, Astrocyte:Embryonic_stem_cell-derived: 0.46, Embryonic_stem_cells: 0.46, iPS_cells:PDB_2lox-22: 0.46, iPS_cells:PDB_1lox-21Puro-20: 0.46, iPS_cells:CRL2097_foreskin-derived:undiff.: 0.46, iPS_cells:PDB_2lox-21: 0.46, MSC: 0.46 |
Below shows the significant enrichments of this GEP for literature curated gene lists
This data was procured from existing single cell RNA-seq maps of neuroblastoma or related relevant data.
High ranks indicate this gene is a driver of this GEP.
These curated gene list are ranked by the P-value (on this GEP) of their constituent genes.
The Mean Count column shows the mean read count in cells scoring highly (H > 50) on this gene expression program.
| Genes | Weight | Rank | GTEx | DepMap | Decartes | Mean.Counts | Mean.TPM |
|---|---|---|---|---|---|---|---|
| C7 | 0.0058403 | 21 | GTEx | DepMap | Descartes | 3.97 | 36.83 |
| PDGFD | 0.0030701 | 140 | GTEx | DepMap | Descartes | 0.20 | 3.14 |
| PDGFRB | 0.0027684 | 177 | GTEx | DepMap | Descartes | 0.53 | 5.82 |
| HGF | 0.0019391 | 352 | GTEx | DepMap | Descartes | 3.20 | 39.32 |
| LIF | 0.0013447 | 643 | GTEx | DepMap | Descartes | 0.02 | 0.81 |
| C3 | 0.0010157 | 953 | GTEx | DepMap | Descartes | 0.00 | 0.00 |
| CFB | 0.0007076 | 1318 | GTEx | DepMap | Descartes | 0.01 | 0.34 |
| IGF1 | 0.0006425 | 1405 | GTEx | DepMap | Descartes | 0.00 | 0.00 |
| IL33 | 0.0005148 | 1658 | GTEx | DepMap | Descartes | 0.01 | 0.49 |
| PDGFRA | 0.0003557 | 2047 | GTEx | DepMap | Descartes | 0.38 | 3.75 |
| RGMA | 0.0002076 | 2496 | GTEx | DepMap | Descartes | 0.00 | 0.00 |
| SERPING1 | 0.0000500 | 3022 | GTEx | DepMap | Descartes | 0.16 | 4.17 |
| PDPN | -0.0000188 | 3325 | GTEx | DepMap | Descartes | 0.00 | 0.00 |
| CXCL14 | -0.0001307 | 3785 | GTEx | DepMap | Descartes | 0.00 | 0.00 |
| IL10 | -0.0002084 | 4125 | GTEx | DepMap | Descartes | 0.00 | 0.00 |
| SCARA5 | -0.0002215 | 4198 | GTEx | DepMap | Descartes | 0.00 | 0.00 |
| CFD | -0.0003470 | 4799 | GTEx | DepMap | Descartes | 0.01 | 0.48 |
| CXCL2 | -0.0005267 | 5435 | GTEx | DepMap | Descartes | 0.00 | 0.00 |
| SCARA3 | -0.0007534 | 6210 | GTEx | DepMap | Descartes | 0.15 | 2.15 |
| GPX3 | -0.0008128 | 6361 | GTEx | DepMap | Descartes | 0.12 | 3.75 |
| IGFBP6 | -0.0009846 | 6813 | GTEx | DepMap | Descartes | 1.97 | 95.32 |
| CCL2 | -0.0011128 | 7149 | GTEx | DepMap | Descartes | 0.23 | 25.77 |
| IL1R1 | -0.0015436 | 8099 | GTEx | DepMap | Descartes | 0.09 | 1.32 |
| CXCL12 | -0.0015482 | 8106 | GTEx | DepMap | Descartes | 0.09 | 1.84 |
| SOD2 | -0.0025546 | 9597 | GTEx | DepMap | Descartes | 0.63 | 1.95 |
Myofibroblastic CAF
These marker genes were curated across cancer subtypes in multiple organ systems as reviewed in Lavie et. al. (PMID 35883004) and contain myofibroblastic specific CAF genes:
Wilcoxon ranksum test P-value for gene set overrepresentation: 1.51e-03
Mean rank of genes in gene set: 4742.92
Rank on gene expression program of genes in gene set:
| Genes | Weight | Rank | GTEx | DepMap | Decartes | Mean.Counts | Mean.TPM |
|---|---|---|---|---|---|---|---|
| COL3A1 | 0.0074350 | 11 | GTEx | DepMap | Descartes | 7.28 | 101.15 |
| THBS2 | 0.0037708 | 84 | GTEx | DepMap | Descartes | 0.36 | 4.32 |
| TNC | 0.0036756 | 93 | GTEx | DepMap | Descartes | 0.97 | 6.90 |
| COL11A1 | 0.0033579 | 117 | GTEx | DepMap | Descartes | 0.07 | 0.74 |
| MMP11 | 0.0032267 | 129 | GTEx | DepMap | Descartes | 0.39 | 6.73 |
| COL5A1 | 0.0031547 | 135 | GTEx | DepMap | Descartes | 0.70 | 6.77 |
| VCAN | 0.0030492 | 142 | GTEx | DepMap | Descartes | 2.74 | 15.75 |
| FN1 | 0.0021965 | 274 | GTEx | DepMap | Descartes | 4.12 | 37.60 |
| MEF2C | 0.0014448 | 569 | GTEx | DepMap | Descartes | 0.32 | 2.61 |
| WNT5A | 0.0013621 | 630 | GTEx | DepMap | Descartes | 0.29 | 3.72 |
| COL13A1 | 0.0013240 | 656 | GTEx | DepMap | Descartes | 0.08 | 2.14 |
| MYLK | 0.0013209 | 660 | GTEx | DepMap | Descartes | 1.65 | 9.98 |
| COL1A2 | 0.0011707 | 788 | GTEx | DepMap | Descartes | 0.44 | 6.61 |
| TGFB2 | 0.0008615 | 1117 | GTEx | DepMap | Descartes | 0.12 | 1.45 |
| TGFBR2 | 0.0007573 | 1230 | GTEx | DepMap | Descartes | 0.31 | 4.33 |
| ITGA7 | 0.0006758 | 1359 | GTEx | DepMap | Descartes | 0.03 | 0.51 |
| POSTN | 0.0005461 | 1587 | GTEx | DepMap | Descartes | 0.74 | 15.88 |
| COL10A1 | 0.0005131 | 1663 | GTEx | DepMap | Descartes | 0.01 | 0.08 |
| MYH11 | 0.0004940 | 1714 | GTEx | DepMap | Descartes | 0.00 | 0.00 |
| THBS1 | 0.0004430 | 1818 | GTEx | DepMap | Descartes | 1.11 | 10.82 |
| COL5A2 | 0.0004400 | 1825 | GTEx | DepMap | Descartes | 0.18 | 2.48 |
| TMEM119 | 0.0004224 | 1870 | GTEx | DepMap | Descartes | 0.48 | 7.60 |
| COL14A1 | 0.0003101 | 2188 | GTEx | DepMap | Descartes | 0.00 | 0.00 |
| COL8A1 | 0.0002567 | 2346 | GTEx | DepMap | Descartes | 0.23 | 3.21 |
| ACTG2 | -0.0000617 | 3499 | GTEx | DepMap | Descartes | 0.00 | 0.00 |
| THY1 | -0.0001342 | 3805 | GTEx | DepMap | Descartes | 4.68 | 58.73 |
| MMP2 | -0.0003501 | 4814 | GTEx | DepMap | Descartes | 2.78 | 37.39 |
| COL12A1 | -0.0004296 | 5093 | GTEx | DepMap | Descartes | 0.06 | 0.30 |
| IGFBP3 | -0.0004820 | 5277 | GTEx | DepMap | Descartes | 1.17 | 29.03 |
| COL4A1 | -0.0006089 | 5744 | GTEx | DepMap | Descartes | 0.34 | 3.09 |
| DCN | -0.0008165 | 6373 | GTEx | DepMap | Descartes | 0.12 | 1.45 |
| TGFBR1 | -0.0012002 | 7374 | GTEx | DepMap | Descartes | 0.32 | 2.47 |
| VEGFA | -0.0012075 | 7386 | GTEx | DepMap | Descartes | 0.41 | 1.05 |
| BGN | -0.0012522 | 7509 | GTEx | DepMap | Descartes | 0.29 | 7.08 |
| COL15A1 | -0.0016592 | 8311 | GTEx | DepMap | Descartes | 0.00 | 0.00 |
| PGF | -0.0019523 | 8806 | GTEx | DepMap | Descartes | 0.09 | 0.97 |
| COL1A1 | -0.0019570 | 8815 | GTEx | DepMap | Descartes | 4.36 | 51.78 |
| TGFB1 | -0.0022006 | 9157 | GTEx | DepMap | Descartes | 1.24 | 26.58 |
| MYL9 | -0.0023373 | 9339 | GTEx | DepMap | Descartes | 0.00 | 0.00 |
| ACTA2 | -0.0023770 | 9384 | GTEx | DepMap | Descartes | 0.31 | 12.82 |
| IGFBP7 | -0.0025130 | 9556 | GTEx | DepMap | Descartes | 0.09 | 4.09 |
| HOPX | -0.0029339 | 9986 | GTEx | DepMap | Descartes | 0.00 | 0.00 |
| LUM | -0.0029889 | 10034 | GTEx | DepMap | Descartes | 0.46 | 9.72 |
| CNN2 | -0.0038102 | 10712 | GTEx | DepMap | Descartes | 0.50 | 11.14 |
| TAGLN | -0.0043604 | 11049 | GTEx | DepMap | Descartes | 0.39 | 8.18 |
| TPM2 | -0.0055695 | 11573 | GTEx | DepMap | Descartes | 3.11 | 59.28 |
| RGS5 | -0.0063788 | 11796 | GTEx | DepMap | Descartes | 29.36 | 155.90 |
| CNN3 | -0.0069684 | 11920 | GTEx | DepMap | Descartes | 3.55 | 62.73 |
| TPM1 | -0.0078902 | 12086 | GTEx | DepMap | Descartes | 11.92 | 159.35 |
Stromal 2 (Hanemaaijer)
Marker genes obtained from Supplementary Table SD of Hanemaaijer et al (PMID 33500353). The authors generated single-cell RNA-seq data (sort-seq, 2,229 cells total) from mouse adrenal glads at E13.5, E14.5, E17.5, E18.5, P1 and P5. These were marker genes that matched with a similar dataset generated by Furlan et al (PMID 28684471). This particular set of markers are for Stroma subcluster:
Wilcoxon ranksum test P-value for gene set overrepresentation: 2.03e-03
Mean rank of genes in gene set: 3270.58
Rank on gene expression program of genes in gene set:
| Genes | Weight | Rank | GTEx | DepMap | Decartes | Mean.Counts | Mean.TPM |
|---|---|---|---|---|---|---|---|
| FBN1 | 0.0108167 | 2 | GTEx | DepMap | Descartes | 3.31 | 20.87 |
| FSTL1 | 0.0051975 | 35 | GTEx | DepMap | Descartes | 1.85 | 22.71 |
| ITM2A | 0.0015594 | 515 | GTEx | DepMap | Descartes | 0.10 | 3.35 |
| POSTN | 0.0005461 | 1587 | GTEx | DepMap | Descartes | 0.74 | 15.88 |
| COL5A2 | 0.0004400 | 1825 | GTEx | DepMap | Descartes | 0.18 | 2.48 |
| FBN2 | 0.0003958 | 1944 | GTEx | DepMap | Descartes | 0.17 | 0.57 |
| COL14A1 | 0.0003101 | 2188 | GTEx | DepMap | Descartes | 0.00 | 0.00 |
| GSN | 0.0001221 | 2786 | GTEx | DepMap | Descartes | 0.51 | 4.50 |
| PENK | -0.0003358 | 4739 | GTEx | DepMap | Descartes | 0.00 | 0.00 |
| SFRP1 | -0.0010644 | 7013 | GTEx | DepMap | Descartes | 4.37 | 39.84 |
| IGFBP5 | -0.0011052 | 7134 | GTEx | DepMap | Descartes | 2.74 | 19.99 |
| GAS1 | -0.0024588 | 9479 | GTEx | DepMap | Descartes | 0.21 | 4.17 |
Below shows ranks on this GEP for literature curated gene lists for large gene sets
These include those reported as mesenchymal/adrenergic by Van Groningen et al.
High ranks indicate this gene is a driver of this GEP (note these results are not ordered).
The Mean Count column shows the mean read count in cells scoring highly (H > 50) on this gene expression program.
VanGroningen Adrenergic Genes
Adrenergic marker genes from Supplementary Table 2 of Van Groningen et al. Nature Genetics 2017. These genes were identified by differential expression analysis of mesenchymal-like and adrenergic-like neuroblastoma cell lines.
Wilcoxon ranksum test P-value for gene set overrepresentation: 1.00e+00
Mean rank of genes in gene set: 8067.2
Median rank of genes in gene set: 8994
Rank on gene expression program of top 30 genes in gene set:
| Genes | Weight | Rank | GTEx | DepMap | Descartes | Mean.Counts | Mean.TPM |
|---|---|---|---|---|---|---|---|
| SYT4 | 0.0075257 | 10 | GTEx | DepMap | Descartes | 5.05 | 73.42 |
| ADAM22 | 0.0057910 | 22 | GTEx | DepMap | Descartes | 1.44 | 8.40 |
| SLIT3 | 0.0033737 | 114 | GTEx | DepMap | Descartes | 2.99 | 17.43 |
| SYNPO2 | 0.0033574 | 118 | GTEx | DepMap | Descartes | 4.10 | 13.72 |
| NRCAM | 0.0023748 | 233 | GTEx | DepMap | Descartes | 0.80 | 4.95 |
| STRA6 | 0.0020276 | 312 | GTEx | DepMap | Descartes | 0.28 | 8.71 |
| KIDINS220 | 0.0019179 | 363 | GTEx | DepMap | Descartes | 2.13 | 12.39 |
| RET | 0.0018244 | 394 | GTEx | DepMap | Descartes | 0.72 | 7.60 |
| THSD7A | 0.0017908 | 406 | GTEx | DepMap | Descartes | 0.91 | 2.93 |
| RIMBP2 | 0.0016594 | 459 | GTEx | DepMap | Descartes | 0.27 | 2.76 |
| EML6 | 0.0016448 | 471 | GTEx | DepMap | Descartes | 0.16 | 1.20 |
| NCAM1 | 0.0014941 | 545 | GTEx | DepMap | Descartes | 0.99 | 7.49 |
| RNF150 | 0.0013864 | 620 | GTEx | DepMap | Descartes | 0.88 | 4.16 |
| PRSS12 | 0.0011240 | 832 | GTEx | DepMap | Descartes | 1.49 | 18.34 |
| RBMS3 | 0.0010635 | 897 | GTEx | DepMap | Descartes | 2.62 | 15.07 |
| KIF5C | 0.0010192 | 946 | GTEx | DepMap | Descartes | 1.35 | 5.20 |
| RPS6KA2 | 0.0010036 | 961 | GTEx | DepMap | Descartes | 0.83 | 6.43 |
| TH | 0.0009560 | 1013 | GTEx | DepMap | Descartes | 0.15 | 6.37 |
| DIABLO | 0.0009493 | 1020 | GTEx | DepMap | Descartes | 0.16 | 3.55 |
| ABCA3 | 0.0006531 | 1390 | GTEx | DepMap | Descartes | 0.24 | 2.14 |
| SV2C | 0.0005860 | 1507 | GTEx | DepMap | Descartes | 0.19 | 0.70 |
| ANK2 | 0.0005690 | 1542 | GTEx | DepMap | Descartes | 0.41 | 1.58 |
| MIAT | 0.0005524 | 1571 | GTEx | DepMap | Descartes | 0.28 | 2.41 |
| MAGI3 | 0.0005309 | 1624 | GTEx | DepMap | Descartes | 0.96 | 6.37 |
| SCN3A | 0.0005065 | 1685 | GTEx | DepMap | Descartes | 0.15 | 0.92 |
| AUTS2 | 0.0004807 | 1737 | GTEx | DepMap | Descartes | 0.77 | 4.89 |
| BMPR1B | 0.0004180 | 1882 | GTEx | DepMap | Descartes | 0.35 | 2.49 |
| CACNA2D2 | 0.0004073 | 1912 | GTEx | DepMap | Descartes | 0.19 | 1.37 |
| ALK | 0.0003751 | 1999 | GTEx | DepMap | Descartes | 0.12 | 0.52 |
| CADM1 | 0.0003747 | 2001 | GTEx | DepMap | Descartes | 1.06 | 6.11 |
VanGroningen Mesenchymal Genes
Mesenchymal marker genes from Supplementary Table 2 of Van Groningen et al. Nature Genetics 2017. These genes were identified by differential expression analysis of mesenchymal-like and adrenergic-like neuroblastoma cell lines.
Wilcoxon ranksum test P-value for gene set overrepresentation: 3.05e-07
Mean rank of genes in gene set: 5423.76
Median rank of genes in gene set: 5462
Rank on gene expression program of top 30 genes in gene set:
| Genes | Weight | Rank | GTEx | DepMap | Descartes | Mean.Counts | Mean.TPM |
|---|---|---|---|---|---|---|---|
| FBN1 | 0.0108167 | 2 | GTEx | DepMap | Descartes | 3.31 | 20.87 |
| PXDN | 0.0091903 | 6 | GTEx | DepMap | Descartes | 3.41 | 31.36 |
| LAMB1 | 0.0089770 | 7 | GTEx | DepMap | Descartes | 3.00 | 38.98 |
| COL3A1 | 0.0074350 | 11 | GTEx | DepMap | Descartes | 7.28 | 101.15 |
| MRC2 | 0.0073489 | 12 | GTEx | DepMap | Descartes | 1.36 | 15.79 |
| TPBG | 0.0070279 | 14 | GTEx | DepMap | Descartes | 2.52 | 26.26 |
| SEMA3C | 0.0068156 | 16 | GTEx | DepMap | Descartes | 1.80 | 26.81 |
| EMILIN1 | 0.0060039 | 19 | GTEx | DepMap | Descartes | 2.75 | 46.25 |
| LTBP1 | 0.0055519 | 24 | GTEx | DepMap | Descartes | 1.82 | 20.51 |
| FSTL1 | 0.0051975 | 35 | GTEx | DepMap | Descartes | 1.85 | 22.71 |
| APOE | 0.0050132 | 37 | GTEx | DepMap | Descartes | 4.08 | 209.02 |
| NRP1 | 0.0046235 | 48 | GTEx | DepMap | Descartes | 1.30 | 14.92 |
| IGF2R | 0.0044457 | 55 | GTEx | DepMap | Descartes | 1.58 | 7.38 |
| LRRC17 | 0.0044349 | 56 | GTEx | DepMap | Descartes | 4.19 | 125.49 |
| ATP2B4 | 0.0042753 | 60 | GTEx | DepMap | Descartes | 1.64 | 12.14 |
| LRP10 | 0.0041779 | 64 | GTEx | DepMap | Descartes | 1.49 | 12.87 |
| RRBP1 | 0.0040901 | 68 | GTEx | DepMap | Descartes | 1.73 | 24.02 |
| IL13RA1 | 0.0040831 | 69 | GTEx | DepMap | Descartes | 0.61 | 9.43 |
| SLC38A2 | 0.0040549 | 71 | GTEx | DepMap | Descartes | 2.26 | 32.75 |
| GNS | 0.0038174 | 80 | GTEx | DepMap | Descartes | 1.00 | 13.15 |
| MGP | 0.0038026 | 82 | GTEx | DepMap | Descartes | 6.96 | 256.79 |
| GRN | 0.0037026 | 90 | GTEx | DepMap | Descartes | 3.05 | 90.95 |
| TNC | 0.0036756 | 93 | GTEx | DepMap | Descartes | 0.97 | 6.90 |
| PDIA3 | 0.0035822 | 100 | GTEx | DepMap | Descartes | 5.11 | 88.71 |
| NOTCH2 | 0.0035344 | 105 | GTEx | DepMap | Descartes | 0.39 | 2.53 |
| MAML2 | 0.0034097 | 110 | GTEx | DepMap | Descartes | 0.73 | 7.29 |
| LAMC1 | 0.0034079 | 111 | GTEx | DepMap | Descartes | 1.41 | 12.67 |
| APP | 0.0033814 | 113 | GTEx | DepMap | Descartes | 3.17 | 52.01 |
| COL11A1 | 0.0033579 | 117 | GTEx | DepMap | Descartes | 0.07 | 0.74 |
| PLEKHH2 | 0.0032741 | 123 | GTEx | DepMap | Descartes | 0.12 | 1.42 |
Descartes adrenocortical markers
Top 50 marker genes of adrenocortical cells in the Decartes fetal adrenal single cell map (https://atlas.brotmanbaty.org/bbi/human-gene-expression-during-development/cell/adrenocortical/in/adrenal)
Wilcoxon ranksum test P-value for gene set overrepresentation: 9.37e-03
Mean rank of genes in gene set: 4857.64
Median rank of genes in gene set: 4619.5
Rank on gene expression program of top 30 genes in gene set:
| Genes | Weight | Rank | GTEx | DepMap | Descartes | Mean.Counts | Mean.TPM |
|---|---|---|---|---|---|---|---|
| CLU | 0.0053231 | 29 | GTEx | DepMap | Descartes | 4.04 | 93.42 |
| TM7SF2 | 0.0053045 | 30 | GTEx | DepMap | Descartes | 2.11 | 55.21 |
| IGF1R | 0.0036120 | 97 | GTEx | DepMap | Descartes | 0.90 | 4.67 |
| NPC1 | 0.0015199 | 530 | GTEx | DepMap | Descartes | 0.16 | 2.03 |
| POR | 0.0010723 | 884 | GTEx | DepMap | Descartes | 0.65 | 14.34 |
| GRAMD1B | 0.0010122 | 956 | GTEx | DepMap | Descartes | 0.10 | 0.79 |
| LDLR | 0.0009176 | 1055 | GTEx | DepMap | Descartes | 0.39 | 5.47 |
| SCAP | 0.0006197 | 1440 | GTEx | DepMap | Descartes | 0.54 | 6.70 |
| SCARB1 | 0.0003144 | 2168 | GTEx | DepMap | Descartes | 0.40 | 4.07 |
| DHCR7 | 0.0001540 | 2652 | GTEx | DepMap | Descartes | 0.23 | 4.80 |
| DNER | 0.0000397 | 3053 | GTEx | DepMap | Descartes | 0.07 | 0.89 |
| HMGCR | 0.0000023 | 3219 | GTEx | DepMap | Descartes | 0.54 | 5.87 |
| PDE10A | -0.0000023 | 3249 | GTEx | DepMap | Descartes | 0.07 | 0.64 |
| ERN1 | -0.0000126 | 3301 | GTEx | DepMap | Descartes | 0.08 | 0.59 |
| FREM2 | -0.0000514 | 3460 | GTEx | DepMap | Descartes | 0.00 | 0.00 |
| SGCZ | -0.0000589 | 3487 | GTEx | DepMap | Descartes | 0.00 | 0.00 |
| INHA | -0.0000682 | 3530 | GTEx | DepMap | Descartes | 0.01 | 0.26 |
| FRMD5 | -0.0001783 | 3989 | GTEx | DepMap | Descartes | 0.18 | 2.13 |
| MSMO1 | -0.0004741 | 5250 | GTEx | DepMap | Descartes | 0.61 | 12.32 |
| SLC1A2 | -0.0004765 | 5261 | GTEx | DepMap | Descartes | 0.00 | 0.00 |
| SLC16A9 | -0.0004874 | 5296 | GTEx | DepMap | Descartes | 0.21 | 2.49 |
| STAR | -0.0005892 | 5671 | GTEx | DepMap | Descartes | 0.00 | 0.00 |
| PEG3 | -0.0005904 | 5676 | GTEx | DepMap | Descartes | 0.05 | NA |
| SH3PXD2B | -0.0006682 | 5936 | GTEx | DepMap | Descartes | 0.31 | 2.05 |
| PAPSS2 | -0.0009183 | 6637 | GTEx | DepMap | Descartes | 0.68 | 9.82 |
| FDXR | -0.0010374 | 6944 | GTEx | DepMap | Descartes | 0.97 | 18.76 |
| HMGCS1 | -0.0010555 | 6986 | GTEx | DepMap | Descartes | 0.50 | 5.87 |
| SH3BP5 | -0.0010881 | 7073 | GTEx | DepMap | Descartes | 0.68 | 9.26 |
| APOC1 | -0.0013652 | 7751 | GTEx | DepMap | Descartes | 0.14 | 15.47 |
| DHCR24 | -0.0013742 | 7773 | GTEx | DepMap | Descartes | 0.65 | 4.21 |
Descartes chromaffin markers
Top 50 marker genes of chromaffin cells in the Decartes fetal adrenal single cell map (https://atlas.brotmanbaty.org/bbi/human-gene-expression-during-development/cell/chromaffin/in/adrenal)
Wilcoxon ranksum test P-value for gene set overrepresentation: 9.69e-01
Mean rank of genes in gene set: 7326.83
Median rank of genes in gene set: 6718
Rank on gene expression program of top 30 genes in gene set:
| Genes | Weight | Rank | GTEx | DepMap | Descartes | Mean.Counts | Mean.TPM |
|---|---|---|---|---|---|---|---|
| PLXNA4 | 0.0033847 | 112 | GTEx | DepMap | Descartes | 0.48 | 2.36 |
| SYNPO2 | 0.0033574 | 118 | GTEx | DepMap | Descartes | 4.10 | 13.72 |
| SLC44A5 | 0.0013069 | 671 | GTEx | DepMap | Descartes | 0.23 | 3.25 |
| SLC6A2 | 0.0012717 | 698 | GTEx | DepMap | Descartes | 0.91 | 6.89 |
| ALK | 0.0003751 | 1999 | GTEx | DepMap | Descartes | 0.12 | 0.52 |
| IL7 | -0.0000313 | 3375 | GTEx | DepMap | Descartes | 0.27 | 6.58 |
| TMEM132C | -0.0002197 | 4181 | GTEx | DepMap | Descartes | 0.00 | 0.00 |
| HS3ST5 | -0.0002222 | 4204 | GTEx | DepMap | Descartes | 0.11 | 1.70 |
| EPHA6 | -0.0002343 | 4257 | GTEx | DepMap | Descartes | 0.01 | 0.01 |
| FAT3 | -0.0002596 | 4374 | GTEx | DepMap | Descartes | 0.01 | 0.03 |
| PTCHD1 | -0.0003497 | 4812 | GTEx | DepMap | Descartes | 0.01 | 0.07 |
| EYA4 | -0.0004379 | 5119 | GTEx | DepMap | Descartes | 0.12 | 0.36 |
| RGMB | -0.0004396 | 5125 | GTEx | DepMap | Descartes | 0.22 | 3.77 |
| CNKSR2 | -0.0004693 | 5231 | GTEx | DepMap | Descartes | 0.09 | 0.66 |
| ANKFN1 | -0.0007528 | 6207 | GTEx | DepMap | Descartes | 0.00 | 0.00 |
| TMEFF2 | -0.0007748 | 6264 | GTEx | DepMap | Descartes | 0.04 | 0.93 |
| RYR2 | -0.0008034 | 6341 | GTEx | DepMap | Descartes | 0.01 | 0.04 |
| RBFOX1 | -0.0008325 | 6420 | GTEx | DepMap | Descartes | 0.06 | 0.14 |
| GREM1 | -0.0008765 | 6532 | GTEx | DepMap | Descartes | 0.24 | 0.98 |
| NTRK1 | -0.0009409 | 6701 | GTEx | DepMap | Descartes | 0.08 | 1.09 |
| RPH3A | -0.0009466 | 6718 | GTEx | DepMap | Descartes | 0.34 | 1.64 |
| REEP1 | -0.0010630 | 7009 | GTEx | DepMap | Descartes | 0.02 | 0.15 |
| KCNB2 | -0.0014628 | 7962 | GTEx | DepMap | Descartes | 0.00 | 0.00 |
| STMN2 | -0.0018544 | 8655 | GTEx | DepMap | Descartes | 15.12 | 209.79 |
| ISL1 | -0.0020382 | 8936 | GTEx | DepMap | Descartes | 1.78 | 31.26 |
| EYA1 | -0.0022154 | 9173 | GTEx | DepMap | Descartes | 0.29 | 1.43 |
| CNTFR | -0.0023176 | 9303 | GTEx | DepMap | Descartes | 0.59 | 8.13 |
| MARCH11 | -0.0028205 | 9888 | GTEx | DepMap | Descartes | 1.01 | NA |
| NPY | -0.0031660 | 10207 | GTEx | DepMap | Descartes | 4.00 | 412.72 |
| MAP1B | -0.0036827 | 10622 | GTEx | DepMap | Descartes | 16.34 | 78.95 |
Descartes Vascular_endothelial markers
Top 50 marker genes of Vascular_endothelial cells in the Decartes fetal adrenal single cell map (https://atlas.brotmanbaty.org/bbi/human-gene-expression-during-development/cell/vascular_endothelial/in/adrenal)
Wilcoxon ranksum test P-value for gene set overrepresentation: 6.84e-04
Mean rank of genes in gene set: 4396.5
Median rank of genes in gene set: 3962
Rank on gene expression program of top 30 genes in gene set:
| Genes | Weight | Rank | GTEx | DepMap | Descartes | Mean.Counts | Mean.TPM |
|---|---|---|---|---|---|---|---|
| SLCO2A1 | 0.0014010 | 608 | GTEx | DepMap | Descartes | 0.02 | 0.31 |
| CHRM3 | 0.0012022 | 757 | GTEx | DepMap | Descartes | 0.59 | 1.80 |
| CEACAM1 | 0.0011343 | 824 | GTEx | DepMap | Descartes | 0.01 | 0.19 |
| PTPRB | 0.0009787 | 987 | GTEx | DepMap | Descartes | 0.13 | 0.79 |
| EHD3 | 0.0007445 | 1250 | GTEx | DepMap | Descartes | 0.35 | 4.01 |
| CLDN5 | 0.0005517 | 1574 | GTEx | DepMap | Descartes | 0.01 | 0.02 |
| CYP26B1 | 0.0003239 | 2136 | GTEx | DepMap | Descartes | 0.00 | 0.00 |
| MMRN2 | 0.0002868 | 2256 | GTEx | DepMap | Descartes | 0.01 | 0.17 |
| TEK | 0.0001253 | 2775 | GTEx | DepMap | Descartes | 0.01 | 0.01 |
| ROBO4 | 0.0000811 | 2922 | GTEx | DepMap | Descartes | 0.00 | 0.00 |
| FLT4 | 0.0000610 | 2995 | GTEx | DepMap | Descartes | 0.00 | 0.00 |
| PODXL | 0.0000204 | 3132 | GTEx | DepMap | Descartes | 0.34 | 3.39 |
| MYRIP | 0.0000130 | 3164 | GTEx | DepMap | Descartes | 0.28 | 2.70 |
| KDR | 0.0000108 | 3174 | GTEx | DepMap | Descartes | 0.00 | 0.00 |
| SHANK3 | -0.0000316 | 3378 | GTEx | DepMap | Descartes | 0.02 | 0.12 |
| CDH5 | -0.0000342 | 3397 | GTEx | DepMap | Descartes | 0.00 | 0.00 |
| KANK3 | -0.0000665 | 3522 | GTEx | DepMap | Descartes | 0.00 | 0.00 |
| NR5A2 | -0.0000999 | 3667 | GTEx | DepMap | Descartes | 0.00 | 0.00 |
| BTNL9 | -0.0001599 | 3918 | GTEx | DepMap | Descartes | 0.00 | 0.00 |
| TMEM88 | -0.0001828 | 4006 | GTEx | DepMap | Descartes | 0.04 | 1.92 |
| GALNT15 | -0.0001927 | 4064 | GTEx | DepMap | Descartes | 0.01 | NA |
| TIE1 | -0.0002039 | 4108 | GTEx | DepMap | Descartes | 0.00 | 0.00 |
| F8 | -0.0002104 | 4134 | GTEx | DepMap | Descartes | 0.04 | 0.25 |
| SHE | -0.0002533 | 4352 | GTEx | DepMap | Descartes | 0.00 | 0.00 |
| RASIP1 | -0.0002897 | 4527 | GTEx | DepMap | Descartes | 0.00 | 0.00 |
| CALCRL | -0.0003301 | 4713 | GTEx | DepMap | Descartes | 0.00 | 0.00 |
| CRHBP | -0.0003304 | 4716 | GTEx | DepMap | Descartes | 0.00 | 0.00 |
| PLVAP | -0.0003941 | 4970 | GTEx | DepMap | Descartes | 0.00 | 0.00 |
| CDH13 | -0.0004499 | 5160 | GTEx | DepMap | Descartes | 0.19 | 1.68 |
| EFNB2 | -0.0006335 | 5833 | GTEx | DepMap | Descartes | 0.55 | 3.72 |
Descartes stromal markers
Top 50 marker genes of stromal cells in the Decartes fetal adrenal single cell map (https://atlas.brotmanbaty.org/bbi/human-gene-expression-during-development/cell/stromal/in/adrenal)
Wilcoxon ranksum test P-value for gene set overrepresentation: 3.05e-07
Mean rank of genes in gene set: 3555.7
Median rank of genes in gene set: 3395.5
Rank on gene expression program of top 30 genes in gene set:
| Genes | Weight | Rank | GTEx | DepMap | Descartes | Mean.Counts | Mean.TPM |
|---|---|---|---|---|---|---|---|
| COL3A1 | 0.0074350 | 11 | GTEx | DepMap | Descartes | 7.28 | 101.15 |
| PCOLCE | 0.0073031 | 13 | GTEx | DepMap | Descartes | 9.00 | 301.77 |
| C7 | 0.0058403 | 21 | GTEx | DepMap | Descartes | 3.97 | 36.83 |
| LRRC17 | 0.0044349 | 56 | GTEx | DepMap | Descartes | 4.19 | 125.49 |
| MGP | 0.0038026 | 82 | GTEx | DepMap | Descartes | 6.96 | 256.79 |
| FREM1 | 0.0021872 | 279 | GTEx | DepMap | Descartes | 0.08 | 0.34 |
| COL6A3 | 0.0020674 | 305 | GTEx | DepMap | Descartes | 0.12 | 1.71 |
| ISLR | 0.0018101 | 401 | GTEx | DepMap | Descartes | 0.04 | 0.82 |
| PAMR1 | 0.0015103 | 533 | GTEx | DepMap | Descartes | 0.01 | 0.33 |
| COL27A1 | 0.0014662 | 562 | GTEx | DepMap | Descartes | 0.06 | 0.82 |
| PCDH18 | 0.0013390 | 645 | GTEx | DepMap | Descartes | 0.26 | 3.17 |
| EDNRA | 0.0012639 | 703 | GTEx | DepMap | Descartes | 0.16 | 1.63 |
| COL1A2 | 0.0011707 | 788 | GTEx | DepMap | Descartes | 0.44 | 6.61 |
| CDH11 | 0.0008104 | 1171 | GTEx | DepMap | Descartes | 0.77 | 7.28 |
| DKK2 | 0.0007413 | 1252 | GTEx | DepMap | Descartes | 0.82 | 10.01 |
| POSTN | 0.0005461 | 1587 | GTEx | DepMap | Descartes | 0.74 | 15.88 |
| OGN | 0.0005311 | 1622 | GTEx | DepMap | Descartes | 0.00 | 0.00 |
| ELN | 0.0003744 | 2004 | GTEx | DepMap | Descartes | 0.07 | 1.45 |
| PDGFRA | 0.0003557 | 2047 | GTEx | DepMap | Descartes | 0.38 | 3.75 |
| LAMC3 | 0.0002903 | 2245 | GTEx | DepMap | Descartes | 0.00 | 0.00 |
| CLDN11 | 0.0000753 | 2947 | GTEx | DepMap | Descartes | 0.02 | 0.59 |
| HHIP | 0.0000276 | 3096 | GTEx | DepMap | Descartes | 0.15 | 1.70 |
| BICC1 | -0.0001059 | 3695 | GTEx | DepMap | Descartes | 0.26 | 1.96 |
| ADAMTS2 | -0.0001841 | 4014 | GTEx | DepMap | Descartes | 0.11 | 0.13 |
| GAS2 | -0.0002168 | 4169 | GTEx | DepMap | Descartes | 0.04 | 0.97 |
| ABCC9 | -0.0002212 | 4196 | GTEx | DepMap | Descartes | 0.03 | 0.15 |
| SCARA5 | -0.0002215 | 4198 | GTEx | DepMap | Descartes | 0.00 | 0.00 |
| CD248 | -0.0003070 | 4603 | GTEx | DepMap | Descartes | 0.20 | 3.52 |
| SFRP2 | -0.0003349 | 4735 | GTEx | DepMap | Descartes | 0.00 | 0.00 |
| ITGA11 | -0.0004038 | 5000 | GTEx | DepMap | Descartes | 0.01 | 0.07 |
Descartes sympathoblasts markers
Top 50 marker genes of sympathoblasts cells in the Decartes fetal adrenal single cell map (https://atlas.brotmanbaty.org/bbi/human-gene-expression-during-development/cell/sympathoblasts/in/adrenal)
Wilcoxon ranksum test P-value for gene set overrepresentation: 8.19e-04
Mean rank of genes in gene set: 4427.13
Median rank of genes in gene set: 4290.5
Rank on gene expression program of top 30 genes in gene set:
| Genes | Weight | Rank | GTEx | DepMap | Descartes | Mean.Counts | Mean.TPM |
|---|---|---|---|---|---|---|---|
| FGF14 | 0.0027902 | 172 | GTEx | DepMap | Descartes | 1.05 | 3.96 |
| GRM7 | 0.0018250 | 392 | GTEx | DepMap | Descartes | 0.10 | 0.84 |
| EML6 | 0.0016448 | 471 | GTEx | DepMap | Descartes | 0.16 | 1.20 |
| KCTD16 | 0.0016293 | 481 | GTEx | DepMap | Descartes | 0.26 | 0.96 |
| CNTN3 | 0.0009896 | 978 | GTEx | DepMap | Descartes | 0.02 | 0.20 |
| AGBL4 | 0.0006642 | 1374 | GTEx | DepMap | Descartes | 0.04 | 0.79 |
| CCSER1 | 0.0004682 | 1761 | GTEx | DepMap | Descartes | 0.07 | NA |
| UNC80 | 0.0004130 | 1898 | GTEx | DepMap | Descartes | 0.17 | 0.57 |
| PACRG | 0.0003737 | 2007 | GTEx | DepMap | Descartes | 0.05 | 2.20 |
| TBX20 | 0.0003022 | 2208 | GTEx | DepMap | Descartes | 0.01 | 0.50 |
| PCSK2 | 0.0002545 | 2351 | GTEx | DepMap | Descartes | 0.00 | 0.00 |
| SORCS3 | 0.0001447 | 2697 | GTEx | DepMap | Descartes | 0.00 | 0.00 |
| LAMA3 | 0.0001333 | 2744 | GTEx | DepMap | Descartes | 0.01 | 0.02 |
| NTNG1 | 0.0000746 | 2949 | GTEx | DepMap | Descartes | 0.25 | 1.24 |
| SLC24A2 | -0.0000078 | 3280 | GTEx | DepMap | Descartes | 0.00 | 0.00 |
| KSR2 | -0.0000772 | 3563 | GTEx | DepMap | Descartes | 0.01 | 0.03 |
| CDH18 | -0.0001111 | 3711 | GTEx | DepMap | Descartes | 0.09 | 0.67 |
| CDH12 | -0.0001833 | 4008 | GTEx | DepMap | Descartes | 0.00 | 0.00 |
| SLC18A1 | -0.0002067 | 4116 | GTEx | DepMap | Descartes | 0.46 | 1.24 |
| ROBO1 | -0.0002780 | 4465 | GTEx | DepMap | Descartes | 0.28 | 1.97 |
| PENK | -0.0003358 | 4739 | GTEx | DepMap | Descartes | 0.00 | 0.00 |
| DGKK | -0.0004250 | 5076 | GTEx | DepMap | Descartes | 0.04 | 0.07 |
| CHGB | -0.0004494 | 5158 | GTEx | DepMap | Descartes | 1.12 | 21.58 |
| FAM155A | -0.0004780 | 5262 | GTEx | DepMap | Descartes | 0.46 | 2.57 |
| TIAM1 | -0.0005409 | 5486 | GTEx | DepMap | Descartes | 0.24 | 1.28 |
| GALNTL6 | -0.0005977 | 5700 | GTEx | DepMap | Descartes | 0.03 | 0.05 |
| SLC35F3 | -0.0006081 | 5740 | GTEx | DepMap | Descartes | 0.03 | 0.38 |
| ARC | -0.0006161 | 5772 | GTEx | DepMap | Descartes | 0.13 | 1.38 |
| TENM1 | -0.0007477 | 6181 | GTEx | DepMap | Descartes | 0.00 | NA |
| GRID2 | -0.0007975 | 6326 | GTEx | DepMap | Descartes | 0.03 | 0.48 |
Descartes erythroblasts markers
Top 50 marker genes of erythroblasts cells in the Decartes fetal adrenal single cell map (https://atlas.brotmanbaty.org/bbi/human-gene-expression-during-development/cell/erythroblasts/in/adrenal)
Wilcoxon ranksum test P-value for gene set overrepresentation: 3.08e-01
Mean rank of genes in gene set: 5937.34
Median rank of genes in gene set: 6123
Rank on gene expression program of top 30 genes in gene set:
| Genes | Weight | Rank | GTEx | DepMap | Descartes | Mean.Counts | Mean.TPM |
|---|---|---|---|---|---|---|---|
| SLC4A1 | 0.0018204 | 397 | GTEx | DepMap | Descartes | 0.01 | 0.13 |
| SPECC1 | 0.0015287 | 527 | GTEx | DepMap | Descartes | 0.65 | 6.06 |
| SOX6 | 0.0003561 | 2046 | GTEx | DepMap | Descartes | 0.18 | 0.67 |
| RAPGEF2 | 0.0002839 | 2270 | GTEx | DepMap | Descartes | 0.50 | 3.16 |
| ALAS2 | 0.0002035 | 2505 | GTEx | DepMap | Descartes | 0.00 | 0.00 |
| SLC25A37 | 0.0002000 | 2516 | GTEx | DepMap | Descartes | 0.79 | 9.77 |
| RHD | 0.0000858 | 2903 | GTEx | DepMap | Descartes | 0.00 | 0.00 |
| TFR2 | 0.0000651 | 2979 | GTEx | DepMap | Descartes | 0.04 | 0.36 |
| ANK1 | -0.0001332 | 3799 | GTEx | DepMap | Descartes | 0.08 | 0.21 |
| GYPC | -0.0001992 | 4090 | GTEx | DepMap | Descartes | 0.00 | 0.00 |
| RGS6 | -0.0003884 | 4952 | GTEx | DepMap | Descartes | 0.00 | 0.00 |
| SPTB | -0.0003967 | 4980 | GTEx | DepMap | Descartes | 0.01 | 0.06 |
| CPOX | -0.0006273 | 5809 | GTEx | DepMap | Descartes | 0.12 | 1.93 |
| DENND4A | -0.0007193 | 6094 | GTEx | DepMap | Descartes | 0.23 | 1.82 |
| SLC25A21 | -0.0007303 | 6123 | GTEx | DepMap | Descartes | 0.01 | 0.07 |
| TMCC2 | -0.0007629 | 6237 | GTEx | DepMap | Descartes | 0.02 | 0.11 |
| ABCB10 | -0.0008156 | 6371 | GTEx | DepMap | Descartes | 0.15 | 1.31 |
| TRAK2 | -0.0009415 | 6703 | GTEx | DepMap | Descartes | 0.47 | 4.13 |
| GCLC | -0.0010904 | 7083 | GTEx | DepMap | Descartes | 0.24 | 2.41 |
| SELENBP1 | -0.0010962 | 7100 | GTEx | DepMap | Descartes | 0.00 | 0.00 |
| FECH | -0.0014823 | 7989 | GTEx | DepMap | Descartes | 0.16 | 0.77 |
| MARCH3 | -0.0015281 | 8072 | GTEx | DepMap | Descartes | 0.17 | NA |
| XPO7 | -0.0017494 | 8485 | GTEx | DepMap | Descartes | 0.37 | 3.41 |
| CAT | -0.0023299 | 9326 | GTEx | DepMap | Descartes | 0.36 | 7.31 |
| SNCA | -0.0027419 | 9807 | GTEx | DepMap | Descartes | 0.26 | 4.66 |
| MICAL2 | -0.0032983 | 10310 | GTEx | DepMap | Descartes | 0.26 | 2.56 |
| BLVRB | -0.0039914 | 10825 | GTEx | DepMap | Descartes | 0.57 | 20.68 |
| TSPAN5 | -0.0040224 | 10838 | GTEx | DepMap | Descartes | 0.93 | 7.36 |
| EPB41 | -0.0043592 | 11047 | GTEx | DepMap | Descartes | 0.82 | 4.49 |
| NA | NA | NA | NA | NA | NA | NA | NA |
Descartes myeloid markers
Top 50 marker genes of myeloid cells in the Decartes fetal adrenal single cell map (https://atlas.brotmanbaty.org/bbi/human-gene-expression-during-development/cell/myeloid/in/adrenal)
Wilcoxon ranksum test P-value for gene set overrepresentation: 8.46e-06
Mean rank of genes in gene set: 3750.5
Median rank of genes in gene set: 3322
Rank on gene expression program of top 30 genes in gene set:
| Genes | Weight | Rank | GTEx | DepMap | Descartes | Mean.Counts | Mean.TPM |
|---|---|---|---|---|---|---|---|
| CTSD | 0.0047632 | 41 | GTEx | DepMap | Descartes | 3.07 | 91.86 |
| HRH1 | 0.0042434 | 63 | GTEx | DepMap | Descartes | 0.28 | 3.73 |
| ABCA1 | 0.0041605 | 65 | GTEx | DepMap | Descartes | 0.28 | 1.85 |
| MERTK | 0.0022282 | 268 | GTEx | DepMap | Descartes | 0.06 | 1.35 |
| FMN1 | 0.0019221 | 361 | GTEx | DepMap | Descartes | 0.88 | 4.88 |
| CTSS | 0.0018338 | 389 | GTEx | DepMap | Descartes | 0.04 | 1.16 |
| PTPRE | 0.0016765 | 449 | GTEx | DepMap | Descartes | 0.99 | 9.34 |
| ITPR2 | 0.0009178 | 1054 | GTEx | DepMap | Descartes | 0.74 | 3.40 |
| SPP1 | 0.0008518 | 1126 | GTEx | DepMap | Descartes | 0.04 | 1.14 |
| TGFBI | 0.0008168 | 1162 | GTEx | DepMap | Descartes | 2.09 | 26.10 |
| MS4A4A | 0.0007910 | 1194 | GTEx | DepMap | Descartes | 0.00 | 0.00 |
| CTSB | 0.0007310 | 1265 | GTEx | DepMap | Descartes | 2.01 | 27.33 |
| SLC1A3 | 0.0003662 | 2026 | GTEx | DepMap | Descartes | 0.00 | 0.00 |
| IFNGR1 | 0.0002987 | 2218 | GTEx | DepMap | Descartes | 0.23 | 5.18 |
| LGMN | 0.0001561 | 2645 | GTEx | DepMap | Descartes | 0.34 | 9.99 |
| SFMBT2 | 0.0001495 | 2674 | GTEx | DepMap | Descartes | 0.11 | 0.93 |
| MARCH1 | 0.0000785 | 2932 | GTEx | DepMap | Descartes | 0.01 | NA |
| HCK | 0.0000593 | 3005 | GTEx | DepMap | Descartes | 0.00 | 0.00 |
| SLCO2B1 | 0.0000222 | 3125 | GTEx | DepMap | Descartes | 0.00 | 0.00 |
| ADAP2 | -0.0000657 | 3519 | GTEx | DepMap | Descartes | 0.00 | 0.00 |
| FGL2 | -0.0000712 | 3542 | GTEx | DepMap | Descartes | 0.00 | 0.00 |
| ATP8B4 | -0.0001178 | 3730 | GTEx | DepMap | Descartes | 0.00 | 0.00 |
| MSR1 | -0.0002036 | 4107 | GTEx | DepMap | Descartes | 0.01 | 0.01 |
| CYBB | -0.0002091 | 4129 | GTEx | DepMap | Descartes | 0.00 | 0.00 |
| CSF1R | -0.0002404 | 4292 | GTEx | DepMap | Descartes | 0.01 | 0.09 |
| CD74 | -0.0002604 | 4376 | GTEx | DepMap | Descartes | 0.00 | 0.00 |
| CD14 | -0.0002669 | 4411 | GTEx | DepMap | Descartes | 0.00 | 0.00 |
| SLC9A9 | -0.0002916 | 4534 | GTEx | DepMap | Descartes | 0.01 | 0.07 |
| CD163 | -0.0003186 | 4656 | GTEx | DepMap | Descartes | 0.00 | 0.00 |
| CPVL | -0.0005374 | 5474 | GTEx | DepMap | Descartes | 0.17 | 5.70 |
Descartes Schwann markers
Top 50 marker genes of Schwann cells in the Decartes fetal adrenal single cell map (https://atlas.brotmanbaty.org/bbi/human-gene-expression-during-development/cell/schwann/in/adrenal)
Wilcoxon ranksum test P-value for gene set overrepresentation: 3.61e-06
Mean rank of genes in gene set: 3828.75
Median rank of genes in gene set: 3752
Rank on gene expression program of top 30 genes in gene set:
| Genes | Weight | Rank | GTEx | DepMap | Descartes | Mean.Counts | Mean.TPM |
|---|---|---|---|---|---|---|---|
| DST | 0.0093653 | 5 | GTEx | DepMap | Descartes | 8.01 | 25.60 |
| LAMB1 | 0.0089770 | 7 | GTEx | DepMap | Descartes | 3.00 | 38.98 |
| SORCS1 | 0.0042488 | 62 | GTEx | DepMap | Descartes | 0.80 | 5.90 |
| LAMC1 | 0.0034079 | 111 | GTEx | DepMap | Descartes | 1.41 | 12.67 |
| VCAN | 0.0030492 | 142 | GTEx | DepMap | Descartes | 2.74 | 15.75 |
| COL18A1 | 0.0028870 | 159 | GTEx | DepMap | Descartes | 1.27 | 12.51 |
| PLCE1 | 0.0027278 | 179 | GTEx | DepMap | Descartes | 0.60 | 3.45 |
| PTN | 0.0026492 | 192 | GTEx | DepMap | Descartes | 3.25 | 119.30 |
| HMGA2 | 0.0014838 | 553 | GTEx | DepMap | Descartes | 0.58 | 7.80 |
| ADAMTS5 | 0.0006608 | 1379 | GTEx | DepMap | Descartes | 0.60 | 4.45 |
| OLFML2A | 0.0006470 | 1399 | GTEx | DepMap | Descartes | 0.02 | 0.26 |
| TRPM3 | 0.0005639 | 1553 | GTEx | DepMap | Descartes | 0.04 | 0.46 |
| COL5A2 | 0.0004400 | 1825 | GTEx | DepMap | Descartes | 0.18 | 2.48 |
| XKR4 | 0.0002721 | 2300 | GTEx | DepMap | Descartes | 0.00 | 0.00 |
| PAG1 | 0.0001847 | 2558 | GTEx | DepMap | Descartes | 0.11 | 0.60 |
| ERBB3 | 0.0001356 | 2733 | GTEx | DepMap | Descartes | 0.01 | 0.16 |
| SCN7A | 0.0000682 | 2969 | GTEx | DepMap | Descartes | 0.03 | 0.14 |
| EGFLAM | 0.0000632 | 2985 | GTEx | DepMap | Descartes | 0.01 | 0.20 |
| KCTD12 | 0.0000072 | 3195 | GTEx | DepMap | Descartes | 0.86 | 5.96 |
| PLP1 | -0.0000151 | 3317 | GTEx | DepMap | Descartes | 0.00 | 0.00 |
| PTPRZ1 | -0.0000244 | 3346 | GTEx | DepMap | Descartes | 0.00 | 0.00 |
| FIGN | -0.0000710 | 3541 | GTEx | DepMap | Descartes | 0.26 | 1.70 |
| IL1RAPL2 | -0.0001701 | 3963 | GTEx | DepMap | Descartes | 0.00 | 0.00 |
| NRXN3 | -0.0001725 | 3969 | GTEx | DepMap | Descartes | 0.01 | 0.03 |
| IL1RAPL1 | -0.0002032 | 4104 | GTEx | DepMap | Descartes | 0.07 | 0.90 |
| PPP2R2B | -0.0002215 | 4199 | GTEx | DepMap | Descartes | 0.96 | 5.00 |
| STARD13 | -0.0003005 | 4576 | GTEx | DepMap | Descartes | 0.09 | 1.13 |
| COL25A1 | -0.0003087 | 4613 | GTEx | DepMap | Descartes | 0.01 | 0.03 |
| LRRTM4 | -0.0003151 | 4645 | GTEx | DepMap | Descartes | 0.01 | 0.10 |
| SOX5 | -0.0003194 | 4663 | GTEx | DepMap | Descartes | 0.05 | 0.57 |
Descartes Megakaryocytes markers
Top 50 marker genes of Megakaryocytes cells in the Decartes fetal adrenal single cell map (https://atlas.brotmanbaty.org/bbi/human-gene-expression-during-development/cell/megakaryocytes/in/adrenal)
Wilcoxon ranksum test P-value for gene set overrepresentation: 4.93e-02
Mean rank of genes in gene set: 5384.71
Median rank of genes in gene set: 4748
Rank on gene expression program of top 30 genes in gene set:
| Genes | Weight | Rank | GTEx | DepMap | Descartes | Mean.Counts | Mean.TPM |
|---|---|---|---|---|---|---|---|
| LTBP1 | 0.0055519 | 24 | GTEx | DepMap | Descartes | 1.82 | 20.51 |
| MYLK | 0.0013209 | 660 | GTEx | DepMap | Descartes | 1.65 | 9.98 |
| MED12L | 0.0007849 | 1200 | GTEx | DepMap | Descartes | 0.04 | 0.25 |
| FLNA | 0.0007826 | 1204 | GTEx | DepMap | Descartes | 3.66 | 26.26 |
| SLC2A3 | 0.0007266 | 1277 | GTEx | DepMap | Descartes | 0.06 | 0.95 |
| ITGB3 | 0.0005307 | 1625 | GTEx | DepMap | Descartes | 0.01 | 0.25 |
| ARHGAP6 | 0.0005265 | 1633 | GTEx | DepMap | Descartes | 0.15 | 0.82 |
| THBS1 | 0.0004430 | 1818 | GTEx | DepMap | Descartes | 1.11 | 10.82 |
| P2RX1 | 0.0004178 | 1884 | GTEx | DepMap | Descartes | 0.00 | 0.00 |
| MCTP1 | 0.0002755 | 2290 | GTEx | DepMap | Descartes | 0.06 | 1.32 |
| ITGA2B | 0.0002545 | 2352 | GTEx | DepMap | Descartes | 0.01 | 0.09 |
| INPP4B | 0.0002459 | 2373 | GTEx | DepMap | Descartes | 0.09 | 0.66 |
| SLC24A3 | 0.0002279 | 2433 | GTEx | DepMap | Descartes | 0.00 | 0.00 |
| GSN | 0.0001221 | 2786 | GTEx | DepMap | Descartes | 0.51 | 4.50 |
| GP1BA | 0.0000758 | 2944 | GTEx | DepMap | Descartes | 0.00 | 0.00 |
| STOM | 0.0000155 | 3154 | GTEx | DepMap | Descartes | 0.29 | 6.93 |
| TUBB1 | 0.0000137 | 3159 | GTEx | DepMap | Descartes | 0.00 | 0.00 |
| PLEK | -0.0000313 | 3376 | GTEx | DepMap | Descartes | 0.00 | 0.00 |
| VCL | -0.0000410 | 3427 | GTEx | DepMap | Descartes | 1.99 | 15.34 |
| SPN | -0.0001499 | 3876 | GTEx | DepMap | Descartes | 0.00 | 0.00 |
| MMRN1 | -0.0002396 | 4286 | GTEx | DepMap | Descartes | 0.00 | 0.00 |
| PSTPIP2 | -0.0003139 | 4636 | GTEx | DepMap | Descartes | 0.09 | 2.15 |
| DOK6 | -0.0003383 | 4748 | GTEx | DepMap | Descartes | 0.40 | 1.60 |
| UBASH3B | -0.0003762 | 4908 | GTEx | DepMap | Descartes | 0.12 | 0.94 |
| CD84 | -0.0003764 | 4910 | GTEx | DepMap | Descartes | 0.00 | 0.00 |
| MYH9 | -0.0004549 | 5177 | GTEx | DepMap | Descartes | 2.65 | 19.31 |
| FLI1 | -0.0005056 | 5367 | GTEx | DepMap | Descartes | 0.01 | 0.05 |
| ANGPT1 | -0.0005901 | 5674 | GTEx | DepMap | Descartes | 0.07 | 1.25 |
| STON2 | -0.0007070 | 6059 | GTEx | DepMap | Descartes | 0.03 | 0.11 |
| RAB27B | -0.0009976 | 6839 | GTEx | DepMap | Descartes | 0.18 | 1.25 |
Descartes Lyphoid markers
Top 50 marker genes of Lyphoid cells in the Decartes fetal adrenal single cell map (https://atlas.brotmanbaty.org/bbi/human-gene-expression-during-development/cell/lymphoid/in/adrenal)
Wilcoxon ranksum test P-value for gene set overrepresentation: 2.74e-01
Mean rank of genes in gene set: 5940.1
Median rank of genes in gene set: 5572
Rank on gene expression program of top 30 genes in gene set:
| Genes | Weight | Rank | GTEx | DepMap | Descartes | Mean.Counts | Mean.TPM |
|---|---|---|---|---|---|---|---|
| ANKRD44 | 0.0019541 | 346 | GTEx | DepMap | Descartes | 0.29 | 1.84 |
| SORL1 | 0.0011606 | 796 | GTEx | DepMap | Descartes | 0.14 | 0.76 |
| PLEKHA2 | 0.0010345 | 929 | GTEx | DepMap | Descartes | 0.37 | 4.32 |
| BCL2 | 0.0009646 | 1003 | GTEx | DepMap | Descartes | 0.35 | 2.20 |
| MCTP2 | 0.0007639 | 1219 | GTEx | DepMap | Descartes | 0.01 | 0.19 |
| CD44 | 0.0007634 | 1221 | GTEx | DepMap | Descartes | 1.40 | 16.59 |
| PDE3B | 0.0004921 | 1723 | GTEx | DepMap | Descartes | 0.20 | 1.53 |
| ARID5B | 0.0003250 | 2131 | GTEx | DepMap | Descartes | 1.36 | 10.07 |
| SCML4 | 0.0002309 | 2419 | GTEx | DepMap | Descartes | 0.00 | 0.00 |
| RAP1GAP2 | 0.0002100 | 2488 | GTEx | DepMap | Descartes | 0.20 | 1.69 |
| ABLIM1 | 0.0001376 | 2726 | GTEx | DepMap | Descartes | 0.92 | 6.54 |
| SAMD3 | 0.0000020 | 3222 | GTEx | DepMap | Descartes | 0.01 | 0.21 |
| RCSD1 | -0.0000830 | 3586 | GTEx | DepMap | Descartes | 0.00 | 0.00 |
| PRKCH | -0.0001477 | 3870 | GTEx | DepMap | Descartes | 0.01 | 0.26 |
| IKZF1 | -0.0002069 | 4119 | GTEx | DepMap | Descartes | 0.00 | 0.00 |
| LEF1 | -0.0002943 | 4547 | GTEx | DepMap | Descartes | 0.05 | 0.51 |
| CCL5 | -0.0003184 | 4655 | GTEx | DepMap | Descartes | 0.00 | 0.00 |
| SKAP1 | -0.0003862 | 4944 | GTEx | DepMap | Descartes | 0.00 | 0.00 |
| BACH2 | -0.0004944 | 5321 | GTEx | DepMap | Descartes | 0.07 | 0.30 |
| DOCK10 | -0.0005276 | 5439 | GTEx | DepMap | Descartes | 0.08 | 0.57 |
| ARHGAP15 | -0.0005529 | 5540 | GTEx | DepMap | Descartes | 0.00 | 0.00 |
| WIPF1 | -0.0005708 | 5604 | GTEx | DepMap | Descartes | 0.48 | 4.40 |
| NCALD | -0.0005872 | 5663 | GTEx | DepMap | Descartes | 0.18 | 1.73 |
| FOXP1 | -0.0008730 | 6521 | GTEx | DepMap | Descartes | 1.23 | 6.18 |
| MBNL1 | -0.0009304 | 6668 | GTEx | DepMap | Descartes | 0.77 | 7.83 |
| TOX | -0.0012608 | 7523 | GTEx | DepMap | Descartes | 0.52 | 5.12 |
| LCP1 | -0.0012887 | 7595 | GTEx | DepMap | Descartes | 0.00 | 0.00 |
| ITPKB | -0.0014449 | 7923 | GTEx | DepMap | Descartes | 0.04 | 0.33 |
| PITPNC1 | -0.0017835 | 8537 | GTEx | DepMap | Descartes | 0.28 | 1.61 |
| STK39 | -0.0021508 | 9093 | GTEx | DepMap | Descartes | 0.55 | 7.42 |
Below shows the ranks on this GEP for immune marker gene lists curated by CellTypist (https://www.celltypist.org/encyclopedia).
High ranks indicate this gene is a driver of this GEP.
These curated gene list are ranked by P-value (on this GEP) of their constituent genes.
The Mean Count column shows the mean read count in cells scoring highly (H > 50) on this gene expression program.
| Genes | Weight | Rank | GTEx | DepMap | Decartes | Mean.Counts | Mean.TPM |
|---|---|---|---|---|---|---|---|
| NEAT1 | 0.0160377 | 1 | GTEx | DepMap | Descartes | 70.27 | 243.50 |
| SAT1 | 0.0025288 | 210 | GTEx | DepMap | Descartes | 0.91 | 44.41 |
| TYROBP | -0.0002361 | 4268 | GTEx | DepMap | Descartes | 0.00 | 0.00 |
T cells: Tem/Effector helper T cells (curated markers)
CD4+ helper T lymphocytes mainly localized in lymphoid and peripheral tissues and presenting an immediate:
Wilcoxon ranksum test P-value for gene set overrepresentation: 3.10e-02
Mean rank of genes in gene set: 2371
Rank on gene expression program of genes in gene set:
| Genes | Weight | Rank | GTEx | DepMap | Decartes | Mean.Counts | Mean.TPM |
|---|---|---|---|---|---|---|---|
| ITGB1 | 0.0023114 | 248 | GTEx | DepMap | Descartes | 10.77 | 166.62 |
| KLRB1 | 0.0000012 | 3227 | GTEx | DepMap | Descartes | 0.00 | 0.00 |
| AQP3 | -0.0000934 | 3638 | GTEx | DepMap | Descartes | 0.03 | 0.42 |
T cells: CD8a/a (model markers)
unconventional T lymphocytes with CD8 alpha/alpha homodimers binding MHC molecules:
Wilcoxon ranksum test P-value for gene set overrepresentation: 4.02e-02
Mean rank of genes in gene set: 3881.57
Rank on gene expression program of genes in gene set:
| Genes | Weight | Rank | GTEx | DepMap | Decartes | Mean.Counts | Mean.TPM |
|---|---|---|---|---|---|---|---|
| MALAT1 | 0.0081589 | 9 | GTEx | DepMap | Descartes | 363.11 | 3532.25 |
| NUCB2 | 0.0001014 | 2843 | GTEx | DepMap | Descartes | 1.15 | 21.00 |
| PRKCH | -0.0001477 | 3870 | GTEx | DepMap | Descartes | 0.01 | 0.26 |
| CD8A | -0.0002369 | 4273 | GTEx | DepMap | Descartes | 0.00 | 0.00 |
| LEF1 | -0.0002943 | 4547 | GTEx | DepMap | Descartes | 0.05 | 0.51 |
| CTSW | -0.0004754 | 5257 | GTEx | DepMap | Descartes | 0.00 | 0.00 |
| CD27 | -0.0008158 | 6372 | GTEx | DepMap | Descartes | 0.00 | 0.00 |