QQ-plot of gene loadings, averaged over both independent splits of the data
This plot highlights the relative contribution of each gene to the GEP
Top genes driving this program.
Note: Decartes website is buggy, try refreshing. Also, Decartes fetal adrenal data have been collected at specific time points (89-122 days), all possible cell types of interest may not be represented, do not overinterpret.
The Mean Count column shows the mean read count in cells scoring highly (H > 50) on this gene expression program.
| Gene | Loading | Gene.Name | GTEx | DepMap | Descartes | Mean.Counts | Mean.Tpm | |
|---|---|---|---|---|---|---|---|---|
| 1 | COL3A1 | 0.0091022 | collagen type III alpha 1 chain | GTEx | DepMap | Descartes | 22.70 | 2636.24 |
| 2 | COL1A2 | 0.0090765 | collagen type I alpha 2 chain | GTEx | DepMap | Descartes | 25.13 | 2704.87 |
| 3 | COL1A1 | 0.0089022 | collagen type I alpha 1 chain | GTEx | DepMap | Descartes | 26.11 | 2919.87 |
| 4 | SFRP4 | 0.0079158 | secreted frizzled related protein 4 | GTEx | DepMap | Descartes | 1.85 | 335.96 |
| 5 | LUM | 0.0079013 | lumican | GTEx | DepMap | Descartes | 3.34 | 760.33 |
| 6 | MGP | 0.0076330 | matrix Gla protein | GTEx | DepMap | Descartes | 9.18 | 3183.28 |
| 7 | SPARC | 0.0073831 | secreted protein acidic and cysteine rich | GTEx | DepMap | Descartes | 9.06 | 1554.29 |
| 8 | THBS2 | 0.0063489 | thrombospondin 2 | GTEx | DepMap | Descartes | 4.80 | 493.88 |
| 9 | SFRP2 | 0.0059625 | secreted frizzled related protein 2 | GTEx | DepMap | Descartes | 1.48 | 455.13 |
| 10 | DCN | 0.0057837 | decorin | GTEx | DepMap | Descartes | 3.84 | 333.99 |
| 11 | IGFBP5 | 0.0055329 | insulin like growth factor binding protein 5 | GTEx | DepMap | Descartes | 5.40 | 464.83 |
| 12 | POSTN | 0.0053938 | periostin | GTEx | DepMap | Descartes | 5.02 | 937.88 |
| 13 | TIMP1 | 0.0052738 | TIMP metallopeptidase inhibitor 1 | GTEx | DepMap | Descartes | 4.82 | 2591.36 |
| 14 | BGN | 0.0051920 | biglycan | GTEx | DepMap | Descartes | 2.39 | 648.30 |
| 15 | CCDC80 | 0.0051759 | coiled-coil domain containing 80 | GTEx | DepMap | Descartes | 2.32 | 114.52 |
| 16 | AEBP1 | 0.0049027 | AE binding protein 1 | GTEx | DepMap | Descartes | 2.41 | 382.98 |
| 17 | COL10A1 | 0.0048890 | collagen type X alpha 1 chain | GTEx | DepMap | Descartes | 0.60 | 97.47 |
| 18 | IGFBP7 | 0.0047647 | insulin like growth factor binding protein 7 | GTEx | DepMap | Descartes | 19.11 | 7926.95 |
| 19 | VCAN | 0.0047246 | versican | GTEx | DepMap | Descartes | 7.91 | 358.23 |
| 20 | CTHRC1 | 0.0045763 | collagen triple helix repeat containing 1 | GTEx | DepMap | Descartes | 0.99 | 462.15 |
| 21 | LOX | 0.0045611 | lysyl oxidase | GTEx | DepMap | Descartes | 0.39 | 45.05 |
| 22 | FBLN2 | 0.0044416 | fibulin 2 | GTEx | DepMap | Descartes | 0.80 | 113.59 |
| 23 | COL5A1 | 0.0044354 | collagen type V alpha 1 chain | GTEx | DepMap | Descartes | 4.10 | 307.10 |
| 24 | ITGBL1 | 0.0043320 | integrin subunit beta like 1 | GTEx | DepMap | Descartes | 2.82 | 330.12 |
| 25 | LAMP5 | 0.0043281 | lysosomal associated membrane protein family member 5 | GTEx | DepMap | Descartes | 0.32 | 99.22 |
| 26 | ISLR | 0.0042190 | immunoglobulin superfamily containing leucine rich repeat | GTEx | DepMap | Descartes | 0.48 | 125.10 |
| 27 | COMP | 0.0041548 | cartilage oligomeric matrix protein | GTEx | DepMap | Descartes | 0.27 | 63.35 |
| 28 | LTBP2 | 0.0040403 | latent transforming growth factor beta binding protein 2 | GTEx | DepMap | Descartes | 1.51 | 114.21 |
| 29 | PRSS23 | 0.0039537 | serine protease 23 | GTEx | DepMap | Descartes | 2.94 | 315.18 |
| 30 | COL6A3 | 0.0038533 | collagen type VI alpha 3 chain | GTEx | DepMap | Descartes | 6.38 | 385.35 |
| 31 | FNDC1 | 0.0037311 | fibronectin type III domain containing 1 | GTEx | DepMap | Descartes | 0.84 | 81.35 |
| 32 | C1R | 0.0036704 | complement C1r | GTEx | DepMap | Descartes | 1.10 | 194.74 |
| 33 | PRELP | 0.0034662 | proline and arginine rich end leucine rich repeat protein | GTEx | DepMap | Descartes | 0.48 | 51.27 |
| 34 | FBN1 | 0.0034442 | fibrillin 1 | GTEx | DepMap | Descartes | 3.67 | 183.67 |
| 35 | SULF1 | 0.0034207 | sulfatase 1 | GTEx | DepMap | Descartes | 9.02 | 933.45 |
| 36 | INHBA | 0.0033887 | inhibin subunit beta A | GTEx | DepMap | Descartes | 1.80 | 170.81 |
| 37 | FSTL1 | 0.0033109 | follistatin like 1 | GTEx | DepMap | Descartes | 2.43 | 245.20 |
| 38 | COL6A2 | 0.0032523 | collagen type VI alpha 2 chain | GTEx | DepMap | Descartes | 3.53 | 647.18 |
| 39 | TMEM119 | 0.0032448 | transmembrane protein 119 | GTEx | DepMap | Descartes | 0.28 | 61.50 |
| 40 | F2R | 0.0031486 | coagulation factor II thrombin receptor | GTEx | DepMap | Descartes | 1.07 | 164.79 |
| 41 | COL6A1 | 0.0030892 | collagen type VI alpha 1 chain | GTEx | DepMap | Descartes | 2.51 | 378.26 |
| 42 | IGFBP4 | 0.0030373 | insulin like growth factor binding protein 4 | GTEx | DepMap | Descartes | 2.09 | 536.09 |
| 43 | FAP | 0.0030129 | fibroblast activation protein alpha | GTEx | DepMap | Descartes | 2.08 | 439.00 |
| 44 | FN1 | 0.0029355 | fibronectin 1 | GTEx | DepMap | Descartes | 11.91 | 778.73 |
| 45 | COL14A1 | 0.0029033 | collagen type XIV alpha 1 chain | GTEx | DepMap | Descartes | 3.23 | 243.58 |
| 46 | LRRC32 | 0.0028550 | leucine rich repeat containing 32 | GTEx | DepMap | Descartes | 0.65 | 88.33 |
| 47 | CCN2 | 0.0028457 | cellular communication network factor 2 | GTEx | DepMap | Descartes | 3.80 | NA |
| 48 | FMO2 | 0.0027749 | flavin containing dimethylaniline monoxygenase 2 | GTEx | DepMap | Descartes | 0.74 | 77.44 |
| 49 | S100A11 | 0.0027685 | S100 calcium binding protein A11 | GTEx | DepMap | Descartes | 0.95 | 906.99 |
| 50 | CDH11 | 0.0027664 | cadherin 11 | GTEx | DepMap | Descartes | 4.77 | 393.24 |
UMAP plots showing activity of gene expression program identified in GEP 29. Cancer-Associated Fibroblasts:
Gene set Enrichments for this program, caculated from top 50 genes
mSigDB Cell Types Gene Set:
| P-value | OR | Lower 95% CI | FDR | FWER | Genes Found | Gene Set Size | |
|---|---|---|---|---|---|---|---|
| DESCARTES_FETAL_EYE_STROMAL_CELLS | 8.33e-45 | 284.52 | 148.94 | 2.80e-42 | 5.59e-42 | 24COL3A1, COL1A2, COL1A1, LUM, MGP, SPARC, THBS2, SFRP2, DCN, POSTN, CTHRC1, LOX, COL5A1, ITGBL1, ISLR, COL6A3, FNDC1, C1R, FBN1, INHBA, COL6A2, COL6A1, FN1, COL14A1 |
90 |
| DURANTE_ADULT_OLFACTORY_NEUROEPITHELIUM_FIBROBLASTS_STROMAL_CELLS | 6.86e-34 | 198.90 | 100.83 | 5.12e-32 | 4.61e-31 | 19COL3A1, COL1A2, COL1A1, LUM, MGP, SPARC, SFRP2, DCN, IGFBP5, POSTN, TIMP1, BGN, AEBP1, IGFBP7, ITGBL1, C1R, COL6A2, IGFBP4, CDH11 |
82 |
| DESCARTES_FETAL_THYMUS_STROMAL_CELLS | 3.51e-42 | 182.13 | 97.22 | 5.88e-40 | 2.35e-39 | 25COL3A1, COL1A2, COL1A1, LUM, MGP, SPARC, THBS2, SFRP2, DCN, IGFBP5, POSTN, TIMP1, BGN, CCDC80, VCAN, LOX, FBLN2, COL5A1, ISLR, FNDC1, C1R, FBN1, FSTL1, COL6A1, COL14A1 |
137 |
| CUI_DEVELOPING_HEART_C3_FIBROBLAST_LIKE_CELL | 3.40e-37 | 169.50 | 88.79 | 4.56e-35 | 2.28e-34 | 22COL1A2, COL1A1, LUM, MGP, SPARC, THBS2, DCN, TIMP1, IGFBP7, LOX, FBLN2, COL5A1, ISLR, COL6A3, FNDC1, C1R, FBN1, FSTL1, COL6A2, COL6A1, COL14A1, CCN2 |
117 |
| AIZARANI_LIVER_C21_STELLATE_CELLS_1 | 2.15e-42 | 144.03 | 77.74 | 4.82e-40 | 1.44e-39 | 27COL3A1, COL1A2, COL1A1, LUM, MGP, SPARC, THBS2, DCN, IGFBP5, TIMP1, BGN, CCDC80, AEBP1, IGFBP7, FBLN2, COL5A1, PRSS23, COL6A3, C1R, PRELP, FBN1, FSTL1, COL6A2, COL6A1, IGFBP4, COL14A1, CCN2 |
194 |
| CUI_DEVELOPING_HEART_COMPACT_VENTRICULAR_CARDIOMYOCYTE | 1.80e-24 | 155.30 | 73.20 | 7.09e-23 | 1.21e-21 | 14COL3A1, COL1A2, COL1A1, LUM, MGP, SPARC, DCN, POSTN, COL5A1, COL6A3, FBN1, COL6A2, COL6A1, FN1 |
65 |
| GAO_LARGE_INTESTINE_24W_C1_DCLK1POS_PROGENITOR | 5.41e-30 | 142.62 | 72.10 | 2.79e-28 | 3.63e-27 | 18COL3A1, COL1A2, COL1A1, LUM, MGP, SPARC, THBS2, SFRP2, DCN, CCDC80, VCAN, CTHRC1, LOX, COL5A1, ISLR, FNDC1, C1R, COL14A1 |
99 |
| CUI_DEVELOPING_HEART_SMOOTH_MUSCLE_CELL | 1.10e-19 | 155.67 | 66.81 | 3.88e-18 | 7.36e-17 | 11COL3A1, COL1A2, COL1A1, SPARC, SFRP2, BGN, CCDC80, LOX, C1R, IGFBP4, COL14A1 |
48 |
| MURARO_PANCREAS_MESENCHYMAL_STROMAL_CELL | 4.47e-49 | 113.54 | 56.86 | 3.00e-46 | 3.00e-46 | 39COL3A1, COL1A2, COL1A1, LUM, MGP, SPARC, THBS2, SFRP2, DCN, IGFBP5, POSTN, TIMP1, BGN, CCDC80, AEBP1, IGFBP7, VCAN, CTHRC1, LOX, COL5A1, LAMP5, ISLR, LTBP2, COL6A3, C1R, FBN1, SULF1, INHBA, FSTL1, COL6A2, F2R, COL6A1, IGFBP4, FAP, FN1, LRRC32, CCN2, S100A11, CDH11 |
680 |
| DESCARTES_FETAL_KIDNEY_STROMAL_CELLS | 9.20e-31 | 108.44 | 56.73 | 5.61e-29 | 6.17e-28 | 20COL3A1, COL1A2, COL1A1, LUM, MGP, SPARC, THBS2, SFRP2, DCN, POSTN, LOX, FBLN2, ISLR, LTBP2, FNDC1, C1R, PRELP, FBN1, SULF1, COL14A1 |
146 |
| DESCARTES_FETAL_ADRENAL_STROMAL_CELLS | 2.46e-30 | 102.73 | 53.77 | 1.38e-28 | 1.65e-27 | 20COL3A1, COL1A1, LUM, MGP, THBS2, SFRP2, DCN, POSTN, CCDC80, LOX, ITGBL1, ISLR, COL6A3, FNDC1, C1R, PRELP, SULF1, TMEM119, FAP, CDH11 |
153 |
| RUBENSTEIN_SKELETAL_MUSCLE_FAP_CELLS | 7.19e-31 | 94.10 | 49.77 | 4.82e-29 | 4.82e-28 | 21COL3A1, COL1A2, COL1A1, SFRP4, LUM, MGP, DCN, TIMP1, CCDC80, IGFBP7, VCAN, FBLN2, ISLR, COL6A3, C1R, FSTL1, COL6A2, COL6A1, FN1, FMO2, S100A11 |
179 |
| DESCARTES_MAIN_FETAL_STROMAL_CELLS | 1.03e-09 | 152.05 | 41.27 | 2.04e-08 | 6.93e-07 | 5COL1A2, COL1A1, THBS2, COL5A1, ITGBL1 |
20 |
| HU_FETAL_RETINA_FIBROBLAST | 5.60e-36 | 73.16 | 39.95 | 5.37e-34 | 3.76e-33 | 28COL3A1, COL1A2, COL1A1, LUM, SPARC, DCN, IGFBP5, TIMP1, BGN, CCDC80, AEBP1, IGFBP7, VCAN, COL5A1, PRSS23, COL6A3, C1R, FBN1, SULF1, FSTL1, COL6A2, TMEM119, F2R, IGFBP4, FN1, CCN2, S100A11, CDH11 |
385 |
| MENON_FETAL_KIDNEY_3_STROMAL_CELLS | 5.46e-17 | 82.56 | 36.62 | 1.83e-15 | 3.67e-14 | 11COL3A1, COL1A2, COL1A1, SPARC, IGFBP5, POSTN, VCAN, COL6A3, FSTL1, FN1, CDH11 |
81 |
| TRAVAGLINI_LUNG_MYOFIBROBLAST_CELL | 3.86e-14 | 80.27 | 32.75 | 1.08e-12 | 2.59e-11 | 9COL3A1, COL1A1, POSTN, VCAN, CTHRC1, COMP, LTBP2, PRELP, CCN2 |
65 |
| GAO_LARGE_INTESTINE_ADULT_CJ_IMMUNE_CELLS | 1.89e-34 | 59.50 | 32.57 | 1.58e-32 | 1.27e-31 | 29COL3A1, COL1A2, COL1A1, LUM, MGP, SPARC, DCN, IGFBP5, POSTN, BGN, CCDC80, AEBP1, IGFBP7, VCAN, LOX, COL5A1, ISLR, LTBP2, COL6A3, C1R, FBN1, SULF1, FSTL1, COL6A2, TMEM119, COL6A1, COL14A1, LRRC32, CDH11 |
505 |
| DESCARTES_FETAL_HEART_STROMAL_CELLS | 1.90e-10 | 99.95 | 32.15 | 3.87e-09 | 1.28e-07 | 6COL1A2, COL1A1, LUM, DCN, ISLR, PRELP |
34 |
| FAN_OVARY_CL6_PUTATIVE_EARLY_ATRETIC_FOLLICLE_THECAL_CELL_2 | 8.21e-28 | 58.01 | 31.23 | 3.93e-26 | 5.51e-25 | 22COL3A1, COL1A2, COL1A1, SFRP4, LUM, MGP, SPARC, DCN, IGFBP5, TIMP1, BGN, CCDC80, AEBP1, COL6A3, C1R, PRELP, FSTL1, COL6A2, COL6A1, IGFBP4, FN1, CDH11 |
300 |
| DESCARTES_FETAL_MUSCLE_STROMAL_CELLS | 4.86e-16 | 66.47 | 29.69 | 1.55e-14 | 3.26e-13 | 11COL3A1, COL1A2, COL1A1, LUM, MGP, DCN, POSTN, ISLR, FNDC1, C1R, TMEM119 |
98 |
Dowload full table
mSigDB Hallmark Gene Sets:
| P-value | OR | Lower 95% CI | FDR | FWER | Genes Found | Gene Set Size | |
|---|---|---|---|---|---|---|---|
| HALLMARK_EPITHELIAL_MESENCHYMAL_TRANSITION | 3.54e-44 | 151.48 | 81.77 | 1.77e-42 | 1.77e-42 | 28COL3A1, COL1A2, COL1A1, SFRP4, LUM, MGP, SPARC, THBS2, DCN, POSTN, TIMP1, BGN, VCAN, CTHRC1, LOX, FBLN2, COL5A1, COMP, COL6A3, FBN1, INHBA, FSTL1, COL6A2, IGFBP4, FAP, FN1, CCN2, CDH11 |
200 |
| HALLMARK_ANGIOGENESIS | 2.74e-10 | 93.13 | 30.16 | 6.86e-09 | 1.37e-08 | 6COL3A1, LUM, POSTN, TIMP1, VCAN, FSTL1 |
36 |
| HALLMARK_COAGULATION | 3.92e-08 | 25.49 | 9.50 | 6.53e-07 | 1.96e-06 | 7SPARC, TIMP1, COMP, PRSS23, C1R, FBN1, FN1 |
138 |
| HALLMARK_MYOGENESIS | 4.84e-07 | 17.32 | 6.49 | 6.05e-06 | 2.42e-05 | 7COL3A1, COL1A1, SPARC, AEBP1, IGFBP7, COL6A3, COL6A2 |
200 |
| HALLMARK_APOPTOSIS | 4.23e-05 | 14.62 | 4.47 | 4.23e-04 | 2.11e-03 | 5LUM, DCN, TIMP1, BGN, F2R |
161 |
| HALLMARK_HYPOXIA | 1.17e-04 | 11.70 | 3.59 | 9.74e-04 | 5.85e-03 | 5DCN, BGN, LOX, COL5A1, CCN2 |
200 |
| HALLMARK_UV_RESPONSE_DN | 4.01e-04 | 12.75 | 3.29 | 2.87e-03 | 2.01e-02 | 4COL3A1, COL1A2, COL1A1, IGFBP5 |
144 |
| HALLMARK_APICAL_JUNCTION | 1.23e-02 | 6.65 | 1.31 | 5.61e-02 | 6.17e-01 | 3VCAN, FBN1, CDH11 |
200 |
| HALLMARK_COMPLEMENT | 1.23e-02 | 6.65 | 1.31 | 5.61e-02 | 6.17e-01 | 3TIMP1, C1R, FN1 |
200 |
| HALLMARK_GLYCOLYSIS | 1.23e-02 | 6.65 | 1.31 | 5.61e-02 | 6.17e-01 | 3DCN, VCAN, COL5A1 |
200 |
| HALLMARK_ALLOGRAFT_REJECTION | 1.23e-02 | 6.65 | 1.31 | 5.61e-02 | 6.17e-01 | 3TIMP1, INHBA, F2R |
200 |
| HALLMARK_ESTROGEN_RESPONSE_EARLY | 8.36e-02 | 4.32 | 0.51 | 2.79e-01 | 1.00e+00 | 2PRSS23, IGFBP4 |
200 |
| HALLMARK_ESTROGEN_RESPONSE_LATE | 8.36e-02 | 4.32 | 0.51 | 2.79e-01 | 1.00e+00 | 2PRSS23, IGFBP4 |
200 |
| HALLMARK_INFLAMMATORY_RESPONSE | 8.36e-02 | 4.32 | 0.51 | 2.79e-01 | 1.00e+00 | 2TIMP1, INHBA |
200 |
| HALLMARK_KRAS_SIGNALING_UP | 8.36e-02 | 4.32 | 0.51 | 2.79e-01 | 1.00e+00 | 2ITGBL1, INHBA |
200 |
| HALLMARK_TGF_BETA_SIGNALING | 1.23e-01 | 7.91 | 0.19 | 3.84e-01 | 1.00e+00 | 1LTBP2 |
54 |
| HALLMARK_CHOLESTEROL_HOMEOSTASIS | 1.64e-01 | 5.74 | 0.14 | 4.84e-01 | 1.00e+00 | 1S100A11 |
74 |
| HALLMARK_IL2_STAT5_SIGNALING | 3.82e-01 | 2.12 | 0.05 | 8.34e-01 | 1.00e+00 | 1COL6A1 |
199 |
| HALLMARK_TNFA_SIGNALING_VIA_NFKB | 3.84e-01 | 2.11 | 0.05 | 8.34e-01 | 1.00e+00 | 1INHBA |
200 |
| HALLMARK_INTERFERON_GAMMA_RESPONSE | 3.84e-01 | 2.11 | 0.05 | 8.34e-01 | 1.00e+00 | 1C1R |
200 |
Dowload full table
KEGG Pathways:
| P-value | OR | Lower 95% CI | FDR | FWER | Genes Found | Gene Set Size | |
|---|---|---|---|---|---|---|---|
| KEGG_ECM_RECEPTOR_INTERACTION | 6.36e-15 | 69.25 | 29.74 | 1.18e-12 | 1.18e-12 | 10COL3A1, COL1A2, COL1A1, THBS2, COL5A1, COMP, COL6A3, COL6A2, COL6A1, FN1 |
84 |
| KEGG_FOCAL_ADHESION | 3.80e-11 | 27.14 | 11.93 | 3.53e-09 | 7.07e-09 | 10COL3A1, COL1A2, COL1A1, THBS2, COL5A1, COMP, COL6A3, COL6A2, COL6A1, FN1 |
199 |
| KEGG_TGF_BETA_SIGNALING_PATHWAY | 5.56e-05 | 21.76 | 5.56 | 3.44e-03 | 1.03e-02 | 4THBS2, DCN, COMP, INHBA |
86 |
| KEGG_COMPLEMENT_AND_COAGULATION_CASCADES | 1.22e-02 | 12.76 | 1.47 | 5.65e-01 | 1.00e+00 | 2C1R, F2R |
69 |
| KEGG_WNT_SIGNALING_PATHWAY | 5.14e-02 | 5.74 | 0.67 | 1.00e+00 | 1.00e+00 | 2SFRP4, SFRP2 |
151 |
| KEGG_REGULATION_OF_ACTIN_CYTOSKELETON | 9.29e-02 | 4.06 | 0.47 | 1.00e+00 | 1.00e+00 | 2F2R, FN1 |
213 |
| KEGG_DRUG_METABOLISM_CYTOCHROME_P450 | 1.60e-01 | 5.90 | 0.14 | 1.00e+00 | 1.00e+00 | 1FMO2 |
72 |
| KEGG_SMALL_CELL_LUNG_CANCER | 1.84e-01 | 5.05 | 0.12 | 1.00e+00 | 1.00e+00 | 1FN1 |
84 |
| KEGG_CELL_ADHESION_MOLECULES_CAMS | 2.76e-01 | 3.17 | 0.08 | 1.00e+00 | 1.00e+00 | 1VCAN |
133 |
| KEGG_SYSTEMIC_LUPUS_ERYTHEMATOSUS | 2.86e-01 | 3.04 | 0.07 | 1.00e+00 | 1.00e+00 | 1C1R |
139 |
| KEGG_CALCIUM_SIGNALING_PATHWAY | 3.50e-01 | 2.37 | 0.06 | 1.00e+00 | 1.00e+00 | 1F2R |
178 |
| KEGG_ENDOCYTOSIS | 3.55e-01 | 2.33 | 0.06 | 1.00e+00 | 1.00e+00 | 1F2R |
181 |
| KEGG_CYTOKINE_CYTOKINE_RECEPTOR_INTERACTION | 4.73e-01 | 1.59 | 0.04 | 1.00e+00 | 1.00e+00 | 1INHBA |
265 |
| KEGG_NEUROACTIVE_LIGAND_RECEPTOR_INTERACTION | 4.82e-01 | 1.55 | 0.04 | 1.00e+00 | 1.00e+00 | 1F2R |
272 |
| KEGG_PATHWAYS_IN_CANCER | 5.43e-01 | 1.29 | 0.03 | 1.00e+00 | 1.00e+00 | 1FN1 |
325 |
| KEGG_N_GLYCAN_BIOSYNTHESIS | 1.00e+00 | 0.00 | 0.00 | 1.00e+00 | 1.00e+00 | 0 |
46 |
| KEGG_OTHER_GLYCAN_DEGRADATION | 1.00e+00 | 0.00 | 0.00 | 1.00e+00 | 1.00e+00 | 0 |
16 |
| KEGG_O_GLYCAN_BIOSYNTHESIS | 1.00e+00 | 0.00 | 0.00 | 1.00e+00 | 1.00e+00 | 0 |
30 |
| KEGG_GLYCOSAMINOGLYCAN_DEGRADATION | 1.00e+00 | 0.00 | 0.00 | 1.00e+00 | 1.00e+00 | 0 |
21 |
| KEGG_GLYCOSAMINOGLYCAN_BIOSYNTHESIS_KERATAN_SULFATE | 1.00e+00 | 0.00 | 0.00 | 1.00e+00 | 1.00e+00 | 0 |
15 |
Dowload full table
CHR Positional Gene Sets:
| P-value | OR | Lower 95% CI | FDR | FWER | Genes Found | Gene Set Size | |
|---|---|---|---|---|---|---|---|
| chr2q35 | 3.72e-02 | 6.90 | 0.80 | 1.00e+00 | 1.00e+00 | 2IGFBP5, FN1 |
126 |
| chr12q21 | 3.83e-02 | 6.79 | 0.79 | 1.00e+00 | 1.00e+00 | 2LUM, DCN |
128 |
| chr7p14 | 5.88e-02 | 5.31 | 0.62 | 1.00e+00 | 1.00e+00 | 2SFRP4, INHBA |
163 |
| chr3q13 | 7.46e-02 | 4.62 | 0.54 | 1.00e+00 | 1.00e+00 | 2CCDC80, FSTL1 |
187 |
| chr21q22 | 2.06e-01 | 2.44 | 0.29 | 1.00e+00 | 1.00e+00 | 2COL6A2, COL6A1 |
353 |
| chr17q21 | 2.96e-01 | 1.88 | 0.22 | 1.00e+00 | 1.00e+00 | 2COL1A1, IGFBP4 |
457 |
| chr7p13 | 1.14e-01 | 8.55 | 0.21 | 1.00e+00 | 1.00e+00 | 1AEBP1 |
50 |
| chr13q33 | 1.25e-01 | 7.76 | 0.19 | 1.00e+00 | 1.00e+00 | 1ITGBL1 |
55 |
| chr8q13 | 1.58e-01 | 5.99 | 0.15 | 1.00e+00 | 1.00e+00 | 1SULF1 |
71 |
| chr16q21 | 1.64e-01 | 5.74 | 0.14 | 1.00e+00 | 1.00e+00 | 1CDH11 |
74 |
| chr6q27 | 1.66e-01 | 5.66 | 0.14 | 1.00e+00 | 1.00e+00 | 1THBS2 |
75 |
| chr13q13 | 1.72e-01 | 5.44 | 0.13 | 1.00e+00 | 1.00e+00 | 1POSTN |
78 |
| chr4q12 | 1.74e-01 | 5.37 | 0.13 | 1.00e+00 | 1.00e+00 | 1IGFBP7 |
79 |
| chr20p12 | 2.23e-01 | 4.07 | 0.10 | 1.00e+00 | 1.00e+00 | 1LAMP5 |
104 |
| chr6q23 | 2.27e-01 | 3.99 | 0.10 | 1.00e+00 | 1.00e+00 | 1CCN2 |
106 |
| chr12p12 | 2.29e-01 | 3.95 | 0.10 | 1.00e+00 | 1.00e+00 | 1MGP |
107 |
| chr2q32 | 2.30e-01 | 3.92 | 0.10 | 1.00e+00 | 1.00e+00 | 1COL3A1 |
108 |
| chr5q33 | 2.32e-01 | 3.88 | 0.10 | 1.00e+00 | 1.00e+00 | 1SPARC |
109 |
| chr5q23 | 2.36e-01 | 3.81 | 0.09 | 1.00e+00 | 1.00e+00 | 1LOX |
111 |
| chr15q24 | 2.45e-01 | 3.64 | 0.09 | 1.00e+00 | 1.00e+00 | 1ISLR |
116 |
Dowload full table
Transcription Factor Targets:
| P-value | OR | Lower 95% CI | FDR | FWER | Genes Found | Gene Set Size | |
|---|---|---|---|---|---|---|---|
| MZF1_01 | 2.29e-05 | 11.97 | 4.13 | 8.64e-03 | 2.59e-02 | 6DCN, IGFBP5, PRELP, SULF1, TMEM119, CCN2 |
240 |
| AAANWWTGC_UNKNOWN | 1.04e-04 | 12.01 | 3.68 | 2.94e-02 | 1.18e-01 | 5THBS2, SFRP2, LOX, INHBA, FN1 |
195 |
| TGGAAA_NFAT_Q4_01 | 7.42e-08 | 6.03 | 3.18 | 8.41e-05 | 8.41e-05 | 18COL1A2, SFRP4, MGP, DCN, IGFBP5, CCDC80, IGFBP7, VCAN, CTHRC1, LOX, LTBP2, PRELP, SULF1, INHBA, FSTL1, FAP, FN1, CCN2 |
1934 |
| TATAAA_TATA_01 | 5.55e-06 | 5.53 | 2.69 | 3.14e-03 | 6.29e-03 | 13COL1A2, COL1A1, MGP, THBS2, POSTN, COL10A1, CTHRC1, LAMP5, SULF1, INHBA, IGFBP4, FN1, CCN2 |
1317 |
| TGGNNNNNNKCCAR_UNKNOWN | 5.65e-04 | 6.51 | 2.26 | 1.07e-01 | 6.40e-01 | 6SFRP2, IGFBP5, CTHRC1, LOX, COL6A3, FAP |
436 |
| AGCYRWTTC_UNKNOWN | 3.12e-03 | 11.11 | 2.18 | 4.32e-01 | 1.00e+00 | 3LAMP5, FSTL1, FAP |
121 |
| AP3_Q6 | 3.07e-03 | 7.23 | 1.88 | 4.32e-01 | 1.00e+00 | 4SPARC, SULF1, FSTL1, FN1 |
251 |
| AACTTT_UNKNOWN | 2.22e-04 | 3.77 | 1.84 | 5.04e-02 | 2.52e-01 | 13COL3A1, COL1A2, LUM, SPARC, DCN, POSTN, CCDC80, VCAN, LOX, ITGBL1, LAMP5, INHBA, CDH11 |
1928 |
| POU3F2_02 | 3.71e-03 | 6.84 | 1.78 | 4.32e-01 | 1.00e+00 | 4SFRP2, DCN, CCDC80, LOX |
265 |
| CEBPB_01 | 3.81e-03 | 6.79 | 1.76 | 4.32e-01 | 1.00e+00 | 4DCN, IGFBP5, SULF1, FAP |
267 |
| MSX1_01 | 8.63e-03 | 7.62 | 1.50 | 5.86e-01 | 1.00e+00 | 3POSTN, COL6A3, INHBA |
175 |
| PIAS4_TARGET_GENES | 1.53e-02 | 11.25 | 1.30 | 5.86e-01 | 1.00e+00 | 2VCAN, COL6A1 |
78 |
| CTTTGA_LEF1_Q2 | 6.99e-03 | 3.16 | 1.28 | 5.86e-01 | 1.00e+00 | 8SFRP2, DCN, BGN, CTHRC1, COL5A1, LAMP5, SULF1, INHBA |
1247 |
| CEBP_C | 1.35e-02 | 6.42 | 1.27 | 5.86e-01 | 1.00e+00 | 3DCN, FSTL1, CCN2 |
207 |
| FOX_Q2 | 1.46e-02 | 6.24 | 1.23 | 5.86e-01 | 1.00e+00 | 3CTHRC1, ITGBL1, FSTL1 |
213 |
| GGGTGGRR_PAX4_03 | 9.14e-03 | 3.01 | 1.22 | 5.86e-01 | 1.00e+00 | 8COL1A1, SPARC, DCN, IGFBP5, VCAN, COL6A3, PRELP, TMEM119 |
1310 |
| WGGAATGY_TEF1_Q6 | 1.35e-02 | 4.66 | 1.21 | 5.86e-01 | 1.00e+00 | 4SPARC, INHBA, FSTL1, CCN2 |
387 |
| TAATTA_CHX10_01 | 1.19e-02 | 3.43 | 1.19 | 5.86e-01 | 1.00e+00 | 6COL1A1, DCN, COL10A1, ITGBL1, SULF1, FAP |
823 |
| TGTYNNNNNRGCARM_UNKNOWN | 1.92e-02 | 9.95 | 1.15 | 5.86e-01 | 1.00e+00 | 2MGP, SPARC |
88 |
| RYTTCCTG_ETS2_B | 1.33e-02 | 3.03 | 1.15 | 5.86e-01 | 1.00e+00 | 7SPARC, THBS2, TIMP1, CCDC80, COL6A3, FSTL1, IGFBP4 |
1112 |
Dowload full table
GO Biological Processes:
| P-value | OR | Lower 95% CI | FDR | FWER | Genes Found | Gene Set Size | |
|---|---|---|---|---|---|---|---|
| GOBP_COLLAGEN_FIBRIL_ORGANIZATION | 5.90e-17 | 116.32 | 48.81 | 1.47e-13 | 4.41e-13 | 10COL3A1, COL1A2, COL1A1, LUM, SFRP2, AEBP1, LOX, COL5A1, COMP, COL14A1 |
54 |
| GOBP_EXTERNAL_ENCAPSULATING_STRUCTURE_ORGANIZATION | 8.39e-34 | 65.32 | 35.72 | 6.28e-30 | 6.28e-30 | 27COL3A1, COL1A2, COL1A1, LUM, SPARC, SFRP2, DCN, POSTN, TIMP1, BGN, CCDC80, AEBP1, COL10A1, VCAN, LOX, FBLN2, COL5A1, COMP, COL6A3, FBN1, SULF1, COL6A2, COL6A1, FAP, FN1, COL14A1, CCN2 |
396 |
| GOBP_DERMATAN_SULFATE_METABOLIC_PROCESS | 3.78e-06 | 130.51 | 22.38 | 6.56e-04 | 2.83e-02 | 3DCN, BGN, VCAN |
13 |
| GOBP_CHONDROITIN_SULFATE_CATABOLIC_PROCESS | 4.81e-06 | 118.70 | 20.61 | 7.87e-04 | 3.60e-02 | 3DCN, BGN, VCAN |
14 |
| GOBP_PEPTIDE_CROSS_LINKING_VIA_CHONDROITIN_4_SULFATE_GLYCOSAMINOGLYCAN | 8.61e-05 | 211.61 | 18.81 | 8.59e-03 | 6.44e-01 | 2DCN, BGN |
6 |
| GOBP_NEGATIVE_REGULATION_OF_NON_CANONICAL_WNT_SIGNALING_PATHWAY | 8.61e-05 | 211.61 | 18.81 | 8.59e-03 | 6.44e-01 | 2SFRP4, SFRP2 |
6 |
| GOBP_DERMATAN_SULFATE_PROTEOGLYCAN_METABOLIC_PROCESS | 7.37e-06 | 100.75 | 17.79 | 1.03e-03 | 5.51e-02 | 3DCN, BGN, VCAN |
16 |
| GOBP_TENDON_DEVELOPMENT | 1.20e-04 | 169.99 | 15.84 | 1.11e-02 | 9.01e-01 | 2COL5A1, COMP |
7 |
| GOBP_REGULATION_OF_BONE_DEVELOPMENT | 1.20e-04 | 169.99 | 15.84 | 1.11e-02 | 9.01e-01 | 2LOX, TMEM119 |
7 |
| GOBP_SKELETAL_SYSTEM_DEVELOPMENT | 8.40e-19 | 27.02 | 14.31 | 3.14e-15 | 6.29e-15 | 19COL3A1, COL1A2, COL1A1, SFRP4, LUM, MGP, SFRP2, TIMP1, BGN, COL10A1, VCAN, LOX, COMP, PRELP, FBN1, SULF1, TMEM119, CCN2, CDH11 |
485 |
| GOBP_PEPTIDE_CROSS_LINKING | 1.51e-06 | 57.50 | 14.18 | 3.54e-04 | 1.13e-02 | 4COL3A1, DCN, BGN, FN1 |
35 |
| GOBP_WOUND_HEALING_INVOLVED_IN_INFLAMMATORY_RESPONSE | 1.60e-04 | 141.92 | 13.68 | 1.38e-02 | 1.00e+00 | 2TIMP1, F2R |
8 |
| GOBP_SULFUR_COMPOUND_CATABOLIC_PROCESS | 2.36e-07 | 44.66 | 13.30 | 6.78e-05 | 1.77e-03 | 5LUM, DCN, BGN, VCAN, PRELP |
56 |
| GOBP_CONNECTIVE_TISSUE_DEVELOPMENT | 1.04e-11 | 25.05 | 11.43 | 1.11e-08 | 7.78e-08 | 11COL1A1, LUM, MGP, SFRP2, TIMP1, BGN, LOX, COL5A1, COMP, SULF1, CCN2 |
242 |
| GOBP_ENDODERMAL_CELL_DIFFERENTIATION | 3.86e-06 | 44.56 | 11.13 | 6.56e-04 | 2.89e-02 | 4COL5A1, INHBA, COL6A1, FN1 |
44 |
| GOBP_CHONDROITIN_SULFATE_BIOSYNTHETIC_PROCESS | 2.98e-05 | 59.46 | 11.02 | 3.53e-03 | 2.23e-01 | 3DCN, BGN, VCAN |
25 |
| GOBP_AMINOGLYCAN_CATABOLIC_PROCESS | 6.29e-07 | 36.16 | 10.85 | 1.68e-04 | 4.71e-03 | 5LUM, DCN, BGN, VCAN, PRELP |
68 |
| GOBP_CARTILAGE_DEVELOPMENT | 5.06e-10 | 25.74 | 10.83 | 2.70e-07 | 3.79e-06 | 9COL1A1, LUM, MGP, SFRP2, TIMP1, BGN, COMP, SULF1, CCN2 |
184 |
| GOBP_BONE_DEVELOPMENT | 7.36e-10 | 24.62 | 10.37 | 3.67e-07 | 5.50e-06 | 9COL1A1, SFRP4, SFRP2, BGN, LOX, COMP, FBN1, SULF1, TMEM119 |
192 |
| GOBP_OSSIFICATION | 3.24e-13 | 20.75 | 10.25 | 4.85e-10 | 2.42e-09 | 14COL1A2, COL1A1, MGP, SPARC, SFRP2, IGFBP5, VCAN, CTHRC1, LOX, COMP, TMEM119, COL6A1, CCN2, CDH11 |
399 |
Dowload full table
Immunological Gene Sets:
| P-value | OR | Lower 95% CI | FDR | FWER | Genes Found | Gene Set Size | |
|---|---|---|---|---|---|---|---|
| GSE37605_FOXP3_FUSION_GFP_VS_IRES_GFP_TREG_C57BL6_DN | 9.01e-09 | 23.27 | 9.29 | 2.36e-05 | 4.39e-05 | 8MGP, SPARC, CCDC80, LOX, TMEM119, F2R, LRRC32, FMO2 |
176 |
| GSE2405_0H_VS_1.5H_A_PHAGOCYTOPHILUM_STIM_NEUTROPHIL_UP | 2.42e-08 | 20.36 | 8.15 | 2.36e-05 | 1.18e-04 | 8COL3A1, COL1A2, SFRP4, MGP, CCDC80, C1R, PRELP, S100A11 |
200 |
| GSE4748_CTRL_VS_LPS_STIM_DC_3H_UP | 2.42e-08 | 20.36 | 8.15 | 2.36e-05 | 1.18e-04 | 8COL3A1, POSTN, PRSS23, FBN1, INHBA, FSTL1, CCN2, CDH11 |
200 |
| GSE28737_BCL6_HET_VS_BCL6_KO_FOLLICULAR_BCELL_DN | 2.42e-08 | 20.36 | 8.15 | 2.36e-05 | 1.18e-04 | 8COL1A2, COL1A1, SPARC, BGN, LOX, FBLN2, COL6A3, FSTL1 |
200 |
| GSE43955_1H_VS_10H_ACT_CD4_TCELL_WITH_TGFB_IL6_DN | 2.42e-08 | 20.36 | 8.15 | 2.36e-05 | 1.18e-04 | 8COL1A2, DCN, BGN, FBLN2, LTBP2, FN1, CCN2, S100A11 |
200 |
| GSE26488_WT_VS_HDAC7_DELTAP_TG_OT2_THYMOCYTE_WITH_PEPTIDE_INJECTION_DN | 4.68e-07 | 17.41 | 6.52 | 2.36e-04 | 2.28e-03 | 7POSTN, BGN, FBLN2, PRSS23, FSTL1, COL6A2, CCN2 |
199 |
| GSE2405_0H_VS_3H_A_PHAGOCYTOPHILUM_STIM_NEUTROPHIL_UP | 4.84e-07 | 17.32 | 6.49 | 2.36e-04 | 2.36e-03 | 7COL1A2, TIMP1, BGN, IGFBP7, LTBP2, COL6A3, S100A11 |
200 |
| GSE8835_HEALTHY_VS_CLL_CD8_TCELL_DN | 4.84e-07 | 17.32 | 6.49 | 2.36e-04 | 2.36e-03 | 7COL3A1, COL1A2, COL1A1, LUM, DCN, COL5A1, TMEM119 |
200 |
| GSE2585_CTEC_VS_THYMIC_MACROPHAGE_UP | 4.84e-07 | 17.32 | 6.49 | 2.36e-04 | 2.36e-03 | 7COL1A1, DCN, IGFBP7, PRSS23, FSTL1, TMEM119, COL14A1 |
200 |
| GSE43955_10H_VS_60H_ACT_CD4_TCELL_WITH_TGFB_IL6_DN | 4.84e-07 | 17.32 | 6.49 | 2.36e-04 | 2.36e-03 | 7COL1A2, COL1A1, MGP, THBS2, AEBP1, INHBA, S100A11 |
200 |
| GSE22025_TGFB1_VS_TGFB1_AND_PROGESTERONE_TREATED_CD4_TCELL_UP | 7.77e-06 | 14.58 | 5.02 | 2.50e-03 | 3.78e-02 | 6THBS2, VCAN, COL6A3, COL6A1, IGFBP4, FN1 |
198 |
| GSE8921_UNSTIM_0H_VS_TLR1_2_STIM_MONOCYTE_24H_UP | 7.99e-06 | 14.51 | 4.99 | 2.50e-03 | 3.89e-02 | 6COL1A1, SPARC, THBS2, CTHRC1, FSTL1, COL14A1 |
199 |
| GSE3039_CD4_TCELL_VS_B2_BCELL_UP | 8.22e-06 | 14.43 | 4.97 | 2.50e-03 | 4.01e-02 | 6BGN, FSTL1, IGFBP4, FN1, S100A11, CDH11 |
200 |
| GSE19888_ADENOSINE_A3R_ACT_VS_TCELL_MEMBRANES_ACT_IN_MAST_CELL_UP | 8.22e-06 | 14.43 | 4.97 | 2.50e-03 | 4.01e-02 | 6COL3A1, LUM, DCN, TIMP1, C1R, COL6A1 |
200 |
| GSE37301_RAG2_KO_VS_RAG2_AND_ETS1_KO_NK_CELL_UP | 8.22e-06 | 14.43 | 4.97 | 2.50e-03 | 4.01e-02 | 6COL1A1, CCDC80, FBN1, COL6A2, COL6A1, COL14A1 |
200 |
| GSE43955_1H_VS_20H_ACT_CD4_TCELL_WITH_TGFB_IL6_DN | 8.22e-06 | 14.43 | 4.97 | 2.50e-03 | 4.01e-02 | 6COL1A2, MGP, DCN, AEBP1, COL10A1, FBN1 |
200 |
| GSE24671_CTRL_VS_BAKIMULC_INFECTED_MOUSE_SPLENOCYTES_DN | 5.46e-05 | 13.83 | 4.23 | 1.57e-02 | 2.66e-01 | 5COL1A1, DCN, IGFBP5, FBLN2, FSTL1 |
170 |
| GSE22025_TGFB1_VS_TGFB1_AND_PROGESTERONE_TREATED_CD4_TCELL_DN | 1.14e-04 | 11.76 | 3.60 | 2.48e-02 | 5.57e-01 | 5SPARC, THBS2, COL6A3, COL6A1, IGFBP4 |
199 |
| GSE17721_0.5H_VS_24H_CPG_BMDC_DN | 1.17e-04 | 11.70 | 3.59 | 2.48e-02 | 5.70e-01 | 5LOX, COL5A1, FSTL1, TMEM119, IGFBP4 |
200 |
| GSE2405_0H_VS_24H_A_PHAGOCYTOPHILUM_STIM_NEUTROPHIL_DN | 1.17e-04 | 11.70 | 3.59 | 2.48e-02 | 5.70e-01 | 5SPARC, AEBP1, LTBP2, SULF1, COL6A1 |
200 |
Top Ranked Transcription Factors for this Gene Expression Program:
| Gene Symbol | Gene Loading Rank | DNA Binding Domain | Motif Status | IUPAC PWM | GTEx | DepMap | Decartes |
|---|---|---|---|---|---|---|---|
| SFRP4 | 4 | No | Unlikely to be sequence specific TF | Not a DNA binding protein | No motif | None | None |
| AEBP1 | 16 | Yes | Likely to be sequence specific TF | Monomer or homomultimer | No motif | None | This is a protease, but its ability to bind DNA is supported by both gel-shift (PMID: 15654748) and ChIP (PMID: 22723309). |
| FBN1 | 34 | No | Unlikely to be sequence specific TF | Not a DNA binding protein | No motif | None | None |
| GAS6 | 52 | No | Unlikely to be sequence specific TF | Not a DNA binding protein | No motif | None | None |
| ID3 | 62 | No | Unlikely to be sequence specific TF | Not a DNA binding protein | No motif | None | ID bHLH proteins lack the basic region and should not be able to bind DNA. The HT-SELEX motif for ID4 is likely by a co-precipitated protein or it is a contamination |
| NR2F2 | 64 | Yes | Known motif | Monomer or homomultimer | 100 perc ID - in vitro | None | None |
| PTGIS | 76 | No | Unlikely to be sequence specific TF | Not a DNA binding protein | No motif | None | It is a cytochrome p450 enzyme |
| PRRX1 | 92 | Yes | Known motif | Monomer or homomultimer | High-throughput in vitro | None | None |
| CYP1B1 | 108 | No | Unlikely to be sequence specific TF | Not a DNA binding protein | No motif | None | None |
| FZD4 | 111 | No | Unlikely to be sequence specific TF | Not a DNA binding protein | No motif | None | None |
| SIX1 | 118 | Yes | Known motif | Monomer or homomultimer | High-throughput in vitro | None | None |
| TNFSF18 | 123 | No | Unlikely to be sequence specific TF | Not a DNA binding protein | No motif | None | Protein is a cytokine |
| MN1 | 124 | No | Unlikely to be sequence specific TF | Not a DNA binding protein | No motif | None | Evidence for DNA binding not strong in (PMID: 12569362) |
| FHL2 | 147 | No | Unlikely to be sequence specific TF | Not a DNA binding protein | No motif | None | LIM ZF proteins are unlikely to bind DNA. Experimental evidence does not support a role for FHL2 as a sequence-specific DNA-binding protein (PMID:10654935) |
| ID4 | 155 | No | Unlikely to be sequence specific TF | Not a DNA binding protein | No motif | None | ID bHLH proteins lack the basic region and should not be able to bind DNA. The HT-SELEX motif for ID4 is likely by a co-precipitated protein or it is a contamination |
| NR2F1 | 160 | Yes | Known motif | Monomer or homomultimer | High-throughput in vitro | None | None |
| CREB3L1 | 162 | Yes | Known motif | Monomer or homomultimer | High-throughput in vitro | None | None |
| FLNA | 169 | No | Unlikely to be sequence specific TF | Not a DNA binding protein | No motif | None | Go annotation is based on (PMID: 15684392), which shows that it binds FOXC1 and PBX1 but doesnt show evidence for binding to DNA |
| HIC1 | 172 | Yes | Known motif | Monomer or homomultimer | High-throughput in vitro | None | None |
| FZD1 | 175 | No | Unlikely to be sequence specific TF | Not a DNA binding protein | No motif | None | None |
Druggable Genes for this Gene Expression Program:
| Gene Symbol | Gene Loading Rank | Drug Names | Drug Category | GTEx | DepMap |
|---|---|---|---|---|---|
| F2R | 40 | 1VORAPAXAR |
Small molecule | GTEx | DepMap |
| ITGB1 | 66 | 1VOLOCIXIMAB |
Antibody | GTEx | DepMap |
| PDGFRA | 69 | 4REGORAFENIB, PAZOPANIB, NINTEDANIB, SUNITINIB |
Small molecule | GTEx | DepMap |
| ANO1 | 97 | 1CROFELEMER |
Small molecule | GTEx | DepMap |
| EDNRA | 131 | 3MACITENTAN, BOSENTAN, AMBRISENTAN |
Small molecule | GTEx | DepMap |
| FZD7 | 145 | 1VANTICTUMAB |
Antibody | GTEx | DepMap |
| PDE1A | 146 | 2PENTOXIFYLLINE, DIPYRIDAMOLE |
Small molecule | GTEx | DepMap |
| FZD1 | 175 | 1VANTICTUMAB |
Antibody | GTEx | DepMap |
| FZD8 | 177 | 1VANTICTUMAB |
Antibody | GTEx | DepMap |
| EPHA3 | 210 | 1VANDETANIB |
Small molecule | GTEx | DepMap |
| PDGFRB | 294 | 7SORAFENIB, IMATINIB, REGORAFENIB, PAZOPANIB, NINTEDANIB, SUNITINIB, DASATINIB |
Small molecule | GTEx | DepMap |
| HTR2B | 303 | 2METHYLERGONOVINE, METHYSERGIDE |
Small molecule | GTEx | DepMap |
| RARG | 340 | 7TAZAROTENE, ALITRETINOIN, TRETINOIN, ISOTRETINOIN, ETRETINATE, ADAPALENE, ACITRETIN |
Small molecule | GTEx | DepMap |
| DHFR | 373 | 3PEMETREXED DISODIUM, PRALATREXATE, METHOTREXATE |
Small molecule | GTEx | DepMap |
| ACVRL1 | 439 | 1Panulisib |
Small molecule | GTEx | DepMap |
| ACVRL1 | 439 | 1PF-03446962 |
Antibody | GTEx | DepMap |
| PGR | 440 | 19ETHYNODIOL DIACETATE, MIFEPRISTONE, NORGESTREL, HYDROXYPROGESTERONE CAPROATE, DYDROGESTERONE, NORGESTIMATE, NORELGESTROMIN, MEGESTROL ACETATE, NORETHINDRONE ACETATE, MEDROXYPROGESTERONE ACETATE, PROGESTERONE, NORETHYNODREL, LEVONORGESTREL, NORETHINDRONE, DROSPIRENONE, ETONOGESTREL, DESOGESTREL, ULIPRISTAL ACETATE, DANAZOL |
Small molecule | GTEx | DepMap |
| SLC29A1 | 484 | 1DIPYRIDAMOLE |
Small molecule | GTEx | DepMap |
| S1PR5 | 535 | 1FINGOLIMOD |
Small molecule | GTEx | DepMap |
| ADH1B | 544 | 1FOMEPIZOLE |
Small molecule | GTEx | DepMap |
| FZD2 | 594 | 1VANTICTUMAB |
Antibody | GTEx | DepMap |
QQ Plot showing correlations with other GEPs in this dataset, calculated by Spearman correlation:
Interactive QQ-plot of gene loadings:
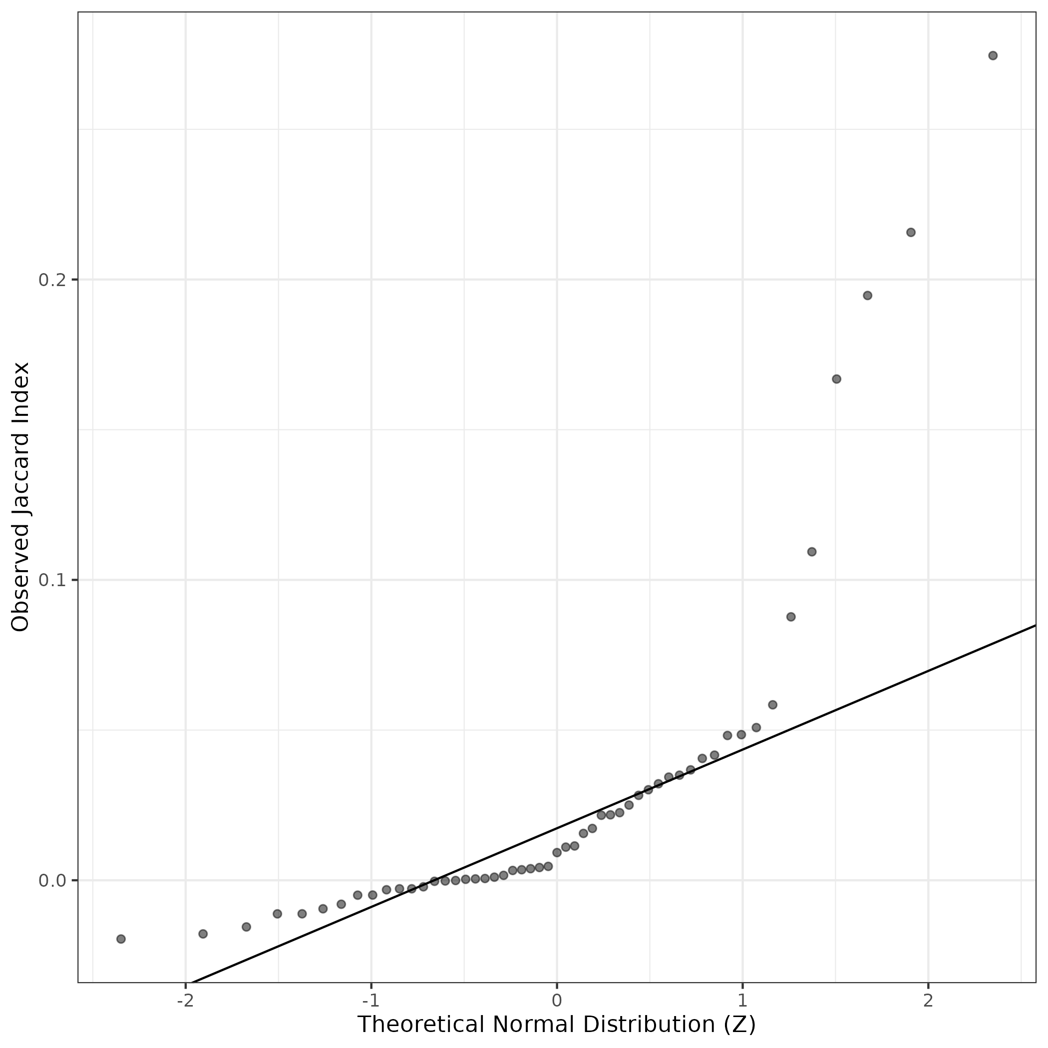
A similar QQ-plot as above, but only for instances where the H value is e.g. > 25, i.e. we are confident that the expression program is active above noise. Agreemenet between these binary vectors is tested using the Jaccard Index, with the P-values calculated by an exact test:
Interactive QQ-plot:
Singler cell type annotations for the top 50 cells on this program.
| Cell ID | Singler label | Singler Delta | Activity Score | Top Singler Raw Scores |
|---|---|---|---|---|
| CTGGACGTCCGCGATG-1_HTA4_1018_4071 | Fibroblasts | 0.34 | 3994.31 | Raw ScoresFibroblasts: 0.43, Osteoblasts: 0.42, Chondrocytes: 0.42, Tissue_stem_cells: 0.41, Smooth_muscle_cells: 0.4, MSC: 0.38, iPS_cells: 0.38, Neurons: 0.32, Endothelial_cells: 0.27, Neuroepithelial_cell: 0.26 |
| GACGTTAGTCAAGCCC-1_HTA4_1018_4070 | Smooth_muscle_cells | 0.34 | 3816.26 | Raw ScoresFibroblasts: 0.51, Osteoblasts: 0.5, Chondrocytes: 0.49, Smooth_muscle_cells: 0.48, Tissue_stem_cells: 0.47, iPS_cells: 0.45, MSC: 0.44, Neurons: 0.37, Endothelial_cells: 0.34, Astrocyte: 0.32 |
| TGAGGGACAAAGCACG-1_HTA4_1018_4071 | Smooth_muscle_cells | 0.35 | 3813.16 | Raw ScoresFibroblasts: 0.53, Chondrocytes: 0.51, Smooth_muscle_cells: 0.51, Osteoblasts: 0.5, Tissue_stem_cells: 0.48, iPS_cells: 0.47, MSC: 0.46, Neurons: 0.4, Endothelial_cells: 0.36, Astrocyte: 0.34 |
| GAATAGAAGAACAGGA-1_HTA4_1018_4070 | Fibroblasts | 0.36 | 2970.42 | Raw ScoresFibroblasts: 0.53, Smooth_muscle_cells: 0.51, Osteoblasts: 0.51, Chondrocytes: 0.51, Tissue_stem_cells: 0.49, iPS_cells: 0.47, MSC: 0.46, Neurons: 0.41, Endothelial_cells: 0.37, Astrocyte: 0.33 |
| GTCTCACTCAAAGGAT-1_HTA4_1012_4045 | Smooth_muscle_cells | 0.32 | 2614.50 | Raw ScoresFibroblasts: 0.55, Osteoblasts: 0.55, Smooth_muscle_cells: 0.54, MSC: 0.52, iPS_cells: 0.51, Tissue_stem_cells: 0.51, Chondrocytes: 0.51, Neurons: 0.44, Endothelial_cells: 0.43, Astrocyte: 0.37 |
| ATTACTCGTACTTCCC-1_HTA4_1018_4071 | Tissue_stem_cells | 0.31 | 2393.31 | Raw ScoresFibroblasts: 0.43, Chondrocytes: 0.42, Smooth_muscle_cells: 0.42, Osteoblasts: 0.41, Tissue_stem_cells: 0.41, iPS_cells: 0.38, MSC: 0.36, Neurons: 0.32, Endothelial_cells: 0.27, Astrocyte: 0.24 |
| GCTCAAATCCTTTGAT-1_HTA4_1018_4071 | Fibroblasts | 0.38 | 2308.16 | Raw ScoresFibroblasts: 0.5, Osteoblasts: 0.47, Smooth_muscle_cells: 0.46, Chondrocytes: 0.46, Tissue_stem_cells: 0.44, iPS_cells: 0.43, MSC: 0.42, Neurons: 0.34, Endothelial_cells: 0.32, Astrocyte: 0.29 |
| TGTTGGATCCCAGGCA-1_HTA4_1018_4070 | Fibroblasts | 0.34 | 2240.68 | Raw ScoresFibroblasts: 0.44, Chondrocytes: 0.42, Smooth_muscle_cells: 0.41, Osteoblasts: 0.41, Tissue_stem_cells: 0.4, iPS_cells: 0.38, MSC: 0.36, Neurons: 0.32, Endothelial_cells: 0.28, Astrocyte: 0.24 |
| TCATCCGGTGGTACAG-1_HTA4_1018_4071 | Tissue_stem_cells | 0.30 | 2049.54 | Raw ScoresFibroblasts: 0.42, Chondrocytes: 0.42, Osteoblasts: 0.41, Tissue_stem_cells: 0.4, Smooth_muscle_cells: 0.39, iPS_cells: 0.37, MSC: 0.37, Neurons: 0.32, Endothelial_cells: 0.28, Neuroepithelial_cell: 0.25 |
| AAGACAACAGGATGAC-1_HTA4_1018_4070 | Smooth_muscle_cells | 0.34 | 1855.21 | Raw ScoresFibroblasts: 0.51, Osteoblasts: 0.49, Chondrocytes: 0.49, Smooth_muscle_cells: 0.49, Tissue_stem_cells: 0.46, iPS_cells: 0.44, MSC: 0.43, Neurons: 0.39, Endothelial_cells: 0.34, Astrocyte: 0.33 |
| TCCTAATCATGGCCAC-1_HTA4_1018_4070 | Chondrocytes | 0.32 | 1848.28 | Raw ScoresFibroblasts: 0.39, Chondrocytes: 0.38, Osteoblasts: 0.38, Smooth_muscle_cells: 0.36, Tissue_stem_cells: 0.36, iPS_cells: 0.34, MSC: 0.33, Neurons: 0.28, Endothelial_cells: 0.24, Neuroepithelial_cell: 0.22 |
| GAGTCATTCCCATGGG-1_HTA4_1018_4070 | Smooth_muscle_cells | 0.34 | 1825.16 | Raw ScoresFibroblasts: 0.52, Osteoblasts: 0.49, Smooth_muscle_cells: 0.49, Chondrocytes: 0.49, Tissue_stem_cells: 0.47, iPS_cells: 0.46, MSC: 0.46, Neurons: 0.38, Endothelial_cells: 0.36, Astrocyte: 0.33 |
| CTTCGGTGTAGCGCTC-1_HTA4_1018_4070 | Fibroblasts | 0.30 | 1812.39 | Raw ScoresFibroblasts: 0.42, Osteoblasts: 0.42, Chondrocytes: 0.41, Tissue_stem_cells: 0.4, Smooth_muscle_cells: 0.4, MSC: 0.38, iPS_cells: 0.38, Neurons: 0.33, Endothelial_cells: 0.29, Astrocyte: 0.25 |
| CACAACAGTTACCCAA-1_HTA4_1018_4071 | Fibroblasts | 0.36 | 1747.78 | Raw ScoresFibroblasts: 0.47, Osteoblasts: 0.45, Smooth_muscle_cells: 0.45, Chondrocytes: 0.44, Tissue_stem_cells: 0.43, MSC: 0.41, iPS_cells: 0.41, Neurons: 0.34, Endothelial_cells: 0.31, Astrocyte: 0.28 |
| TGATCAGAGTCCGCGT-1_HTA4_1009_4031 | Fibroblasts | 0.34 | 1738.37 | Raw ScoresFibroblasts: 0.48, Osteoblasts: 0.47, Chondrocytes: 0.45, Smooth_muscle_cells: 0.45, Tissue_stem_cells: 0.44, iPS_cells: 0.42, MSC: 0.42, Neurons: 0.36, Astrocyte: 0.33, Endothelial_cells: 0.32 |
| GAAGGGTAGCTCGCAC-1_HTA4_1020_4077 | Smooth_muscle_cells | 0.30 | 1682.81 | Raw ScoresOsteoblasts: 0.53, Fibroblasts: 0.53, Smooth_muscle_cells: 0.51, Tissue_stem_cells: 0.5, Chondrocytes: 0.5, MSC: 0.48, iPS_cells: 0.47, Neurons: 0.4, Endothelial_cells: 0.4, Astrocyte: 0.36 |
| TCTTCCTGTCCTTGTC-1_HTA4_1018_4071 | Fibroblasts | 0.33 | 1672.51 | Raw ScoresFibroblasts: 0.43, Osteoblasts: 0.42, Chondrocytes: 0.42, Smooth_muscle_cells: 0.41, Tissue_stem_cells: 0.4, iPS_cells: 0.38, MSC: 0.38, Neurons: 0.33, Endothelial_cells: 0.29, Astrocyte: 0.26 |
| ATTTACCCATGGGAAC-1_HTA4_1002_4008 | Smooth_muscle_cells | 0.17 | 1669.13 | Raw ScoresFibroblasts: 0.32, Osteoblasts: 0.31, Chondrocytes: 0.31, Smooth_muscle_cells: 0.31, Tissue_stem_cells: 0.29, iPS_cells: 0.28, MSC: 0.28, Neurons: 0.24, Astrocyte: 0.23, Endothelial_cells: 0.22 |
| GTAGATCCAGCGTATT-1_HTA4_1018_4071 | Smooth_muscle_cells | 0.30 | 1632.83 | Raw ScoresFibroblasts: 0.37, Chondrocytes: 0.36, Smooth_muscle_cells: 0.36, Osteoblasts: 0.35, Tissue_stem_cells: 0.34, iPS_cells: 0.32, MSC: 0.31, Neurons: 0.26, Endothelial_cells: 0.22, Astrocyte: 0.21 |
| CCTCCAAAGGTCACTT-1_HTA4_1018_4066 | Smooth_muscle_cells | 0.28 | 1631.64 | Raw ScoresFibroblasts: 0.47, Osteoblasts: 0.47, Smooth_muscle_cells: 0.44, Chondrocytes: 0.43, Tissue_stem_cells: 0.43, iPS_cells: 0.41, MSC: 0.41, Neurons: 0.35, Endothelial_cells: 0.34, Astrocyte: 0.32 |
| TACGGGCTCAAATAGG-1_HTA4_1018_4071 | Chondrocytes | 0.32 | 1614.00 | Raw ScoresFibroblasts: 0.46, Osteoblasts: 0.45, Smooth_muscle_cells: 0.45, Chondrocytes: 0.45, Tissue_stem_cells: 0.44, iPS_cells: 0.42, MSC: 0.41, Neurons: 0.35, Endothelial_cells: 0.3, Astrocyte: 0.27 |
| TCCTTCTTCCGCATAA-1_HTA4_1012_4046 | Smooth_muscle_cells | 0.29 | 1599.77 | Raw ScoresFibroblasts: 0.5, Smooth_muscle_cells: 0.48, Chondrocytes: 0.48, Osteoblasts: 0.47, Tissue_stem_cells: 0.46, iPS_cells: 0.44, MSC: 0.44, Neurons: 0.37, Endothelial_cells: 0.36, Embryonic_stem_cells: 0.34 |
| GAAATGACATAGGCGA-1_HTA4_1018_4070 | Smooth_muscle_cells | 0.29 | 1578.69 | Raw ScoresFibroblasts: 0.41, Chondrocytes: 0.4, Smooth_muscle_cells: 0.4, Osteoblasts: 0.39, Tissue_stem_cells: 0.38, iPS_cells: 0.36, MSC: 0.36, Neurons: 0.31, Endothelial_cells: 0.27, Neuroepithelial_cell: 0.23 |
| CTGCCTATCATTTGGG-1_HTA4_1018_4070 | Smooth_muscle_cells | 0.32 | 1577.23 | Raw ScoresFibroblasts: 0.49, Osteoblasts: 0.47, Smooth_muscle_cells: 0.47, Chondrocytes: 0.46, Tissue_stem_cells: 0.45, iPS_cells: 0.43, MSC: 0.41, Neurons: 0.36, Endothelial_cells: 0.33, Astrocyte: 0.3 |
| CTCAATTAGGATACGC-1_HTA4_1021_4082 | Fibroblasts | 0.29 | 1557.47 | Raw ScoresFibroblasts: 0.46, Smooth_muscle_cells: 0.44, Chondrocytes: 0.44, Osteoblasts: 0.43, Tissue_stem_cells: 0.42, iPS_cells: 0.4, MSC: 0.4, Astrocyte: 0.36, Neurons: 0.35, Neuroepithelial_cell: 0.35 |
| AGTTCGACATTGACCA-1_HTA4_1018_4070 | Smooth_muscle_cells | 0.31 | 1493.49 | Raw ScoresFibroblasts: 0.45, Smooth_muscle_cells: 0.44, Osteoblasts: 0.43, Chondrocytes: 0.42, Tissue_stem_cells: 0.41, iPS_cells: 0.4, MSC: 0.39, Neurons: 0.34, Endothelial_cells: 0.32, Neuroepithelial_cell: 0.28 |
| CATAAGCAGAGAGTTT-1_HTA4_1018_4071 | Fibroblasts | 0.37 | 1488.36 | Raw ScoresFibroblasts: 0.51, Chondrocytes: 0.48, Osteoblasts: 0.48, Smooth_muscle_cells: 0.47, Tissue_stem_cells: 0.45, iPS_cells: 0.44, MSC: 0.43, Neurons: 0.38, Endothelial_cells: 0.34, Astrocyte: 0.33 |
| TTGGATGTCGAAACAA-1_HTA4_1018_4071 | Fibroblasts | 0.26 | 1385.87 | Raw ScoresChondrocytes: 0.36, Fibroblasts: 0.36, Osteoblasts: 0.35, Tissue_stem_cells: 0.35, Smooth_muscle_cells: 0.34, iPS_cells: 0.32, MSC: 0.31, Neurons: 0.27, Endothelial_cells: 0.24, Embryonic_stem_cells: 0.2 |
| GACTGATCATGGCTGC-1_HTA4_1018_4070 | Smooth_muscle_cells | 0.24 | 1361.70 | Raw ScoresFibroblasts: 0.39, Smooth_muscle_cells: 0.39, Chondrocytes: 0.37, Tissue_stem_cells: 0.37, Osteoblasts: 0.37, iPS_cells: 0.36, MSC: 0.36, Neurons: 0.32, Endothelial_cells: 0.29, Neuroepithelial_cell: 0.25 |
| CATTTCAGTTAGGGAC-1_HTA4_1018_4071 | Fibroblasts | 0.32 | 1360.67 | Raw ScoresFibroblasts: 0.42, Osteoblasts: 0.4, Chondrocytes: 0.4, Smooth_muscle_cells: 0.4, Tissue_stem_cells: 0.39, iPS_cells: 0.37, MSC: 0.36, Neurons: 0.31, Endothelial_cells: 0.27, Neuroepithelial_cell: 0.23 |
| CATACAGAGTGATAGT-1_HTA4_1018_4071 | Fibroblasts | 0.30 | 1344.62 | Raw ScoresFibroblasts: 0.41, Osteoblasts: 0.4, Chondrocytes: 0.39, Smooth_muscle_cells: 0.38, Tissue_stem_cells: 0.38, iPS_cells: 0.36, MSC: 0.36, Neurons: 0.31, Endothelial_cells: 0.26, Neuroepithelial_cell: 0.24 |
| ATTTCTGTCGTAATGC-1_HTA4_1018_4070 | Smooth_muscle_cells | 0.30 | 1344.60 | Raw ScoresFibroblasts: 0.45, Smooth_muscle_cells: 0.43, Osteoblasts: 0.43, Chondrocytes: 0.42, Tissue_stem_cells: 0.42, iPS_cells: 0.4, MSC: 0.39, Neurons: 0.34, Endothelial_cells: 0.32, Neuroepithelial_cell: 0.27 |
| GGAGCAAAGTGAATAC-1_HTA4_1018_4071 | Fibroblasts | 0.32 | 1338.35 | Raw ScoresFibroblasts: 0.42, Chondrocytes: 0.41, Smooth_muscle_cells: 0.4, Osteoblasts: 0.4, Tissue_stem_cells: 0.39, iPS_cells: 0.36, MSC: 0.36, Neurons: 0.3, Endothelial_cells: 0.27, Neuroepithelial_cell: 0.25 |
| ATTCTACTCAAACGAA-1_HTA4_1018_4071 | Chondrocytes | 0.29 | 1335.56 | Raw ScoresChondrocytes: 0.35, Fibroblasts: 0.34, Osteoblasts: 0.34, Tissue_stem_cells: 0.33, Smooth_muscle_cells: 0.33, iPS_cells: 0.3, MSC: 0.3, Neurons: 0.25, Endothelial_cells: 0.2, Astrocyte: 0.2 |
| CTTCTCTCACACAGAG-1_HTA4_1018_4070 | Chondrocytes | 0.30 | 1248.65 | Raw ScoresFibroblasts: 0.4, Chondrocytes: 0.39, Osteoblasts: 0.38, Tissue_stem_cells: 0.38, Smooth_muscle_cells: 0.37, iPS_cells: 0.35, MSC: 0.33, Neurons: 0.29, Endothelial_cells: 0.24, Astrocyte: 0.22 |
| ATGAGTCCAGGTGTGA-1_HTA4_1020_4077 | Osteoblasts | 0.28 | 1243.63 | Raw ScoresOsteoblasts: 0.39, Smooth_muscle_cells: 0.38, Fibroblasts: 0.38, Chondrocytes: 0.38, Tissue_stem_cells: 0.38, MSC: 0.37, iPS_cells: 0.36, Neurons: 0.31, Endothelial_cells: 0.29, Neuroepithelial_cell: 0.25 |
| ATCGATGTCTAGGCAT-1_HTA4_1018_4070 | Smooth_muscle_cells | 0.28 | 1242.07 | Raw ScoresFibroblasts: 0.35, Smooth_muscle_cells: 0.34, Chondrocytes: 0.34, Osteoblasts: 0.34, Tissue_stem_cells: 0.33, iPS_cells: 0.31, MSC: 0.3, Neurons: 0.25, Neuroepithelial_cell: 0.22, Endothelial_cells: 0.21 |
| ATCAGGTCACAAGCCC-1_HTA4_1018_4070 | Fibroblasts | 0.29 | 1231.38 | Raw ScoresFibroblasts: 0.41, Chondrocytes: 0.4, Osteoblasts: 0.39, Tissue_stem_cells: 0.39, Smooth_muscle_cells: 0.38, iPS_cells: 0.37, MSC: 0.36, Neurons: 0.31, Endothelial_cells: 0.26, Neuroepithelial_cell: 0.23 |
| AAACGAACAAGGTCGA-1_HTA4_1018_4070 | Smooth_muscle_cells | 0.27 | 1191.27 | Raw ScoresChondrocytes: 0.35, Fibroblasts: 0.35, Osteoblasts: 0.34, Smooth_muscle_cells: 0.33, Tissue_stem_cells: 0.33, iPS_cells: 0.31, MSC: 0.3, Neurons: 0.25, Endothelial_cells: 0.21, Astrocyte: 0.19 |
| ATATCCTCAGGACATG-1_HTA4_1018_4071 | Smooth_muscle_cells | 0.28 | 1190.83 | Raw ScoresFibroblasts: 0.4, Chondrocytes: 0.38, Osteoblasts: 0.38, Smooth_muscle_cells: 0.37, Tissue_stem_cells: 0.37, iPS_cells: 0.36, MSC: 0.34, Neurons: 0.31, Endothelial_cells: 0.25, Neuroepithelial_cell: 0.23 |
| ACGATCATCCCAAGTA-1_HTA4_1004_4014 | Tissue_stem_cells | 0.25 | 1184.76 | Raw ScoresFibroblasts: 0.46, Osteoblasts: 0.45, Tissue_stem_cells: 0.45, Smooth_muscle_cells: 0.44, Chondrocytes: 0.44, iPS_cells: 0.41, MSC: 0.41, Neurons: 0.38, Endothelial_cells: 0.35, Astrocyte: 0.32 |
| GGGTCACGTCTATGAC-1_HTA4_1018_4070 | Smooth_muscle_cells | 0.30 | 1149.26 | Raw ScoresFibroblasts: 0.4, Osteoblasts: 0.39, Chondrocytes: 0.38, Smooth_muscle_cells: 0.38, Tissue_stem_cells: 0.37, iPS_cells: 0.36, MSC: 0.35, Neurons: 0.31, Endothelial_cells: 0.26, Embryonic_stem_cells: 0.22 |
| ATAGACCCATCGTGCG-1_HTA4_1009_4033 | Fibroblasts | 0.31 | 1121.33 | Raw ScoresFibroblasts: 0.47, Osteoblasts: 0.44, Chondrocytes: 0.43, Smooth_muscle_cells: 0.42, Tissue_stem_cells: 0.41, iPS_cells: 0.41, MSC: 0.4, Neurons: 0.35, Astrocyte: 0.32, Endothelial_cells: 0.31 |
| ATTTACCAGAAATTCG-1_HTA4_1018_4070 | Fibroblasts | 0.39 | 1120.95 | Raw ScoresFibroblasts: 0.55, Osteoblasts: 0.52, Smooth_muscle_cells: 0.52, Chondrocytes: 0.51, Tissue_stem_cells: 0.49, iPS_cells: 0.48, MSC: 0.48, Neurons: 0.4, Endothelial_cells: 0.38, Astrocyte: 0.37 |
| TGCATCCCAATAACCC-1_HTA4_1018_4071 | Smooth_muscle_cells | 0.28 | 1111.43 | Raw ScoresFibroblasts: 0.38, Chondrocytes: 0.37, Osteoblasts: 0.37, Smooth_muscle_cells: 0.37, Tissue_stem_cells: 0.36, iPS_cells: 0.34, MSC: 0.33, Neurons: 0.27, Endothelial_cells: 0.23, Astrocyte: 0.21 |
| AGAAGCGAGCACGGAT-1_HTA4_1012_4046 | Fibroblasts | 0.28 | 1107.80 | Raw ScoresFibroblasts: 0.43, Smooth_muscle_cells: 0.4, Osteoblasts: 0.4, Chondrocytes: 0.4, Tissue_stem_cells: 0.39, iPS_cells: 0.38, MSC: 0.37, Neurons: 0.32, Endothelial_cells: 0.29, Astrocyte: 0.27 |
| AGCGTATGTATGCGTT-1_HTA4_1018_4070 | Fibroblasts | 0.31 | 1104.20 | Raw ScoresFibroblasts: 0.43, Smooth_muscle_cells: 0.42, Osteoblasts: 0.41, Chondrocytes: 0.41, Tissue_stem_cells: 0.39, iPS_cells: 0.37, MSC: 0.37, Neurons: 0.32, Endothelial_cells: 0.29, Astrocyte: 0.28 |
| GGGACAAGTGTACGCC-1_HTA4_1020_4077 | Smooth_muscle_cells | 0.28 | 1099.41 | Raw ScoresOsteoblasts: 0.43, Fibroblasts: 0.43, Smooth_muscle_cells: 0.41, Chondrocytes: 0.41, Tissue_stem_cells: 0.4, MSC: 0.38, iPS_cells: 0.38, Endothelial_cells: 0.31, Neurons: 0.31, Astrocyte: 0.28 |
| AAAGGGCCAACACGAG-1_HTA4_1009_4031 | Smooth_muscle_cells | 0.28 | 1096.44 | Raw ScoresFibroblasts: 0.43, Smooth_muscle_cells: 0.43, Osteoblasts: 0.42, Chondrocytes: 0.41, Tissue_stem_cells: 0.4, MSC: 0.39, iPS_cells: 0.39, Neurons: 0.36, Astrocyte: 0.33, Endothelial_cells: 0.31 |
| CCAAGCGCAGGTGACA-1_HTA4_1009_4031 | Tissue_stem_cells | 0.29 | 1095.12 | Raw ScoresFibroblasts: 0.48, Chondrocytes: 0.47, Tissue_stem_cells: 0.47, Osteoblasts: 0.47, Smooth_muscle_cells: 0.46, iPS_cells: 0.44, MSC: 0.43, Neurons: 0.38, Endothelial_cells: 0.33, Astrocyte: 0.32 |
Below shows the significant enrichments of this GEP for literature curated gene lists
  This data was procured from existing single cell RNA-seq maps of neuroblastoma or related relevant data.
  High ranks indicate this gene is a driver of this GEP.
  These curated gene list are ranked by the P-value (on this GEP) of their constituent genes.
  The Mean Count column shows the mean read count in cells scoring highly (H > 50) on this gene expression program.
| Genes | Weight | Rank | GTEx | DepMap | Decartes | Mean.Counts | Mean.TPM |
|---|---|---|---|---|---|---|---|
| COL3A1 | 0.0091022 | 1 | GTEx | DepMap | Descartes | 22.70 | 2636.24 |
| COL1A2 | 0.0090765 | 2 | GTEx | DepMap | Descartes | 25.13 | 2704.87 |
| COL1A1 | 0.0089022 | 3 | GTEx | DepMap | Descartes | 26.11 | 2919.87 |
| LUM | 0.0079013 | 5 | GTEx | DepMap | Descartes | 3.34 | 760.33 |
| THBS2 | 0.0063489 | 8 | GTEx | DepMap | Descartes | 4.80 | 493.88 |
| DCN | 0.0057837 | 10 | GTEx | DepMap | Descartes | 3.84 | 333.99 |
| POSTN | 0.0053938 | 12 | GTEx | DepMap | Descartes | 5.02 | 937.88 |
| BGN | 0.0051920 | 14 | GTEx | DepMap | Descartes | 2.39 | 648.30 |
| COL10A1 | 0.0048890 | 17 | GTEx | DepMap | Descartes | 0.60 | 97.47 |
| IGFBP7 | 0.0047647 | 18 | GTEx | DepMap | Descartes | 19.11 | 7926.95 |
| VCAN | 0.0047246 | 19 | GTEx | DepMap | Descartes | 7.91 | 358.23 |
| COL5A1 | 0.0044354 | 23 | GTEx | DepMap | Descartes | 4.10 | 307.10 |
| TMEM119 | 0.0032448 | 39 | GTEx | DepMap | Descartes | 0.28 | 61.50 |
| FN1 | 0.0029355 | 44 | GTEx | DepMap | Descartes | 11.91 | 778.73 |
| COL14A1 | 0.0029033 | 45 | GTEx | DepMap | Descartes | 3.23 | 243.58 |
| COL5A2 | 0.0026329 | 57 | GTEx | DepMap | Descartes | 5.51 | 475.88 |
| COL8A1 | 0.0025133 | 63 | GTEx | DepMap | Descartes | 3.67 | 347.57 |
| TAGLN | 0.0024799 | 65 | GTEx | DepMap | Descartes | 2.21 | 346.56 |
| IGFBP3 | 0.0021357 | 74 | GTEx | DepMap | Descartes | 0.61 | 120.08 |
| THY1 | 0.0019204 | 82 | GTEx | DepMap | Descartes | 1.98 | 236.48 |
| COL4A1 | 0.0014065 | 125 | GTEx | DepMap | Descartes | 9.74 | 879.09 |
| TPM2 | 0.0013033 | 142 | GTEx | DepMap | Descartes | 0.89 | 325.20 |
| MYL9 | 0.0012771 | 152 | GTEx | DepMap | Descartes | 0.98 | 201.36 |
| COL12A1 | 0.0011773 | 170 | GTEx | DepMap | Descartes | 3.33 | 163.95 |
| COL11A1 | 0.0010560 | 206 | GTEx | DepMap | Descartes | 1.01 | 71.52 |
| MMP2 | 0.0010396 | 208 | GTEx | DepMap | Descartes | 0.53 | 91.05 |
| HOPX | 0.0009420 | 229 | GTEx | DepMap | Descartes | 0.30 | 44.65 |
| MMP11 | 0.0009313 | 234 | GTEx | DepMap | Descartes | 0.36 | 58.32 |
| THBS1 | 0.0008961 | 248 | GTEx | DepMap | Descartes | 4.47 | 326.27 |
| ACTA2 | 0.0007501 | 296 | GTEx | DepMap | Descartes | 1.95 | 823.55 |
| CNN2 | 0.0005511 | 438 | GTEx | DepMap | Descartes | 0.28 | 71.99 |
| CNN3 | 0.0004164 | 582 | GTEx | DepMap | Descartes | 1.41 | 371.95 |
| MYLK | 0.0003943 | 617 | GTEx | DepMap | Descartes | 1.14 | 64.38 |
| TPM1 | 0.0003800 | 648 | GTEx | DepMap | Descartes | 3.97 | 576.88 |
| COL15A1 | 0.0003518 | 713 | GTEx | DepMap | Descartes | 1.49 | 129.08 |
| TGFB1 | 0.0002654 | 942 | GTEx | DepMap | Descartes | 0.65 | 128.24 |
| WNT5A | 0.0002463 | 1018 | GTEx | DepMap | Descartes | 0.08 | 7.04 |
| TGFBR2 | 0.0001725 | 1458 | GTEx | DepMap | Descartes | 2.02 | 172.10 |
| TGFBR1 | 0.0001315 | 1843 | GTEx | DepMap | Descartes | 1.09 | 89.46 |
| PGF | 0.0000782 | 2845 | GTEx | DepMap | Descartes | 0.13 | 19.67 |
| TGFB2 | 0.0000569 | 3517 | GTEx | DepMap | Descartes | 0.33 | 28.03 |
| COL13A1 | -0.0000490 | 15118 | GTEx | DepMap | Descartes | 0.05 | 7.48 |
| ACTG2 | -0.0000949 | 17410 | GTEx | DepMap | Descartes | 0.05 | 13.38 |
| VEGFA | -0.0000992 | 17582 | GTEx | DepMap | Descartes | 0.69 | 26.11 |
| TNC | -0.0003171 | 20261 | GTEx | DepMap | Descartes | 2.96 | 201.34 |
| MEF2C | -0.0003462 | 20343 | GTEx | DepMap | Descartes | 1.86 | 110.18 |
| ITGA7 | -0.0003911 | 20435 | GTEx | DepMap | Descartes | 0.19 | 22.55 |
| RGS5 | -0.0004533 | 20500 | GTEx | DepMap | Descartes | 1.47 | 122.86 |
| MYH11 | -0.0005925 | 20564 | GTEx | DepMap | Descartes | 0.41 | 34.79 |
Inflammatory CAF
These marker genes were curated across cancer subtypes in multiple organ systems as reviewed in Lavie et. al. (PMID 35883004) and contain inflammatory specific CAF genes:
Wilcoxon ranksum test P-value for gene set overrepresentation: 2.72e-10
Mean rank of genes in gene set: 4467.85
Rank on gene expression program of genes in gene set:
| Genes | Weight | Rank | GTEx | DepMap | Decartes | Mean.Counts | Mean.TPM |
|---|---|---|---|---|---|---|---|
| C1R | 0.0036704 | 32 | GTEx | DepMap | Descartes | 1.10 | 194.74 |
| C1S | 0.0024464 | 67 | GTEx | DepMap | Descartes | 1.60 | 311.81 |
| PDGFRA | 0.0022798 | 69 | GTEx | DepMap | Descartes | 0.42 | 37.37 |
| IGFBP6 | 0.0016459 | 100 | GTEx | DepMap | Descartes | 0.35 | 167.39 |
| C7 | 0.0014879 | 117 | GTEx | DepMap | Descartes | 6.19 | 686.04 |
| IGF1 | 0.0013623 | 132 | GTEx | DepMap | Descartes | 1.01 | 77.96 |
| CXCL12 | 0.0013291 | 140 | GTEx | DepMap | Descartes | 0.75 | 123.25 |
| SERPING1 | 0.0012778 | 151 | GTEx | DepMap | Descartes | 0.64 | 165.25 |
| CCL2 | 0.0009713 | 218 | GTEx | DepMap | Descartes | 0.95 | 557.22 |
| PDGFRB | 0.0007614 | 294 | GTEx | DepMap | Descartes | 1.99 | 214.50 |
| CFD | 0.0007242 | 311 | GTEx | DepMap | Descartes | 0.22 | 123.05 |
| PDGFD | 0.0006118 | 387 | GTEx | DepMap | Descartes | 1.95 | 241.63 |
| ADH1B | 0.0004416 | 544 | GTEx | DepMap | Descartes | 0.46 | 49.08 |
| CXCL14 | 0.0003648 | 678 | GTEx | DepMap | Descartes | 0.17 | 50.32 |
| C3 | 0.0003016 | 820 | GTEx | DepMap | Descartes | 0.98 | 119.39 |
| SCARA5 | 0.0002925 | 844 | GTEx | DepMap | Descartes | 0.04 | 5.99 |
| HGF | 0.0002778 | 900 | GTEx | DepMap | Descartes | 0.45 | 40.13 |
| IL33 | 0.0001844 | 1361 | GTEx | DepMap | Descartes | 0.40 | 85.67 |
| CXCL10 | 0.0001821 | 1381 | GTEx | DepMap | Descartes | 0.05 | 19.70 |
| SAA1 | 0.0001798 | 1405 | GTEx | DepMap | Descartes | 0.04 | 17.59 |
| C1QA | 0.0000969 | 2401 | GTEx | DepMap | Descartes | 0.20 | 107.30 |
| C1QC | 0.0000889 | 2568 | GTEx | DepMap | Descartes | 0.13 | 58.50 |
| SCARA3 | 0.0000807 | 2776 | GTEx | DepMap | Descartes | 0.11 | 13.65 |
| LIF | 0.0000804 | 2785 | GTEx | DepMap | Descartes | 0.05 | 5.83 |
| CXCL9 | 0.0000770 | 2870 | GTEx | DepMap | Descartes | 0.04 | 8.29 |
| CFB | 0.0000432 | 4091 | GTEx | DepMap | Descartes | 0.01 | 1.60 |
| C4B | 0.0000401 | 4243 | GTEx | DepMap | Descartes | 0.00 | 0.15 |
| CXCL1 | 0.0000389 | 4301 | GTEx | DepMap | Descartes | 0.03 | 12.42 |
| CCL21 | 0.0000230 | 5183 | GTEx | DepMap | Descartes | 0.60 | 363.13 |
| CCL7 | 0.0000059 | 6730 | GTEx | DepMap | Descartes | 0.00 | 1.96 |
| RGMA | -0.0000009 | 8623 | GTEx | DepMap | Descartes | 0.13 | 5.94 |
| GPX3 | -0.0000016 | 8865 | GTEx | DepMap | Descartes | 0.27 | 78.40 |
| IL10 | -0.0000057 | 10040 | GTEx | DepMap | Descartes | 0.00 | 0.75 |
| IL1R1 | -0.0000073 | 10421 | GTEx | DepMap | Descartes | 1.34 | 148.51 |
| SOD2 | -0.0000254 | 13147 | GTEx | DepMap | Descartes | 0.02 | 0.76 |
| CCL8 | -0.0000285 | 13434 | GTEx | DepMap | Descartes | 0.01 | 6.52 |
| CXCL13 | -0.0000552 | 15546 | GTEx | DepMap | Descartes | 0.03 | 13.09 |
| IL6 | -0.0000750 | 16607 | GTEx | DepMap | Descartes | 0.09 | 29.96 |
| PDPN | -0.0000825 | 16936 | GTEx | DepMap | Descartes | 0.10 | 14.34 |
| CXCL2 | -0.0000889 | 17196 | GTEx | DepMap | Descartes | 0.11 | 49.74 |
Mesenchymal Fig 1D (Olsen)
Selected mesenchymal marker genes shown in Fig. 1D of Olsen et al. https://www.biorxiv.org/content/10.1101/2020.05.04.077057v1 - these are highly expressed in their mesenchymal cluster on their UMAP.:
Wilcoxon ranksum test P-value for gene set overrepresentation: 1.20e-08
Mean rank of genes in gene set: 1099.46
Rank on gene expression program of genes in gene set:
| Genes | Weight | Rank | GTEx | DepMap | Decartes | Mean.Counts | Mean.TPM |
|---|---|---|---|---|---|---|---|
| COL3A1 | 0.0091022 | 1 | GTEx | DepMap | Descartes | 22.70 | 2636.24 |
| COL1A2 | 0.0090765 | 2 | GTEx | DepMap | Descartes | 25.13 | 2704.87 |
| COL1A1 | 0.0089022 | 3 | GTEx | DepMap | Descartes | 26.11 | 2919.87 |
| LUM | 0.0079013 | 5 | GTEx | DepMap | Descartes | 3.34 | 760.33 |
| MGP | 0.0076330 | 6 | GTEx | DepMap | Descartes | 9.18 | 3183.28 |
| SPARC | 0.0073831 | 7 | GTEx | DepMap | Descartes | 9.06 | 1554.29 |
| DCN | 0.0057837 | 10 | GTEx | DepMap | Descartes | 3.84 | 333.99 |
| BGN | 0.0051920 | 14 | GTEx | DepMap | Descartes | 2.39 | 648.30 |
| COL6A2 | 0.0032523 | 38 | GTEx | DepMap | Descartes | 3.53 | 647.18 |
| PDGFRA | 0.0022798 | 69 | GTEx | DepMap | Descartes | 0.42 | 37.37 |
| PRRX1 | 0.0017384 | 92 | GTEx | DepMap | Descartes | 2.56 | 370.34 |
| CALD1 | 0.0006346 | 369 | GTEx | DepMap | Descartes | 12.44 | 1425.69 |
| LEPR | -0.0000312 | 13677 | GTEx | DepMap | Descartes | 0.62 | 37.68 |
Below shows ranks on this GEP for literature curated gene lists for large gene sets
  These include those reported as mesenchymal/adrenergic by Van Groningen et al.
  High ranks indicate this gene is a driver of this GEP (note these results are not ordered).
  The Mean Count column shows the mean read count in cells scoring highly (H > 50) on this gene expression program.
VanGroningen Adrenergic Genes
Adrenergic marker genes from Supplementary Table 2 of Van Groningen et al. Nature Genetics 2017. These genes were identified by differential expression analysis of mesenchymal-like and adrenergic-like neuroblastoma cell lines.
Wilcoxon ranksum test P-value for gene set overrepresentation: 1.00e+00
Mean rank of genes in gene set: 15875.65
Median rank of genes in gene set: 18024
Rank on gene expression program of top 30 genes in gene set:
| Genes | Weight | Rank | GTEx | DepMap | Descartes | Mean.Counts | Mean.TPM |
|---|---|---|---|---|---|---|---|
| STRA6 | 0.0007362 | 304 | GTEx | DepMap | Descartes | 0.13 | 23.25 |
| CYGB | 0.0005301 | 451 | GTEx | DepMap | Descartes | 0.42 | 124.46 |
| HEY1 | 0.0002147 | 1179 | GTEx | DepMap | Descartes | 0.09 | 11.01 |
| CD200 | 0.0002146 | 1181 | GTEx | DepMap | Descartes | 0.67 | 159.05 |
| DNAJB1 | 0.0001839 | 1367 | GTEx | DepMap | Descartes | 0.26 | 60.39 |
| NPTX2 | 0.0001796 | 1407 | GTEx | DepMap | Descartes | 0.07 | 14.35 |
| TENM4 | 0.0001587 | 1589 | GTEx | DepMap | Descartes | 3.43 | NA |
| NAP1L5 | 0.0001586 | 1590 | GTEx | DepMap | Descartes | 0.31 | 85.58 |
| GLRX | 0.0001503 | 1671 | GTEx | DepMap | Descartes | 0.35 | 51.17 |
| SETD7 | 0.0001299 | 1865 | GTEx | DepMap | Descartes | 0.48 | 32.31 |
| EIF1B | 0.0001283 | 1887 | GTEx | DepMap | Descartes | 0.41 | 227.73 |
| ZNF22 | 0.0001256 | 1925 | GTEx | DepMap | Descartes | 0.17 | 43.04 |
| LSM3 | 0.0001081 | 2197 | GTEx | DepMap | Descartes | 0.23 | 37.31 |
| TUBB4B | 0.0000921 | 2504 | GTEx | DepMap | Descartes | 0.42 | 103.98 |
| GGCT | 0.0000915 | 2513 | GTEx | DepMap | Descartes | 0.13 | 61.39 |
| MMD | 0.0000887 | 2572 | GTEx | DepMap | Descartes | 0.57 | 96.30 |
| FABP6 | 0.0000880 | 2589 | GTEx | DepMap | Descartes | 0.18 | 147.02 |
| DKK1 | 0.0000864 | 2628 | GTEx | DepMap | Descartes | 0.01 | 2.77 |
| SCG2 | 0.0000848 | 2672 | GTEx | DepMap | Descartes | 4.50 | 990.71 |
| PHPT1 | 0.0000794 | 2810 | GTEx | DepMap | Descartes | 0.42 | 176.18 |
| SCG3 | 0.0000726 | 3005 | GTEx | DepMap | Descartes | 0.67 | 112.23 |
| PTS | 0.0000724 | 3013 | GTEx | DepMap | Descartes | 0.69 | 307.93 |
| RBP1 | 0.0000629 | 3317 | GTEx | DepMap | Descartes | 0.51 | 143.14 |
| C4orf48 | 0.0000580 | 3470 | GTEx | DepMap | Descartes | 0.61 | 744.58 |
| CDC42EP3 | 0.0000575 | 3487 | GTEx | DepMap | Descartes | 0.39 | 36.08 |
| TCEAL7 | 0.0000500 | 3797 | GTEx | DepMap | Descartes | 0.35 | 169.86 |
| TUBB2A | 0.0000420 | 4156 | GTEx | DepMap | Descartes | 1.54 | 523.09 |
| OLFM1 | 0.0000407 | 4215 | GTEx | DepMap | Descartes | 0.44 | 70.37 |
| ARL6IP1 | 0.0000347 | 4528 | GTEx | DepMap | Descartes | 0.03 | 6.53 |
| AHSA1 | 0.0000332 | 4609 | GTEx | DepMap | Descartes | 0.26 | 96.78 |
VanGroningen Mesenchymal Genes
Mesenchymal marker genes from Supplementary Table 2 of Van Groningen et al. Nature Genetics 2017. These genes were identified by differential expression analysis of mesenchymal-like and adrenergic-like neuroblastoma cell lines.
Wilcoxon ranksum test P-value for gene set overrepresentation: 3.68e-78
Mean rank of genes in gene set: 5232.09
Median rank of genes in gene set: 1205.5
Rank on gene expression program of top 30 genes in gene set:
| Genes | Weight | Rank | GTEx | DepMap | Descartes | Mean.Counts | Mean.TPM |
|---|---|---|---|---|---|---|---|
| COL3A1 | 0.0091022 | 1 | GTEx | DepMap | Descartes | 22.70 | 2636.24 |
| COL1A1 | 0.0089022 | 3 | GTEx | DepMap | Descartes | 26.11 | 2919.87 |
| MGP | 0.0076330 | 6 | GTEx | DepMap | Descartes | 9.18 | 3183.28 |
| SPARC | 0.0073831 | 7 | GTEx | DepMap | Descartes | 9.06 | 1554.29 |
| IGFBP5 | 0.0055329 | 11 | GTEx | DepMap | Descartes | 5.40 | 464.83 |
| POSTN | 0.0053938 | 12 | GTEx | DepMap | Descartes | 5.02 | 937.88 |
| TIMP1 | 0.0052738 | 13 | GTEx | DepMap | Descartes | 4.82 | 2591.36 |
| BGN | 0.0051920 | 14 | GTEx | DepMap | Descartes | 2.39 | 648.30 |
| CCDC80 | 0.0051759 | 15 | GTEx | DepMap | Descartes | 2.32 | 114.52 |
| AEBP1 | 0.0049027 | 16 | GTEx | DepMap | Descartes | 2.41 | 382.98 |
| COL5A1 | 0.0044354 | 23 | GTEx | DepMap | Descartes | 4.10 | 307.10 |
| COL6A3 | 0.0038533 | 30 | GTEx | DepMap | Descartes | 6.38 | 385.35 |
| FBN1 | 0.0034442 | 34 | GTEx | DepMap | Descartes | 3.67 | 183.67 |
| FSTL1 | 0.0033109 | 37 | GTEx | DepMap | Descartes | 2.43 | 245.20 |
| COL6A2 | 0.0032523 | 38 | GTEx | DepMap | Descartes | 3.53 | 647.18 |
| F2R | 0.0031486 | 40 | GTEx | DepMap | Descartes | 1.07 | 164.79 |
| COL6A1 | 0.0030892 | 41 | GTEx | DepMap | Descartes | 2.51 | 378.26 |
| FN1 | 0.0029355 | 44 | GTEx | DepMap | Descartes | 11.91 | 778.73 |
| CDH11 | 0.0027664 | 50 | GTEx | DepMap | Descartes | 4.77 | 393.24 |
| FMOD | 0.0027489 | 51 | GTEx | DepMap | Descartes | 0.22 | 44.49 |
| GPX8 | 0.0027340 | 53 | GTEx | DepMap | Descartes | 0.30 | 44.59 |
| SERPINH1 | 0.0027234 | 54 | GTEx | DepMap | Descartes | 0.95 | 162.72 |
| COL5A2 | 0.0026329 | 57 | GTEx | DepMap | Descartes | 5.51 | 475.88 |
| PPIC | 0.0026274 | 58 | GTEx | DepMap | Descartes | 0.30 | 126.37 |
| ID3 | 0.0025160 | 62 | GTEx | DepMap | Descartes | 1.08 | 622.50 |
| ITGB1 | 0.0024489 | 66 | GTEx | DepMap | Descartes | 3.87 | 557.66 |
| TM4SF1 | 0.0022070 | 70 | GTEx | DepMap | Descartes | 0.56 | 80.27 |
| CYBRD1 | 0.0021736 | 73 | GTEx | DepMap | Descartes | 0.86 | 118.83 |
| MXRA5 | 0.0021195 | 77 | GTEx | DepMap | Descartes | 0.42 | 26.05 |
| EMILIN1 | 0.0020923 | 78 | GTEx | DepMap | Descartes | 0.84 | 136.63 |
Descartes adrenocortical markers
Top 50 marker genes of adrenocortical cells in the Decartes fetal adrenal single cell map (https://atlas.brotmanbaty.org/bbi/human-gene-expression-during-development/cell/adrenocortical/in/adrenal)
Wilcoxon ranksum test P-value for gene set overrepresentation: 1.00e+00
Mean rank of genes in gene set: 14451.22
Median rank of genes in gene set: 14862
Rank on gene expression program of top 30 genes in gene set:
| Genes | Weight | Rank | GTEx | DepMap | Descartes | Mean.Counts | Mean.TPM |
|---|---|---|---|---|---|---|---|
| SH3PXD2B | 0.0001259 | 1919 | GTEx | DepMap | Descartes | 1.33 | 90.12 |
| PAPSS2 | 0.0000449 | 4004 | GTEx | DepMap | Descartes | 1.28 | 147.16 |
| CYP17A1 | 0.0000335 | 4588 | GTEx | DepMap | Descartes | 0.27 | 34.52 |
| PEG3 | 0.0000291 | 4823 | GTEx | DepMap | Descartes | 0.01 | NA |
| INHA | 0.0000168 | 5660 | GTEx | DepMap | Descartes | 0.03 | 8.36 |
| APOC1 | -0.0000005 | 8477 | GTEx | DepMap | Descartes | 0.31 | 218.40 |
| GSTA4 | -0.0000084 | 10651 | GTEx | DepMap | Descartes | 0.50 | 127.09 |
| HSPE1 | -0.0000109 | 11164 | GTEx | DepMap | Descartes | 0.48 | 328.23 |
| DNER | -0.0000145 | 11754 | GTEx | DepMap | Descartes | 0.50 | 62.85 |
| SCAP | -0.0000147 | 11794 | GTEx | DepMap | Descartes | 0.44 | 44.70 |
| SLC2A14 | -0.0000211 | 12686 | GTEx | DepMap | Descartes | 0.06 | 5.84 |
| SH3BP5 | -0.0000213 | 12702 | GTEx | DepMap | Descartes | 1.68 | 194.83 |
| FDXR | -0.0000251 | 13107 | GTEx | DepMap | Descartes | 0.12 | 17.13 |
| CYP11A1 | -0.0000276 | 13351 | GTEx | DepMap | Descartes | 0.38 | 44.65 |
| MC2R | -0.0000285 | 13432 | GTEx | DepMap | Descartes | 0.10 | 6.61 |
| CYP21A2 | -0.0000302 | 13581 | GTEx | DepMap | Descartes | 0.38 | 41.28 |
| CYP11B1 | -0.0000304 | 13607 | GTEx | DepMap | Descartes | 0.66 | 39.71 |
| STAR | -0.0000311 | 13659 | GTEx | DepMap | Descartes | 0.45 | 34.09 |
| DHCR7 | -0.0000348 | 14009 | GTEx | DepMap | Descartes | 0.07 | 11.55 |
| SCARB1 | -0.0000396 | 14386 | GTEx | DepMap | Descartes | 2.17 | 95.98 |
| FREM2 | -0.0000417 | 14533 | GTEx | DepMap | Descartes | 0.05 | 1.08 |
| FDX1 | -0.0000433 | 14680 | GTEx | DepMap | Descartes | 1.52 | 133.13 |
| CYB5B | -0.0000460 | 14862 | GTEx | DepMap | Descartes | 0.60 | 55.92 |
| NPC1 | -0.0000494 | 15150 | GTEx | DepMap | Descartes | 0.60 | 58.88 |
| TM7SF2 | -0.0000567 | 15651 | GTEx | DepMap | Descartes | 0.13 | 28.53 |
| GRAMD1B | -0.0000597 | 15818 | GTEx | DepMap | Descartes | 1.73 | 58.03 |
| ERN1 | -0.0000602 | 15851 | GTEx | DepMap | Descartes | 0.85 | 39.43 |
| POR | -0.0000687 | 16287 | GTEx | DepMap | Descartes | 0.70 | 109.85 |
| DHCR24 | -0.0000867 | 17120 | GTEx | DepMap | Descartes | 0.35 | 22.35 |
| CLU | -0.0000889 | 17197 | GTEx | DepMap | Descartes | 3.25 | 428.14 |
Descartes chromaffin markers
Top 50 marker genes of chromaffin cells in the Decartes fetal adrenal single cell map (https://atlas.brotmanbaty.org/bbi/human-gene-expression-during-development/cell/chromaffin/in/adrenal)
Wilcoxon ranksum test P-value for gene set overrepresentation: 1.00e+00
Mean rank of genes in gene set: 18457.98
Median rank of genes in gene set: 18976
Rank on gene expression program of top 30 genes in gene set:
| Genes | Weight | Rank | GTEx | DepMap | Descartes | Mean.Counts | Mean.TPM |
|---|---|---|---|---|---|---|---|
| TUBB2A | 0.0000420 | 4156 | GTEx | DepMap | Descartes | 1.54 | 523.09 |
| RPH3A | -0.0000367 | 14164 | GTEx | DepMap | Descartes | 0.10 | 6.24 |
| NPY | -0.0000580 | 15713 | GTEx | DepMap | Descartes | 2.29 | 2423.55 |
| SLC6A2 | -0.0000812 | 16881 | GTEx | DepMap | Descartes | 0.12 | 14.07 |
| MAB21L1 | -0.0000900 | 17242 | GTEx | DepMap | Descartes | 0.17 | 32.68 |
| TMEFF2 | -0.0000907 | 17279 | GTEx | DepMap | Descartes | 0.43 | 54.06 |
| REEP1 | -0.0000961 | 17466 | GTEx | DepMap | Descartes | 0.64 | 62.23 |
| EYA4 | -0.0000967 | 17485 | GTEx | DepMap | Descartes | 0.24 | 15.86 |
| PLXNA4 | -0.0000995 | 17593 | GTEx | DepMap | Descartes | 0.89 | 25.46 |
| ANKFN1 | -0.0001018 | 17688 | GTEx | DepMap | Descartes | 0.43 | 40.11 |
| CNTFR | -0.0001045 | 17789 | GTEx | DepMap | Descartes | 0.19 | 37.98 |
| PTCHD1 | -0.0001080 | 17901 | GTEx | DepMap | Descartes | 0.27 | 6.89 |
| RGMB | -0.0001135 | 18049 | GTEx | DepMap | Descartes | 0.31 | 31.13 |
| IL7 | -0.0001158 | 18132 | GTEx | DepMap | Descartes | 1.84 | 431.75 |
| NTRK1 | -0.0001224 | 18311 | GTEx | DepMap | Descartes | 0.31 | 33.31 |
| CNKSR2 | -0.0001280 | 18432 | GTEx | DepMap | Descartes | 1.08 | 44.84 |
| EPHA6 | -0.0001332 | 18545 | GTEx | DepMap | Descartes | 1.15 | 101.99 |
| GREM1 | -0.0001363 | 18605 | GTEx | DepMap | Descartes | 0.44 | 15.53 |
| RBFOX1 | -0.0001399 | 18696 | GTEx | DepMap | Descartes | 9.52 | 698.45 |
| HS3ST5 | -0.0001470 | 18814 | GTEx | DepMap | Descartes | 0.78 | 86.45 |
| STMN4 | -0.0001479 | 18829 | GTEx | DepMap | Descartes | 0.50 | 119.42 |
| GAL | -0.0001558 | 18976 | GTEx | DepMap | Descartes | 0.70 | 552.64 |
| TUBA1A | -0.0001597 | 19043 | GTEx | DepMap | Descartes | 5.30 | 1578.77 |
| GAP43 | -0.0001702 | 19206 | GTEx | DepMap | Descartes | 2.06 | 477.82 |
| HMX1 | -0.0001836 | 19380 | GTEx | DepMap | Descartes | 0.27 | 50.19 |
| SLC44A5 | -0.0001839 | 19384 | GTEx | DepMap | Descartes | 0.73 | 54.38 |
| STMN2 | -0.0002090 | 19651 | GTEx | DepMap | Descartes | 4.62 | 1319.86 |
| MAP1B | -0.0002129 | 19689 | GTEx | DepMap | Descartes | 7.31 | 298.95 |
| EYA1 | -0.0002136 | 19698 | GTEx | DepMap | Descartes | 0.58 | 50.60 |
| BASP1 | -0.0002169 | 19724 | GTEx | DepMap | Descartes | 1.50 | 445.62 |
Descartes Vascular_endothelial markers
Top 50 marker genes of Vascular_endothelial cells in the Decartes fetal adrenal single cell map (https://atlas.brotmanbaty.org/bbi/human-gene-expression-during-development/cell/vascular_endothelial/in/adrenal)
Wilcoxon ranksum test P-value for gene set overrepresentation: 1.95e-01
Mean rank of genes in gene set: 9524.84
Median rank of genes in gene set: 9424.5
Rank on gene expression program of top 30 genes in gene set:
| Genes | Weight | Rank | GTEx | DepMap | Descartes | Mean.Counts | Mean.TPM |
|---|---|---|---|---|---|---|---|
| ID1 | 0.0002325 | 1074 | GTEx | DepMap | Descartes | 0.35 | 122.09 |
| APLNR | 0.0002173 | 1166 | GTEx | DepMap | Descartes | 0.10 | 15.21 |
| HYAL2 | 0.0002045 | 1236 | GTEx | DepMap | Descartes | 0.22 | 23.98 |
| CALCRL | 0.0001850 | 1355 | GTEx | DepMap | Descartes | 1.09 | 84.97 |
| NPR1 | 0.0001682 | 1497 | GTEx | DepMap | Descartes | 0.05 | 6.06 |
| ESM1 | 0.0001569 | 1607 | GTEx | DepMap | Descartes | 0.12 | 24.63 |
| SOX18 | 0.0001340 | 1813 | GTEx | DepMap | Descartes | 0.14 | 32.98 |
| TEK | 0.0000992 | 2363 | GTEx | DepMap | Descartes | 0.23 | 19.07 |
| RAMP2 | 0.0000958 | 2423 | GTEx | DepMap | Descartes | 0.21 | 109.74 |
| PODXL | 0.0000920 | 2507 | GTEx | DepMap | Descartes | 0.37 | 24.36 |
| KDR | 0.0000712 | 3045 | GTEx | DepMap | Descartes | 0.14 | 10.72 |
| MMRN2 | 0.0000698 | 3091 | GTEx | DepMap | Descartes | 0.14 | 15.45 |
| PLVAP | 0.0000663 | 3209 | GTEx | DepMap | Descartes | 0.26 | 46.07 |
| RASIP1 | 0.0000543 | 3603 | GTEx | DepMap | Descartes | 0.09 | 12.70 |
| TM4SF18 | 0.0000517 | 3720 | GTEx | DepMap | Descartes | 0.06 | 6.28 |
| SHE | 0.0000487 | 3846 | GTEx | DepMap | Descartes | 0.10 | 6.27 |
| EHD3 | 0.0000478 | 3877 | GTEx | DepMap | Descartes | 0.35 | 27.90 |
| CLDN5 | 0.0000257 | 5015 | GTEx | DepMap | Descartes | 0.16 | 24.46 |
| CDH5 | 0.0000173 | 5621 | GTEx | DepMap | Descartes | 0.14 | 13.07 |
| CRHBP | 0.0000162 | 5720 | GTEx | DepMap | Descartes | 0.03 | 7.90 |
| ROBO4 | 0.0000090 | 6392 | GTEx | DepMap | Descartes | 0.08 | 7.91 |
| ECSCR | -0.0000005 | 8475 | GTEx | DepMap | Descartes | 0.00 | 0.18 |
| FCGR2B | -0.0000071 | 10374 | GTEx | DepMap | Descartes | 0.02 | 2.39 |
| F8 | -0.0000072 | 10384 | GTEx | DepMap | Descartes | 0.15 | 7.41 |
| TIE1 | -0.0000124 | 11413 | GTEx | DepMap | Descartes | 0.10 | 10.05 |
| FLT4 | -0.0000230 | 12890 | GTEx | DepMap | Descartes | 0.05 | 3.47 |
| DNASE1L3 | -0.0000330 | 13851 | GTEx | DepMap | Descartes | 0.07 | 13.52 |
| CYP26B1 | -0.0000398 | 14402 | GTEx | DepMap | Descartes | 0.04 | 3.95 |
| BTNL9 | -0.0000481 | 15048 | GTEx | DepMap | Descartes | 0.08 | 8.46 |
| IRX3 | -0.0000490 | 15115 | GTEx | DepMap | Descartes | 0.01 | 1.69 |
Descartes stromal markers
Top 50 marker genes of stromal cells in the Decartes fetal adrenal single cell map (https://atlas.brotmanbaty.org/bbi/human-gene-expression-during-development/cell/stromal/in/adrenal)
Wilcoxon ranksum test P-value for gene set overrepresentation: 1.24e-19
Mean rank of genes in gene set: 2670.84
Median rank of genes in gene set: 150
Rank on gene expression program of top 30 genes in gene set:
| Genes | Weight | Rank | GTEx | DepMap | Descartes | Mean.Counts | Mean.TPM |
|---|---|---|---|---|---|---|---|
| COL3A1 | 0.0091022 | 1 | GTEx | DepMap | Descartes | 22.70 | 2636.24 |
| COL1A2 | 0.0090765 | 2 | GTEx | DepMap | Descartes | 25.13 | 2704.87 |
| COL1A1 | 0.0089022 | 3 | GTEx | DepMap | Descartes | 26.11 | 2919.87 |
| LUM | 0.0079013 | 5 | GTEx | DepMap | Descartes | 3.34 | 760.33 |
| MGP | 0.0076330 | 6 | GTEx | DepMap | Descartes | 9.18 | 3183.28 |
| SFRP2 | 0.0059625 | 9 | GTEx | DepMap | Descartes | 1.48 | 455.13 |
| DCN | 0.0057837 | 10 | GTEx | DepMap | Descartes | 3.84 | 333.99 |
| POSTN | 0.0053938 | 12 | GTEx | DepMap | Descartes | 5.02 | 937.88 |
| CCDC80 | 0.0051759 | 15 | GTEx | DepMap | Descartes | 2.32 | 114.52 |
| LOX | 0.0045611 | 21 | GTEx | DepMap | Descartes | 0.39 | 45.05 |
| ISLR | 0.0042190 | 26 | GTEx | DepMap | Descartes | 0.48 | 125.10 |
| COL6A3 | 0.0038533 | 30 | GTEx | DepMap | Descartes | 6.38 | 385.35 |
| FNDC1 | 0.0037311 | 31 | GTEx | DepMap | Descartes | 0.84 | 81.35 |
| CDH11 | 0.0027664 | 50 | GTEx | DepMap | Descartes | 4.77 | 393.24 |
| PDGFRA | 0.0022798 | 69 | GTEx | DepMap | Descartes | 0.42 | 37.37 |
| PRICKLE1 | 0.0021912 | 72 | GTEx | DepMap | Descartes | 4.81 | 471.50 |
| IGFBP3 | 0.0021357 | 74 | GTEx | DepMap | Descartes | 0.61 | 120.08 |
| MXRA5 | 0.0021195 | 77 | GTEx | DepMap | Descartes | 0.42 | 26.05 |
| PRRX1 | 0.0017384 | 92 | GTEx | DepMap | Descartes | 2.56 | 370.34 |
| CD248 | 0.0015997 | 105 | GTEx | DepMap | Descartes | 0.18 | 39.76 |
| C7 | 0.0014879 | 117 | GTEx | DepMap | Descartes | 6.19 | 686.04 |
| PCOLCE | 0.0014044 | 126 | GTEx | DepMap | Descartes | 0.73 | 282.32 |
| ITGA11 | 0.0013903 | 128 | GTEx | DepMap | Descartes | 1.65 | 103.67 |
| EDNRA | 0.0013743 | 131 | GTEx | DepMap | Descartes | 1.35 | 192.89 |
| OGN | 0.0012791 | 150 | GTEx | DepMap | Descartes | 0.39 | 64.58 |
| COL12A1 | 0.0011773 | 170 | GTEx | DepMap | Descartes | 3.33 | 163.95 |
| DKK2 | 0.0010957 | 188 | GTEx | DepMap | Descartes | 0.49 | 67.30 |
| ADAMTS2 | 0.0010937 | 190 | GTEx | DepMap | Descartes | 1.91 | 178.69 |
| PCDH18 | 0.0009684 | 219 | GTEx | DepMap | Descartes | 0.21 | 21.68 |
| GLI2 | 0.0009255 | 239 | GTEx | DepMap | Descartes | 1.34 | 122.23 |
Descartes sympathoblasts markers
Top 50 marker genes of sympathoblasts cells in the Decartes fetal adrenal single cell map (https://atlas.brotmanbaty.org/bbi/human-gene-expression-during-development/cell/sympathoblasts/in/adrenal)
Wilcoxon ranksum test P-value for gene set overrepresentation: 1.00e+00
Mean rank of genes in gene set: 17640.37
Median rank of genes in gene set: 18612
Rank on gene expression program of top 30 genes in gene set:
| Genes | Weight | Rank | GTEx | DepMap | Descartes | Mean.Counts | Mean.TPM |
|---|---|---|---|---|---|---|---|
| SCG2 | 0.0000848 | 2672 | GTEx | DepMap | Descartes | 4.50 | 990.71 |
| TMEM130 | 0.0000005 | 7615 | GTEx | DepMap | Descartes | 0.36 | 41.04 |
| PNMT | -0.0000178 | 12257 | GTEx | DepMap | Descartes | 0.01 | 6.92 |
| HTATSF1 | -0.0000390 | 14342 | GTEx | DepMap | Descartes | 0.24 | 43.68 |
| ST18 | -0.0000426 | 14628 | GTEx | DepMap | Descartes | 0.09 | 5.25 |
| SORCS3 | -0.0000463 | 14892 | GTEx | DepMap | Descartes | 0.25 | 15.63 |
| SLC24A2 | -0.0000495 | 15159 | GTEx | DepMap | Descartes | 0.15 | 4.54 |
| GRID2 | -0.0000619 | 15938 | GTEx | DepMap | Descartes | 0.55 | 31.70 |
| SLC35F3 | -0.0000654 | 16113 | GTEx | DepMap | Descartes | 0.43 | 33.68 |
| DGKK | -0.0000792 | 16805 | GTEx | DepMap | Descartes | 0.05 | 2.45 |
| PCSK1N | -0.0000806 | 16858 | GTEx | DepMap | Descartes | 1.73 | 853.06 |
| C1QL1 | -0.0000874 | 17149 | GTEx | DepMap | Descartes | 0.07 | 22.20 |
| CDH12 | -0.0000940 | 17385 | GTEx | DepMap | Descartes | 0.89 | 71.55 |
| SLC18A1 | -0.0000994 | 17588 | GTEx | DepMap | Descartes | 0.05 | 6.50 |
| PENK | -0.0001113 | 17992 | GTEx | DepMap | Descartes | 0.03 | 15.83 |
| ARC | -0.0001149 | 18101 | GTEx | DepMap | Descartes | 0.04 | 6.64 |
| PCSK2 | -0.0001229 | 18322 | GTEx | DepMap | Descartes | 0.27 | 19.52 |
| INSM1 | -0.0001233 | 18328 | GTEx | DepMap | Descartes | 0.04 | 7.45 |
| CNTN3 | -0.0001245 | 18360 | GTEx | DepMap | Descartes | 0.17 | 12.19 |
| CDH18 | -0.0001254 | 18376 | GTEx | DepMap | Descartes | 0.43 | 27.21 |
| CNTNAP5 | -0.0001261 | 18383 | GTEx | DepMap | Descartes | 0.39 | 18.50 |
| EML6 | -0.0001366 | 18612 | GTEx | DepMap | Descartes | 0.71 | 20.65 |
| GRM7 | -0.0001416 | 18722 | GTEx | DepMap | Descartes | 0.66 | 67.33 |
| KSR2 | -0.0001417 | 18728 | GTEx | DepMap | Descartes | 0.31 | 5.58 |
| NTNG1 | -0.0001488 | 18845 | GTEx | DepMap | Descartes | 0.79 | 59.64 |
| FGF14 | -0.0001500 | 18867 | GTEx | DepMap | Descartes | 4.20 | 133.45 |
| CHGA | -0.0001568 | 18997 | GTEx | DepMap | Descartes | 0.43 | 117.58 |
| PACRG | -0.0001577 | 19013 | GTEx | DepMap | Descartes | 0.49 | 111.62 |
| SPOCK3 | -0.0001612 | 19067 | GTEx | DepMap | Descartes | 0.21 | 27.90 |
| MGAT4C | -0.0001696 | 19199 | GTEx | DepMap | Descartes | 1.33 | 31.08 |
Descartes erythroblasts markers
Top 50 marker genes of erythroblasts cells in the Decartes fetal adrenal single cell map (https://atlas.brotmanbaty.org/bbi/human-gene-expression-during-development/cell/erythroblasts/in/adrenal)
Wilcoxon ranksum test P-value for gene set overrepresentation: 1.00e+00
Mean rank of genes in gene set: 13446.35
Median rank of genes in gene set: 13591
Rank on gene expression program of top 30 genes in gene set:
| Genes | Weight | Rank | GTEx | DepMap | Descartes | Mean.Counts | Mean.TPM |
|---|---|---|---|---|---|---|---|
| MICAL2 | 0.0007909 | 280 | GTEx | DepMap | Descartes | 2.39 | 212.30 |
| GYPC | 0.0002221 | 1137 | GTEx | DepMap | Descartes | 0.23 | 70.09 |
| SELENBP1 | 0.0000502 | 3784 | GTEx | DepMap | Descartes | 0.04 | 9.04 |
| HBB | 0.0000252 | 5050 | GTEx | DepMap | Descartes | 0.21 | 188.35 |
| CPOX | 0.0000154 | 5765 | GTEx | DepMap | Descartes | 0.04 | 7.39 |
| GYPE | 0.0000071 | 6583 | GTEx | DepMap | Descartes | 0.05 | 13.04 |
| CAT | 0.0000030 | 7120 | GTEx | DepMap | Descartes | 0.29 | 59.81 |
| HBG1 | 0.0000022 | 7262 | GTEx | DepMap | Descartes | 0.00 | 0.07 |
| HBG2 | 0.0000000 | 8122 | GTEx | DepMap | Descartes | 0.00 | 0.00 |
| GYPB | -0.0000025 | 9147 | GTEx | DepMap | Descartes | 0.01 | 6.45 |
| GYPA | -0.0000051 | 9869 | GTEx | DepMap | Descartes | 0.00 | 0.61 |
| RHCE | -0.0000079 | 10558 | GTEx | DepMap | Descartes | 0.04 | 10.01 |
| HBZ | -0.0000091 | 10813 | GTEx | DepMap | Descartes | 0.00 | 3.33 |
| HEMGN | -0.0000113 | 11234 | GTEx | DepMap | Descartes | 0.00 | 0.68 |
| SPTA1 | -0.0000143 | 11729 | GTEx | DepMap | Descartes | 0.00 | 0.27 |
| HBA2 | -0.0000151 | 11843 | GTEx | DepMap | Descartes | 0.06 | 58.20 |
| HBA1 | -0.0000180 | 12280 | GTEx | DepMap | Descartes | 0.02 | 20.20 |
| AHSP | -0.0000183 | 12321 | GTEx | DepMap | Descartes | 0.00 | 0.26 |
| EPB42 | -0.0000204 | 12581 | GTEx | DepMap | Descartes | 0.00 | 0.21 |
| ALAS2 | -0.0000248 | 13077 | GTEx | DepMap | Descartes | 0.00 | 0.67 |
| HBM | -0.0000264 | 13229 | GTEx | DepMap | Descartes | 0.00 | 1.04 |
| SLC25A37 | -0.0000267 | 13257 | GTEx | DepMap | Descartes | 0.61 | 58.05 |
| ABCB10 | -0.0000288 | 13459 | GTEx | DepMap | Descartes | 0.29 | 37.36 |
| FECH | -0.0000317 | 13723 | GTEx | DepMap | Descartes | 0.14 | 8.42 |
| SLC4A1 | -0.0000328 | 13836 | GTEx | DepMap | Descartes | 0.00 | 0.40 |
| SLC25A21 | -0.0000360 | 14104 | GTEx | DepMap | Descartes | 0.11 | 13.75 |
| RHAG | -0.0000366 | 14156 | GTEx | DepMap | Descartes | 0.00 | 0.71 |
| CR1L | -0.0000423 | 14600 | GTEx | DepMap | Descartes | 0.03 | 7.39 |
| BLVRB | -0.0000468 | 14927 | GTEx | DepMap | Descartes | 0.22 | 81.64 |
| TMCC2 | -0.0000592 | 15789 | GTEx | DepMap | Descartes | 0.07 | 7.88 |
Descartes myeloid markers
Top 50 marker genes of myeloid cells in the Decartes fetal adrenal single cell map (https://atlas.brotmanbaty.org/bbi/human-gene-expression-during-development/cell/myeloid/in/adrenal)
Wilcoxon ranksum test P-value for gene set overrepresentation: 1.56e-01
Mean rank of genes in gene set: 9437.8
Median rank of genes in gene set: 6201
Rank on gene expression program of top 30 genes in gene set:
| Genes | Weight | Rank | GTEx | DepMap | Descartes | Mean.Counts | Mean.TPM |
|---|---|---|---|---|---|---|---|
| CST3 | 0.0014681 | 121 | GTEx | DepMap | Descartes | 1.78 | 298.75 |
| CTSC | 0.0006952 | 333 | GTEx | DepMap | Descartes | 0.81 | 71.29 |
| TGFBI | 0.0005205 | 457 | GTEx | DepMap | Descartes | 0.77 | 90.61 |
| CTSB | 0.0003577 | 698 | GTEx | DepMap | Descartes | 1.17 | 153.26 |
| ABCA1 | 0.0002173 | 1167 | GTEx | DepMap | Descartes | 1.64 | 82.91 |
| SPP1 | 0.0001911 | 1322 | GTEx | DepMap | Descartes | 1.55 | 467.28 |
| FGL2 | 0.0001833 | 1373 | GTEx | DepMap | Descartes | 0.15 | 19.74 |
| HLA-DPA1 | 0.0001796 | 1408 | GTEx | DepMap | Descartes | 0.36 | 38.59 |
| ITPR2 | 0.0001410 | 1757 | GTEx | DepMap | Descartes | 2.93 | 115.88 |
| HLA-DRA | 0.0001335 | 1818 | GTEx | DepMap | Descartes | 0.59 | 238.05 |
| LGMN | 0.0001239 | 1948 | GTEx | DepMap | Descartes | 0.58 | 131.31 |
| CD14 | 0.0001238 | 1951 | GTEx | DepMap | Descartes | 0.16 | 53.57 |
| C1QB | 0.0001131 | 2113 | GTEx | DepMap | Descartes | 0.19 | 101.72 |
| RNASE1 | 0.0001076 | 2209 | GTEx | DepMap | Descartes | 0.14 | 69.16 |
| IFNGR1 | 0.0000995 | 2353 | GTEx | DepMap | Descartes | 0.49 | 99.09 |
| C1QA | 0.0000969 | 2401 | GTEx | DepMap | Descartes | 0.20 | 107.30 |
| C1QC | 0.0000889 | 2568 | GTEx | DepMap | Descartes | 0.13 | 58.50 |
| CTSS | 0.0000775 | 2862 | GTEx | DepMap | Descartes | 0.35 | 42.04 |
| HLA-DRB1 | 0.0000668 | 3180 | GTEx | DepMap | Descartes | 0.16 | 61.99 |
| CD74 | 0.0000590 | 3445 | GTEx | DepMap | Descartes | 1.09 | 173.68 |
| MS4A7 | 0.0000309 | 4722 | GTEx | DepMap | Descartes | 0.02 | 3.84 |
| MPEG1 | 0.0000264 | 4978 | GTEx | DepMap | Descartes | 0.06 | 7.38 |
| CYBB | 0.0000185 | 5522 | GTEx | DepMap | Descartes | 0.01 | 1.32 |
| CTSD | 0.0000150 | 5790 | GTEx | DepMap | Descartes | 0.00 | 0.02 |
| VSIG4 | 0.0000107 | 6201 | GTEx | DepMap | Descartes | 0.03 | 5.38 |
| MS4A6A | -0.0000071 | 10367 | GTEx | DepMap | Descartes | 0.19 | 37.37 |
| CPVL | -0.0000129 | 11516 | GTEx | DepMap | Descartes | 0.30 | 61.46 |
| MS4A4A | -0.0000276 | 13352 | GTEx | DepMap | Descartes | 0.14 | 35.70 |
| CSF1R | -0.0000425 | 14619 | GTEx | DepMap | Descartes | 0.17 | 20.69 |
| AXL | -0.0000510 | 15256 | GTEx | DepMap | Descartes | 0.90 | 103.70 |
Descartes Schwann markers
Top 50 marker genes of Schwann cells in the Decartes fetal adrenal single cell map (https://atlas.brotmanbaty.org/bbi/human-gene-expression-during-development/cell/schwann/in/adrenal)
Wilcoxon ranksum test P-value for gene set overrepresentation: 9.99e-01
Mean rank of genes in gene set: 12936.33
Median rank of genes in gene set: 19002
Rank on gene expression program of top 30 genes in gene set:
| Genes | Weight | Rank | GTEx | DepMap | Descartes | Mean.Counts | Mean.TPM |
|---|---|---|---|---|---|---|---|
| VCAN | 0.0047246 | 19 | GTEx | DepMap | Descartes | 7.91 | 358.23 |
| COL5A2 | 0.0026329 | 57 | GTEx | DepMap | Descartes | 5.51 | 475.88 |
| VIM | 0.0017469 | 91 | GTEx | DepMap | Descartes | 4.66 | 950.51 |
| SFRP1 | 0.0015817 | 107 | GTEx | DepMap | Descartes | 0.83 | 100.21 |
| KCTD12 | 0.0010582 | 205 | GTEx | DepMap | Descartes | 0.55 | 44.21 |
| MARCKS | 0.0008674 | 251 | GTEx | DepMap | Descartes | 1.98 | 253.14 |
| COL18A1 | 0.0006522 | 356 | GTEx | DepMap | Descartes | 3.12 | 277.87 |
| PMP22 | 0.0006177 | 380 | GTEx | DepMap | Descartes | 1.33 | 364.10 |
| LAMA4 | 0.0005382 | 446 | GTEx | DepMap | Descartes | 2.88 | 215.20 |
| LAMB1 | 0.0004795 | 494 | GTEx | DepMap | Descartes | 2.70 | 263.55 |
| ERBB4 | 0.0002056 | 1231 | GTEx | DepMap | Descartes | 2.37 | 67.46 |
| LAMC1 | 0.0001981 | 1280 | GTEx | DepMap | Descartes | 1.88 | 127.15 |
| ADAMTS5 | 0.0001469 | 1699 | GTEx | DepMap | Descartes | 0.21 | 10.62 |
| PLP1 | 0.0001191 | 2024 | GTEx | DepMap | Descartes | 0.19 | 25.92 |
| PTN | 0.0000533 | 3644 | GTEx | DepMap | Descartes | 0.38 | 121.95 |
| MDGA2 | 0.0000338 | 4573 | GTEx | DepMap | Descartes | 0.93 | 57.55 |
| FIGN | -0.0000116 | 11276 | GTEx | DepMap | Descartes | 1.98 | 113.02 |
| MPZ | -0.0000263 | 13216 | GTEx | DepMap | Descartes | 0.12 | 25.66 |
| NRXN3 | -0.0000311 | 13662 | GTEx | DepMap | Descartes | 5.23 | 274.17 |
| TRPM3 | -0.0000476 | 14988 | GTEx | DepMap | Descartes | 0.72 | 19.20 |
| SOX10 | -0.0000508 | 15250 | GTEx | DepMap | Descartes | 0.09 | 13.02 |
| GAS7 | -0.0000572 | 15677 | GTEx | DepMap | Descartes | 2.09 | 142.46 |
| ERBB3 | -0.0000886 | 17182 | GTEx | DepMap | Descartes | 0.05 | 3.82 |
| PTPRZ1 | -0.0001230 | 18324 | GTEx | DepMap | Descartes | 0.41 | 21.52 |
| GFRA3 | -0.0001570 | 19002 | GTEx | DepMap | Descartes | 0.10 | 24.14 |
| HMGA2 | -0.0001637 | 19106 | GTEx | DepMap | Descartes | 0.17 | 11.86 |
| PPP2R2B | -0.0001692 | 19195 | GTEx | DepMap | Descartes | 2.72 | 79.33 |
| LRRTM4 | -0.0001767 | 19282 | GTEx | DepMap | Descartes | 1.99 | 194.02 |
| XKR4 | -0.0001879 | 19423 | GTEx | DepMap | Descartes | 1.52 | 28.88 |
| ZNF536 | -0.0002038 | 19597 | GTEx | DepMap | Descartes | 0.91 | 63.49 |
Descartes Megakaryocytes markers
Top 50 marker genes of Megakaryocytes cells in the Decartes fetal adrenal single cell map (https://atlas.brotmanbaty.org/bbi/human-gene-expression-during-development/cell/megakaryocytes/in/adrenal)
Wilcoxon ranksum test P-value for gene set overrepresentation: 6.83e-01
Mean rank of genes in gene set: 10696.24
Median rank of genes in gene set: 10841
Rank on gene expression program of top 30 genes in gene set:
| Genes | Weight | Rank | GTEx | DepMap | Descartes | Mean.Counts | Mean.TPM |
|---|---|---|---|---|---|---|---|
| GSN | 0.0016426 | 101 | GTEx | DepMap | Descartes | 2.33 | 203.34 |
| FLNA | 0.0011797 | 169 | GTEx | DepMap | Descartes | 1.21 | 78.73 |
| THBS1 | 0.0008961 | 248 | GTEx | DepMap | Descartes | 4.47 | 326.27 |
| TMSB4X | 0.0008092 | 269 | GTEx | DepMap | Descartes | 5.47 | 1804.71 |
| ACTB | 0.0007354 | 305 | GTEx | DepMap | Descartes | 5.18 | 1307.56 |
| MYLK | 0.0003943 | 617 | GTEx | DepMap | Descartes | 1.14 | 64.38 |
| TLN1 | 0.0003858 | 638 | GTEx | DepMap | Descartes | 0.69 | 41.83 |
| TGFB1 | 0.0002654 | 942 | GTEx | DepMap | Descartes | 0.65 | 128.24 |
| MYH9 | 0.0002572 | 973 | GTEx | DepMap | Descartes | 2.73 | 196.75 |
| CD9 | 0.0002501 | 1005 | GTEx | DepMap | Descartes | 1.04 | 270.21 |
| TPM4 | 0.0001942 | 1309 | GTEx | DepMap | Descartes | 2.45 | 270.35 |
| SLC24A3 | 0.0001855 | 1354 | GTEx | DepMap | Descartes | 1.90 | 282.50 |
| DOK6 | 0.0001270 | 1901 | GTEx | DepMap | Descartes | 1.57 | 93.67 |
| STOM | 0.0001252 | 1931 | GTEx | DepMap | Descartes | 0.68 | 104.05 |
| PPBP | 0.0000256 | 5026 | GTEx | DepMap | Descartes | 0.00 | 0.26 |
| ZYX | 0.0000229 | 5190 | GTEx | DepMap | Descartes | 0.27 | 62.23 |
| PF4 | 0.0000185 | 5521 | GTEx | DepMap | Descartes | 0.00 | 0.46 |
| FERMT3 | 0.0000165 | 5681 | GTEx | DepMap | Descartes | 0.08 | 15.49 |
| GP1BA | 0.0000112 | 6144 | GTEx | DepMap | Descartes | 0.02 | 4.39 |
| TUBB1 | 0.0000075 | 6541 | GTEx | DepMap | Descartes | 0.01 | 1.58 |
| SPN | 0.0000020 | 7306 | GTEx | DepMap | Descartes | 0.00 | 0.00 |
| GP9 | -0.0000038 | 9516 | GTEx | DepMap | Descartes | 0.00 | 0.00 |
| ITGB3 | -0.0000041 | 9622 | GTEx | DepMap | Descartes | 0.00 | 0.08 |
| CD84 | -0.0000067 | 10266 | GTEx | DepMap | Descartes | 0.09 | 4.98 |
| PSTPIP2 | -0.0000092 | 10841 | GTEx | DepMap | Descartes | 0.14 | 24.60 |
| PLEK | -0.0000144 | 11745 | GTEx | DepMap | Descartes | 0.08 | 12.02 |
| P2RX1 | -0.0000441 | 14729 | GTEx | DepMap | Descartes | 0.02 | 3.40 |
| LTBP1 | -0.0000506 | 15237 | GTEx | DepMap | Descartes | 1.52 | 125.03 |
| BIN2 | -0.0000597 | 15820 | GTEx | DepMap | Descartes | 0.05 | 9.45 |
| ITGA2B | -0.0000601 | 15838 | GTEx | DepMap | Descartes | 0.05 | 5.99 |
Descartes Lyphoid markers
Top 50 marker genes of Lyphoid cells in the Decartes fetal adrenal single cell map (https://atlas.brotmanbaty.org/bbi/human-gene-expression-during-development/cell/lymphoid/in/adrenal)
Wilcoxon ranksum test P-value for gene set overrepresentation: 1.00e+00
Mean rank of genes in gene set: 13584.34
Median rank of genes in gene set: 18536
Rank on gene expression program of top 30 genes in gene set:
| Genes | Weight | Rank | GTEx | DepMap | Descartes | Mean.Counts | Mean.TPM |
|---|---|---|---|---|---|---|---|
| B2M | 0.0006123 | 383 | GTEx | DepMap | Descartes | 6.32 | 1422.81 |
| HLA-C | 0.0004832 | 490 | GTEx | DepMap | Descartes | 0.57 | 156.96 |
| HLA-A | 0.0004661 | 508 | GTEx | DepMap | Descartes | 1.11 | 106.21 |
| HLA-B | 0.0004113 | 592 | GTEx | DepMap | Descartes | 0.77 | 246.04 |
| TMSB10 | 0.0003942 | 618 | GTEx | DepMap | Descartes | 5.35 | 6704.91 |
| FOXP1 | 0.0003344 | 742 | GTEx | DepMap | Descartes | 0.45 | 26.38 |
| IFI16 | 0.0003039 | 808 | GTEx | DepMap | Descartes | 1.14 | 148.57 |
| SAMD3 | 0.0001823 | 1380 | GTEx | DepMap | Descartes | 0.55 | 81.10 |
| LEF1 | 0.0001819 | 1384 | GTEx | DepMap | Descartes | 0.98 | 136.00 |
| SP100 | 0.0000975 | 2392 | GTEx | DepMap | Descartes | 1.41 | 144.10 |
| MCTP2 | 0.0000914 | 2514 | GTEx | DepMap | Descartes | 0.38 | 23.15 |
| CCL5 | 0.0000274 | 4914 | GTEx | DepMap | Descartes | 0.05 | 20.68 |
| MSN | 0.0000221 | 5254 | GTEx | DepMap | Descartes | 0.94 | 116.32 |
| ARHGDIB | 0.0000096 | 6331 | GTEx | DepMap | Descartes | 0.17 | 80.30 |
| NKG7 | 0.0000070 | 6599 | GTEx | DepMap | Descartes | 0.01 | 9.71 |
| PLEKHA2 | -0.0000128 | 11506 | GTEx | DepMap | Descartes | 0.96 | 93.78 |
| WIPF1 | -0.0000279 | 13382 | GTEx | DepMap | Descartes | 1.26 | 136.61 |
| LCP1 | -0.0000637 | 16033 | GTEx | DepMap | Descartes | 0.14 | 16.60 |
| GNG2 | -0.0000822 | 16922 | GTEx | DepMap | Descartes | 1.09 | 137.81 |
| PTPRC | -0.0000970 | 17491 | GTEx | DepMap | Descartes | 0.47 | 43.07 |
| IKZF1 | -0.0001037 | 17755 | GTEx | DepMap | Descartes | 0.20 | 15.81 |
| ITPKB | -0.0001097 | 17944 | GTEx | DepMap | Descartes | 0.49 | 38.50 |
| SKAP1 | -0.0001111 | 17987 | GTEx | DepMap | Descartes | 0.24 | 64.87 |
| PRKCH | -0.0001326 | 18536 | GTEx | DepMap | Descartes | 0.93 | 121.22 |
| SORL1 | -0.0001344 | 18564 | GTEx | DepMap | Descartes | 0.36 | 15.33 |
| CCND3 | -0.0001634 | 19099 | GTEx | DepMap | Descartes | 0.98 | 227.93 |
| SCML4 | -0.0001648 | 19120 | GTEx | DepMap | Descartes | 0.18 | 14.82 |
| FYN | -0.0001944 | 19505 | GTEx | DepMap | Descartes | 2.20 | 286.60 |
| STK39 | -0.0001980 | 19538 | GTEx | DepMap | Descartes | 1.38 | 196.67 |
| DOCK10 | -0.0001989 | 19549 | GTEx | DepMap | Descartes | 2.10 | 151.13 |
Embryonic Pausing Signatures Up
Embryonic pausing signature upregulated genes from Supplementary Table 6 of Rehman et al. Cell 2021. These genes are upregulated in paused ESCs and diapaused embryos.
Wilcoxon ranksum test P-value for gene set overrepresentation: 6.88e-04
Mean rank of genes in gene set: 5225.43
Median rank of genes in gene set: 3924.5
Rank on gene expression program of top 30 genes in gene set:
| Genes | Weight | Rank | GTEx | DepMap | Descartes | Mean.Counts | Mean.TPM |
|---|---|---|---|---|---|---|---|
| APOE | 0.0011160 | 185 | GTEx | DepMap | Descartes | 2.96 | 1405.34 |
| HEXB | 0.0005071 | 466 | GTEx | DepMap | Descartes | 0.43 | 110.08 |
| SPRY1 | 0.0004274 | 563 | GTEx | DepMap | Descartes | 0.71 | 142.98 |
| HEXA | 0.0003277 | 756 | GTEx | DepMap | Descartes | 0.07 | 5.09 |
| CTSL | 0.0002877 | 859 | GTEx | DepMap | Descartes | 0.60 | NA |
| DPP7 | 0.0002496 | 1008 | GTEx | DepMap | Descartes | 0.35 | 119.03 |
| PDCD4 | 0.0000571 | 3508 | GTEx | DepMap | Descartes | 0.77 | 105.31 |
| CCNG2 | 0.0000381 | 4341 | GTEx | DepMap | Descartes | 0.27 | 26.38 |
| YPEL2 | 0.0000375 | 4371 | GTEx | DepMap | Descartes | 0.97 | 92.75 |
| ALDH6A1 | 0.0000307 | 4737 | GTEx | DepMap | Descartes | 0.11 | 10.46 |
| LY6G6E | 0.0000000 | 8215 | GTEx | DepMap | Descartes | 0.00 | 0.00 |
| RENBP | -0.0000044 | 9702 | GTEx | DepMap | Descartes | 0.07 | 27.44 |
| ACSS1 | -0.0000593 | 15796 | GTEx | DepMap | Descartes | 0.15 | 16.95 |
| AUH | -0.0001380 | 18649 | GTEx | DepMap | Descartes | 1.19 | 347.81 |
Embryonic Pausing Signatures Down
Embryonic pausing signature downregulated genes from Supplementary Table 6 of Rehman et al. Cell 2021. These genes are downregulated in paused ESCs and diapaused embryos.
Wilcoxon ranksum test P-value for gene set overrepresentation: 1.47e-06
Mean rank of genes in gene set: 7589.32
Median rank of genes in gene set: 5494
Rank on gene expression program of top 30 genes in gene set:
| Genes | Weight | Rank | GTEx | DepMap | Descartes | Mean.Counts | Mean.TPM |
|---|---|---|---|---|---|---|---|
| ID3 | 0.0025160 | 62 | GTEx | DepMap | Descartes | 1.08 | 622.50 |
| ARPC1B | 0.0007914 | 279 | GTEx | DepMap | Descartes | 0.25 | 68.91 |
| P4HB | 0.0006255 | 372 | GTEx | DepMap | Descartes | 0.96 | 207.05 |
| TMEM109 | 0.0003879 | 633 | GTEx | DepMap | Descartes | 0.14 | 33.04 |
| DAD1 | 0.0003162 | 777 | GTEx | DepMap | Descartes | 0.48 | 382.71 |
| RPS27L | 0.0002949 | 835 | GTEx | DepMap | Descartes | 0.70 | 61.76 |
| HDLBP | 0.0002928 | 842 | GTEx | DepMap | Descartes | 1.33 | 110.49 |
| POLR2L | 0.0002681 | 932 | GTEx | DepMap | Descartes | 0.38 | 223.08 |
| SLC25A5 | 0.0002581 | 968 | GTEx | DepMap | Descartes | 0.31 | 128.23 |
| S100A6 | 0.0002257 | 1118 | GTEx | DepMap | Descartes | 2.94 | 1934.59 |
| NDUFC1 | 0.0002251 | 1121 | GTEx | DepMap | Descartes | 0.40 | 163.77 |
| ANKRD37 | 0.0002240 | 1132 | GTEx | DepMap | Descartes | 0.09 | 31.06 |
| PRADC1 | 0.0002212 | 1145 | GTEx | DepMap | Descartes | 0.08 | 35.65 |
| RPL41 | 0.0002082 | 1221 | GTEx | DepMap | Descartes | 2.52 | 1984.71 |
| SEC13 | 0.0001869 | 1343 | GTEx | DepMap | Descartes | 0.47 | 106.80 |
| PGAM1 | 0.0001716 | 1464 | GTEx | DepMap | Descartes | 0.35 | 103.17 |
| TMEM258 | 0.0001675 | 1508 | GTEx | DepMap | Descartes | 0.54 | NA |
| RPS19BP1 | 0.0001619 | 1550 | GTEx | DepMap | Descartes | 0.28 | 53.23 |
| UQCR10 | 0.0001328 | 1826 | GTEx | DepMap | Descartes | 0.62 | 372.21 |
| ATOX1 | 0.0001259 | 1918 | GTEx | DepMap | Descartes | 0.50 | 61.89 |
| HILPDA | 0.0001231 | 1958 | GTEx | DepMap | Descartes | 0.09 | 37.54 |
| MRPL18 | 0.0001215 | 1983 | GTEx | DepMap | Descartes | 0.22 | 106.93 |
| PDCD5 | 0.0001166 | 2056 | GTEx | DepMap | Descartes | 0.43 | 131.11 |
| CAPG | 0.0001017 | 2319 | GTEx | DepMap | Descartes | 0.06 | 26.30 |
| NAA10 | 0.0001003 | 2344 | GTEx | DepMap | Descartes | 0.06 | 19.43 |
| GNG10 | 0.0000949 | 2447 | GTEx | DepMap | Descartes | 0.01 | 3.11 |
| PSMB10 | 0.0000922 | 2499 | GTEx | DepMap | Descartes | 0.03 | 18.37 |
| UQCRQ | 0.0000863 | 2631 | GTEx | DepMap | Descartes | 0.50 | 176.56 |
| UBE2V1 | 0.0000842 | 2685 | GTEx | DepMap | Descartes | 0.02 | 4.54 |
| PRDX2 | 0.0000827 | 2727 | GTEx | DepMap | Descartes | 0.19 | 63.65 |
Below shows the ranks on this GEP for immune marker gene lists curated by CellTypist (https://www.celltypist.org/encyclopedia).
  High ranks indicate this gene is a driver of this GEP.
  These curated gene list are ranked by P-value (on this GEP) of their constituent genes.
  The Mean Count column shows the mean read count in cells scoring highly (H > 50) on this gene expression program.
| Genes | Weight | Rank | GTEx | DepMap | Decartes | Mean.Counts | Mean.TPM |
|---|---|---|---|---|---|---|---|
| PDGFRA | 0.0022798 | 69 | GTEx | DepMap | Descartes | 0.42 | 37.37 |
| MXRA5 | 0.0021195 | 77 | GTEx | DepMap | Descartes | 0.42 | 26.05 |
| PRRX1 | 0.0017384 | 92 | GTEx | DepMap | Descartes | 2.56 | 370.34 |
| SFRP1 | 0.0015817 | 107 | GTEx | DepMap | Descartes | 0.83 | 100.21 |
| OLFML1 | 0.0007686 | 289 | GTEx | DepMap | Descartes | 0.10 | 21.14 |
| SMOC2 | 0.0004403 | 546 | GTEx | DepMap | Descartes | 1.35 | 253.06 |
| NTRK2 | 0.0003362 | 741 | GTEx | DepMap | Descartes | 1.03 | 62.90 |
| ANGPTL1 | 0.0002124 | 1196 | GTEx | DepMap | Descartes | 0.22 | 32.30 |
| F10 | 0.0001124 | 2119 | GTEx | DepMap | Descartes | 0.05 | 18.48 |
| EBF2 | -0.0004346 | 20486 | GTEx | DepMap | Descartes | 1.59 | 173.65 |
Fibroblasts: Fibroblasts (curated markers)
the most common cells of connective tissues which synthesize the extracellular matrix and collagen to maintain tissue homeostasis:
Wilcoxon ranksum test P-value for gene set overrepresentation: 1.36e-03
Mean rank of genes in gene set: 5
Rank on gene expression program of genes in gene set:
| Genes | Weight | Rank | GTEx | DepMap | Decartes | Mean.Counts | Mean.TPM |
|---|---|---|---|---|---|---|---|
| COL1A2 | 0.0090765 | 2 | GTEx | DepMap | Descartes | 25.13 | 2704.87 |
| COL1A1 | 0.0089022 | 3 | GTEx | DepMap | Descartes | 26.11 | 2919.87 |
| DCN | 0.0057837 | 10 | GTEx | DepMap | Descartes | 3.84 | 333.99 |
Monocytes: Monocytes (model markers)
myeloid mononuclear recirculating leukocytes that are capable of differentiating into macrophages and myeloid lineage dendritic cells:
Wilcoxon ranksum test P-value for gene set overrepresentation: 3.87e-03
Mean rank of genes in gene set: 5019
Rank on gene expression program of genes in gene set:
| Genes | Weight | Rank | GTEx | DepMap | Decartes | Mean.Counts | Mean.TPM |
|---|---|---|---|---|---|---|---|
| FTL | 0.0005620 | 429 | GTEx | DepMap | Descartes | 5.19 | 3123.53 |
| HLA-DPB1 | 0.0001573 | 1602 | GTEx | DepMap | Descartes | 0.35 | 46.67 |
| TYROBP | 0.0000745 | 2954 | GTEx | DepMap | Descartes | 0.12 | 94.69 |
| RPS17 | 0.0000450 | 3998 | GTEx | DepMap | Descartes | 0.15 | 41.12 |
| LYZ | 0.0000346 | 4531 | GTEx | DepMap | Descartes | 0.19 | 64.15 |
| SAT1 | 0.0000282 | 4873 | GTEx | DepMap | Descartes | 1.87 | 748.22 |
| TRAC | 0.0000033 | 7069 | GTEx | DepMap | Descartes | 0.02 | 12.51 |
| IGLC2 | 0.0000030 | 7109 | GTEx | DepMap | Descartes | 0.24 | 351.34 |
| IGKC | -0.0000205 | 12606 | GTEx | DepMap | Descartes | 0.83 | 1040.95 |